"Технический регламент Евразийского экономического союза "О требованиях к энергетической эффективности энергопотребляющих устройств" (ТР ЕАЭС 048/2019)"

(утв. решением Совета Евразийской экономической комиссии от 08.08.2019 N 114)
Редакция от 08.07.2025 — Действует с 07.09.2025
Показать изменения

Принят
Решением Совета
Евразийской экономической комиссии
от 8 августа 2019 г. N 114

Решение включено в систему отдельным документом.

ТЕХНИЧЕСКИЙ РЕГЛАМЕНТ ЕВРАЗИЙСКОГО ЭКОНОМИЧЕСКОГО СОЮЗА
"О ТРЕБОВАНИЯХ К ЭНЕРГЕТИЧЕСКОЙ ЭФФЕКТИВНОСТИ ЭНЕРГОПОТРЕБЛЯЮЩИХ УСТРОЙСТВ"
(ТР ЕАЭС 048/2019)

(в ред. Решений Совета Евразийской экономической комиссии от 29.01.2021 N 6, от 15.04.2022 N 50от 08.07.2025 N 54)

I. Область применения

1. Настоящий технический регламент разработан в целях обеспечения энергетической эффективности и ресурсосбережения в рамках Евразийского экономического союза (далее - Союз), а также в целях предупреждения действий, вводящих в заблуждение потребителей относительно энергетической эффективности энергопотребляющих устройств.

2. Настоящий технический регламент распространяется на энергопотребляющие устройства, выпускаемые в обращение на территории Союза, по перечню согласно приложению N 1 (далее - устройства).

3. Настоящий технический регламент устанавливает обязательные для применения и исполнения на территории Союза требования к устройствам в части, касающейся их энергетической эффективности и маркировки.

4. Если в отношении устройств приняты иные технические регламенты Союза (технические регламенты Таможенного союза), устанавливающие требования к ним, устройства должны соответствовать требованиям всех технических регламентов Союза (технических регламентов Таможенного союза), действие которых на них распространяется.

II. Основные понятия

5. Для целей настоящего технического регламента используются понятия, которые означают следующее:

"номинальное значение" - значение, указанное изготовителем устройства в эксплуатационных документах на устройство (например, объем, напряжение питания и др.);

"партия устройств" - совокупность устройств одного наименования и (или) обозначения, произведенных в течение определенного интервала времени в одних и тех же производственных условиях и сопровождаемых одним товаросопроводительным документом;

"показатель энергетической эффективности" - абсолютная, удельная или относительная величина потребления или потерь энергетических ресурсов устройства;

"применение устройства по назначению" - использование устройства в соответствии с назначением, указанным изготовителем устройства на этом устройстве и (или) в эксплуатационных документах;

"собственная испытательная лаборатория изготовителя" - зарегистрированное в установленном законодательством государства - члена Союза порядке на его территории юридическое лицо, осуществляющее исследования (испытания) и измерения и находящееся в собственности изготовителя, или структурное подразделение этого юридического лица, действующее от его имени;

"технический лист" - документ, содержащий информацию о функциональных характеристиках и особенностях устройства, относящихся к его энергетической эффективности;

"топливно-энергетические ресурсы" - совокупность природных и произведенных энергоносителей, запасенная энергия которых при существующем уровне развития техники и технологии доступна для использования в хозяйственной деятельности;

"этикетка" - документ, содержащий сведения о классе, основных показателях энергетической эффективности и потребительских характеристиках устройства.

Иные понятия, используемые в настоящем техническом регламенте, применяются в значениях, определенных Протоколом о техническом регулировании в рамках Евразийского экономического союза (приложение N 9 к Договору о Евразийском экономическом союзе от 29 мая 2014 года) и типовыми схемами оценки соответствия, утвержденными Решением Совета Евразийской экономической комиссии от 18 апреля 2018 г. N 44.

III. Правила идентификации устройства

6. В целях отнесения устройства к объектам технического регулирования, в отношении которых применяется настоящий технический регламент, идентификация устройства осуществляется заявителем, органами государственного контроля (надзора) государств - членов Союза (далее - государства-члены), органами по оценке соответствия государств-членов, а также заинтересованными лицами путем определения соответствия наименования и характеристик устройства параметрам, установленным в требованиях согласно приложениям N 2 - 19 и указанным в эксплуатационных документах, прилагаемых к устройству и предназначенных для потребителя (пользователя) (далее - эксплуатационные документы).

IV. Правила обращения устройств на территории Союза

7. Устройство выпускается в обращение на территории Союза при его соответствии требованиям настоящего технического регламента, а также требованиям других технических регламентов Союза (технических регламентов Таможенного союза), действие которых на него распространяется, и при условии, что оно прошло процедуру оценки соответствия согласно разделу VII настоящего технического регламента, а также согласно другим техническим регламентам Союза (техническим регламентам Таможенного союза), действие которых на него распространяется.

8. Устройства, соответствие которых требованиям настоящего технического регламента, а также других технических регламентов Союза (технических регламентов Таможенного союза), действие которых на них распространяется, не подтверждено, не маркируются единым знаком обращения продукции на рынке Союза и не допускаются к выпуску в обращение на территории Союза.

V. Требования к энергетической эффективности устройств, а также к их маркировке и эксплуатационным документам

9. Устройство разрабатывается и изготавливается таким образом, чтобы при применении его по назначению это устройство соответствовало требованиям к энергетической эффективности, установленным в соответствующем приложении к настоящему техническому регламенту.

10. Маркировка устройства должна содержать наименование и (или) обозначение устройства (тип, марку, модель), его основные параметры, наименование и (или) товарный знак (при наличии) изготовителя, наименование страны, на территории которой изготовлено устройство. Указанные сведения наносятся на устройство и указываются в прилагаемых к нему эксплуатационных документах.

Наименование и (или) товарный знак (при наличии) изготовителя, наименование и (или) обозначение устройства (тип, марка, модель) наносятся на упаковку устройства.

11. Если сведения, предусмотренные пунктом 10 настоящего технического регламента, невозможно нанести на устройство, они указываются только в прилагаемых к этому устройству эксплуатационных документах.

12. Маркировка устройства должна быть разборчивой, легкочитаемой и нанесена на устройство в месте, доступном для осмотра без разборки с применением инструмента, на русском языке и при наличии соответствующих требований в законодательстве государств-членов на государственном языке (государственных языках) государства-члена, на территории которого реализуется устройство. Единицы измерения, буквенные товарные знаки (при наличии), имена собственные, названия населенных пунктов могут приводиться на других языках.

13. Эксплуатационные документы должны содержать:

а) информацию, предусмотренную пунктом 10 настоящего технического регламента;

б) информацию о назначении устройства;

в) правила и условия монтажа устройства, его подключения к сети и другим необходимым для применения устройства по назначению источникам топливно-энергетических ресурсов, пуска, регулирования и введения в эксплуатацию (в случае, если соблюдение указанных правил и условий является необходимым для обеспечения соответствия устройства требованиям настоящего технического регламента);

г) характеристики и параметры, в том числе установленные в соответствующем приложении к настоящему техническому регламенту;

д) наименования и места нахождения изготовителя (уполномоченного изготовителем лица), импортера, информацию для связи с ними;

е) месяц и год изготовления устройства и (или) информацию о месте нанесения или способе определения этих сведений;

ж) этикетку и технический лист (в случае, если требование об их наличии установлено соответствующим приложением к настоящему техническому регламенту).

14. Содержание технических листов и этикеток, а также классы энергетической эффективности устройств устанавливаются в приложениях к настоящему техническому регламенту.

Формы этикеток и правила их оформления должны соответствовать требованиям (далее в настоящем разделе - требования), утверждаемым Советом Евразийской экономической комиссии (далее - Комиссия).

Изготовитель (уполномоченное изготовителем лицо) или импортер определяет класс энергетической эффективности устройства и его энергетическую эффективность в соответствии с требованиями.

Информация о классе энергетической эффективности и об энергетической эффективности устройства размещается изготовителем (уполномоченным изготовителем лицом), импортером на этикетке, предназначенной для маркировки демонстрационных образцов устройств, поступающих в продажу.

Изготовитель (уполномоченное изготовителем лицо), импортер обеспечивают наличие этикетки, в том числе для маркировки демонстрационных образцов устройств, поступающих в продажу, и эксплуатационных документов в соответствии с требованиями.

Продавец наносит этикетку на образец устройства в месте продаж. Этикетки должны располагаться на видном месте, быть легкочитаемыми, оформляться в соответствии с требованиями.

В случае продажи устройства дистанционным способом продавцом до заключения договора купли-продажи предоставляется потребителю информация о показателях энергетической эффективности.

Технический лист и этикетка (в случае, если требование об их наличии в отношении устройства установлено соответствующим приложением к настоящему техническому регламенту) должны включать в себя следующие сведения:

наименование и товарный знак (при наличии) изготовителя, обозначение модели;

информация о классе энергетической эффективности устройства;

показатели энергетической эффективности и их номинальные значения;

иные сведения, установленные требованиями для отдельных видов устройств.

Наличие технического листа и этикетки (в случае, если требование об их наличии в отношении устройства установлено соответствующим приложением к настоящему техническому регламенту) является обязательным условием обращения устройства на территории Союза. Технический лист и этикетка оформляются изготовителем (уполномоченным изготовителем лицом) либо импортером.

Технический лист заполняется на русском языке и в случае наличия соответствующего требования в законодательстве государства-члена на государственном языке (государственных языках) государства-члена, на территории которого реализуется устройство. Наименование и товарный знак (при наличии) изготовителя, а также иные сведения, касающиеся зарегистрированного товарного знака (при наличии) или промышленного образца, обозначение модели могут указываться с использованием букв латинского алфавита.

15. Эксплуатационные документы составляются на русском языке и при наличии соответствующих требований в законодательстве государств-членов на государственном языке (государственных языках) государства-члена, на территории которого реализуется устройство. Единицы измерения, буквенные товарные знаки (при наличии), имена собственные, названия населенных пунктов в эксплуатационных документах могут приводиться на других языках.

Эксплуатационные документы составляются в виде документов на бумажных носителях. К ним могут прилагаться эксплуатационные документы на электронных носителях. Эксплуатационные документы, за исключением технического листа и этикетки, в отношении устройства небытового назначения могут быть приложены только на электронных носителях.

Если объем сведений, указанных в пункте 13 настоящего технического регламента, позволяет, то допускается не составлять эксплуатационные документы, а соответствующие сведения размещать на устройстве или его упаковке.

VI. Обеспечение соответствия устройств требованиям технического регламента

16. Соответствие устройства требованиям настоящего технического регламента обеспечивается путем выполнения его требований.

Методы исследований (испытаний) и измерений устройства устанавливаются в стандартах, включенных в перечень международных и региональных (межгосударственных) стандартов, а в случае их отсутствия - национальных (государственных) стандартов, содержащих правила и методы исследований (испытаний) и измерений, в том числе правила отбора образцов, необходимые для применения и исполнения требований настоящего технического регламента и осуществления оценки соответствия устройства.

VII. Оценка соответствия

17. Перед выпуском в обращение на территории Союза устройство подлежит оценке соответствия требованиям настоящего технического регламента, а также требованиям иных технических регламентов Союза (технических регламентов Таможенного союза), действие которых на него распространяется.

18. Оценка соответствия устройства требованиям настоящего технического регламента проводится в соответствии с настоящим разделом и типовыми схемами оценки соответствия, утвержденными Решением Совета Евразийской экономической комиссии от 18 апреля 2018 г. N 44, в форме подтверждения соответствия.

19. При подтверждении соответствия устройства заявителями являются зарегистрированные на территории государства-члена в соответствии с его законодательством юридическое лицо или физическое лицо в качестве индивидуального предпринимателя, являющиеся изготовителем, уполномоченным изготовителем лицом, продавцом (импортером).

20. Подтверждение соответствия устройств в форме сертификации осуществляется по схемам 1с, 3с и 4с, в форме декларирования соответствия - по схемам 1д, 2д, 3д, 4д и 6д. Подтверждение соответствия устройств отдельных видов проводится в формах, предусмотренных приложением N 1 к настоящему техническому регламенту.

Выбор схемы декларирования соответствия устройств, в отношении которых подтверждение соответствия проводится в форме декларирования соответствия, осуществляется заявителем.

По решению заявителя вместо декларирования соответствия устройств, в отношении которых подтверждение соответствия проводится в форме декларирования соответствия, может быть проведена сертификация по схемам, предусмотренным настоящим техническим регламентом.

21. Сертификация устройства, выпускаемого серийно, осуществляется по схеме 1с, партии устройств - по схеме 3с, единичного устройства - по схеме 4с.

При сертификации устройства заявителем является:

для схемы 1с - изготовитель (уполномоченное изготовителем лицо);

для схем 3с и 4с - изготовитель (уполномоченное изготовителем лицо) или продавец (импортер).

22. Сертификация устройства проводится аккредитованным органом по сертификации устройства государства-члена, включенным в единый реестр органов по оценке соответствия Союза (далее - орган по сертификации).

Исследования (испытания) и измерения образцов (типовых образцов) устройства в целях сертификации проводятся в аккредитованной испытательной лаборатории (центре) (в том числе в собственной испытательной лаборатории изготовителя), включенной в единый реестр органов по оценке соответствия Союза (далее - испытательная лаборатория (центр)).

Изготовитель принимает необходимые меры для обеспечения стабильности процесса производства и соответствия изготавливаемых устройств требованиям настоящего технического регламента, а также осуществляет производственный контроль (для схемы 1с).

23. При сертификации устройства заявитель:

а) представляет в орган по сертификации заявку на проведение работ по сертификации и комплект документов, который включает в себя:

копию документа, в соответствии с которым изготовлено устройство (стандарт, стандарт организации, технические условия или иной документ) (при наличии);

копии эксплуатационных документов;

копии контракта (договора поставки) и товаросопроводительных документов, идентифицирующих партию устройств, в том числе ее размер, или единичное устройство (для схем 3с и 4с);

копию договора с изготовителем (в том числе с иностранным изготовителем), на основании которого осуществляются действия от имени этого изготовителя при оценке соответствия и выпуске в обращение продукции на территории Союза (для уполномоченного изготовителем лица) (для схемы 1с);

копию выданного органом по сертификации систем менеджмента сертификата соответствия системы менеджмента, действие которого распространяется на производство устройства и который подтверждает соответствие внедренной изготовителем системы менеджмента требованиям соответствующего стандарта (при наличии);

копию отчета о проведенном ранее анализе состояния производства устройств (акт анализа состояния производства, проведенного органами по сертификации в рамках сертификации или периодической оценки сертифицированных устройств на соответствие требованиям технических регламентов Таможенного союза "О безопасности низковольтного оборудования" (ТР ТС 004/2011) и (или) "Электромагнитная совместимость технических средств" (ТР ТС 020/2011)) в случае, если с даты проведения анализа прошло не более 3 лет;

копию протокола исследований (испытаний) образца (типового образца) устройства, проведенных в целях подтверждения соответствия его характеристик и параметров значениям, установленным в соответствующем приложении к настоящему техническому регламенту, в случае, если с даты проведения исследований (испытаний) прошло не более 5 лет и в конструкцию устройства не вносились изменения, которые могли оказать влияние на показатели энергетической эффективности (при наличии);

сведения о регистрационном или учетном (индивидуальном, идентификационном) номере заявителя, присваиваемом при государственной регистрации юридического лица или физического лица в качестве индивидуального предпринимателя в соответствии с законодательством государств-членов;

иные документы, указанные в соответствующем приложении к настоящему техническому регламенту (в случае, если требование об их наличии установлено приложением к настоящему техническому регламенту);

иные документы по выбору заявителя, представленные в качестве доказательства соответствия устройства требованиям настоящего технического регламента (при наличии);

б) заключает с органом по сертификации договор о проведении сертификации или сертификации, исследований (испытаний) и измерений (при отсутствии договора, заключенного ранее);

в) обеспечивает маркировку устройства единым знаком обращения продукции на рынке Союза после завершения процедуры сертификации;

г) осуществляет формирование и хранение после завершения процедуры сертификации комплекта следующих документов:

документы, предусмотренные подпунктом "а" настоящего пункта;

протокол (протоколы) исследований (испытаний) и измерений образцов (типовых образцов) устройства в испытательной лаборатории (центре), подтверждающих соответствие устройства требованиям настоящего технического регламента;

акт анализа состояния производства (для схемы 1с);

сертификат соответствия устройства требованиям настоящего технического регламента (далее - сертификат соответствия).

24. При сертификации устройства орган по сертификации:

а) осуществляет рассмотрение и анализ заявки и документов, предусмотренных подпунктом "а" пункта 23 настоящего технического регламента, принимает решение о проведении сертификации и информирует заявителя о своем решении;

б) проводит идентификацию устройства в соответствии с разделом III настоящего технического регламента путем установления соответствия его характеристик параметрам, установленным в соответствующем приложении к настоящему техническому регламенту и указанным в эксплуатационных документах;

в) осуществляет отбор образцов (типовых образцов) устройства у заявителя для проведения исследований (испытаний) и измерений;

г) организует проведение исследований (испытаний) и измерений образцов (типовых образцов) устройства в испытательной лаборатории (центре);

д) проводит анализ состояния производства у изготовителя (для схемы 1с);

е) обобщает результаты представленных заявителем документов, проведенных исследований (испытаний) и измерений образцов (типовых образцов) устройства, а также результаты анализа состояния производства (для схемы 1с);

ж) при положительных результатах анализа представленных заявителем документов, проведения исследований (испытаний) и измерений образцов (типовых образцов) устройства и анализа состояния производства у изготовителя (для схемы 1с) принимает решение о выдаче сертификата соответствия, оформляет сертификат соответствия согласно единой форме и правилам, утверждаемым Комиссией, и выдает сертификат соответствия заявителю;

з) вносит сведения о выданном сертификате соответствия в единый реестр выданных сертификатов соответствия и зарегистрированных деклараций о соответствии;

и) осуществляет формирование и хранение комплекта доказательственных материалов, подтверждающих соответствие устройства требованиям настоящего технического регламента;

к) проводит периодическую оценку (инспекционный контроль) сертифицированного устройства 1 раз в 12 месяцев в течение всего срока действия сертификата соответствия посредством идентификации, исследований (испытаний) и измерений образцов (типовых образцов) устройства в испытательной лаборатории (центре) и (или) анализа состояния производства (для схемы 1с).

25. Срок действия сертификата соответствия устройств, выпускаемых серийно, устанавливается с учетом сроков начала действия требований к энергетической эффективности, установленных в соответствующем приложении к настоящему техническому регламенту, но не должен превышать 5 лет.

Для партии устройств (единичного устройства) срок действия сертификата соответствия не устанавливается.

26. Декларирование соответствия устройства, выпускаемого серийно, осуществляется по схемам 1д, 3д и 6д, партии устройств (единичного устройства) - по схемам 2д и 4д.

При декларировании соответствия устройства заявителем является:

для схем 1д, 3д и 6д - изготовитель (уполномоченное изготовителем лицо);

для схем 2д и 4д - изготовитель (уполномоченное изготовителем лицо), продавец (импортер).

27. Декларирование соответствия устройства по схемам 1д и 2д осуществляется заявителем на основании собственных доказательств.

Исследования (испытания) и измерения образцов (типовых образцов) устройства проводятся по выбору заявителя в собственной испытательной лаборатории изготовителя или в испытательной лаборатории (центре).

Декларирование соответствия устройства по схемам 3д, 4д и 6д осуществляется заявителем на основании собственных доказательств и доказательств, полученных по результатам исследований (испытаний) и измерений, проведенных в испытательной лаборатории (центре).

Изготовитель:

осуществляет производственный контроль (для схем 1д, 3д и 6д);

принимает необходимые меры для того, чтобы процесс производства обеспечивал соответствие устройства требованиям настоящего технического регламента (для схем 1д и 3д);

принимает необходимые меры для обеспечения стабильности функционирования внедренной и сертифицированной системы менеджмента и условий производства для изготовления устройств, соответствующих требованиям настоящего технического регламента (для схемы 6д).

28. При декларировании соответствия устройства по схемам 1д и 2д заявитель:

а) формирует комплект документов, послуживших основанием для принятия декларации о соответствии, который включает в себя:

копию документа, в соответствии с которым изготовлено устройство (стандарт, стандарт организации, технические условия или иной документ) (при наличии);

копии эксплуатационных документов;

протокол (протоколы) исследований (испытаний) и измерений образца (типового образца) устройства, проведенных в собственной испытательной лаборатории изготовителя или в испытательной лаборатории (центре), в случае, если с даты проведения исследований (испытаний) и измерений прошло не более 5 лет и в конструкцию устройства не вносились изменения, которые могли оказать влияние на показатели энергетической эффективности;

копии контракта (договора поставки) и товаросопроводительных документов, идентифицирующих партию устройств, в том числе ее размер, или единичное устройство (для схемы 2д);

копию договора с изготовителем (в том числе с иностранным изготовителем), на основании которого осуществляются действия от имени этого изготовителя при оценке соответствия и выпуске в обращение продукции на территории Союза (для уполномоченного изготовителем лица) (для схемы 1д);

иные документы, указанные в соответствующем приложении к настоящему техническому регламенту (в случае, если требование об их наличии установлено приложением к настоящему техническому регламенту);

иные документы по выбору заявителя, послужившие основанием для принятия декларации о соответствии (при наличии);

б) проводит идентификацию устройства в соответствии с разделом III настоящего технического регламента, а также отбор образцов (типовых образцов) устройства. По поручению заявителя идентификация и отбор образцов (типовых образцов) устройства могут проводиться в органе по сертификации, либо в испытательной лаборатории (центре), либо в собственной лаборатории изготовителя;

в) обеспечивает проведение исследований (испытаний) и измерений отобранных образцов (типовых образцов) устройства в испытательной лаборатории (центре) либо в собственной испытательной лаборатории изготовителя;

г) принимает декларацию о соответствии устройства требованиям настоящего технического регламента согласно единой форме и правилам, утверждаемым Комиссией, регистрирует ее в едином реестре выданных сертификатов соответствия и зарегистрированных деклараций о соответствии;

д) обеспечивает маркировку устройства единым знаком обращения продукции на рынке Союза;

е) осуществляет формирование и хранение комплекта доказательственных материалов, послуживших основанием для принятия декларации о соответствии и подтверждающих соответствие продукции требованиям настоящего технического регламента, который включает в себя документы, указанные в подпункте "а" настоящего пункта, протоколы проведенных исследований (испытаний) и измерений и декларацию о соответствии.

29. При декларировании соответствия устройства по схемам 3д, 4д и 6д заявитель:

а) формирует комплект документов, который включает в себя:

копию документа, в соответствии с которым изготовлено устройство (стандарт, стандарт организации, технические условия или иной документ) (при наличии);

копии эксплуатационных документов;

копии контракта (договора поставки) и товаросопроводительных документов, идентифицирующих партию устройств, в том числе ее размер, или единичное устройство (для схемы 4д);

выданный органом по сертификации систем менеджмента сертификат соответствия системы менеджмента, действие которого распространяется на производство устройства и который подтверждает соответствие внедренной изготовителем системы менеджмента требованиям соответствующего стандарта (копию сертификата) (для схемы 6д);

копию протокола исследований (испытаний) образца (типового образца) устройства, проведенных в целях подтверждения соответствия его характеристик и параметров значениям, установленным в соответствующем приложении к настоящему техническому регламенту, в случае, если с даты проведения исследований (испытаний) прошло не более 5 лет и в конструкцию устройства не вносились изменения, которые могли оказать влияние на показатели энергетической эффективности;

сведения о регистрационном или учетном (индивидуальном, идентификационном) номере заявителя, присваиваемом при государственной регистрации юридического лица или физического лица в качестве индивидуального предпринимателя в соответствии с законодательством государства-члена;

иные документы, указанные в соответствующем приложении к настоящему техническому регламенту (в случае, если требование об их наличии установлено приложением к настоящему техническому регламенту);

иные документы по выбору заявителя, послужившие основанием для принятия декларации о соответствии (при наличии);

б) проводит идентификацию устройства в соответствии с разделом III настоящего технического регламента, а также отбор образцов (типовых образцов) устройства. По поручению заявителя идентификация и отбор образцов (типовых образцов) устройства могут проводиться в органе по сертификации, либо испытательной лаборатории (центре), либо в собственной испытательной лаборатории изготовителя;

в) обеспечивает проведение исследований (испытаний) и измерений отобранных образцов (типовых образцов) устройства в испытательной лаборатории (центре);

г) осуществляет производственный контроль и принимает необходимые меры для того, чтобы процесс производства обеспечивал соответствие устройства требованиям настоящего технического регламента (для схем 3д и 6д), а также для обеспечения стабильности функционирования системы менеджмента (для схемы 6д);

д) принимает декларацию о соответствии устройства требованиям настоящего технического регламента согласно единой форме и правилам, утверждаемым Комиссией, регистрирует ее в едином реестре выданных сертификатов соответствия и зарегистрированных деклараций о соответствии;

е) обеспечивает маркировку устройства единым знаком обращения продукции на рынке Союза;

ж) осуществляет формирование и хранение комплекта доказательственных материалов, послуживших основанием для принятия декларации о соответствии и подтверждающих соответствие продукции требованиям настоящего технического регламента, который включает в себя документы, указанные в подпункте "а" настоящего пункта, протокол (протоколы) проведенных исследований (испытаний) и измерений и декларацию о соответствии.

30. Декларация о соответствии подлежит регистрации в порядке, утверждаемом Комиссией.

31. Срок действия декларации о соответствии устройств, выпускаемых серийно, устанавливается с учетом сроков начала действия требований к энергетической эффективности, установленных в соответствующем приложении к настоящему техническому регламенту, но не должен превышать 5 лет.

Для партии устройств (единичного устройства) срок действия декларации о соответствии не устанавливается.

32. Комплект документов, сформированный после подтверждения соответствия устройства требованиям настоящего технического регламента, хранится у заявителя в течение следующих сроков:

а) на устройства, выпускаемые серийно, - не менее 10 лет со дня прекращения действия декларации о соответствии или сертификата соответствия;

б) на партию устройств - не менее 10 лет со дня реализации последнего устройства из партии;

в) на единичное устройство - в течение не менее 10 лет со дня реализации этого устройства.

33. Государственный контроль (надзор) за соблюдением требований настоящего технического регламента в отношении устройств осуществляется в соответствии с законодательством государств-членов.

Допустимые отклонения параметров энергетической эффективности устройств при проведении исследований (испытаний) и измерений после выпуска их в обращение на территории Союза, предусмотренные приложениями N 2 - 19 к настоящему техническому регламенту, не должны использоваться заявителями и органами по сертификации в качестве критериев при подтверждении соответствия устройств требованиям настоящего технического регламента.

VIII. Маркировка устройств единым знаком обращения продукции на рынке Союза

34. Устройство, соответствующее требованиям настоящего технического регламента, а также требованиям других технических регламентов Союза (технических регламентов Таможенного союза), действие которых на него распространяется, и прошедшее процедуру подтверждения соответствия, маркируется единым знаком обращения продукции на рынке Союза.

35. Маркировка единым знаком обращения продукции на рынке Союза осуществляется перед выпуском устройства в обращение на этом рынке.

36. Единый знак обращения продукции на рынке Союза наносится на каждое устройство любым способом, обеспечивающим четкое и ясное изображение в течение всего срока службы устройства, а также приводится в прилагаемых эксплуатационных документах.

Допускается нанесение единого знака обращения продукции на рынке Союза на упаковку устройства в случае невозможности его нанесения непосредственно на устройство.

Приложение N 1
к техническому регламенту
Евразийского экономического союза
"О требованиях к энергетической
эффективности энергопотребляющих
устройств" (ТР ЕАЭС 048/2019)

ПЕРЕЧЕНЬ ЭНЕРГОПОТРЕБЛЯЮЩИХ УСТРОЙСТВ, НА КОТОРЫЕ РАСПРОСТРАНЯЕТСЯ ДЕЙСТВИЕ ТЕХНИЧЕСКОГО РЕГЛАМЕНТА ЕВРАЗИЙСКОГО ЭКОНОМИЧЕСКОГО СОЮЗА "О ТРЕБОВАНИЯХ К ЭНЕРГЕТИЧЕСКОЙ ЭФФЕКТИВНОСТИ ЭНЕРГОПОТРЕБЛЯЮЩИХ УСТРОЙСТВ" (ТР ЕАЭС 048/2019)

Энергопотребляющие устройстваФорма подтверждения соответствия
1. Холодильные приборы, указанные в пункте 1 приложения N 2 к техническому регламенту Евразийского экономического союза "О требованиях к энергетической эффективности энергопотребляющих устройств" (ТР ЕАЭС 048/2019) (далее - технический регламент)декларирование соответствия
2. Двигатели электрические асинхронные, указанные в пункте 1 приложения N 3 к техническому регламентудекларирование соответствия
3. Телевизоры, указанные в пункте 1 приложения N 4 к техническому регламентудекларирование соответствия
4. Бытовое и офисное электрическое оборудование в режиме ожидания и режиме выключения, указанное в пункте 1 приложения N 5 к техническому регламентудекларирование соответствия
5. Бытовые стиральные машины, указанные в пункте 1 приложения N 6 к техническому регламентудекларирование соответствия
6. Бытовые посудомоечные машины, указанные в пункте 1 приложения N 7 к техническому регламентудекларирование соответствия
7. Телевизионные приставки, указанные в пункте 1 приложения N 8 к техническому регламентудекларирование соответствия
8. Лампы электрические, указанные в пункте 1 приложения N 9 к техническому регламентусертификация
9. Внешние источники питания, указанные в пункте 1 приложения N 10 к техническому регламентудекларирование соответствия
10. Циркуляционные насосы, указанные в пункте 1 приложения N 11 к техническому регламентудекларирование соответствия
11. Вентиляторы с электроприводом, указанные в пункте 1 приложения N 12 к техническому регламентудекларирование соответствия
12. Люминесцентные лампы без встроенного пускорегулирующего аппарата, газоразрядные лампы высокого давления, пускорегулирующие аппараты и светильники для таких ламп, указанные в пункте 1 приложения N 13 к техническому регламентусертификация
13. Лампы направленного света, светодиодные лампы и связанное с ними оборудование, указанные в пункте 1 приложения N 14 к техническому регламентусертификация
14. Машины сушильные барабанного типа, указанные в пункте 1 приложения N 15 к техническому регламентудекларирование соответствия
15. Пылесосы, указанные в пункте 1 приложения N 16 к техническому регламентудекларирование соответствия
16. Компьютеры и серверы, указанные в пункте 1 приложения N 17 к техническому регламентусертификация
17. Насосы для воды, указанные в пункте 1 приложения N 18 к техническому регламентудекларирование соответствия
18. Кондиционеры воздуха и комнатные вентиляторы, указанные в пункте 1 приложения N 19 к техническому регламентудекларирование соответствия

Приложение N 2
к техническому регламенту
Евразийского экономического союза
"О требованиях к энергетической
эффективности энергопотребляющих
устройств" (ТР ЕАЭС 048/2019)

ТРЕБОВАНИЯ К ЭНЕРГЕТИЧЕСКОЙ ЭФФЕКТИВНОСТИ ХОЛОДИЛЬНЫХ ПРИБОРОВ

I. Область применения

1. Настоящие Требования распространяются на выпускаемые в обращение на таможенной территории Евразийского экономического союза (далее - Союз) холодильные приборы бытового назначения (холодильники, морозильники и их комбинации), которые могут применяться в коммерческих целях (на производстве, в сфере торговли и услуг), питаются от сети переменного тока с номинальным напряжением до 250 В (включительно) и имеют полезный объем охлажденной и (или) замороженной пищевой и (или) иной продукции не более 1500 л, за исключением холодильных приборов:

которые работают от электрических батарей и (или) аккумуляторов и которые можно подключать к сети с номинальным напряжением до 250 В (включительно) с помощью внешнего (не встроенного в эти приборы) источника электрического питания (преобразователя постоянного (переменного) тока);

не требующих для своей работы электрической энергии;

изготовленных по заказу и недоступных на рынке иным потребителям (пользователям), помимо заказчиков;

применяемых в сфере торговли и услуг и имеющих электронное устройство, реагирующее на извлечение охлажденной пищевой и (или) иной продукции, с функцией автоматической передачи через сетевое соединение посредством системы дистанционного управления информации для ведения учета;

функцией которых является не хранение охлажденной и (или) замороженной пищевой и (или) иной продукции, а только охлаждение напитков (диспенсеры охлажденных напитков) или получение и хранение льда (ледоделательные машины).

II. Основные понятия

2. Для целей применения настоящих Требований используются понятия, которые означают следующее:

"быстрая заморозка" - реверсивная (отключаемая) функция, при реализации которой пользователем в соответствии с инструкцией изготовителя понижается температура морозильника или морозильного отделения для обеспечения более быстрого замораживания незамороженной пищевой продукции;

"встраиваемый холодильный прибор" - стационарный холодильный прибор, предназначенный для установки в мебель, нишу стены или иное специально приспособленное место;

"другое отделение" - отделение, отличное от отделения для хранения вина, и предназначенное для хранения конкретных пищевых продуктов при температуре выше плюс 14 °C;

"камера для хранения замороженной пищевой продукции" - камера, имеющая одно или несколько отделений для хранения замороженной пищевой продукции;

"камера для хранения замороженной пищевой продукции без инееобразования" - камера для хранения замороженной пищевой продукции, все отделения которой размораживаются автоматически с автоматическим удалением талой воды и которая охлаждается системой без инееобразования;

"морозильник" - холодильный прибор, имеющий одно или несколько отделений для замораживания пищевой продукции от температуры окружающей среды до температуры минус 18 °C и для хранения замороженной пищевой продукции в условиях, соответствующих режиму "***";

"морозильник без инееобразования" - морозильник, все отделения которого размораживаются автоматически с автоматическим удалением талой воды и как минимум одно отделение которого охлаждается системой без инееобразования;

"морозильное отделение", "отделение с маркировкой "****" - отделение для замораживания пищевой продукции до температуры не выше минус 18 °C и хранения замороженной пищевой продукции в условиях, соответствующих режиму "***" (внутри отделения допускаются зоны и (или) отделения с маркировкой "**");

"общий объем брутто" - объем, ограниченный внутренними перегородками холодильного прибора или отделения с наружной дверью, без внутренних комплектующих принадлежностей при закрытых дверях или крышках прибора;

"отделение для охлажденной пищевой продукции" - отделение для хранения скоропортящейся пищевой продукции;

"отделение для получения льда" - низкотемпературное отделение для получения и хранения льда;

"отделение для хранения вина" - отделение, созданное непосредственно для хранения вина и имеющее постоянную температуру хранения в диапазоне от плюс 5 °C до плюс 20 °C, изменяемую с течением времени менее, чем на 0,5 K для каждого заявленного значения температуры окружающей среды соответствующего климатического класса для бытовых холодильных приборов, активный или пассивный контроль влажности отделения в диапазоне от 50% до 80% и конструкцию, уменьшающую распространение вибрации от компрессора холодильника или от любого другого внешнего источника;

"отделение для хранения замороженной пищевой продукции" - низкотемпературное отделение для хранения замороженной пищевой продукции;

"отделение для хранения свежей пищевой продукции" - отделение для хранения незамороженной пищевой продукции, которое может быть разделено на несколько секций;

"отделение с маркировкой "*" - отделение для хранения замороженной пищевой продукции, температура в котором не выше минус 6 °C;

"отделение с маркировкой "**" - отделение для хранения замороженной пищевой продукции, температура в котором не выше минус 12 °C;

"отделение с маркировкой "***" - отделение для хранения замороженной пищевой продукции, температура в котором не выше минус 18 °C;

"отделение с умеренной температурой" - отделение для хранения пищевой продукции или напитков при более высокой температуре, чем в отделении для хранения свежей пищевой продукции;

"полезная площадь хранения" - сумма площадей горизонтальных поверхностей для хранения пищевой продукции в пределах полезного объема, включая полки двери и низ каждого отделения;

"полезный объем" - разность между общим объемом брутто каждого отделения и объемом элементов и пространства, не используемых для хранения пищевой продукции;

"полка" - горизонтальная поверхность (решетка, перегородка и т.д.), на которой может быть размещена пищевая продукция и которая состоит из одного или нескольких закрепленных или съемных элементов, расположенных рядом друг с другом;

"потребление энергии" - параметр, характеризующий величину энергии, потребляемой холодильным прибором в течение 24 часов;

"секция с маркировкой "**" - секция морозильного отделения или камеры с маркировкой "***", которая не имеет отдельной двери или крышки и температура в которой не выше минус 12 °C;

"система без инееобразования" - система автоматического пуска, предупреждающая постоянное образование инея и обеспечивающая охлаждение путем принудительной циркуляции воздуха с автоматическим размораживанием испарителя и удалением талой воды;

"холодильник" - холодильный прибор, предназначенный для хранения пищевой продукции, одно или несколько отделений которого предназначены для размещения свежей пищевой продукции;

"холодильник без инееобразования" - холодильный прибор с автоматической разморозкой и удалением талой воды из всех отделений, имеющий не менее 2 отделений, как минимум одно из которых охлаждается системой без инееобразования и как минимум одно из которых предназначено для хранения замороженной пищевой продукции (даже при наличии системы без инееобразования холодильник, имеющий одно отделение, не соответствует этому определению);

"холодильник-морозильник" - холодильник, имеющий не менее 2 отделений, как минимум одно из которых предназначено для хранения свежей пищевой продукции (отделение для хранения свежей пищевой продукции) и как минимум одно (морозильное отделение) - для замораживания свежей пищевой продукции и хранения замороженной пищевой продукции в условиях, соответствующих режиму "***";

"холодильник-морозильник без инееобразования" - холодильник, в котором как минимум 1 отделение охлаждается системой без инееобразования с автоматической разморозкой и удалением талой воды из него;

"холодильник-охладитель" - холодильник, в котором имеется хотя бы 1 отделение для хранения свежей пищевой продукции и отделение для охлаждения, но отсутствуют отделения для хранения замороженной пищевой продукции;

"холодильный прибор" - теплоизолированная камера заводского изготовления с 1 или несколькими отделениями, охлаждение которых обеспечивается 1 или несколькими холодильными агрегатами, естественной конвекцией и (или) системой без инееобразования;

"холодильный прибор абсорбционного типа" - холодильный прибор, хладообразование в котором осуществляется способом абсорбции с использованием тепла как источника энергии;

"холодильный прибор для хранения вина", "шкаф для вина", "винный погреб" - холодильный прибор, состоящий из одного или нескольких отделений для хранения вина и не имеющий каких-либо других отделений;

"холодильный прибор компрессионного типа" - холодильный прибор, хладообразование в котором осуществляется компрессионным холодильным агрегатом;

"холодильный прибор типа "ларь" - холодильный прибор, доступ в отделение (отделения) которого осуществляется сверху;

"холодильный прибор типа "шкаф" - холодильный прибор, доступ в отделение (отделения) которого осуществляется спереди;

"эквивалентный холодильный прибор" - модель холодильного прибора с одинаковыми общим объемом брутто и полезным объемом, имеющая такие же технические, производительные и эксплуатационные характеристики и типы отделений, как у другого холодильного прибора того же изготовителя, выпускаемого в обращение на таможенной территории Союза под другим торговым обозначением.

III. Требования к энергетической эффективности холодильных приборов и особенности определения показателей энергетической эффективности

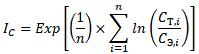
3. В отношении холодильных приборов проводятся соответствующие испытания и определяются значения индексов энергетической эффективности (EEI).

EEI холодильного прибора рассчитывается по следующей формуле:

,

где:

- годовое потребление энергии (с округлением до 2 десятичных знаков);

- стандартное годовое потребление энергии.

рассчитывается в кВт·ч/год по следующей формуле:

,

где - потребление энергии, рассчитанное в кВт·ч за 24 ч (с округлением до 3 десятичных знаков).

рассчитывается в кВт·ч по следующей формуле (с округлением до 2 десятичных знаков):

,

где:

- эквивалентный объем холодильного прибора (в литрах);

CH - величина, равная 50 кВт·ч/год для холодильных приборов, имеющих полезный объем отделения для охлажденной пищевой продукции не менее 15 л;

M и N - поправочные коэффициенты, значения которых для холодильных приборов различных типов приведены в таблице 1 (независимо от количества дверей или выдвижных ящиков).

Таблица 1

Классификация холодильных приборов и соответствующая конструкция отделения

Описание холодильного прибораНаличие и сочетание отделений (камер) в холодильном приборе <1>Классификация холодильных приборов значения M; N
Номинальная температура хранения (TC при расчете EEI) (°C)+14 и выше (расчетная T)+12+12+500-6-12-18- 18
Тип отделенийДругоедля хранения вина <2>винный погреб <3>для хранения свежей пищевой продукции <4>для охлаждения <5>для получения льда <6>"*" <7>"**" <8>"***" <9>"****" <10>
Категория оборудованияКонструкция отделения
Холодильник---+------тип 1
0,233; 245
Холодильный прибор для хранения вина (шкаф для вина, винный погреб)+/-+/-+/-+------тип 2
0,233; 245
+/-+/-+-------
-+--------
Холодильник-охладитель и холодильник без отделений с маркировкой+/-+/-+/-+++/-----тип 3
0,233; 245
+/-+/-+/-++/-+----
Холодильник с отделениями с маркировкой "*"+/-+/-+/-++/-+/-+---тип 4
0,643; 191
Холодильник с отделениями с маркировкой "**"+/-+/-+/-++/-+/-+/-+--тип 5
0,450; 245
Холодильник с отделениями с маркировкой "***"+/-+/-+/-++/-+/-+/-+/-+-тип 6
0,777; 303
Холодильник-морозильник+/-+/-+/-++/-+/-+/-+/-+/-+тип 7
0,777; 303
Холодильный прибор типа "шкаф"-------+/-+ <11>+тип 8
0,539; 315
Холодильный прибор типа "ларь"-------+/--+тип 9
0,472; 286
Холодильные приборы универсального и прочего+/-+/-+/-+/-+/-+/-+/-+/-+/-+/-тип 10 <12>
применения           

<1> "+" - имеется, "-" - отсутствует; "+/-" - по усмотрению изготовителя.

<2> Температура хранения в камере или отделении (TC) от +5 °C до +20 °C.

<3> TC от +8 °C до +14 °C.

<4> TC от 0 °C до +8 °C, средняя TC +4 °C.

<5> TC от -2 °C до +3 °C.

<6> TC от 0 °C и ниже.

<7> Отделение с маркировкой "*".

<8> Отделение с маркировкой "**".

<9> Отделение с маркировкой "***".

<10> Отделение с маркировкой "****"

<11> В том числе шкафы для хранения замороженной пищевой продукции с маркировкой "***".

<12> Поправочные коэффициенты M и N для типа 10 выбираются из значений, указанных для типов 1 - 9, исходя из самой низкой температуры хранения (типы 7 - 9) или наличия отделений с маркировкой максимальным количеством "звездочек" (типы 1 - 6), установленной изготовителем.

Холодильный прибор должен одновременно поддерживать требуемую температуру хранения в различных отделениях при допустимых отклонениях (во время цикла оттаивания), указанных в таблице 2 для различных типов холодильных приборов и для соответствующих климатических классов.

Многофункциональные приборы и (или) отделения должны быть способны поддерживать температуру хранения различных типов отделений, в которых эти температуры могут устанавливаться пользователем в соответствии с инструкциями изготовителя.

Таблица 2

Температура хранения (°C)

Другое отделение> +14
Отделение для хранения вина+5 <= <= +20
Отделение с умеренной температурой+8 <= <= +14
Отделение для хранения свежих пищевых продуктов, , , 0 <= , ,
<= +8
<= +4
Отделение для скоропортящихся пищевых продуктов-2 <= <= +3
Отделение с маркировкой "одна звездочка"t*<= -6
Отделение с маркировкой "две звездочки"t**<= -
Морозильник и отделение (камера) с маркировкой "три звездочки"t***<= -
Примечание:
- температура хранения другого отделения;
- температура хранения отделения для хранения вина с погрешностью 0,5 K;
- температура хранения отделения с умеренной температурой;
, , - температура хранения отделения для свежих пищевых продуктов;
- средняя температура хранения отделения для свежих пищевых продуктов;
- мгновенная температура хранения отделения для
скоропортящихся пищевых продуктов;
t*, t**, t*** - максимальная температура отделений для хранения замороженных пищевых продуктов, температура хранения отделения для получения льда и отделения с маркировкой "0 звездочек" ниже 0 °C.

рассчитывается по формуле:

,

где:

n - количество отделений;

- внутренний полезный объем отделения (в литрах);

- номинальная температура отделения (в °C);

- термодинамический поправочный коэффициент для отделения (камеры), равный отношению разности между номинальной температурой отделения TC и температурой окружающей среды при стандартных условиях испытания (25 °C) и разности таких температур в отделении для хранения свежей пищевой продукции при температуре 5 °C, значения приведены в таблице 3;

, CC и BI - поправочные коэффициенты, значения которых приведены в таблице 4.

Таблица 3

Термодинамические поправочные коэффициенты для отделений холодильного прибора

Вид отделенияНоминальная температура (°C)(25 - ) / 20
Другое отделениеРасчетная температура
Отделение с умеренной температурой/Отделение для хранения вина+120,65
Отделение для хранения свежих пищевых продуктов+51,00
Отделение для скоропортящихся пищевых продуктов01,25
Отделение для получения льда и отделение с маркировкой "0 звездочек"01,25
Отделение с маркировкой "одна звездочка"-61,55
Отделение с маркировкой "две звездочки"-121,85
Отделение с маркировкой "три звездочки"-182,15
Морозильное отделение (Отделение с маркировкой "четыре звездочки")-182,15
Примечание 1
Для многофункциональных отделений термодинамический поправочный коэффициент определяют при номинальной температуре (таблица 1) самого холодного отделения, установленной пользователем для постоянной эксплуатации в соответствии с инструкциями изготовителя.
Примечание 2
Для какой-либо секции с маркировкой "две звездочки" (в морозильнике) термодинамический поправочный коэффициент определяется при TC = -12 °C.
Примечание 3
Для других отделений термодинамический поправочный коэффициент определяют при самой низкой расчетной температуре, установленной пользователем для постоянной эксплуатации в соответствии с инструкциями изготовителя.

Таблица 4

Значения поправочных коэффициентов для различных холодильных приборов и различных отделений холодильных приборов

Поправочный коэффициентЗначениеПрименение коэффициента
FF
(без инееобразования)
1,2отделения (камеры) для хранения замороженной пищевой продукции холодильного прибора без инееобразования
1иные холодильные приборы и отделения (камеры) холодильных приборов
CC
(климатическое исполнение)
1,2холодильные приборы, предназначенные для эксплуатации в тропическом климате при средней температуре окружающей среды от +16 °C до +43 °C (исполнение T)
1,1холодильные приборы, предназначенные для эксплуатации в субтропическом климате при средней температуре окружающей среды от +16 °C до +38 °C (исполнение ST)
1холодильные приборы, предназначенные для эксплуатации в умеренно холодном и умеренном климате со средней температурой окружающей среды от +10 °C до +32 °C (исполнение SN) и от +16 °C до +32 °C (исполнение N) соответственно
BI
(встроенные)
1,2встраиваемые холодильные приборы шириной не более 580 мм
1иные холодильные приборы

4. Холодильные приборы (за исключением шкафов для вина, холодильных приборов, имеющих полезный объем менее 10 л) должны иметь значение индекса энергетической эффективности (EEI) менее 42 для холодильных приборов компрессионного типа и менее 110 для холодильных приборов абсорбционного типов.

5. Холодильный прибор с функцией быстрой заморозки или с аналогичной функцией, реализуемой посредством модификации настроек управления в морозильниках и морозильных отделениях, которую пользователь однажды привел в действие в соответствии с эксплуатационными документами, должен автоматически возвращаться к прежним нормальным температурным условиям хранения не позднее чем через 72 часа.

Указанное требование не применяется к холодильникам-морозильникам с одним термостатом и одним компрессором, которые оснащены электромеханической системой управления.

Холодильники-морозильники с одним термостатом и одним компрессором, которые оснащены электронной панелью управления и согласно эксплуатационным документам могут использоваться при температуре окружающей среды ниже +16 °C, должны иметь специальную настройку переключателя на функцию "зимний режим" или аналогичную функцию, которая автоматически устанавливает правильную температуру хранения замороженной пищевой продукции в соответствии с окружающей температурой.

Холодильные приборы с полезным объемом менее 10 л должны автоматически переходить в рабочий режим с потребляемой мощностью 0,00 Вт не позднее чем через 1 час работы в пустом состоянии. Наличие выключателя, отсоединяющего прибор от сети питания, является недостаточным условием для выполнения данного требования.

6. Испытания (измерения) холодильных приборов проводятся с учетом следующих особенностей:

а) если в составе холодильного прибора имеются антиконденсационные нагреватели, которые конечный пользователь может включать и выключать, при проведении испытаний (измерений) потребления энергии они должны быть включены и при наличии регулировки установлены на максимальный нагрев;

б) если в составе холодильного прибора имеются приборы, доступ к которым обеспечивается через специальную дверцу (например, автомат для подачи льда или охлажденных напитков) и которые конечный пользователь может включать и выключать, при проведении испытаний (измерений) потребления энергии они должны быть включены, но не должны функционировать;

в) для универсальных холодильных приборов и отделений температура хранения во время испытания (измерения) потребления энергии должна соответствовать номинальной температуре отделения самого холодного типа, имеющейся в составе данного холодильного прибора;

г) потребление энергии определяется в самой холодной конфигурации в соответствии с эксплуатационными документами для постоянного нормального использования;

д) при проведении испытаний (измерений) определяются следующие параметры:

габаритные размеры (с точностью до мм);

общий объем брутто (с округлением до целого числа в куб. дм или л);

полезный объем (полезные объемы) и полный полезный объем (полные полезные объемы) для хранения (с округлением до целого числа в куб. дм или л);

тип оттаивания;

температура хранения;

потребление энергии (кВт·ч/24 ч) (с округлением до 3 десятичных знаков);

производительность замораживания (в кг в 24 часа);

потребляемая мощность (Вт) (с округлением до 2 десятичных знаков);

влажность отделения для хранения вина (%) (с округлением до целого числа).

7. Прилагаемые к холодильным приборам эксплуатационные документы, предусмотренные пунктом 13 технического регламента Евразийского экономического союза "О требованиях к энергетической эффективности энергопотребляющих устройств" (ТР ЕАЭС 048/2019) (далее - технический регламент), должны содержать следующие сведения об их характеристиках и параметрах:

а) информация о комбинации секций, выдвижных ящиков и полок, обеспечивающей наиболее эффективное потребление энергии;

б) информация о способах обеспечения минимального потребления энергии;

в) для холодильного прибора для хранения вина - сведения о его назначении исключительно для хранения вина.

IV. Допустимые отклонения параметров энергетической эффективности холодильных приборов при проведении испытаний (измерений) после выпуска их в обращение

8. В случае проведения испытаний (измерений) холодильных приборов после выпуска их в обращение на таможенной территории Союза проводятся испытания (измерения) одного образца каждой модели холодильного прибора.

Образец холодильного прибора считается соответствующим настоящим Требованиям, если полученные значения параметров и характеристики холодильного прибора соответствуют разделу III настоящих Требований и номинальным значениям, заявленным изготовителем, в пределах допустимых отклонений, указанных в таблице 5.

Таблица 5

Допустимые отклонения

Измеряемый параметрДопустимое отклонение
Общий объем бруттозначение не должно быть меньше номинального значения более чем на 3% или на 1 л в зависимости от того, какая из этих величин больше
Полезный объемзначение не должно быть меньше номинального значения более чем на 3% или на 1 л в зависимости от того, какая из этих величин больше (если объемы отделения с умеренной температурой и отделения для хранения свежей пищевой продукции пользователь может изменять друг относительно друга, то измерения проводятся в конфигурации, когда отделение с умеренной температурой отрегулировано до минимального объема)
Замораживающая способностьзначение не должно быть меньше номинального значения более чем на 10%
Потребление энергии (E24h)значение не должно превышать номинальное значение E24h более чем на 10%
Потребление энергии холодильных приборов с полезным объемом менее 10 лзначение не должно превышать предельные значения, указанные в абзаце четвертом пункта 5 настоящих Требований, более чем на 0,10 Вт со степенью достоверности 95%
Относительная влажность в шкафу для виназначение не должно превышать номинальное значение более чем на 10% в любом направлении, т.е. +/- 10%.
Корректированный уровень звуковой мощностиизмеренное значение не должно быть больше заявленного значения

Если полученные значения параметров и характеристик образца (типового образца) холодильного прибора не соответствуют значениям с учетом допустимых отклонений, указанных в таблице 5, испытания следует провести в отношении 3 дополнительных образцов холодильного прибора.

Средние значения параметров и характеристики 3 дополнительных образцов холодильного прибора должны соответствовать значениям, указанным в таблице 3.

В иных случаях данную модель и другие эквивалентные холодильные приборы следует рассматривать как не соответствующие требованиям технического регламента.

V. Содержание этикетки и технического листа холодильных приборов

9. Этикетка холодильных приборов должна содержать следующие сведения:

I. наименование или товарный знак (при наличии) изготовителя;

II. обозначение модели;

III. класс энергетической эффективности;

IV. годовое потребление энергии (кВт·ч/год) (с округлением до целого числа);

V. полезный суммарный объем отделения для охлажденных пищевых продуктов с температурой выше -6 °C (с округлением до целого числа);

VI. полезный суммарный объем отделения для хранения замороженных пищевых продуктов с температурой не более -6 °C (с округлением до целого числа). Если бытовой холодильный прибор не имеет морозильного отсека, то графа оставляется пустой.

Если холодильный прибор используется для хранения вина, то пункты V и VI видоизменяются и указывается количество стандартных бутылок, которые можно поместить в прибор в соответствии с инструкциями изготовителя.

VII. корректированный уровень звуковой мощности, выраженный в дБ (A) относительно 1 пВт (с округлением до целого числа) (указывается в дБ).

10. Технический лист, включаемый в состав эксплуатационных документов холодильных приборов, должен содержать следующие сведения:

а) наименование или товарный знак (при наличии) изготовителя;

б) обозначение модели;

в) категория модели в соответствии с классификацией в таблице 1;

г) класс энергетической эффективности;

д) годовое потребление энергии (кВт·ч/год) (с округлением до целого числа) в виде следующей записи: "Потребление энергии, основанное на результатах стандартного испытания, проводимого в течение 24 часов, составляет "XYZ" кВт·ч/год. Фактическое потребление энергии зависит от того, как будет использоваться холодильный прибор, и где он установлен";

е) полезный объем каждого отделения и количество "звездочек" в маркировке (при наличии);

ж) расчетная температура "других отделений". Для отделений для хранения вина указывается самая низкая температура хранения, заранее установленная в отделении либо устанавливаемая самим пользователем в соответствии с руководством по эксплуатации;

з) запись "без инееобразования" для соответствующего(их) отделения(ий);

и) номинальное время повышения температуры пищевых продуктов в морозильном отделении (в часах);

к) замораживающая способность (в кг в сутки);

л) климатический класс в виде следующей записи: "Климатический класс: W [климатический класс]. Этот прибор предназначен для использования при температуре окружающей среды от "X" [нижняя температура] °C до "X" [верхняя температура] °C";

м) корректированный уровень звуковой мощности, выраженный в дБ (A) относительно 1 пВт (с округлением до целого числа) (указывается в дБ).

н) для встраиваемого холодильного прибора делается соответствующая запись;

о) для шкафа для вина следующая запись: "Этот прибор предназначен исключительно для хранения вина". Эта запись не указывается в отношении холодильных приборов, которые специально не предназначены для хранения вина, но могут использоваться для этой цели, и в отношении холодильных приборов, в которых имеется отделение для хранения вина, объединенное с другим отделением.

11. В одном техническом листе допустимо указывать сведения о нескольких холодильных приборах одного изготовителя.

12. Информация, содержащаяся в техническом листе холодильных приборов, может предоставляться в виде цветной или черно-белой копии этикетки. В такой ситуации, также должна быть представлена информация, указанная в пункте 10 и не отображенная на этикетке.

VI. Класс энергетической эффективности холодильных приборов

13. Для обозначения энергетической эффективности холодильных приборов в зависимости от индекса энергетической эффективности установлено 7 классов (по убыванию), приведенных в таблице 6.

Таблица 6

Класс энергетической эффективностиИндекс энергетической эффективности
A +++EEI < 22
A ++22 <= EEI < 33
A +33 <= EEI < 42
A42 <= EEI < 55
B55 <= EEI < 75
C75 <= EEI < 95
D (наименее эффективный)95 <= EEI < 110

Приложение N 3
к техническому регламенту
Евразийского экономического союза
"О требованиях к энергетической
эффективности энергопотребляющих
устройств" (ТР ЕАЭС 048/2019)

ТРЕБОВАНИЯ К ЭНЕРГЕТИЧЕСКОЙ ЭФФЕКТИВНОСТИ ДВИГАТЕЛЕЙ ЭЛЕКТРИЧЕСКИХ АСИНХРОННЫХ

(в ред. Решений Совета Евразийской экономической комиссии от 29.01.2021 N 6, от 15.04.2022 N 50от 08.07.2025 N 54)

I. Область применения

1. Настоящие Требования распространяются на выпускаемые в обращение на таможенной территории Евразийского экономического союза односкоростные трехфазные двигатели электрические асинхронные (индукционные) (в том числе встроенные в другие изделия) с короткозамкнутым ротором, количеством полюсов от 2 до 6, номинальным напряжением до 1000 В, номинальной частотой 50 или 50/60 Гц и номинальной мощностью от 0,75 до 375 кВт, предназначенные для работы в непрерывном режиме (далее - двигатели), за исключением двигателей:

предназначенных для работы при полном погружении в жидкость;

полностью встроенных в другие изделия (например, редукторы, насосы, вентиляторы или компрессоры) таким образом, что потребление ими энергии не может быть проверено отдельно от этого изделия;

предназначенных для работы в различных тормозных режимах (например, двигатели с функцией рекуперативного торможения);

спроектированных исключительно для применения:

на высоте, превышающей 4000 м над уровнем моря;

при температуре окружающей среды выше 60 °C;

при максимальной рабочей температуре выше 400 °C;

при температуре окружающей среды ниже минус 30 °C для любого двигателя или ниже 0 °C для двигателя с водяным охлаждением;

при температуре охлаждающей жидкости на входе в двигатель ниже 0 °C или выше 32 °C;

в потенциально взрывоопасных средах.

II. Основные понятия

2. Для целей применения настоящих Требований используются понятия, которые означают следующее:

"двигатель с короткозамкнутым ротором" - двигатель без подвижных контактов, коллекторов, контактных колец или электрических контактов, присоединенных к ротору;

"допустимое отклонение" - максимально допустимое отклонение значений параметров двигателя, полученных в результате испытаний в сравнении с значениями, указанными на паспортной табличке или в эксплуатационных документах;

"номинальный коэффициент полезного действия " - коэффициент полезного действия, значение которого установлено изготовителем и равно значению нормированного коэффициента полезного действия или превышает его;

"нормированный коэффициент полезного действия " - коэффициент полезного действия, значение которого обеспечивает соответствие двигателя определенному классу энергетической эффективности;

"работа в непрерывном режиме" - способность двигателя со встроенной системой охлаждения работать при номинальной нагрузке без перерыва, не достигая номинальной максимальной температуры;

"средний коэффициент полезного действия" - коэффициент полезного действия, имеющий среднее значение для совокупности двигателей одинаковой конструкции и с одинаковыми техническими характеристиками;

"тормозной двигатель" - двигатель с электромеханическим устройством торможения, непосредственно (без муфтовых соединений) воздействующим на вал двигателя;

"частотный преобразователь для регулирования скорости вращения" - преобразователь электрической энергии, который непрерывно контролирует подаваемую на двигатель электрическую энергию с целью преобразования ее в механическую в соответствии с задаваемой скоростной характеристикой крутящего момента нагрузки путем изменения частоты переменного тока питающей сети.

III. Требования к энергетической эффективности двигателей и особенности определения показателей энергетической эффективности

3. С 1 сентября 2028 г. значение нормированного коэффициента полезного действия не должно быть меньше значений, установленных для класса энергетической эффективности IE2 в таблице 1. (в ред. Решений Совета Евразийской экономической комиссии от 29.01.2021 N 6, от 15.04.2022 N 50от 08.07.2025 N 54)

Таблица 1

Значения нормированного коэффициента полезного действия для класса энергетической эффективности IE2 при питании двигателей от сети переменного тока частотой 50 Гц

Номинальная мощность, кВтКоличество полюсов
246
0,7577,479,675,9
1,179,681,478,1
1,581,382,879,8
2,283,284,381,8
384,685,583,3
485,886,684,6
5,587,087,786,0
7,588,188,787,2
1189,489,888,7
1590,390,689,7
18,590,991,290,4
2291,391,690,9
3092,092,391,7
3792,592,792,2
4592,993,192,7
5593,293,593,1
7593,894,093,7
9094,194,294,0
11094,394,594,3
13294,694,794,6
16094,894,994,8
201 - 37595,095,195,0

4. С 1 сентября 2030 г. значение нормированного коэффициента полезного действия для двигателей с номинальной мощностью от 7,5 до 375 кВт не должно быть меньше значений, установленных для класса энергетической эффективности IE3 в таблице 2, или должно соответствовать классу энергетической эффективности IE2 для двигателей, оборудованных частотными преобразователями для регулирования скорости вращения. (в ред. Решений Совета Евразийской экономической комиссии от 29.01.2021 N 6, от 15.04.2022 N 50от 08.07.2025 N 54)

Таблица 2

Значения нормированного коэффициента полезного действия для класса энергетической эффективности IE3 при питании двигателей от сети переменного тока частотой 50 Гц

Номинальная мощность, кВтКоличество полюсов
246
0,7580,782,578,9
1,182,784,181,0
1,584,285,382,5
2,285,986,784,3
387,187,785,6
488,188,686,8
5,589,289,688,0
7,590,190,489,1
1191,291,490,3
1591,992,191,2
18,592,492,691,7
2292,793,092,2
3093,393,692,9
3793,793,993,3
4594,094,293,7
5594,394,694,1
7594,795,094,6
9095,095,294,9
11095,295,495,1
13295,495,695,4
16095,695,895,6
201 - 37595,896,095,8

5. С 1 сентября 2032 г. значение нормированного коэффициента полезного действия для двигателей с номинальной мощностью от 0,75 до 375 кВт не должно быть меньше значений, установленных для класса энергетической эффективности IE3, или должно соответствовать классу энергетической эффективности IE2 для двигателей, оборудованных частотными преобразователями для регулирования скорости вращения. (в ред. Решений Совета Евразийской экономической комиссии от 29.01.2021 N 6, от 15.04.2022 N 50от 08.07.2025 N 54)

6. Значение нормированного коэффициента полезного действия определяется при номинальной выходной мощности (), номинальном напряжении () и номинальной частоте (), установленных изготовителем.

7. Прилагаемые к двигателям эксплуатационные документы, предусмотренные пунктом 13 технического регламента Евразийского экономического союза "О требованиях к энергетической эффективности энергопотребляющих устройств" (ТР ЕАЭС 048/2019) (далее - технический регламент), должны содержать следующие сведения об их характеристиках и параметрах:

а) номинальный коэффициент полезного действия при полной мощности, 75% и 50% номинальной нагрузки и напряжения ();

б) класс энергетической эффективности (IE2 или IE3);

в) количество полюсов;

г) номинальная выходная мощность или диапазон значений номинальной выходной мощности (кВт);

д) номинальная частота (Гц);

е) номинальное напряжение или диапазон значений номинального напряжения двигателя (В);

ж) номинальная скорость или диапазон значений номинальной скорости вращения (об./мин.);

з) информация о разборке, переработке и утилизации двигателей;

и) информация об условиях эксплуатации, для применения в которых двигатель спроектирован:

высота над уровнем моря, температура внешней среды (в том числе для двигателей с водяным охлаждением);

температура охлаждающей жидкости на входе в двигатель;

максимальная рабочая температура двигателя;

потенциально взрывоопасная среда.

8. Сведения, указанные в подпунктах "а" и "б" пункта 7 настоящих Требований, а также год производства двигателя наносятся на паспортную табличку двигателя либо рядом с ней.

В случае, если размер паспортной таблички двигателя не позволяет нанести указанные сведения, на паспортную табличку наносится только информация о номинальном коэффициенте полезного действия при полной номинальной нагрузке и номинальном напряжении ().

Информация по обязательному использованию частотного преобразователя регулирования скорости вращения совместно с электродвигателем меньшего класса энергоэффективности в соответствии с пунктами 4 и 5 настоящих Требованиях должна быть указана в технической документации и (или) на паспортной табличке. В технической документации должна быть приведена информация о любых конкретных мерах безопасности, которые должны предприниматься, если двигатель комплектуется или используется совместно с частотным преобразователем регулирования скорости вращения.

IV. Допустимые отклонения параметров энергетической эффективности двигателей при проведении испытаний (измерений) после выпуска их в обращение

9. В случае проведения испытаний (измерений) двигателей после выпуска их в обращение на таможенной территории Евразийского экономического союза проводятся испытания (измерения) одного образца каждой модели двигателя.

Образец двигателя считается соответствующим настоящим Требованиям, если полученные значения потерь не превышают значения потерь , соответствующие установленным в таблицах 1 и 2 настоящих Требований значениям нормированного коэффициента полезного действия , более чем на 15% (для двигателей с номинальной мощностью от 0,75 до 150 кВт) и более чем на 10% (для двигателей с номинальной мощностью от 150 до 375 кВт).

Если полученные значения не соответствуют указанным значениям, испытания (измерения) следует провести в отношении 3 дополнительных образцов двигателя данной модели. Модель двигателя считается соответствующей настоящим Требованиям, если средние значения потерь для 3 испытанных двигателей не превышают значений, указанных в абзаце втором настоящего пункта.

В иных случаях данную модель двигателя следует рассматривать как не соответствующую требованиям технического регламента.

Приложение N 4
к техническому регламенту
Евразийского экономического союза
"О требованиях к энергетической
эффективности энергопотребляющих
устройств" (ТР ЕАЭС 048/2019)

ТРЕБОВАНИЯ К ЭНЕРГЕТИЧЕСКОЙ ЭФФЕКТИВНОСТИ ТЕЛЕВИЗОРОВ

I. Область применения

1. Настоящие Требования распространяются на выпускаемые в обращение на таможенной территории Евразийского экономического союза (далее - Союз) телевизоры, питающиеся от электрической сети с номинальным напряжением до 250 В (включительно) и предназначенные для эксплуатации в жилых и офисных помещениях.

II. Основные понятия

2. Для целей применения настоящих Требований используются понятия, которые означают следующее:

"домашний режим" - состояние телевизора, рекомендованное изготовителем для домашнего применения;

"меню с предустановленными настройками режимов изображения" - набор настроек телевизора, предварительно установленных изготовителем, из которого пользователь после включения телевизора может выбрать настройку режима изображения;

"полное HD-разрешение" - разрешение экрана с общим количеством физических пикселей не менее 1920 x 1080;

"рабочий режим" - состояние телевизора, при котором он подключен к источнику питания и воспроизводит звук и изображение;

"режим выключения" - состояние телевизора, при котором он подключен к источнику питания, не находится в рабочем режиме или режиме ожидания и обеспечивает выполнение требований к электромагнитной совместимости (независимо от наличия или отсутствия функции индикации режима выключения);

"режим ожидания" - состояние телевизора, при котором он подключен к источнику питания и неограниченное время осуществляет функцию реактивации (в том числе с индикацией способности (готовности) к реактивации) и (или) функцию информирования или отображения состояния;

"телевизионный монитор" - телевизор со встроенным экраном, предназначенный для воспроизведения аудиовизуальных сигналов, передающихся от одного или нескольких внешних устройств, соединенных через проводной (RCA, SCART, HDMI и др.) и (или) беспроводной стандартный интерфейс (за исключением нестандартных видеосигналов DVI и SDI) передачи аудиовизуальных сигналов, и не имеющий встроенных средств для приема и воспроизведения сигналов теле- и радиовещания;

"телевизионный приемник" - телевизор, предназначенный для приема и воспроизведения аудиовизуальных сигналов, выпускаемый в обращение на таможенной территории Союза в виде аппарата или системы и состоящий из дисплея и одного или нескольких тюнеров (приемников), а также при необходимости дополнительных устройств с функциями записи и воспроизведения (DVD-плеер, накопитель на жестком магнитном диске, видеомагнитофон и др.) в виде аппарата (единого комбинированного устройства) или системы, состоящей из нескольких аппаратов;

"телевизор" - телевизионный приемник или телевизионный монитор;

"функция информирования или отображения состояния" - функция, обеспечивающая предоставление информации или отображение состояния телевизора на его экране, включая индикацию времени;

"функция реактивации" - функция, обеспечивающая посредством устройств дистанционного управления, таймеров способность перехода из режима ожидания в рабочий режим, при котором происходит активация выполнения дополнительных функций.

III. Требования к энергетической эффективности телевизоров и особенности определения показателей энергетической эффективности

3. Телевизор должен иметь устройство (устройства) управления режимом электропитания хотя бы одного из следующих видов:

а) автоматическое управляющее устройство, переводящее подключенный к сети телевизор за время не более 4 часов, следующее за последними действиями пользователя (например, переключением каналов и т.п.), в режим ожидания или режим выключения либо в любой другой режим, при котором допустимая потребляемая мощность не превышает значений, установленных для режима ожидания или режима выключения;

б) механическое управляющее устройство, расположенное на передней панели подключенного к сети телевизора или в другом визуально наблюдаемом и легкодоступном месте на телевизоре, в ручном режиме переключающее телевизор в режим с потребляемой мощностью не более 0,01 Вт.

4. Перед переключением телевизора посредством автоматического управляющего устройства из рабочего режима в другой режим, на его экране должно отображаться предупредительное сообщение об этом.

5. Потребляемая мощность телевизора в рабочем режиме при яркости его экрана не менее 65% от максимально возможной не должна превышать значения, указанные в таблице 1.

Таблица 1

Потребляемая мощность телевизора в рабочем режиме

Вид телевизораПотребляемая мощность
Телевизионный приемник16 Вт + A x 3,4579 Вт/дм2
Телевизионный монитор12 Вт + A x 3,4579 Вт/дм2

Примечание. A - площадь видимой области изображения на экране (в кв. дм).

6. Потребляемая мощность телевизора в режиме ожидания не должна превышать значения, указанные в таблице 2.

Таблица 2

Потребляемая мощность телевизора в режиме ожидания

Функции, выполняемые в режиме ожиданияПотребляемая мощность (Вт), не более
Функция реактивации (в том числе с индикацией способности (готовности) к реактивации)0,50
Функция реактивации и функция информирования или отображения состояния1,00

7. Потребляемая мощность телевизора в режиме выключения не должна превышать значения, указанные в таблице 3.

Таблица 3

Потребляемая мощность телевизора в режиме выключения

Тип устройства управления режимом электропитанияПотребляемая мощность (Вт), не более
Автоматическое управляющее устройство0,30
Механическое управляющее устройство (расположенное на передней панели подключенного к сети телевизора или в другом визуально наблюдаемом и легкодоступном месте на телевизоре, в ручном режиме переключающее телевизор в режим с потребляемой мощностью не более 0,01 Вт)0,50

8. Телевизионные мониторы и отдельно поставляемые дополнительные аппараты телевизионных приемников должны соответствовать требованиям к потребляемой мощности, указанным в пунктах 6 и 7 настоящих Требований.

9. При начальной активации телевизоры, имеющие меню с предустановленными настройками режимов изображения, должны обеспечивать функционирование в домашнем режиме, который должен быть установлен по умолчанию.

Если пользователь выбирает режим, отличный от домашнего, должна быть предусмотрена возможность подтверждения режима.

10. Измерение потребляемой мощности телевизоров в рабочем режиме осуществляется при соблюдении следующих условий:

а) для телевизоров, не имеющих меню с предустановленными настройками режимов изображения, регуляторы яркости и контрастности устанавливаются в соответствии с подпунктом "в" пункта 11 настоящих Требований;

б) для телевизоров, имеющих меню с предустановленными настройками режимов изображения, устанавливается режим измерения в соответствии с подпунктом "б" пункта 11 настоящих Требований;

в) телевизионный монитор должен быть подсоединен к соответствующему тюнеру, потребляемая мощность которого не должна учитываться при измерении потребляемой мощности телевизионного монитора;

г) на аудиовход телевизионного монитора подается сигнал звуковой частоты 1000 Гц напряжением 0,5 В. Регулятором громкости телевизионного монитора устанавливается на клеммах громкоговорителей напряжение, соответствующее мощности 50 мВт;

д) при измерении потребляемой мощности регулятор громкости телевизора должен находиться в установленном положении;

е) измерения должны проводиться:

при температуре окружающей среды 23 +/- 5 °C;

при подаче на вход телевизора динамического телевизионного сигнала вещательного телевидения;

при положении регуляторов яркости, контрастности, громкости телевизора в соответствии с подпунктами "а", "б", "г" - "е" настоящего пункта;

ж) средняя потребляемая мощность должна быть измерена в течение 10 минут:

после того, как телевизор находился в режиме ожидания не менее 1 часа, а затем не менее 1 часа в рабочем режиме. Измерения должны быть проведены до момента нахождения телевизора в рабочем режиме не более 3 часов. Во время нахождения телевизора в рабочем режиме на экране должен отображаться подаваемый телевизионный сигнал. Для телевизоров, время стабилизации которых менее 1 часа, продолжительность измерения потребляемой мощности может быть сокращена, если полученные значения результатов измерений не будут отличаться от значений результатов измерений, полученных согласно указанной методике, более чем на 2%;

без активации функции автоматической регулировки яркости (при ее наличии). Если такая функция предусмотрена и не может быть выключена, измерения проводятся при включенном внешнем источнике света, создающем непосредственно на датчике внешней освещенности уровень освещенности не менее 300 лк. Среднее значение потребляемой мощности не должно превышать значений, установленных пунктом 5 настоящих Требований, с учетом допустимого отклонения.

11. Измерение максимальной яркости должно осуществляться при соблюдении следующих условий:

а) для определения значения максимальной яркости в режиме "Пользователь" на вход телевизора подается видеосигнал "белое поле". Регуляторы контрастности и яркости телевизора устанавливаются в максимальное положение. Яркомером измеряется яркость в центре экрана телевизора. Измеренное таким образом значение и будет максимальной яркостью телевизора;

б) для телевизоров, имеющих меню с предустановленными настройками режимов изображения, должен быть выбран режим, при котором яркость в центре экрана телевизора будет не менее 65% максимальной яркости. Этот режим должен быть установлен при измерении потребляемой мощности;

в) для телевизоров, не имеющих меню с предустановленными настройками режимов изображения, регуляторами яркости и контрастности устанавливается яркость в центре их экранов не менее 65% максимальной яркости.

12. Индекс энергетической эффективности (EEI) телевизоров рассчитывается по следующей формуле:

,

где:

+ A x 4,3224 Вт/дм2;

= 20 Вт для телевизоров с одним тюнером/приемником и без жесткого диска;

= 24 Вт для телевизоров с жестким(ими) диском(ами);

= 24 Вт для телевизоров с двумя или несколькими тюнерами/приемниками;

= 28 Вт для телевизоров с жестким(ими) диском(ами) и двумя или более тюнерами/приемниками;

= 15 Вт для телевизионных мониторов;

P - потребляемая мощность телевизора в рабочем режиме в Вт, (с округлением до 1 десятичного знака);

A = видимая область экрана, дм2.

13. Годовое потребление энергии в рабочем режиме (E), кВт/ч, рассчитывается как E = 1,46 x P.

14. Телевизоры с автоматической регулировкой яркости.

В целях расчета индекса энергетической эффективности и годового потребления энергии в рабочем режиме, указанных в пунктах 12 и 13 настоящих Требований, энергопотребление в рабочем режиме, установленное в соответствии с процедурой, изложенной в пункте 17 настоящих Требований, снижается на 5%, если выполняются следующие условия при поставке телевизора на рынок:

- яркость телевизора в домашнем режиме или в условиях рабочего режима, установленная изготовителем, автоматически уменьшается между окружающей интенсивностью света по меньшей мере на 20 лк и 0 лк;

- автоматическая регулировка яркости активируется в домашних условиях или в рабочем режиме телевизора, установленном изготовителем.

15. Прилагаемые к телевизорам эксплуатационные документы, предусмотренные пунктом 13 технического регламента Евразийского экономического союза "О требованиях к энергетической эффективности энергопотребляющих устройств" (ТР ЕАЭС 048/2019) (далее - технический регламент), также должны содержать сведения об их характеристиках и параметрах:

а) значение потребляемой мощности в рабочем режиме (в Вт) (с округлением до 1 десятичного знака для мощности не более 100 Вт или до целого числа для мощности более 100 Вт);

б) значение потребляемой мощности в режиме ожидания и в режиме выключения (в Вт) (с округлением до 2 десятичных знаков).

16. В комплект документов к телевизорам, указанный с учетом выбранной заявителем схемы декларирования соответствия в подпункте "а" пункта 28 или подпункте "а" пункта 29 технического регламента, для телевизоров дополнительно должна быть включена следующая информация:

а) о следующих контролируемых при испытаниях (измерениях) параметрах:

температура окружающей среды (в °C);

испытательное напряжение (в В) и частота (в Гц);

коэффициент искажения синусоидальности кривой напряжения;

условия подключения источников испытательных аудио- и видеосигналов;

информация (документация) об используемом при испытаниях (измерениях) оборудовании, сведения о проведении испытаний (измерений) и о схеме соединений при проведении измерений;

б) сведения о параметрах в режиме ожидания и в режиме выключения:

значение потребляемой мощности в режиме ожидания и в режиме выключения потребляемую мощность (в Вт) (с округлением до 2 десятичных знаков);

описание способа выборки или программирования режима работы телевизора;

последовательность действий для достижения режима, в котором телевизор автоматически меняет режим.

в) о следующих параметрах телевизора в рабочем режиме:

значение потребляемой мощности (в Вт) (с округлением до 1 десятичного знака для потребляемой мощности не более 100 Вт или до целого числа для потребляемой мощности более 100 Вт);

характеристики динамического телевизионного сигнала вещательного телевидения;

последовательность действий для обеспечения стабильного состояния по отношению к потребляемой мощности;

для телевизоров, имеющих меню с предустановленными настройками режимов изображения, - отношение яркости экрана в домашнем режиме к его максимальной яркости (в %);

для телевизионных мониторов - описание соответствующих характеристик тюнера, используемого при проведении испытаний (измерений);

г) о следующих параметрах телевизора в режиме ожидания и в режиме выключения:

используемый метод измерения;

продолжительность рабочего режима после последнего действия пользователя перед тем, как телевизор автоматически переходит в режим ожидания, или режим выключения, или другой режим, при котором не превышается предельное значение потребляемой мощности.

IV. Допустимые отклонения параметров энергетической эффективности телевизоров при проведении испытаний (измерений) после выпуска их в обращение

17. В случае проведения испытаний (измерений) телевизоров после их выпуска в обращение на таможенной территории Союза проводятся испытания (измерения) одного образца каждой модели телевизора.

Образец телевизора считается соответствующим настоящим Требованиям при получении следующих результатов:

потребляемая мощность телевизора в рабочем режиме не должна более чем на 7% превышать значение, указанное в таблице 1 настоящих Требований;

потребляемая мощность телевизора в режиме ожидания и режиме выключения не должна превышать более чем на 0,10 Вт значения, указанные в таблицах 2 и 3 настоящих Требований соответственно;

яркость не должна быть менее 60% максимальной яркости телевизора.

Если полученные значения не соответствуют указанным значениям, испытания (измерения) следует провести в отношении 3 дополнительных образцов телевизора.

Модель телевизора считается соответствующей требованиям настоящих Требований, если средние значения параметров для 3 дополнительных образцов этой модели телевизора соответствуют настоящим Требованиям.

В иных случаях данную модель телевизора следует рассматривать как не соответствующую требованиям технического регламента.

V. Содержание этикетки энергетической эффективности и технического листа телевизоров

18. Этикетка энергетической эффективности телевизоров должна содержать следующие сведения:

I. наименование или товарный знак (при наличии) изготовителя;

II. обозначение модели;

III. класс энергетической эффективности. Пиктограмма энергетической эффективности располагается на том же уровне, что и стрелка соответствующего класса энергетической эффективности;

IV. потребляемая мощность телевизора в рабочем режиме, Вт, округляется до целого числа;

V. годовое потребление энергии в рабочем режиме, кВт*ч/год, округленного до целого числа;

VI. видимая диагональ экрана в дюймах и сантиметрах;

VII. пиктограмма отображается для телевизоров с видимым переключателем в режим ожидания.

19. Технический лист, включаемый в состав эксплуатационных документов телевизоров, должен содержать следующие сведения:

а) наименование или товарный знак (при наличии) изготовителя;

б) идентификационный номер модели изготовителя, где идентификационный номер модели означает код, как правило буквенно-цифровой, который отличает конкретную модель телевизора от других моделей той же торговой марки или изготовителя с таким же названием;

в) класс энергетической эффективности;

г) видимая диагональ экрана в дюймах и сантиметрах;

д) потребляемая мощность телевизора в рабочем режиме, Вт, округляется до целого числа;

е) годовое потребление энергии в рабочем режиме, кВт*ч/год, округленного до целого числа;

ж) режим ожидания и энергопотребление в выключенном состоянии или и то, и другое;

з) разрешение экрана в физическом горизонтальном и вертикальном расчете пикселей.

20. В одном техническом листе телевизора может отражаться ряд телевизионных моделей, поставляемых одним и тем же изготовителем.

21. Информация, содержащаяся в техническом листе телевизоров, может предоставляться в виде цветной или черно-белой копии этикетки. В такой ситуации, также должна быть представлена информация, указанная в пункте 19 и не отображенная на этикетке.

VI. Определение классов энергетической эффективности телевизоров

22. Класс энергетической эффективности телевизоров определяется в соответствии с его годовым потреблением энергии в соответствии с таблицей 4.

Таблица 4

Классы энергетической эффективности телевизоров

Класс энергетической эффективностиИндекс энергетической эффективности (EEI)
A +++EEI < 0,10
A ++0,10 <= EEI < 0,16
A +0,16 <= EEI < 0,23
A0,23 <= EEI < 0,30
B0,30 <= EEI < 0,42
C0,42 <= EEI < 0,60
D0,60 <= EEI < 0,80
E0,80 <= EEI < 0,90
F0,90 <= EEI < 1,00
G1,00 <= EEI

Приложение N 5
к техническому регламенту
Евразийского экономического союза
"О требованиях к энергетической
эффективности энергопотребляющих
устройств" (ТР ЕАЭС 048/2019)

ТРЕБОВАНИЯ К ЭНЕРГЕТИЧЕСКОЙ ЭФФЕКТИВНОСТИ БЫТОВОГО И ОФИСНОГО ЭЛЕКТРИЧЕСКОГО ОБОРУДОВАНИЯ В РЕЖИМЕ ОЖИДАНИЯ И РЕЖИМЕ ВЫКЛЮЧЕНИЯ

(в ред. Решений Совета Евразийской экономической комиссии от 29.01.2021 N 6, от 15.04.2022 N 50от 08.07.2025 N 54)

I. Область применения

1. Настоящие Требования распространяются на выпускаемое в обращение на таможенной территории Евразийского экономического союза (далее - Союз) следующее оборудование, предназначенное для использования в быту или в офисе (в том числе вне помещений) не имеющими специальной подготовки пользователями, работающее непосредственно от электрической сети с номинальным напряжением до 250 В (включительно) (далее - оборудование):

а) стиральные машины, машины сушильные барабанного типа и другое оборудование для обработки (стирки, глажки, сушки, чистки) белья, одежды и обуви;

б) посудомоечные машины;

в) электрические печи, электрические плитки;

г) микроволновые печи;

д) тостеры, фритюрницы, электроножи, кофемолки, кофемашины и другие приборы для приготовления и обработки пищи;

е) приборы для стрижки волос, фены, бритвы, зубные щетки, массажное оборудование и другое оборудование для ухода за телом;

ж) оборудование для открывания и закрывания сосудов и упаковок;

з) весы;

и) оконечное оборудование связи;

к) принтеры;

л) сканеры;

м) мониторы;

н) активные акустические системы с питанием от сети переменного тока;

о) мультимедийные проекторы;

п) радиоприемники;

р) видеомагнитофоны;

с) видеокамеры;

т) аппаратура звукозаписывающая;

у) звуковые усилители;

ф) домашние кинотеатры;

х) инструменты электромузыкальные;

ц) другое оборудование для записи и воспроизведения изображения и звука, включая оборудование для передачи изображения и звука иными путями, чем по телекоммуникационным каналам, посредством сигналов или другим способом (за исключением телевизоров);

ч) игрушки, оборудование для проведения досуга и занятий спортом, включая электрические миниатюрные железные дороги и автодромы, ручные консоли для видеоигр, спортивное оборудование с электрическими и электронными компонентами, другие игрушки и тренажеры.

II. Основные понятия

2. Для целей применения настоящих Требований используются понятия, которые означают следующее:

"рабочий режим" - состояние оборудования, при котором оно подключено к источнику питания и в соответствии с назначением выполняет как минимум 1 из его главных функций;

"режим выключения" - состояние оборудования, при котором оно подключено к источнику питания, не находится в рабочем режиме или режиме ожидания и может выполнять лишь функции обеспечения выполнения требований к электромагнитной совместимости и (или) индикации режима выключения;

"режим ожидания" - состояние, при котором оборудование подключено к источнику питания и при этом неограниченное время осуществляет функцию реактивации (в том числе с индикацией способности (готовности) к реактивации) и (или) функцию информирования или отображения состояния;

"функция информирования или отображения состояния" - функция, обеспечивающая предоставление информации или отображение на индикаторе состояния оборудования, включая индикацию времени;

"функция реактивации" - функция, обеспечивающая посредством устройств дистанционного управления, внутренних датчиков или регуляторов выдержки времени способность перехода из режима ожидания в рабочий режим, при котором происходит активация выполнения главных и (или) дополнительных функций оборудования.

III. Требования к энергетической эффективности оборудования в режиме ожидания и выключения и особенности определения показателей энергетической эффективности

3. Оборудование должно иметь устройства (устройство) управления режимом электропитания хотя бы одного из следующих видов:

а) автоматическое управляющее устройство, в кратчайшее время переводящее оборудование, подключенное к сети, но не выполняющее главные рабочие функции и не связанное с другим оборудованием, в режим ожидания или режим выключения, если данная функция не препятствует применению по назначению;

б) механическое управляющее устройство, расположенное на передней панели подключенного к сети и установленного в рабочее положение оборудования или в другом визуально наблюдаемом и легкодоступном месте на этом оборудовании, в ручном режиме переключающее оборудование в режим ожидания или режим выключения.

4. Оборудование должно иметь режим выключения и (или) режим ожидания (за исключением случаев, когда это нецелесообразно с точки зрения назначения оборудования).

Потребляемая мощность оборудования в режиме ожидания не должна превышать значения, указанные в таблице 1.

Таблица 1

Потребляемая мощность оборудования в режиме ожидания

Тип устройства управления режимом электропитанияВыполняемые функцииПотребляемая мощность (Вт), не более
С 1 сентября 2028 г.
(в ред. Решений Совета Евразийской экономической комиссии от 29.01.2021 N 6, от 15.04.2022 N 50от 08.07.2025 N 54)
Автоматическое управляющее устройствофункция реактивации (в том числе с индикацией способности (готовности) к реактивации)0,50
функция информирования или отображения состояния (независимо от наличия или отсутствия функции реактивации)1,00
Механическое управляющее устройствофункция реактивации0,10
функция реактивации с индикацией способности (готовности) к реактивации0,30

5. Потребляемая мощность оборудования в режиме выключения не должна превышать значения, указанные в таблице 2.

Таблица 2

Потребляемая мощность оборудования в режиме выключения

Тип устройства управления режимом электропитанияПотребляемая мощность (Вт), не более
С 1 сентября 2028 г.
(в ред. Решений Совета Евразийской экономической комиссии от 29.01.2021 N 6, от 15.04.2022 N 50от 08.07.2025 N 54)
Механическое управляющее устройство0,30
Автоматическое управляющее устройство1,00
С 1 сентября 2029 г.
(в ред. Решений Совета Евразийской экономической комиссии от 29.01.2021 N 6, от 15.04.2022 N 50от 08.07.2025 N 54)
Автоматическое управляющее устройство0,50

6. Прилагаемые к оборудованию эксплуатационные документы, предусмотренные пунктом 13 технического регламента Союза "О требованиях к энергетической эффективности энергопотребляющих устройств" (ТР ЕАЭС 048/2019) (далее - технический регламент), должны содержать сведения об его характеристиках и параметрах в режиме ожидания и режиме выключения:

а) потребляемая мощность (в Вт) с округлением до 1 десятичного знака;

б) время, за которое оборудование автоматически переключается в режим ожидания и (или) выключения.

7. В комплект документов к оборудованию, указанный с учетом выбранной заявителем схемы декларирования соответствия в подпункте "а" пункта 28 или подпункте "а" пункта 29 технического регламента, для оборудования дополнительно должна быть включена следующая информация:

а) о следующих контролируемых при испытаниях (измерениях) параметрах:

температура окружающей среды (в °C);

испытательное напряжение (в В) и частота (в Гц);

суммарный коэффициент гармонических искажений в системе электропитания;

наличие информации (документации) об используемом при испытаниях (измерениях) оборудовании, сведения о проведении испытаний (измерений) и схеме соединений;

б) о следующих параметрах оборудования в режиме ожидания и режиме выключения:

используемый метод измерения;

характеристики приборов, при помощи которых образец проверяется на соответствие положениям пунктов 4 и (или) 5 настоящих Требований, и время, за которое образец автоматически переключается в режим ожидания, режим выключения или другой режим, при котором не превышается предельное значение потребляемой мощности,

потребляемая мощность (в Вт) с округлением до 2 десятичных знаков;

описание способа выбора или программирования режима работы оборудования;

последовательность действий для достижения режима, в котором оборудование автоматически меняет режим работы;

сведения о работе оборудования.

IV. Допустимые отклонения параметров энергетической эффективности оборудования при проведении испытаний (измерений) после выпуска его в обращение

8. В случае проведения испытаний (измерений) оборудования после его выпуска в обращение на таможенной территории Союза проводятся испытания (измерения) одного образца каждой модели оборудования на соответствие его положениям пунктов 4 и 5 настоящих Требований.

Образец оборудования считается соответствующим настоящим Требованиям, если полученные значения не превышают предельных значений более чем на 10% или 0,10 Вт для контроля потребляемой мощности, величина которой соответственно превышает или не превышает 1,00 Вт.

Если полученные значения не соответствуют указанным значениям, испытания (измерения) следует провести в отношении 3 дополнительных образцов каждой модели оборудования.

Модель оборудования считается соответствующей настоящим Требованиям, если средние значения параметров для 3 образцов этой модели соответствуют требованиям, указанным в абзаце втором настоящего пункта.

В иных случаях данную модель оборудования следует рассматривать как не соответствующую требованиям технического регламента.

Приложение N 6
к техническому регламенту
Евразийского экономического союза
"О требованиях к энергетической
эффективности энергопотребляющих
устройств" (ТР ЕАЭС 048/2019)

ТРЕБОВАНИЯ К ЭНЕРГЕТИЧЕСКОЙ ЭФФЕКТИВНОСТИ БЫТОВЫХ АВТОМАТИЧЕСКИХ СТИРАЛЬНЫХ МАШИН

(в ред. Решений Совета Евразийской экономической комиссии от 29.01.2021 N 6, от 15.04.2022 N 50от 08.07.2025 N 54)

I. Область применения

1. Настоящие Требования распространяются на выпускаемые в обращение на таможенной территории Евразийского экономического союза (далее - Союз) бытовые автоматические стиральные машины (далее - стиральные машины), которые могут применяться и в коммерческих целях (на производстве, в торговле и сфере услуг), питаемые от сети переменного тока с номинальным напряжением до 250 В (включительно), стиральные машины, которые наряду с питанием от сети могут работать от электрических батарей (аккумуляторов), а также встраиваемые стиральные машины, за исключением комбинированных стирально-сушильных машин.

II. Основные понятия

2. Для целей применения настоящих Требований используются понятия, которые означают следующее:

"автоматическая стиральная машина" - стиральная машина, в которой все операции и управление ими при стирке текстильных изделий полностью выполняются машиной, вмешательство пользователя на каком-либо этапе программы до ее завершения не требуется;

"бытовая стиральная машина" - автоматическая стиральная машина, предназначенная для стирки и полоскания текстильных изделий с применением воды, которая также включает в себя функцию отжима и предназначена главным образом для непрофессионального использования;

"время выполнения программы" - время от начала запуска программы (кроме задержки, задаваемой пользователем) до ее окончания;

"встраиваемая стиральная машина" - бытовая автоматическая стиральная машина, предназначенная для установки в подготовленное углубление в стене или другое подобное место, в шкаф или другую мебель;

"комбинированная стирально-сушильная машина" - бытовая стиральная машина, которая включает в себя функции отжима и сушки текстильных изделий посредством термообработки и вращения барабана;

"номинальная вместимость" - максимальная установленная изготовителем масса сухих текстильных изделий в килограммах, которая может быть обработана по выбранной программе;

"программа" - серия операций, которые предварительно определены в стиральной машине и применяются для стирки определенных типов текстильных изделий;

"режим "выключено" - состояние, когда стиральная машина выключается пользователем при помощи средств управления на дисплее или выключателя для достижения режима наименьшего потребления элктроэнергии, который может сохраняться в течение неограниченного времени при подключении к основному источнику питания и используется в соответствии с инструкцией по эксплуатации. Отсутствие средств управления, доступных пользователю, означает состояние, при котором стиральная машина сама переходит в установившийся режим энергопотребления;

"режим "оставлено включенным" - режим наименьшего потребления электроэнергии, длящийся в течение неограниченного времени после завершения установленной пользователем программы без дополнительного вмешательства пользователя;

"содержание остаточной влаги" - показатель, определяющий количество остаточной влаги, которая содержится в базовой загрузке после завершения функции отжима;

"цикл" - полный процесс работы стиральной машины, в соответствии с выбранной программой, состоящей из серии различных операций (стирки, полоскания, отжима и т.д.);

"частичная загрузка" - половина номинальной вместимости стиральной машины для заданной программы;

"эквивалентная стиральная машина" - модель стиральной машины с показателями (номинальная вместимость, технические и эксплуатационные характеристики, потребление электроэнергии, расход воды, значение акустического шума) во время стирки и отжима, аналогичными показателям другой модели стиральной машины того же изготовителя, выпущенной в обращение под другим торговым обозначением.

III. Требования к энергетической эффективности стиральных машин и особенности определения показателей энергетической эффективности

3. В отношении стиральной машины должны быть проведены соответствующие испытания (измерения) и определены следующие показатели:

индекс энергетической эффективности (EEI);

индекс эффективности стирки ();

расход воды ();

содержание остаточной влаги (D).

Расчеты с необходимыми испытаниями (измерениями) производятся в соответствии с пунктами 5 - 7 настоящих Требований.

Для расчета потребления электроэнергии и определения других характеристик стиральных машин следует произвести измерения для полных циклов, в процессе которых осуществляется обработка хлопчатобумажных текстильных изделий стандартного загрязнения при номинальной температуре стирки 60 °C и 40 °C (далее соответственно - стандартная программа стирки "Хлопок 60 °C" и стандартная программа стирки "Хлопок 40 °C"). Эти стандартные программы должны быть обозначены на устройстве для выбора программы и (или) на дисплее стиральной машины (при наличии) как стандартная программа стирки "Хлопок 60 °C" и стандартная программа стирки "Хлопок 40 °C".

"Стандартная программа стирки "Хлопок 60 °C" и стандартная программа стирки "Хлопок 40 °C" могут быть также обозначены стрелками на устройстве для выбора программы или на дисплее:

для программы "Хлопок 60 °C":

;

для программы "Хлопок 40 °C":

;

для стандартной программы "Хлопок" в бытовой стиральной машине, где выбор программ находится отдельно от выбора температуры:

.

4. Индекс энергетической эффективности рассчитывается по следующей формуле (с округлением до 1 десятичного знака):

,

где:

- годовое потребление электрической энергии стиральной машиной;

- стандартное годовое потребление электрической энергии стиральной машиной.

рассчитывается (в кВт·ч/год) по следующей формуле (с округлением до 2 десятичных знаков):

,

где c - номинальная вместимость (в кг) для стандартной программы стирки "Хлопок 60 °C" при полной загрузке или для стандартной программы стирки "Хлопок 40 °C" при полной загрузке, при которой определяющим является меньшее из обоих значений.

Годовое потребление электрической энергии стиральной машиной () (в кВт·ч/год) рассчитывается по следующей формуле (с округлением до 2 десятичных знаков):

,

где:

- среднее потребление энергии (в кВт·ч) (с округлением до 3 десятичных знаков);

- средняя потребляемая мощность в режиме "выключено" (в Вт) (с округлением до 2 десятичных знаков);

- средняя потребляемая мощность в режиме "оставлено включенным" (в Вт) (с округлением до 2 десятичных знаков);

- средняя продолжительность программы в минутах (с округлением до целого значения);

220 - условно ожидаемое количество стандартных циклов стирки в год.

Если стиральная машина оснащена системой управления, которая по окончании программы автоматически переводит стиральную машину в режиме "выключено", то рассчитывается с учетом продолжительности режима "оставлено включенным" по следующей формуле:

,

где - время нахождения стиральной машины в режиме "оставлено включенным" (в минутах) (с округлением до целого значения).

Среднее энергопотребление за один цикл стирки () (в кВт·ч) рассчитывается по следующей формуле (с округлением до 3 десятичных знаков):

,

где:

- энергопотребление (в кВт) для стандартной программы стирки "Хлопок 60 °C" при полной загрузке (с округлением до 3 десятичных знаков);

- энергопотребление (в кВт) для стандартной программы стирки "Хлопок 60 °C" при частичной загрузке (с округлением до 3 десятичных знаков);

- энергопотребление (в кВт) для стандартной программы стирки "Хлопок 40 °C" при частичной загрузке (с округлением до 3 десятичных знаков).

Средняя потребляемая мощность в режиме "выключено" () в Вт рассчитывается по следующей формуле (с округлением до 2 десятичных знаков):

,

где:

- потребляемая мощность в режиме "выключено" (в Вт) для стандартной программы стирки "Хлопок 60 °C" при полной загрузке (с округлением до 2 десятичных знаков);

- потребляемая мощность в режиме "выключено" (в Вт) для стандартной программы стирки "Хлопок 60 °C" при частичной загрузке (с округлением до 2 десятичных знаков);

- потребляемая мощность в режиме "выключено" (в Вт) для стандартной программы стирки "Хлопок 40 °C" при частичной загрузке (с округлением до 2 десятичных знаков).

Средняя потребляемая мощность в режиме "оставлено включенным" () (в Вт) рассчитывается по следующей формуле (с округлением до 2 десятичных знаков):

,

где:

- потребляемая мощность в режиме "оставлено включенным" (в Вт) для стандартной программы стирки "Хлопок 60 °C" при полной загрузке;

- потребляемая мощность в режиме "оставлено включенным" (в Вт) для стандартной программы стирки "Хлопок 60 °C" при частичной загрузке;

- потребляемая мощность в режиме "оставлено включенным" (в Вт) для стандартной программы стирки "Хлопок 40 °C" при частичной загрузке.

Средняя продолжительность выполнения программы () в минутах рассчитывается по следующей формуле (с округлением до целого значения):

,

где:

- время выполнения стандартной программы стирки "Хлопок 60 °C" в минутах при полной загрузке;

- время выполнения стандартной программы стирки "Хлопок 60 °C" (в минутах) при частичной загрузке;

- время выполнения стандартной программы стирки "Хлопок 40 °C" (в минутах) при частичной загрузке.

Время нахождения стиральной машины в режиме "оставлено включенным" () в минутах рассчитывается по следующей формуле (с округлением до целого значения):

,

где:

- время в режиме "оставлено включенным" (в минутах) для стандартной программы стирки "Хлопок 60 °C" при номинальной загрузке;

- время в режиме "оставлено включенным" (в минутах) для стандартной программы стирки "Хлопок 60 °C" при частичной загрузке;

- время в режиме "оставлено включенным" (в минутах) для стандартной программы стирки "Хлопок 40 °C" при частичной загрузке.

5. Для расчета индекса эффективности стирки () эффективность стирки испытываемой стиральной машины сравнивают с эффективностью стирки эталонной стиральной машины при работе по стандартной программе стирки "Хлопок 60 °C" при полной и при частичной загрузке и при работе по стандартной программе стирки "Хлопок 40 °C" при частичной загрузке.

Индекс эффективности стирки () рассчитывается по следующей формуле (с округлением до 3 десятичных знаков):

,

где:

- индекс эффективности стирки для стандартной программы стирки "Хлопок 60 °C" при полной загрузке;

- индекс эффективности стирки для стандартной программы стирки "Хлопок 60 °C" при частичной загрузке;

- индекс эффективности стирки для стандартной программы стирки "Хлопок 40 °C" при частичной загрузке.

Индекс эффективности стирки для каждой стандартной программы стирки хлопчатобумажных текстильных изделий () рассчитывается по следующей формуле:

,

где:

- эффективность стирки при испытании стиральной машины в течение одного цикла (цикла i) (с округлением до 3 десятичных знаков);

- средняя эффективность стирки эталонной стиральной машины;

n - количество циклов испытаний, которое должно быть:

не менее 3 для стандартной программы стирки "Хлопок 60 °C" при полной загрузке;

не менее 2 для стандартной программы стирки "Хлопок 60 °C" при частичной загрузке;

не менее 2 для стандартной программы стирки "Хлопок 40 °C" при частичной загрузке.

Эффективность стирки (W) является средней величиной, определяемой по тестовой полоске после завершения соответствующего цикла испытаний.

6. Годовой расход воды () рассчитывается по следующей формуле (с округлением до целого числа):

,

где:

- среднее потребление воды;

220 - общее количество стандартных циклов стирки в год.

Средний расход воды () рассчитывается (в литрах) (с округлением до целого числа) по следующей формуле:

,

где:

- расход воды для стандартной программы стирки "Хлопок 60 °C" при полной загрузке;

- расход воды для стандартной программы стирки "Хлопок 40 °C" при частичной загрузке;

- расход воды для стандартной программы стирки "Хлопок 40 °C" при частичной загрузке.

7. Содержание остаточной влаги (D) для каждой программы рассчитывается (в %) (с округлением до целого значения) по следующей формуле:

,

где:

- содержание остаточной влаги для стандартной программы стирки "Хлопок 60 °C" при полной загрузке;

- содержание остаточной влаги для стандартной программы стирки "Хлопок 60 °C" при частичной загрузке;

- содержание остаточной влаги для стандартной программы стирки "Хлопок 40 °C" при частичной загрузке.

8. Стиральные машины с 1 сентября 2028 г. должны соответствовать следующим требованиям: (в ред. Решений Совета Евразийской экономической комиссии от 29.01.2021 N 6, от 15.04.2022 N 50от 08.07.2025 N 54)

индекс энергетической эффективности (EEI) стиральных машин с номинальной вместимостью 4 кг и более должен быть менее 59, а стиральных машин с номинальной вместимостью менее 4 кг - менее 68;

индекс эффективности стирки () стиральных машин с номинальной вместимостью более 3 кг должен быть больше 1,03, а стиральных машин с номинальной вместимостью не более 3 кг - больше 1,00;

в стиральных машинах должна быть предусмотрена возможность стирки при температуре 20 °C с обозначением соответствующей программы на устройстве для выбора программы и (или) на дисплее стиральной машины (при наличии);

расход воды () стиральной машиной (в литрах) должен соответствовать следующему неравенству:

,

где - меньшая из величин номинальной вместимости стиральной машины для стандартной программы стирки "Хлопок 60 °C" при частичной загрузке стандартной программы стирки и "Хлопок 40 °C" при частичной загрузке.

Расход воды () принимается равным расходу воды при стирке по стандартной программе "Хлопок 60 °C" при полной загрузке () и рассчитывается по следующей формуле (с округлением до 1 десятичного знака): = .

9. Эксплуатационные документы, прилагаемые к стиральным машинам, предусмотренные пунктом 13 технического регламента Евразийского экономического союза "О требованиях к энергетической эффективности энергопотребляющих устройств" (ТР ЕАЭС 048/2019), (далее - технический регламент), должны содержать следующие сведения:

а) сведения о стандартных программах для стирки хлопчатобумажных изделий при температуре 60 °C и 40 °C, называемые стандартная программа стирки "Хлопок 60 °C" и стандартная программа стирки "Хлопок 40 °C" (должно быть указано, что они пригодны для стирки хлопчатобумажных изделий обычного загрязнения, являются наиболее эффективными программами с точки зрения потребления электроэнергии и расхода воды для стирки хлопчатобумажных тканей, а также должно быть указано, что фактическая температура воды может отличаться от заявленной температуры для данного цикла);

б) информация о величине потребления электроэнергии в режиме "выключено" и в режиме "оставлено включенным";

в) информация о продолжительности цикла работы стиральной машины, остаточной влаге, потреблении энергии и расходе воды при использовании основных программ стирки при полной или частичной загрузке или для обоих объемов загрузки;

г) рекомендации в отношении выбора типа моющего средства для стирки при различных температурах.

IV. Допустимые отклонения параметров энергетической эффективности стиральных машин при проведении испытаний (измерений) после их выпуска в обращение

10. В случае проведения испытаний (измерений) стиральных машин после их выпуска в обращение на таможенной территории Союза проводятся испытания (измерения) одного типового образца каждой модели стиральной машины.

Модель стиральной машины считается соответствующей настоящим Требованиям, если значения параметров, полученные в результате испытания (измерений) и характеристик стиральной машины соответствуют разделу III настоящих Требований и номинальным значениям, заявленным изготовителем, в пределах допустимых отклонений, указанных в таблице 1.

Таблица 1

Допустимые отклонения

Измеряемый параметрДопустимые отклонения
Годовое потребление электроэнергииИзмеренное значение не должно превышать номинальное значение более чем на 10%
Индекс эффективности стиркиИзмеренное значение не должно быть меньше номинального значения более чем на 4%
Потребление электроэнергииИзмеренное значение не должно превышать номинальное значение более чем на 10%
Время работы программыИзмеренное значение не должно превышать установленное значение более чем на 10%
Расход водыИзмеренное значение не должно превышать номинальное значение более чем на 10%
Потребление электроэнергии в режиме "выключено" и в режиме "оставлено включенным"Если значения и превышают 1,00 Вт, то они не должны превышать номинальное значение более чем на 10%. Если значения и не превышают 1,00 Вт, то они не должны превышать установленное значение более чем на 0,10 Вт
Продолжительность нахождения в режиме "оставлено включенным"Измеренное значение не должно превышать номинальное значение более чем на 10%

Под номинальным значением понимается значение, заявленное изготовителем.

В иных случаях испытания (измерения) следует провести на 3 дополнительных экземплярах каждой модели стиральной машины. Модель стиральной машины считается соответствующей настоящим Требованиям, если средние значения результатов измерений этих 3 дополнительных экземпляров стиральных машин соответствуют требованиям, указанным в разделе III настоящих Требований и заявленным номинальным значениям в пределах допустимых отклонений, указанных в таблице 1, за исключением значения потребления электроэнергии (), величина которого не должна превышать заявленное изготовителем значение более чем на 6%.

В иных случаях данную модель и все другие эквивалентные стиральные машины следует рассматривать как не соответствующие требованиям технического регламента.

V. Содержание этикетки и технического листа стиральной машины

11. Этикетка стиральной машины должна содержать следующие сведения:

I. наименование или товарный знак (при наличии) изготовителя;

II. обозначение модели;

III. класс энергетической эффективности. Пиктограмма энергетической эффективности и стрелка соответствующего класса энергетической эффективности должны располагаться на одном уровне;

IV. годовое потребление электроэнергии () (кВт·ч/год) (с округлением до ближайшего целого числа);

V. годовой расход воды () (в л/год) (с округлением до ближайшего целого числа);

VI. номинальная вместимость (в кг) для стандартной программы стирки "Хлопок 60 °C" при полной загрузке или стандартной программе стирки "Хлопок 40 °C" при полной загрузке;

VII. класс эффективности отжима;

VIII. корректированный уровень звуковой мощности с соответствующими пиктограммами для режимов стирки и отжима для стандартной программы "Хлопок 60 °C" (в дБ (A) относительно 1 пВт) (с округлением до ближайшего целого числа).

12. Технический лист, включаемый в состав эксплуатационных документов стиральных машин, должен содержать следующие сведения:

а) наименование или товарный знак (при наличии) изготовителя;

б) идентификационный номер модели стиральной машины (как правило буквенно-цифровой код, который отличает конкретную модель стиральной машины от других моделей той же торговой марки или изготовителя с таким же названием);

в) номинальная вместимость (в кг) для стандартной программы "Хлопок 60 °C" при полной загрузке или стандартной программе "Хлопок 40 °C" при полной загрузке (определяющим является меньшее из двух значений);

г) класс энергетической эффективности;

д) годовое потребление электроэнергии () (в кВт·ч/год). Указывается следующим образом: "Энергопотребление "X", кВт·ч/год, рассчитано для 220 стандартных циклов стирки программ "Хлопок 60 °C" и "Хлопок 40 °C" при полной и частичной загрузке, режимов "выключено" и "оставлено включенным". Фактическое потребление электроэнергии зависит от интенсивности и режимов работы стиральной машины", где X - значение годового потребления электроэнергии (с округлением до целого числа);

е) потребление электроэнергии , , для стандартных программ "Хлопок 60 °C" при полной и частичной загрузке, а также стандартной программы "Хлопок 40 °C" при частичной загрузке (в кВт·ч);

ж) потребляемая мощность в режиме "выключено" (в Вт) и в режиме "оставлено включенным" (в Вт);

з) годовой расход воды () (в л/год). Указывается следующим образом: "Расход воды "X", л/год, рассчитан для 220 стандартных рабочих циклов стирки программ "Хлопок 60 °C", "Хлопок 40 °C" при полной и частичной загрузке. Фактический расход воды зависит от условий эксплуатации", где X - значение годового расхода воды (с округлением до целого числа);

и) класс эффективности отжима. Указывается следующим образом: "Эффективность отжима класса "X" по шкале от G (наименьшая эффективность) до A (наибольшая эффективность)". В случае если информация в техническом листе представлена в виде таблицы, допускается делать запись о классе эффективности отжима в ином виде с указанием градации класса от G (наименьшая эффективность) до A (наибольшая эффективность);

к) максимальная частота вращения барабана во время работы стиральной машины по стандартной программе стирки "Хлопок 60 °C" при полной загрузке и стандартной программе стирки "Хлопок 40 °C" при частичной загрузке, где определяющим является меньшее из двух значений, а также содержание остаточной влаги во время работы стиральной машины по стандартной программе стирки "Хлопок 60 °C" при полной загрузке и стандартной программе стирки "Хлопок 40 °C" при частичной загрузке, где определяющим является наибольшее значение;

л) указание на то, что стандартные программы стирки "Хлопок 60 °C", "Хлопок 40 °C", к которым относится информация на этикетке и в техническом листе, предназначены для стирки стандартно загрязненного хлопчатобумажного белья и наиболее эффективны одновременно в отношении энергопотребления и расхода воды;

м) среднее значение времени выполнения стандартных программ стирки "Хлопок 60 °C" при полной и частичной загрузке и "Хлопок 40 °C" при частичной загрузке (в минутах) (с округлением до целого числа);

н) продолжительность режима "оставлено включенным" , если бытовая стиральная машина оснащена системой регулирования мощности в минутах;

о) корректированный уровень звуковой мощности с соответствующими пиктограммами для режимов стирки и отжима для стандартной программы "Хлопок 60 °C" (в дБ (A) относительно 1 пВт) (с округлением до целого числа).

п) при необходимости указание на то, что бытовая стиральная машина является встраиваемой.

13. В одном техническом листе стиральной машины может отражаться информация о ряде стиральных машин, поставляемых одним и тем же изготовителем.

14. Информация, содержащаяся в техническом листе стиральной машины, может предоставляться в виде цветной или черно-белой копии этикетки. В таком случае также должна быть представлена информация, указанная в пункте 12, но не указанная на этикетке.

VI. Определение классов энергетической эффективности и эффективности отжима стиральных машин

15. Класс энергетической эффективности стиральной машины определяется в соответствии с ее индексом энергетической эффективности (EEI) в соответствии с таблицей 2.

Таблица 2

Класс энергетической эффективности стиральной машины

Класс энергетической эффективностиИндекс энергетической эффективности
A +++ (наиболее эффективный)EEI <= 46
A ++46 <= EEI < 52
A +52 <= EEI < 59
A59 <= EEI < 68
B68 <= EEI < 77
C77 <= EEI < 87
D (наименее эффективный)EEI >= 87

16. Класс эффективности отжима стиральной машины определяется в соответствии с содержанием остаточной влаги (D) в соответствии с таблицей 3.

Таблица 3

Классы эффективности отжима стиральной машины

Класс эффективности отжимаСодержание остаточной влаги (D)
A (наиболее эффективный)D < 45
B45<= D < 54
C54 <= D < 63
D63 <= D < 72
E72 <= D < 81
F81 <= D < 90
G (наименее эффективный)D >= 90

Приложение N 7
к техническому регламенту
Евразийского экономического союза
"О требованиях к энергетической
эффективности энергопотребляющих
устройств" (ТР ЕАЭС 048/2019)

ТРЕБОВАНИЯ К ЭНЕРГЕТИЧЕСКОЙ ЭФФЕКТИВНОСТИ БЫТОВЫХ ПОСУДОМОЕЧНЫХ МАШИН

I. Область применения

1. Настоящие Требования распространяются на выпускаемые в обращение на таможенной территории Евразийского экономического союза (далее - Союз), питаемые от сети переменного тока с номинальным напряжением до 230 В бытовые посудомоечные машины (далее - посудомоечные машины), в том числе:

а) применяемые в небытовых целях;

б) способные работать также от электрических батарей (аккумуляторов);

в) встраиваемые.

II. Основные понятия

2. Для целей применения настоящих Требований используются понятия, которые означают следующее:

"встраиваемая посудомоечная машина" - посудомоечная машина, предназначенная для установки в мебель, в специально подготовленные проемы, углубления, ниши, ячейки в стенах, панелях, витринах, стеллажах и др.;

"комплект посуды" - набор посуды и столовых приборов, предназначенных для одной персоны;

"номинальная вместимость" - максимально установленное изготовителем количество комплектов посуды, которое может быть обработано в посудомоечной машине в соответствии с выбранной программой;

"посудомоечная машина" - предназначенная главным образом не для профессионального использования посудомоечная машина, которая осуществляет очистку, мойку, ополаскивание и сушку керамической, стеклянной, металлической, пластмассовой и иной посуды, столовых приборов и кухонного инвентаря путем механического, термического, электрического и химического воздействия;

"программа" - серия предварительно установленных и заявленных изготовителем операций для обработки посуды при определенных степени и (или) типе загрязнения, вместе образующих полный цикл;

"продолжительность программы" - период времени с начала запуска программы до ее окончания без учета задержек, задаваемых (программируемых) пользователем;

"режим выключено" - состояние посудомоечной машины, подключенной к источнику питания и используемой в соответствии с эксплуатационными документами, при котором она выключается с помощью доступного пользователю управляющего устройства или выключателя с целью достижения режима минимального потребления энергии, который может продолжаться неограниченное время, либо состояние, при котором посудомоечная машина сама переходит в режим минимального энергопотребления при отсутствии для пользователя средств управления;

"режим оставлено включенным" - режим минимального потребления электрической энергии, который без дополнительного вмешательства пользователя (за исключением операций по разгрузке посудомоечной машины) может продолжаться в течение неограниченного времени после завершения цикла;

"цикл" - полный процесс работы посудомоечной машины в соответствии с выбранной программой, состоящий из серии различных операций (очистки, мойки, ополаскивания, сушки и др.);

"эквивалентная посудомоечная машина" - модель посудомоечной машины с показателями (номинальная вместимость, технические и эксплуатационные характеристики, потребление электрической энергии, расход воды, скорректированный уровень звуковой мощности), аналогичными показателям другой модели посудомоечной машины того же изготовителя, выпущенной в обращение на таможенной территории Союза под другим торговым обозначением (наименованием).

III. Требования к энергетической эффективности посудомоечных машин и особенности определения показателей энергетической эффективности

3. В отношении посудомоечной машины должны быть проведены соответствующие испытания (измерения) и определены следующие параметры:

индекс энергетической эффективности (EEI);

индекс эффективности мойки ();

индекс эффективности сушки ().

Соответствующие расчеты с необходимыми испытаниями (измерениями) производятся в соответствии с пунктами 4 - 6 настоящих Требований.

Для расчета потребления электрической энергии и определения других характеристик посудомоечных машин следует производить измерения для полного цикла, в течение которого осуществляется обработка максимальной номинальной вместимости со стандартным загрязнением (далее - стандартная программа мойки). Этот цикл должен быть установлен на посудомоечной машине и (или) на дисплее посудомоечной машины, если таковой имеется, в стандартной программе. На посудомоечных машинах, имеющих автоматический выбор программ или функцию автоматического выбора либо поддержания выбранной программы, этот цикл должен быть установлен в качестве стандартно используемой программы.

4. Индекс энергетической эффективности (EEI) рассчитывается по следующей формуле (с округлением до 1 десятичного знака):

,

где:

- годовое потребление электрической энергии посудомоечной машиной;

- стандартное годовое потребление электрической энергии посудомоечной машиной.

рассчитывается (в кВт·ч/год) по следующей формуле (с округлением до 2 десятичных знаков):

,

где:

- потребление электрической энергии за стандартный цикл (в кВт·ч) (с округлением до 3 десятичных знаков);

- потребляемая мощность в режиме "выключено" (в Вт) (с округлением до 2 десятичных знаков);

- потребляемая мощность в режиме "оставлено включенным" (в Вт) (с округлением до 2 десятичных знаков);

- время работы программы стандартного цикла мойки (в минутах) (с округлением до целого числа).

Если посудомоечная машина оснащена системой регулирования энергопотребления, которая спустя время по окончании программы автоматически переводит посудомоечную машину в режим "выключено", то рассчитывается (в кВт·ч/год) по следующей формуле (с округлением до 2 десятичных знаков):

,

где:

- время во включенном состоянии (в режиме "оставлено включенным") для стандартного цикла мойки (в минутах) (с округлением до ближайшей целой минуты);

280 - общее количество стандартных циклов мойки за 1 год.

Стандартное годовое потребление электрической энергии рассчитывается (в кВт·ч/год) (с округлением до 2 десятичных знаков) по следующим формулам:

для посудомоечных машин с номинальной вместимостью (ps) не менее 10 комплектов посуды и шириной не более 50 см:

,

для посудомоечных машин с номинальной вместимостью (ps) не более 9 комплектов посуды и шириной не более 50 см:

,

где:

ps - номинальная вместимость.

5. Для расчета индекса эффективности мойки испытуемой посудомоечной машины производится сравнение эффективности ее мойки с эффективностью мойки эталонной посудомоечной машины.

Индекс эффективности мойки () рассчитывается по следующей формуле (с округлением до 2 десятичных знаков):

,

где:

- эффективность мойки тестируемой посудомоечной машины при испытании в течение 1 цикла (цикла i);

- эффективность мойки эталонной посудомоечной машины при испытании в течение 1 цикла (цикла i);

n - количество циклов (должно быть не менее 5).

Эффективность мойки (C) является средней величиной степени загрязненности для каждого предмета комплекта посуды, загруженного в посудомоечную машину после завершения стандартного цикла мойки, определяемой в баллах согласно таблице 1.

Таблица 1

Оценка степени загрязненности

Количество точек загрязнения (n)Общая площадь загрязнения (As) (мм)Оценка степени загрязненности
n = 0As = 05 (максимальная эффективность)
0 < n 40 < As 44
4 < n 100 < As 43
10 < n4 < As 502
не рассматривается50 < As 2001
не рассматривается200 < As0 (минимальная эффективность)

6. Для расчета индекса эффективности сушки () испытуемой посудомоечной машины производится сравнение эффективности ее сушки с эффективностью сушки эталонной посудомоечной машины.

рассчитывается по следующей формуле (с округлением до 2 десятичных знаков):

,

где:

- эффективность сушки тестируемой посудомоечной машины при испытании в течение 1 цикла (цикла i);

- эффективность сушки эталонной посудомоечной машины при испытании в течение 1 цикла (цикла i);

n - количество циклов (должно быть не менее 5).

Эффективность мойки (D) является средней величиной, характеризующей наличие влаги на каждом загруженном в посудомоечную машину столовом приборе после завершения стандартного цикла мойки, определяемой в баллах согласно таблице 2.

Таблица 2

Оценка уровня влажности

Количество точек влаги () и подтеков ()Общая площадь влажных участков () (мм2)Оценка уровня влажности
= 0 и = 0не рассматривается2 (максимальная эффективность)
1 < <= 2 или = 1 < 501
2 < и (или) = 2 либо = 1 и = 1 > 500 (минимальная эффективность)

7. Годовой расход воды () рассчитывается (в л) по следующей формуле (с округлением до целого числа):

,

где:

- потребление воды для стандартного цикла мойки.

8. Посудомоечные машины должны соответствовать следующим требованиям:

а) EEI посудомоечных машин с номинальной вместимостью 11 и более комплектов посуды, а также посудомоечных машин с номинальной вместимостью не более 10 комплектов посуды и шириной более 45 см должен быть менее 63;

б) EEI посудомоечных машин с номинальной вместимостью 8 и 9 комплектов посуды, а также посудомоечных машин с номинальной вместимостью 10 комплектов посуды и шириной не более 45 см должен быть менее 63;

в) должен быть более 1,12;

г) посудомоечных машин с номинальной вместимостью более 7 комплектов посуды должен быть более 1,08;

д) посудомоечных машин с номинальной вместимостью не более 7 комплектов посуды должен быть более 0,86.

9. Эксплуатационные документы, предусмотренные пунктом 13 технического регламента Евразийского экономического союза "О требованиях к энергетической эффективности энергопотребляющих устройств" (ТР ЕАЭС 048/2019) (далее - технический регламент), должны содержать следующие сведения о характеристиках и параметрах посудомоечных машин:

а) информация о стандартной программе мойки (должно быть указано, что посудомоечная машина пригодна для мойки посуды и столовых приборов обычного загрязнения и является наиболее эффективной программой с точки зрения потребления электрической энергии и расхода воды);

б) потребляемая мощность во включенном состоянии (в режиме "оставлено включенным") и режиме "выключено";

в) информация о продолжительности цикла посудомоечной машины и расходе воды при использовании основной программы мойки.

IV. Допустимые отклонения параметров энергетической эффективности посудомоечных машин при проведении испытаний (измерений) после их выпуска в обращение

10. В случае проведения испытаний (измерений) посудомоечных машин после их выпуска в обращение на таможенной территории Союза проводятся испытания (измерения) одного типового экземпляра каждой модели посудомоечной машины.

Модель посудомоечной машины считается соответствующей настоящим Требованиям, если значения параметров и характеристик посудомоечной машины соответствуют требованиям раздела III настоящих Требований и номинальным значениям, заявленным изготовителем, в пределах допустимых отклонений, указанных в таблице 3.

Таблица 3

Допустимые отклонения

Измеряемый параметрДопустимые отклонения
Годовое потребление электрической энергииизмеренное значение не должно превышать номинальное значение более чем на 10%
Индекс эффективности мойкиизмеренное значение не должно быть меньше номинального значения более чем на 10%
Индекс эффективности сушкиизмеренное значение не должно быть меньше номинального значения более чем на 19%
Потребление электрической энергииизмеренное значение не должно превышать номинальное значение более чем на 10%
Продолжительность программыизмеренное значение не должно превышать номинальное значение более чем на 10%
Расход водыизмеренное значение не должно превышать номинальное значение более чем на 10%
Потребляемая мощность в режиме "выключено" и режиме "оставлено включенным"если значения и превышают 1,00 Вт, то они не должны превышать номинальное значение более чем на 10%. Если значения и не превышают 1,00 Вт, то они не должны превышать номинальное значение более чем на 0,10 Вт
Продолжительность нахождения в режиме "оставлено включенным"измеренное значение не должно превышать номинальное значение более чем на 10%

Под номинальным значением понимается значение, заявленное изготовителем.

В иных случаях испытания (измерения) следует проводить на 3 дополнительных экземплярах каждой модели посудомоечной машины. Модель посудомоечной машины считается соответствующей настоящим Требованиям, если средние значения измеренных параметров этих 3 дополнительных экземпляров посудомоечных машин соответствуют требованиям, указанным в таблице 3 настоящих Требований, за исключением потребления электрической энергии, измеряемая величина которого не превышает номинального значения более чем на 6%.

В иных случаях данную модель посудомоечной машины и все другие эквивалентные посудомоечные машины следует рассматривать как не соответствующие требованиям технического регламента.

V. Содержание этикетки и технического листа посудомоечных машин

11. Этикетка посудомоечной машин должна содержать следующие сведения:

I. наименование или товарный знак (при наличии) изготовителя;

II. обозначение модели;

III. класс энергетической эффективности;

IV. годовое потребление электроэнергии () (в кВт·ч/год) (с округлением до целого числа);

V. годовой расход воды () (в л/год) (с округлением до целого числа);

VI. класс эффективности сушки;

VII. номинальная вместимость при стандартных комплектах посуды для стандартного цикла мойки;

VIII. корректированный уровень звуковой мощности (в дБ (A) относительно 1 пВт) (с округлением до целого числа).

12. Технический лист, входящий в состав эксплуатационных документов посудомоечных машин, должен содержать следующие сведения:

а) наименование или товарный знак (при наличии) изготовителя;

б) идентификационный номер модели посудомоечной машины изготовителя (как правило буквенно-цифровой, который отличает конкретную модель посудомоечной машины от других моделей той же торговой марки или изготовителя с таким же названием);

в) номинальная вместимость для стандартного цикла мойки в столовых комплектах;

г) класс энергетической эффективности;

д) годовое потребление электроэнергии () (в кВт·ч/год). Указывается следующим образом: "Энергопотребление X, кВт·ч/год, определено для 280 стандартных рабочих циклов с использованием холодной воды при режимах с низким потреблением мощности. Фактическое энергопотребление зависит от интенсивности и режимов использования устройства", где X - значение годового энергопотребления (с округлением до целого числа);

е) энергопотребление () (в кВт·ч) для стандартного рабочего цикла;

ж) потребляемая мощность в режиме "выключено" () (в Вт) и в режиме энергосбережения () (в Вт);

з) годовой расход воды () (в л/год). Указывается следующим образом: "Расход воды X, л/год, определен для 280 стандартных рабочих циклов. Фактический расход воды зависит от интенсивности и режимов использования устройства", где X - значение годового расхода воды (с округлением до целого числа);

и) класс эффективности сушки. Указывается следующим образом: "Эффективность сушки класса X по шкале от G (наименьшая эффективность) до A (наибольшая эффективность)". В случае если информация в техническом листе представлена в виде таблицы, допускается осуществлять запись о классе эффективности сушки в ином виде с указанием градации класса от G (наименьшая эффективность) до A (наибольшая эффективность);

к) указание программы, которая является стандартным циклом работы, пригодным для удаления обычной степени загрязнения посуды при наилучшем сочетании энергопотребления и расхода воды;

л) время выполнения программы стандартного цикла работы (в минутах) (с округлением до целого числа);

м) длительность режима энергосбережения () (в минутах), в случае если бытовая посудомоечная машина оснащена системой регулирования мощности;

н) корректированный уровень звуковой мощности (в дБ (A) относительно 1 пВт) (с округлением до целого числа);

о) указание на то, что посудомоечная машина является встраиваемой (при необходимости).

13. В одном техническом листе посудомоечной машины может содержаться информация о ряде посудомоечных машин, поставляемых одним и тем же изготовителем.

14. Информация, содержащаяся в техническом листе посудомоечных машин, может быть представлена в виде цветной или черно-белой копии этикетки этой посудомоечной машины. В таком случае также должна быть указана информация, указанная в пункте 12 и отсутствующая на этикетке.

VI. Определение классов энергетической эффективности посудомоечных машин

15. Класс энергетической эффективности посудомоечных машин определяется в соответствии с индексом энергетической эффективности (EEI) в соответствии с таблицей 4.

Таблица 4

Классы энергетической эффективности посудомоечных машин

Класс энергетической эффективностиИндекс энергетической эффективности
A +++ (наиболее эффективный)EEI < 50
A ++50 EEI < 56
A +56 EEI < 63
A63 EEI < 71
B71 EEI < 80
C80 EEI < 90
D (наименее эффективный)EEI 90

16. Класс эффективности сушки посудомоечных машин определяется на основе остаточного содержания влаги в соответствии с таблицей 5.

Таблица 5

Классы эффективности сушки посудомоечных машин

Класс энергетической эффективностиОстаточное содержание влаги (%)
A (наиболее эффективный) > 1,08
B1,08 > 0,86
C0,86 > 0,69
D0,69 > 0,55
E0,55 > 0,44
F0,44 > 0,33
G (наименее эффективный)0,33

Приложение N 8
к техническому регламенту
Евразийского экономического союза
"О требованиях к энергетической
эффективности энергопотребляющих
устройств" (ТР ЕАЭС 048/2019)

ТРЕБОВАНИЯ К ЭНЕРГЕТИЧЕСКОЙ ЭФФЕКТИВНОСТИ ТЕЛЕВИЗИОННЫХ ПРИСТАВОК

I. Область применения

1. Настоящие Требования распространяются на выпускаемые в обращение на таможенной территории Евразийского экономического союза (далее - Союз) автономные (не встраиваемые в приемники теле- и (или) радиовещания) абонентские телевизионные приставки (далее - телевизионные приставки), предназначенные для преобразования открытого некодированного цифрового теле- и (или) радиовещания стандартной и (или) высокой четкости в сигналы, соответствующие аналоговому телевидению и (или) радио, которые не имеют функции "условный доступ" и функции записи на съемные носители информации в стандартном формате, но могут иметь:

а) функцию фоновой записи вещаемой программы на встроенный накопитель информации (жесткий диск) с возможностью последующего ее просмотра со сдвигом времени;

б) функцию преобразования принимаемых сигналов телевещания высокой четкости в видеосигнал высокой или стандартной четкости;

в) второй тюнер.

II. Основные понятия

2. Для целей применения настоящих Требований используются понятия, которые означают следующее:

"автоматическое снижение электропитания" - функция, которая переключает телевизионную приставку из активного режима работы в режим ожидания после определенного интервала времени работы в активном режиме с момента последнего вмешательства пользователя и (или) смены канала;

"активный (рабочий) режим" - состояние, когда оборудование подключено к источнику питания и в соответствии со своим назначением выполняет как минимум 1 из главных рабочих функций;

"второй тюнер" - составная часть (узел) телевизионной приставки, которая может быть использована для записи программы теле- и (или) радиовещания при одновременном просмотре другой вещательной программы;

"режим выключения" - состояние, при котором оборудование подключено к источнику питания, но не находится в активном (рабочем) режиме или режиме ожидания, а может выполнять лишь функции обеспечения электромагнитной совместимости и (или) индикации режима выключения;

"режим ожидания" - состояние, при котором электрическое оборудование подключено к источнику питания и в течение неограниченного времени выполняет функцию реактивации (в том числе с индикацией способности (готовности) к реактивации) и (или) функцию информирования или отображения состояния;

"условный доступ" - подконтрольная провайдеру система ограничения доступа к платным программам теле- и (или) радиовещания;

"функция информирования или отображения состояния" - функция, обеспечивающая предоставление информации или отображение на индикаторе состояния оборудования, включая индикацию времени;

"функция реактивации" - функция, обеспечивающая посредством устройств дистанционного управления, внутренних датчиков или регуляторов выдержки времени способность к переходу из режима ожидания в активный (рабочий) режим, при котором происходит активация выполнения главных или главных и дополнительных функций оборудования.

III. Требования к энергетической эффективности телевизионных приставок и особенности определения показателей энергетической эффективности

3. Энергопотребление телевизионных приставок не должно превышать предельных значений, указанных в таблице.

Таблица

Предельные значения энергопотребления

Изделие, дополнительные компоненты или функцииПредельные значения потребляемой мощности (Вт), не более
в режиме ожиданияв активном (рабочем) режиме
Телевизионная приставка, обеспечивающая выполнение только основных функций0,505,00
Увеличение энергопотребления при наличии функции информирования или отображения состояния+ 0,50-
Увеличение энергопотребления при наличии встроенного накопителя информации (жесткого диска)-+ 6,00
Увеличение энергопотребления при наличии второго тюнера-+ 1,00
Увеличение энергопотребления при наличии функции декодирования сигналов высокой четкости-+ 1,00

4. В телевизионных приставках должен быть реализован режим ожидания.

5. В телевизионных приставках должны быть реализованы автоматическое снижение энергопотребления или аналогичная функция с учетом следующих требований:

а) телевизионная приставка должна автоматически переходить из активного (рабочего) режима в режим ожидания после не более чем 3 часов работы в активном (рабочем) режиме с момента последнего взаимодействия с пользователем и (или) смены канала с предупредительным сигналом в течение 2 минут перед переходом в режим ожидания;

б) функция автоматического снижения электропитания должна быть включенной по умолчанию.

6. Эксплуатационные документы, прилагаемые к телевизионным приставкам, предусмотренные пунктом 13 технического регламента Евразийского экономического союза "О требованиях к энергетической эффективности энергопотребляющих устройств" (ТР ЕАЭС 048/2019) (далее - технический регламент), должны содержать следующие сведения:

а) энергопотребление в активном режиме и режиме ожидания (в Вт) (с округлением до 2 десятичных знаков), включая энергопотребление для различных дополнительных функций и (или) компонентов;

б) описание выбора или программирования режима работы изделия;

в) необходимая последовательность действий (событий) для достижения состояния, в котором изделие автоматически изменяет режим работы;

г) радиочастотные входные сигналы (для цифрового наземного вещания) и входные сигналы промежуточной частоты (для спутникового вещания);

д) иные сведения, описывающие работу изделия.

7. В комплект документов к телевизионным приставкам, указанный с учетом выбранной заявителем схемы декларирования соответствия в подпункте "а" пункта 28 или подпункте "а" пункта 29 технического регламента, для телевизионных приставок дополнительно должна быть включена следующая информация:

используемые методы испытаний (измерений) энергопотребления;

даты проведения испытаний (измерений);

параметры, контролируемые при проведении испытаний (измерений):

температура окружающей среды;

испытательное напряжение (в В) и частота (в Гц);

суммарный коэффициент гармонических составляющих сети электропитания;

колебание напряжения источника питания в ходе испытаний (измерений);

сведения о средствах измерений, настройках и схемах, используемых при проведении испытаний (измерений);

испытательные аудио- и видеосигналы, соответствующие транспортному потоку MPEG-2;

расположение органов управления.

Не требуется включать в указанный комплект документов документы, касающиеся требований к мощности, потребляемой такими периферийными устройствами, подключаемыми к телевизионной приставке для приема теле- и (или) радиовещания, как активная антенна для приема наземного вещания, спутниковый малошумный конвертер-моноблок, любой кабель или телекоммуникационный модем.

IV. Допустимые отклонения параметров энергетической эффективности телевизионных приставок при проведении испытаний (измерений) после их выпуска в обращение

8. В случае проведения испытаний (измерений) телевизионных приставок после их выпуска в обращение на таможенной территории Союза проводятся испытания (измерения) одного типового экземпляра каждой модели телевизионной приставки.

Модель телевизионной приставки считается соответствующей настоящим Требованиям, если результаты испытаний (измерений) не превышают предельных значений более чем на 10% или 0,10 Вт для контроля потребляемой мощности, величина которой соответственно превышает или не превышает 1,00 Вт.

В ином случае проверяются еще 3 типовых экземпляра модели телевизионной приставки. Модель телевизионной приставки считается соответствующей настоящим Требованиям, если среднее значение результатов измерений этих 3 типовых экземпляров телевизионной приставки не превышает предельных значений более чем на величину, указанную в абзаце втором настоящего пункта.

В иных случаях данную модель телевизионной приставки следует рассматривать как не соответствующую требованиям технического регламента.

Приложение N 9
к техническому регламенту
Евразийского экономического союза
"О требованиях к энергетической
эффективности энергопотребляющих
устройств" (ТР ЕАЭС 048/2019)

ТРЕБОВАНИЯ К ЭНЕРГЕТИЧЕСКОЙ ЭФФЕКТИВНОСТИ ЛАМП ЭЛЕКТРИЧЕСКИХ

(в ред. Решений Совета Евразийской экономической комиссии от 29.01.2021 N 6, от 15.04.2022 N 50от 08.07.2025 N 54)

I. Область применения

1. Настоящие Требования распространяются на выпускаемые в обращение на таможенной территории Евразийского экономического союза (далее - Союз) электрические лампы ненаправленного света бытового и аналогичного назначения, которые также могут применяться для других целей, помимо освещения или встраиваться в другие электрические энергопотребляющие устройства (далее - электрические лампы), за исключением ламп:

а) со следующими координатами цветности xy и y:

x < 0,200 или x > 0,600;

y < - 2,3172 x2 + 2,3653 x - 0,2800 или y > - 2,3172 x2 + 2,3653 x - 0,1000;

б) с направленным светоизлучением;

в) со световым потоком менее 60 люмен или свыше 12 000 люмен;

г) у которых:

как минимум 6% общего излучения в области 250 - 780 нм находится между 250 и 400 нм;

пик излучения находится между 315 и 400 нм (UVA) или 280 и 315 нм (UVB);

д) люминесцентных ламп без встроенного пускорегулирующего аппарата;

е) газоразрядных высокого давления;

ж) ламп накаливания с цоколем E14/E27/В22/В15 для рабочего напряжения 60 В или менее, без встроенного трансформатора;

з) специальных (бесцокольных ламп, софитных ламп, механически прочных ламп, ламп с фокусирующим цоколем, ламп последовательного включения, декоративных ламп, светонаправляющих ламп, сверхминиатюрных ламп, миниатюрных ламп, малогабаритных ламп, среднегабаритных ламп, крупногабаритных ламп, двухцокольных миниатюрных ламп, ламп проекторных с зеркальным отражателем, импульсных ламп, ламп смешанного света, ламп дневного света, ламп Мура, бактерицидных ламп, точечных ламп, ультрафиолетовых ламп, ленточных ламп, электролюминесцентных ламп, инфракрасных ламп, спектральных ламп, ламп для бытовых приборов (холодильников, печей и т.д.)).

II. Основные понятия

2. Для целей применения настоящих Требования используются понятия, которые означают следующее:

"блок питания" - устройство, предназначенное для преобразования питающего сетевого напряжения переменного тока в напряжение постоянного тока или в другое напряжение переменного тока;

"бытовая лампа" - лампа, предназначенная для освещения пространства в быту и не являющаяся специальной лампой;

"внешняя оболочка лампы" - вторая (внешняя) оболочка лампы, которая не требуется для генерации света (например, внешняя колба, которая должна обеспечивать оптимальные условия работы горелки, препятствовать выходу ультрафиолетового излучения и (или) рассеивать свет и предотвращать попадание ртути и стекла в окружающую среду при разбивании горелки);

"вольфрамовая галогенная лампа накаливания" - лампа накаливания, нить накала которой состоит из вольфрама и окружена оболочкой, заполненной галогенами или галогенными соединениями;

"время зажигания" - время, необходимое для полного загорания и дальнейшего горения лампы после ее включения в сеть;

"время разгорания" - время, в течение которого достигается 60% номинального светового потока после включения лампы в сеть;

"газоразрядная лампа" - разрядная лампа, в которой оптическое излучение возникает в результате электрического разряда в газе;

"газоразрядная лампа высокого давления" - газоразрядная лампа, в которой светоизлучающая электрическая дуга стабилизируется температурой стенок горелки и тепловая нагрузка на стенки колбы превышает 3 Вт/см2;

"индекс цветопередачи (Ra)" - мера соответствия зрительных восприятий цветного объекта, освещенного исследуемым и стандартным источниками света при определенных условиях наблюдения;

"компактная люминесцентная лампа" - люминесцентная лампа, в которой ее зажигание и стабильную работу обеспечивают встроенный в цоколь пускорегулирующий аппарат и другие дополнительные элементы;

"коррелированная цветовая температура (Tc [K])" - температура излучателя Планка (черного тела), воспринимаемый цвет которого наиболее близко напоминает тот, который имеет данный раздражитель при одинаковой яркости и при определенных условиях просмотра;

"коэффициент мощности" - отношение активной (полезной) мощности к полной мощности при работе на переменном токе;

"коэффициент сохранения светового потока лампы (LLMF)" - отношение светового потока лампы в заданный момент ее срока службы (жизненного цикла) к начальному световому потоку этой лампы (измеренному после 100 часов эксплуатации);

"коэффициент срока службы лампы (LSF)" - доля еще функционирующих в данный момент при определенных условиях и при определенной частоте включений (переключений) ламп от общего количества ламп;

"лампа" - источник оптического излучения, создаваемого в результате преобразования электрической энергии;

"лампа накаливания" - лампа с герметичной колбой, в которой свет излучается телом (нитью) накала при прохождении через него электрического тока в вакууме или атмосфере инертного газа;

"лампа направленного света" - лампа, которая излучает как минимум 80% своего светового потока в пределах телесного угла 3,14 стерадиан (соответствует конусу с углом при вершине 120°);

"лампа ненаправленного света" - лампа, которая не является лампой направленного света;

"лампа с непрозрачной колбой" - лампа, не соответствующая критериям ламп с прозрачной колбой, включая компактные люминесцентные лампы";

"лампа с прозрачной колбой" - лампа (исключая компактные люминесцентные лампы), яркость которой при световом потоке менее 2 000 лм превышает 25 000 кд/м2, а при более высоком световом потоке превышает 100 000 кд/м2, колба которой является прозрачной и нить накала которой, светоизлучающий диод или газоразрядная трубка видны;

"люминесцентная лампа" - ртутная лампа низкого давления, в которой свет излучает один или несколько слоев люминофора, возбуждаемых ультрафиолетовым излучением электрического разряда. Люминесцентные лампы поставляются со встроенным пускорегулирующим аппаратом или без него;

"модель" - изделия одного типа и одного изготовителя;

"номинальное значение" - количественное значение параметра при заданных рабочих условиях, используемое для обозначения или идентификации изделия и указываемое изготовителем в эксплуатационных документах;

"патрон" - устройство, в которое в зависимости от назначения вставляется цоколь лампы или стартер для их крепления и присоединения к электрической сети;

"преждевременный отказ" - выход лампы из строя до истечения срока службы, установленного в эксплуатационных документах на лампу;

"пускорегулирующий аппарат" - устройство, включаемое между сетью и одной или несколькими разрядными лампами, которое посредством индуктивности, емкости или их комбинации обеспечивает главным образом ограничение тока лампы на уровне требуемого значения. Пускорегулирующие аппараты (далее - ПРА) может состоять из одного или нескольких блоков. ПРА также может содержать средства для трансформации напряжения сети и устройства, помогающие обеспечить напряжение для зажигания лампы, предотвращение холодного зажигания, уменьшение стробоскопического эффекта, исправление коэффициента мощности и (или) подавление сетевых радиопомех. ПРА может быть встроен в лампу или быть отдельным от нее;

"разрядная лампа" - лампа, в которой оптическое излучение возникает в результате электрического разряда в газах, парах металлов, галогенидов или их смеси;

"расчетное значение" - количественное значение параметра при определенных (заданных) условиях. Значения и условия приводятся в соответствующих стандартах или сообщаются изготовителем (поставщиком). Если не указано ничего иного, то все требования выражены как расчетные значения. Расчетное значение получается расчетным путем, то есть не экспериментальным путем;

"световая отдача " - отношение светового потока, излучаемого источником света, к потребляемой им мощности, выраженное в люменах на ватт (лм/Вт). Световая отдача является показателем эффективности и экономичности источников света и рассчитывается по формуле:

,

где:

Ф - световой поток, излучаемый источником света;

P - потребляемая им мощность.

Дополнительные устройства, как, например, ПРА, трансформаторы и блоки питания в потребляемой мощности лампы (P), не учитываются;

"световой поток (Ф)" - энергия видимого излучения, переносимая потоком излучения в единицу времени (в лм), измеряемая после 100 часов эксплуатации лампы;

"светодиод (LED)" - полупроводниковый прибор с p-n переходом, испускающий некогерентное видимое излучение при подаче на него электрического напряжения;

"светодиодная лампа (LED-лампа)" - лампа, содержащая 1 или несколько светодиодных сборок. Светодиодная лампа может быть снабжена цоколем;

"специальная лампа" - лампа, которая на основании ее технических характеристик или согласно прилагаемой к ней эксплуатационной документации не подходит для освещения пространства в быту;

"срок службы лампы" - время эксплуатации, после которого доля функционирующих ламп от общего количества ламп при определенных условиях и при определенной частоте включений (переключений) соответствует коэффициенту срока службы лампы;

"цветность" - характеристика качества цвета лампы, определяемая ее координатами цветности;

"цветопередача" - влияние спектрального состава излучения лампы на зрительное восприятие освещаемых ею объектов, характеризуемое индексом цветопередачи;

"цикл переключения" - последовательность включения и выключения лампы через определенные промежутки времени;

"цоколь" - деталь электрической лампы, служащая для ее крепления в патроне и обеспечивающая присоединение к питающей сети;

"яркость" - количество света, отраженного или излучаемого с поверхности на единицу видимой площади в пределах телесного угла (кд/м2).

III. Требования к энергетической эффективности и эксплуатационным документам электрических ламп

3. Для электрических ламп должны быть проведены соответствующие испытания (измерения) и определены следующие значения:

а) световая отдача ;

б) потребляемая мощность ();

в) коэффициент сохранения светового потока лампы (LLMF);

г) коэффициент срока службы лампы (LSF);

д) срок службы лампы;

е) цветность;

ж) световой поток (Ф);

з) коррелированная цветовая температура (Tc [K]);

и) индекс цветопередачи (Ra);

к) эффективность ультрафиолетового излучения;

л) время зажигания;

м) время разгорания;

н) коэффициент мощности;

о) яркость.

4. Номинальное значение потребляемой мощности не должно превышать предельно допустимого значения (), определяемого в зависимости от светового потока (Ф) согласно таблице 1.

Таблица 1

Предельно допустимые значения энергопотребления

Срок вступления настоящих Требований в силуПредельно допустимое значение потребляемой мощности () (в Вт) в зависимости от светового потока (Ф) (в лм) для ламп
с прозрачной колбойс непрозрачной колбой
С 1 сентября 2028 г.
(в ред. Решений Совета Евразийской экономической комиссии от 29.01.2021 N 6, от 15.04.2022 N 50от 08.07.2025 N 54)
С 1 сентября 2030 г.
(в ред. Решений Совета Евразийской экономической комиссии от 29.01.2021 N 6, от 15.04.2022 N 50от 08.07.2025 N 54)

Исключения для предельно допустимых значений, указанных в таблице 1, приведены в таблице 2.

Таблица 2

Исключения для предельно допустимых значений энергопотребления <*>

<*> Особенности обращения на таможенной территории Евразийского экономического союза ламп накаливания в зависимости от предельно допустимых значений энергопотребления устанавливаются законодательством государств - членов Евразийского экономического союза.

Срок вступления требований настоящего документаЛампы, подпадающие под исключениеПредельно допустимое значение потребляемой мощности () (в Вт) в зависимости от Ф (в лм)
С 1 сентября 2028 г.с прозрачной колбой и световым потоком:
60 лм Ф 725 лм
(в ред. Решений Совета Евразийской экономической комиссии от 29.01.2021 N 6, от 15.04.2022 N 50от 08.07.2025 N 54)
С 1 сентября 2029 г.с прозрачной колбой и световым потоком:
60 лм Ф 450 лм
(в ред. Решений Совета Евразийской экономической комиссии от 29.01.2021 N 6, от 15.04.2022 N 50от 08.07.2025 N 54)
1 сентября 2031 г.с прозрачной колбой и цоколем G9 и R7s
(в ред. Решений Совета Евразийской экономической комиссии от 29.01.2021 N 6, от 15.04.2022 N 50от 08.07.2025 N 54)

Значения поправочных коэффициентов (K) для расчетного значения максимально потребляемой мощности приведены в таблице 3.

Таблица 3

Поправочные коэффициенты

Тип лампыКоэффициент (K)
Лампа накаливания с внешним блоком питания / 1,06
Разрядная лампа с цоколем GX53 / 0,75
Лампа с непрозрачной колбой с коэффициентом цветопередачи 90 и / 0,85
Газоразрядная лампа с коэффициентом цветопередачи 90 и цветовой температурой Tc 5 000 K / 0,76
Лампа с непрозрачной колбой со второй оболочкой и / 0,95
LED-лампа с внешним блоком питания / 1,1

5. Требования к эксплуатационным характеристикам компактных люминесцентных ламп приведены в таблице 4. Для ламп, отличающихся от компактных люминесцентных ламп и LED-ламп, требования приведены в таблице 5.

Таблица 4

Требования к эксплуатационным характеристикам компактных люминесцентных ламп

ХарактеристикаВступают в силу с 1 сентября 2029 г.Вступают в силу с 1 сентября 2031 г.
(в ред. Решений Совета Евразийской экономической комиссии от 29.01.2021 N 6, от 15.04.2022 N 50от 08.07.2025 N 54)
Коэффициент срока службы лампы при 6 000 ч работы 0,50 0,70
Стабильность светового потока лампыпри 2 000 ч 85%
( 80% для ламп со второй оболочкой)
при 2 000 ч 88%
( 83% для ламп со второй оболочкой) при 6 000 ч 70%
Количество циклов переключения до выхода из строя половине срока службы лампы в часах
10 000, если время зажигания > 0,3 с
срока службы лампы в часах;
30 000, если время зажигания > 0,3 с
Время зажигания< 2,0 с< 1,5 с, если Р < 10 Вт
< 1,0 с, если Р 10 Вт
Время разгорания до достижения 60% светового потока (Ф)< 60 с;
< 120 с для ламп, которые содержат амальгаму ртути
< 40 с или < 100 с для ламп, которые содержат амальгаму ртути
Частота преждевременного выхода из строя 2,0% после 200 ч 2,0% после 400 ч
UVA + UVB-излучение 2,0 мВт/клм 2,0 мВт/клм
UVC-из лучение 0,01 мВт/клм 0,01 мВт/клм
Коэффициент мощности лампы 0,50, если P < 25 Вт
0,90, если P 25 Вт
0,55, если P 25 Вт
0,90, если P 25 Вт
Индекс цветопередачи (Ra) 80 80

Таблица 5

Требования к эксплуатационным характеристикам ламп, отличающихся от компактных люминесцентных ламп и LED-ламп

ХарактеристикаВступают в силу с 1 сентября 2029 г.Вступают в силу с 1 сентября 2031 г.
(в ред. Решений Совета Евразийской экономической комиссии от 29.01.2021 N 6, от 15.04.2022 N 50от 08.07.2025 N 54)
Расчетный срок службы лампы 1 000 ч 2 000 ч
Стабильность светового потока лампы 85% при 75-процентном указанном среднем сроке службы 85% при 75-процентном указанном среднем сроке службы
Количество циклов переключенияв 4 раза превышает расчетный срок службы в часахв 4 раза превышает расчетный срок службы в часах
Время зажигания< 2,0 с< 2,0 с
Время разгорания до достижения 60% светового потока (Ф) 1,0 с 1,0 с
Частота преждевременного выхода из строя 5,0% после 100 ч 5,0% после 200 ч
Коэффициент мощности лампы 0,95 0,95

6. Индекс энергетической эффективности (EEI) модели электрической лампы рассчитывается путем сравнения ее потребляемой мощности, скорректированной вследствие возможных потерь на пускорегулирующий аппарат, с ее номинальной потребляемой мощностью. Номинальная потребляемая мощность это производная от полезного светового потока (), являющаяся общим световым потоком для ламп с ненаправленным светоизлучением и световым потоком в конусе с углом 90° или 120° для ламп с направленным светоизлучением.

EEI рассчитывается следующим образом (с округлением до двух десятичных знаков):

,

где:

- измеренное значение потребляемой мощности () для моделей ламп без внешнего пускорегулирующего аппарата и измеренное значение потребляемой мощности (Prated), скорректированное в виду возможных потерь согласно таблице 6 для моделей ламп с внешним пускорегулирующим аппаратом. измеряется при номинальном входном напряжении лампы;

- расчетное значение потребляемой мощности, которое рассчитывается на основании следующих формул:

Для моделей < 1300 лм:

Для моделей >= 1300 лм: = 0,07341

Таблица 6

Тип лампыПотребляемая мощность, скорректированная ввиду возможных потерь на пускорегулирующий аппарат
Лампы, которые эксплуатируются с внешними пускорегулирующими аппаратами x 1,06
Лампы, которые эксплуатируются с внешними пускорегулирующими аппаратами для светодиодных ламп x 1,10
Люминесцентные лампы с диаметром 16 мм (T5 - лампы) и одноцокольные люминесцентные лампы с четырьмя выводами, которые эксплуатируются с внешними пускорегулирующими аппаратами для люминесцентных ламп x 1,10
Прочие лампы, которые эксплуатируются с внешними пускорегулирующими аппаратами для люминесцентных ламп
Лампы, которые эксплуатируются с внешними пускорегулирующими аппаратами для газоразрядных ламп высокого давления x 1,10
Лампы, которые эксплуатируются с внешними пускорегулирующими аппаратами для натриевых газоразрядных ламп низкого давления x 1,15

Полезный световой поток определяется в соответствии с таблицей 7.

Таблица 7

МодельПолезный световой поток ()
Лампы с ненаправленным светомОбщий номинальный световой поток (Ф)
Лампы с направленным светоизлучением с углом раствора луча 90°, за исключением ламп накаливания, на упаковке которых находится предупреждение в текстовой или графической форме, согласно которому они не подходят для направленного освещения/подсветкиИзмеренный световой поток в конусе с углом 120° ()
Прочие лампы с направленным светоизлучениемИзмеренный световой поток в конусе с углом 90° ()

Взвешенное энергопотребление () рассчитывается в кВт·ч/1000 ч следующим образом (с округлением до двух десятичных знаков):

.

7. В дополнение к требованиям, указанным в разделе V технического регламента Евразийского экономического союза "О требованиях к энергетической эффективности энергопотребляющих устройств" (ТР ЕАЭС 048/2019) (далее - технический регламент), упаковка или эксплуатационные документы должны содержать следующую информацию для бытовых ламп ненаправленного света:

количество циклов переключения до преждевременного выхода из строя;

время разгорания до достижения 60% полного светового потока (если это время составляет менее 1 с, то можно указать "мгновенное зажигание");

соответствующее указание, если регулирование светового потока лампы невозможно или возможно только при помощи определенного вида регулирования;

соответствующее указание, если лампа предназначена для эксплуатации в специальных, нестандартных условиях (например, температура окружающей среды =/ 25 °C);

номинальная потребляемая мощность (если номинальная потребляемая мощность лампы указывается отдельно от энергетической маркировки, то номинальный световой поток также следует указывать отдельно, а именно шрифтом, который как минимум в 2 раза больше шрифта, используемого для указания номинальной потребляемой мощности);

цветовая температура (в виде числового значения в градусах Кельвина);

срок службы лампы в часах (не более чем расчетный срок службы);

размеры (длина и диаметр) в миллиметрах;

если на упаковке указывается эквивалентность обычной лампе накаливания, то должна указываться та эквивалентная мощность (округленная до целого числа), которая согласно таблице 8 соответствует световому потоку лампы, содержащейся в упаковке.

Таблица 8

Расчетный световой поток и потребляемая мощность эквивалентной лампы накаливания

Расчетный световой поток (Ф) для различных типов ламп, лмПотребляемая мощность эквивалентной лампы накаливания (в Вт)
компактные люминесцентныегалогенные накаливаниясветодиодные и иные
12511913615
22921724925
43241047040
74170280660
9709201 05575
1 3981 3261 521100
2 2532 1372 452150
3 1723 0093 452200

Промежуточные значения для светового потока и потребляемой мощности эквивалентной лампы накаливания (округленные до целого числа) следует определять путем линейного интерполирования между смежными значениями.

Обозначение "энергосберегающая лампа" или аналогичное обозначение рекламного характера в отношении энергетической эффективности лампы допустимо, только если лампа соответствует требованиям к энергетической эффективности, применимым к лампам с колбой из непрозрачного стекла этапа 1, приведенным в таблице 1.

Если лампа содержит ртуть, то должна быть указана следующая дополнительная информация:

указания инструкция по очистке помещения в случае повреждения (разрушения) лампы;

рекомендации по утилизации лампы.

8. В дополнение к приведенной в пункте 7 настоящих Требований информации к комплекту документов должна прилагаться следующая информация, которая также предоставляется в любом удобном для изготовителя виде (в том числе через "Интернет"):

потребляемая мощность (с точностью до 0,1 Вт);

световой поток;

срок службы;

коэффициент мощности;

стабильность светового потока лампы в конце номинального срока службы;

время зажигания (в сек);

индекс цветопередачи.

IV. Допустимые отклонения параметров энергетической эффективности ламп электрических при проведении испытаний (измерений) после их выпуска в обращение

9. В случае проведения испытаний (измерений) ламп электрических после их выпуска в обращение на таможенной территории Союза проводятся испытания (измерения) партии, состоящей из не менее 20 образцов одной модели и одного изготовителя. Измеренное значение потребляемой мощности не должно быть больше номинального (заявленного) значения более чем на 10%, а измеренное значение светового потока не должно быть меньше номинального (заявленного) значения более чем на 10%.

В иных случаях данную модель электрической лампы следует рассматривать как не соответствующую требованиям технического регламента.

V. Содержание этикетки энергетической эффективности и технического листа ламп электрических

10. Этикетка энергетической эффективности ламп электрических должна содержать следующие сведения:

I. наименование или товарный знак (при наличии) изготовителя;

II. обозначение модели;

III. класс энергетической эффективности;

Пиктограмма энергетической эффективности располагается на том же уровне, что и стрелка соответствующего класса энергетической эффективности;

IV. Ec - расчетное потребление электроэнергии в кВт*ч за 1000 часов работы лампы (округляется до целого числа);

11. Технический лист, включаемый в состав эксплуатационной документации ламп электрических, должен содержать перечень характеристик, предусмотренных пунктом 10 настоящих Требований.

VI. Определение классов энергетической эффективности ламп электрических

12. Класс энергетической эффективности ламп электрических определяется в соответствии с индексом энергетической эффективности (EEI) в соответствии с таблицей 9.

Таблица 9

Классы энергетической эффективности ламп электрических

Класс энергетической эффективностиИндекс энергетической эффективности
Для ламп (источников света) ненаправленного света
A ++EEI 0,11
A +0,11 < EEI 0,17
A0,17 < EEI 0,24
B0,24 < EEI 0,60
C0,60 < EEI 0,80
D0,80 < EEI 0,95
E (наименее эффективный)EEI > 0,95

Приложение N 10
к техническому регламенту
Евразийского экономического союза
"О требованиях к энергетической
эффективности энергопотребляющих
устройств" (ТР ЕАЭС 048/2019)

ТРЕБОВАНИЯ К ЭНЕРГЕТИЧЕСКОЙ ЭФФЕКТИВНОСТИ ВНЕШНИХ ИСТОЧНИКОВ ПИТАНИЯ

I. Область применения

1. Настоящие Требования распространяются на выпускаемые в обращение на таможенной территории Евразийского экономического союза (далее - Союз) внешние источники питания, за исключением:

а) преобразователей напряжения;

б) источников бесперебойного питания;

в) зарядных устройств для аккумуляторных батарей;

г) преобразователей для галогеновых ламп;

д) внешних источников питания для медицинского оборудования;

е) внешних источников питания, имеющих более одного выхода с независимым преобразованием напряжения по каждому выходу;

ж) внешних источников питания, выпускаемых в обращение на таможенной территории Союза в течение 2 лет с момента вступления в силу технического регламента Союза "О требованиях к энергетической эффективности энергопотребляющих устройств" (ТР ЕАЭС 048/2019) (далее - технический регламент) в виде запасных частей для оборудования, выпущенного в обращение на территории Союза до вступления технического регламента в силу, при условии, что в эксплуатационных документах на внешний источник питания идентифицировано оборудование, для работы с которым предназначены указанные источники питания.

II. Основные понятия

2. Для целей применения настоящих Требований используются понятия, которые означают следующее:

"активный режим" - режим, при котором вход внешнего источника питания соединен с сетевым источником питания, а выход подсоединен к нагрузке;

"внешний источник питания" - устройство, которое удовлетворяет всем следующим условиям:

предназначено для преобразования входного напряжения переменного тока от источника питания в сети в более низкое выходное напряжение;

способно осуществлять преобразование входного напряжения в выходное напряжение постоянного или переменного тока (внешние источники питания постоянного или переменного тока);

предназначено для использования с отдельным от него питаемым электрическим оборудованием, играющим роль основной нагрузки;

заключено в физическую оболочку (корпус), отделенную от питаемого оборудования основной нагрузки;

соединено с питаемым оборудованием с помощью съемного или жестко закрепленного штеккерно-гнездового электрического соединения, кабеля, шнура, провода или иного соединительного устройства;

имеет номинальную выходную мощность не более 250 Вт;

предназначено для использования с бытовым и офисным электрическим оборудованием, входящим в область применения приложений NN 5 и 17 к техническому регламенту;

"зарядное устройство аккумуляторной батареи" - устройство, которое на своем выходном интерфейсе непосредственно соединяется с полюсами съемной аккумуляторной батареи;

"источник бесперебойного питания" - устройство, которое автоматически обеспечивает резервное питание, в случае если напряжение в сети падает до критически низкого уровня;

"коэффициент полезного действия внешнего источника питания в активном режиме (КПД)" - отношение мощности, обеспечиваемой внешним источником питания в активном режиме, к входной мощности, потребляемой в активном режиме внешним источником питания;

"низковольтный внешний источник питания" - внешний источник питания с номинальным выходным напряжением менее 6 В и номинальным выходным током не менее 550 мА;

"номинальная выходная мощность ()" - выходная мощность, установленная производителем;

"преобразователь для галогеновых ламп" - внешний источник питания, используемый со сверхнизковольтными вольфрамовыми галогеновыми лампами;

"преобразователь напряжения" - устройство, преобразующее выходное напряжение сети с номинальными значениями от 220 В до 240 В переменного тока в выходное напряжение с номинальными значениями от 110 В до 127 В переменного тока с характеристиками, сходными с выходными характеристиками сети;

"режим холостого хода" - режим, при котором вход внешнего источника питания соединен с сетевым источником питания, а к выходу не подключена нагрузка;

"среднее значение КПД внешнего источника питания" - среднее значение КПД внешнего источника питания при 25%, 50%, 75%, и 100% номинальной выходной мощности.

III. Требования к энергетической эффективности внешних источников питания и особенности определения показателей энергетической эффективности

3. Энергопотребление внешнего источника питания в режиме холостого хода не должно превышать предельных значений, указанных в таблице 1.

Таблица 1

Максимально допустимые значения энергопотребления в режиме холостого хода

Номинальная выходная мощность внешнего источника питанияЭнергопотребление в режиме холостого хода
внешние источники питания, за исключением низковольтных источников питаниянизковольтные внешние источники питания
переменного токапостоянного тока
51,0 Вт0,50 Вт0,30 Вт0,30 Вт
> 51,0 Вт0,50 Вт0,50 Втнет требований

4. Среднее значение КПД внешнего источника питания не должно быть ниже предельных значений, указанных в таблице 2.

Таблица 2

Минимально допустимые средние значения КПД

Номинальная мощность внешнего источника питанияСреднее значение КПД
внешние источники питания, за исключением низковольтныхнизковольтные внешние источники питания
1,0 Вт0,480 x + 0,1400,497 x + 0,067
1,0 Вт < 51,0 Вт0,063 x ln () + 0,6220,075 x ln () + 0,561
> 51,0 Вт0,8700,860

5. Измерения мощности, равной или превышающей 0,50 Вт, следует выполнять с неопределенностью менее или равной 2% при доверительном уровне 95%.

6. Измерения мощности менее 0,50 Вт следует выполнять с неопределенностью менее или равной 0,01 Вт при доверительном уровне 95%.

7. Эксплуатационные документы, прилагаемые к внешним источникам питания, предусмотренные пунктом 13 технического регламента, должны содержать следующие сведения об их характеристиках и параметрах:

а) номинальное выходное напряжение (в В);

б) символ, который показывает выходное напряжение (AC или DC);

в) номинальный выходной ток (в А для токов 1 А и в мА для токов < 1 А);

г) номинальная выходная мощность (в Вт) как альтернатива маркировки номинального выходного тока.

8. В комплект документов, прилагаемый к внешним источникам питания, указанный в подпункте "а" пункта 28 или подпункте "а" пункта 29 технического регламента (с учетом выбранной заявителем схемы декларирования соответствия), дополнительно должна включаться следующая информация:

а) используемые методы испытания (измерения) энергопотребления;

б) среднеквадратичные значения выходного тока (в мА) и выходного напряжения (в В) для (25 +/- 2)%, (50 +/- 2)%, (75 +/- 2)% и (100 +/- 2)% номинального выходного тока;

в) значения выходной мощности и потребляемой мощности в активном режиме при (25 +/- 2)%, (50 +/- 2)%, (75 +/- 2)% и (100 +/- 2)% номинального выходного тока;

г) среднеквадратичные значения входного напряжения (в В) и входной мощности (в Вт) при 0% (без нагрузки), (25 +/- 2)%, (50 +/- 2)%, (75 +/- 2)%, и (100 +/- 2)% номинального выходного тока;

д) суммарный коэффициент гармонических составляющих сети электропитания и истинный коэффициент мощности при 0% (без нагрузки), (25 +/- 2)%, (50 +/- 2)%, (75 +/- 2)% и (100 +/- 2)% номинального выходного тока.

IV. Допустимые отклонения параметров энергетической эффективности внешних источников питания при проведении испытаний (измерений) после их выпуска в обращение

9. В случае проведения испытаний (измерений) внешних источников питания после их выпуска в обращение на таможенной территории Союза проводятся испытания (измерения) одного типового образца (экземпляра) каждой модели внешнего источника питания.

Модель внешнего источника питания считается соответствующей настоящим Требованиям, в случае если потребляемая мощность в режиме холостого хода не превышает более чем на 0,10 Вт допустимого предельного значения, установленного в пункте 3 настоящих Требований, а среднее значение КПД - не ниже более чем на 5% допустимого предельного значения, установленного пунктом 4 настоящих Требований.

В случае если полученные значения не соответствуют указанным значениям, испытания (измерения) следует провести в отношении 3 дополнительных образцов внешнего источника питания данной модели. Модель внешнего источника питания считается соответствующей настоящим Требованиям, в случае если среднее значение результатов измерений этих 3 образцов не превышает предельных значений, указанных в абзаце втором настоящего пункта.

В иных случаях данную модель внешнего источника питания следует рассматривать как не соответствующую требованиям технического регламента.

Приложение N 11
к техническому регламенту
Евразийского экономического союза
"О требованиях к энергетической
эффективности энергопотребляющих
устройств" (ТР ЕАЭС 048/2019)

ТРЕБОВАНИЯ К ЭНЕРГЕТИЧЕСКОЙ ЭФФЕКТИВНОСТИ ЦИРКУЛЯЦИОННЫХ НАСОСОВ

I. Область применения

1. Настоящие Требования распространяются на выпускаемые в обращение на таможенной территории Евразийского экономического союза (далее - Союз) герметичные циркуляционные насосы автономные и интегрированные (встроенные в другое оборудование), за исключением следующих циркуляционных насосов:

а) для питьевой воды, имеющих на упаковке и в эксплуатационных документах к ним указание на то, что данный циркуляционный насос предназначен только для питьевой воды;

б) выпускаемых в обращение на таможенной территории Евразийского экономического союза в течение 5 лет со дня вступления в силу технического регламента Союза "О требованиях к энергетической эффективности энергопотребляющих устройств" (ТР ЕАЭС 048/2019) (далее - технический регламент) в качестве запасных частей для замены циркуляционных насосов, встроенных в другое оборудование, выпущенное в обращение на таможенной территории Евразийского экономического союза до вступления в силу технического регламента, при условии, что в эксплуатационных документах на такой интегрированный циркуляционный насос указано оборудование, для встраивания в которое предназначены данные насосы.

II. Основные понятия

2. Для целей применения настоящих Требований используются понятия, которые означают следующее:

"автономный циркуляционный насос" - циркуляционный насос, работающий автономно от оборудования;

"встроенный в оборудование циркуляционный насос" - циркуляционный насос, предназначенный для работы в качестве части оборудования, при этом имеет место по крайней мере одна из конструктивных особенностей:

корпус насоса приспособлен для монтажа и использования в составе оборудования;

циркуляционный насос предназначен для использования в составе оборудования, регулирующего его скорость;

циркуляционный насос имеет характеристики безопасности, не подходящие для автономной работы (класс защиты IP);

циркуляционный насос рассматривается как часть оборудования, которое подлежит подтверждению соответствия;

"герметичный циркуляционный насос" - циркуляционный насос, рабочее колесо которого непосредственно соединено с валом двигателя, погруженного в перекачиваемую среду;

"корпус насоса" - часть лопастного насоса, предназначенная для соединения с трубой системы отопления или вторичного контура распределительной системы охлаждения;

"оборудование" - устройство, которое генерирует и (или) передает тепло;

"циркуляционный насос" - лопастной насос с корпусом или без корпуса, рассчитанный на номинальную гидравлическую мощность от 1 Вт до 2 500 Вт и предназначенный для использования в системах отопления или во вторичных контурах распределительных систем охлаждения;

"циркуляционный насос для питьевой воды" - циркуляционный насос, разработанный специально для использования в системе рециркуляции воды, предназначенной для потребления человеком.

III. Требования к энергетической эффективности циркуляционных насосов и особенности определения показателей энергетической эффективности

3. Изготовителем должен быть произведен расчет индекса энергетической эффективности (EEI) циркуляционного насоса с необходимыми испытаниями (измерениями).

4. Расчет индекса энергетической эффективности (EEI) циркуляционных насосов (кроме циркуляционных насосов, встроенных в оборудование, предназначенное для использования в первичных контурах солнечной системы обогрева и в тепловых насосах) осуществляется в следующем порядке.

Если циркуляционный насос может работать на 2 или более рабочих характеристиках, представляющих собой зависимость напора (H) от подачи (Q), то измерение необходимо выполнять на характеристике, которая обеспечивает достижение максимальных значений произведения Q x H.

Напор (H) представляет собой высоту водяного столба в метрах, образуемую циркуляционным насосом в указанной рабочей точке. Подача (Q) означает объемную скорость потока воды, проходящей через циркуляционный насос в м3/ч.

Находят точку, в которой произведение Q x H имеет максимальное значение, и определяют подачу и напор в этой точке как:

и .

Рассчитывают гидравлическую мощность () в этой точке.

Гидравлическая мощность () представляет собой арифметическое произведение подачи (Q), напора (H) и константы.

"" - гидравлическая мощность (в Вт), передаваемая циркуляционным насосом жидкости, перекачиваемой в определенной рабочей точке.

Рассчитывают контрольную мощность () для диапазона гидравлической мощности 1 Вт 2500 Вт по следующей формуле:

,

где - контрольная мощность (в Вт) циркуляционного насоса.

Контрольная мощность представляет собой соотношение между гидравлической мощностью и потребляемой мощностью циркуляционного насоса, с учетом зависимости эффективности циркуляционного насоса от его размера.

Определяют опорную контрольную линию как прямую линию между точками (, ) и (, ) как показано на рисунке 1.

Рис. 1. Опорная контрольная линия циркуляционного насоса.

Выбирают настройку циркуляционного насоса, гарантирующую, что для циркуляционного насоса произведение Q x H на выбранной линии достигает максимума. Для циркуляционного насоса, встроенного в оборудование, необходимо следовать опорной контрольной линии, регулируя кривую системы и скорость циркуляционного насоса.

Кривая системы представляет собой графическую зависимость напора от подачи (H = f (Q)) в результате трения в системе отопления или распределительной системе охлаждения, как показано на рисунке 2.

Рис. 2. Кривая системы интегрированного циркуляционного насоса.

Измеряют и H при подачах , 0,75 x , 0,5 x и 0,25 x , где - электрическая мощность (в Вт), потребляемая циркуляционным насосом в определенной рабочей точке.

Рассчитывают компенсирующую мощность на входе () следующим образом:

, если ;

= , если > ,

где:

- напор на опорной контрольной линии при различных подачах;

- измеренная электрическая мощность;

- измеренный напор.

Используют измеренные значения и показанный на рисунке 3 график профиля нагрузки для расчета усредненной компенсирующей мощности ():

Подача (%)Время (%)
1006
7515
5035
2544

Рис. 3. профиль нагрузки.

Усредненную компенсирующую мощность () рассчитывают по следующей формуле:

.

Индекс энергетической эффективности (EEI) рассчитывают по следующей формуле:

,

где:

= 0,49.

означает поправочный коэффициент, гарантирующий, что на время определения поправочного коэффициента только XX% циркуляционных насосов определенного типа имеют EEI 0,20.

5. Индекс энергетической эффективности (EEI) циркуляционных насосов, встроенных в оборудование, предназначенное для использования в первичных контурах системы отопления, использующей солнечную энергию и в тепловых насосах, рассчитывают по следующей формуле:

,

где:

- коэффициент быстроходности циркуляционного насоса в оборотах в минуту (об/мин), рассчитываемый по следующей формуле:

,

где - частота вращения циркуляционного насоса в об/мин, определенная при и .

6. Испытания (измерения) показателей проводятся при следующих условиях:

а) автономный циркуляционный насос в корпусе должен испытываться как единое целое;

б) автономный циркуляционный насос без корпуса должен быть испытан с корпусом, идентичным корпусу насоса, предназначенному для использования с насосом;

в) интегрированный циркуляционный насос должен быть демонтирован из изделия и индекс энергетической эффективности (EEI) измерен со стандартным корпусом насоса;

г) циркуляционный насос без корпуса, предназначенный для встраивания в изделие, должен быть испытан со стандартным корпусом насоса.

7. Индекс энергетической эффективности (EEI) автономных и интегрированных циркуляционных насосов должен быть не более 0,23.

8. Эксплуатационные документы, прилагаемые к циркуляционным насосам, предусмотренные пунктом 13 технического регламента, должны содержать: следующие сведения об их характеристиках и параметрах:

а) индекс энергетической эффективности (EEI) циркуляционных насосов, указанный в маркировке насоса, на его упаковке и в эксплуатационных документах в форме "EEI <= 0,[XX]";

б) для автономных циркуляционных насосов запись: "Критерий соответствия наиболее эффективных циркуляционных насосов EEI <= 0,20;

в) для циркуляционных насосов, предназначенных для питьевой воды, информацию о назначении: "Данный циркуляционный насос предназначен только для питьевой воды". Такая информация указывается также на упаковке циркуляционного насоса;

г) информацию, касающуюся разборки, повторного использования и утилизации насоса.

IV. Допустимые отклонения параметров энергетической эффективности циркуляционных насосов при проведении испытаний (измерений) после их выпуска в обращение

9. В случае проведения испытаний (измерений) циркуляционных насосов после выпуска их в обращение на таможенной территории Союза проводятся испытания (измерения) одного типового экземпляра каждой модели циркуляционного насоса.

Модель циркуляционного насоса считается соответствующей настоящим Требованиям, в случае если индекс энергетической эффективности (EEI) типового экземпляра модели циркуляционного насоса не превышает значения, установленные для этой модели циркуляционного насоса в соответствии с пунктом 7 настоящих Требований более чем на 7%.

В иных случаях испытаниям (измерениям) подвергают 3 случайно отобранных циркуляционных насоса данной модели. Модель циркуляционного насоса считается соответствующей настоящим Требованиям, в случае если среднее значение индекса энергетической эффективности (EEI) этих 3 типовых экземпляров циркуляционного насоса не превышает значения, указанного в абзаце втором настоящего пункта.

В иных случаях данную модель циркуляционного насоса следует рассматривать как не соответствующую требованиям технического регламента.

Приложение N 12
к техническому регламенту
Евразийского экономического союза
"О требованиях к энергетической
эффективности энергопотребляющих
устройств" (ТР ЕАЭС 048/2019)

ТРЕБОВАНИЯ К ЭНЕРГЕТИЧЕСКОЙ ЭФФЕКТИВНОСТИ ВЕНТИЛЯТОРОВ С ЭЛЕКТРОПРИВОДОМ

(в ред. Решения Совета Евразийской экономической комиссии от 29.01.2021 N 6, от 15.04.2022 N 50от 08.07.2025 N 54)

I. Область применения

1. Настоящие Требования распространяются на выпускаемые в обращение на таможенной территории Евразийского экономического союза (далее - Союз) вентиляторы с электроприводом, автономные и встроенные в другое оборудование, мощностью от 125 Вт (включительно) до 500 кВт (включительно) и напряжением питания до 1000 В (включительно) переменного и до 1500 В (включительно) постоянного тока, за исключением комнатных вентиляторов и вентиляторов, предназначенных для:

а) работы во взрывоопасных, токсичных, вызывающих коррозию и содержащих абразивную пыль средах;

б) эксплуатации при температуре движущихся газов свыше 100 °C;

в) эксплуатации при рабочей температуре среды, окружающей электродвигатель вентилятора, свыше 65 °C;

г) эксплуатации при среднегодовой температуре подвижных газов и (или) среднегодовой температуре, окружающей электродвигатель вентилятора, ниже минус 40 °C;

д) только кратковременной работы в чрезвычайных, аварийных и экстренных случаях;

е) встраивания:

в оборудование с одним электродвигателем мощностью не более 3 кВт, приводящим в движение вентилятор и служащим для выполнения других функций, которые являются основными для данного оборудования;

в сушилки для белья и стирально-сушильные машины с номинальной потребляемой мощностью не более 3 кВт;

в кухонные вытяжки и воздухоочистители с номинальной потребляемой мощностью менее 280 Вт.

II. Основные понятия

2. Для целей применения настоящих Требований используются понятия, которые означают следующее:

"вентилятор" - машина с вращающимися лопастями, используемая для поддержания непрерывного потока газа (обычно воздуха), проходящего сквозь нее, работа которой на единицу массы не превышает 25 кДж/кг и которая:

разработана для использования с встроенным электродвигателем или имеет встроенный электродвигатель для вращения крыльчатки при ее оптимальной энергетической эффективности;

является осевым вентилятором, радиальным вентилятором, диаметральным вентилятором или диагональным вентилятором

может быть с двигателем или без него при размещении на рынке или вводе в эксплуатацию;

"входное направляющее устройство" - расположенное перед крыльчаткой направляющее устройство, предназначенное для направления потока газа в крыльчатку, с возможностью регулировки или без такой возможности;

"входной объемный расход (q)" - объем газа, проходящий через вентилятор в единицу времени (м3/с), рассчитываемый через деление массы газа, перемещенной вентилятором (кг/с), на плотность этого газа на входе вентилятора (кг/м3);

"высокоэффективный привод" - приводной механизм с использованием ремня, ширина которого более чем втрое превышает его толщину, зубчатого ремня или колеса;

"вытяжной вентилятор" - вентилятор, не применяемый в следующих энергопотребляющих изделиях:

сушилках для белья и стирально-сушильных машинах с максимальной электрической потребляемой мощностью свыше 3 кВт;

кондиционерах воздуха с максимальной выходной мощностью не более 12 кВт;

электронных вычислительных машинах и другом оборудовании информационных технологий;

"выходное направляющее устройство" - расположенное после крыльчатки направляющее устройство, предназначенное для направления потока газа от крыльчатки, с возможностью регулировки или без такой возможности;

"готовый к эксплуатации" - готовый или подготовленный на месте эксплуатации вентилятор, который содержит все элементы конструкции, необходимые для преобразования электрической энергии в энергию газового потока, не требующий других конструктивных элементов или составных частей;

"давление торможения" - давление, измеренное в точке потока газа, если бы он находился в состоянии покоя при изоэнтропийном процессе;

"диагональный вентилятор" - вентилятор, у которого газ проходит через крыльчатку по пути, расположенному между путями газа в радиальных и осевых вентиляторах;

"диаметральный вентилятор" - вентилятор, у которого направление движения газа через крыльчатку в основном проходит перпендикулярно к оси крыльчатки по ее периметру на входе и выходе;

"динамическое давление" - давление, рассчитанное на основании массового расхода, средней плотности газа на выходе и в области вокруг выхода вентилятора;

"категория измерений" - испытание, измерение или порядок эксплуатации, которые определяют параметры потока на входе и выходе испытуемого вентилятора;

"категория измерений A" - порядок, при котором измерения проводятся на вентиляторе в условиях свободного входа и выхода;

"категория измерений B" - порядок, при котором измерения проводятся на вентиляторе в условиях свободного входа и с воздуховодом на выходе;

"категория измерений C" - порядок, при котором измерения проводятся на вентиляторе в условиях с воздуховодом на входе и свободного выхода;

"категория измерений D" - порядок, при котором измерения проводятся на вентиляторе с воздуховодами на входе и выходе;

"категория эффективности" - формируемая на выходе вентилятора энергия газа, используемая для определения энергетической эффективности вентилятора, а также для определения статического коэффициента полезного действия или суммарного коэффициента полезного действия;

"кольцевое крепление" - кольцеобразная деталь, в которой находится вентилятор, дающая возможность его крепления в приточно-вытяжных конструкциях;

"корпус" - оболочка вокруг крыльчатки, которая направляет газ к крыльчатке, проводит сквозь крыльчатку и отводит от вентилятора;

"коэффициент сжимаемости" - безразмерная величина, определяющая значение сжатия, которому подвергается поток газа в ходе испытаний (измерений), рассчитываемая как отношение выполненной вентилятором механической работы над газом к работе, которая выполнялась бы над не поддающейся сжатию жидкостью с таким же массовым расходом, входной плотностью и отношением давлений вентилятора (при том, что давление вентилятора - это полное давление () или статическое давление ());

"кратковременный режим работы" - режим работы двигателя вентилятора при постоянной нагрузке в течение времени, которого недостаточно для достижения температурного равновесия;

"крыльчатка (колесо вентилятора)" - часть вентилятора, которая передает энергию потоку газа;

"не готовый к эксплуатации" - вентилятор, который собран из нескольких составных частей, содержащих как минимум крыльчатку, но который необходимо дополнить одной или несколькими составными частями для создания возможности преобразования электрической энергии в энергию газового потока;

"низкоэффективный привод" - приводной механизм с использованием ремня, ширина которого менее чем втрое превышает его толщину, или с использованием другого варианта приводного механизма, не являющегося высокоэффективным приводом;

"общий коэффициент полезного действия " - статический коэффициент полезного действия или суммарный коэффициент полезного действия в зависимости от того, что применимо в конкретном случае;

"осевой вентилятор" - вентилятор, перемещающий газ в направлении оси вращения крыльчатки (крыльчаток) с формированием крыльчаткой (крыльчатками) вихревого двигающегося по касательной потока (осевой вентилятор может быть с цилиндрическим корпусом или без него, с входным или выходным направляющим устройством, с пластинчатым или кольцевым креплением);

"пластинчатое крепление" - пластина с отверстием, в котором закреплен вентилятор, дающая возможность крепления вентилятора в приточно-вытяжных конструкциях;

"полное давление ()" - коэффициент сжимаемости для расчета суммарной мощности газового потока вентилятора;

"полное давление, создаваемое вентилятором ()" - разница между давлением торможения на выходе вентилятора и давлением торможения на входе вентилятора;

"приводной механизм" - вид привода для вентилятора (например, с ременной, зубчатой или фрикционной передачей), который не является прямым приводом;

"прямой привод" - конфигурация привода для вентилятора, при котором крыльчатка закрепляется на валу электродвигателя непосредственно либо с помощью гибкого вала и число оборотов крыльчатки равно числу оборотов двигателя;

"расчетная энергетическая эффективность " - минимальная энергетическая эффективность, которую должен обеспечивать вентилятор, чтобы соответствовать требованиям технического регламента Евразийского экономического союза "О требованиях к энергетической эффективности энергопотребляющих устройств" (ТР ЕАЭС 048/2019) (далее - технический регламент), определяемая на основе потребляемой им электрической мощности в условиях оптимальной энергетической эффективности;

"статический коэффициент полезного действия ()" - энергетическая эффективность вентиляторов на основе измеренного статического давления, создаваемого вентилятором;

"статическое давление ()" - коэффициент сжимаемости для расчета статической мощности газового потока вентилятора;

"статическое давление, создаваемое вентилятором ()" - полное давление, создаваемое вентилятором (), за вычетом создаваемого вентилятором динамического давления, умноженного на число Маха;

"степень сжатия" - отношение измеренного на выходе вентилятора статического давления к измеренному статическому давлению на входе вентилятора при работе вентилятора в условиях оптимальной энергетической эффективности;

"суммарный коэффициент полезного действия ()" - энергетическая эффективность вентилятора на основе измеренного полного давления, создаваемого вентилятором;

"число Маха" - поправочный коэффициент, применяемый к динамическому давлению в точке, определенный как давление торможения, уменьшенное на значение давления, оказываемое в относительно неподвижной к окружающему газу точке по сравнению с абсолютным нулевым давлением, и деленное на значение динамического давления;

"уровень эффективности (N)" - параметр, используемый при вычислении расчетной энергетической эффективности вентилятора с определенной потребляемой электрической мощностью в условиях оптимальной энергетической эффективности;

"устройство регулировки частоты вращения" - преобразователь, встроенный в электродвигатель, или работающие как одна система электродвигатель-вентилятор, которые непрерывно преобразуют электрическую энергию, от которой питается электродвигатель, с целью управления величиной отдаваемой электродвигателем механической мощности в соответствии с функцией измерения величины крутящего момента в зависимости от частоты вращения электродвигателя, за исключением устройств управления напряжением, которые изменяют только напряжение питания электродвигателя.

III. Требования к энергетической эффективности и особенности определения показателей энергетической эффективности вентиляторов

3. Значение общей энергетической эффективности вентилятора, определяемой как общий коэффициент полезного действия вентилятора , рассчитанное согласно правилам расчета, приведенным в пунктах 4 - 8 настоящего раздела, должно равняться или превышать значение расчетной энергоэффективности , приведенной в таблице 1.

Требования к энергетической эффективности вентиляторов не распространяются на вентиляторы, которые предназначены для эксплуатации:

с оптимальной энергетической эффективностью, обеспечиваемой при частоте вращения не менее 8 000 оборотов в минуту;

в условиях, при которых коэффициент сжатия превышает 1,11;

в качестве транспортировочных вентиляторов для перемещения негазообразных веществ.

Для вентиляторов двойного применения, предназначенных для использования как в нормальных условиях, так и в чрезвычайных ситуациях в кратковременном режиме работы с учетом требований противопожарной защиты, допустимыми являются уровни энергетической эффективности меньше указанных в таблице 1:

на 5% для всех видов вентиляторов.

Таблица 1

Расчетная энергетическая эффективность для различных типов вентиляторов

Тип вентилятораКатегория измерений (A - D)Статический или суммарный КПДДиапазон мощностей (P), кВтРасчетная энергетическая эффективность <*>
Осевой вентиляторA, Cстатический0,125 <= P <= 10 = 2,74 x lpn - 6,33 + N
10 < P <= 500 = 0,78 x lpn - 1,88 + N
B, Dсуммарный0,125 <= P <= 10 = 2,74 x lpn - 6,33 + N
10 < P <= 500 = 0,78 x lpn - 1,88 + N
Радиальный вентилятор с загнутыми вперед лопастями и с прямыми радиальными лопастямиA, Cстатический0,125 <= P <= 10 = 2,74 x lpn - 6,33 + N
10 < P <= 500 = 0,78 x lpn - 1,88 + N
B, Dсуммарный0,125 <= P <= 10 = 2,74 x lpn - 6,33 + N
10 < P <= 500 = 0,78 x lpn - 1,88 + N
Радиальный вентилятор с загнутыми назад лопастями без корпусаA, Cстатический0,125 <= P <= 10 = 4,56 x lpn - 10,5 + N
10 < P <= 500 = 1,1 x lpn - 2,6 + N
Радиальный вентилятор с загнутыми назад лопастями в корпусеA, Cстатический0,125 <= P <= 10 = 4,56 x lpn - 10,5 + N
10 < P <= 500 = 1,1 x lpn - 2,6 + N
B, Dсуммарный0,125 <= P <= 10 = 4,56 x lpn - 10,5 + N
10 < P <= 500 = 1,1 x lpn - 2,6 + N
Диагональный вентиляторA, Cстатический0,125 <= P <= 10 = 4,56 x lpn - 10,5 + N
10 < P <= 500 = 1,1 x lpn - 2,6 + N
B, Dсуммарный0,125 <= P <= 10 = 4,56 x lpn - 10,5 + N
10 < P <= 500 = 1,1 x lpn - 2,6 + N
Диаметральный вентиляторB, Dсуммарный0,125 <= P <= 10 = 1,14 x lpn - 2,6 + N
10 < P <= 500 = N

<*> Значения уровня эффективности (N) приведены в таблице 2.

Таблица 2

Уровень эффективности (N) вентиляторов

Тип вентилятораКатегория измерений (A - D)Уровень эффективности (N)
с 1 сентября 2029 г.
(в ред. Решений Совета Евразийской экономической комиссии от 29.01.2021 N 6, от 15.04.2022 N 50от 08.07.2025 N 54)
Осевой вентиляторA, C40
B, D58
Радиальный вентилятор с загнутыми вперед лопастями и радиальный вентилятор с прямыми радиальными лопастямиA, C44
B, D49
Радиальный вентилятор с загнутыми назад лопастями без корпусаA, C62
Радиальный вентилятор с загнутыми назад лопастями в корпусеA, C61
B, D64
Диагональный вентиляторA, C50
B, D62
Диаметральный вентиляторB, D21

4. Правила расчета параметров энергетической эффективности вентилятора основаны на отношении между мощностью газового потока вентилятора и потребляемой электрической мощностью электродвигателя, при этом мощность газового потока вентилятора является произведением расхода газа и разницы давлений между входом и выходом вентилятора. Давление является статическим давлением или полным давлением, которое представляет собой сумму статического и динамического давлений в зависимости от категории измерений и уровня эффективности.

5. Если вентилятор поставляется готовым к эксплуатации, то мощность газового потока вентилятора и потребляемую электрическую мощность электродвигателя следует измерять в условиях оптимальной энергетической эффективности:

а) для вентиляторов без регулировки частоты вращения общий коэффициент полезного действия рассчитывается по следующей формуле:

,

где:

- общий коэффициент полезного действия;

- мощность газового потока вентилятора, определенная в соответствии с пунктом 7 настоящих Требований при работе вентилятора в условиях оптимальной энергетической эффективности;

- потребляемая электрическая мощность электродвигателя, измеренная на выводах электродвигателя при работе вентилятора в условиях оптимальной энергетической эффективности;

б) для вентиляторов с регулировкой частоты вращения общий коэффициент полезного действия рассчитывается по следующей формуле:

,

где:

- общий коэффициент полезного действия;

- мощность газового потока вентилятора, определенная в соответствии с пунктом 7 настоящих Требований при работе вентилятора в условиях оптимальной энергетической эффективности;

- потребляемая электрическая мощность электродвигателя, измеренная на выводах регулятора скорости вращения, при работе вентилятора в условиях оптимальной энергоэффективности;

- поправочный коэффициент частичной нагрузки, рассчитываемый по следующей формуле:

= -0,03 x ln() + 1,088, при < 5 кВт,

= 1,04 при >= 5 кВт.

6. Если вентилятор поставляется не готовым к эксплуатации, то общий коэффициент полезного действия в условиях оптимальной энергетической эффективности крыльчатки рассчитывается по следующей формуле:

,

где:

- общий коэффициент полезного действия;

- эффективность крыльчатки, соответствующая / ,

где:

- мощность газового потока вентилятора, определенная в условиях оптимальной энергетической эффективности крыльчатки в соответствии с пунктом 7 настоящих Требований;

- мощность газового потока вентилятора в условиях оптимальной энергоэффективности крыльчатки;

- номинальная эффективность входящего в комплект электродвигателя, предусмотренная приложением N 3 к техническому регламенту. Если двигатель не входит в область применения указанного приложения или отсутствует в комплекте поставки вентилятора, то номинальная эффективность двигателя определяется на основании следующих значений:

если рекомендуемая потребляемая электрическая мощность электродвигателя >= 0,75 кВт, то номинальная эффективность рассчитывается по следующей формуле:

= 0,000278 x () - 0,019247 x () + 0,104395 x X + 0,809761,

где:

x = lg();

- потребляемая электрическая мощность электродвигателя, измеренная на выводах электродвигателя при работе вентилятора в условиях оптимальной энергетической эффективности;

если рекомендуемая потребляемая электрическая мощность электродвигателя < 0,75 кВт, то номинальная эффективность рассчитывается по следующей формуле:

= 0,1462 x ln() + 0,8381,

где:

- потребляемая электрическая мощность электродвигателя, измеренная на выводах электродвигателя при работе вентилятора в условиях оптимальной энергетической эффективности. При этом потребляемая электрическая мощность электродвигателя (), рекомендуемая изготовителем вентилятора, должна быть достаточной, чтобы вентилятор достигал своей оптимальной энергетической эффективности (при необходимости с учетом обусловленных приводом потерь);

- эффективность механизма привода, для которой используются следующие номинальные значения:

при прямом приводе: = 1,0;

если приводной механизм является низкоэффективным приводом, то:

для 5 кВт - = 0,96;

для 1 кВт < < 5 кВт - = 0,0175 x + 0,8725;

для 1 кВт - = 0,89;

если приводной механизм является высокоэффективным приводом, то:

для 5 кВт - = 0,98;

для 1 кВт < < 5 кВт - = 0,01 x + 0,93;

для 1 кВт - = 0,94;

Cm - поправочный коэффициент, учитывающий согласование составных частей, равный 0,9;

Cc - поправочный коэффициент частичной нагрузки, равный:

если электродвигатель без регулировки частоты вращения - = 1,0;

если электродвигатель с регулировкой частоты вращения и >= 5 кВт - = 1,04;

если электродвигатель с регулировкой частоты вращения и < 5 кВт - = -0,03 ln() + 1,088.

7. Мощность газового потока вентилятора в кВт рассчитывается согласно выбранному изготовителем методу контроля для категории измерений:

а) если измерения на вентиляторе проводились согласно категории измерений A или C то применяется статическая мощность газового потока вентилятора, рассчитанная по следующей формуле:

= q x x ;

б) если измерения на вентиляторе проводились согласно категории измерений B или D, то применяется суммарная мощность газового потока вентилятора, рассчитанная по следующей формуле:

= q x x ;

8. Применяются следующие методы определения расчетной энергетической эффективности в зависимости от конструкции вентилятора:

а) для осевых вентиляторов, радиальных вентиляторов с вперед загнутыми лопастями и радиальных вентиляторов с прямыми радиальными лопастями (с встроенным осевым вентилятором) расчетная энергетическая эффективность рассчитывается по следующим формулам:

= 2,74 x ln(P) - 6,33 + N - для мощностей P от 0,125 кВт до 10 кВт;

= 0,78 x ln(P) - 1,88 + N - для мощностей P от 10 кВт до 500 кВт;

где:

P - потребляемая электрическая мощность электродвигателя ;

N - целое число требуемого уровня энергетической эффективности;

б) для радиальных вентиляторов с назад загнутыми лопастями без корпуса, радиальных вентиляторов с назад загнутыми лопастями с корпусом и диагональных вентиляторов расчетная энергетическая эффективность рассчитывается по следующим формулам:

= 4,56 x ln(P) - 10,5 + N - для мощностей P от 0,125 кВт до 10 кВт;

= 1,1 x ln(P) - 2,6 + N - для мощностей P от 10 кВт до 500 кВт;

где:

P - потребляемая электрическая мощность электродвигателя ;

N - целое число требуемого уровня энергоэффективности;

в) для диаметральных вентиляторов расчетная энергетическая эффективность рассчитывается по следующим формулам:

= 1,14 x ln(P) - 2,6 + N - для мощностей P от 0,125 кВт до 10 кВт;

= N - для мощностей P от 10 кВт до 500 кВт;

где:

P - потребляемая электрическая мощность электродвигателя ;

N - целое число требуемого уровня энергетической эффективности.

9. В маркировке вентилятора, предусмотренной пунктом 10 технического регламента, должны содержаться следующие параметры и характеристики его энергетической эффективности:

значение общей энергетической эффективности (с округлением до 1 десятичного знака);

категория измерений (A - D), использованная для определения энергетической эффективности;

категория энергетической эффективности (статический или суммарный коэффициент полезного действия);

при наличии регулировки скорости запись "Вместе с вентилятором должно монтироваться устройство регулировки частоты вращения" или запись "В вентилятор встроено устройство регулировки частоты вращения".

10. Эксплуатационные документы, прилагаемые к вентиляторам, предусмотренные пунктом 13 технического регламента, должны содержать следующие сведения об их характеристиках и параметрах:

а) значение общей энергетической эффективности (с округлением до 1 десятичного знака);

б) категория измерений (A - D), использованная для определения энергетической эффективности;

в) категория энергетической эффективности (статический или суммарный коэффициент полезного действия);

г) при наличии регулировки скорости запись "Вместе с вентилятором должно монтироваться устройство регулировки частоты вращения" или запись "В вентилятор встроено устройство регулировки частоты вращения";

д) уровень эффективности в условиях оптимальной энергетической эффективности;

е) количество оборотов в минуту в условиях оптимальной энергетической эффективности;

ж) сведения о номинальной(ых) потребляемой(ых) мощности(ях) двигателя в кВт, производительности (производительностях) и давлении (давлениях) в условиях оптимальной энергетической эффективности;

з) величина коэффициента сжатия;

и) сведения, необходимые для обеспечения оптимального срока службы вентиляторов при их установке, эксплуатации и техническом обслуживании;

к) информация по разборке, переработке, утилизации вентиляторов и минимизации их воздействия на окружающую среду.

11. В комплект документов к вентиляторам, указанный с учетом выбранной заявителем схемы декларирования соответствия в подпункте "а" пункта 28 или подпункте "а" пункта 29 технического регламента, для вентиляторов дополнительно должна быть включена информация о таких используемых при определении энергетической эффективности вентиляторов деталях и частях оборудования, как воздуховоды, которые не указаны в категории измерений и не поставляются вместе с вентилятором.

IV. Допустимые отклонения параметров энергетической эффективности вентиляторов при проведении испытаний (измерений) после их выпуска в обращение

12. В случае проведения испытаний (измерений) вентиляторов после их выпуска в обращение на таможенной территории Союза проводятся испытания (измерения) одного типового экземпляра каждой модели вентилятора.

Модель вентилятора считается соответствующей настоящим Требованиям, если общий коэффициент полезного действия вентилятора составляет как минимум 90% расчетной энергетической эффективности, определенной согласно пунктам 3 - 8 настоящих Требований при соответствующих уровнях эффективности.

В иных случаях:

для вентиляторов, которые изготавливаются в количестве менее 5 штук в год, считается, что модель вентилятора не соответствует требованиям технического регламента;

для вентиляторов, которые изготавливаются в количестве 5 или более 5 в год, подвергают испытаниям (измерениям) 3 других случайно выбранных типовых экземпляра каждой модели.

Модель вентилятора считается отвечающей настоящим Требованиям, если среднее значение результатов измерений общего коэффициент полезного действия этих 3 типовых экземпляров (образцов) вентилятора составляет не менее величины, указанной в абзаце втором настоящего пункта.

В иных случаях данную модель вентилятора следует рассматривать как не соответствующую требованиям технического регламента.

Приложение N 13
к техническому регламенту
Евразийского экономического союза
"О требованиях к энергетической
эффективности энергопотребляющих
устройств" (ТР ЕАЭС 048/2019)

ТРЕБОВАНИЯ К ЭНЕРГЕТИЧЕСКОЙ ЭФФЕКТИВНОСТИ ЛЮМИНЕСЦЕНТНЫХ ЛАМП БЕЗ ВСТРОЕННОГО ПУСКОРЕГУЛИРУЮЩЕГО АППАРАТА, ГАЗОРАЗРЯДНЫХ ЛАМП ВЫСОКОГО ДАВЛЕНИЯ, ПУСКОРЕГУЛИРУЮЩИХ АППАРАТОВ И СВЕТИЛЬНИКОВ ДЛЯ ТАКИХ ЛАМП

(в ред. Решений Совета Евразийской экономической комиссии от 29.01.2021 N 6, от 15.04.2022 N 50от 08.07.2025 N 54)

I. Область применения

1. Настоящие Требования распространяются на выпускаемые в обращение на таможенной территории Евразийского экономического союза (далее - Союз) люминесцентные лампы без встроенного пускорегулирующего аппарата, газоразрядные лампы высокого давления, пускорегулирующие аппараты и светильники для таких ламп, также если они встроены в другую энергопотребляющую продукцию, за исключением:

а) ламп (кроме натриевых ламп высокого давления), которые не являются источниками белого света;

б) натриевых ламп для освещения теплиц;

в) ламп направленного света;

г) газоразрядных ламп высокого давления смешанного света, у которых:

из суммарного излучения в диапазоне между 250 и 780 нм как минимум 6% находится в диапазоне между 250 и 400 нм;

из суммарного излучения в диапазоне между 250 и 780 нм как минимум 11% находится в диапазоне между 630 и 780 нм;

из суммарного излучения в диапазоне между 250 и 780 нм как минимум 5% находится в диапазоне между 640 и 700 нм;

пик излучения находится в диапазоне между 315 и 400 нм (UVA - ультрафиолетовое излучение типа A) или 280 и 315 нм (UVB - ультрафиолетовое излучение типа B);

д) двухцокольных люминесцентных ламп со следующими характеристиками:

диаметр не более 7 мм (T2);

диаметр 16 мм (T5) и мощность лампы <= 13 Вт или > 80 Вт;

диаметр 38 мм (T12), G-13 - двухштырьковый цоколь, предельные значения цветного светофильтра +/- 5 м (+ пурпурный цвет, - зеленый), цветовые координаты x = 0,330, y = 0,335 и x = 0,415, y = 0,377;

диаметр 38 мм (T12) и внешние зажигающие полосы;

е) одноцокольных люминесцентных ламп со следующими характеристиками:

диаметр 16 мм (T5), четырехштырьковый цоколь 2G11, Tc = 5 500 K, координаты цветности x = 0,330 и y = 0,335 и Tc = 3 200 с координатами цветности x = 0,415 и y = 0,377;

ж) газоразрядных ламп высокого давления, имеющих цветовую температуру Tc > 7 000 K;

з) газоразрядных ламп высокого давления с мощностью UV > 2 мВт/клм;

и) газоразрядных ламп высокого давления с цоколем, отличающимся от цоколей E27, E40 или PGZ12;

к) ламп, применяющихся в компьютерах, фотокопировальных приборах, оборудовании для соляриев, освещения террариумов, и ламп подобного применения;

л) продукции, которая не предназначена для общего освещения или предназначена для использования с лампами, указанными в подпунктах "в" - "д" настоящего пункта, и которая встроена в другую продукцию, не предназначенную для общего освещения;

м) светильников для аварийного освещения и светильников, которые используются в качестве сигнальных;

н) пускорегулирующих аппаратов, которые предназначены для использования с указанными в подпункте "м" настоящего пункта светильниками и сконструированы для эксплуатации с лампами в аварийных ситуациях.

II. Основные понятия

2. Для целей применения настоящих Требований используются следующие понятия, которые означают следующее:

"внешняя оболочка лампы" - вторая (внешняя) оболочка лампы, которая не требуется для генерации света (например, внешняя колба, которая должна обеспечивать оптимальные условия работы горелки, препятствовать выходу ультрафиолетового излучения и (или) рассеивать свет и предотвращать попадание ртути и стекла в окружающую среду при разбивании горелки);

"газоразрядная лампа" - разрядная лампа, в которой оптическое излучение возникает в результате электрического разряда в газе;

"газоразрядная лампа высокого давления" - газоразрядная лампа, в которой светоизлучающая электрическая дуга стабилизируется температурой стенок горелки и тепловая нагрузка на стенки колбы превышает 3 Вт/см2;

"избыточный свет" - часть света осветительного устройства, которая не служит установленной цели, а именно:

свет, который освещает зону, не требующую освещения;

рассеянный свет по соседству с осветительным устройством;

свечение неба, которое означает освещение ночного неба на основании прямого или опосредованного отражения (видимого и невидимого) излучения, рассеиваемого посредством составных компонентов атмосферы (молекулы газа, аэрозоли и частицы) в направлении наблюдения;

"индекс цветопередачи (Ra)" - мера соответствия зрительных восприятий цветного объекта, освещенного исследуемым и стандартным источниками света при определенных условиях наблюдения;

"источник белого света" - источник света, координаты цветности которого соответствуют следующим требованиям:

0,270 < x < 0,530;

- 2,3172 + 2,3653 x - 0,2199 < y < - 2,3172 + 2,3653 x - 0,1595;

"коррелированная цветовая температура (Tc [K])" - температура излучателя планковского (черного тела), воспринимаемый цвет которого наиболее близко напоминает тот, который имеет данный раздражитель при одинаковой яркости и при определенных условиях просмотра;

"коэффициент сохранения светового потока лампы (LLMF)" - отношение светового потока лампы в заданный момент ее срока службы (жизненного цикла) к начальному световому потоку этой лампы;

"коэффициент срока службы лампы (LSF)" - доля еще функционирующих в данный момент при определенных условиях и при определенной частоте включений (переключений) ламп от общего количества ламп;

"КПД пускорегулирующего аппарата " - отношение потребляемой мощности лампы (выходная мощность пускорегулирующего аппарата) к входной мощности электрической цепи пускорегулирующего аппарата, при этом возможные сенсорные датчики, сетевые соединения и другие дополнительные потребители должны быть отсоединены;

"лампа направленного света" - лампа, которая излучает как минимум 80% своего светового потока в пределах телесного угла 3,14 стерадиан (соответствует конусу с углом при вершине 120°);

"лампа ненаправленного света" - лампа, которая не является лампой с направленным светоизлучением;

"лампа с прозрачной колбой" - газоразрядная лампа высокого давления с прозрачной внешней колбой или наружной трубкой, в которой хорошо видна светоизлучающая электрическая дуговая трубка (например, прозрачная стеклянная лампа);

"лампа смешанного света" - лампа, которая в одной колбе содержит последовательно соединенные ртутную лампу и спиральную нить накала;

"люминесцентная лампа" - ртутная лампа низкого давления, в которой свет излучает один или несколько слоев люминофора, возбуждаемых ультрафиолетовым излучением электрического разряда;

"металлогалогенная лампа" - лампа, свет в которой излучает смесь паров металлов, галоидных соединений металлов и продуктов разложения галоидных соединений;

"натриевая лампа высокого давления" - лампа, свет в которой излучают пары натрия, парциальное давление которых при установившемся режиме достигает 10 кПа (75 мм рт. ст.);

"номинальное значение" - количественное значение параметра при заданных рабочих условиях, используемое для обозначения или идентификации изделия и указываемое изготовителем в эксплуатационных документах;

"общее освещение" - в основном равномерное освещение территории без учета особых местных потребностей;

"потребляемая мощность" - мощность, потребляемая при номинальном напряжении питания и максимальной нагрузке;

"пускорегулирующий аппарат" - устройство, включаемое между сетью и одной или несколькими разрядными лампами, которое посредством индуктивности, емкости или их комбинации обеспечивает главным образом ограничение тока лампы на уровне требуемого значения. Пускорегулирующий аппарат (далее - ПРА) может состоять из одного или нескольких блоков. ПРА также может содержать средства для трансформации напряжения сети и устройства, помогающие обеспечить напряжение для зажигания лампы, предотвращение холодного зажигания, уменьшение стробоскопического эффекта, исправление коэффициента мощности и (или) подавление сетевых радиопомех. Пускорегулирующий аппарат может быть встроен в лампу или быть отделенным от нее;

"расчетное значение" - количественное значение параметра при определенных (заданных) условиях. Значения и условия приводятся в соответствующих стандартах или сообщаются изготовителем (поставщиком). Если иного не указано, то все требования выражены в качестве расчетных значений. Расчетное значение получается расчетным путем, то есть неэкспериментальным путем;

"регулирующее устройство источника света" - один или несколько конструктивных элементов между блоком питания и одним или несколькими источниками света, который может служить для преобразования питающего напряжения, ограничения электропитания лампы до требуемого значения, для приведения в состояние готовности напряжения зажигания и тока при предварительном подогреве, для предотвращения холодного запуска, корректировки коэффициента мощности или снижения радиопомех. Регулирующими устройствами источника света, например, являются пускорегулирующие аппараты, конверторы и трансформаторы для галогенных ламп, а также драйверы для светоизлучающих диодов (LED);

"регулируемый (диммируемый) пускорегулирующий аппарат" - пускорегулирующий аппарат, обеспечивающий регулирование светового потока ламп для получения необходимой освещенности;

"ртутная лампа высокого давления" - лампа, парциальное давление паров ртути в которой при установившемся режиме от 3 x 104 до 106 Па (от 225 до 7 500 мм рт. ст.);

"светильник" - устройство, которое распределяет, фильтрует или преобразует свет, излучаемый одной или несколькими лампами, и которое включает в себя все части, необходимые для удержания, фиксации и защиты лампы, и при необходимости вспомогательные схемы вместе со средствами для подключения электропитания;

"световая отдача - отношение светового потока, излучаемого источником света, к потребляемой им мощности, выраженное в люменах на ватт (лм/Вт). Световая отдача является показателем эффективности и экономичности источников света и рассчитывается по формуле:

,

где:

Ф - световой поток, излучаемый источником света;

P - потребляемая им мощность.

Дополнительные устройства, как, например, ПРА, трансформаторы и блоки питания в потребляемой мощности лампы (P), не учитываются;

"световое загрязнение" - сумма всех отрицательных воздействий искусственного света на окружающую среду, включая воздействие избыточного света;

"световой поток (Ф)" - энергия видимого излучения, переносимая потоком излучения в единицу времени;

"светорегулятор" - устройство, предназначенное для регулирования яркости свечения ламп;

"КПД базового пускорегулирующего аппарата (EBb)" - отношение расчетной мощности лампы () к КПД пускорегулирующего аппарата. Сопоставленный КПД пускорегулирующего аппарата для одноцокольных и двухцокольных люминесцентных ламп с пускорегулирующим аппаратом рассчитывается по следующей схеме:

.

Если <= 5 Вт - значение = 0,71.

Если 5 Вт < < 100 Вт - значение .

Если >= 100 Вт - значение = 0,91;

"срок службы лампы" - время эксплуатации, после которого доля функционирующих ламп от общего количества ламп при определенных условиях и при определенной частоте включений (переключений) соответствует коэффициенту срока службы лампы;

"цветность" - характеристика качества цвета лампы, определяемая ее координатами цветности;

"эффективность UV-излучения" - эффективная сила UV-излучения лампы относительно ее светового потока (в мВт/клм);

"электронный или высокочастотный пускорегулирующий аппарат" - работающий от электрической сети блок питания переменного тока, включая стабилизирующие элементы включения, для работы, обычно высокочастотной, одной или нескольких трубчатых люминесцентных ламп.

III. Требования к энергетической эффективности и правила определения показателей энергетической эффективности

1. Требования к энергетической эффективности ламп

3. Двухцокольные люминесцентные лампы диаметром 16 и 26 мм (T5 и T8) при температуре 25 °C должны иметь расчетные значения световой отдачи не менее приведенных в таблице 1.

Если номинальная мощность отличается от указанной в таблице 1, то лампы должны достигать световой отдачи, указанной для ламп ближайшей номинальной мощности, за исключением T8-ламп мощностью более 50 Вт, которые должны достигать световой отдачи 83 лм/Вт. Если значение номинальной мощности попадает ровно посередине между двумя значениями, приведенными в таблице 1, то соответствующая лампа должна соответствовать более высокому из значений световой отдачи. Если номинальная мощность лампы превышает максимальную указанную в таблице 1 мощность, то соответствующая лампа должна иметь значение световой отдачи для данной максимальной мощности.

Таблица 1

Расчетные значения световой отдачи ламп T8 и T5

T8 (диаметр 26 мм)T5 (диаметр 16 мм) высокая эффективностьT5 (диаметр 16 мм) высокая мощность
Номинальная мощность, ВтРасчетная световая отдача (лм/Вт), после 100 ч эксплуатацииНоминальная мощность, ВтРасчетная световая отдача (лм/Вт), после 100 ч эксплуатацииНоминальная мощность, ВтРасчетная световая отдача (лм/Вт), после 100 ч эксплуатации
156314862473
187521903979
257628934988
308035945482
3693--8077
3887----
5890----
7089----

При расчете лм/вт допускается округление десятых частей до целого в большую сторону.

Данные требования для люминесцентных двухцокольных ламп с цоколем G13 должны применяться с 1 сентября 2028 г. (в ред. Решений Совета Евразийской экономической комиссии от 29.01.2021 N 6, от 15.04.2022 N 50от 08.07.2025 N 54)

Одноцокольные люминесцентные лампы при температуре 25 °C должны иметь расчетные значения световой отдачи не менее приведенных в таблице 2.

Если номинальная мощность или форма лампы отклоняются от значений мощности или форм ламп, приведенных в таблицах 2 - 5, то лампы должны достигать световой отдачи ближайшей номинальной мощности или формы. Если значение номинальной мощности попадает ровно посередине между двумя значениями, приведенными в таблице, то соответствующая лампа должна соответствовать более высокому из значений световой отдачи. Если номинальная мощность превышает максимальную указанную в таблице 2 мощность, то соответствующая лампа должна иметь значение световой отдачи для указанной максимальной мощности.

Спиралевидные двухцокольные люминесцентные лампы всех диаметров, равных или более 16 мм, должны соответствовать требованиям для кольцевых ламп T9 из таблицы 5.

Таблица 2

Расчетные значения световой отдачи одноцокольных люминесцентных ламп, работающих с электромагнитным и электронным пускорегулирующим аппаратом

Одна параллельная трубка, цоколь G23 (2 штырька) или 2G7 (4 штырька)Две параллельные трубки, цоколь G24d (2 штырька) или G24q (4 штырька)Три параллельные трубки, цоколь GX24d (2 штырька) и GX24q (4 штырька)
Номинальная мощность, ВтРасчетная световая отдача (лм/Вт), после 100 ч эксплуатацииНоминальная мощность, ВтРасчетная световая отдача (лм/Вт), после 100 ч эксплуатацииНоминальная мощность, ВтРасчетная световая отдача (лм/Вт), после 100 ч эксплуатации
54810601362
75713691867
96718672666
11762666 
Четыре трубки в одной плоскости, цоколь 2G10 (4 штырька)Одна параллельная трубка, цоколь, 2G11 (4 штырька)
Номинальная мощность, ВтРасчетная световая отдача (лм/Вт), после 100 ч эксплуатацииНоминальная мощность, ВтРасчетная световая отдача (лм/Вт), после 100 ч эксплуатации
18611867
24712475
36783482
 3681

При расчете лм/вт допускается округление десятых частей до целого в большую сторону.

Таблица 3

Расчетные значения световой отдачи одноцокольных люминесцентных ламп, работающих только с электронным пускорегулирующим аппаратом

Три параллельные трубки, цоколь GX24q (4 штырька)Четыре параллельные трубки, цоколь GX24q (4 штырька)Одна параллельная трубка, цоколь 2G11 (4 штырька)
Номинальная мощность, ВтРасчетная световая отдача (лм/Вт), после 100 ч эксплуатацииНоминальная мощность, ВтРасчетная световая отдача (лм/Вт), после 100 ч эксплуатацииНоминальная мощность, ВтРасчетная световая отдача (лм/Вт), после 100 ч эксплуатации
327557754083
427470745582
5775--8075
7074----

При расчете лм/вт допускается округление десятых частей до целого в большую сторону.

Таблица 4

Расчетные значения световой отдачи одноцокольных люминесцентных ламп кренделеобразной формы или высокой номинальной мощности

Одна трубка в форме квадрата, цоколь GR8 (2 штырька), цоколь GR10q (4 штырька) и цоколь GRY10q3 (4 штырька)Четыре параллельные трубки 2G8
(4 штырька)
Номинальная мощность, ВтРасчетная световая отдача (лм/Вт), после 100 ч эксплуатацииНоминальная мощность, ВтРасчетная световая отдача (лм/Вт), после 100 ч эксплуатации
10656067
16668275
21648571
287312075
3871 
5571

При расчете лм/вт допускается округление десятых частей до целого в большую сторону.

Таблица 5

Расчетные значения минимальной световой отдачи кольцеобразных ламп T9 и T5

T9 кольцеобразная трубка диаметром 29 мм, цоколь G10qT5 кольцеобразная трубка диаметром 29 мм, цоколь 2GX13
Номинальная мощность, ВтРасчетная световая отдача (лм/Вт), после 100 ч эксплуатацииНоминальная мощность, ВтРасчетная световая отдача (лм/Вт), после 100 ч эксплуатации
22522277
32644078
40705575
60606080

При расчете лм/вт допускается округление десятых частей до целого в большую сторону.

Для одноцокольных и двухцокольных люминесцентных ламп с определенными параметрами допускается уменьшение расчетных значений минимальной световой отдачи. Световая отдача может быть меньше для ламп с параметрами, указанными в таблице 6.

Таблица 6

Допустимое уменьшение минимальных значений световой отдачи люминесцентных ламп с высокой цветовой температурой, высоким индексом цветопередачи, второй оболочкой или большим сроком службы

Параметры лампыДопустимое уменьшение световой отдачи при 25 °C
Tc >= 5 000 K-10%
95 >= Ra > 90-20%
Ra > 95-30%
При наличии второй оболочки-10%
Коэффициент срока службы лампы >= 0,50 после 40 000 часов эксплуатации-5%

Указанные допустимые уменьшения (в %) суммируются.

Одноцокольные и двухцокольные люминесцентные лампы, оптимальная температура которых для работы отлична от 25 °C, должны соответствовать требованиям к световой отдаче в соответствии с таблицами 1 - 6 также при их оптимальной температуре для работы.

Газоразрядные лампы высокого давления с Tc >= 5 000 K или со второй оболочкой должны соответствовать требованиям к световой отдаче, приведенным в таблицах 7 - 9, как минимум на 90%.

Натриевые лампы высокого давления с Ra <= 60 должны иметь расчетные значения световой отдачи не менее приведенных в таблице 7.

Таблица 7

Расчетные значения световой отдачи натриевых ламп высокого давления с Ra <= 60

Номинальная мощность лампы, W, ВтРасчетная световая отдача лампы с прозрачной колбой, лм/ВтРасчетная световая отдача лампы с непрозрачной колбой, лм/Вт
W <= 45>= 60>= 60
45 < W <= 55>= 80>= 70
55 < W <= 75>= 90>= 80
75 < W <= 105>= 100>= 95
105 < W <= 155>= 110>= 105
155 < W <= 255>= 125>= 115
255 < W <= 605>= 135>= 130

Для натриевых ламп высокого давления действуют требования, приведенные в таблице 7.

Для натриевых ламп для прямой замены ртутных ламп (работающих на ПРА для ртутных ламп) данные требования должны применяться с 1 сентября 2030 г. (в ред. Решений Совета Евразийской экономической комиссии от 29.01.2021 N 6, от 15.04.2022 N 50от 08.07.2025 N 54)

Металлогалогенные лампы с Ra <= 80 и натриевые лампы высокого давления с Ra > 60 должны иметь расчетные значения световой отдачи не менее приведенных в таблице 8.

Таблица 8

Расчетные значения минимальной световой отдачи металлогалогенных ламп с Ra <= 80 и натриевых ламп высокого давления с Ra > 60

Номинальная мощность лампы, W, ВтРасчетная световая отдача лампы с прозрачной колбой, лм/ВтРасчетная световая отдача лампы с непрозрачной колбой, лм/Вт
W <= 55>= 60>= 60
55 < W <= 75>= 75>= 70
75 < W <= 105>= 80>= 75
105 < W <= 155>= 80>= 75
155 < W <= 255>= 80>= 75
255 < W <= 405>= 85>= 75

Прочие газоразрядные лампы высокого давления должны иметь расчетные значения световой отдачи не менее приведенных в таблице 9.

Данные требования должны применяться с 1 сентября 2030 г. (в ред. Решений Совета Евразийской экономической комиссии от 29.01.2021 N 6, от 15.04.2022 N 50от 08.07.2025 N 54)

Таблица 9

Расчетные значения минимальной световой отдачи прочих газоразрядных ламп высокого давления

Номинальная мощность лампы, W, ВтРасчетная световая отдача, лм/Вт
W <= 4050
40 < W <= 5055
50 < W <= 7065
70 < W <= 12570
125 < W75

С 1 сентября 2030 г.: (в ред. Решений Совета Евразийской экономической комиссии от 29.01.2021 N 6, от 15.04.2022 N 50от 08.07.2025 N 54)

должна быть предусмотрена эксплуатация люминесцентных ламп без встроенного пускорегулирующего аппарата с пускорегулирующими аппаратами класса энергетической эффективности A2 или с более эффективными пускорегулирующими аппаратами. Также должна быть предусмотрена их эксплуатация с пускорегулирующими аппаратами, которые подпадают под более низкий класс энергетической эффективности, чем A2;

лампы с цветовой температурой Tc >= 5 000 K или второй оболочкой должны соответствовать действующим требованиям к световой отдачи как минимум на 90%;

расчетные значения световой отдачи металлогалогенных ламп должны быть не ниже приведенных в таблице 10.

Таблица 10

Расчетные значения световой отдачи металлогалогенных ламп

Номинальная мощность лампы, W, ВтРасчетная световая отдача лампы с прозрачной колбой, лм/ВтРасчетная световая отдача лампы с непрозрачной колбой, лм/Вт
W <= 55>= 70>= 65
55 < W <= 75>= 80>= 75
75 < W <= 105>= 85>= 80
105 < W <= 155>= 85>= 80
155 < W <= 255>= 85>= 80
255 < W <= 405>= 90>= 85

2. Требования к эксплуатационным характеристикам ламп

4. Люминесцентные лампы без встроенного пускорегулирующего аппарата должны иметь индекс цветопередачи (Ra) не менее 80 и значения коэффициента сохранения светового потока лампы не ниже приведенных в таблице 11. Указанные требования должны применяться с 1 сентября 2028 г. (в ред. Решений Совета Евразийской экономической комиссии от 29.01.2021 N 6, от 15.04.2022 N 50от 08.07.2025 N 54)

Таблица 11

Значения коэффициента сохранения светового потока для одноцокольных и двухцокольных люминесцентных ламп

Тип лампыВремя эксплуатации, ч
2 0004 0008 00016 000
Коэффициент сохранения светового потока лампы
Двухцокольные люминесцентные лампы, эксплуатируемые с неэлектронными ПРА0,950,920,90-
T8-двухцокольные люминесцентные лампы, эксплуатируемые с неэлектронным ПРА с предварительным подогревом электродов0,960,920,910,90
Другие двухцокольные люминесцентные лампы, эксплуатируемые с электронным пускорегулирующим аппаратом с запуском в подогретом состоянии0,950,920,900,90
Кольцеобразные одноцокольные люминесцентные лампы, эксплуатируемые с неэлектронным пускорегулирующим аппаратом, U-образные T8-двухцокольные люминесцентные лампы и спиралеобразные двухцокольные люминесцентные лампы (T5) с диаметром 16 мм или более0,800,74--
0,72 при 5 000 ч эксплуатации
Кольцеобразные одноцокольные люминесцентные лампы, эксплуатируемые с электронными пускорегулирующими аппаратами0,850,830,80-
0,75 при 12 000 ч эксплуатации
Другие одноцокольные люминесцентные лампы, эксплуатируемые с неэлектронными ПРА0,850,780,75-
Другие одноцокольные люминесцентные лампы, эксплуатируемые с электронным ПРА с предварительным подогревом электродов0,900,840,810,78

К указанным в таблице 11 значениям применяются допустимые уменьшения для требований к коэффициенту сохранения светового потока люминесцентных ламп, приведенные в таблице 12.

Таблица 12

Показатели допустимого уменьшения для требований к коэффициенту сохранения светового потока люминесцентных ламп

Параметры лампыДопустимое уменьшение требований к коэффициенту сохранения светового потока лампы
Лампы с 95 >= Ra > 90эксплуатация <= 8 000 ч - 5%
эксплуатация > 8 000 ч - 10%
Лампы с Ra > 95эксплуатация <= 4 000 ч - 10%
эксплуатация > 4 000 ч - 15%
Лампы с цветовой температурой >= 5 000 K-10%

Люминесцентные лампы без встроенного пускорегулирующего аппарата должны иметь значения коэффициента срока службы лампы не ниже приведенных в таблице 13. Указанные требования должны применяться с 1 сентября 2028 г. (в ред. Решений Совета Евразийской экономической комиссии от 29.01.2021 N 6, от 15.04.2022 N 50от 08.07.2025 N 54)

Таблица 13

Коэффициенты сроков службы для одноцокольных и двухцокольных люминесцентных ламп

Тип лампыВремя эксплуатации, ч
2 0004 0008 00016 000
Коэффициент срока службы лампы
Двухцокольные люминесцентные лампы, эксплуатируемые с неэлектронными пускорегулирующими аппаратами0,990,970,90-
Двухцокольные люминесцентные лампы, эксплуатируемые с электронным пускорегулирующим аппаратом с запуском в подогретом состоянии0,990,970,920,90
Кольцеобразные одноцокольные люминесцентные лампы, эксплуатируемые с неэлектронным пускорегулирующим аппаратом, U-образные T8-двухцокольные люминесцентные лампы и спиралеобразные двухцокольные люминесцентные лампы (T5) с диаметром 16 мм или более0,980,77--
0,50 при 5 000 ч эксплуатации
Кольцеобразные одноцокольные люминесцентные лампы, эксплуатируемые с электронными пускорегулирующими аппаратами0,990,970,85-
0,50 при 12 000 ч эксплуатации
Другие одноцокольные люминесцентные лампы, эксплуатируемые с неэлектронными пускорегулирующими аппаратами0,980,900,50-
Другие одноцокольные люминесцентные лампы, эксплуатируемые с электронным пускорегулирующим аппаратом с предварительным подогревом электродов0,990,980,88-

Натриевые лампы высокого давления должны иметь значения коэффициента сохранения светового потока лампы и коэффициента срока службы лампы не ниже приведенных в таблице 14.

Таблица 14

Значения коэффициента сохранения светового потока лампы и коэффициента срока службы лампы для натриевых ламп высокого давления

Категория натриевых ламп высокого давленияКоэффициент сохранения светового потока лампыКоэффициент срока службы лампы
<= 75 Вт
LLMF и LSF, измеренные при 12 000 ч эксплуатации
Ra <= 60> 0,80> 0,90
Ra > 60> 0,75> 0,75
все модернизированные лампы, предназначенные для эксплуатации с пускорегулирующими аппаратами для ртутных ламп высокого давления> 0,75> 0,80
> 75 Вт
LLMF и LSF, измеренные при 16 000 ч эксплуатации
Ra <= 60> 0,85> 0,90
Ra > 60> 0,70> 0,65
все модернизированные лампы, предназначенные для эксплуатации с пускорегулирующими аппаратами для ртутных ламп высокого давления> 0,75> 0,55

Металлогалогенные лампы должны иметь значения коэффициента сохранения светового потока лампы и коэффициента срока службы лампы не ниже приведенных в таблице 15.

Указанные требования должны применяться с 1 сентября 2029 г. (в ред. Решений Совета Евразийской экономической комиссии от 29.01.2021 N 6, от 15.04.2022 N 50от 08.07.2025 N 54)

Таблица 15

Значения коэффициента сохранения светового потока лампы и коэффициента срока службы для металлогалогенных ламп с керамической горелкой

Время эксплуатации, чКоэффициент сохранения светового потока лампыКоэффициент срока службы лампы
12 000> 0,80> 0,80

3. Требования к невстроенных пускорегулирующих аппаратов для люминесцентных ламп и газоразрядных ламп высокого давления

5. Широкодиапазонные пускорегулирующие аппараты (допускающие работу с лампами различных мощностей) должны соответствовать требованиям для каждой из мощностей, на которой они могут эксплуатироваться.

Запрещается обращение на рынке электромагнитных пускорегулирующих аппаратов для одноцокольных и двухцокольных люминесцентных ламп класса энергетической эффективности D с 1 сентября 2028 г. (в ред. Решений Совета Евразийской экономической комиссии от 29.01.2021 N 6, от 15.04.2022 N 50от 08.07.2025 N 54)

Пускорегулирующие аппараты, предусмотренные в таблице 16, должны иметь класс энергетической эффективности не ниже B2, пускорегулирующие аппараты, предусмотренные в таблице 17, - не ниже класса A3, пускорегулирующие аппараты, предусмотренные в таблице 18, - не ниже класса A1.

При 25% световой мощности эксплуатируемой лампы входная мощность (Рвкл) цепи пускорегулирующего аппарата не должна составлять более:

< 50% x ,

где:

- для расчетного значения мощности лампы;

- для нижнего предельного значения энергетической эффективности соответствующего класса.

Энергопотребление пускорегулирующих аппаратов для люминесцентных ламп не должно превышать 1,0 Вт, если эксплуатируемые лампы при нормальных условиях эксплуатации не излучают никакого света и возможные другие подключенные конструктивные элементы (сетевые соединения, сенсоры и т.д.) отсоединены. Если отсоединение невозможно, то следует измерить их мощность и вычесть из результата.

Пускорегулирующие аппараты для газоразрядных ламп высокого давления должны иметь значения КПД не ниже приведенных в таблице 19.

Таблица 16

Индекс энергетической эффективности нерегулируемых пускорегулирующих аппаратов для люминесцентных ламп

Технические характеристики лампыКПД пускорегулирующего аппарата ( / )
нерегулируемый
Тип лампыНоминальная мощностьILCOS-кодРасчетная/стандартная мощностьA2
ВАТ
A2A3B1B2
50 ГцВЧ
ВтВтВт
T815FD-15-E-G13-26/4501513,587,8%84,4%75,0%67,9%62,0%
T818FD-18-E-G13-26/600181687,7%84,2%76,2%71,3%65,8%
T830FD-30-E-G13-26/900302482,1%77,4%72,7%79,2%75,0%
T836FD-36-E-G13-26/1200363291,4%88,9%84,2%83,4%79,5%
T838FD-38-E-G13-26/105038,53287,7%84,2%80,0%84,1%80,4%
T858FD-58-E-G13-26/1500585093,0%90,9%84,7%86,1%82,2%
T870FD-70-E-G13-26/180069,56090,9%88,2%83,3%86,3%83,1%
TC-L18FSD-18-E-2G11181687,7%84,2%76,2%71,3%65,8%
TC-L24FSD-24-E-2G11242290,7%88,0%81,5%76,0%71,3%
TC-L36FSD-36-E-2G11363291,4%88,9%84,2%83,4%79,5%
TCF18FSS-18-E-2G10181687,7%84,2%76,2%71,3%65,8%
TCF24FSS-24-E-2G10242290,7%88,0%81,5%76,0%71,3%
TCF36FSS-36-E-2G10363291,4%88,9%84,2%83,4%79,5%
TC-D/DE10FSQ-10-E-G24q=1
FSQ-10-I-G24d=1
109,589,4%86,4%73,1%67,9%59,4%
TC-D/DE13FSQ-13-E-G24q=1
FSQ-13-I-G24d=1
1312,591,7%89,3%78,1%72,6%65,0%
TC-D/DE18FSQ-18-E-G24q=2 FSQ-18-I-G24d=21816,589,8%86,8%78,6%71,3%65,8%
TC-D/DE26FSQ-26-E-G24q=3
FSQ-26-I-G24d=3
262491,4%88,9%82,8%77,2%72,6%
TC-T/TE13FSM-13-E-GX24q=1
FSM-13-I-GX24d=1
1312,591,7%89,3%78,1%72,6%65,0%
TC-T/TE18FSM-18-E-GX24q=2
FSM-18-I-GX24d=2
1816,589,8%86,8%78,6%71,3%65,8%
TC-T/TC-TE26FSM-26-E-GX24q=3
FSM-26-I-GX24d=3
26,52491,4%88,9%82,8%77,5%73,0%
TC-DD/DDE10FSS-10-E-GR10q
FSS-10-L/P/H-GR10q
10,59,586,4%82,6%70,4%68,8%60,5%
TC-DD/DDE16FSS-16-E-GR10q
FSS-16-I-GR8
FSS-16-L/P/H-GR10q
161587,0%83,3%75,0%72,4%66,1%
TC-DD/DDE21FSS-21-E-GR10q
FSS-21-L/P/H-GR10q
2119,589,7%86,7%78,0%73,9%68,8%
TC-DD/DDE28FSS-28-E-GR10q
FSS-28-I-GR8
FSS-28-L/P/H-GR10q
2824,589,1%86,0%80,3%78,2%73,9%
TC-DD/DDE38FSS-38-E-GR10q
FSS-38-L/P/H-GR10q
38,534,592,0%89,6%85,2%84,1%80,4%
TC5FSD-5-I-G23
FSD-5-E-2G7
5,4572,7%66,7%58,8%49,3%41,4%
TC7FSD-7-I-G23
FSD-7-E-2G7
7,16,577,6%72,2%65,0%55,7%47,8%
TC9FSD-9-I-G23
FSD-9-E-2G7
8,7878,0%72,7%66,7%60,3%52,6%
TC11FSD-11-I-G23
FSD-11-E-2G7
11,81183,0%78,6%73,3%66,7%59,6%
T54FD-4-E-G5-16/1504,53,664,9%58,1%50,0%45,0%37,2%
T56FD-6-E-G5-16/22565,471,3%65,1%58,1%51,8%43,8%
T58FD-8-E-G5-16/3007,17,569,9%63,6%58,6%48,9%42,7%
T513FD-13-E-G5-16/5251312,884,2%80,0%75,3%72,6%65,0%
T9-C22FSC-22-E-G10q-29/200221989,4%86,4%79,2%74,6%69,7%
T9-C32FSC-32-E-G10q-29/300323088,9%85,7%81,1%80,0%76,0%
T9-C40FSC-40-E-G10q-29/400403289,5%86,5%82,1%82,6%79,2%
T26FDH-6-L/P-W4,3x8,5d-7/220-572,7%66,7%58,8%--
T28FDH-8-L/P-W4,3x8,5d-7/320-7,876,5%70,9%65,0%--
T211FDH-11-L/P-W4,3x8,5d-7/420-10,881,8%77,1%72,0%--
T213FDH-13-L/P-W4,3x8,5d-7/520-13,384,7%80,6%76,0%--
T221FDH-21-L/P-W4,3x8,5d-7/-2188,9%85,7%79,2%--
T223FDH-23-L/P-W4,3x8,5d-7/-2389,8%86,8%80,7%--
T5-E14FDH-14-G5-L/P-16/550-13,784,7%80,6%72,1%--
T5-E21FDH-21-G5-L/P-16/850-20,789,3%86,3%79,6%--
T5-E24FDH-24-G5-L/P-16/550-22,589,6%86,5%80,4%--
T5-E28FDH-28-G5-L/P-16/1150-27,889,8%86,9%81,8%--
T5-E35FDH-35-G5-L/P-16/1450-34,791,5%89,0%82,6%--
T5-E39FDH-39-G5-L/P-16/850-3891,0%88,4%82,6%--
T5-E49FDH-49-G5-L/P-16/1450-49,391,6%89,2%84,6%--
T5-E54FDH-54-G5-L/P-16/1150-53,892,0%89,7%85,4%--
T5-E80FDH-80-G5-L/P-16/1150-8093,0%90,9%87,0%--
T5-E95FDH-95-G5-L/P-16/1150-9592,7%90,5%84,1%--
T5-E120FDH-120-G5-L/P-16/1450-12092,5%90,2%84,5%--
T5-C22FSCH-22-L/P-2GX13-16/225-22,388,1%84,8%78,8%--
T5-C40FSCH-40-L/P-2GX13-16/300-39,991,4%88,9%83,3%--
T5-C55FSCH-55-L/P-2GX13-16/300-5592,4%90,2%84,6%--
T5-C60FSCH-60-L/P-2GX13-16/375-6093,0%90,9%85,7%--
TC-LE40FSDH-40-L/P-2G11-4091,4%88,9%83,3%--
TC-LE55FSDH-55-L/P-2G11-5592,4%90,2%84,6%--
TC-LE80FSDH-80-L/P-2G11-8093,0%90,9%87,0%--
TC-TE32FSMH-32-L/P-2GX24q=3-3291,4%88,9%82,1%--
TC-TE42FSMH-42-L/P-2GX24q=4-4393,5%91,5%86,0%--
TC-TE57FSM6H-57-L/P-2GX24q=5
FSM8H-57-L/P-2GX24q=5
-5691,4%88,9%83,6%--
TC-TE70FSM6H-70-L/P-2GX24q=6
FSM8H-70-L/P-2GX24q=6
-7093,0%90,9%85,4%--
TC-TE60FSM6H-60-L/P-2G8=l-6392,3%90,0%84,0%--
TC-TE62FSM8H-62-L/P-2G8=2-6292,2%89,9%83,8%--
TC-TE82FSM8H-82-L/P-2G8=2-8292,4%90,1%83,7%--
TC-TE85FSM6H-85-L/P-2G8=1-8792,8%90,6%84,5%--
TC-TE120FSM6H-120-L/P-2G8=1
FSM8H-120-L/P-2G8=1
-12292,6%90,4%84,7%--
TC-DD55FSSH-55-L/P-GRY10q3-5592,4%90,2%84,6%--

Таблица 17

Индекс энергетической эффективности нерегулируемых пускорегулирующих аппаратов для люминесцентных ламп, не указанных в таблице 16

Индекс энергетической эффективности
>= 0,94 x A3
>= A2
>= 1 - 0,75 x (1 - )A2 ВАТ

Таблица 18

Индекс энергетической эффективности регулируемых пускорегулирующих аппаратов для люминесцентных ламп

Класс, достигнутый при 100% световой мощностиИндекс энергетической эффективности регулируемых пускорегулирующих аппаратов
A3A1
A2A1 ВАТ

Таблица 19

КПД пускорегулирующих аппаратов для газоразрядных ламп высокого давления

Потребляемая мощность лампы (), ВтМинимальный КПД пускорегулирующего аппарата , %
<= 3065
30 < <= 7575
75 < <= 10580
105 < P <= 40585
> 40590

Энергопотребление пускорегулирующих аппаратов для эксплуатации с люминесцентными лампами не должно превышать 0,5 Вт, если эксплуатируемые лампы при нормальных условиях эксплуатации не излучают никакого света. Указанное требование действует для пускорегулирующих аппаратов, если другие возможно подключенные конструктивные элементы (сетевые соединения, датчики и т.д.) отсоединены. Если отсоединение невозможно, то следует измерить их мощность и вычесть из результата.

Указанные требования должны применяться с 1 сентября 2028 г. (в ред. Решений Совета Евразийской экономической комиссии от 29.01.2021 N 6, от 15.04.2022 N 50от 08.07.2025 N 54)

Пускорегулирующие аппараты для газоразрядных ламп высокого давления должны иметь значения КПД не ниже приведенных в таблице 20. Указанное требование должно применяться с 1 сентября 2028 г. (в ред. Решений Совета Евразийской экономической комиссии от 29.01.2021 N 6, от 15.04.2022 N 50от 08.07.2025 N 54)

Таблица 20

КПД пускорегулирующих аппаратов для газоразрядных ламп высокого давления

Потребляемая мощность лампы (), ВтМинимальный КПД пускорегулирующего аппарата , %
<= 3078
30 < <= 7585
75 < <= 10587
105 < <= 40590
> 40592

Индекс энергетической эффективности (EEI) означает систему классификации пускорегулирующих аппаратов для люминесцентных ламп без встроенного пускорегулирующего аппарата согласно предельным значениям КПД Классами для нерегулируемых пускорегулирующих аппаратов являются A2 ВАТ, A2, A3, B1 и B2 (классифицируемые по нисходящей согласно КПД), а для регулируемых пускорегулирующих аппаратов - A1 ВАТ и A1.

В таблице 16 приведены индексы энергетической эффективности пускорегулирующих аппаратов для эксплуатации с указанными лампами или другими лампами, рассчитанными для эксплуатации с аналогичными пускорегулирующими аппаратами (лампы с идентичными данными эталонного пускорегулирующего аппарата).

Дополнительные требования к нерегулируемым пускорегулирующим аппаратам, не указанным в таблице 16, приведены в таблице 17.

Регулируемые пускорегулирующие аппараты для люминесцентных ламп согласно классу, в который пускорегулирующий аппарат попадал бы при эксплуатации со 100% светоотдачей, классифицируются по индексу энергетической эффективности в соответствии с таблицей 18.

Переключаемые пускорегулирующие аппараты классифицируются в соответствии с самым низким (самым наихудшим) КПД либо для каждой эксплуатируемой лампы указывается класс.

6. Индекс энергетической эффективности (EEI) модели электрической лампы рассчитывается путем сравнения ее потребляемой мощности, скорректированной вследствие возможных потерь на пускорегулирующий аппарат, с ее номинальной потребляемой мощностью. Номинальная потребляемая мощность это производная от полезного светового потока (), являющаяся общим световым потоком для ламп с ненаправленным светоизлучением и световым потоком в конусе с углом 90° или 120° для ламп с направленным светоизлучением.

EEI рассчитывается следующим образом (с округлением до двух десятичных знаков):

,

где:

- измеренное значение потребляемой мощности () для моделей ламп без внешнего пускорегулирующего аппарата и измеренное значение потребляемой мощности (), скорректированное ввиду возможных потерь согласно таблице 6 для моделей ламп с внешним пускорегулирующим аппаратом. измеряется при номинальном входном напряжении лампы;

- расчетное значение потребляемой мощности, которое рассчитывается на основании следующих формул:

Для моделей < 1300 лм:

Для моделей >= 1300 лм: = 0,07341

Таблица 21

Тип лампыПотребляемая мощность, скорректированная ввиду возможных потерь на пускорегулирующий аппарат
()
Лампы, которые эксплуатируются с внешними пускорегулирующими аппаратами x 1,06
Лампы, которые эксплуатируются с внешними пускорегулирующими аппаратами для светодиодных ламп x 1,10
Люминесцентные лампы с диаметром 16 мм (T5-лампы) и одноцокольные люминесцентные лампы с четырьмя выводами, которые эксплуатируются с внешними пускорегулирующими аппаратами для люминесцентных ламп x 1,10
Прочие лампы, которые эксплуатируются с внешними пускорегулирующими аппаратами для люминесцентных ламп
Лампы, которые эксплуатируются с внешними пускорегулирующими аппаратами для газоразрядных ламп высокого давления x 1,10
Лампы, которые эксплуатируются с внешними пускорегулирующими аппаратами для натриевых газоразрядных ламп низкого давления x 1,15

Полезный световой поток определяется в соответствии с таблицей 7.

Таблица 22

МодельПолезный световой поток ()
Лампы с ненаправленным светомОбщий номинальный световой поток (Ф)
Лампы с направленным светоизлучением с углом раствора луча >= 90°, за исключением ламп накаливания, на упаковке которых находится предупреждение в текстовой или графической форме, согласно которому они не подходят для направленного освещения/подсветкиИзмеренный световой поток в конусе с углом 120° ()
Прочие лампы с направленным светоизлучениемИзмеренный световой поток в конусе с углом 90° ()

Взвешенное энергопотребление (EC) рассчитывается в кВт·ч/1000 ч следующим образом (с округлением до двух десятичных знаков):

.

7. Энергопотребление светильников для люминесцентных ламп без встроенного пускорегулирующего аппарата и светильников для газоразрядных ламп высокого давления не должно превышать общее энергопотребление встроенных пускорегулирующих аппаратов, если лампы при нормальных условиях эксплуатации не излучают никакого света и другие подключенные конструктивные элементы (сетевые соединения, сенсоры и т.д.) отсоединены. Если отсоединение невозможно, то следует измерить их мощность и вычесть из результата.

Светильники для люминесцентных ламп без встроенного пускорегулирующего аппарата и для газоразрядных ламп высокого давления должны быть совместимы с пускорегулирующими аппаратами, которые соответствуют требованиям, действующим для таких аппаратов. Указанное требование должно применяться с 1 сентября 2028 г. (в ред. Решений Совета Евразийской экономической комиссии от 29.01.2021 N 6, от 15.04.2022 N 50от 08.07.2025 N 54)

8. В дополнение к требованиям, указанным в разделе IV технического регламента Союза "О требованиях к энергетической эффективности энергопотребляющих устройств" (ТР ЕАЭС 048/2019) (далее - технический регламент), упаковка или эксплуатационные документы должны содержать следующую информацию:

а) требования к техническому описанию ламп в эксплуатационных документах:

номинальное и расчетное значение мощности лампы; номинальное и расчетное значение светового потока лампы; расчетное значение световой отдачи лампы после 100 ч эксплуатации при стандартных условиях (температура эксплуатации 25 °C, для T5 - ламп - 35 °C);

для люминесцентных ламп, если измеряемый световой поток во всех случаях одинаков, для эксплуатации при высокой частоте (> 50 Гц) следует указывать калибровочный ток условий испытания и (или) расчетное напряжение высокочастотного генератора с сопротивлением. Также следует указывать, что в значение потребления электроэнергии источника света не включены потери мощности в результате использования таких вспомогательных устройств, как пускорегулирующие аппараты;

расчетный коэффициент сохранения светового потока лампы для 2 000, 4 000, 6 000, 8 000, 12 000, 16 000 и 20 000 ч эксплуатации (до 8 000 ч - только для новых ламп на рынке, данных для которых еще нет), с указанием, какой режим эксплуатации ламп использовался для испытаний, если возможна эксплуатация как при частоте 50 Гц, так и при высокой частоте;

расчетный коэффициент срока службы лампы для 2 000, 4 000, 6 000, 8000, 12 000, 16 000 и 20 000 ч эксплуатации (до 8000 ч - только для новых ламп на рынке, данных для которых еще нет), с указанием, какой режим эксплуатации ламп использовался для испытаний, если возможна эксплуатация как при частоте 50 Гц, так и при высокой частоте;

температура окружающей среды в светильнике, при которой лампа была сконструирована, чтобы максимизировать свой световой поток. Если температура составляет 0 °C или менее либо 50 °C или более, то следует указывать, что лампа не подходит для использования в помещениях при стандартной температуре;

для ламп, содержащих ртуть, указывается инструкция по очистке помещения в случае повреждения (разрушения) лампы, а также рекомендации об утилизации лампы;

индекс цветопередачи (Ra) лампы;

цветовая температура лампы;

для люминесцентных ламп без встроенного пускорегулирующего аппарата класс пускорегулирующих аппаратов, с которыми лампа может эксплуатироваться;

б) требования к техническому описанию пускорегулирующих аппаратов в эксплуатационных документах:

для каждой модели пускорегулирующего аппарата для люминесцентных ламп должен указываться класс энергетической эффективности (приводится в отчетливо видимой и долговечной форме на пускорегулирующем аппарате);

для каждой модели пускорегулирующего аппарата для газоразрядных ламп высокого давления должен указываться КПД (приводится в отчетливо видимой и долговечной форме на пускорегулирующем аппарате);

в) требования к техническому описанию светильников в эксплуатационных документах для каждой модели светильника для люминесцентных ламп без встроенного пускорегулирующего аппарата с общим световым потоком свыше 2 000 лм и светильникам для разрядных ламп высокой интенсивности общим световым потоком ламп больше 2 000 лм:

если светильник поставляется с пускорегулирующим аппаратом, то указывается информация о КПД пускорегулирующего аппарата в соответствии с данными изготовителя;

если светильник поставляется с лампой, то указывается световая отдача лампы (лм/Вт) согласно данным изготовителя.

если пускорегулирующий аппарат или лампа не поставляются вместе со светильником, то информацию о совместимых со светильником типах ламп и пускорегулирующих аппаратов следует предоставлять из каталогов изготовителей (например, международной системы обозначения ламп ILCOS);

руководство по техническому обслуживанию светильника для обеспечения сохранения его первоначального качества в течение всего срока службы;

руководство по демонтажу;

для разрядных ламп высокой интенсивности должно указываться, что они рассчитаны для ламп с колбой из прозрачного стекла и (или) ламп с покрытием.

9. В комплект документов, указанный в подпункте "а" пункта 23 технического регламента, дополнительно должна быть включена следующая информация:

а) для ламп:

расчетное значение мощности лампы;

расчетное значение светового потока лампы;

для люминесцентных ламп, если измеряемый световой поток во всех случаях одинаков, для эксплуатации при высокой частоте (> 50 Гц) следует указывать калибровочный ток условий испытания и (или) расчетное напряжение высокочастотного генератора с сопротивлением. Также следует указывать, что в значение потребления электроэнергии источника света не включены потери мощности в результате использования таких вспомогательных устройств, как пускорегулирующие аппараты;

расчетное значение коэффициента сохранения светового потока лампы при 2 000 ч, 4 000 ч, 6 000 ч, 8 000 ч, 12 000 ч, 16 000 ч и 20 000 ч (для новых ламп в отношении которых отсутствует информация, только до 8 000 ч), при этом для ламп, которые могут эксплуатироваться при частоте 50 Гц и более следует указывать частоту эксплуатации;

расчетное значение коэффициента срока службы лампы при 2 000 ч, 4 000 ч, 6 000 ч, 8 000 ч, 12 000 ч, 16 000 ч и 20 000 ч (для новых ламп, для которых отсутствует информация, только до 8 000 ч), при этом для ламп, которые могут эксплуатироваться как при частоте 50 Гц, так и более высокой частоте, следует указывать частоту эксплуатации;

температура окружающей среды, при которой лампа в светильнике должна создавать свой максимальный световой поток. Если температура составляет менее 0 °C или более 50 °C, то следует указывать, что лампа не подходит для использования в помещениях;

б) для светильников:

если пускорегулирующий аппарат или лампа не поставляются вместе со светильником, то информацию о совместимых со светильником типах ламп и пускорегулирующих аппаратов следует предоставлять из каталогов изготовителей (например, международной системы обозначения ламп ILCOS);

руководство по техническому обслуживанию светильника для обеспечения сохранения его первоначального качества в течение всего срока службы;

руководство по монтажу;

для всех светильников для газоразрядных ламп высокого давления информация о том, сконструированы ли они для работы с лампой, имеющей колбу из прозрачного и (или) непрозрачного стекла.

IV. Допустимые отклонения параметров энергетической эффективности люминесцентных ламп без встроенного пускорегулирующего аппарата, газоразрядных ламп высокого давления, пускорегулирующих аппаратов и светильников для таких ламп при проведении испытаний (измерений) после их выпуска в обращение

10. В случае проведения испытаний (измерений) ламп электрических после их выпуска в обращение на таможенной территории Союза проводятся испытания (измерения) партии, состоящей минимум из 20 образцов одной модели и одного изготовителя. Измеренное значение потребляемой мощности не должно быть больше номинального (заявленного) значения более чем на 10%, а измеренное значение светового потока не должно быть меньше номинального (заявленного) значения более чем на 10%.

В иных случаях данную модель электрической лампы следует рассматривать как не соответствующую требованиям технического регламента.

11. В случае проведения испытаний (измерений) пускорегулирующих аппаратов и светильников после их выпуска в обращение на таможенной территории Союза проводятся испытания (измерения) одного образца модели одного изготовителя. Измеренные значения параметров и характеристик образца должны соответствовать номинальным значениям, заявленным изготовителем.

В иных случаях данную модель пускорегулирующих аппаратов и светильников следует рассматривать как не соответствующую требованиям технического регламента, в этом случае проверяются 3 других образца данной модели. Если значения параметров и характеристик образцов соответствуют номинальным значениям, заявленным изготовителем, то считается, что данная модель соответствует требованиям технического регламента.

V. Содержание этикетки энергетической эффективности и технического листа ламп электрических

12. Этикетка энергетической эффективности ламп электрических должна содержать следующие сведения:

I. наименование или товарный знак (при наличии) изготовителя;

II. обозначение модели;

III. класс энергетической эффективности;

IV. EC - расчетное потребление электроэнергии в кВт*ч за 1000 часов работы лампы (округляется до целого числа).

13. Этикетка энергетической эффективности светильников должна содержать следующие сведения:

I. наименование или товарный знак (при наличии) изготовителя.

II. обозначение модели.

III. информация о светильнике (тип, исполнение, совместимость);

IV. класс энергетической эффективности.

Пиктограмма энергетической эффективности располагается на том же уровне, что и стрелка соответствующего класса энергетической эффективности.

V. сведения в соответствии с одним из следующих вариантов исполнения:

1) светильник предназначен для работы с лампами указанных классов энергетической эффективности. В поле указывается класс лампы включенный в комплект поставки. Если лампа в комплекте поставки светильника не входит, то поле остается пустым;

2) светильник имеет встроенные светодиодные модули (источники света) без возможности их замены конечным пользователем.

3) светильник предназначен для работы с лампами указанных классов энергетической эффективности и содержит встроенные светодиодные модули (источники света), без возможности замены конечным пользователем. В поле указывается класс лампы включенный в комплект поставки. Если лампа в комплекте поставки светильника не входит, то поле остается пустым.

15. Технический лист, включаемый в состав эксплуатационной документации ламп электрических и светильников, должен содержать перечень характеристик, предусмотренных пунктами 13 и 14 настоящих Требований соответственно.

В электронном документе нумерация пунктов соответствует официальному источнику.

VI. Определение классов энергетической эффективности ламп электрических

16. Класс энергетической эффективности ламп электрических определяется в соответствии с индексом энергетической эффективности (EEI) в соответствии с таблицей 23.

Таблица 23

Классы энергетической эффективности ламп электрических

Класс энергетической эффективностиИндекс энергетической эффективности
Для ламп (источников света) ненаправленного света
A ++EEI <= 0,11
A +0,11 < EEI <= 0,17
A0,17 < EEI <= 0,24
B0,24 < EEI <= 0,60
C0,60 < EEI <= 0,80
D0,80 < EEI <= 0,95
E (наименее эффективный)EEI > 0,95

Приложение N 14
к техническому регламенту
Евразийского экономического союза
"О требованиях к энергетической
эффективности энергопотребляющих
устройств" (ТР ЕАЭС 048/2019)

ТРЕБОВАНИЯ К ЭНЕРГЕТИЧЕСКОЙ ЭФФЕКТИВНОСТИ ЛАМП НАПРАВЛЕННОГО СВЕТА, СВЕТОДИОДНЫХ ЛАМП И СВЯЗАННОГО С НИМИ ОБОРУДОВАНИЯ

(в ред. Решений Совета Евразийской экономической комиссии от 29.01.2021 N 6, от 15.04.2022 N 50от 08.07.2025 N 54)

I. Область применения

1. Настоящие Требования распространяются на выпускаемые в обращение на таможенной территории Евразийского экономического союза (далее - Союз) как отдельно, так и встроенными в другие изделия лампы направленного света, светодиодные лампы (LED-лампы), а также связанные с ними оборудование, предназначенное для установки между сетью электропитания и лампами, включая пускорегулирующие аппараты (далее - ПРА) ламп, устройства управления и светильники, за исключением:

а) ламп специального назначения, не предназначенных для освещения;

б) ПРА и светильников для люминесцентных ламп и разрядных ламп высокой интенсивности;

в) светодиодных модулей, заявленных как часть светильников при размере партии не более 200 единиц в год.

II. Основные понятия

2. Для целей применения настоящих Требований используются понятия, которые означают следующее:

"антибликовый экран" - механическая или оптическая отражающая или неотражающая непрозрачная перегородка, предназначенная для блокирования прямого видимого излучения, источника света, т.е. лампы направленного действия, позволяющая предотвратить временное ослепление (блики инвалидности), если наблюдатель смотрит прямо на источник света. К нему не относится покрытие поверхности источника света в лампе направленного света;

"балласт" - ПРА, включенный между электрическим источником и одной или несколькими разрядными лампами, который с помощью индуктивности, емкости или комбинации из индуктивности и емкости, служит в основном для ограничения тока лампы (ламп) до требуемого значения;

"внешний ПРА" - невстроенный ПРА, который предназначен для установки вне корпуса лампы или светильника либо который может быть удален из корпуса без существенного повреждения лампы или светильника;

"вольфрамовая галогенная лампа накаливания" - лампа накаливания, нить накала которой состоит из вольфрама и окружена оболочкой, заполненной галогенами или галогенными соединениями;

"время зажигания" - время, необходимое для полного загорания и дальнейшего горения лампы после ее включения в сеть;

"время разгорания" - время, в течение которого достигается 60% номинального светового потока после включения лампы в сеть;

"индекс цветопередачи" (Ra) - мера соответствия зрительных восприятий цветного объекта, освещенного исследуемым и стандартным источниками света при определенных условиях наблюдения;

"источник света" - поверхность или объект, предназначенный главным образом для видимого оптического излучения, возникающего при преобразовании энергии. Понятие "видимый" относится к длинам волн 380 - 780 нм;

"компактная люминесцентная лампа" - люминесцентная лампа, в которой ее зажигание и стабильную работу обеспечивают встроенный в цоколь пускорегулирующий аппарат и другие дополнительные элементы;

"коррелированная цветовая температура" (Tc [K]) - температура излучателя планковского (черного тела), воспринимаемый цвет которого наиболее близко напоминает тот, который имеет данный раздражитель при одинаковой яркости и при определенных условиях просмотра;

"коэффициент мощности" - отношение активной (полезной) мощности к полной мощности при работе на переменном токе;

"коэффициент сохранения светового потока лампы" (LLMF) - отношение светового потока лампы в заданный момент ее срока службы (жизненного цикла) к начальному световому потоку этой лампы;

"коэффициент срока службы ламп" (LSF) - доля еще функционирующих в данный момент при определенных условиях и при определенной частоте включений (переключений) ламп от общего количества ламп;

"лампа" - источник оптического излучения, создаваемого в результате преобразования электрической энергии;

"лампа накаливания" - лампа с герметичной колбой, в которой свет излучается телом (нитью) накала при прохождении через него электрического тока в вакууме или атмосфере инертного газа;

"лампа направленного света" - лампа, которая излучает как минимум 80% своего светового потока в пределах телесного угла 3,14 стерадиан (соответствует конусу с углом при вершине 120°);

"лампа ненаправленного света" - лампа, которая не является лампой с направленным светоизлучением;

"люминесцентная лампа" - ртутная лампа низкого давления, в которой свет излучает один или несколько слоев люминофора, возбуждаемых ультрафиолетовым излучением электрического разряда. Люминесцентные лампы поставляются со встроенным пускорегулирующим аппаратом или без него;

"люминесцентная лампа без встроенного балласта" - одно- или двухцокольная люминесцентная лампа без встроенного балласта;

"мощность ожидания" - мощность, потребляемая ПРА в режиме ожидания;

"мощность холостого хода" - мощность, потребляемая ПРА в режиме холостого хода;

"начальный световой поток" - световой поток лампы после непродолжительного периода эксплуатации;

"номинальное значение" - количественное значение параметра при заданных рабочих условиях, используемое для обозначения или идентификации изделия и указываемое изготовителем в эксплуатационных документах;

"однородность цвета" - максимальное отклонение координат цветности (x и y) образца лампы от центра цветности (cx и cy), выраженное в единицах размера (дискретных) эллипса МакАдама, построенного вокруг центра цветности (cx и cy);

"освещение" - применение света к месту, объекту и окружающему их пространству так, чтобы они могли быть видимыми людьми;

"патрон" - устройство, в которое в зависимости от назначения вставляются лампа или стартер для их крепления и присоединения к электрической сети;

"подсветка" - вид освещения, когда свет направляется таким образом, чтобы выделить объект или часть площади;

"полезный световой поток" () - часть светового потока лампы, попадающего в конус, используемый для расчета энергетической эффективности лампы в пункте 4 настоящих Требований;

"преждевременный отказ" - выход лампы из строя до истечения срока службы, установленного в эксплуатационных документах на лампу;

"пускорегулирующий аппарат (ПРА)" - устройство, включаемое между сетью и одной или несколькими лампами, которое посредством индуктивности, емкости или их комбинации обеспечивает главным образом ограничение тока лампы на уровне требуемого значения. ПРА может состоять из одного или нескольких блоков. ПРА также может содержать средства для трансформации напряжения сети и устройства, помогающие обеспечить напряжение для зажигания лампы, предотвращение холодного зажигания, уменьшение стробоскопического эффекта, исправление коэффициента мощности и (или) подавление сетевых радиопомех. ПРА может быть встроен в лампу или отделен от нее;

"ПРА галогенной лампы" - ПРА, преобразующий напряжение сети в сверхнизкое напряжение для питания галогенных ламп;

"разрядная лампа" - лампа, в которой оптическое излучение возникает в результате электрического разряда в газе, парах металлов, галогенидов и их смеси;

"разрядная лампа высокой интенсивности" - электрическая разрядная лампа, в которой светоизлучающая дуга стабилизируется температурой стенки и для этой дуги нагрузка стенки баллона составляет более 3 Вт на квадратный сантиметр;

"расчетное значение" - количественное значение параметра при определенных (заданных) условиях. Значения и условия приводятся в соответствующих стандартах или сообщаются изготовителем (поставщиком). Если не указано ничего иного, то все требования выражены как расчетные значения. Расчетное значение получается расчетным путем, то есть неэкспериментальным путем;

"режим холостого хода" - состояние ПРА, при котором он подключен к источнику питания, и когда его выход отключен при нормальной эксплуатации от всех первичных нагрузок переключателем, предназначенным для этой цели (неисправность или отсутствие лампы либо отключение нагрузки при срабатывании аварийного выключателя не относятся к нормальной эксплуатации);

"режим ожидания" - режим ПРА, когда лампа выключена с помощью управляющего сигнала при нормальных условиях эксплуатации. Понятие относится к ПРА со встроенной функцией переключения, постоянно подключенному к источнику питания при нормальных условиях эксплуатации;

"ртутьсодержащая лампа" - лампа, содержащая ртуть;

"светильник" - устройство, которое распределяет, фильтрует или преобразует свет, излучаемый одной или несколькими лампами, и которое включает в себя все части, необходимые для удержания, фиксации и защиты лампы и при необходимости вспомогательные схемы вместе со средствами для подключения электропитания;

"световой поток" (Ф) - энергия видимого излучения, переносимая потоком излучения в единицу времени;

"светодиод" (LED) - полупроводниковый прибор с p-n переходом, испускающий некогерентное видимое излучение при подаче на него электрического напряжения;

"светодиодная сборка" - комплект из одного или нескольких светодиодов. Сборка может включать в себя оптический элемент и тепловые, механические и электрические компоненты;

"светодиодная лампа (LED-лампа)" - лампа, содержащая одну или несколько светодиодных сборок. Лампа может быть снабжена цоколем;

"светодиодный модуль" - комплект, не имеющий крышки и содержащий одну или несколько светодиодных сборок на печатной плате. Комплект может включать в себя электрические, оптические, механические и тепловые компоненты, интерфейсы и устройство управления;

"сила света" (кандела или кд) - отношение светового потока, испускаемого источником в определенном телесном угле в заранее определенном направлении, к величине этого телесного угла;

"совместимость" - означает, что если устройство предназначено для встраивания в одно оборудование, устанавливается в другое устройство или подключается к нему через физический соединитель либо путем беспроводного соединения, то:

возможно выполнить установку, встраивание или соединение;

сразу после начала их совместного использования пользователи не обнаружат дефекта в каком-либо из устройств;

безопасность совместного использования устройств не менее, чем когда те же устройства по отдельности используются совместно с другими устройствами;

"специальная лампа" - лампа, которая на основании ее технических характеристик или согласно прилагаемой к ней эксплуатационной документации не подходит для освещения пространства в быту;

"срок службы лампы" - продолжительность работы, после которой часть от общего количества ламп, которые продолжают функционировать, соответствует критерию ресурса лампы при определенных условиях и частоте коммутации. Для светодиодных ламп срок службы лампы означает время работы между началом их использования и моментом, когда остаются функционировать только 50% от общего количества ламп или когда средний световой поток в партии ламп падает ниже 70%, в зависимости от того, что произойдет ранее;

"угол рассеивания луча" - угол между двумя воображаемыми прямыми в плоскости, проходящей через оптическую ось луча, эти линии проходят через центр передней стороны лампы и точки, в которых интенсивность света составляет 50% от силы света в центре луча, где сила света в центре луча является значением, измеренным на оптической оси луча;

"управляющий сигнал" - аналоговый или цифровой сигнал, передаваемый на ПРА через беспроводную или проводную линию связи либо посредством модуляции напряжения в отдельных кабелях управления или с помощью модулированного сигнала, накладываемого на напряжение сети;

"устройство управления" - электронное или механическое устройство для контроля и регулирования светового потока лампы с помощью других средств, чем преобразование энергии, таких как переключатели по времени, датчики присутствия, датчики света и устройства регулирования дневного света. Кроме того, диммеры с отсечкой фазы должны также рассматриваться в качестве устройств управления;

"цветность" - характеристика качества цвета лампы, определяемая ее координатами цветности;

"цикл переключения" - последовательность включения и выключения лампы через определенные промежутки времени;

"цоколь" - деталь электрической лампы, служащая для ее крепления в патроне и обеспечивающая присоединение к питающей сети;

"электрическое светотехническое изделие" - изделие, сконструированное для использования в качестве электрического оборудования и предназначенное для применения в целях освещения.

III. Требования к энергетической эффективности и правилам определения показателей энергетической эффективности

3. Лампы направленного света, светодиодные лампы и связанное с ними оборудование должны иметь расчетное значение индекса энергоэффективности, энергоэффективности ПРА и характеристики в соответствии с таблицами 2, 3, 4 настоящих Требований.

Сроки этапов введения требований приведены в пункте 10 настоящих Требований.

1. Расчет индекса энергоэффективности ламп направленного света

4. Индекс энергоэффективности (EEI) лампы рассчитывается по следующей формуле (с округлением до двух десятичных знаков):

,

где:

- измеренное значение потребляемой мощности () для моделей ламп без внешнего пускорегулирующего аппарата и измеренное значение потребляемой мощности (), скорректированное в виду возможных потерь согласно таблице 16 для моделей ламп с внешним пускорегулирующим аппаратом. измеряется при номинальном входном напряжении лампы;

Официальный источник электронного документа содержит неточность: имеется в виду пункт 16.

Таблица 1

Поправочные коэффициенты

Тип лампыПотребляемая мощность, скорректированная ввиду возможных потерь на пускорегулирующий аппарат ()
Лампа, работающая с внешним ПРА для галогенных ламп x 1,06
Лампа, работающая с внешним ПРА для светодиодных ламп x 1,10
Люминесцентная лампа диаметром 16 мм (лампа T5) и 4-контактная одноцокольная люминесцентная лампа, работающая с внешним ПРА для люминесцентных ламп x 1,10
Другие лампы, работающие с внешними ПРА для люминесцентных ламп
Лампа, работающая с внешним ПРА для разрядных ламп высокой интенсивности x 1,10
Компактная люминесцентная лампа с индексом цветопередачи >= 90 x 0,85
Лампа с антибликовым экраном x 0,80

- расчетное значение потребляемой мощности, которое рассчитывается на основании следующих формул:

Для моделей < 1300 лм:

Для моделей >= 1300 лм: = 0,07341

определяется следующим образом:

для ламп направленного света с углом рассеивания луча >= 90° кроме ламп накаливания и ламп, имеющих предупреждение на упаковке в соответствии с абзацами четырнадцатым и восемнадцатым подпункта "а" пункта 11 настоящих Требований, - номинальный световой поток в конусе 120° ();

для других ламп направленного света - расчетный световой поток в конусе 90° ().

2. Требования к энергоэффективности ламп направленного света

5. Максимальные значения EEI ламп направленного ламп приведены в таблице 2. Сроки введения этапов установлены в пункте 10 настоящих Требований.

Таблица 2

Максимальные значения индекса энергоэффективности (EEI)

ЭтапыМаксимальный индекс энергоэффективности (EEI)
лампы накаливания, работающие от сетидругие лампы накаливанияразрядные лампы высокой интенсивностидругие лампы
Этап 1если > 450лм: 1,75если <= 450 лм: 1,20
если > 450 лм: 0,95
0,500,50
Этап 21,750,950,500,50
Этап 30,950,950,360,20

3. Требования к энергоэффективности ПРА

6. Начиная с этапа 2, мощность холостого хода ПРА, предназначенного для использования между электрической сетью и переключателем для включения (выключения) лампы, не должна превышать 1,0 Вт.

Начиная с этапа 3, этот предел должен быть равен 0,50 Вт.

Для ПРА ламп с выходной мощностью (P) более 250 Вт пределы мощности холостого хода должны быть умножены на коэффициент P/250 Вт.

Начиная с этапа 3, установившаяся мощность ПРА ламп не должна превышать 0,50 Вт.

Начиная с этапа 2, эффективность ПРА галогенной лампы должна быть не менее 0,91 при 100% нагрузке.

4. Требования к характеристикам ламп

7. Требования к характеристикам ламп направленного света, кроме светодиодных ламп.

Требования к характеристикам ламп приведены в таблице 3 для компактных люминесцентных ламп направленного света и в таблице 4 для ламп направленного света, за исключением компактных люминесцентных ламп, светодиодных ламп и разрядных ламп высокой интенсивности.

Таблица 3

Требования к характеристикам компактных люминесцентных ламп направленного света

ХарактеристикаЭтап 1Этап 3
Коэффициент годных ламп после 6 000 ч>= 0,50>= 0,70
Коэффициент стабильности светового потокапри 2 000 ч: >= 0,80%при 2 000 ч: >= 0,83%
при 6 000 ч: >= 0,70%
Количество переключений до отказа>= половины срока службы лампы в часах
>= 10 000, если лампа время зажигания > 0,3 с
>= срока службы лампы (в ч)
>= 30 000, если время зажигания лампы > 0,3 с
Время зажигания< 2,0 с< 1,5 с если P < 10 Вт
< 1,0 с если P >= 10 Вт
Время разгорания до 60%, Ф< 40,0 с или < 100 с для ламп, содержащих ртуть в форме амальгамы< 40 с или < 100 с для ламп, содержащих ртуть в форме амальгамы
Частота преждевременных отказов<= 5,0% при 500 ч<= 5,0% при 1 000 ч
Коэффициент мощности лампы для ламп со встроенным ПРА>= 0,50 если Р < 25 Вт
>= 0,90 если Р >= 25 Вт
>= 0,55, если Р < 25 Вт
>= 0,90, если Р >= 25 Вт
Индекс цветопередачи (Ra)>= 80
>= 65, если лампа предназначена для наружного освещения или для промышленного применения
>= 80
>= 65, если лампа предназначена для наружного или промышленного применения

Если цоколь лампы относится к стандартному типу и используется также с лампами накаливания, то, начиная с этапа 2, лампа должна соответствовать современному уровню требований к совместимости с оборудованием, предназначенным для установки между сетью и лампами накаливания.

Таблица 4

Требования к характеристикам других ламп направленного света (кроме светодиодных ламп, компактных люминесцентных ламп и разрядных ламп высокой интенсивности)

ХарактеристикаЭтапы 1 и 2Этап 3
Номинальный срок службы лампы при коэффициенте годных ламп 50%>= 1 000 ч (>= 2 000 ч на этапе 2)
>= 2 000 ч для ламп сверхнизкого напряжения, не соответствующих требованиям этапа 3 к эффективности ламп накаливания в соответствии с таблицей 2 настоящих Требований
>= 2 000 ч
>= 4 000 ч для ламп сверхнизкого напряжения
Коэффициент стабильности светового потока>= 80% при 75% от номинального среднего срока службы лампы>= 80% при 75% от номинального среднего срока службы лампы
Количество циклов переключения>= четырехкратного номинального срока службы лампы (в ч)>= четырехкратного номинального срока службы лампы (в ч)
Время зажигания< 0,2 с< 0,2 с
Время разгорания лампы до 60%, Ф<= 1,0 с<= 1,0 с
Частота преждевременных отказов<= 5,0% при 100 ч<= 5,0% при 200 ч
Коэффициент мощности ламп со встроенным ПРАмощность > 25 Вт: >= 0,9
мощность <= 25 Вт: >= 0,5
мощность > 25 Вт: >= 0,9
мощность <= 25 Вт: >= 0,5

8. Требования к характеристикам светодиодных ламп ненаправленного и направленного света.

Требования к техническим характеристикам светодиодных ламп ненаправленного и направленного света приведены в таблице 5.

Таблица 5

Требования к характеристикам светодиодных ламп ненаправленного и направленного света

ХарактеристикаТребования на этапе 1
Коэффициент годных ламп через 6 000 ч>= 0,90
Коэффициент стабильности светового потока при 6 000 ч работы>= 0,80
Количество переключений до отказа>= 15 000, если номинальный срок службы лампы >= 30 000 ч, то не менее половины номинального срока службы (в ч)
Время зажигания< 0,5 с
Время разгорания лампы до 95%, Ф< 2 с
Частота преждевременных отказов<= 5% при 1 000 ч
Индекс цветопередачи (Ra)>= 80
>= 65, если лампа предназначена для наружного или для промышленного применения
Однородность цветаИзменение координат цветности в границах шести единицах эллипса МакАдама или меньше
Коэффициент мощности лампы (PF) для ламп со встроенным ПРАP <= 2 Вт: нет требований
2 Вт < P <= 5 Вт: PF > 0,4
5 Вт < P <= 25 Вт: PF > 0,5
P > 25 Вт: PF > 0,9

Если цоколь лампы относится к стандартному типу и используется также с лампами накаливания, то, начиная с этапа 2, лампа должна соответствовать современному уровню требований к совместимости с оборудованием, предназначенным для установки между сетью и лампами накаливания.

9. Требования к характеристикам оборудования, предназначенного для установки между сетью и лампами.

Начиная с этапа 2, оборудование, предназначенное для установки между сетью и лампами, должно соответствовать современному уровню требований к совместимости с лампами, у которых индекс энергоэффективности (рассчитанный для ламп направленного света и ламп ненаправленного света в соответствии с методом, указанным в пункте 4 настоящих Требований), но не более:

0,24 - для ламп ненаправленного света (предполагается, что = полному номинальному световому потоку);

0,40 - для ламп направленного света.

Если устройство регулировки яркости установлено в положение минимальной яркости, в котором работающие лампы еще потребляют энергию, эти работающие лампы должны излучать по крайней мере 1% от их светового потока при полной мощности.

Если светильник предназначен для применения пользователем и его конструкция позволяет производить замену ламп пользователем, то лампы, совместимые с этим светильником, должны относиться к одному из 2 старших классов индекса энергоэффективности.

10. Сроки введения этапов значений EEI должны соответствовать указанным ниже:

этап 1 - с 1 сентября 2028 г.; (в ред. Решений Совета Евразийской экономической комиссии от 29.01.2021 N 6, от 15.04.2022 N 50от 08.07.2025 N 54)

этап 2 - с 1 сентября 2029 г.; (в ред. Решений Совета Евразийской экономической комиссии от 29.01.2021 N 6, от 15.04.2022 N 50от 08.07.2025 N 54)

этап 3 - с 1 сентября 2030 г. (в ред. Решений Совета Евразийской экономической комиссии от 29.01.2021 N 6, от 15.04.2022 N 50от 08.07.2025 N 54)

Если требование не будет заменено или не указано иное, то они выполняются вместе с другими требованиями, введенными на более поздних этапах.

11. В дополнение к требованиям, указанным в разделе V технического регламента Евразийского экономического союза "О требованиях к энергетической эффективности энергопотребляющих устройств" (ТР ЕАЭС 048/2019), упаковка или эксплуатационные документы должны содержать следующую информацию:

а) требования к информации о продукции для ламп направленного света.

Требования не распространяются на:

лампы накаливания, не отвечающие требованиям энергоэффективности этапа 2;

светодиодные модули, поставляемые как часть светильника, для которого они не предназначены для замены пользователем.

Начиная с этапа 1, должна быть предоставлена следующая информация (если не установлено иное), при этом понятие "энергосберегающая лампа" может быть использовано, если индекс энергетической эффективности лампы (рассчитанный в соответствии с методом, изложенным в разделе III настоящий Требований) равен или ниже 0,40:

информация, наносимая на поверхность лампы (кроме разрядных ламп высокой интенсивности) разборчивым шрифтом, - значение и единица измерения ("лм", "K" и "°") номинального полезного светового потока, цветовой температуры и номинального угла рассеивания, если после нанесения информации, относящейся к безопасности, такой, как мощность и напряжение, на лампе остается достаточно места без чрезмерного затенения излучаемого лампой света.

Если имеется достаточно места только для одного из 3 значений, должен быть указан номинальный полезный световой поток. Если имеется место для 2 значений, должны быть указаны номинальный полезный световой поток и цветовая температура.

информация, наносимая на упаковку, - информация о продукции должна быть понятной и четкой и не обязательно должна содержать точную формулировку из указанного перечня, может отображаться в виде графиков, рисунков или символов:

номинальный полезный световой поток, отображаемый шрифтом, по крайней мере вдвое большим, чем шрифт, использованный для отображения номинальной мощности лампы;

номинальный срок службы лампы в часах (не более расчетного срока службы);

цветовая температура, выраженная в градусах Кельвина, а также графически или словами;

количество циклов переключения до преждевременного отказа;

время разгорания до 60% от полного светового потока (может быть обозначено как "мгновенный полный свет", если оно менее 1 секунды);

предупреждение, если лампа не допускает управление яркостью или для управления яркостью допустимы только конкретные диммеры; (в последнем случае с указанием перечня диммеров должен быть приведен на странице изготовителя (поставщика) в информационно-телекоммуникационной сети "Интернет");

если лампа предназначена для оптимального использования в нестандартных условиях (например, при температуре окружающей среды Ta =/ 25 °C или требуется специальное управление температурой) - информация об этих условиях;

размеры лампы в мм (длины и наибольший диаметр);

номинальный угол рассеивания луча в градусах;

если угол рассеивания луча лампы составляет >= 90° и ее полезный световой поток, определенный в соответствии с подразделом 1 настоящего раздела, должен быть измерен в конусе 120°, то приводится предупреждающее указание, что лампа не подходит для направленного освещения;

если цоколь лампы относится к стандартизованному типу, используемому также с лампами накаливания, и если размеры лампы отличаются от размеров лампы накаливания, которая предназначена для замены, - рисунок сравнительных размеров данной лампы и заменяемой лампы накаливания;

информация о типе, к которому относится лампа, указанных в графе первой таблицы 6, приводится в случае, когда световой поток лампы в конусе 90° () не ниже эталонного светового потока, указанного в таблице 6 для лампы минимальной мощности среди лампы соответствующего типа. Эталонный световой поток должен быть умножен на поправочный коэффициент, указанный в таблице 7, для светодиодных ламп должен быть дополнительно умножен на поправочный коэффициент, указанный в таблице 8;

информация об эквивалентности, включающая в себя мощность лампы заменяемого типа - только в случае, если лампа относится к типу, указанному в таблице 6, и если световой поток лампы в конусе 90° () не ниже соответствующего эталонного светового потока, указанного в таблице 6. Эталонный световой поток должен быть умножен на поправочный коэффициент из таблицы 7. Для светодиодных ламп он должен быть дополнительно умножен на поправочный коэффициент из таблицы 8. Промежуточные значения светового потока и заявленной эквивалентной мощности лампы (с округлением до целого 1 Вт) рассчитывают путем линейной интерполяции между 2 соседними значениями.

Таблица 6

Эталонный световой поток для заявления об эквивалентности

Тип лампыМощность, ВтЭталон , лм
Рефлекторная лампа сверхнизкого напряжения
MR11 GU420160
 35300
MR16 GU 5.320180
 35300
 50540
AR11135250
 50390
 75640
 100785
Рефлекторная лампа на напряжение сети с выдувной стеклянной колбой
R50/NR502590
 40170
R63/NR6340180
 60300
R80/NR8060300
 75350
 100580
R95/NR9575350
 100540
R125100580
 1501000
Рефлекторная лампа на напряжение сети с колбой из прессованного стекла
PAR162090
 25125
 35200
 50300
PAR2035200
 50300
 75500
PAR2550350
 75550
PAR30S50350
 75550
 100750
PAR3650350
 75550
 100720
PAR3860400
 75555
 80600
 100760
 120900

Таблица 7

Поправочные коэффициенты для стабильности светового потока

Тип лампыПоправочный коэффициент для стабильности светового потока
Галогенная лампа1
Компактная люминесцентная лампа1,08
Светодиодная лампа1 + 0,5 x (1 - LLMF), где LLMF - коэффициент сохранения светового потока лампы

Таблица 8

Поправочные коэффициенты для светодиодных ламп

Угол рассеивания луча светодиодной лампыПоправочный коэффициент для светового потока
угол рассеивания >= 20°1
15° <= угол рассеивания < 20°0,9
10° <= угол рассеивания < 25°0,85
угол рассеивания < 10°0,80

спектральное распределение мощности в диапазоне 180 - 800 нм;

информация, которая должна быть в технической документации:

информация, указанная в абзацах восьмом - двадцать втором подпункта "а" настоящего пункта;

номинальная мощность (с точностью до 0,1 Вт);

номинальный полезный световой поток;

номинальный срок службы лампы;

коэффициент мощности лампы;

коэффициент стабильности светового потока в конце номинального срока службы (за исключением ламп накаливания);

время зажигания (в виде X, X c);

индекс цветопередачи;

однородность цвета (только для светодиодных ламп);

номинальная пиковая сила света в канделах (кд);

номинальный угол рассеивания луча;

информация о предназначении лампы для наружного освещения или для промышленного применения (при наличии);

если лампа содержит ртуть:

инструкция по очистке помещения в случае повреждения (разрушения) лампы, а также рекомендации об утилизации лампы;

б) дополнительные сведения для светодиодной продукции, заменяющей люминесцентные лампы без встроенного балласта:

информация о том, что общая энергетическая эффективность и распределение света какого-либо устройства, в которой используются такие лампы, определяется конструкцией устройства (указывается изготовителем);

информация о том, что светодиодная лампа заменяет люминесцентную лампу без встроенного балласта определенной мощности, допустима, если:

сила света в любом направлении вокруг оси трубки не отклоняется более чем на 25% от средней силы света вокруг трубки;

световой поток светодиодной лампы не ниже светового потока люминесцентной лампы номинальной мощности. Световой поток люминесцентной лампы получается путем умножения заявленной мощности на минимальное значение эффективности соответствующей люминесцентной лампы;

мощность светодиодной лампы не выше, чем мощность люминесцентной лампы, заявленной к замене.

Техническая документация должна содержать сведения, подтверждающие выполнение этих требований;

в) требования к информации о продукции для оборудования, кроме светильников, предназначенного для установки между сетью и лампами: начиная с этапа 2, изготовителем наносится предупредительная информация о несовместимости оборудования с энергосберегающими лампами, если оборудование не обеспечивает совместимость с любой из энергосберегающих ламп;

г) требования к информации о продукции ПРА: начиная с этапа 2, приводится информация о том, что устройство предназначено для использования в качестве ПРА и что ПРА может работать в режиме холостого хода (при наличии);

д) требования к информации о продукции специального назначения: для всей продукции специального назначения должна указываться предупредительная информация о целевом назначении, а также предупреждающая информация о том, что продукция специального назначения не предназначена для использования в других целях.

е) иные сведения, предусмотренные в соответствующих технических регламентах Союза (Таможенного союза).

IV. Допустимые отклонения параметров энергетической эффективности ламп направленного света, светодиодных ламп и связанного с ними оборудования при проведении испытаний (измерений) после выпуска их в обращение

12. В случае проведения испытаний (измерений) ламп направленного света, светодиодных ламп и связанного с ними оборудования после их выпуска в обращение на таможенной территории Союза проводятся испытания (измерения) не менее 20 образцов ламп и оборудования одной и той же модели и одного и того же изготовителя. Измеренные значения параметров и характеристик указанных ламп и оборудования должны соответствовать настоящим Требованиям и номинальным значениям, заявленным изготовителем, в пределах разрешенных допусков, указанных в таблице 9.

Продукция должна рассматриваться как соответствующая требованиям, указанным в настоящем документе, если:

лампы в партии сопровождаются необходимой и правильной информацией;

испытание параметров партии, указанных в таблице 9, не выявило несоответствия для любого из параметров в рамках допустимых отклонений.

Таблица 9

Допустимые отклонения

Измеряемый параметрДопустимые отклонения
Коэффициент срока службы ламп через 6 000 ч (для светодиодных ламп)максимум 2 из 20 ламп испытуемой партии могут выходить из строя до требуемого количества часов
Количество переключений до наступления отказа19 из 20 ламп партии не должны выходить из строя, после достижения требуемого количества циклов переключений
Время зажиганиязначение измеренной величины не должно превышать номинального значение более чем на 10% и ни одна лампа в партии не должна иметь значение, более чем в 2 раза превышающее требуемое
Время разгорания лампы до 60%, Фзначение измеренной величины не должно превышать номинальное значения более чем на 10% и ни одна лампа в партии не должна иметь значение, более чем в 1,5 раза превышающее требуемое
Частота преждевременных отказовв зависимости от того, что происходит раньше, испытание завершается, если: достигнуто требуемое количество часов, более чем 1 лампа выходит из строя.
Соответствие: Максимум 1 из 20 ламп испытуемой партии выходит из строя до требуемого количества часов
Индекс цветопередачи (Ra)значение измеренной величины не должно быть ниже номинального значения более чем на 3 пункта и ни одна лампа не должна иметь значение Ra более чем на 3,9 пункта ниже требуемого
Световой поток в конце срока службы и номинального срока службы (для светодиодных ламп)Под "концом срока службы" понимается такой момент времени, когда предположительно останутся в работе только 50% ламп или когда среднее значение стабильности светового потока партии падает ниже 70%, в зависимости от того, что происходит ранее.
Соответствие: стабильность светового потока в конце срока службы и на его протяжении, полученная путем экстраполяции коэффициента срока службы лампы и среднего значения стабильности светового потока ламп в проверяемой партии и равная 6 000 ч, должна быть не ниже, чем, соответственно, значения стабильности светового потока и номинальные значения в течение срока службы, заявленные изготовителем продукции, минус 10%.
Несоответствие: в иных случаях
Эквивалентность ламп
(в соответствии с абзацем двадцать первым подпункта "а" пункта 11 настоящих Требований)
Проверяют 10 образцов ламп.
Значения измеренных величин не отклоняются от номинальных значений и установленных предельных значений более чем на 10%
Угол рассеивания лучасредние результаты ламп испытуемой партии отклоняются не более чем на 25% от указанного угла рассеивания луча и значение для угла рассеивания луча каждой отдельной лампы испытуемой партии отклоняются не более чем на 25% от измеренного значения
Максимальная интенсивностьзначение измеренной величины каждой отдельной лампы испытуемой партии не должно быть менее 75% от измеренной интенсивности
Другие параметры (в том числе индекс энергоэффективности)значения измеренных величин не должны отклоняться от номинальных значений более чем на 10%

13. Процедура проверки светодиодных модулей, не предназначенных для извлечения из светильника пользователем.

В случае проведения испытаний (измерений) светодиодных модулей, не предназначенных для извлечения из светильника пользователем, после их выпуска в обращение на таможенной территории Союза испытания (измерения) проводятся в следующем порядке:

- отбирается количество образцов (светодиодных модулей или светильников) одной модели и одного изготовителя по возможности в равной пропорции из нескольких источников методом случайной выборки. Для подпунктов 13.1, 13.3 и 13.4 пункта 13 настоящих Требований число источников должно быть не менее 4, если это возможно;

- Для абзаца подпункта 13.2 пункта 13 настоящих Требований число источников должно быть не менее 4, если это возможно, и если количество светильников, необходимо для извлечения из них 20 светодиодных модулей 1 и той же модели не менее 4, в иных случаях число источников принимают равным числу необходимых светильников.

Испытания (измерения) проводятся в следующем порядке.

Под понятием "светильник" понимается светильник, содержащий светодиодные модули, а под понятием "испытание" - понимается процедура, описанная в пункте 7 настоящих Требований. В случае если в технической документации предусмотрено проведение испытаний согласно подпунктам 13.1 и 13.2 пункта 13 настоящих Требований, допускается выбрать наиболее подходящий метод.

13.1. Если техническая документация на светильник предусматривает испытание светильника в целом как лампы, то должно быть испытано 20 светильников. Если модель светильника соответствует настоящим Требованиям, то считают, что светодиодные модули данной модели соответствуют им.

13.2. В иных случаях, если техническая документация на светильник предусматривает извлечение из него светодиодных модулей для испытаний, то необходимо выбрать достаточное количество светильников для получения 20 образцов светодиодных модулей. При этом необходимо следовать указаниям технической документации по демонтажу светильников и проводить испытания каждого светодиодного модуля в отдельности.

13.3. В иных случаях, если в соответствии с технической документацией на светильник изготовитель выпускает светодиодные модули в виде отдельного продукта, необходимо выбрать для испытаний 20 образцов светодиодных модулей данной модели и испытать каждый светодиодный модуль в отдельности.

13.4. Если проведение испытаний в соответствии с подпунктами "а" - "в" пункта 7 настоящих Требований раздела невозможно, то есть светодиодные модули не могут быть извлечены из светильника для проверки по отдельности, то должны быть проверены циклы переключения, преждевременный выход из строя, время зажигания и время разгорания на соответствие требованиям таблицы 5 на 1 светильнике. Если результаты испытаний отличаются от предельных значений более чем на 10%, или светильник преждевременно вышел из строя, то должны быть дополнительно испытаны еще 3 светильника. Если средние результаты последующих испытаний 3 образцов и (кроме тех, которые преждевременно вышли из строя) не отличаются от предельных значений более чем на 10%, и ни 1 из светильников не вышел из строя, то светодиодные модули данной модели считаются соответствующими настоящим Требованиям.

14. Процедуры проверки оборудования, предназначенного для установки между сетью и лампами.

В дополнение к требованию совместимости ПРА должны быть проверены также на соответствие требованиям энергетической эффективности в соответствии с пунктом 4 настоящих Требований. Испытания проводят на 1 образце ПРА, даже если модель предназначена для совместной работы с другими ПРА в оборудовании. Модель ПРА должна рассматриваться как соответствующая требованиям, если результаты испытаний не отклоняются от предельных значений более чем на 2,5%.

Если результаты отклоняются от предельных значений более чем на 2,5%, то должны быть испытаны еще 3 образца. Модель рассматривают как соответствующую настоящим Требованиям, если среднее значение результатов испытаний этих 3 образцов не отличаются от предельных значений более чем на 2,5%.

15. Должны быть также проверены светильники на наличие ламп в их упаковке. Модель считается соответствующей, если лампы не присутствуют или если лампы, которые присутствуют, имеют индекс энергетической эффективности, требуемый в соответствии с пунктом 3.2. настоящих Требований.

16. В дополнение должно быть проверено устройство управления яркостью в комплекте с лампами накаливания, если это устройство управления находится в положении минимальной яркости. Модель считается соответствующей Требованиям, если, когда она установлена в соответствии с инструкциями изготовителя, лампы обеспечивают по крайней мере 1% от их светового потока при полной нагрузке.

V. Содержание этикетки энергетической эффективности и технического листа ламп электрических

17. Этикетка энергетической эффективности ламп электрических должна содержать следующие сведения:

I. наименование или товарный знак (при наличии) изготовителя.

II. обозначение модели.

III. класс энергетической эффективности.

Пиктограмма энергетической эффективности располагается на том же уровне, что и стрелка соответствующего класса энергетической эффективности.

IV. - расчетное потребление электроэнергии в кВт*ч за 1000 часов работы лампы (округляется до целого числа).

18. Этикетка энергетической эффективности светильников должна содержать следующие сведения:

I. наименование или товарный знак (при наличии) изготовителя;

II. обозначение модели;

III. информация о светильнике (тип, исполнение, совместимость);

IV. класс энергетической эффективности;

V. сведения в соответствии с одним из следующих вариантов исполнения:

1) светильник предназначен для работы с лампами указанных классов энергетической эффективности. В поле указывается класс лампы включенный в комплект поставки. Если лампа в комплекте поставки светильника не входит, то поле остается пустым;

2) светильник имеет встроенные светодиодные модули (источники света) без возможности их замены конечным пользователем;

3) светильник предназначен для работы с лампами указанных классов энергетической эффективности и содержит встроенные светодиодные модули (источники света), без возможности замены конечным пользователем. В поле указывается класс лампы включенный в комплект поставки. Если лампа в комплекте поставки светильника не входит, то поле остается пустым.

19. Технический лист, включаемый в состав эксплуатационной документации ламп электрических и светильников, должен содержать перечень характеристик, предусмотренных пунктами 17 и 18 настоящих Требований соответственно.

VI. Определение классов энергетической эффективности ламп электрических

20. Класс энергетической эффективности ламп электрических определяется в соответствии с индексом энергетической эффективности (EEI) в соответствии с таблицей 1.

Таблица 1

Классы энергетической эффективности ламп электрических

Класс энергетической эффективностиИндекс энергетической эффективности
Для ламп (источников света) ненаправленного светаДля ламп (источников света) направленного света
A ++EEI <= 0,11EEI <= 0,13
A +0,11 < EEI <= 0,170,13 < EEI <= 0,18
A0,17 < EEI <= 0,240,18 < EEI <= 0,4
B0,24 < EEI <= 0,600,4 < EEI <= 0,95
C0,60 < EEI <= 0,800,95 < EEI <= 1,20
D0,80 < EEI <= 0,951,20< EEI <= 1,75
E (наименее эффективный)EEI > 0,95EEI > 1,75

Приложение N 15
к техническому регламенту
Евразийского экономического союза
"О требованиях к энергетической
эффективности энергопотребляющих
устройств" (ТР ЕАЭС 048/2019)

ТРЕБОВАНИЯ К ЭНЕРГЕТИЧЕСКОЙ ЭФФЕКТИВНОСТИ МАШИН СУШИЛЬНЫХ БАРАБАННОГО ТИПА

I. Область применения

1. Настоящие Требования распространяются на выпускаемые в обращение на таможенной территории Евразийского экономического союза (далее - Союз) питаемые от сети переменного тока бытовые машины сушильные барабанного типа для текстильных изделий (далее - машины сушильные), которые могут применяться и в коммерческих целях (на производстве, в торговле и сфере услуг), с устройством электрического или газового подогрева воздуха, в том числе встраиваемые машины сушильные барабанного типа, за исключением центрифуг и машин сушильных, входящих в состав комбинированных машин стирально-сушильных.

II. Основные понятия

2. Для целей применения настоящих Требований используются понятия, которые означают следующее:

"автоматическая машина сушильная барабанного типа" - машина сушильная барабанного типа, в которой процесс сушки выключается автоматическим устройством при достижении определенной влажности, (например, с помощью датчика проводимости или датчика температуры);

"бытовая комбинированная машина стирально-сушильная" - бытовая стиральная машина, сочетающая функцию стирки и отжима текстильных изделий в центрифуге с функцией сушки с нагреванием;

"бытовая машина сушильная барабанного типа" - устройство бытового назначения, которое предназначено для сушки текстильных изделий во вращающемся барабане с пропусканием нагретого воздуха;

"бытовая центрифуга" - устройство бытового назначения, в котором вода удаляется из текстильных изделий под действием центробежной силы во вращающемся барабане и затем откачивается автоматическим насосом;

"встраиваемая бытовая машина сушильная барабанного типа" - бытовая машина сушильная барабанного типа, предназначенная для установки в шкафу, другой мебели, специальной нише или в ином подобном месте с применением декоративного покрытия (экрана);

"конденсационная сушильная машина" - машина сушильная с устройством удаления влаги из используемого для сушки воздуха путем ее конденсации;

"машина сушильная барабанного типа с воздушной вентиляцией" - машина сушильная барабанного типа, внутрь которой из окружающего пространства подается воздух, проходящий затем через текстильные изделия и отводящийся в помещение или за его пределы;

"неавтоматическая машина сушильная барабанного типа" - машина сушильная барабанного типа, в которой процесс сушки выключается по истечении заранее определенного периода времени, обычно контролируемого таймером, но которая также может быть выключена вручную;

"номинальная вместимость" - максимальная масса сухих текстильных изделий определенного типа в килограммах с шагом 0,5 кг, которая указана в инструкции изготовителя и которую можно загрузить в бытовую машину сушильную при выбранной программе;

"программа" - совокупность операций, которые предварительно установлены и которые заявлены изготовителем как подходящие для сушки отдельных видов текстильных изделий;

"продолжительность программы" - длительность диапазона времени от начала программы до ее завершения, за исключением любой задержки в работе программы, внесенной пользователем;

"режим "выключено" - состояние, при котором машина сушильная барабанного типа выключается при помощи устройства управления или переключателем, доступным пользователю при нормальной эксплуатации, для достижения низкого энергопотребления, и которое может сохраняться в течение продолжительного времени до тех пор, пока бытовая машина сушильная барабанного типа подключена к источнику электроэнергии и используется в соответствии с инструкциями изготовителя;

"режим "оставлено включенным" - режим с наименьшим потреблением электроэнергии, который может сохраняться в течение неопределенного времени после завершения программы без необходимости вмешательства пользователя, за исключением выгрузки текстильных изделий из сушильной машины;

"стандартная программа "Хлопок" - цикл сушки текстильных изделий из хлопка после стирки с начальным содержанием влаги в изделии 60% до остаточного содержания влаги в них около 0%;

"цикл" - полный процесс сушки, установленный для соответствующей программы;

"частичная загрузка" - половина номинальной загрузки бытовой сушильной машины при заданной программе;

"эффективность конденсации" - отношение массы влаги, конденсируемой в конденсаторе машины сушильной барабанного типа, к массе влаги, извлеченной из одежды в течение цикла.

III. Требования к энергетической эффективности сушильных машин и особенности определения показателей энергетической эффективности

3. Для машины сушильной должны быть проведены соответствующие испытания (измерения) и определены значения индекса энергетической эффективности (EEI) и эффективности конденсации.

Для расчета потребления электроэнергии и других параметров машин сушильных должна использоваться стандартная программа "Хлопок". Эта программа должна быть указана в устройстве(ах) выбора программы машины сушильной, на ее дисплее (при наличии) или в обоих местах одним из символов или комбинацией символов и должна устанавливаться по умолчанию в качестве рабочего цикла сушильной машины, оснащенной автоматическим выбором программы или любой функцией автоматического выбора программ сушки или поддержания выбора программы. Если сушильная машина является автоматической, стандартная программа "Хлопок" также должна быть автоматической.

4. Индекс энергетической эффективности машины сушильной рассчитывается по следующей формуле (с округлением до 1 десятичного знака):

,

где:

- годовое потребление электроэнергии сушильной машиной;

- стандартное годовое потребление электроэнергии сушильной машиной.

рассчитывается (в кВт·ч/год) следующим образом (с округлением результата до 2 десятичных знаков):

для сушильных машин без воздушной вентиляции:

для сушильных машин с воздушной вентиляцией:

,

где:

c - номинальная загрузка сушильной машины для стандартной программы "Хлопок";

- продолжительность программы для стандартной программы "Хлопок".

Годовое потребление электроэнергии (AEC) (в кВт·ч/год) рассчитывается по следующей формуле (с округлением результата до 2 десятичных знаков):

,

где:

- взвешенное потребление электроэнергии (в кВт·ч) (с округлением до 2 десятичных знаков);

- значение мощности (в Вт) в режиме "выключено" для стандартной программы "Хлопок" при полной загрузке (с округлением до 2 десятичных знаков);

- значение потребляемой мощности (в Вт) в режиме "оставлено включенным" для стандартной программы "Хлопок" при полной загрузке (с округлением до 2 десятичных знаков);

- взвешенная продолжительность программы в минутах (с округлением до целого значения);

160 - общее количество циклов сушки в год.

В случае если машина сушильная оснащена системой управления электропитанием с функцией автоматического возврата машины сушильной в режиме "выключено" после окончания программы, то взвешенное годовое потребление электроэнергии (AEC) рассчитывается с учетом эффективной продолжительности режима "оставлено включенным" по следующей формуле:

,

где - продолжительность режима "оставлено включенным" в минутах для стандартной программы "Хлопок" при полной загрузке (с округлением до целого значения).

Продолжительность программы для стандартной программы "Хлопок" рассчитывается по следующей формуле (с округлением до целого числа):

,

где:

- время выполнения стандартной программы "Хлопок" при полной загрузке в минутах (с округлением до целого значения);

- время выполнения стандартной программы "Хлопок" при частичной загрузке в минутах (с округлением до целого значения).

Взвешенное потребление электроэнергии () (в кВт·ч) для сушильных машин рассчитывают по следующей формуле (с округлением до 2 десятичных знаков):

,

где:

- энергопотребление для стандартной программы "Хлопок" при полной нагрузке (в кВт·ч) (с округлением до 2 десятичных знаков);

- энергопотребление для стандартной программы "Хлопок" при частичной нагрузке (в кВт·ч) (с округлением до 2 десятичных знаков).

Для машин сушильных с электрическим устройством подогрева воздуха энергопотребление и измеряется непосредственно как потребленная электрическая энергия. Для сушильных машин с устройством подогрева воздуха, работающим на газообразном топливе, энергопотребление и рассчитывается по следующим формулам (в кВт·ч) (с округлением до 2 десятичных знаков):

;

;

где:

- потребление теплотворной энергии газа (в кВт·ч) для стандартной программы "Хлопок" при полной загрузке (с округлением до 2 десятичных знаков);

- потребление теплотворной энергии газа (в кВт·ч) для стандартной программы "Хлопок" при частичной загрузке (с округлением до 2 десятичных знаков);

- дополнительное (вспомогательное) потребление электроэнергии (в кВт·ч) для стандартной программы "Хлопок" при полной загрузке (с округлением до 2 десятичных знаков);

- дополнительное (вспомогательное) потребление электроэнергии (в кВт·ч) для стандартной программы "Хлопок" при частичной загрузке (с округлением до 2 десятичных знаков);

= 2,5.

Для газовых сушильных машин энергопотребление газа () (в кВт·чGAS) для стандартной программы "Хлопок" при полной и частичной загрузке рассчитывается по следующей формуле (с округлением до 2 десятичных знаков):

.

Для газовых сушильных машин энергопотребление электричества () (в кВт·ч) для стандартной программы "Хлопок" при полной и частичной загрузке рассчитывается по следующей формуле (с округлением до 2 десятичных знаков):

.

5. Для расчета эффективности конденсации определяется средняя эффективность конденсации для стандартной программы "хлопок" при полной и частичной загрузке.

Эффективность конденсации () рассчитывается в процентах по следующей формуле (с округлением до целого значения):

,

где:

- средняя эффективность конденсации для стандартной программы "хлопок" при полной загрузке;

- средняя эффективность конденсации для стандартной программы "хлопок" при частичной загрузке.

Средняя эффективность конденсации (C) рассчитывается по результатам определения эффективности конденсации в испытательных циклах и выражается в процентах:

,

где:

n - количество циклов испытаний, включающее в себя по меньшей мере 4 реальных испытательных цикла для выбранной программы;

j - номер цикла испытаний;

- масса воды, собранной в конденсаторе во время испытания j;

- масса влажной испытательной загрузки перед сушкой;

- масса испытательной загрузки после сушки.

6. Машины сушильные должны соответствовать следующим требованиям:

а) индекс энергетической эффективности (EEI) машин сушильных, рассчитанный в соответствии с пунктом 4 настоящих Требований, должен быть менее 85;

б) для конденсационных сушильных машин:

индекс энергетической эффективности (EEI), рассчитанный в соответствии с пунктом 4 настоящих Требований, должен быть менее

эффективность конденсации, определенная в соответствии с пунктом 5 настоящих Требований, должна быть не менее 70%.

7. Эксплуатационные документы, прилагаемые к машинам сушильным, предусмотренные пунктом 13 технического регламента Евразийского экономического союза "О требованиях к энергетической эффективности энергопотребляющих устройств" (ТР ЕАЭС 048/2019) (далее - технический регламент), должны содержать следующие сведения об их характеристиках и параметрах:

а) значение индекса энергетической эффективности (EEI);

б) значение эффективности конденсации для конденсационных сушильных машин;

в) информация о стандартной программе "Хлопок" и указание на то, что она подходит для сушки после стирки хлопчатобумажных текстильных изделий, имеющих стандартную влажность, и является наиболее эффективной программой в части потребления энергии;

г) сведения о потреблении электроэнергии в режиме "выключено" и в режиме "оставлено включенным";

д) сведения об ориентировочной продолжительности программы и затратах электроэнергии на основные программы сушки как при полной загрузке, так и при частичной загрузке.

IV. Допустимые отклонения параметров энергетической эффективности машин сушильных при проведении испытаний (измерений) после выпуска их в обращение

8. В случае проведения испытаний (измерений) машин сушильных после выпуска их в обращение на таможенной территории Союза проводятся испытания (измерения) 1 типового образца (экземпляра) каждой модели сушильной машины.

Модель сушильной машины считается соответствующей настоящим Требованиям, если измеренные значения параметров и характеристик типового экземпляра (образца) сушильной машины соответствуют требованиям раздела III настоящих Требований и номинальным значениям, заявленным изготовителем, в пределах допустимых отклонений, указанных в таблице 1.

Таблица 1

Допустимые отклонения

Измеряемый параметрДопустимые отклонения
Взвешенное годовое потребление энергииизмеренное значение не должно превышать номинальное значение для больше чем на 6%
Взвешенное энергопотреблениеизмеренное значение не должно превышать номинальное значение для больше чем на 6%
Взвешенная эффективность конденсацииизмеренное значение не должно быть меньше номинального значения для больше чем на 6%
Взвешенная продолжительность программыизмеренное значение не должно превышать номинальное значение для больше чем на 6%
Потребляемая мощность в режиме "выключено" и в режиме "оставлено включенным"измеренные значения потребляемой мощности и не должны превышать номинальных значений более чем на 6% или 0,10 Вт для контроля потребляемой мощности, величина которой соответственно превышает или не превышает 1,00 Вт
Продолжительность режима "оставлено включенным"измеренное значение не должно превышать номинальное значение для более чем на 6%

Под номинальным значением понимается значение, заявленное изготовителем.

В иных случаях измерения следует провести на 3 дополнительных экземплярах каждой модели сушильной машины. Модель сушильной машины считается соответствующей настоящим Требованиям, если средние значения результатов измерений этих 3 дополнительных экземпляров сушильных машин соответствуют требованиям, указанным в разделе III настоящих Требований.

В иных случаях данную модель сушильной машины следует рассматривать как не соответствующую требованиям технического регламента.

V. Содержание этикетки и технического листа машин сушильных

9. Этикетка машин сушильных должна содержать следующие сведения:

I. наименование или товарный знак (при наличии) изготовителя;

II. обозначение модели;

III. класс энергетической эффективности;

IV. годовое потребление энергии () (в кВт·ч/год) (с округлением до целого числа);

V. тип сушильной машины;

VI. время цикла, соответствующее стандартной программе "Хлопок" при полной загрузке (в мин) (с округлением до целого числа);

VII. номинальная вместимость для стандартной программы "Хлопок" при полной загрузке (в кг);

VIII. значение акустического шума (средневзвешенное значение Lwa) для стандартного режима сушки хлопка при полной загрузке (в дБ) округленное до целого числа.

IX. класс эффективности конденсации (для конденсационных сушильных машин).

10. Технический лист, входящий в состав эксплуатационных документов к сушильным машинам, должен содержать следующие сведения:

а) наименование или товарный знак (при наличии) изготовителя;

б) идентификационный номер модели изготовителя (как правило буквенно-цифровой код, который отличает конкретную модель сушильной машины от других моделей той же торговой марки или изготовителя с таким же названием);

в) номинальная вместимость для стандартной программы "Хлопок" при полной загрузке (в кг);

г) тип сушильной машины (с приточно-вытяжной вентиляцией, конденсационная или газовая);

д) класс энергетической эффективности;

е) для сушильной машины, работающей от электросети:

- годовое энергопотребление (), округленное до первого десятичного знака. Указывается следующим образом: "Энергопотребление "X", кВт·ч/год, основанное на 160 циклах для стандартной программы "Хлопок" при полной и частичной загрузке, и потребление энергии в режиме "оставлено включенным". Фактическое потребление энергии за цикл зависит от того, как сушильная машина используется";

ж) для газовой сушильной машины:

- годовое энергопотребление по газу () (с округлением до 1 десятичного знака). Указывается следующим образом: "Энергопотребление "X", кВт·ч газа/год, основанное на 160 циклах для стандартной программы "Хлопок" при полной и частичной загрузке. Фактическое потребление энергии за цикл зависит от того, каким образом сушильная машина используется";

- годовое энергопотребление по электричеству () (с округлением до 1 десятичного знака). Указывается следующим образом: "Энергопотребление "X", кВт·ч/год, основанное на 160 циклах для стандартной программы "Хлопок" при полной и частичной загрузке, и потребление энергии в режиме "оставлено включенным". Фактическое потребление энергии за цикл зависит от того, каким образом машина сушильная используется";

з) автоматическая или неавтоматическая сушильная машина;

и) энергопотребление , , , , , для стандартной программы "Хлопок" при полной и частичной загрузке;

к) потребляемая мощность в режиме "выключено" () и в режиме "оставлено включенным" () для стандартной программы "Хлопок" при полной загрузке;

л) продолжительность режима "оставлено включенным", если сушильная машина оснащена системой регулирования мощности;

м) указание на то, что стандартная программа "Хлопок" при полной и частичной загрузке является стандартной программой сушки, к которой относится информация на этикетке и в техническом листе, что данная программа пригодна для сушки постиранных хлопчатобумажных изделий нормальной влажности и что является наиболее эффективной программой с точки зрения энергопотребления для сушки хлопчатобумажных изделий;

н) время выполнения стандартной программы "Хлопок" при полной и частичной загрузке () (в минутах) (с округлением до целого числа), а также время выполнения стандартной программы "Хлопок" при полной загрузке () и время выполнения стандартной программы "Хлопок" при частичной загрузке (), (в минутах) (с округлением до целого числа);

о) для конденсационной сушильной машины - класс эффективности конденсации. Указывается следующим образом: "Класс эффективности конденсации "X" по шкале от G (наименее эффективный) до A (наиболее эффективный)"; может выражаться другими способами при условии, что шкала начинается от G (наименее эффективный) и заканчивается A (наиболее эффективный);

п) для конденсационной сушильной машины необходимо указывать эффективность конденсации для стандартной программы "Хлопок" при полной и частичной загрузке (), () и эффективность конденсации для стандартной программы "Хлопок" при полной и частичной загрузке () (в %) (с округлением до целого числа);

р) значение акустического шума (измеренное среднее значение () для стандартной программы "Хлопок" при полной загрузке (в дБ) (с округлением до целого числа);

с) указание о том, что машина сушильная предназначена для встраивания (при необходимости).

11. В одном техническом листе машины сушильной может содержаться информация о ряде моделей машин сушильных, поставляемых одним и тем же изготовителем.

12. Информация, содержащаяся в техническом листе машины сушильной, может предоставляться в виде цветной или черно-белой копии этикетки. В таком случае также должна быть указана информация, предусмотренная пунктом 10 настоящих Требований и отсутствующая на этикетке.

VI. Определение классов энергетической эффективности машин сушильных

13. Класс энергетической эффективности машины сушильной определяется в соответствии с ее индексом энергетической эффективности (EEI) в соответствии с таблицей 2.

Таблица 2

Класс энергетической эффективности машины сушильной

Класс энергетической эффективностиИндекс энергетической эффективности
A +++ (наиболее эффективный)EEI < 24
A ++24 <= EEI < 32
A +32 <= EEI < 42
A42 <= EEI < 65
B65 <= EEI < 76
C76 <= EEI < 85
D (наименее эффективный)EEI >= 85

12. Класс эффективности конденсации сушильных машин определяется на основе средневзвешенной эффективности конденсации в соответствии с таблицей 3.

Таблица 3

Классы эффективности конденсации бытовых сушильных машин

Класс эффективности конденсацииОстаточное содержание влаги (%)
A (наиболее эффективный)Ct >90
B80 < Ct <= 90
C70 < Ct <= 80
D60 < Ct <= 70
E50 < Ct <= 60
F40 < Ct <= 50
G (наименее эффективный)Ct <= 40

Приложение N 16
к техническому регламенту
Евразийского экономического союза
"О требованиях к энергетической
эффективности энергопотребляющих
устройств" (ТР ЕАЭС 048/2019)

ТРЕБОВАНИЯ К ЭНЕРГЕТИЧЕСКОЙ ЭФФЕКТИВНОСТИ ПЫЛЕСОСОВ

I. Область применения

1. Настоящие Требования распространяются на выпускаемые в обращение на таможенной территории Евразийского экономического союза (далее - Союз) пылесосы бытового назначения (далее - пылесосы), которые могут применяться в коммерческих целях (на производстве, в торговле и сфере услуг), питаемые от сети переменного тока с номинальным напряжением до 250 В (включительно), или гибридные, за исключением пылесосов:

а) для влажной уборки;

б) для влажной и сухой уборки;

в) работающих от электрических батарей и (или) аккумуляторов;

г) пылесосов-роботов;

д) промышленных или центральных;

е) полотеров;

ж) предназначенных для применения вне помещений.

II. Основные понятия

2. Для целей применения настоящих Требований используются понятия, которые означают следующее:

"активная насадка-щетка, работающая от батарей (активная насадка-щетка)" - чистящая насадка, снабженная питаемым от батарей и (или) аккумуляторов устройством для подъема ворса (движущейся щеткой), способствующим удалению загрязнения;

"бытовой пылесос" - пылесос, предназначенный только для домашнего или бытового использования и заявленный изготовителем в качестве такового;

"вторичный выброс пыли" - отношение, выраженное в процентах с точностью до 2 десятичных знаков, суммарного числа частиц пыли размером от 0,3 мкм до 10 мкм, выброшенных пылесосом, к суммарному числу частиц пыли таких же размеров, захваченных всасывающим устройством при поступлении в него определенного количества пыли с указанными размерами частиц, включая пыль, измеренную на выходе пылесоса, и пыль, выбрасываемую из-за любых утечек и производимую самим пылесосом;

"гибридный пылесос" - пылесос, который может быть приведен в действие как от электросети, так и от электрических батарей и (или) аккумуляторов;

"двойной проход" - 1 движение чистящей насадки вперед и 1 в параллельном направлении назад, выполняемые с испытательной скоростью прохода при заданной длине испытательного прохода;

"длина испытательного прохода" - длина испытательной зоны в метрах, включая расстояние, пройденное центром чистящей насадки с ускорением по соответствующим зонам до и после испытательной зоны;

"испытание на ковре" - испытание соответствующим количеством циклов чистки на испытательном ковре Вильтона, при котором чистящая насадка, работающая на максимальной мощности пылесоса, проходит участок соответствующей длины испытательнои зоны с шириной, равной ширине чистящей насадки, по которой равномерно распределена и соответствующим образом встроена испытательная пыль соответствующего состава, с измерением и фиксацией прошедшего при этом времени, положения центра чистящей насадки относительно испытательной зоны, потребления электроэнергии и увеличения массы пылесборника в конце каждого цикла чистки;

"испытание на твердом полу" - испытание 2 циклами чистки, при котором чистящая насадка пылесоса, работающего на максимальной мощности, проходит по деревянной испытательной плите, снабженной диагональным (под углом 45°) испытательным пазом, участок испытательной зоны соответствующей длины с шириной, равной ширине чистящей насадки, с изменением и фиксацией при этом прошедшего времени, положения центра чистящей насадки относительно испытательной зоны, потребления электроэнергии и снижения массы испытательного паза в конце каждого цикла чистки;

"испытательная скорость прохода" - скорость движения чистящей насадки в м/ч при испытании, предпочтительно реализуемая с использованием электромеханического привода (в отношении пылесоса с самоходной чистящей насадкой необходимо убедиться, что ее скорость находится как можно ближе к соответствующей испытательной скорости, хотя отклонения допустимы, в случае если они четко обозначены в эксплуатационных документах);

"испытательный паз" - съемная П-образная вставка соответствующих размеров, заполняемая в начале цикла чистки соответствующей искусственной пылью;

"номинальная потребляемая мощность" - потребляемая мощность в Вт, заявленная изготовителем (для приборов, предназначенных выполнять наряду с функцией пылесоса и другие функции, принимается в расчет только электрическая мощность, расходуемая на вакуумную чистку);

"полноразмерный пылесос с питанием от аккумуляторов" - пылесос с питанием от аккумуляторов, способный при полной зарядке и без дополнительной подзарядки очистить 15 м2 пола с применением по 2 двойных хода по всей очищаемой поверхности;

"полотер" - электрический прибор, предназначенный для защиты, сглаживания и (или) полирования пола определенного типа, как правило, работающий с применением полирующих средств, наносимых прибором на поверхность пола, и способный обычно выполнять и функцию пылесоса;

"промышленный пылесос" - коммерческий пылесос с насадкой, имеющей ширину более 0,50 м, либо пылесос, разработанный как часть производственного процесса, машины или инструмента, предназначенный для удаления опасных материалов, тяжелой строительной пыли, промышленной пыли от оборудования литейной, горнодобывающей, пищевой и другой промышленности;

"пылесос" - прибор, предназначенный для удаления мусора с очищаемой поверхности с помощью воздушного потока, возникающего за счет пониженного давления, образующегося в этом приборе;

"пылесос для влажной и сухой уборки" - пылесос, предназначенный для удаления жидкости объемом более 2,5 литров и способный также выполнять функцию пылесоса для сухой уборки;

"пылесос для влажной уборки" - прибор, который удаляет сухой и (или) влажный мусор и загрязнения, с нанесением при этом на подлежащую очистке поверхность моющее средство на водной основе или посредством воздействия паром с удалением образовавшейся влаги вместе с мусором воздушным потоком, возникающим за счет пониженного давления, образующегося в приборе (включая типы приборов, широко известные как моющие пылесосы);

"пылесос для коммерческого использования" - пылесос, предназначенный для использования неспециалистами (уборщиками или другим персоналом) в условиях офиса, магазина, больницы и гостиницы, заявленный изготовителем в качестве такового;

"пылесос для применения вне помещений" - устройство, которое предназначено для использования на открытом воздухе для сбора мусора (например, скошенной травы и листьев) в коллектор посредством воздушного потока, создаваемого за счет разрежения, образующегося в этом устройстве, и может содержать приспособления для измельчения и выполнять функцию воздуходувки;

"пылесос для сухой уборки" - пылесос, предназначенный для удаления мусора, являющегося в основном сухим (пыль, волокна, нити), в том числе пылесос, оборудованный работающей от батарей активной насадкой-щеткой;

"пылесос для твердого пола" - пылесос, снабженный фиксированной насадкой-щеткой, сконструированной специально для чистки твердых поверхностей, или комплектуемый 1 или несколькими съемными насадками, предназначенными для чистки твердых полов;

"пылесос для чистки ковра" - пылесос, снабженный фиксированной насадкой-щеткой, разработанной специально для чистки ковров, или комплектуемый одной или несколькими съемными насадками, предназначенными для чистки ковров;

"пылесос общего назначения" - пылесос, комплектуемый фиксированной 1 съемной насадкой или несколькими для чистки ковров и твердых полов или комплектуемый съемными насадками, из которых по крайней мере 1 насадка специально предназначена для чистки ковров и по крайней мере 1 - для чистки твердых полов;

"пылесос-робот" - пылесос с питанием от электрических батарей и (или) аккумуляторов, способный функционировать без вмешательства человека в пределах определенного пространства, состоящий из подвижной части, докстанции и (или) других аксессуаров, обеспечивающих его функционирование;

"пылесос с водяным фильтром" - пылесос, в котором в качестве основного фильтрующего материала используется более 0,5 литра воды, через которую пропускается всасываемый воздух с целью улавливания пыли;

"пылесос с питанием от электрических батарей и (или) аккумуляторов" - пылесос, работающий только от электрических батарей и (или) аккумуляторов;

"уровень звуковой мощности" - уровень испускаемого акустического шума, выраженный в дБ (A) при 1 пВт и округленный до целого числа;

"центральный пылесос" - пылесос со стационарным (немобильным) расположением источника пониженного давления и шланговыми соединениями, расположенными в фиксированных местах помещения;

"цикл чистки" - последовательность из 5 двойных проходов пылесоса по конкретной испытательной зоне по ковру или твердому полу;

"ширина чистящей насадки" - максимальная внешняя ширина чистящей насадки в метрах с точностью до 3 десятичных знаков;

"эталонная система пылесоса" - лабораторное электрооборудование, используемое для измерения калиброванного и эталонного поглощения пыли на ковровых покрытиях с определенными параметрами воздуха для улучшения воспроизводимости результатов испытаний;

"эффективность сбора пыли" - рассчитанное после нескольких циклов двойных проходов чистящей насадки с округлением до 3 десятичных знаков отношение массы извлеченной искусственной пыли, определяемой для ковра исходя из увеличения массы пылесборника, а для твердого пола - исходя из снижения массы испытательного паза к массе искусственной пыли, первоначально размещенной в испытательной зоне, с поправкой на конкретные условия испытаний для ковра и на длину и расположение испытательного паза для твердого пола.

III. Требования к энергетической эффективности пылесосов и особенности определения показателей энергетической эффективности

3. Для пылесоса должны быть проведены соответствующие испытания (измерения) и определены значения следующих показателей:

а) годовое потребление энергии (AE);

б) номинальная потребляемая мощность;

в) эффективность сбора пыли на ковре;

г) эффективность сбора пыли на твердом полу;

д) вторичный выброс пыли;

е) долговечность гибкого шланга (при наличии);

ж) уровень звуковой мощности;

з) ресурс электродвигателя.

4. Расчет годового потребления электроэнергии (AE) (в кВт·ч/год) (с округлением до 1 десятичного знака) производится по следующим формулам для пылесосов:

для ковров:

для твердого пола

общего назначения:

,

где:

- средний удельный расход энергии (в Вт·ч/м2) при испытаниях пылесоса для ковров;

- средний удельный расход энергии (в Вт·ч/м2) при испытаниях пылесоса для твердого пола;

- эффективность сбора пыли на ковре;

- эффективность сбора пыли на твердом полу;

50 - стандартное количество одночасовых уборок пылесосом в год;

87 - стандартная поверхность подлежащего чистке жилого помещения в м2;

4 - стандартное количество проходов насадки пылесоса через каждую точку на полу (2 двойных прохода);

0,001 - коэффициент пересчета из Вт·ч в кВт·ч;

1 - стандартная эффективность сбора пыли;

0,20 - стандартная разница между эффективностью сбора пыли после 5 и после 2 двойных проходов.

5. Средний удельный расход энергии при испытаниях на ковре и на твердом полу определяется как среднее удельное потребление энергии SE при числе циклов чистки, составляющих испытание на ковре и испытание на полу соответственно. и рассчитывается пылесосов общего назначения по следующей общей формуле (в Вт·ч/м2) (с округлением до 3 десятичных знаков):

,

где:

P - средняя мощность в течение цикла чистки, когда центр чистящей насадки движется по испытательной зоне (в Вт) (с округлением до 2 десятичных знаков);

NP - средняя эквивалентная мощность активной насадки-щетки, работающей от электрических батарей и (или) аккумуляторов (в Вт) (с округлением до 2 десятичных знаков);

t - общее время цикла чистки, в течение которого центр чистящей насадки, то есть точка в половине расстояния между передней и задней кромками чистящей насадки, движется через испытательную зону (в часах) (с округлением до 4 десятичных знаков);

A - площадь поверхности, которую охватывает чистящая насадка за цикл чистки, из расчета 10-кратного произведения ширины насадки на соответствующую длину испытательной зоны (в м2) (с округлением до 3 десятичных знаков) В случае если чистящая насадка бытового пылесоса имеет ширину более 0,320 м, то ширина чистящей насадки при данном расчете заменяется на 0,320.

Для испытаний на твердом полу в указанной формуле должны использоваться индекс "hf" и обозначения параметров , , , и . Для испытаний на ковре в указанной формуле должны использоваться индекс "c" и обозначения параметров , , , и .

Средняя эквивалентная мощность насадки-щетки, питающейся от аккумуляторов, NP с соответствующим индексом, относящимся к пылесосам для ковров, для твердого пола и общего назначения, рассчитывается по следующей формуле (в Вт) (с точностью до 2 десятичных знаков):

,

где:

E - потребление энергии от электрического аккумулятора, равное энергии, требуемой для дозарядки аккумулятора после цикла чистки для его возвращения в первоначальное состояние полной зарядки (в Вт·ч) (с округлением до 3 десятичных знаков);

tbat - общее время цикла чистки, в течение которого активная чистящая насадка-щетка пылесоса активирована, в соответствии с инструкцией изготовителя (в часах) (с округлением до 4 десятичных знаков).

Если пылесос не оборудован активными насадками-щетками, значение NP равно 0.

Для испытаний на твердом полу в указанной формуле должны использоваться индекс "hf" и обозначения параметров , , и . Для испытаний на ковре в приведенной выше формуле должны использоваться индекс "c" и обозначения параметров , , .

6. Эффективность сбора пыли на твердом полу должна быть определена как среднее значение по результатам 2 циклов чистки при испытании на полу.

7. Эффективность сбора пыли на ковре должна быть определена как среднее значение по результатам 2 циклов чистки при испытании на ковре. Для коррекции отклонений от первоначальных свойств испытательного ковра рассчитывается по следующей формуле:

,

где:

- эффективность сбора пыли пылесосом;

- эффективность сбора пыли эталонной системой пылесоса, измеренная при нахождении испытательного ковра в первоначальном состоянии;

- эффективность сбора пыли эталонной системой пылесоса.

8. Вторичный выброс пыли определяется при работе пылесоса в режиме максимального воздушного потока.

9. Уровень звуковой мощности определяется при работе на ковре.

10. При испытании (измерении) гибкого шланга он подвергается изгибам с усилием, прилагаемым с помощью груза весом 2,5 кг.

11. При испытании (измерении) ресурса электродвигателя пылесос должен работать с наполовину заполненным пылесборником при прогоне с отключением на 30 секунд через каждые 14 минут и 30 секунд работы. Пылесборник и фильтры должны заменяться через соответствующие промежутки времени. Испытание может быть остановлено после 500 часов и должно быть прекращено после 600 часов работы. Работоспособность электродвигателя контролируется путем изменения в течение каждого рабочего интервала величин воздушного потока, степени разрежения и потребляемой мощности.

12. Для гибридных пылесосов все испытания (измерения) осуществляются при питании пылесоса от электрической сети, за исключением активной насадки-щетки (при наличии), питаемой от электрического аккумулятора.

13. Пылесосы должны соответствовать следующим требованиям:

а) годовое потребление энергии AE должно быть не более 43,0 кВт·ч/год;

б) номинальная потребляемая мощность должна быть не более 900 Вт;

в) эффективность сбора пыли на ковре () должна быть не менее 0,75 (требование не распространяется на пылесосы для твердого пола);

г) эффективность сбора пыли на твердом полу () должна быть не менее 0,98 (требование не распространяется на пылесосы для ковра);

д) вторичный выброс пыли должен быть не более 1,00%;

е) уровень звуковой мощности не должен быть выше 80 дБ(А);

ж) гибкий шланг (при наличии) должен оставаться пригодным к эксплуатации после 40 000 изгибов;

з) ресурс электродвигателя пылесоса должен быть не менее 500 часов.

14. Эксплуатационные документы, прилагаемые к пылесосам, предусмотренные пунктом 13 технического регламента Евразийского экономического союза "О требованиях к энергетической эффективности энергопотребляющих устройств" (ТР ЕАЭС 048/2019) (далее - технический регламент), также должны содержать следующие сведения об характеристиках и параметрах пылесосов:

б) для пылесоса, предназначенного для уборки твердого пола, должно быть указано, что с комплектуемыми насадками он не подходит для чистки ковров;

В электронном документе нумерация пунктов соответствует официальному источнику.

в) для пылесоса, предназначенного для уборки ковров, должно быть указано, что с комплектуемыми насадками он не подходит для чистки твердого пола;

г) для прибора, способного наряду с функцией пылесоса выполнять и другие функции, должна быть указана электрическая мощность, потребляемая при работе в функции пылесоса, если она ниже номинальной потребляемой мощности прибора;

д) должно быть указано, к какой из следующих 3 групп пылесос должен быть отнесен при испытаниях: пылесос общего назначения, пылесос для твердого пола или пылесос для ковра;

е) краткое название или ссылка на методы измерения и расчета, используемые для установления соответствия настоящим Требованиям.

15. В комплект документов, прилагаемый к пылесосам, указанный в подпункте "а" пункта 28 или подпункте "а" пункта 29 технического регламента с учетом выбранной заявителем схемы декларирования соответствия, для пылесосов дополнительно должна быть включена следующая информация:

а) значения , , , и и (или) , , , и и для каждого из циклов чистки, определенные при испытаниях среднего удельного расхода электроэнергии в соответствии с пунктом 5 настоящих Требований;

б) значения для каждого из циклов чистки , и , определенные при испытаниях эффективности сбора пыли на ковре в соответствии с пунктом 7 настоящих Требований;

в) общее время прогона, измеряемый воздушный поток, степень разрежения и потребляемая мощность при испытаниях ресурса электродвигателя в соответствии с пунктом 11 настоящих Требований.

VI. Допустимые отклонения параметров энергетической эффективности пылесосов при проведении испытаний (измерений) после их выпуска в обращение

В электронном документе нумерация разделов соответствует официальному источнику.

16. В случае проведения испытаний (измерений) пылесосов после их выпуска в обращение на таможенной территории Союза проводятся испытания (измерения) одного типового образца (экземпляра) каждой модели пылесоса.

Модель пылесоса считается соответствующей настоящим Требованиям, в случае если измеренные значения параметров и характеристик пылесоса соответствуют требованиям раздела III настоящих Требований и номинальным значениям, заявленным изготовителем, в пределах разрешенных допусков, указанных в таблице.

Таблица 1

Допустимые отклонения

Измеряемый параметрДопустимые отклонения <*>
Годовое потребление электроэнергиизначение измеренной величины не должно превышать номинальное значение AE более чем на 10%
Эффективность сбора пыли на коврезначение измеренной величины не должно быть меньше номинального значения более чем на 0,03
Эффективность сбора пыли на твердом полузначение измеренной величины не должно быть меньше номинального значения более чем на 0,03
Вторичный выброс пылизначение измеренной величины не должно превышать номинальное значение более чем на 15%
Уровень звуковой мощностизначение измеренной величины не должно превышать номинального значения
Ресурс электродвигателязначение измеренной величины не должно быть меньше номинального значения более чем на 5%

В иных случаях испытания (измерения) следует проводить на трех дополнительных экземплярах пылесоса данной модели. Модель пылесоса считается соответствующей настоящим Требованиям, если средние значения измеренных параметров этих трех дополнительных экземпляров пылесоса соответствуют требованиям, указанным в абзаце первом настоящего пункта.

В иных случаях данную модель пылесоса следует рассматривать как не соответствующую требованиям технического регламента.

VII. Содержание этикетки и технического листа пылесосов

Раздел VII приложения N 16 вступает в силу по истечении 12 месяцев с даты включения в перечень международных и региональных (межгосударственных) стандартов, а в случае их отсутствия - национальных (государственных) стандартов, содержащих правила и методы исследований (испытаний) и измерений, в том числе правила отбора образцов, необходимые для применения и исполнения требований технического регламента Евразийского экономического союза "О требованиях к энергетической эффективности энергопотребляющих устройств" (ТР ЕАЭС 048/2019) и осуществления оценки соответствия объектов технического регулирования, стандарта (стандартов), содержащего метод (методы) испытаний пылесосов, обеспечивающий достоверность полученных результатов в целях определения класса энергетической эффективности пылесосов и информации, предоставляемой потребителям, но не ранее 01.09.2025 (пункт 3 Решения Совета Евразийской экономической комиссии от 08.08.2019 N 114).

17. Этикетка пылесоса должна содержать следующие сведения:

I. наименование или товарный знак (при наличии) изготовителя;

II. обозначение модели;

III. класс энергетической эффективности;

IV. среднегодовое потребление энергии (в кВт·ч/год);

V. класс эффективности вторичной фильтрации;

VI. класс эффективности чистки ковров;

Если пылесос предназначен для чистки пола, то отображается знак исключения;

VII. класс эффективности чистки пола;

Если пылесос предназначен для чистки ковра, то отображается знак исключения;

VIII. корректированный уровень звуковой мощности, выраженный в дБ (A) относительно 1 пВт (с округлением до целого числа) (указывается в дБ). Определяется при работе на ковре.

18. Технический лист, входящий в состав эксплуатационных документов пылесоса, должен содержать следующие сведения:

а) наименование или товарный знак (при наличии) изготовителя;

б) идентификационный номер модели изготовителя (как правило буквенно-цифровой код, который отличает конкретную модель пылесоса от других моделей той же торговой марки или изготовителя с таким же названием);

в) класс энергетической эффективности;

г) среднегодовое потребление энергии (в кВт·ч/год) (с округлением до 1 десятичного знака). Фактическое энергопотребление будет зависеть от того, каким образом будет использоваться пылесос;

д) класс эффективности вторичной фильтрации;

е) класс эффективности чистки ковров;

ж) если пылесос предназначен для чистки пола, то отображается знак исключения;

з) класс эффективности чистки пола;

и) если пылесос предназначен для чистки ковра, то отображается знак исключения;

к) корректированный уровень звуковой мощности, выраженный в дБ (A) относительно 1 пВт (с округлением до целого числа) (указывается в дБ). Определяется при работе на ковре;

л) номинальная потребляемая мощность.

19. В одном техническом листе пылесоса может отражаться ряд некоторых моделей пылесосов, поставляемых одним и тем же изготовителем.

20. Информация, содержащаяся в техническом листе пылесоса, может быть представлена в виде цветной или черно-белой копии этикетки. В таком случае также должна быть представлена информация, указанная в пункте 18 настоящих Требований и отсутствующая на этикетке.

VIII. Определение классов энергетической эффективности, эффективности чистки и вторичной фильтрации пыли пылесосов

Раздел VIII приложения N 16 вступает в силу по истечении 12 месяцев с даты включения в перечень международных и региональных (межгосударственных) стандартов, а в случае их отсутствия - национальных (государственных) стандартов, содержащих правила и методы исследований (испытаний) и измерений, в том числе правила отбора образцов, необходимые для применения и исполнения требований технического регламента Евразийского экономического союза "О требованиях к энергетической эффективности энергопотребляющих устройств" (ТР ЕАЭС 048/2019) и осуществления оценки соответствия объектов технического регулирования, стандарта (стандартов), содержащего метод (методы) испытаний пылесосов, обеспечивающий достоверность полученных результатов в целях определения класса энергетической эффективности пылесосов и информации, предоставляемой потребителям, но не ранее 01.09.2025 (пункт 3 Решения Совета Евразийской экономической комиссии от 08.08.2019 N 114).

21. Класс энергетической эффективности пылесосов определяется в соответствии с его годовым потреблением энергии (AE) в соответствии с таблицей 2.

Таблица 2

Классы энергетической эффективности пылесосов

Класс энергетической эффективностиГодовое потребление энергии, кВт·ч/год
A +++AE <= 10,0
A ++10,0 < AE <= 16,0
A +16,0 < AE <= 22,0
A22,0 < AE <= 28,0
B28,0 < AE <= 34,0
C34,0 < AE <= 40,0
DAE > 40,0

22. Класс эффективности чистки пылесоса определяется в соответствии с таблицей 3.

Таблица 3

Классы эффективности чистки пылесосов

Класс эффективности чисткиИндекс эффективности чистки ковраИндекс эффективности чистки пола
A >= 0.91 >= 1,11
B0,87 <= < 0,911,08 <= < 1,11
C0,83 <= < 0,871,05 <= < 1,08
D0,79 <= < 0,831,02 <= < 1,05
E0,75 <= < 0,790.99 <= < 1,02
F0,71 <= < 0,750.96 <= < 0.99
G < 0,71 < 0.96

23. Класс эффективности вторичной фильтрации определятся в соответствии с таблицей 4.

Таблица 4

Классы эффективности вторичной фильтрации пыли пылесосов

Класс эффективности вторичной фильтрацииВторичный выброс пыли,%
Adre <= 0,02
B0,02 < dre <= 0,08
C0,08 < dre <= 0,20
D0,20 < dre <= 0,35
E0,35 < dre <= 0,60
F0,60 < dre <= 1,00
Gdre > 1,00

Приложение N 17
к техническому регламенту
Евразийского экономического союза
"О требованиях к энергетической
эффективности энергопотребляющих
устройств" (ТР ЕАЭС 048/2019)

ТРЕБОВАНИЯ К ЭНЕРГЕТИЧЕСКОЙ ЭФФЕКТИВНОСТИ КОМПЬЮТЕРОВ И СЕРВЕРОВ

I. Область применения

1. Настоящие Требования распространяются на выпускаемые в обращение на таможенной территории Евразийского экономического союза (далее - Союз) компьютеры и серверы, предназначенные для питания непосредственно от сети переменного тока (далее - компьютеры и серверы), в том числе через внешний или внутренний источник питания:

а) настольные компьютеры;

б) моноблочные настольные компьютеры;

в) ноутбуки (в том числе планшетные компьютеры, компактные планшетные компьютеры и мобильные "тонкие клиенты");

г) настольные "тонкие клиенты";

д) рабочие станции;

е) мобильные рабочие станции;

ж) малые серверы;

з) компьютер-серверы.

Настоящие Требования не распространяются на следующие виды продукции:

а) блейд-системы и их компоненты;

б) серверы приложений;

в) многоузловые серверы;

г) компьютер-серверы с более чем 4 процессорными разъемами;

д) игровые приставки;

е) док-станции.

II. Основные понятия

2. Для целей применения настоящих Требований используются понятия, которые означают следующее:

"активизация" - событие, инициированное пользователем, внешним событием или воздействием, либо происходящее по расписанию, которое заставляет компьютер перейти из спящего режима или режима выключения в активный рабочий режим. Событие "активизация" включает в себя (но не ограничивается ими) следующие события:

движение мыши;

нажатие клавиши на клавиатуре;

вход контроллера;

событие по часам реального времени;

нажатие кнопки на корпусе;

внешние события, инициировавшие сигналы, передаваемые пультом дистанционного управления, сетью или модемом;

"активизация по локальной сети (WOL)" - функция, с помощью которой компьютер включается по команде через локальную сеть Ethernet из спящего режима или режима выключения, (или другого аналогичного режима низкого энергопотребления);

"активный режим" - состояние, в котором компьютер в результате предварительного или одновременного ввода данных пользователем либо в результате предварительного или одновременного поступления команды по сети осуществляет в ответ полезную работу. Это состояние включает в себя активную обработку, поиск данных на диске, в оперативной памяти или кэш-памяти, в том числе время простоя в нерабочем состоянии в ожидании ввода пользователем данных перед переходом в режим пониженного энергопотребления;

"аудиокарта (звуковая карта)" - дискретный внутренний компонент, обрабатывающий входные и выходные аудиосигналы компьютера;

"блейд-система и компоненты" - система, состоящая из корпуса (блейд-шасси), в котором установлены различные типы блейд-накопителей и серверы и предусмотрены общие ресурсы, от которых зависит работа серверов и устройств хранения. Блейд-системы разработаны как масштабируемое решение для объединения нескольких компьютеров-серверов или нескольких устройств хранения в одном корпусе и предназначены для обеспечения возможности быстро добавлять устройства (например, блейд-серверы) или заменять их (с горячей заменой);

"внешний источник питания" - устройство, которое удовлетворяет всем следующим условиям:

предназначено для преобразования входного напряжения переменного тока питающей сети в более низкое выходное напряжение;

способно осуществлять преобразование входного напряжения в выходное напряжение постоянного или переменного тока (внешние источники питания постоянного или переменного тока);

предназначено для использования с отдельным от него питаемым электрическим оборудованием, играющим роль основной нагрузки;

заключено в физическую оболочку (корпус) отдельно от питаемого оборудования основной нагрузки;

соединяется с питаемым оборудованием с помощью съемного или жестко закрепленного штеккерно-гнездового электрического соединения, кабеля, шнура, провода или иного соединительного устройства;

номинальная выходная мощность не превышает 250 Вт;

входит в область применения приложения N 10 к техническому регламенту Евразийского экономического союза "О требованиях к энергетической эффективности энергопотребляющих устройств" (ТР ЕАЭС 048/2019) (далее - технический регламент);

"внутреннее запоминающее устройство" - компонент компьютера, обеспечивающий энергонезависимое хранение данных;

"встроенный источник электропитания" - устройство, предназначенное для преобразования напряжения переменного тока от сети в напряжение постоянного тока с целью питания компьютера или компьютер-сервера и имеющее следующие характеристики:

размещается внутри корпуса компьютера или компьютер-сервера, но отдельно от основных компонентов компьютера или компьютер-сервера;

подключается к сети с помощью 1 кабеля без промежуточных схем между источником питания и электрической сетью;

все силовые цепи от источника питания до компонентов компьютера или компьютер-сервера, за исключением цепи постоянного тока на дисплей в моноблочном настольном компьютере, находятся внутри корпуса компьютера;

внутренние преобразователи типа "постоянный ток - постоянный ток", используемые для преобразования напряжения постоянного тока от внешнего источника питания в несколько напряжений, используемых в компьютере или компьютер-сервере, не считаются встроенными источниками электропитания;

"гипервизор" - программа, обеспечивающая или позволяющая одновременное параллельное функционирование на компьютере нескольких операционных систем;

"годовое потребление электроэнергии ()" - количество электроэнергии, потребляемой устройством в течение заданных промежутков времени в определенных режимах и состояниях энергопотребления;

"двухузловой сервер" - сервер многоузловой конфигурации, состоящий из 2 серверных узлов;

"дискретная видеокарта" (dGfx) - дискретный внутренний компонент компьютера, содержащий 1 или несколько графических процессоров (GPU) с локальным интерфейсом контроллера памяти и локальной графической памятью, подпадающий под одну из следующих категорий:

G1 (FB_BW <= 16);

G2 (16 < FB_BW <= 32);

G3 (32 < FB_BW <= 64);

G4 (64 < FB_BW <= 96);

G5 (96 < FB_BW <= 128);

G6 (FB_BW > 128 (разрядность шины данных < 192 бит));

G7 (FB_BW > 128 (разрядность шины данных >= 192 бит));

где "FB_BW" - пропускная способность кадрового буфера (ГБ/с), т.е. объем данных, который обрабатывается в секунду всеми графическими процессорами 1 дискретной видеокарты (dGfx), вычисляемый по следующей формуле:

,

где:

скорость передачи данных - эффективная частота памяти, в МГц;

разрядность шины данных - разрядность данных буфера памяти кадров, в битах (b);

"8" - коэффициент пересчета в байтах;

"1 000" - коэффициент пересчета мегабайтов в гигабайты;

"док-станция" - устройство, предназначенное для подключения к компьютеру для выполнения таких функций, как увеличение количества портовых соединений, объединение соединений с периферийными устройствами и зарядка внутренних аккумуляторных батарей в подсоединенном компьютере;

"дополнительное внутреннее запоминающее устройство" - все внутренние устройства хранения данных, включая жесткие диски (HDD), твердотельные накопители (SSD) и гибридные жесткие диски (HHD), входящие в состав компьютера дополнительно к основному (первому, базовому) запоминающему устройству;

"игровая приставка" - автономное устройство с питанием от электросети, предназначенное для обеспечения видеоигры в качестве своей основной функции. Игровая приставка предназначена для вывода сигналов на внешний дисплей, который служит основным игровым экраном. Игровые приставки обычно включают в себя центральный процессор, системную память и графический процессор (процессоры) (GPU), а также могут содержать жесткие диски или другие внутренние запоминающие устройства и устройства считывания. Основными устройствами ввода игровых приставок служат, как правило, ручные пульты управления или интерактивные контроллеры, а не внешняя клавиатура или мышь. Игровые приставки не имеют традиционных операционных систем персонального компьютера, а оснащены собственными операционными системами для игровых приставок. Портативные игровые устройства с встроенным дисплеем в качестве основного игрового экрана, которые работают в основном от встроенного аккумулятора или другого портативного источника электропитания, а не подключаются непосредственно к электросети переменного тока, также считаются относящимися к игровым приставкам;

"индикация состояния (информирование о состоянии)" - непрерывная функция предоставления информации о состоянии или индикации состояния компьютера на дисплее, в том числе, с индикацией точного времени;

"компактный планшетный компьютер" - разновидность ноутбука, имеющая встроенный сенсорный дисплей и не имеющая встроенной физической клавиатуры;

"компьютер" - устройство, которое выполняет логические операции и обработку данных, может использовать устройства ввода и вывода информации на дисплей и обычно включает в себя центральный процессор (CPU) для выполнения операций. Если отсутствует центральный процессор, то устройство должно функционировать в качестве "шлюза клиента" к компьютерному серверу, который действует как вычислительный блок обработки;

"компьютер-сервер" - вычислительное устройство, управляющее сетевыми ресурсами и предоставляющее услуги клиентским устройствам (настольные компьютеры, ноутбуки, настольные "тонкие клиенты", IP-телефоны или другие компьютер-серверы), предназначенное, как правило, для использования в центрах обработки данных или корпоративных средах, доступное в основном через сеть связи, а не с помощью непосредственного устройства ввода типа клавиатуры или мыши и имеющее следующие характеристики:

предназначено для поддержки серверных операционных систем (ОС) и (или) гипервизоров, а также для запуска установленных пользователем корпоративных приложений;

поддерживает код коррекции ошибок (ECC) и (или) буферную память, в том числе буферизированные модули памяти с двухсторонним расположением контактов (DIMM) и конфигурации со встроенным буфером (BOB);

комплектуется 1 или несколькими источниками электропитания переменного (постоянного) тока;

все процессоры имеют доступ к общей системной памяти и независимо видны в одной ОС или гипервизоре;

"компьютер-сервер, оснащенный более чем 4 процессорными разъемами" - компьютер-сервер, содержащий более 4 интерфейсов, предназначенных для установки процессора;

"малый сервер" - тип компьютера, использующего обычно компоненты настольного компьютера в настольном исполнении, но предназначенный в первую очередь для выполнения функции для других компьютеров (например, оказание услуг сетевой инфраструктуры и хранение данных), который имеет следующие особенности:

скомпонован в корпусе типа "башня" или в другой форме, аналогичной настольному компьютеру, для осуществления обработки, хранения и сетевого взаимодействия в одном блоке;

предназначен для круглосуточного функционирования 7 дней в неделю;

в первую очередь предназначен для работы в синхронной многопользовательской среде, обслуживающей несколько пользователей через сетевой клиентский модуль;

если поставляется с установленной операционной системой, то эта операционная система предназначена для домашнего сервера или простых серверных приложений;

комплектуется дискретной видеокартой (dGfx) только категории G1;

"многоузловой сервер" - система, состоящая из корпуса, содержащего 2 или более независимых компьютеров-серверов (или узлов), которые используют совместно 1 или несколько источников электропитания. Суммарная потребляемая мощность всех узлов обеспечивается общим (общими) источником (источниками) электропитания. Многоузловой сервер скомпонован в виде единого корпуса и не предназначен для горячей замены;

"мобильная рабочая станция" - высокопроизводительный персональный компьютер, используемый в основном для графики, в системе автоматизированного проектирования, для разработки программного обеспечения, финансовых и научных приложений и других ресурсоемких задач, за исключением игр, разработанных в качестве портативного устройства, способного работать в течение продолжительного времени с подключением или без прямого подключения к источнику переменного тока. Мобильные рабочие станции используют встроенный дисплей и способны работать от встроенного аккумулятора или другого портативного источника электропитания. Большинство мобильных рабочих станций используют внешний источник электропитания, и большинство из них имеют встроенную клавиатуру и устройство позиционирования. Мобильная рабочая станция обладает следующими характеристиками:

имеет среднее время наработки на отказ (MTBF) не менее 13000 часов;

имеет хотя бы 1 дискретную видеокарту (dGfx), удовлетворяющую категории G3 (разрядность шины данных более 128 бит), G4, G5, G6 или G7 по классификации видеокарт;

поддерживает подключение трех или более устройств внутренней памяти;

поддерживает по крайней мере 32 ГБ системной памяти;

"мобильный тонкий клиент" - разновидность ноутбука, не имеющая встроенного накопителя информации с вращающимся диском, которая подключается к удаленным вычислительным ресурсам (например, компьютерным серверам, удаленным рабочим местам), где осуществляется основная обработка данных;

"моноблочный настольный компьютер" - компьютер, в котором системный блок и монитор выполнены в виде единого блока, получающего электропитание через общий кабель, относящийся к 1 из 2 возможных типов:

устройство, в котором дисплей и компьютер физически объединены в единое целое;

устройство, в котором дисплей отделен от компьютера, но подключен к системному блоку с помощью шнура электропитания постоянным током;

"настольный компьютер" - компьютер, не предназначенный для переноски с основным блоком для стационарного размещения, используемый с внешним дисплеем и такими внешними периферийными устройствами, как клавиатура и мышь;

"настольный компьютер или моноблочный настольный компьютер категории A" - настольный компьютер или моноблочный настольный компьютер, который не подпадает под определение категорий B, C и D;

"настольный компьютер или моноблочный настольный компьютер категории B" - настольный компьютер или моноблочный настольный компьютер, который оснащен 2 физическими ядрами в процессоре и не менее 2 гигабайтами оперативной памяти;

"настольный компьютер или моноблочный настольный компьютер категории C" - настольный компьютер или моноблочный настольный компьютер, который оснащен не менее 3 физическими ядрами в процессоре и конфигурация которого включает в себя один из следующих элементов: не менее 2 гигабайт оперативной памяти и (или) дискретная видеокарта (dGfx);

"настольный компьютер или моноблочный настольный компьютер категории D" - настольный компьютер или моноблочный настольный компьютер, который оснащен не менее 4 физическими ядрами в процессоре и конфигурация включает в себя один из следующих элементов: не менее 4 гигабайт оперативной памяти и (или) дискретная видеокарта (dGfx), удовлетворяющая категории G3 (разрядность шины данных > 128 бит), G4, G5, G6 или G7 по классификации видеокарт;

"настольный тонкий клиент" - компьютер, который для обеспечения основных функциональных возможностей подключается к удаленным вычислительным ресурсам (например, компьютерные серверы, удаленные рабочие места), не имеет встроенного вращающегося носителя информации, предназначен для стационарного размещения (например, на столе, а не в качестве мобильного устройства) и способен отображать информацию на внешнем или на встроенном дисплее (при наличии);

"ноутбук" - портативный компьютер с моноблочным дисплеем с диагональю экрана размером не менее 22,86 см (9 дюймов), предназначенный для работы в течение длительных периодов времени от встроенного аккумулятора или другого портативного источника электропитания, имеющий возможность прямого подключения к электрической сети переменного тока (устройства, соответствующие признакам ноутбука, но имеющие потребление электроэнергии в режиме ожидания менее 6 Вт, не относятся к ноутбукам и не входят в область применения технического регламента);

"ноутбук категории A" - ноутбук, который не подпадает под определение категорий B и C;

"ноутбук категории B" - ноутбук, который оснащен по меньшей мере 1 дискретной видеокартой (dGfx);

"ноутбук категории C" - ноутбук, который оснащен 2 или более физическими ядрами в процессоре, не менее чем 2 гигабайтами оперативной памяти и дискретной видеокартой (dGfx), удовлетворяющей категории G3 (разрядность шины данных > 128 бит), G4, G5, G6 или G7 по классификации видеокарт;

"планшетный компьютер" - разновидность ноутбука, включающая в себя сенсорный дисплей и встроенную клавиатуру;

"рабочая станция" - высокопроизводительный персональный компьютер, используемый для обработки графических данных, в системе автоматизированного проектирования, для разработки программного обеспечения, финансовых и научных приложений и других ресурсоемких задач, который характеризуется следующими свойствами:

имеет среднее время наработки на отказ (MTBF) не менее 15000 часов;

имеет код коррекции ошибок (ECC) и (или) буферизированную память;

соответствует по крайней мере трем из следующих пяти характеристик:

имеет дополнительное электропитание для поддержки высокопроизводительной видеокарты (т.е. дополнительный 6-контактный разъем типа PCI/PCI-E для подсоединения периферийного электропитания 12 В);

материнская плата имеет разведенный слот x4 PCI-E в дополнение к графическим слотам и (или) поддерживает PCI-X;

не поддерживает графику с однородным доступом к памяти (UMA);

включает в себя пять или более слотов PCI, PCI-E или PCI-X;

способен поддерживать многопроцессорную работу для двух или более центральных процессоров (CPU) (необходимо наличие физических процессорных разъемов под несколько CPU, а не только под один многоядерный процессор);

"режим выключения" - состояние низкого энергопотребления, которое не может быть выключено пользователем иным способом, чем приведением в действие механического переключателя, и которое может продолжаться неограниченно долго, до тех пор, пока устройство подключено к источнику электроэнергии и используется в соответствии с инструкциями изготовителя. По стандарту управления конфигурацией и питанием (ACPI) данное состояние обычно соответствует уровню G2/S5 ("программа выключена") системы ACPI;

"сервер приложений" - компьютер-сервер в комплекте с предварительно установленными операционной системой и прикладным программным обеспечением, который используется для выполнения специальной функции или ряда функций, предоставляет услуги через одну или несколько сетей и управляется через информационно-телекоммуникационную сеть "Интернет" или линию интерфейса управления. Сервер приложений и программная конфигурация настроены изготовителем для выполнения конкретной задачи, в том числе для организации сети или хранения, и не предназначены для выполнения пользовательских прикладных программ;

"состояние низкого потребления" - состояние минимального энергопотребления компьютера, достигаемое путем отключения питания компьютера механическим переключателем или с помощью автоматического средства;

"состояние простоя (состояние покоя)" - состояние компьютера, при котором операционная система и другое программное обеспечение завершили загрузку, был создан профиль пользователя, компьютер не находится в спящем режиме и его активность ограничивается теми базовыми приложениями, которые операционная система запускает по умолчанию;

"спящий режим" - режим пониженного энергопотребления, в который компьютер может перейти автоматически после определенного периода бездействия или по ручному выбору. В этом режиме компьютер способен реагировать на тревожные события. Там, где применим стандарт управления конфигурацией и питанием (ACPI), спящий режим обычно соответствует уровню G2/S3 (с сохранением в ОЗУ) системы ACPI;

"спящий режим дисплея" - режим энергопотребления, в который переходит устройство отображения после того, как оно получило сигнал от подключенного устройства, или по внутреннему сигналу (например, от таймера или датчика присутствия). Этот режим также может быть установлен по команде пользователя. Дисплей должен активироваться при получении сигнала от подключенного устройства, сети, пульта дистанционного управления и (или) внутренних сигналов. Пока устройство находится в этом режиме, изображение не воспроизводится, за исключением таких функций, как информация об устройстве или индикация состояния либо состояние функционального датчика;

"телевизионный тюнер (ТВ-тюнер)" - дискретный внутренний компонент, позволяющий компьютеру принимать телевизионные сигналы;

"тип устройства" - настольный компьютер, моноблочный настольный компьютер, ноутбук, настольный "тонкий клиент", рабочая станция, мобильная рабочая станция, малый сервер, компьютер-сервер, блейд-система и компоненты, многоузловой сервер, сервер приложений, игровая приставка, док-станция, внутренний блок электропитания или внешний источник питания;

"центральный процессор (CPU)" - компонент в компьютере, который управляет декодированием и выполнением команд. Центральный процессор (CPU) может содержать 1 или более физических процессоров, известных как "исполнительные ядра". Исполнительное ядро означает процессор, который присутствует физически. Дополнительные "виртуальные" или "логические" процессоры, сформированные из 1 или нескольких исполнительных ядер, не являются физическими ядрами. Физический процессор, занимающий один процессорный разъем, может содержать несколько ядер. Общее количество исполнительных ядер в центральном процессоре (CPU) представляет собой сумму исполнительных ядер всех устройств, подключенных к процессорным разъемам;

"UMA (Uniform Memory Access)" - однородный доступ к памяти.

III. Требования к энергетической эффективности и особенности определения показателей энергетической эффективности компьютеров и серверов

3. Для компьютеров и серверов должны быть проведены соответствующие испытания (измерения) и определены значения следующих параметров и характеристик:

а) годовое потребление электроэнергии ();

б) потребляемая мощность в спящем режиме ();

в) потребляемая мощность в состоянии минимального энергопотребления;

г) потребляемая мощность в режиме выключения ();

д) КПД внутреннего источника электропитания.

4. Годовое потребление электроэнергии () (в кВт·ч/год) настольного компьютера и моноблочного настольного компьютера не должно превышать:

для категории A - 94,00;

для категории B - 112,00;

для категории C - 134,00;

для категории D - 150,00.

Годовое потребление электроэнергии () настольного компьютера и моноблочного настольного компьютера рассчитывается по следующей формуле (в кВт·ч/год) (с округлением до 2 десятичных знаков):

= (8 760 / 1 000) x (0,55 x + 0,05 x + 0,40 x ),

где:

- потребляемая мощность в режиме выключения (в Вт);

- потребляемая мощность в спящем режиме (в Вт);

- потребляемая мощность в состоянии простоя (в Вт).

Для компьютеров, не имеющих спящего режима, в которых потребляемая мощность в состоянии простоя не превышает 10,00 Вт, вместо мощности спящего режима () может быть использована мощность в состоянии простоя (Pidle). Годовое потребление электроэнергии () в этом случае рассчитывается по следующей формуле (в кВт·ч/год) (с округлением до 2 десятичных знаков):

= (8 760 / 1 000) x (0,55 x + 0,45 x )

При измерениях , и применяются следующие значения потребления электроэнергии для компонентов компьютера:

оперативная память - 1 кВт·ч/год на каждый гигабайт (ГБ) свыше базового объема, составляющего 2 ГБ для компьютеров категории A, B и C и 4 Гб для компьютеров категории D;

дополнительное внутреннее запоминающее устройство - 25 кВт·ч/год;

дискретный ТВ-тюнер - 15 кВт·ч/год;

дискретная звуковая карта - 15 кВт·ч/год;

годовое потребление для первой дискретной видеокарты (dGfx) и каждой дополнительной дискретной видеокарты (dGfx) приведено в таблице 1.

Указанные в таблице 1 значения потребления электроэнергии для дискретных видеокарт (dGfx), дискретных ТВ-тюнеров и дискретных звуковых карт действительны только для карт и тюнеров, которые активируются во время испытания настольных компьютеров или моноблочных настольных компьютеров.

Таблица 1

Годовое потребление электроэнергии для видеокарт

ВидеокартыКатегория dGfxПотребление в год (кВт·ч/год)
Первая дискретная видеокарта (dGfx)G118
G230
G338
G454
G572
G690
G7122
Каждая дополнительная дискретная видеокарта (dGfx)G111
G217
G322
G432
G542
G653
G772

Указанные в таблице 1 допустимые значения потребления электроэнергии для видеокарт не распространяются на настольные компьютеры и моноблочные настольные компьютеры категории D, имеющие следующие технические характеристики:

не менее 6 физических ядер в центральном процессоре (CPU);

дискретная видеокарта (dGfx) обеспечивает общую пропускную способность буфера кадров выше 320 ГБ/с;

системная память составляет не менее 16 ГБ;

блок питания имеет номинальную выходную мощность не менее 1000 Вт.

5. Годовое потребление электроэнергии ноутбука () (в кВт·ч/год) не должно превышать:

для категории A - 27,00;

для категории B - 36,00;

для категории C - 60,50.

Годовое потребление электроэнергии () ноутбука рассчитывается по следующей формуле (с округлением до 2 десятичных знаков):

= (8 760 / 1 000) x (0,60 x + 0,10 x + 0,30 x ).

При измерениях , и применяются следующие значения потребления электроэнергии для компонентов ноутбука:

оперативная память - 0,4 кВт·ч/год на каждый гигабайт (ГБ) свыше базового объема, составляющего 4 Гб для ноутбуков;

дополнительная внутренняя память - 3 кВт·ч/год;

дискретный ТВ-тюнер - 2,1 кВт·ч/год;

потребление для первой дискретной видеокарты (dGfx) и каждой дополнительной дискретной видеокарты (dGfx) приведено в таблице 2 (I этап).

Указанные в таблице 2 значения потребления электроэнергии для дискретных видеокарт (dGfx) и дискретных ТВ-тюнеров применяются только к видеокартам и тюнерам, которые используются во время испытания ноутбуков.

Таблица 2

Годовое потребление электроэнергии для видеокарт ноутбука

ВидеокартыКатегория dGfxПотребление в год (кВт·ч/год)
Первая дискретная видеокарта (dGfx)G17
G211
G313
G420
G527
G633
G761
Каждая дополнительная дискретная видеокарта (dGfx)G14
G26
G38
G412
G516
G620
G736

Указанные в таблице 2 допустимые значения потребления электроэнергии не распространяются на ноутбуки категории C со следующими техническими характеристиками:

не менее 4 физических ядер в центральном процессоре (CPU);

дискретная видеокарта (dGfx) обеспечивает общую пропускную способность буфера кадров выше 225 ГБ/с;

системная память составляет не менее 16 ГБ.

6. Компьютер должен обеспечивать спящий режим и (или) другое состояние, которое обеспечивает функциональность спящего режима и в котором допустимая потребляемая мощность не превышает требований для спящего режима, в том числе:

а) потребляемая мощность в спящем режиме не должна превышать 5,00 Вт в настольных компьютерах и моноблочных настольных компьютерах и 3,00 Вт в ноутбуках;

б) настольные компьютеры и моноблочные настольные компьютеры, потребляемая мощность которых меньше или равна 10,00 Вт, не обязаны иметь спящий режим;

в) если компьютер оснащен функцией WOL, работающей в спящем режиме, то:

может быть применена добавка к допустимому нормативу в 0,70 Вт;

компьютер должен быть проверен с включенной и выключенной функцией WOL и должен соответствовать настоящим Требованиям в обоих случаях;

г) если компьютер не поддерживает локальную сеть Ethernet, то он должен испытываться без включенной функции WOL.

7. Настольный компьютер, моноблочный компьютер и ноутбук в состоянии минимального энергопотребления не должны потреблять более 0,50 Вт.

Компьютер должен обеспечивать состояние или режим энергопотребления, при котором допустимая потребляемая мощность не должна превышать требования к состоянию минимального энергопотребления, когда он подключен к сети электропитания.

Если в состав компьютера входит информационный дисплей или индикатор состояния, то может быть применена добавка к допустимому нормативу в 0,50 Вт.

8. Настольный компьютер, моноблочный настольный компьютер и ноутбук должны обеспечивать выполнение следующих требований к режиму выключения:

а) потребляемая мощность в выключенном состоянии не должна превышать 1,00 Вт;

б) компьютер должен обеспечивать режим выключения и (или) другого состояния, при котором допустимая мощность должна быть не выше требования к энергопотреблению в режиме выключения, когда он подключен к источнику питания;

в) если компьютер оснащен функцией WOL, работающей в режиме выключения, то:

может быть применена добавка к допустимому нормативу в 0,70 Вт;

компьютер должен быть проверен с включенной и выключенной функцией WOL и должен соответствовать настоящим Требованиям в обоих случаях;

г) если компьютер не поддерживает локальную сеть Ethernet, то он должен испытываться без включенной функции WOL.

9. Все внутренние источники питания настольного компьютера, моноблочного настольного компьютера, настольного "тонкого клиента", рабочей станции и малого сервера должны иметь коэффициент полезного действия (далее - КПД) и коэффициент мощности не ниже следующих значений:

КПД 85% - при выходной мощности в 50% от номинальной величины;

КПД 82% - при выходной мощности в 20% и 100% от номинальной величины;

коэффициент мощности 0,9 - при выходной мощности в 100% от номинальной величины.

На внутренние источники питания с максимальной номинальной выходной мощностью менее 75 Вт требования по величине коэффициента мощности не распространяются.

10. Для блоков и источников питания компьютера-сервера должны выполняться следующие требования энергоэффективности:

а) все блоки питания с несколькими выходными напряжениями (типа AC-DC) должны иметь:

КПД не менее:

85% - при выходной мощности в 50% от номинальной величины;

82% - при выходной мощности в 20% и 100% от номинальной величины;

коэффициент мощности не менее:

0,8 - при выходной мощности в 20% от номинальной величины;

0,9 - при выходной мощности в 50% от номинальной величины;

0,95 - при выходной мощности в 100% от номинальной величины;

б) все источники питания с одним выходом (типа AC-DC) и номинальной мощностью не более 500 Вт должны иметь КПД не менее:

70% - при выходной мощности в 10% от номинальной величины;

82% - при выходной мощности в 20% от номинальной величины;

89% - при выходной мощности в 50% от номинальной величины;

85% - при выходной мощности в 100% от номинальной величины;

в) все источники питания с одним выходом (типа AC-DC) и номинальной мощностью не более 500 Вт должны иметь коэффициент мощности не менее:

0,8 - при выходной мощности в 20% от номинальной величины;

0,9 - при выходной мощности в 50% от номинальной величины;

0,95 - при выходной мощности в 100% от номинальной величины;

г) все источники питания с одним выходом типа (AC-DC) и номинальной мощностью более 500 Вт, но не более 1000 Вт должны иметь КПД не менее:

75% - при выходной мощности в 10% от номинальной величины;

85% - при выходной мощности в 20% и 100% от номинальной величины;

89% - при выходной мощности в 50% от номинальной величины;

д) все источники питания с одним выходом (типа AC-DC) и номинальной мощностью более 500 Вт, но не более 1000 Вт должны иметь коэффициент мощности не менее:

0,65 - при выходной мощности в 10% от номинальной величины;

0,8 - при выходной мощности в 20% от номинальной величины;

0,9 - при выходной мощности в 50% от номинальной величины;

0,95 - при выходной мощности в 100% от номинальной величины;

е) все источники питания с одним выходом (типа AC-DC) и номинальной мощностью более 1000 Вт должны иметь КПД не менее:

80% - при выходной мощности в 10% от номинальной величины;

88% - при выходной мощности в 20% и 100% от номинальной величины;

92% - при выходной мощности в 50% от номинальной величины;

ж) все источники питания с одним выходом (типа AC-DC) и номинальной мощностью более 1000 Вт должны иметь коэффициент мощности не менее:

0,8 - при выходной мощности в 10% от номинальной величины;

0,9 - при выходной мощности в 20% и 50% от номинальной величины;

0,95 - при выходной мощности в 100% от номинальной величины.

11. Настольный компьютер, моноблочный настольный компьютер и ноутбук должны иметь функцию управления электропитанием или аналогичную функцию, которая, когда компьютер не выполняет основную функцию или когда другие энергопотребляющие устройства не зависят от его функционирования, автоматически переключает компьютер в режим с более низким потреблением электроэнергии по сравнению со спящим режимом, в том числе:

а) компьютер с функцией WOL должен снизить скорость работы всех сетевых соединений до 1 гигабита в секунду (Гбит/с) при переходе в спящий режим или режим выключения по локальной сети Ethernet;

б) в спящем режиме реакция на команду "активизации" после ее поступления через сетевые соединения или устройства пользовательского интерфейса должна происходить с задержкой не более 5 с от начала поступления команды до момента, когда система становится полностью готовой для работы, включая дисплей;

в) если компьютер комплектуется дисплеем, то переход дисплея в спящий режим должен осуществляться по истечении 10 минут бездействия пользователя;

г) компьютер с поддержкой локальной сети Ethernet должен иметь возможность включения и отключения функции WOL (при наличии) для спящего режима. Компьютер с Ethernet должен иметь возможность включения и отключения функции WOL для режима выключения, если в режиме выключения поддерживается функция WOL;

д) если компьютер имеет возможность перехода в спящий режим или в другое состояние, обеспечивающее функциональность спящего режима, то этот режим должен быть настроен для включения после 30 минут бездействия пользователя. Эта функция управления питанием должна быть установлена изготовителем перед поставкой;

е) пользователи должны иметь возможность включения или отключения беспроводных сетевых подключений, и им должны быть предоставлены четкие сведения о символах, световой индикации или эквивалентных сигналах, показывающих, включены сетевые беспроводные соединения или отключены.

12. Эксплуатационные документы, прилагаемые к компьютерам и серверам, предусмотренные пунктом 13 технического регламента, должны содержать следующие сведения об их характеристиках и параметрах:

а) для настольных компьютеров, моноблочных настольных компьютеров и ноутбуков:

категория продукта (A, B, C или D) определенная в соответствии с пунктами 4 и 5 настоящих Требований;

значение (в кВт·ч) и величина энергопотребления, когда все дискретные видеокарты (dGfx) отключены и система функционирует с отключаемой в этом состоянии UMA, управляющим дисплеем;

значение (в кВт·ч) и величина энергопотребления, когда все дискретные видеокарты (dGfx) включены;

потребляемая мощность в состоянии простоя (в Вт);

потребляемая мощность в спящем режиме (в Вт);

потребляемая мощность в спящем режиме с поддержкой функции WOL (в Вт) (если применимо);

потребляемая мощность в режиме выключения (в Вт);

потребляемая мощность в режиме выключения с поддержкой функции WOL (в Вт) (если применимо);

КПД внутреннего источника питания при потреблении 10%, 20%, 50% и 100% от номинальной выходной мощности;

КПД внешнего источника электропитания;

корректированный уровень звуковой мощности компьютера, выраженный в дБ (A) относительно 1 пВт (с округлением до целого числа) (указывается в дБ);

минимальное число циклов зарядки, которое могут выдерживать аккумуляторы (только для ноутбуков);

последовательность шагов для достижения стабильного энергопотребления;

описание процедуры выбора программирования спящего режима и (или) режима выключения;

последовательность событий, необходимых для достижения режима, в котором оборудование автоматически переходит в спящий режим и (или) в режиме выключения;

продолжительность состояния простоя (покоя) перед тем, как компьютер автоматически переходит в спящий режим или другое состояние, в котором потребление мощности не превышает требуемого потребления мощности в спящем режиме;

период времени бездействия пользователя, по истечении которого компьютер автоматически переходит в режим питания, который имеет более низкое энергопотребление, чем спящий режим;

время до перехода в спящий режим после периода бездействия пользователя;

информация, предназначенная для пользователя, о потенциале энергосбережения системы управления электропитанием;

информация, предназначенная для пользователя, о функциональных возможностях управления электропитанием;

б) для ноутбуков, работающих от одного или нескольких аккумуляторов, которые не могут быть заменены непрофессиональными пользователями, в дополнение к информации, указанной в подпункте "а" настоящего пункта, в эксплуатационных документах и на внешней упаковке ноутбука должна присутствовать следующая запись: "Аккумулятор данного устройства не может быть легко заменен самим пользователем";

в) для рабочих станций, мобильных рабочих станций, настольных "тонких клиентов", малых серверов и компьютеров-серверов:

КПД внутреннего (внешнего) источника электропитания;

максимальная потребляемая мощность (в Вт);

потребляемая мощность в состоянии простоя (в Вт);

потребляемая мощность в спящем режиме (в Вт);

потребляемая мощность в режиме выключения (в Вт);

корректированный уровень звуковой мощности компьютера, выраженный в дБ (A) относительно 1 пВт (с округлением до целого числа) (указывается в дБ);.

13. Если модель компьютера и (или) сервера имеет несколько конфигураций, то эксплуатационные документы могут содержать сведения, указанные в пункте 12 настоящих Требований, только для наиболее сложной конфигурации в данной категории компьютеров и (или) серверов. При этом должны быть перечислены все конфигурации данной модели компьютера и (или) сервера, на которые распространяется указанная информация.

14. В комплект документов к компьютерам и (или) серверам, указанный в подпункте "а" пункта 23 технического регламента, для компьютеров и (или) серверов дополнительно должна быть включена следующая информация:

а) для настольных компьютеров, моноблочных настольных компьютеров и ноутбуков:

методика измерения, использованная при определении информации, указанной в абзацах 2 - 12 подпункта "а" пункта 12 настоящих Требований;

значения испытательных параметров в ходе измерений;

значения испытательного напряжения (в В) и частоты (в Гц);

значения общих гармонических искажений в системе электроснабжения;

информация об измерительных приборах и испытательном оборудовании, используемых для проведения электрических испытаний;

б) для рабочих станций, мобильных рабочих станций, настольных "тонких клиентов", малых серверов и компьютеров-серверов:

значения испытательных параметров в ходе измерений;

значения испытательного напряжения (в В) и частоты (в Гц);

значения общих гармонических искажений в системе электроснабжения;

документация на приборы, установки и схемы, используемые для проведения электрических испытаний;

методика измерения, использованная при определении информации, указанной в подпункте "в" пункта 12 настоящих Требований.

V. Допустимые отклонения параметров энергетической эффективности компьютеров и серверов при проведении испытаний (измерений) после их выпуска в обращение

В электронном документе нумерация разделов соответствует официальному источнику.

15. В случае проведения испытаний (измерений) компьютеров и серверов после их выпуска в обращение на таможенной территории Союза проводятся испытания (измерения) одного типового образца (экземпляра) каждой модели (конфигурации) компьютера или сервера.

Модель (конфигурация) компьютера или сервера считается соответствующей требованиям настоящих Требований, если для применимого к ней перечня требований:

а) измеренная потребляемая мощность для параметров, указанных в пунктах 4 - 7 и подпункте "б" пункта 8 настоящих Требований, не превосходит предельно допустимые значения более, чем на 7%;

б) измеренная потребляемая мощность для параметров, указанных в подпунктах "а" и "в" пункта 8 настоящих Требований, с добавкой к допустимому нормативу в случае включенной функции WOL и без такой добавки при отключенной функции WOL, не превосходит предельно допустимые значения более чем на 7%;

в) измеренная потребляемая мощность для параметров, указанных в абзацах первом и третьем пункта 9 настоящих Требований, с добавкой к допустимому нормативу при наличии информационного дисплея или индикатора состояния, не превосходит предельно допустимые значения более чем на 0,10 Вт;

г) измеренная потребляемая мощность для параметров, указанных в абзацах первом и третьем пункта 9 настоящих Требований с добавкой к допустимому нормативу при наличии информационного дисплея или индикатора состояния не превосходит предельно допустимые значения более чем на 0,10 Вт;

д) измеренная потребляемая мощность для параметров, указанных в подпунктах "а" и "в" пункта 12 настоящих Требований с добавкой к допустимому нормативу в случае включенной функции WOL и без такой добавки при отключенной функции WOL не превосходит предельно допустимые значения более чем на 0,10 Вт;

е) средние значения измеренных параметров энергоэффективности блоков и источников питания, указанные в пунктах 9 и 10 настоящих Требований, не ниже предельно допустимых значений более чем на 2% для КПД и более чем на 10% для коэффициента мощности;

ж) снижение скорости работы всех сетевых соединений до 1 гигабита в секунду (Гбит/с) при переходе в спящий режим или выключения по локальной сети Ethernet и величина временных интервалов перехода в спящий режим и возвращения в рабочий режим, а также другие параметры активизации управления питанием соответствуют требованиям, указанным в пункте 11 настоящих Требований.

16. Если модель (конфигурация) компьютера или сервера не соответствует требованиям, указанным в пункте 15 настоящих Требований, то проверяют 3 случайно выбранных образца той же модели (конфигурации) компьютера или сервера.

Модель компьютера или сервера считается соответствующей настоящим Требований, если среднее значение результатов измерений этих 3 образцов соответствует требованиям, указанным в подпунктах "а" - "ж" пункта 15 настоящих Требований.

В иных случаях данную модель (конфигурацию) компьютера или сервера следует рассматривать как не соответствующую требованиям технического регламента.

Приложение N 18
к техническому регламенту
Евразийского экономического союза
"О требованиях к энергетической
эффективности энергопотребляющих
устройств" (ТР ЕАЭС 048/2019)

ТРЕБОВАНИЯ К ЭНЕРГЕТИЧЕСКОЙ ЭФФЕКТИВНОСТИ НАСОСОВ ДЛЯ ВОДЫ

I. Область применения

1. Настоящие Требования распространяются на выпускаемые в обращение на таможенной территории Евразийского экономического союза (далее - Союз) автономные и интегрированные (встроенные в другое оборудование) насосы, предназначенные для перекачки чистой воды (далее - насосы для воды), за исключением:

а) насосов, предназначенных исключительно для целей пожаротушения;

б) насосов, специально предназначенных для перекачки воды при температуре ниже минус 10 °C или выше 120 °C, при условии, что это предусмотрено эксплуатационными документами, указанными в пункте 7 настоящих Требований;

в) объемных насосов;

г) самовсасывающих насосов для воды.

II. Основные понятия

2. Для целей применения настоящий Требований используются понятия, которые означают следующее:

"консольный моноблочный насос для воды (ESCC)" - насос для воды с осевым входом, в котором удлиненный вал двигателя служит валом насоса;

"консольный насос для воды" - одноступенчатый центробежный насос для воды с сухим приводом и осевым входом, который предназначен для применения при давлении до 16 бар с приведенной скоростью вращения от 6 до 80 об/мин и у которого номинальная подача составляет не менее 6 м3/ч (1,667 x 10-3 м3/с), максимальная мощность на валу - 150 кВт, максимальный напор при номинальной скорости вращения 1 450 об/мин - 90 м и максимальный напор при номинальной скорости вращения 2 900 об/мин - 140 м;

"консольный насос для воды (ESOB)" - насос для воды с осевым подводом и собственным подшипниковым узлом;

"константа C" - постоянная величина для определенных типов насосов для воды, определяющая в количественной форме различия в эффективности этих типов насосов;

"коэффициент полезного действия (КПД) насоса для воды ()" - отношение механической энергии к передаваемой жидкости при прохождении ее через насос, к механической мощности на валу насоса;

"линейный консольный моноблочный насос для воды (ESCCi)" - консольный моноблочный насос для воды, в котором входной и выходной патрубки расположены вдоль одной оси;

"минимальный индекс энергоэффективности (MEI)" - безразмерная величина, характеризующая эффективность насосов для воды в оптимальной точке, при частичной загрузке и перегрузке;

"многоступенчатый вертикальный насос (MS-V)" - многоступенчатый (i > 1) центробежный насос с изолированным приводом, в котором рабочие колеса смонтированы на вертикально расположенном валу, рассчитанный на давление до 25 бар при номинальной скорости вращения 2900 об/мин и максимальной подаче воды 100 м3/ч (27,78 x м3/с);

"многоступенчатый погружной насос (MSS)" - многоступенчатый (i > 1) центробежный насос с номинальным наружным диаметром, составляющим 4 дюйма (10,16 см) или 6 дюймов (15,24 см), который предназначен для использования в скважине при рабочих температурах от 0 °C до 90 °C и номинальной скорости вращения 2 900 об/мин;

"насос с изолированным приводом" - насос, в котором полость рабочего колеса и привод изолированы друг от друга, при этом исключен контакт привода с перекачиваемой жидкостью;

"частичная загрузка (PL)" - рабочая точка насоса для воды, в которой подача составляет 75% от подачи в оптимальной точке;

"номинальная мощность" - мощность, установленная изготовителем при нормальных условиях подачи и заданном напоре;

"объемный насос для воды" - насос для воды, в котором чистая вода перемещается к выходу насоса определенными порциями;

"перегрузка (OL)" - рабочая точка насоса для воды, в которой подача составляет 110% от подачи в оптимальной точке;

"полноразмерное рабочее колесо" - рабочее колесо максимального диаметра для насоса определенного типоразмера;

"приведенная скорость вращения ns (коэффициент быстроходности)" - величина, определяемая размерами и формой рабочего колеса насоса при заданных значениях напора, подачи и частоты вращения вала:

где:

напор (H) - гидравлическая энергия воды, приобретенная под действием насоса (в метрах водяного столба);

частота вращения (n) - число оборотов в минуту вала насоса;

подача (Q) - объемный поток воды, протекающей через насос (в м3/с);

число ступеней (i) - количество рабочих колес в насосе;

оптимальная точка (BEP) - рабочая точка насоса для воды, в которой при перекачке чистой холодной воды достигается наивысшее значение КПД насоса;

"рабочее колесо" - вращающаяся часть центробежного насоса, которая передает энергию перекачиваемой жидкости;

"самовсасывающий насос для воды" - насос, который способен функционировать при частичном заполнении водой;

"центробежный насос для воды" - насос, предназначенный для перекачивания чистой воды посредством воздействия на нее гидродинамических сил;

"чистая вода" - вода, в которой содержание свободных нерастворенных твердых частиц не превышает 0,25 кг/м3 и содержание растворенных твердых веществ составляет не более 50 кг/м3 при условии, что общее содержание газа в воде не превышает объема насыщения (добавки для предотвращения замерзания воды до температуры минус 10 °C не учитываются);

"чистая холодная вода" - чистая вода с максимальной кинематической вязкостью 1,5 x м2/с, максимальной плотностью 1 050 кг/м3 и максимальной температурой 40 °C, используемая при испытаниях насоса.

III. Требования к энергетической эффективности и особенности определения показателей энергетической эффективности насосов для воды

3. Для насосов для воды должны быть проведены соответствующие испытания (измерения) и определены значения минимального индекса энергоэффективности (MEI) при полном диаметре рабочего колеса при перекачке чистой холодной воды для напора и подачи в оптимальной точке (BEP), при недогрузке (PL) и перегрузке (OL).

4. Минимально требуемый КПД в оптимальной точке (BEP) вычисляется по следующей формуле:

,

где:

x = ln(ns);

y = ln(Q);

- приведенная скорость вращения (в мин-1);

Q - подача (в м3/ч);

ln - знак натурального логарифма;

CPumpType, rpm - значения константы C для типа насоса (Pump Type), скорости вращения (в об/мин (rpm)) и минимальных индексов энергоэффективности (MEI) приведены в таблице.

Таблица

Минимальные индексы энергоэффективности (MEI) и соответствующие им константы C в зависимости от типа насоса и его скорости

Значение C для MEIMEI = 0,10MEI = 0,40

(тип насоса, об/мин)
 
C (ESOB, 1 450)132,58128,07
C (ESOB, 2 900)135,60130,27
C (ESCC, 1 450)132,74128,46
C (ESCC, 2 900)135,93130,77
C (ESCCI, 1 450)136,67132,30
C (ESCCI, 2 900)139,45133,69
C (MS-V, 2 900)138,19133,95
C (MSS, 2 900)134,31128,79

Минимально требуемый КПД в условиях недогрузки (PL) и перегрузки (OL) по отношению к требованиям при 100-процентной подаче рассчитывается по следующим формулам:

;

.

Все значения КПД относятся к номинальному или полному (без коррекции или подрезки) диаметру рабочего колеса. Многоступенчатый вертикальный насос для воды (MS-V) должен быть испытан для трехступенчатого варианта (i = 3). Многоступенчатый погружной насос (MSS) должен быть испытан для 9-ступенчатого варианта (i = 9). Если насос не может иметь заданное количество ступеней, то выбирается насос с ближайшим числом ступеней.

5. Насосы для воды должны соответствовать следующим требованиям к энергетической эффективности:

а) КПД в оптимальной точке (BEP) при измерении в соответствии с пунктом 4 настоящих Требований со значением C для MEI = 0,4 не ниже значения ;

б) КПД при частичной загрузке (PL) при измерении в соответствии с пунктом 4 настоящих Требований со значением C для MEI = 0,4 не ниже значения ;

в) КПД при перегрузке (OL) при измерении в соответствии с пунктом 4 настоящих Требований со значением C для MEI = 0,4 не ниже значения .

6. Маркировка насосов для воды должна содержать следующую информацию об их характеристиках:

а) минимальный индекс энергоэффективности (MEI) в виде следующей записи: "MEI >= [x, xx]";

б) КПД гидравлического насоса для воды (в %) при скорректированном диаметре рабочего колеса [xx, x].

7. Эксплуатационные документы, прилагаемые к насосам для воды, и предусмотренные пунктом 13 технического регламента Союза "О требованиях к энергетической эффективности энергопотребляющих устройств" (ТР ЕАЭС 048/2019) (далее - технический регламент), должны содержать информацию, предусмотренную пунктом 6 настоящих Требований, а также следующие сведения об характеристиках и параметрах насосов для воды:

а) одна из следующих записей: "эталонное значение MEI насоса для воды с лучшим КПД >= 0,70" или "эталонное значение MEI >= 0,70";

б) рабочие характеристики насоса, в том числе характеристики энергетической эффективности;

в) информация о разборке, повторном использовании и утилизации насоса;

г) запись: "Энергетическая эффективность насоса с корректированным рабочим колесом обычно ниже, чем у стандартного насоса с полным диаметром рабочего колеса. Посредством коррекции (подрезки) рабочего колеса насос приспособлен к функционированию в заданной рабочей точке со сниженным потреблением энергии. Минимальный индекс энергоэффективности (MEI) относится к полному диаметру рабочего колеса";

д) запись: "Действие данного насоса для воды в различные периоды работы может быть эффективно и экономично, если он находится под контролем (например, посредством регулирования скорости насоса в системе)";

е) для насосов, специально предназначенных только для перекачки чистой воды при температуре ниже минус 10 °C, запись: "Только для использования при температуре ниже минус 10 °C";

ж) для насосов, специально предназначенных только для перекачки чистой воды при температуре выше 120 °C, запись: "Только для использования при температуре выше 120 °C";

з) для насосов, предназначенных для перекачки чистой воды при температуре ниже минус 10 °C или выше 120 °C, указываются соответствующие технические параметры и характеристики.

IV. Допустимые отклонения параметров энергетической эффективности насосов для воды при проведении испытаний (измерений) после их выпуска в обращение

8. В случае проведения испытаний (измерений) насосов для воды после их выпуска в обращение на таможенной территории Союза проводятся испытания (измерения) 1 типового образца (экземпляра) каждой модели насоса для воды.

Модель насоса для воды считается соответствующей настоящим Требованиям, в случае если измеренная в оптимальной точке, при недогрузке и при перегрузке энергетическая эффективность насоса для воды (, и ) не ниже значений, указанных в пункте 5 настоящих Требований, более чем на 5%.

Если модель насоса для воды считается не соответствующей настоящим Требованиям, указанным в абзаце первом настоящего пункта, то проверяются еще 3 образца (экземпляра) насоса для воды. Модель насоса для воды считается соответствующей настоящим Требованиям, если среднее значение результатов испытаний (измерений) , и этих 3 образцов (экземпляров) не ниже значений, указанных в абзаце втором настоящего пункта.

В иных случаях данную модель насоса для воды следует рассматривать как не соответствующую требованиям технического регламента.

Приложение N 19
к техническому регламенту
Евразийского экономического союза
"О требованиях к энергетической
эффективности энергопотребляющих
устройств" (ТР ЕАЭС 048/2019)

ТРЕБОВАНИЯ К ЭНЕРГЕТИЧЕСКОЙ ЭФФЕКТИВНОСТИ КОНДИЦИОНЕРОВ ВОЗДУХА И КОМНАТНЫХ ВЕНТИЛЯТОРОВ

I. Область применения

1. Настоящие Требования распространяются на выпускаемые в обращение на таможенной территории Евразийского экономического союза (далее - Союз) питающиеся от электрической сети кондиционеры воздуха с номинальной мощностью для охлаждения и (или) для обогрева не более 12 кВт (далее - кондиционеры), а также комнатные вентиляторы с номинальной потребляемой мощностью не более 125 Вт (далее - вентиляторы), за исключением:

а) кондиционеров, в которых испарителем и (или) конденсатором в качестве теплообменной среды не используется воздух;

б) кондиционеров и вентиляторов, работающих за счет использования других видов энергии помимо электроэнергии.

II. Основные понятия

2. Для целей применения настоящих Требований используются понятия, которые означают следующее:

"активный режим" - рабочий режим кондиционера, работающего на охлаждение или обогрев, при котором кондиционер может включаться и выключаться для обеспечения требуемой температуры воздуха в помещении;

"вентилятор" - прибор, который главным образом предназначен для создания воздушного потока, обдувающего человеческое тело или его части в целях охлаждения, включая вентиляторы, обладающие дополнительными функциями (например, освещение и (или) подсветка, дистанционное управление, датчик присутствия, таймер, задержка отключения, датчик влажности, увлажнитель и (или) ионизатор воздуха, функция поворота (наклона) воздушного потока и др.);

"время работы в режиме выключения ()" - время, зависящее от соответствующего сезона и заданной функции, являющееся суммарным периодом работы в часах в год (ч/год), в течение которого энергопотребляющее устройство находится в режиме выключения;

"время работы в режиме ожидания ()" - время, зависящее от соответствующего сезона и заданной функции, являющееся суммарным периодом работы в часах в год (ч/год), в течение которого энергопотребляющее устройство находится в режиме ожидания;

"время работы в режиме с выключенным терморегулятором ()" - время, зависящее от соответствующего сезона и заданной функции, являющееся суммарным периодом работы в часах в год (ч/год), в течение которого кондиционер находится в режиме работы с выключенным терморегулятором;

"время работы в режиме с картерным нагревателем ()" - зависящий от соответствующего сезона и заданной функции суммарный период работы в часах в год (ч/год), в течение которого кондиционер находится в режиме работы с включенным нагревателем компрессорного картера;

"время работы вентилятора в активном режиме ()" - время, зависящее от соответствующего сезона и заданной функции, являющееся предположительно ожидаемым суммарным периодом работы в часах в год (ч/год), в течение которого вентилятор обеспечивает создание максимального потока воздуха;

"годовое потребление электроэнергии для обогрева ()" - потребление электроэнергии кондиционером (в кВт·ч/год) для обеспечения эталонного годового потребления энергии для обогрева в течение определенного отопительного сезона, равное сумме:

эталонного годового потребления энергии для обогрева, деленного на сезонную энергетическую эффективность в активном режиме обогрева ();

потребления электроэнергии в течение отопительного сезона в режиме работы с выключенным терморегулятором, в режимах ожидания и выключения, а также в режиме работы с картерным нагревателем;

"годовое потребление электроэнергии для охлаждения ()" - потребление электроэнергии кондиционером (в кВт·ч/год) для обеспечения эталонного годового потребления энергии для охлаждения, равное сумме:

эталонного годового потребления энергии для охлаждения, деленного на сезонную энергетическую эффективность в активном режиме охлаждения ();

потребления электроэнергии в течение сезона охлаждения в режиме работы с выключенным терморегулятором, в режимах ожидания и выключения, а также в режиме работы с картерным нагревателем;

"двухканальный кондиционер" - кондиционер, полностью размещаемый внутри кондиционируемого помещения вблизи стены, в котором воздух, обдувающий конденсатор или испаритель во время охлаждения или обогрева, подается снаружи через один канал и выводится за пределы помещения через другой канал;

"длительность бина" - количество часов в течение сезона, когда в температурно-временном интервале (бине) преобладает температура наружного воздуха ;

"заявленная мощность" - указанная изготовителем мощность кондиционера в кВт, потребляемая для обеспечения работы парокомпрессионного цикла в режиме охлаждения () или обогрева () при температуре наружного воздуха и температуре воздуха в помещении ;

"заявленная энергетическая эффективность в режиме обогрева " - указанная изготовителем энергетическая эффективность кондиционера в режиме обогрева для ограниченного количества температурно-временных интервалов (бинов) с индексом j, соответствующих температурам наружного воздуха ;

"заявленная энергетическая эффективность в режиме охлаждения " - указанная изготовителем энергетическая эффективность кондиционера в режиме охлаждения для ограниченного количества температурно-временных интервалов (бинов) с индексом j, соответствующих температурам наружного воздуха ;

"кондиционер" - устройство для охлаждения и (или) нагрева воздуха в помещении за счет использования парокомпрессионного цикла теплового насоса, приводимого в действие с помощью электрического компрессора, включая кондиционеры, имеющие такие дополнительные функции, как вентиляция, уменьшение влажности и очистка воздуха, дополнительный подогрев воздуха посредством электронагревателя, а также кондиционеры, которые могут испарять на конденсаторе воду (конденсирующуюся на испарителе либо подаваемую извне), если при этом они способны работать только с воздухом без дополнительной подачи воды;

"коэффициент мощности" - отношение заявленной изготовителем общей мощности при охлаждении и (или) обогреве при стандартных номинальных условиях для всех эксплуатируемых узлов и устройств внутреннего блока кондиционера к такой же заявленной мощности для всех узлов и устройств внешнего блока кондиционера;

"коэффициент потери эффективности" - величина потери эффективности из-за циклического режима работы (включение (выключение) компрессора в активном режиме), которая определяется для режима охлаждения () и (или) режима обогрева () или по умолчанию принимается равной 0,25;

"коэффициент частичной нагрузки (pl())" - отношение температуры наружного воздуха за вычетом 16 °C к эталонно-расчетной температуре для режимов охлаждения или обогрева за вычетом 16 °C;

"максимальный поток воздуха (F)" - поток воздуха, создаваемый вентилятором в м3/мин при установке максимальной мощности, измеренный со стороны выхода потока при выключенном механизме поворота (наклона) (при наличии);

"механизм поворота (наклона)" - устройство для автоматического изменения вентилятором направления потока воздуха во время работы вентилятора;

"мощность при циклическом (прерывистом) режиме работы" - среднее значение заявленной мощности, взвешенное во времени, в циклическом интервале испытания кондиционера (при циклических нагрузках из-за включения и выключения компрессора) в режиме охлаждения () или обогрева ();

"номинальная входная мощность в режиме обогрева ()" - электрическая входная потребляемая мощность кондиционера (в кВт) в режиме обогрева при стандартных номинальных условиях;

"номинальная входная мощность в режиме охлаждения ()" - электрическая входная потребляемая мощность кондиционера (в кВт) в режиме охлаждения при стандартных номинальных условиях;

"номинальная мощность ()" - мощность охлаждения или нагрева парокомпрессионного цикла кондиционера при стандартных номинальных условиях;

"номинальная энергетическая эффективность в режиме охлаждения ()" - отношение заявленной мощности охлаждения кондиционера (в кВт) к номинальной потребляемой мощности в режиме охлаждения (в кВт) при стандартных номинальных условиях;

"номинальная энергетическая эффективность в режиме обогрева ()" - отношение заявленной мощности обогрева кондиционера (в кВт) к номинальной потребляемой мощности в режиме обогрева (в кВт) при стандартных номинальных условиях;

"номинальный поток воздуха" - поток воздуха (в м3/ч), измеренный на выходе из внутреннего или наружного (при наличии) блока кондиционера при стандартных номинальных условиях в режиме охлаждения (или в режиме обогрева, если кондиционер не имеет функции охлаждения);

"одноканальный кондиционер" - кондиционер, в котором во время охлаждения или обогрева воздух, обдувающий конденсатор или испаритель, подается из помещения, в котором находится кондиционер, и выводится за пределы этого помещения;

"потенциал глобального потепления (GWP)" - коэффициент, определяющий степень воздействия одного килограмма вещества в части его содействия парниковому эффекту (глобальному потеплению) в течение 100 лет, численно равный эквивалентной массе углекислого газа в кг, создающей такой же парниковый эффект за 100 лет (=1), который введен в соответствии с Киотским протоколом от 11 декабря 1997 года к Рамочной конвенции ООН об изменении климата от 9 мая 1992 года и официальными публикациями (отчетами) Межправительственной группы экспертов по изменению климата IPCC в рамках выполнения Программы ООН по окружающей среде UNEP;

"потребляемая мощность в режиме выключения ()" - мощность (в кВт), потребляемая электрическим энергопотребляющим устройством в режиме выключения;

"потребляемая мощность в режиме ожидания ()" - мощность (в кВт), потребляемая электрическим энергопотребляющим устройством в режиме ожидания;

"потребляемая мощность в режиме работы с картерным нагревателем ()" - мощность (в кВт), потребляемая электрическим энергопотребляющим устройством в режиме работы с картерным нагревателем;

"потребляемая мощность в режиме с выключенным терморегулятором ()" - мощность (в кВт), потребляемая электрическим энергопотребляющим устройством в режиме работы с выключенным терморегулятором;

"предельное значение рабочей температуры ()" - указанное изготовителем минимальное значение температуры наружного воздуха (в °C), при котором кондиционер способен работать в режиме обогрева (ниже данной температуры заявленная мощность обогрева равна нулю);

"проектная (номинальная) мощность (нагрузка)" - указанная изготовителем мощность (нагрузка) (в кВт) при эталонно-расчетной температуре в режиме охлаждения (равна мощности в режиме охлаждения при = ) и (или) нагрева (равна частичной нагрузке в режиме обогрева при = );

"реверсивный кондиционер" - кондиционер, предназначенный для охлаждения и нагрева воздуха;

"регулирование мощности" - способность прибора изменять свою мощность путем изменения величины воздушного потока (приборы обозначаются как "фиксировано настроенные" - если поток не регулируется, "ступенчато регулируемые" - если возможны две настройки мощности, и "регулируемые" - если поток воздуха варьируется в рамках трех или более ступеней);

"режим выключения" - состояние, при котором электрооборудование подключено к источнику питания, но не находится в активном (рабочем) режиме или режиме ожидания, и должно соответствовать требованиям электромагнитной совместимости и (или) обеспечивать индикацию режима выключения;

"режим ожидания" - состояние, при котором электрооборудование подключено к источнику питания и при этом неограниченное время выполняет функцию реактивации (в том числе с индикацией способности (готовности) к реактивации) и (или) функцию информирования или отображения состояния;

"режим работы с выключенным терморегулятором" - рабочий режим кондиционера с компрессором, работающим на охлаждение или обогрев, без обратной связи с температурой воздуха в кондиционируемом помещении (в зависимости от температуры наружного воздуха);

"режим работы с картерным нагревателем" - режим эксплуатации кондиционера в отопительный сезон, при котором активирован электрический нагреватель, предотвращающий попадание жидкого хладагента в компрессор во избежание поломок из-за застывания смазки и закипания хладагента в картере компрессора при его включении;

"резервная электрическая мощность для дополнительного обогрева [elbu()]" - потребляемая при обогреве мощность (в кВт) фактического или предполагаемого электрического эквивалентного нагревательного прибора с энергетической эффективностью в режиме обогрева COP = 1, которая добавляется к номинальной потребляемой мощности в режиме обогрева Pdh() для достижения частичной нагрузки для обогрева (), если () меньше чем () при определенной температуре наружного воздуха ;

"сезонная энергетическая эффективность в активном режиме обогрева ()" - среднее значение энергетической эффективности кондиционера в активном режиме обогрева в течение определенного отопительного сезона, которое рассчитывается из частичной нагрузки, мощности резервного электрического нагревателя для дополнительного обогрева (если требуется) и энергетической эффективности на всех температурно-временных интервалах (), соотнесенной с длительностью этих температурно-временных интервалов (бинов);

"сезонная энергетическая эффективность в активном режиме охлаждения ()" - среднее значение энергетической эффективности кондиционера в активном режиме охлаждения, которое рассчитывается из частичной нагрузки и энергетической эффективности на всех температурно-временных интервалах ((), соотнесенной с длительностью этих температурно-временных интервалов (бинов);

"сезонная энергетическая эффективность в режиме охлаждения (SEER)" - репрезентативное в течение всего сезона охлаждения среднее значение коэффициента полезного действия кондиционера, равное отношению эталонного годового потребления энергии в режиме охлаждения к годовому измеренному потреблению электроэнергии в режиме охлаждения;

"сезонная энергетическая эффективность в режиме обогрева (SCOP)" - репрезентативное для соответствующего отопительного сезона среднее значение коэффициента полезного действия кондиционера, равное отношению эталонного годового потребления энергии для обогрева к годовому потреблению электроэнергии для обогрева;

"сезоны" - 4 набора эксплуатационных условий, соответствующих четырем периодам в году (сезон охлаждения и 3 отопительных сезона - средний, более холодный (холоднее) и более теплый (теплее)), для каждого из которых принимается разбиение на температурно-временные интервалы (бины), измеряемые в часах , когда преобладает температура ;

"стандартные номинальные условия" - комбинация температур в помещении и наружного воздуха , которые задают условия эксплуатации для определения уровня звуковой мощности, номинальной мощности, номинального потока воздуха, номинальной энергетической эффективности в режиме охлаждения и (или) номинальной энергетической эффективности в режиме обогрева ;

"температура воздуха в помещении ()" - температура воздуха в помещении по сухому термометру в °C с указанием (при необходимости) информации об относительной влажности посредством приведения в скобках соответствующей температуры по влажному термометру;

"температура двойного (резервного) обогрева ()" - указанная изготовителем температура наружного воздуха в °C в режиме обогрева кондиционера, при которой заявленная мощность соответствует частичной нагрузке, а при более низкой температуре должен дополнительно включаться резервный электрический нагреватель;

"температура наружного воздуха" () - температура наружного воздуха по сухому термометру в °C с указанием (при необходимости) информации об относительной влажности посредством приведения в скобках соответствующей температуры по влажному термометру;

"температурно-временной интервал j (бин с индексом j)" - сочетание температуры наружного воздуха и длительности ее преобладания в часах ;

"уровень звуковой мощности кондиционера" - уровень звуковой мощности, скорректированный по характеристике A в дБ (A), измеряемый в помещении или вне помещения при стандартных номинальных условиях работы кондиционера в режиме охлаждения (или обогрева, если кондиционер не имеет функции охлаждения);

"уровень звуковой мощности вентилятора (LWA)" - уровень звуковой мощности, скорректированный по характеристике A в дБ (A), измеряемый при максимальном номинальном потоке воздуха со стороны выходящего потока;

"функция информирования или отображения состояния" - функция, обеспечивающая предоставление информации или отображение на индикаторе состояния оборудования, включая индикацию времени;

"функция реактивации" - функция, обеспечивающая посредством устройств дистанционного управления, внутренних датчиков или регуляторов выдержки времени (таймеров) способность к переходу из режима ожидания в рабочий режим, когда происходит активация выполнения главных или главных и дополнительных функций оборудования;

"частичная нагрузка" - мощность в режиме охлаждения () или обогрева () (в кВт) при определенной температуре наружного воздуха , равная произведению проектной (номинальной) мощности (нагрузки) на коэффициент частичной нагрузки pl();

"эквивалентный период обогрева в активном режиме ()" - расчетная (предполагаемая) годовая длительность (в ч/год) работы кондиционера на проектной (номинальной) мощности (нагрузке) в режиме обогрева (), необходимая для обеспечения эталонного годового потребления энергии в режиме обогрева;

"эквивалентный период охлаждения в активном режиме ()" - расчетная (предполагаемая) годовая длительность (в ч/год) работы кондиционера на проектной (номинальной) мощности (нагрузке) в режиме охлаждения (), необходимая для обеспечения эталонного годового потребления энергии в режиме охлаждения;

"эксплуатационный показатель (SV)" - отношение максимального потока воздуха в м3/мин и потребляемой мощности в Вт вентилятора, выраженное в (м3/мин)/Вт;

"энергопотребление вентилятора ()" - мощность в Вт, потребляемая вентилятором, измеренная при номинальной максимальной скорости воздушного потока, создаваемого вентилятором, со включенной функцией поворота (наклона) (при наличии);

"энергопотребление одно- и двухканальных приборов (соответственно и )" - энергопотребление одно- и двухканальных кондиционеров в режиме охлаждения и (или) обогрева в зависимости от наличия функций (для одноканальных приборов в кВт·ч/ч, для двухканальных - в кВт·ч/год);

"энергетическая эффективность в режиме обогрева для температурно-временного интервала [()]" - удельная энергетическая эффективность кондиционера в режиме обогрева в температурно-временном интервале (бине) j при температуре наружного воздуха , рассчитываемая с учетом частичной нагрузки, номинальной мощности и номинальной энергетической эффективности в режиме обогрева () для отдельных температурно-временных интервалов (бинов) j, мощности и энергетической эффективности, получаемых методом экстраполяции для других температурно-временных интервалов (бинов), с применением (при необходимости) коэффициента потери энергетической эффективности;

"энергетическая эффективность в режиме охлаждения для температурно-временного интервала (())" - удельная энергетическая эффективность кондиционера в режиме охлаждения в температурно-временном интервале (бина) j при температуре наружного воздуха , рассчитываемая с учетом частичной нагрузки, номинальной мощности и номинальной энергетической эффективности в режиме охлаждения для отдельных температурно-временных интервалов (бинов) и мощности и энергетической эффективности, получаемых методом экстраполяции для других температурно-временных интервалов (бинов), с применением при необходимости коэффициента потери эффективности;

"энергетическая эффективность в циклическом (прерывистом) режиме обогрева ()" - средняя энергетическая эффективность кондиционера в циклическом интервале испытаний (измерений) в режиме обогрева, равная отношению суммарной потребляемой в циклическом интервале мощности в кВт·ч к потребляемой за тот же интервал входной электрической мощности в Вт·ч;

"энергетическая эффективность в циклическом (прерывистом) режиме охлаждения ()" - средняя энергетическая эффективность кондиционера в циклическом интервале испытаний (измерений) в режиме охлаждения, равная отношению суммарной потребляемой в циклическом интервале мощности в кВт·ч к потребляемой за тот же интервал входной электрической мощности в Вт·ч;

"эталонное годовое потребление энергии в режиме обогрева (QH)" - потребление энергии в режиме обогрева в кВт·ч/год, используемое для расчета SCOP и получаемое путем умножения проектной (номинальной) мощности (нагрузки) в режиме обогрева () на количество часов работы кондиционера в активном режиме обогрева () в течение определенного отопительного сезона;

"эталонное годовое потребление энергии в режиме охлаждения" (QC)" - потребление энергии в режиме охлаждения (в кВт·ч/год), используемое для расчета SEER и получаемое путем умножения проектной (номинальной) мощности (нагрузки) в режиме охлаждения () на количество часов эквивалентного периода охлаждения в активном режиме ();

"эталонно-расчетная температура" - температура наружного воздуха в °C при работе кондиционера в режиме охлаждения () или в режиме обогрева (), при которой коэффициент частичной нагрузки равен единице и которая выбирается для конкретного сезона, в зависимости от того, работает ли кондиционер в режиме охлаждения или обогрева;

"эталонно-расчетные условия" - комбинация требований в части эталонно-расчетной температуры, максимальной температуры двойного (резервного) обогрева и максимального предельного значения рабочей температуры.

III. Требования к энергетической эффективности и особенности определения показателей энергетической эффективности кондиционеров и вентиляторов

3. Сезонная энергетическая эффективность в режиме охлаждения (SEER), сезонная энергетическая эффективность в режиме обогрева (SCOP), номинальная энергетическая эффективность в режиме охлаждения (), номинальная энергетическая эффективность в режиме обогрева (), потребляемая мощность в режиме ожидания (), потребляемая мощность в режиме выключения () и конструктивные особенности кондиционеров и вентиляторов должны соответствовать требованиям, приведенным в таблицах 1 - 3.

Требования к параметрам энергетической эффективности кондиционеров, кроме одно- и двухканальных кондиционеров, устанавливаются для эталонно-расчетных условий с использованием (при необходимости) условий среднего отопительного сезона.

Требования к энергетической эффективности одно- и двухканальных кондиционеров устанавливаются для стандартных номинальных условий.

Таблица 1

Требования к минимально допустимым уровням энергетической эффективности кондиционеров

, кВтGWP хладагентакондиционеры, кроме одно- и двухканальныходноканальные кондиционерыдвухканальные кондиционеры
SEERSCOP для среднего отопительного сезона
менее 6более 1504,603,802,602,042,602,60
не более 1504,143,422,341,842,342,34
более 1504,303,802,602,042,602,60
не более 1503,873,422,341,842,342,34

Таблица 2

Требования к максимально допустимому уровню звуковой мощности кондиционеров

Максимально допустимый уровень звуковой мощности, дБ (A)
<= 6 кВт6 кВт < <= 12 кВт
внутри помещениявне помещениявнутри помещениявне помещения
60656570

Таблица 3

Требования к потребляемой мощности в режимах выключения и ожидания для одно- и двухканальных кондиционеров и вентиляторов

РежимыТребования
Режим выключенияпотребляемая мощность в режиме выключения не должна превышать 0,50 Вт.
Режим ожиданияпотребляемая мощность в состоянии, когда обеспечивается только выполнение функции реактивации с индикацией или без индикации способности (готовности) к реактивации, не должна превышать 0,50 Вт
потребляемая мощность в состоянии, когда обеспечивается выполнение только функции информирования или отображения состояния либо выполнение функции реактивации в сочетании с функцией информирования или отображения состояния, не должна превышать 1,00 Вт
Наличие режима ожидания и (или) выключенияза исключением случаев, когда это нецелесообразно из-за особенностей предполагаемого использования по назначению, должна обеспечиваться возможность перехода подключенного к сети прибора в режимы ожидания и (или) выключения, и (или) в другой режим, в котором не превышаются предельные значения потребляемой мощности в режимах ожидания и (или) выключения
Управление режимом электропитанияприбор должен иметь функцию управления режимом электропитания, которая по истечении минимального времени, достаточного для предполагаемого использования по назначению, автоматически переводит подключенный к сети прибор в режим ожидания и (или) выключения либо в другой режим, при котором не превышается уровень энергопотребления для режимов ожидания и выключения, при условии, что прибор не выполняет свои основные функции и другие энергопотребляющие изделия не зависят от его работы, за исключением случаев нецелесообразности из-за особенностей предполагаемого использования по назначению.
Функция управления режимом электропитания должна активироваться до размещения прибора на рынке

4. При определении энергопотребления и сезонной энергетической эффективности кондиционеров в режимах охлаждения SEER и обогрева SCOP необходимо учитывать:

сезон охлаждения и (или) отопительные сезоны температурно-временных интервалов (бинов), приведенные в таблице 4;

эталонно-расчетные условия, приведенные в таблице 5;

энергопотребление для различных режимов работы кондиционеров, рассчитанное в зависимости от времени эксплуатации, установленному в таблице 6;

потерю эффективности из-за циклов включения/выключения (если применимо) в зависимости от вида регулирования мощности в режиме охлаждения и (или) обогрева;

корректировку сезонно обусловленных коэффициентов мощности в режиме обогрева при условиях, в которых мощности для обогрева не хватает для обеспечения необходимой отопительной нагрузки;

вклад (доля) резервного обогрева (если применимо) при расчете сезонной энергетической эффективности кондиционера в режиме обогрева.

Таблица 4

Температурно-временные интервалы (бины) в режиме охлаждения и обогрева (j - индекс бина, - часы в течение года для каждого бина, - температура наружного воздуха по сухому термометру)

Сезон охлажденияОтопительные сезоны
индекс
бина, j
,
°C
,
ч/год
индекс бина, j,
°C
, ч/год
среднийтеплеехолоднее
117205000
2182279-22001
31922510-21006
42022511-200013
52121612-190017
62221513-180019
72321814-170026
82419715-160039
92517816-150041
102615817-140035
112713718-130052
122810919-120037
13298820-110041
14306321-101043
15313922-925054
16323123-823090
17332424-7240125
18341725-6270169
19351326-5680195
2036927-4910278
2137428-3890306
2238329-21650454
2339130-11730385
244003102400490
ИТОГО:2 6023212800533
   3323203380
   34335722228
   35435663261
   36530363279
   376330175229
   387326162269
   398348259233
   409335360230
   4110315428243
   4211215430191
   4312169503146
   4413151444150
   451410538497
   46157429461
  ИТОГО:4 9103 5906 446

Таблица 5

Эталонно-расчетные условия (температура по сухому термометру; в скобках температура по влажному термометру)

Функция/сезонТемпература воздуха в помещении, °C
Температура наружного воздуха, °C
/
Температура резервного обогрева, °C
Предельное значение рабочей температуры, °C
Охлаждение27 (19) = 35 (24)--
Обогрев/средний20 (15) = -10 (-11)макс. 2макс. -7
Обогрев/теплее = 2 (1)макс. 7макс. 2
Обогрев/холоднее = -22 (-23)макс. -7макс. -15

При расчете энергопотребления в режиме охлаждения и (или) обогрева следует учитывать энергопотребление во всех соответствующих режимах работы в соответствии с таблицей 5 с учетом времени эксплуатации для каждого режима, приведенного в таблице 6.

Номинальная сезонная энергетическая эффективность в режиме охлажденияи, при необходимости, в режиме обогрева определяется для одно- и двухканальных кондиционеров при стандартных номинальных условиях, приведенных в таблице 7.

Таблица 6

Время эксплуатации для каждого типа кондиционеров и функций, используемых для расчета энергопотребления

Тип кондиционера/функция (при наличии)Един. измер.Отопит. сезонАктивный режим, <1> и <2> <3> <4> <5> <6>
12345678
I. Кондиционеры (за исключением одно- и двухканальных кондиционеров)
Режим если имеется только ч/год 350221214250887760
Режимы и (при наличии)ч/год 350221214202672
ч/годсредний140017900179
теплее140075500755
холоднее210013100131
Режим , если имеется только функция обогревач/годсредний1400179036723851
теплее1400755043454476
холоднее2100131021892944
II. Двухканальные кондиционеры
Режим , если имеется только ч/60 мин 1----
Режимы и (при наличии)ч/60 мин 1----
ч/60 мин 1----
Режим , если имеется только ч/60 мин 1----
III. Одноканальные кондиционеры
Режим охлажденияч/60 мин 1----
Режим обогревач/60 мин 1----

<1> Режим охлаждения.

<2> Режим обогрева.

<3> Режим ожидания.

<4> Режим выключения.

<5> Режим с выключенным терморегулятором.

<6> Режим с картерным подогревом.

Таблица 7

Стандартные номинальные условия (температура по сухому термометру, в скобках температура по влажному термометру)

ПриборФункцияТемпература воздуха в помещении, °CТемпература наружного воздуха, °C
Кондиционеры воздуха, (за исключением одноканальных)охлаждение27 (19)35 (24)
обогрев20 (макс. 15)7 (6)
Одноканальные кондиционерыохлаждение35 (24) <*>35 (24) <*>
обогрев20 (12) <*>20 (12) <*>

<*> В одноканальных кондиционерах конденсатор или испаритель (при охлаждении или обогреве соответственно) обдувается не наружным воздухом, а воздухом из помещения.

Энергетическая эффективность вентиляторов определяется на основе отношения номинального потока воздуха, создаваемого вентилятором, к номинальной потребляемой мощности.

5. В комплект документов к кондиционерам и вентиляторам, указанный с учетом выбранной заявителем схемы декларирования соответствия в подпункте "а" пункта 28 или подпункте "а" пункта 29 технического регламента "О требованиях к энергетической эффективности энергопотребляющих устройств" (ТР ЕАЭС 048/2019) (далее - технический регламент), для кондиционеров и вентиляторов дополнительно должна быть включена информация, приведенная в таблицах 8 - 10.

Таблица 8

Информация о вентиляторах, подлежащая указанию в эксплуатационных документах в зависимости от наличия функций

ПараметрОбозначениеЗначениеЕдиницы измерения
Максимальный поток воздухаFx,xм3/мин
Потребляемая мощностьPx,xВт
Эксплуатационный показательSVx,x(м3/мин)/Вт
Потребляемая мощность в режиме ожиданияPSBx,xВт
Уровень звуковой мощности вентилятораLWA(x)дБ (A)
Максимальная скорость воздушного потокаcx,xм/с

<*> Количество десятичных знаков "x" в ячейках таблицы соответствует требуемой точности данных.

Таблица 9

Информация о кондиционерах, подлежащая указанию в эксплуатационных документах (за исключением одно- и двухканальных кондиционеров)

ФУНКЦИЯ
(при отсутствии указывается "нет")
ДЛЯ ФУНКЦИИ ОБОГРЕВА
(при наличии, средний режим обязателен)
параметрсимв.значениеед. изм.параметрсимволзначениеед. изм.
Проектная (номинальная) мощностьСезонная энергетическая эффективность
охлаждениеx,xкВтохлаждениеSEERx,x-
обогрев/среднийx,xкВтобогрев/среднийx,x-
обогрев/теплееx,xкВтобогрев/теплееx,x-
обогрев/холоднееx,xкВтобогрев/холоднееx,x-
Заявленная мощность <*> в режиме охлаждения при = 27(19) °C для следующих Заявленная энергетическая эффективность <*> в режиме охлаждения при = 27(19) °C для следующих
= 35 °Cx,xкВт = 35 °Cx,x-
j = 30 °Cx,xкВт j = 30 °Cx,x-
= 25 °Cx,xкВт = 25 °Cx,x-
= 20 °Cx,xкВт = 20 °Cx,x-
Заявленная мощность <*> в режиме обогрева для среднего отопительного сезона при = 20 °C для следующих Заявленная энергетическая эффективность в режиме обогрева для среднего отопительного сезона при = 20 °C для следующих
= -7 °Cx,xкВт = -7 °Cx,x-
= 2 °Cx,xкВт = 2 °Cx,x-
= 7 °Cx,xкВт = 7 °Cx,x-
= 12 °Cx,xкВт = 12 °Cx,x-
= x,xкВт = x,x-
= x,xкВт = x,x-
Заявленная мощность <*> в режиме обогрева для более теплого отопительного сезона (теплее) при = 20 °C для следующих Заявленная энергетическая эффективность в режиме обогрева для более теплого отопительного сезона (теплее) при = 20 °C для следующих
= 2 °Cx,xкВт = 2 °Cx,x-
= 7 °Cx,xкВт = 7 °Cx,x-
= 12 °Cx,xкВт = 12 °Cx,x-
= x,xкВт = x,x-
= x,xкВт = x,x-
Заявленная мощность <*> в режиме обогрева для отопительного сезона "холоднее" при = 20 °C для следующих Заявленная энергетическая эффективность в режиме обогрева для отопительного сезона "холоднее" при = 20 °C для следующих
= -7 °Cx,xкВт = -7 °Cx,x-
= 2 °Cx,xкВт = 2 °Cx,x-
= 7 °Cx,xкВт = 7 °CCOPdx,x-
= 12 °Cx,xкВт = 12 °Cx,x-
= x,xкВт = x,x-
= x,xкВт = x,x-
= -15 °Cx,xкВт = -15 °Cx,x-
Температура двойного (резервого) обогрева Предельное значение рабочей температуры
обогрев/среднийx°Cобогрев/среднийx°C
обогрев/теплееx°Cобогрев/теплееx°C
обогрев/холоднееx°Cобогрев/холоднееx°C
Мощность при циклическом (прерывистом) режиме работыЭнергетическая эффективность при циклическом (прерывистом) режиме работы
в режиме охлажденияPcycCx,xкВтВ режиме охлажденияx,x-
в режиме обогреваPcycHx,xкВтВ режиме обогреваCOPcycx,x-
Коэффициент потери эффективности охлажденияCdcx,x-Коэффициент потери эффективности обогреваCdhx,x-
Потребляемая мощность в иных режимах, отличных от активного режимаГодовое энергопотребление
Режим выключенияx,xкВтохлаждениеQCExкВт·ч/год
Режим ожиданияx,xкВтобогрев/среднийQHExкВт·ч/год
Режим с выключением термостатомx,xкВтобогрев/теплееQHEx 
Режим с картерным обогревомx,xкВтобогрев/холоднееQHExкВт·ч/год
Регулирование мощности (указывается одно из трех)Прочее
Фиксированноеесть/нетУровень звуковой мощности <***>LWAx,x/x,xдБ (A)
Ступенчатоеесть/нетПотенциал глобального потепленияGWPxкг CO2
Регулируемоеесть/нетНоминальный поток воздуха-x/xм3/ч

<*> Для приборов со ступенчатым регулированием мощности в каждой графе раздела "Заявленная мощность" и "Заявленная энергетическая эффективность" следует указывать значения EER и (или) COP, разделенные посредством знака "/" для каждой из двух ступеней регулирования мощности.

<**> Если по умолчанию выбирается Cd = 0,25, то проведение испытаний в циклическом режиме (и их результаты) не требуется. В ином случае требуется указание значения для циклического испытания в режиме охлаждения и (или) обогрева.

<***> Уровень звуковой мощности внутри/снаружи.

Примечание:

Количество десятичных знаков "x" в ячейках таблицы соответствует требуемой точности данных.

Таблица 10

Информация об одно- и двухканальных кондиционерах (в зависимости от наличия функций)

ПараметрОбозначениеЗначение параметраЕдиницы измерения
Номинальная мощность в режиме охлаждения в режиме охлажденияx,xкВт
Номинальная мощность в режиме обогрева в режиме обогреваx,xкВт
Номинальная входная мощность в режиме охлажденияPEERx,xкВт
Номинальная входная мощность в режиме обогреваPCOPx,xкВт
Номинальная энергетическая эффективность в режиме охлажденияEERdx,x-
Номинальная энергетическая эффективность в режиме обогреваCOPdx,x-
Потребляемая мощность в режиме с выключенным терморегуляторомPTOx,xВт
Потребляемая мощность в режиме ожиданияPSBx,xВт
Энергопотребление одно- и двухканальных (SD и DD) кондиционеров в режиме охлаждения и обогревадля DD: QDD
для SD: QSD
для DD: x
для SD: xx
для DD: кВт·ч/год
для SD: кВт·ч/ч
Уровень звуковой мощностиLWAxдБ (A)
Потенциал глобального потепленияGWPxкг CO2

Одноканальные кондиционеры маркируются как "кондиционеры воздуха локального размещения".

6. Если информация для определенной модели кондиционера, состоящей из комбинации внутреннего и внешнего блоков, была получена путем расчетов на основе конструктивного типа и (или) экстраполяции других комбинаций, то в комплект документов, указанный в пункте 5 настоящих Требований, дополнительно должны быть включены детальные сведения о расчетах и (или) экстраполяциях, а также протоколы испытаний по проверке правильности расчетов (точные данные к математической модели расчета мощности таких комбинаций и для измерений, проводимых для проверки правильности данной модели).

IV. Допустимые отклонения параметров энергетической эффективности кондиционеров и вентиляторов при проведении испытаний (измерений) после их выпуска в обращение

7. В случае проведения испытаний (измерений) параметров энергетической эффективности кондиционеров после их выпуска в обращение на таможенной территории Союза проводятся испытания (измерения) одного образца (экземпляра) модели кондиционера.

Модель кондиционера, за исключением одно- и двуканальных кондиционеров, считается соответствующей настоящим Требованиям, если полученное в результате измерений значение сезонной энергетической эффективности в режимах охлаждения SEER и (или) обогрева SCOP (при наличии), не меньше, чем заявленное изготовителем значение при указанной мощности кондиционера за вычетом 8%.

Модель одно- и двуканального кондиционера считается соответствующей настоящим Требованиям, если полученные в результате измерений значения энергопотребления в режимах ожидания и выключения не превышают предельно допустимые уровни более чем на 10%, и если номинальная энергетическая эффективность в режимах охлаждения EERrated и (или) обогрева COPrated (при наличии), не меньше, чем заявленные изготовителем значения за вычетом 10%.

Модель кондиционера считается соответствующей настоящим Требованиям, если максимальный уровень звуковой мощности превышает заявленное значение не более чем на 2 дБ(А).

8. Если результат, указанный в пункте 7 настоящих Требований, не достигнут, то проверяют 3 случайно выбранных образца данной модели кондиционера.

Модель кондиционера, за исключением одно- и двуканальных кондиционеров, считается отвечающей соответствующим настоящим Требованиям, если среднее по 3 испытанным образцам значение сезонной энергетической эффективности в режимах охлаждения SEER и обогрева SCOP (при наличии), не меньше, чем заявленное значение при указанной мощности кондиционера за вычетом 8%.

В иных случаях модель кондиционера следует рассматривать как не соответствующую требованиям технического регламента.

Модель одно- и двуканального кондиционера считается соответствующей настоящим Требованиям, если средние по 3 испытанным образцам значения энергопотребления в режимах ожидания и выключения не превышают предельно допустимые значения более чем на 10% и, если среднее значение номинальной энергетической эффективности в режимах охлажденияи обогрева (при наличии), не меньше, чем заявленные изготовителем значения за вычетом 10%.

В иных случаях модель кондиционера следует рассматривать как не соответствующую требованиям технического регламента.

Модель кондиционера считается соответствующей настоящим Требованиям, если среднее значение максимального уровня звуковой мощности 3 испытанных образцов превышает заявленное изготовителем значение не более чем на 2 дБ(А).

В иных случаях данную модель кондиционера следует рассматривать как не соответствующую требованиям технического регламента.

9. В случае проведения испытаний (измерений) параметров энергетической эффективности вентиляторов после их выпуска в обращение на таможенной территории Союза проводятся испытания (измерения) одного образца (экземпляра) модели вентилятора.

Модель вентилятора считается соответствующей настоящим Требованиям, если полученные в результате измерений значения параметров и характеристик образца вентилятора, указанных в таблице 3 настоящих Требований, не отличаются от заявленных изготовителем номинальных значений более чем на 15%.

В иных случаях проверяются еще 3 образца вентилятора. Модель вентилятора считается соответствующей настоящим Требованиям, если среднее значение результатов измерений этих 3 образцов соответствует требованиям, указанным в предыдущем абзаце втором настоящего пункта.

В иных случаях данную модель вентилятора следует рассматривать как не соответствующую требованиям технического регламента.

V. Содержание этикетки и технического листа кондиционеров

Содержание этикетки энергетической эффективности кондиционеров за исключением одно- и двухканальных кондиционеров

10. Этикетка энергетической эффективности реверсивных кондиционеров должна содержать следующие сведения:

I. наименование или товарный знак (при наличии) изготовителя;

II. обозначение модели;

III. текст "режим охлаждения" и пиктограмма "синий вентилятор" - характеристики для режима охлаждения.

текст "режим обогрева" и пиктограмма "красный вентилятор" - характеристики для режима обогрева;

IV. класс энергетической эффективности для режима охлаждения и обогрева.

Пиктограмма энергетической эффективности располагается на том же уровне, что и стрелка соответствующего класса энергетической эффективности.

Также должна указываться энергетическая эффективность для охлаждения и для нагрева. В отношении нагрева следует обязательно указывать энергетическую эффективность для среднего периода нагрева. Указание энергетической эффективности для более теплых и более холодных периодов является произвольным;

V. номинальная мощность в режиме охлаждения и обогрева (в кВт) (с округлением до одного десятичного знака);

VI. сезонная энергетическая эффективность в режиме охлаждения и обогрева (с округлением до одного десятичного знака);

VII. годовое потребление энергии в режиме охлаждения и обогрева (в кВт·ч/год) (с округлением до целого числа);

VIII. корректированный уровень звуковой мощности для внутреннего и наружного блоков, выраженный в дБ (A) относительно 1 пВт (с округлением до целого числа) (указывается в дБ).

11. Этикетка энергетической эффективности кондиционеров охлаждения воздуха должна содержать следующие сведения:

I. наименование или товарный знак (при наличии) изготовителя;

II. обозначение модели;

III. текст "режим охлаждения" и пиктограмма "синий вентилятор" - характеристики для режима охлаждения и обозначение воздушной волны;

IV. класс энергетической эффективности;

V. номинальная мощность (в кВт) (с округлением до одного десятичного знака десятичного знака);

VI. номинальная энергетическая эффективность (с округлением до одного десятичного знака десятичного знака);

VII. годовое потребление энергии (в кВт·ч/год) для охлаждения, (с округлением до целого числа);

VIII. корректированный уровень звуковой мощности для внутреннего и наружного блоков, выраженный в дБ (A) относительно 1 пВт (с округлением до целого числа) (указывается в дБ).

12. Этикетка энергетической эффективности кондиционеров обогрева воздуха должна содержать следующие сведения:

I. наименование или товарный знак (при наличии) изготовителя;

II. обозначение модели;

III. текст "режим обогрева" и пиктограмма "красный вентилятор" - характеристики для режима обогрева и обозначением воздушной волны;

IV. класс энергетической эффективности;

V. номинальная мощность (в кВт) (с округлением до одного десятичного знака);

VI. сезонная энергетическая эффективность (с округлением до одного десятичного знака);

VII. годовое потребление энергии (в кВт·ч/год) (с округлением до целого числа);

VIII. корректированный уровень звуковой мощности для внутреннего и наружного блоков, выраженный в дБ (A) относительно 1 пВт (с округлением до целого числа) (указывается в дБ).

Содержание этикетки энергетической эффективности одно- и двухканальных кондиционеров

13. Этикетка энергетической эффективности кондиционера должна содержать следующие сведения:

I. наименование или товарный знак (при наличии) изготовителя;

II. обозначение модели;

III. текст "режим охлаждения" и пиктограмма "синий вентилятор" - характеристики для режима охлаждения и обозначением воздушной волны;

текст "режим обогрева" и пиктограмма "красный вентилятор" - характеристики для режима обогрева;

IV. классы энергетической эффективности для режимов охлаждения и обогрева;

V. номинальная мощность в режиме охлаждения и обогрева (в кВт) (с округлением до одного десятичного знака);

VI. номинальная энергетическая эффективность для режима охлаждения и обогрева (с округлением до одного десятичного знака);

VII. почасовое потребление энергии (в кВт·ч/ч) для охлаждения и обогрева (с округлением до одного десятичного знака для одноканальных кондиционеров или с округлением до целого числа для двухканальных кондиционеров);

VIII. корректированный уровень звуковой мощности для внутреннего и наружного блоков, выраженный в дБ (A) относительно 1 пВт (с округлением до целого числа) (указывается в дБ).

14. Этикетка энергетической эффективности кондиционера охлаждения воздуха должна содержать следующие сведения:

I. наименование или товарный знак (при наличии) изготовителя;

II. обозначение модели;

III. текст "режим охлаждения" и пиктограмма "синий вентилятор" - характеристики для режима охлаждения;

IV. класс энергетической эффективности;

V. номинальная мощность (в кВт) (с округлением до одного десятичного знака);

VI. номинальная энергетическая эффективность в режиме охлаждения (с округлением до одного десятичного знака);

VII. почасовое потребление энергии (в кВт·ч/год) для охлаждения (с округлением до одного десятичного знака для одноканальных кондиционеров или с округлением до целого числа для двухканальных кондиционеров);

VIII. корректированный уровень звуковой мощности для внутреннего и наружного блоков, выраженный в дБ (A) относительно 1 пВт (с округлением до целого числа) (указывается в дБ).

15. Этикетка энергетической эффективности кондиционера обогрева воздуха должна содержать следующие сведения:

I. наименование или товарный знак (при наличии) изготовителя;

II. обозначение модели;

III. текст "режим обогрева" и пиктограмма "красный вентилятор" - характеристики для режима обогрева;

IV. класс энергетической эффективности;

V. номинальная мощность (в кВт) (с округлением до одного десятичного знака);

VI. номинальная энергетическая эффективность (с округлением до одного десятичного знака)

VII. почасовое потребление энергии (в кВт·ч/год) (с округлением до целого числа);

VIII. корректированный уровень звуковой мощности для внутреннего и наружного блоков, выраженный в дБ (A) относительно 1 пВт (с округлением до целого числа) (указывается в дБ).

16. Технический лист, включаемый в состав эксплуатационной документации кондиционеров и вентиляторов, должен содержать следующие сведения:

а) наименование или товарный знак (при наличии) изготовителя;

б) идентификационный номер модели изготовителя, где идентификационный номер модели означает код, как правило буквенно-цифровой, который отличает конкретную модель кондиционера от других моделей той же торговой марки или изготовителя с таким же названием;

в) корректированный уровень звуковой мощности для внутреннего и наружного блоков, выраженный в дБ (A) относительно 1 пВт (с округлением до целого числа) (указывается в дБ);

г) наименование и потенциал глобального потепления (ПГП) используемого хладагента, а также следующую формулировку: "Утечка хладагента влияет на изменение климата. Хладагент с низким потенциалом глобального потепления (ПГП) будет влиять на глобальное потепление менее, чем хладагент с более высоким ПГП, если будет иметь место его утечка в атмосферу. Данный прибор содержит хладагент с ПГП, равным [xxx]. Это означает, что 1 кг этого хладагента будет попадать в атмосферу, и его воздействие на глобальное потепление будет в [xxx] раза выше, чем 1 кг CO2 в течение 100 лет. Никогда не пытайтесь изменять схему циркуляции хладагента сами и не разбирайте изделие самостоятельно. Всегда обращайтесь к специалистам-профессионалам";

д) Если эффективность заявлена на основании SEER, в технический лист кондиционеров также должна быть внесена следующая информация о режиме охлаждения:

- SEER и класс энергетической эффективности модели (модель прибора или комбинации приборов) для режима охлаждения, а также ограничениями класса;

- годовое потребление электроэнергии для охлаждения (QCE) (в кВт·ч/год) во время периода охлаждения. Указывается следующим образом: "Энергопотребление "XYZ" кВт·ч в год, на основании результатов стандартных испытаний. Фактическое энергопотребление зависит от того, как прибор используется и где он расположен".

- расчетная нагрузка прибора (), кВт, в режиме охлаждения;

е) Если эффективность заявлена на основании SCOP, в технический лист кондиционеров также должна быть внесена следующая информация о режиме нагрева:

- SCOP и класс энергетической эффективности модели (модель прибора или комбинации приборов) в режиме нагрева, а также с ограничениями класса;

- годовое потребление энергии для среднего периода обогрева (QHE). Указывается следующим образом: "Энергопотребление "XYZ" в год, на основании результатов стандартных испытаний. Фактическое потребление электроэнергии зависит от того, как прибор используется и где он расположен";

- другие обозначенные периоды нагрева, для которых прибор заявлен, как отвечающий предназначенной цели, с опциями более теплого (произвольного) или более холодного (произвольного) периодов;

- расчетная нагрузка прибора () (в кВт) в режиме нагрева;

- заявленная мощность и указание резервной мощности нагрева, принятой для расчета SCOP при стандартных расчетных условиях;

ж) Если эффективность заявлена на основании EER или COP в технический лист кондиционеров воздуха также должна быть внесена следующая информация:

- класс энергетической эффективности модели, а также ограничениями класса;

- для кондиционеров с двумя воздуховодами, индикативное энергопотребление (QDD) (в кВт·ч/ч). Указывается следующим образом: "Энергопотребление "X,Y" кВт·ч/ч, на основании результатов стандартных испытаний. Фактическое потребление электроэнергии зависит от того, как прибор используется и где расположен";

- для кондиционеров с одним воздуховодом, индикативное энергопотребление (QSD) (в кВт·ч/ч). Указывается следующим образом: "Энергопотребление "X, Y" кВт·ч/ч, на основании результатов стандартных испытаний. Фактическое потребление электроэнергии зависит от того, как прибор используется и где он расположен";

- мощность охлаждения прибора (), кВт.

- мощность нагрева (), кВт.

18. В одном техническом листе может отражаться ряд моделей, поставляемых одним и тем же изготовителем.

19. Информация, содержащаяся в техническом листе, может предоставляться в виде цветной или черно-белой копии этикетки. В таком случае также должна быть представлена информация, указанная в пунктах 10 - 15 настоящих Требований и отсутствующая на этикетке.

VI. Определение классов энергетической эффективности кондиционеров

17. Класс энергетической эффективности кондиционеров за исключением одно- и двухканальных кондиционеров определяется в соответствии с таблицей 11.

Таблица 11

Классы энергетической эффективности кондиционеров

Класс энергетической эффективностиЭнергетическая эффективность в режиме охлажденияЭнергетическая эффективность в режиме обогрева
A +++SEER >= 8.50SCOP >= 5.10
A ++6.10 <= SEER < 8.504.60 <= SCOP < 5.10
A +5.60 <= SEER < 6.104.00 <= SCOP < 4.60
A5.10 <= SEER < 5.603.40 <= SCOP < 4.00
B4.60 <= SEER < 5.103.10 <= SCOP < 3.40
C4.10 <= SEER < 4.602.80 <= SCOP < 3.10
D3.60 <= SEER < 4.102.50 <= SCOP < 2.80
E3.10 <= SEER < 3.602.20 <= SCOP < 2.50
F2.60 <= SEER < 3.101.90 <= SCOP < 2.20
GSEER < 2.60SCOP < 1.90

18. Класс энергетической эффективности одноканальных кондиционеров определяется в соответствии с таблицей 12.

Таблица 12

Классы энергетической эффективности одноканальных кондиционеров

Класс энергетической эффективностиНоминальная энергетическая эффективность в режиме охлажденияНоминальная энергетическая эффективность в режиме обогрева
A +++EER >= 4.10COP >= 3.60
A ++3.60 <= EER < 4.103.10 <= COP < 3.60
A +3.10 <= EER < 3.602.60 <= COP < 3.10
A2.60 <= EER < 3.102.30 <= COP < 2.60
B2.40 <= EER < 2.602.00 <= COP < 2.30
C2.10 <= EER < 2.401.80 <= COP < 2.00
D1.80 <= EER < 2.101.60 <= COP < 1.80
E1.60 <= EER < 1.801.40 <= COP < 1.60
F1.40 <= EER < 1.601.20 <= COP < 1.40
GEER < 1.40COP < 1.20

13. Класс энергетической эффективности двухканальных кондиционеров определяется в соответствии с таблицей 13.

Таблица 13

Классы энергетической эффективности двухканальных кондиционеров

Класс энергетической эффективностиНоминальная энергетическая эффективность в режиме охлажденияНоминальная энергетическая эффективность в режиме обогрева
A +++EER >= 4.10COP >= 4.60
A ++3.60 <= EER < 4.104.10 <= COP < 4.60
A +3.10 <= EER < 3.603.60 <= COP < 4.10
A2.60 <= EER < 3.103.10 <= COP < 3.60
B2.40 <= EER < 2.602.60 <= COP < 3.10
C2.10 <= EER < 2.402.40 <= COP < 2.60
D1.80 <= EER < 2.102.00 <= COP < 2.40
E1.60 <= EER < 1.801.80 <= COP < 2.00
F1.40 <= EER < 1.601.60 <= COP < 1.80
GEER < 1.40COP < 1.60