ПРАВИТЕЛЬСТВО РОССИЙСКОЙ ФЕДЕРАЦИИ
ПОСТАНОВЛЕНИЕ
от 31 марта 2026 г. N 351
О ВНЕСЕНИИ ИЗМЕНЕНИЙ В ПОСТАНОВЛЕНИЕ ПРАВИТЕЛЬСТВА РОССИЙСКОЙ ФЕДЕРАЦИИ ОТ 17 ИЮЛЯ 2015 Г. N 719
Правительство Российской Федерации постановляет:
1. Утвердить прилагаемые изменения, которые вносятся в приложение к постановлению Правительства Российской Федерации от 17 июля 2015 г. N 719 "О подтверждении производства российской промышленной продукции" (Собрание законодательства Российской Федерации, 2015, N 30, ст. 4597; 2016, N 33, ст. 5180, 5189; N 49, ст. 6900; 2017, N 21, ст. 3003; N 27, ст. 4038; N 40, ст. 5843; 2018, N 1, ст. 358; N 33, ст. 5428; N 36, ст. 5646; 2019, N 15, ст. 1741; N 16, ст. 1933; N 52, ст. 7983; 2020, N 8, ст. 1039; 2021, N 1, ст. 107; N 3, ст. 589; N 8, ст. 1340; N 21, ст. 3604; 2022, N 38, ст. 6460; 2023, N 1, ст. 319; N 33, ст. 6494; 2024, N 13, ст. 1790; N 18, ст. 2447; N 20, ст. 2625; N 28, ст. 4023; 2025, N 13, ст. 1490; N 25, ст. 3415; N 28, ст. 3986; N 50, ст. 7857; 2026, N 5, ст. 474).
2. Установить, что реестровые записи реестра российской промышленной продукции, размещаемого в государственной информационной системе промышленности в соответствии со статьей 17.1 Федерального закона "О промышленной политике в Российской Федерации", сформированные Министерством промышленности и торговли Российской Федерации, в отношении интегральных схем первого уровня и интегральных схем второго уровня и продукции, включенной в раздел XVIII приложения к постановлению Правительства Российской Федерации от 17 июля 2015 г. N 719 "О подтверждении производства российской промышленной продукции" до дня вступления в силу соответствующих пунктов изменений, утвержденных настоящим постановлением, действительны до окончания установленного срока их действия.
3. Пункты 1 и 7 изменений, утвержденных настоящим постановлением, вступают в силу с 1 июля 2026 г.
4. Пункты 2, 4 и 8 изменений, утвержденных настоящим постановлением, вступают в силу с 1 января 2027 г.
ИЗМЕНЕНИЯ, КОТОРЫЕ ВНОСЯТСЯ В ПРИЛОЖЕНИЕ К ПОСТАНОВЛЕНИЮ ПРАВИТЕЛЬСТВА РОССИЙСКОЙ ФЕДЕРАЦИИ ОТ 17 ИЮЛЯ 2015 Г. N 719
Пункт 1 действует с 01.07.2026 (пункт 3).
1. В разделе VII:
а) позиции, классифицируемые кодами по ОК 034-2014 (КПЕС 2008) из 20.59.52.120 и из 32.50.23.000, исключить;
б) дополнить позициями следующего содержания:
| "из 32.50.23.161 | Узел кисти (в том числе пальцы) пассивный | наличие у субъекта деятельности в сфере промышленности - налогового резидента государств - членов Евразийского экономического союза действующих прав на техническую документацию для производства соответствующей продукции, общий срок действия которых составляет не менее 5 лет; оформление конструкторской документации на продукцию в соответствии с требованиями Единой системы конструкторской документации или в соответствии с иными документами, относящимися к документам национальной системы стандартизации, оформление технологической документации в соответствии с требованиями Единой системы технологической документации или в соответствии с иными документами, относящимися к документам национальной системы стандартизации, за исключением случаев производства по лицензионному соглашению локализованной продукции, когда оформление конструкторской и технологической документации может не регламентироваться указанными требованиями; использование комплектующих, сырья и материалов, произведенных на территориях государств - членов Евразийского экономического союза: стали или сплавы (при использовании) (20 баллов); полимеры (при использовании) (20 баллов); синтетические каучуки (при использовании) (20 баллов); |
| выполнение следующих операций на территориях государств - членов Евразийского экономического союза: изготовление несущих конструкций - полная механическая обработка (для стали или сплавов), и (или) формование, и (или) литье (для полимеров), и (или) вулканизация (для синтетических каучуков), и (или) изготовление методами современных аддитивных технологий (для изделий из металлических порошков или полимерных материалов) (45 баллов); изготовление функциональных и (или) корпусных элементов и (или) оболочек - полная механическая обработка (для стали или сплавов), и (или) формование, и (или) литье (для полимеров), и (или) вулканизация (для синтетических каучуков), и (или) изготовление методами современных аддитивных технологий (для изделий из металлических порошков и полимеров) (45 баллов); сборка узла (10 баллов) | ||
| из 32.50.23.162 | Узел кисти (в том числе пальцы) активный | наличие у субъекта деятельности в сфере промышленности - налогового резидента государств - членов Евразийского экономического союза действующих прав на техническую документацию для производства соответствующей продукции, общий срок действия которых составляет не менее 5 лет; оформление конструкторской документации на продукцию в соответствии с требованиями Единой системы конструкторской документации или в соответствии с иными документами, относящимися к документам национальной системы стандартизации, оформление технологической документации в соответствии с требованиями Единой системы технологической документации или в соответствии с иными документами, относящимися к документам национальной системы стандартизации, за исключением случаев производства по лицензионному соглашению локализованной продукции, когда оформление конструкторской и технологической документации может не регламентироваться указанными требованиями; использование комплектующих, сырья и материалов, произведенных на территориях государств - членов Евразийского экономического союза: стали или сплавы (20 баллов); полимеры (при использовании) (20 баллов); синтетические каучуки (при использовании) (20 баллов); |
| выполнение следующих операций на территориях государств - членов Евразийского экономического союза: изготовление несущих конструкций - полная механическая обработка (для стали или сплавов), и (или) формование, и (или) литье (для полимеров), и (или) вулканизация (для синтетических каучуков), и (или) изготовление методами современных аддитивных технологий (для изделий из металлических порошков и полимеров) (45 баллов); изготовление функциональных и (или) корпусных элементов и (или) оболочек - полная механическая обработка (для стали или сплавов), и (или) формование, и (или) литье (для полимеров), и (или) вулканизация (для синтетических каучуков), и (или) изготовление методами современных аддитивных технологий (для изделий из металлических порошков и полимеров) (45 баллов); сборка узла (10 баллов) | ||
| из 32.50.23.163 | Узел кисти (в том числе пальцы) с микропроцессорным управлением | наличие у субъекта деятельности в сфере промышленности - налогового резидента государств - членов Евразийского экономического союза действующих прав: на техническую документацию для производства соответствующей продукции, общий срок действия которых составляет не менее 5 лет, при условии оформления конструкторской документации на продукцию в соответствии с требованиями Единой системы конструкторской документации или в соответствии с иными документами, относящимися к документам национальной системы стандартизации, оформления технологической документации в соответствии с требованиями Единой системы технологической документации или в соответствии с иными документами, относящимися к документам национальной системы стандартизации, за исключением случаев производства по лицензионному соглашению локализованной продукции, когда оформление конструкторской и технологической документации может не регламентироваться указанными требованиями; на использование, модификацию, модернизацию, изменение встроенного микропрограммного обеспечения для схемотехнического решения электронных модулей изделия, поставляемого в составе продукции и необходимого для полноценного функционирования продукции; наличие комплекта документации, включающего: комплект текстов программ (исходных кодов) и двоичных файлов-микрокодов; руководство по компиляции и сборке встроенного микропрограммного обеспечения и инсталляции его двоичного образа в составе продукции; |
| использование комплектующих, сырья и материалов, произведенных на территориях государств - членов Евразийского экономического союза: стали или сплавы (20 баллов); печатные платы (10 баллов); электроприводы (20 баллов); полимеры (при использовании) (20 баллов); синтетические каучуки (при использовании) (20 баллов); микроконтроллеры (30 баллов); выполнение следующих операций на территориях государств - членов Евразийского экономического союза: изготовление несущих конструкций - полная механическая обработка (для стали или сплавов), и (или) формование, и (или) литье (для полимеров), и (или) вулканизация (для синтетических каучуков), и (или) изготовление методами современных аддитивных технологий (для изделий из металлических порошков и полимеров) (10 баллов); изготовление элементов запястья - полная механическая обработка (для стали или сплавов), или формование, или литье (для полимеров), и (или) вулканизация (для синтетических каучуков), или изготовление методами современных аддитивных технологий (для изделий из металлических порошков и полимеров) (10 баллов); изготовление функциональных и (или) корпусных элементов и (или) оболочек - полная механическая обработка (для стали или сплавов), или формование, или литье (для полимеров), и (или) вулканизация (для синтетических каучуков), или изготовление методами современных аддитивных технологий (для изделий из металлических порошков и полимеров) (15 баллов); изготовление электронных модулей: монтаж электронной компонентной базы на печатные платы (10 баллов); установка встроенного программного обеспечения электронных модулей (10 баллов); сборка узла (5 баллов) | ||
| 32.50.23.171 | Локтевой узел пассивный | наличие у субъекта деятельности в сфере промышленности - налогового резидента государств - членов Евразийского экономического союза действующих прав на техническую документацию для производства соответствующей продукции, общий срок действия которых составляет не менее 5 лет; оформление конструкторской документации на продукцию в соответствии с требованиями Единой системы конструкторской документации или в соответствии с иными документами, относящимися к документам национальной системы стандартизации, оформление технологической документации в соответствии с требованиями Единой системы технологической документации или в соответствии с иными документами, относящимися к документам национальной системы стандартизации, за исключением случаев производства по лицензионному соглашению локализованной продукции, когда оформление конструкторской и технологической документации может не регламентироваться указанными требованиями; использование комплектующих, сырья и материалов, произведенных на территориях государств - членов Евразийского экономического союза: стали или сплавы (20 баллов); полимеры (при использовании) (20 баллов); синтетические каучуки (при использовании) (20 баллов); |
| композиты - стеклоткани или углеткани (при использовании) (20 баллов); выполнение следующих операций на территориях государств - членов Евразийского экономического союза: изготовление несущих конструкций - полная механическая обработка (для стали или сплавов), и (или) формование, и (или) литье (для полимеров), и (или) автоклавное формование, и (или) прессование (для композитов), и (или) вулканизация (для синтетических каучуков), и (или) изготовление методами современных аддитивных технологий (для изделий из металлических порошков и полимеров) (45 баллов); изготовление функциональных и (или) корпусных элементов и (или) оболочек - полная механическая обработка (для стали и сплавов), или формование, или литье (для полимеров), и (или) вулканизация (для синтетических каучуков), или изготовление методами современных аддитивных технологий (для изделий из металлических порошков и полимеров) (45 баллов); сборка узла (10 баллов) | ||
| 32.50.23.131 | Стопа полиуретановая | наличие у субъекта деятельности в сфере промышленности - налогового резидента государств - членов Евразийского экономического союза действующих прав на техническую документацию для производства соответствующей продукции, общий срок действия которых составляет не менее 5 лет; оформление конструкторской документации на продукцию в соответствии с требованиями Единой системы конструкторской документации или в соответствии с иными документами, относящимися к документам национальной системы стандартизации, оформление технологической документации в соответствии с требованиями Единой системы технологической документации или в соответствии с иными документами, относящимися к документам национальной системы стандартизации, за исключением случаев производства по лицензионному соглашению локализованной продукции, когда оформление конструкторской и технологической документации может не регламентироваться указанными требованиями; использование комплектующих, сырья и материалов, произведенных на территориях государств - членов Евразийского экономического союза: стали или сплавы (20 баллов); полимеры (20 баллов); выполнение следующих операций на территориях государств - членов Евразийского экономического союза: изготовление всех корпусных деталей щиколотки (корпус, опора) - полная механическая обработка (45 баллов); изготовление формообразующего полиуретанового модуля - формование и (или) литье (45 баллов); сборка изделия (10 баллов) |
| 32.50.23.132 | Стопа из композитных материалов | наличие у субъекта деятельности в сфере промышленности - налогового резидента государств - членов Евразийского экономического союза действующих прав на техническую документацию для производства соответствующей продукции, общий срок действия которых составляет не менее 5 лет; оформление конструкторской документации на продукцию в соответствии с требованиями Единой системы конструкторской документации или в соответствии с иными документами, относящимися к документам национальной системы стандартизации, оформление технологической документации в соответствии с требованиями Единой системы технологической документации или в соответствии с иными документами, относящимися к документам национальной системы стандартизации, за исключением случаев производства по лицензионному соглашению локализованной продукции, когда оформление конструкторской и технологической документации может не регламентироваться указанными требованиями; использование комплектующих, сырья и материалов, произведенных на территориях государств - членов Евразийского экономического союза: стали или сплавы (20 баллов); полимеры (при использовании) (20 баллов); композиты (стеклоткани или углеткани) (20 баллов); выполнение следующих операций на территориях государств - членов Евразийского экономического союза: изготовление всех корпусных деталей щиколотки (корпус, опора) - полная механическая обработка (15 баллов); изготовление формообразующей полимерной оболочки - формование и (или) литье (при использовании) (25 баллов); изготовление всех деталей из композитов - автоклавное формование или прессование (50 баллов); сборка изделия (10 баллов) |
| из 32.50.23.139 | Стопа с пневмогидравлическим или гидравлическим управлением | наличие у субъекта деятельности в сфере промышленности - налогового резидента государств - членов Евразийского экономического союза действующих прав на техническую документацию для производства соответствующей продукции, общий срок действия которых составляет не менее 5 лет; оформление конструкторской документации на продукцию в соответствии с требованиями Единой системы конструкторской документации или в соответствии с иными документами, относящимися к документам национальной системы стандартизации, оформление технологической документации в соответствии с требованиями Единой системы технологической документации или в соответствии с иными документами, относящимися к документам национальной системы стандартизации, за исключением случаев производства по лицензионному соглашению локализованной продукции, когда оформление конструкторской и технологической документации может не регламентироваться указанными требованиями; использование комплектующих, сырья и материалов, произведенных на территориях государств - членов Евразийского экономического союза: стали или сплавы (20 баллов); полимеры (20 баллов); композиты (углеволокно) (20 баллов); выполнение следующих операций на территориях государств - членов Евразийского экономического союза: изготовление корпусных деталей (корпус (щиколотка), опора, каркас (рама) - полная механическая обработка (50 баллов); изготовление всех деталей пневмогидравлического цилиндра и (или) гидравлического цилиндра или системы - полная механическая обработка деталей из стали или сплавов (30 баллов); изготовление всех деталей из композитов - автоклавное формование и (или) прессование (75 баллов); сборка пневмогидравлического и (или) гидравлического цилиндра и (или) системы (10 баллов); изготовление формообразующей полимерной оболочки - формование и (или) литье (25 баллов) (при использовании); сборка изделия (10 баллов) |
| 32.50.23.141 | Коленный модуль с механическим управлением | наличие у субъекта деятельности в сфере промышленности - налогового резидента государств - членов Евразийского экономического союза действующих прав на техническую документацию для производства соответствующей продукции, общий срок действия которых составляет не менее 5 лет; оформление конструкторской документации на продукцию в соответствии с требованиями Единой системы конструкторской документации или в соответствии с иными документами, относящимися к документам национальной системы стандартизации, оформление технологической документации в соответствии с требованиями Единой системы технологической документации или в соответствии с иными документами, относящимися к документам национальной системы стандартизации, за исключением случаев производства по лицензионному соглашению локализованной продукции, когда оформление конструкторской и технологической документации может не регламентироваться указанными требованиями; использование комплектующих, сырья и материалов, произведенных на территориях государств - членов Евразийского экономического союза, - стали или сплавы (20 баллов); выполнение следующих операций на территориях государств - членов Евразийского экономического союза: изготовление всех некорпусных деталей - полная механическая обработка (10 баллов); изготовление всех корпусных деталей (корпус, опора, каркас (рама) - полная механическая обработка (70 баллов); сборка изделия (20 баллов) |
| 32.50.23.142 | Коленный модуль с пневматическим управлением | наличие у субъекта деятельности в сфере промышленности - налогового резидента государств - членов Евразийского экономического союза действующих прав на техническую документацию для производства соответствующей продукции, общий срок действия которых составляет не менее 5 лет; оформление конструкторской документации на продукцию в соответствии с требованиями Единой системы конструкторской документации или в соответствии с иными документами, относящимися к документам национальной системы стандартизации, оформление технологической документации в соответствии с требованиями Единой системы технологической документации или в соответствии с иными документами, относящимися к документам национальной системы стандартизации, за исключением случаев производства по лицензионному соглашению локализованной продукции, когда оформление конструкторской и технологической документации может не регламентироваться указанными требованиями; использование комплектующих, сырья и материалов, произведенных на территориях государств - членов Евразийского экономического союза, - стали и сплавы (20 баллов); выполнение следующих операций на территориях государств - членов Евразийского экономического союза: изготовление всех корпусных деталей (корпус, опора, каркас (рама) - полная механическая обработка (35 баллов); изготовление пневмоцилиндра или пневматической системы - полная механическая обработка всех деталей (40 баллов); сборка пневмоцилиндра и (или) пневматической системы (15 баллов); сборка изделия (10 баллов) |
| 32.50.23.143 | Коленный модуль с гидравлическим управлением | наличие у субъекта деятельности в сфере промышленности - налогового резидента государств - членов Евразийского экономического союза действующих прав на техническую документацию для производства соответствующей продукции, общий срок действия которых составляет не менее 5 лет; оформление конструкторской документации на продукцию в соответствии с требованиями Единой системы конструкторской документации или в соответствии с иными документами, относящимися к документам национальной системы стандартизации, оформление технологической документации в соответствии с требованиями Единой системы технологической документации или в соответствии с иными документами, относящимися к документам национальной системы стандартизации, за исключением случаев производства по лицензионному соглашению локализованной продукции, когда оформление конструкторской и технологической документации может не регламентироваться указанными требованиями; использование комплектующих, сырья и материалов, произведенных на территориях государств - членов Евразийского экономического союза, - стали или сплавы (20 баллов); выполнение следующих операций на территориях государств - членов Евразийского экономического союза: изготовление всех корпусных деталей (корпус, опора, каркас (рама) - полная механическая обработка (15 баллов); изготовление гидроцилиндра или гидравлической системы - полная механическая обработка всех деталей (40 баллов); сборка гидроцилиндра или гидравлической системы (30 баллов); сборка изделия (15 баллов) |
| 32.50.23.144 | Коленный модуль с микропроцессорным управлением | наличие у субъекта деятельности в сфере промышленности - налогового резидента государств - членов Евразийского экономического союза действующих прав: на техническую документацию для производства соответствующей продукции, общий срок действия которых составляет не менее 5 лет, при условии оформления конструкторской документации на продукцию в соответствии с требованиями Единой системы конструкторской документации или в соответствии с иными документами, относящимися к документам национальной системы стандартизации, оформления технологической документации в соответствии с требованиями Единой системы технологической документации или в соответствии с иными документами, относящимися к документам национальной системы стандартизации, за исключением случаев производства по лицензионному соглашению локализованной продукции, когда оформление конструкторской и технологической документации может не регламентироваться указанными требованиями; на использование, модификацию, модернизацию, изменение встроенного микропрограммного обеспечения для схемотехнического решения электронных модулей изделия, поставляемого в составе продукции и необходимого для полноценного функционирования продукции; |
| наличие комплекта документации, включающего: комплект текстов программ (исходных кодов) и двоичных файлов-микрокодов; руководство по компиляции и сборке встроенного микропрограммного обеспечения и инсталляции его двоичного образа в составе продукции; использование комплектующих, сырья и материалов, произведенных на территориях государств - членов Евразийского экономического союза: стали, или сплавы, или металлические порошки (20 баллов); полимеры (20 баллов); печатные платы (10 баллов); композиты (углеткани) (при использовании) (20 баллов); элементы питания (10 баллов); микроконтроллеры (30 баллов); выполнение следующих операций на территориях государств - членов Евразийского экономического союза: изготовление всех корпусных деталей (корпус, опора, каркас (рама) - полная механическая обработка (для стали или сплавов), и (или) формование, и (или) литье (для полимеров и композитов), и (или) изготовление методами современных аддитивных технологий (для изделий из металлических порошков и (или) полимеров) (20 баллов); изготовление демпферных устройств (40 баллов); изготовление электронных модулей - монтаж электронной компонентной базы на печатные платы (10 баллов); установка встроенного программного обеспечения электронных модулей (10 баллов); сборка изделия (10 баллов) | ||
| из 32.50.23.149 | Коленный модуль с пневмогидравлическим управлением | наличие у субъекта деятельности в сфере промышленности - налогового резидента государств - членов Евразийского экономического союза действующих прав на техническую документацию для производства соответствующей продукции, общий срок действия которых составляет не менее 5 лет; оформление конструкторской документации на продукцию в соответствии с требованиями Единой системы конструкторской документации или в соответствии с иными документами, относящимися к документам национальной системы стандартизации, оформление технологической документации в соответствии с требованиями Единой системы технологической документации или в соответствии с иными документами, относящимися к документам национальной системы стандартизации, за исключением случаев производства по лицензионному соглашению локализованной продукции, когда оформление конструкторской и технологической документации может не регламентироваться указанными требованиями; использование комплектующих, сырья и материалов, произведенных на территориях государств - членов Евразийского экономического союза, - стали или сплавы (20 баллов); выполнение следующих операций на территориях государств - членов Евразийского экономического союза: изготовление всех корпусных деталей (корпус, опора, каркас (рама) - полная механическая обработка (для стали или сплавов) (35 баллов); изготовление пневмогидравлического цилиндра и (или) пневмогидравлической системы - полная механическая обработка всех деталей (30 баллов); сборка пневмогидравлического цилиндра и (или) пневмогидравлической системы (10 баллов); сборка изделия (15 баллов) |
| 32.50.23.151 | Тазобедренный модуль с механическим управлением | наличие у субъекта деятельности в сфере промышленности - налогового резидента государств - членов Евразийского экономического союза действующих прав на техническую документацию для производства соответствующей продукции, общий срок действия которых составляет не менее 5 лет; оформление конструкторской документации на продукцию в соответствии с требованиями Единой системы конструкторской документации или в соответствии с иными документами, относящимися к документам национальной системы стандартизации, оформление технологической документации в соответствии с требованиями Единой системы технологической документации или в соответствии с иными документами, относящимися к документам национальной системы стандартизации, за исключением случаев производства по лицензионному соглашению локализованной продукции, когда оформление конструкторской и технологической документации может не регламентироваться указанными требованиями; использование комплектующих, сырья и материалов, произведенных на территориях государств - членов Евразийского экономического союза: стали или сплавы (20 баллов); полимеры (при использовании) (20 баллов); выполнение следующих операций на территориях государств - членов Евразийского экономического союза: изготовление всех некорпусных деталей - полная механическая обработка (для стали или сплавов), и (или) формование, и (или) литье (для полимеров) (10 баллов); изготовление всех корпусных деталей (корпус, опора, каркас (рама) - полная механическая обработка (70 баллов); сборка изделия (20 баллов) |
| из 21.20.23.110 | Тест-полоски для определения содержания глюкозы в крови, соответствующие коду 248900 вида медицинского изделия в соответствии с номенклатурной классификацией медицинских изделий по видам, утвержденной Министерством здравоохранения Российской Федерации | наличие у субъекта деятельности в сфере промышленности - налогового резидента государств - членов Евразийского экономического союза действующих прав на техническую документацию для производства соответствующей продукции, общий срок действия которых составляет не менее 5 лет; оформление конструкторской документации на продукцию в соответствии с требованиями Единой системы конструкторской документации или в соответствии с иными документами, относящимися к документам национальной системы стандартизации, оформление технологической документации в соответствии с требованиями Единой системы технологической документации или в соответствии с иными документами, относящимися к документам национальной системы стандартизации, за исключением случаев производства по лицензионному соглашению локализованной продукции, когда оформление конструкторской и технологической документации может не регламентироваться указанными требованиями; наличие документа, подтверждающего соответствие собственного производства требованиям ГОСТ ISO 13485-2017 или соответствующего международного стандарта ISO 13485; наличие у производителя действующего регистрационного удостоверения на соответствующие медицинские изделия или записи в государственном реестре медицинских изделий и организаций (индивидуальных предпринимателей), осуществляющих производство и изготовление медицинских изделий, подтверждающей факт государственной регистрации соответствующего медицинского изделия, с указанием адреса места производства на территории Российской Федерации; |
| использование комплектующих, сырья и материалов, произведенных на территориях государств - членов Евразийского экономического союза: основа тест-полоски (пленки полимерные, полимерные подложки) (40 баллов); электродная паста (20 баллов); реагенты (ферментный состав, химические реактивы) (20 баллов); выполнение следующих технологических операций на территориях государств - членов Евразийского экономического союза: резка рулона основы на листы (30 баллов); нанесение электродной пасты (20 баллов); формирование зоны реакции (10 баллов); нанесение реагентов (20 баллов); склейка или сварка листов или ламинирование (20 баллов); нарезка или вырубка тест-полосок (15 баллов); проверка туб (тубусов) или индивидуальных упаковок с тест-полосками на герметичность и (или) вторичная упаковка туб (тубусов) или индивидуальных упаковок с тест-полосками (10 баллов); стабилизация полуфабриката в лентах или листах (10 баллов); производство туб (тубусов и (или) крышек) или индивидуальных упаковок для тест-полосок (10 баллов) | ||
| из 32.50.22.121 из 32.50.22.129 из 32.50.22.190 из 32.50.50 | Экзопротез молочной железы | наличие у субъекта деятельности в сфере промышленности - налогового резидента государств - членов Евразийского экономического союза действующих прав на техническую документацию для производства соответствующей продукции, общий срок действия которых составляет не менее 5 лет; оформление конструкторской документации на продукцию в соответствии с требованиями Единой системы конструкторской документации или в соответствии с иными документами, относящимися к документам национальной системы стандартизации, оформление технологической документации в соответствии с требованиями Единой системы технологической документации или в соответствии с иными документами, относящимися к документам национальной системы стандартизации, за исключением случаев производства по лицензионному соглашению локализованной продукции, когда оформление конструкторской и технологической документации может не регламентироваться указанными требованиями; наличие у производителя действующего регистрационного удостоверения на соответствующие медицинские изделия или записи в государственном реестре медицинских изделий и организаций (индивидуальных предпринимателей), осуществляющих производство и изготовление медицинских изделий, подтверждающей факт государственной регистрации соответствующего медицинского изделия, с указанием адреса места производства на территории Российской Федерации; использование комплектующих, сырья и материалов, произведенных на территориях государств - членов Евразийского экономического союза: синтетический каучук (20 баллов); полимерная пленка (20 баллов); выполнение следующих операций на территориях государств - членов Евразийского экономического союза: подготовка пленки (раскрой или разделение) и нанесение печати (10 баллов); формование изделия из синтетического каучука (80 баллов) |
| из 32.50.13.190 из 32.50.50.141 | Калоприемники однокомпонентные | наличие у субъекта деятельности в сфере промышленности - налогового резидента государств - членов Евразийского экономического союза действующих прав на техническую документацию для производства соответствующей продукции, общий срок действия которых составляет не менее 5 лет; оформление конструкторской документации на продукцию в соответствии с требованиями Единой системы конструкторской документации или в соответствии с иными документами, относящимися к документам национальной системы стандартизации, оформление технологической документации в соответствии с требованиями Единой системы технологической документации или в соответствии с иными документами, относящимися к документам национальной системы стандартизации, за исключением случаев производства по лицензионному соглашению локализованной продукции, когда оформление конструкторской и технологической документации может не регламентироваться указанными требованиями; наличие у производителя действующего регистрационного удостоверения на соответствующие медицинские изделия или записи в государственном реестре медицинских изделий и организаций (индивидуальных предпринимателей), осуществляющих производство и изготовление медицинских изделий, подтверждающей факт государственной регистрации соответствующего медицинского изделия, с указанием адреса места производства на территории Российской Федерации; |
| использование комплектующих, сырья и материалов, произведенных на территориях государств - членов Евразийского экономического союза: полимерная многослойная барьерная пленка (20 баллов); материал несущего слоя, наносимого на гидроколлоид (20 баллов); материал защитного слоя, наносимого на гидроколлоид (20 баллов); материал покрытия стомного мешка (20 баллов); выполнение следующих технологических операций на территориях государств - членов Евразийского экономического союза: производство гидроколлоида для адгезивных пластин (смешение, экструзия) (50 баллов); производство гидроколлоидных адгезивных пластин - нанесение несущего и защитного слоев на гидроколлоид, нарезка или вырубка (20 баллов); нанесение печати на гидроколлоидные адгезивные пластины (10 баллов); производство стомного мешка (40 баллов); сборка готового изделия - установка на стомный мешок функциональных элементов, включая адгезивные пластины (20 баллов) | ||
| из 32.50.13.190 из 32.50.50.141 из 32.50.50.149 | Калоприемники двухкомпонентные | наличие у субъекта деятельности в сфере промышленности - налогового резидента государств - членов Евразийского экономического союза действующих прав на техническую документацию для производства соответствующей продукции, общий срок действия которых составляет не менее 5 лет; оформление конструкторской документации на продукцию в соответствии с требованиями Единой системы конструкторской документации или в соответствии с иными документами, относящимися к документам национальной системы стандартизации, оформление технологической документации в соответствии с требованиями Единой системы технологической документации или в соответствии с иными документами, относящимися к документам национальной системы стандартизации, за исключением случаев производства по лицензионному соглашению локализованной продукции, когда оформление конструкторской и технологической документации может не регламентироваться указанными требованиями; наличие у производителя действующего регистрационного удостоверения на соответствующие медицинские изделия или записи в государственном реестре медицинских изделий и организаций (индивидуальных предпринимателей), осуществляющих производство и изготовление медицинских изделий, подтверждающей факт государственной регистрации соответствующего медицинского изделия, с указанием адреса места производства на территории Российской Федерации; |
| использование комплектующих, сырья и материалов, произведенных на территориях государств - членов Евразийского экономического союза: полимерная многослойная барьерная пленка (20 баллов); материал несущего слоя, наносимого на гидроколлоид (20 баллов); материал защитного слоя, наносимого на гидроколлоид (20 баллов); материал покрытия стомного мешка (20 баллов); выполнение следующих технологических операций на территориях государств - членов Евразийского экономического союза: производство гидроколлоида для адгезивных пластин (смешение, экструзия) (50 баллов); производство гидроколлоидных адгезивных пластин (нанесение несущего и защитного слоев на гидроколлоид, нарезка или вырубка) (20 баллов); нанесение печати на гидроколлоидные адгезивные пластины (10 баллов); производство стомного мешка (40 баллов); производство фланца калоприемников двухкомпонентных (20 баллов); соединение (сварка, или склейка, или спайка) фланца и гидроколлоидной адгезивной пластины двухкомпонентного калоприемника (15 баллов); соединение (сварка, или склейка, или спайка) фланца и стомного мешка двухкомпонентного калоприемника (15 баллов) | ||
| из 32.50.13.190 из 32.50.50 из 32.50.50.141 | Мочеприемники | наличие у субъекта деятельности в сфере промышленности - налогового резидента государств - членов Евразийского экономического союза действующих прав на техническую документацию для производства соответствующей продукции, общий срок действия которых составляет не менее 5 лет; оформление конструкторской документации на продукцию в соответствии с требованиями Единой системы конструкторской документации или в соответствии с иными документами, относящимися к документам национальной системы стандартизации, оформление технологической документации в соответствии с требованиями Единой системы технологической документации или в соответствии с иными документами, относящимися к документам национальной системы стандартизации, за исключением случаев производства по лицензионному соглашению локализованной продукции, когда оформление конструкторской и технологической документации может не регламентироваться указанными требованиями; наличие у производителя действующего регистрационного удостоверения на соответствующие медицинские изделия или записи в государственном реестре медицинских изделий и организаций (индивидуальных предпринимателей), осуществляющих производство и изготовление медицинских изделий, подтверждающей факт государственной регистрации соответствующего медицинского изделия, с указанием адреса места производства на территории Российской Федерации; |
| использование комплектующих, сырья и материалов, произведенных на территориях государств - членов Евразийского экономического союза: полимерные пленки (20 баллов); полимерные трубки (20 баллов); выполнение следующих технологических операций на территориях государств - членов Евразийского экономического союза: нанесение печати на пленку для производства мочеприемников (20 баллов); производство мочеприемного мешка (спайка или сварка) (50 баллов); изготовление комплектующих элементов (переходники, и (или) краны, и (или) клапаны, и (или) защелки, и (или) кольца) (25 баллов); сборка готового изделия (20 баллов) | ||
| из 32.50.13.190 из 32.50.50.141 | Уроприемники однокомпонентные | наличие у субъекта деятельности в сфере промышленности - налогового резидента государств - членов Евразийского экономического союза действующих прав на техническую документацию для производства соответствующей продукции, общий срок действия которых составляет не менее 5 лет; оформление конструкторской документации на продукцию в соответствии с требованиями Единой системы конструкторской документации или в соответствии с иными документами, относящимися к документам национальной системы стандартизации, оформление технологической документации в соответствии с требованиями Единой системы технологической документации или в соответствии с иными документами, относящимися к документам национальной системы стандартизации, за исключением случаев производства по лицензионному соглашению локализованной продукции, когда оформление конструкторской и технологической документации может не регламентироваться указанными требованиями; наличие у производителя действующего регистрационного удостоверения на соответствующие медицинские изделия или записи в государственном реестре медицинских изделий и организаций (индивидуальных предпринимателей), осуществляющих производство и изготовление медицинских изделий, подтверждающей факт государственной регистрации соответствующего медицинского изделия, с указанием адреса места производства на территории Российской Федерации; |
| использование комплектующих, сырья и материалов, произведенных на территориях государств - членов Евразийского экономического союза: полимерная многослойная барьерная пленка (20 баллов); материал несущего слоя, наносимого на гидроколлоид (20 баллов); материал защитного слоя, наносимого на гидроколлоид (20 баллов); материал покрытия уростомного мешка (20 баллов); выполнение следующих технологических операций на территориях государств - членов Евразийского экономического союза: производство гидроколлоида для адгезивных пластин (смешение, экструзия) (50 баллов); производство гидроколлоидных адгезивных пластин - нанесение несущего и защитного слоев на гидроколлоид, нарезка или вырубка (20 баллов); нанесение печати на гидроколлоидные адгезивные пластины (10 баллов); производство уростомного мешка (40 баллов); изготовление сливных устройств (краны или клапаны) (20 баллов); сборка готового изделия - установка на уростомный мешок функциональных элементов, включая адгезивные пластины и сливное устройство (кран или клапан) (20 баллов) | ||
| из 32.50.13.190 из 32.50.50.141 из 32.50.50.149 | Уроприемники двухкомпонентные | наличие у субъекта деятельности в сфере промышленности - налогового резидента государств - членов Евразийского экономического союза действующих прав на техническую документацию для производства соответствующей продукции, общий срок действия которых составляет не менее 5 лет; оформление конструкторской документации на продукцию в соответствии с требованиями Единой системы конструкторской документации или в соответствии с иными документами, относящимися к документам национальной системы стандартизации, оформление технологической документации в соответствии с требованиями Единой системы технологической документации или в соответствии с иными документами, относящимися к документам национальной системы стандартизации, за исключением случаев производства по лицензионному соглашению локализованной продукции, когда оформление конструкторской и технологической документации может не регламентироваться указанными требованиями; наличие у производителя действующего регистрационного удостоверения на соответствующие медицинские изделия или записи в государственном реестре медицинских изделий и организаций (индивидуальных предпринимателей), осуществляющих производство и изготовление медицинских изделий, подтверждающей факт государственной регистрации соответствующего медицинского изделия, с указанием адреса места производства на территории Российской Федерации; |
| использование комплектующих, сырья и материалов, произведенных на территориях государств - членов Евразийского экономического союза: полимерная многослойная барьерная пленка (20 баллов); материал несущего слоя, наносимого на гидроколлоид (20 баллов); материал защитного слоя, наносимого на гидроколлоид (20 баллов); материал покрытия уростомного мешка (20 баллов); выполнение следующих технологических операций на территориях государств - членов Евразийского экономического союза: производство гидроколлоида для адгезивных пластин (смешение, экструзия) (50 баллов); производство гидроколлоидных адгезивных пластин - нанесение несущего и защитного слоев на гидроколлоид, нарезка или вырубка (20 баллов); нанесение печати на гидроколлоидные адгезивные пластины (10 баллов); производство уростомного мешка (40 баллов); производство фланца уроприемников двухкомпонентных (20 баллов); соединение (сварка, или склейка, или спайка) фланца и гидроколлоидной адгезивной пластины двухкомпонентного уроприемника (15 баллов); соединение (сварка, или склейка, или спайка) фланца и уростомного мешка двухкомпонентного уроприемника (15 баллов); изготовление сливных устройств (краны или клапаны) (20 баллов); установка сливного устройства (кран или клапан) (20 баллов) | ||
| из 20.59.52.120 | Воск зуботехнический | наличие у субъекта деятельности в сфере промышленности - налогового резидента государств - членов Евразийского экономического союза действующих прав на техническую документацию для производства соответствующей продукции, общий срок действия которых составляет не менее 5 лет; оформление конструкторской документации на продукцию в соответствии с требованиями Единой системы конструкторской документации или в соответствии с иными документами, относящимися к документам национальной системы стандартизации, оформление технологической документации в соответствии с требованиями Единой системы технологической документации или в соответствии с иными документами, относящимися к документам национальной системы стандартизации, за исключением случаев производства по лицензионному соглашению локализованной продукции, когда оформление конструкторской и технологической документации может не регламентироваться указанными требованиями; наличие у производителя действующего регистрационного удостоверения на соответствующие медицинские изделия или записи в государственном реестре медицинских изделий и организаций (индивидуальных предпринимателей), осуществляющих производство и изготовление медицинских изделий, подтверждающей факт государственной регистрации соответствующего медицинского изделия, с указанием адреса места производства на территории Российской Федерации; использование комплектующих, сырья и материалов, произведенных на территориях государств - членов Евразийского экономического союза: воски природные (минеральные, растительного и животного происхождения) и (или) воски синтетические (синтетические каучуки, полимеры) (20 баллов); синтетические красители (10 баллов); выполнение следующих технологических операций на территориях государств - членов Евразийского экономического союза: смешение компонентов (25 баллов); формование (20 баллов)". |
Пункт 2 действует с 01.01.2027 (пункт 4).
2. В разделе IX позиции, классифицируемые кодом по ОК 034-2014 (КПЕС 2008) из 26.11.3, изложить в следующей редакции:
| "из 26.11.3 | Интегральная схема первого уровня <54> | 1. выполнение заявителем обязательных условий: 1.1. наличие у юридического лица - налогового резидента Российской Федерации, не находящегося под контролем иностранного государства, и (или) международной организации, и (или) иностранного юридического или физического лица, и (или) иностранной структуры без образования юридического лица <12.1>, либо индивидуального предпринимателя - налогового резидента и гражданина Российской Федерации, не являющегося иностранным агентом в соответствии с Федеральным законом "О контроле за деятельностью лиц, находящихся под иностранным влиянием", в объеме, достаточном для проектирования, производства, модернизации и развития соответствующей интегральной схемы на территории Российской Федерации: 1.1.1. прав на конструкторскую, эксплуатационную и технологическую документацию, полученных в результате собственной разработки и (или) на основании договора с юридическим лицом - налоговым резидентом Российской Федерации, не находящимся под контролем иностранного государства, и (или) международной организации, и (или) иностранного юридического или физического лица, и (или) иностранной структуры без образования юридического лица <12.1>, либо индивидуальным предпринимателем - налоговым резидентом и гражданином Российской Федерации, не являющимся иностранным агентом в соответствии с Федеральным законом "О контроле за деятельностью лиц, находящихся под иностранным влиянием", имеющую в своем составе <41>: структурную схему электрическую кристалла с обозначением элементов схемы собственной разработки, сложнофункциональных блоков сторонней разработки; топологический план (чертеж) кристалла без слоев с обозначением элементов собственной разработки, сложнофункциональных блоков сторонней разработки; технические условия на интегральную схему; |
| 1.1.2. документации на используемые сложнофункциональные блоки (где применимо), являющиеся предметом собственной разработки, и сложнофункциональные блоки, владельцем которых является юридическое лицо - налоговый резидент Российской Федерации, не находящийся под контролем иностранного государства, и (или) международной организации, и (или) иностранного юридического или физического лица, и (или) иностранной структуры без образования юридического лица <12.1>, либо индивидуальный предприниматель - налоговый резидент и гражданин Российской Федерации, не являющийся иностранным агентом в соответствии с Федеральным законом "О контроле за деятельностью лиц, находящихся под иностранным влиянием"; 1.1.3. исключительного права на товарный знак, служащий для индивидуализации продукции, или права использования (на условиях исключительной или неисключительной лицензии) товарного знака, правообладателем которого является юридическое лицо - налоговый резидент Российской Федерации, не находящийся под контролем иностранного государства, и (или) международной организации, и (или) иностранного юридического или физического лица, и (или) иностранной структуры без образования юридического лица <12.1>, либо индивидуальный предприниматель - налоговый резидент и гражданин Российской Федерации, не являющийся иностранным агентом в соответствии с Федеральным законом "О контроле за деятельностью лиц, находящихся под иностранным влиянием" (при наличии товарного знака); 1.1.4. конструкторской документации или технических условий на подложку, и (или) корпус, и (или) рамку интегральной схемы <41>, <55>; 1.1.5. прав на топологию интегральной микросхемы, зарегистрированную на территории Российской Федерации в установленном порядке в федеральном органе исполнительной власти по интеллектуальной собственности, для всех полупроводниковых кристаллов, входящих в состав интегральной схемы; | ||
| 1.1.6. прав на использование, модификацию, модернизацию и изменение полного перечня программного (встроенного микропрограммного, системного и специализированного прикладного) обеспечения, загружаемого на этапе изготовления, поставляемого в составе интегральной схемы и необходимого для полноценного функционирования продукции (если применимо в данном типе интегральной схемы), и имеющегося у заявителя комплекта программной документации в следующем составе: комплект текстов программ (исходных кодов) и двоичных файлов-микрокодов; руководство по компиляции и сборке полного перечня устанавливаемого, загружаемого программного (встроенного микропрограммного, системного и специализированного (при наличии) обеспечения, необходимого для полноценного функционирования продукции; данные о записи по каждому программному продукту в едином реестре российских программ для электронных вычислительных машин и баз данных либо едином реестре программ для электронных вычислительных машин и баз данных из государств - членов Евразийского экономического союза, за исключением Российской Федерации, и (или) сведения о государственной регистрации программы для электронных вычислительных машин или базы данных. Требование не распространяется на программные продукты, которые не могут быть переданы как дистрибутив для включения в указанные реестры; 1.1.7. научно-производственной базы (собственной или контрактной), расположенной на территории Российской Федерации и необходимой для разработки, модернизации (модификации, совершенствования), производства и тестирования продукции и используемого в ней программного обеспечения, в том числе технических специалистов необходимой квалификации, задействованных в разработке, модернизации (модификации, совершенствовании) и тестировании такой продукции; 1.1.8. сервисного центра или службы, обеспечивающих на территории Российской Федерации задачи по технической поддержке и рекламационной работе; 1.1.9. отладочных плат для программируемых интегральных схем <55> | ||
| 2. выполнение на территории Российской Федерации технологических операций: 2.1. разработка структуры, логической и электрической принципиальной схемы интегральной схемы, топологии интегральной схемы (обязательное требование, 12 баллов); 2.2. разработка верификационных и валидационных тестов логической и электрической принципиальной схемы интегральной схемы (обязательное требование, 2 балла); 2.3. проведение верификации интегральной схемы (обязательное требование, 2 балла); 2.4. разработка всех комплектующих конструкции интегральной схемы, предусмотренных конструкторской документацией (корпус, и (или) рамка, и (или) подложка) (обязательное требование, 4 балла); 2.5. разработка (в том числе создание программного кода) программного (встроенного микропрограммного, системного и специализированного прикладного) обеспечения, поставляемого в составе продукции и необходимого для полноценного функционирования интегральной схемы (8 баллов) <55>; 2.6. изготовление пластин с кристаллами по полному циклу (за исключением фотошаблонов) и выполнение операционного контроля, включая измерения параметрического монитора (обязательное требование, 52 балла); 2.7. обработка полупроводниковой пластины (утонение до толщины, указанной в конструкторской документации на интегральную схему, и (или) резка, и (или) разделение полупроводниковых пластин на кристаллы в зависимости от типа исполнения) (обязательное требование, 6 баллов); | ||
| 2.8. сборка и (или) монтаж, формирование электрических соединений кристалла согласно конструкции интегральной схемы (сборка в корпус или на рамку или монтаж на подложку с герметизацией в зависимости от типа исполнения) (6 баллов) <55>; 2.9. измерение, тестирование, валидация и испытание интегральной схемы с целью подтверждения характеристик, заявленных в технических условиях (обязательное требование, 8 баллов); | ||
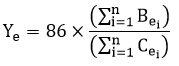
| количество баллов (Yt), начисляемых за выполнение технологических операций на территории Российской Федерации, рассчитывается путем суммирования количества баллов по формуле: | ||
| где: n - количество требований, указанных в подпунктах 2.1 - 2.9, применимых к интегральной схеме (предусмотренных в ее конструкторской и (или) технологической документации), независимо от того, выполняются они на территории Российской Федерации или за ее пределами; - заданное значение в баллах за выполнение i-го требования из применимых к интегральной схеме требований, указанных в подпунктах 2.1 - 2.9; - заданное значение в баллах за каждое применимое требование из указанных в подпунктах 2.1 - 2.9 независимо от того, выполняются они на территории Российской Федерации или за ее пределами | ||
| 3. использование при производстве интегральной схемы компонентов, произведенных на территории Российской Федерации: 3.1. фоторезистов (19 баллов); 3.2. монокристаллов или эпитаксиальных структур (19 баллов); 3.3. фотошаблонов (19 баллов); 3.4. компонентов корпуса в зависимости от типа исполнения: корпус, и (или) рамка, и (или) подложка (35 баллов) < 55>; 3.5. компонентов для герметизации (клей, или компаунд, или андерфил, или крышка) (5 баллов) <55>; 3.6. компонентов для электрического соединения (проволока или металлические шариковые выводы для монтажа кристалла) (3 балла) <55>; | ||
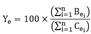
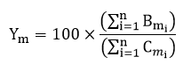
| количество баллов (Ym), начисляемых за использование компонентов, произведенных на территории Российской Федерации, рассчитывается путем суммирования количества баллов по формуле: | ||
| где: n - количество требований, указанных в подпунктах 3.1 - 3.6, применимых к интегральной схеме (предусмотренных в ее конструкторской и (или) технологической документации), независимо от того, выполняются они на территории Российской Федерации или за ее пределами; - заданное значение в баллах за выполнение i-го требования из применимых к интегральной схеме требований, указанных в подпунктах 3.1 - 3.6; - заданное значение в баллах за каждое применимое требование из указанных в подпунктах 3.1 - 3.6 независимо от того, выполняются они на территории Российской Федерации или за ее пределами | ||
| 4. использование в процессе разработки интегральной схемы сложнофункциональных блоков российской разработки, включая собственную разработку, и сложнофункциональных блоков, владельцем которых является юридическое лицо - налоговый резидент Российской Федерации, не находящийся под контролем иностранного государства, и (или) международной организации, и (или) иностранного юридического или физического лица, и (или) иностранной структуры без образования юридического лица <12.1>, либо индивидуальный предприниматель - налоговый резидент и гражданин Российской Федерации, не являющийся иностранным агентом в соответствии с Федеральным законом "О контроле за деятельностью лиц, находящихся под иностранным влиянием", а также использование российского программного обеспечения (далее - сложнофункциональные блоки и программное обеспечение российской разработки): 4.1. использование сложнофункциональных блоков и (или) иных элементов конструирования и (или) разработки топологии российской разработки (67 баллов) <55>; | ||
количество баллов ( ), начисляемых за использование сложнофункциональных блоков и (или) иных элементов конструирования и (или) разработки топологии российской разработки, рассчитывается по формуле: | ||
| где: К - общее количество сложнофункциональных блоков и (или) иных элементов конструирования и (или) разработки топологии российской разработки; - площадь i-го сложнофункционального блока и (или) иного элемента конструирования и (или) разработки топологии российской разработки, занимаемая ими в слое активных элементов топологии интегральной схемы;S - площадь кристалла; | ||
| 4.2. использование в процессе разработки интегральной схемы средств автоматизированного проектирования, включенных в единый реестр российских программ для электронных вычислительных машин и баз данных либо в единый реестр программ для электронных вычислительных машин и баз данных из государств - членов Евразийского экономического союза, за исключением Российской Федерации (14 баллов); 4.3. наличие комплекта средств разработки и отладки программного обеспечения для интегральных схем со встроенным программным обеспечением, сведения о котором включены в единый реестр российских программ для электронных вычислительных машин и баз данных либо единый реестр программ для электронных вычислительных машин и баз данных из государств - членов Евразийского экономического союза, за исключением Российской Федерации (5 баллов) <55>; 4.4. использование библиотек стандартных элементов, являющихся предметом собственной разработки, и стандартных элементов, владельцем которых является юридическое лицо - налоговый резидент Российской Федерации, не находящийся под контролем иностранного государства, и (или) международной организации, и (или) иностранного юридического или физического лица, и (или) иностранной структуры без образования юридического лица <12.1>, либо индивидуальный предприниматель - налоговый резидент и гражданин Российской Федерации, не являющийся иностранным агентом в соответствии с Федеральным законом "О контроле за деятельностью лиц, находящихся под иностранным влиянием" (14 баллов) <55>; | ||
| количество баллов (Ye), начисляемых за использование сложнофункциональных блоков и программного обеспечения российской разработки, рассчитывается путем суммирования количества баллов по формуле: | ||
![]() | ||
| где: n - количество требований, указанных в подпунктах 4.1 - 4.4, применимых к интегральной схеме (предусмотренных в ее конструкторской и (или) технологической документации), независимо от того, выполняются они на территории Российской Федерации или за ее пределами; ![]() ![]() | ||
| итоговое количество баллов рассчитывается по формуле: | ||
![]() | ||
| где: Kt - весовой коэффициент за выполнение на территории Российской Федерации технологических операций (0,68); Km - весовой коэффициент за использование комплектующих, произведенных на территории Российской Федерации (0,14); Ke - весовой коэффициент за использование сложнофункциональных блоков и программного обеспечения российской разработки (0,18) | ||
| из 26.11.3 | Интегральная схема второго уровня <54> | 1. выполнение заявителем обязательных условий: 1.1. наличие у юридического лица - налогового резидента Российской Федерации, не находящегося под контролем иностранного государства, и (или) международной организации, и (или) иностранного юридического или физического лица, и (или) иностранной структуры без образования юридического лица <12.1>, либо индивидуального предпринимателя - налогового резидента и гражданина Российской Федерации, не являющегося иностранным агентом в соответствии с Федеральным законом "О контроле за деятельностью лиц, находящихся под иностранным влиянием", в объеме, достаточном для проектирования, производства, модернизации и развития соответствующей интегральной схемы на территории Российской Федерации: 1.1.1. прав на конструкторскую и эксплуатационную документацию, на технологическую документацию в отношении технологических операций, производимых на территории Российской Федерации, полученных в результате собственной разработки и (или) на основании договора с юридическим лицом - налоговым резидентом Российской Федерации, не находящимся под контролем иностранного государства, и (или) международной организации, и (или) иностранного юридического или физического лица, и (или) иностранной структуры без образования юридического лица <12.1>, либо индивидуальным предпринимателем - налоговым резидентом и гражданином Российской Федерации, не являющимся иностранным агентом в соответствии с Федеральным законом "О контроле за деятельностью лиц, находящихся под иностранным влиянием", имеющую в своем составе <41>: структурную схему электрическую кристалла с обозначением элементов схемы собственной разработки, сложнофункциональных блоков сторонней разработки; топологический план (чертеж) кристалла без слоев с обозначением элементов собственной разработки, сложнофункциональных блоков сторонней разработки; технические условия на интегральную схему; |
| 1.1.2. документации на используемые сложнофункциональные блоки (где применимо), являющиеся предметом собственной разработки, и сложнофункциональные блоки, владельцем которых является юридическое лицо - налоговый резидент Российской Федерации, не находящийся под контролем иностранного государства, и (или) международной организации, и (или) иностранного юридического или физического лица, и (или) иностранной структуры без образования юридического лица <12.1>, либо индивидуальный предприниматель - налоговый резидент и гражданин Российской Федерации, не являющийся иностранным агентом в соответствии с Федеральным законом "О контроле за деятельностью лиц, находящихся под иностранным влиянием"; 1.1.3. исключительного права на товарный знак, служащий для индивидуализации продукции, или права использования (на условиях исключительной или неисключительной лицензии) товарного знака, правообладателем которого является юридическое лицо - налоговый резидент Российской Федерации, не находящийся под контролем иностранного государства, и (или) международной организации, и (или) иностранного юридического или физического лица, и (или) иностранной структуры без образования юридического лица <12.1>, либо индивидуальный предприниматель - налоговый резидент и гражданин Российской Федерации, не являющийся иностранным агентом в соответствии с Федеральным законом "О контроле за деятельностью лиц, находящихся под иностранным влиянием" (при наличии товарного знака); 1.1.4. конструкторской документации или технических условий на подложку, и (или) корпус, и (или) рамку интегральной схемы <41>, <55>; | ||
| 1.1.5. прав на топологию интегральной микросхемы, зарегистрированную на территории Российской Федерации в установленном порядке в федеральном органе исполнительной власти по интеллектуальной собственности, для всех полупроводниковых кристаллов, входящих в состав интегральной схемы; 1.1.6. прав на использование, модификацию, модернизацию и изменение полного перечня программного (встроенного микропрограммного, системного и специализированного прикладного) обеспечения, загружаемого на этапе изготовления, поставляемого в составе интегральной схемы и необходимого для полноценного функционирования продукции (если применимо в данном типе интегральной схемы), и имеющегося у заявителя комплекта программной документации в следующем составе: комплект текстов программ (исходных кодов) и двоичных файлов-микрокодов; руководство по компиляции и сборке полного перечня устанавливаемого, загружаемого программного (встроенного микропрограммного, системного и специализированного (при наличии) обеспечения, необходимого для полноценного функционирования продукции; данные о записи по каждому программному продукту в едином реестре российских программ для электронных вычислительных машин и баз данных либо в едином реестре программ для электронных вычислительных машин и баз данных из государств - членов Евразийского экономического союза, за исключением Российской Федерации, и (или) сведения о государственной регистрации программы электронных вычислительных машин или базы данных. Требование не распространяется на программные продукты, которые не могут быть переданы как дистрибутив для включения в указанные реестры; | ||
| 1.1.7. научной базы (собственной или контрактной), расположенной на территории Российской Федерации и необходимой для разработки и модернизации (модификации, совершенствования) продукции и используемого в ней программного обеспечения, в том числе технических специалистов необходимой квалификации, задействованных в разработке и модернизации (модификации, совершенствовании) такой продукции; 1.1.8. сервисного центра или службы, обеспечивающих на территории Российской Федерации задачи по технической поддержке и рекламационной работе; 1.1.9. отладочных плат для программируемых интегральных схем <55> | ||
| 2. выполнение на территории Российской Федерации технологических операций: 2.1. разработка структуры, логической и электрической принципиальной схемы интегральной схемы, топологии интегральной схемы (обязательное требование, 12 баллов); 2.2. разработка верификационных и валидационных тестов логической и электрической принципиальной схемы интегральной схемы (обязательное требование, 2 балла); 2.3. проведение верификации интегральной схемы (обязательное требование, 2 балла); 2.4. разработка всех комплектующих конструкции интегральной схемы, предусмотренных конструкторской документацией (корпус, и (или) рамка, и (или) подложка) (обязательное требование, 4 балла); 2.5. разработка (в том числе создание программного кода) программного (встроенного микропрограммного, системного и специализированного прикладного) обеспечения, поставляемого в составе продукции и необходимого для полноценного функционирования интегральной схемы (если применимо) (8 баллов) <55>; 2.6. обработка полупроводниковой пластины (утонение до толщины, указанной в конструкторской документации на интегральную схему, и (или) резка, и (или) разделение полупроводниковых пластин на кристаллы в зависимости от типа исполнения) (6 баллов); 2.7. сборка и (или) монтаж, формирование электрических соединений кристалла согласно конструкции интегральной схемы (сборка в корпус или на рамку или монтаж на подложку с герметизацией в зависимости от типа исполнения) (6 баллов) <55>; 2.8. измерение, тестирование, валидация и испытание интегральной схемы с целью подтверждения характеристик, заявленных в технических условиях (обязательное требование, 8 баллов); | ||
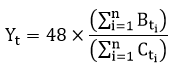
| количество баллов (Yt), начисляемых за выполнение технологических операций на территории Российской Федерации, рассчитывается путем суммирования количества баллов по формуле: | ||
![]() | ||
| где: n - количество требований, указанных в подпунктах 2.1 - 2.8, применимых к интегральной схеме (предусмотренных в ее конструкторской и (или) технологической документации), независимо от того, выполняются они на территории Российской Федерации или за ее пределами; ![]() | ||
| 3. использование при производстве интегральной схемы компонентов, произведенных на территории Российской Федерации: 3.1. компонентов корпуса в зависимости от типа исполнения: корпус, и (или) рамка, и (или) подложка (35 баллов) <55>; 3.2. компонентов для герметизации (клей, или компаунд, или андерфил, или крышка) (5 баллов) <55>; 3.3. компонентов для электрического соединения (проволока или металлические шариковые выводы для монтажа кристалла) (3 балла) <55>; | ||
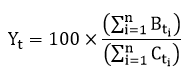
| количество баллов (Ym), начисляемых за использование компонентов, произведенных на территории Российской Федерации, рассчитывается путем суммирования количества баллов по формуле: | ||
![]() | ||
| где: n - количество требований, указанных в подпунктах 3.1 - 3.3, применимых к интегральной схеме (предусмотренных в ее конструкторской и (или) технологической документации), независимо от того, выполняются они на территории Российской Федерации или за ее пределами; ![]() | ||
| 4. использование в процессе разработки интегральной схемы сложнофункциональных блоков и программного обеспечения российской разработки: 4.1. использование сложнофункциональных блоков и (или) иных элементов конструирования и (или) разработки топологии российской разработки (67 баллов) <55>; | ||
количество баллов ( ), начисляемых за использование сложнофункциональных блоков и (или) иных элементов конструирования и (или) разработки топологии российской разработки, рассчитывается по формуле: | ||
![]() | ||
| где: К - общее количество сложнофункциональных блоков и (или) иных элементов конструирования и (или) разработки топологии российской разработки; ![]() S - площадь кристалла; | ||
| 4.2. использование в процессе разработки интегральной схемы средств автоматизированного проектирования, включенных в единый реестр российских программ для электронных вычислительных машин и баз данных либо единый реестр программ для электронных вычислительных машин и баз данных из государств - членов Евразийского экономического союза, за исключением Российской Федерации (14 баллов); | ||
| 4.3. наличие комплекта средств разработки и отладки программного обеспечения для интегральных схем со встроенным программным обеспечением, сведения о котором включены в единый реестр российских программ для электронных вычислительных машин и баз данных либо единый реестр программ для электронных вычислительных машин и баз данных из государств - членов Евразийского экономического союза, за исключением Российской Федерации (5 баллов) <55>; | ||
количество баллов ( ), начисляемых за использование сложнофункциональных блоков и программного обеспечения российской разработки, рассчитывается путем суммирования количества баллов по формуле: | ||
![]() | ||
| где: n - количество требований, указанных в подпунктах 4.1 - 4.3, применимых к интегральной схеме (предусмотренных в ее конструкторской и (или) технологической документации), независимо от того, выполняются они на территории Российской Федерации или за ее пределами; ![]() ![]() | ||
| итоговое количество баллов рассчитывается по формуле: | ||
![]() | ||
| где: Kt - весовой коэффициент за выполнение на территории Российской Федерации технологических операций (0,68); Km - весовой коэффициент за использование комплектующих, произведенных на территории Российской Федерации (0,14); Ke - весовой коэффициент за использование сложнофункциональных блоков и программного обеспечения российской разработки (0,18)". |
3. Сноску <9> изложить в следующей редакции:
"<9> Принадлежность судна определяется на основании классификационного свидетельства в соответствии с символом класса.
Для продукции судостроения, включенной в группу 30.11 в соответствии с Общероссийским классификатором продукции по видам экономической деятельности ОК 034-2014 (КПЕС 2008) и предусмотренной разделом XVIII настоящего приложения, за исключением продукции судостроения, классифицируемой кодом по ОК 034-2014 (КПЕС 2008) 30.11.31.130, и продукции судостроения, договор на строительство которой заключен ранее 13 апреля 2019 г., применяются требования указанного раздела в редакции постановления Правительства Российской Федерации от 17 июля 2015 г. N 719 "О подтверждении производства российской промышленной продукции", действовавшей на дату заключения договора на строительство.
Для продукции судостроения, классифицируемой кодом по ОК 034-2014 (КПЕС 2008) 30.11.31.130, за исключением продукции судостроения, дата закладки киля которой произведена ранее 13 апреля 2019 г., применяются требования указанного раздела в редакции постановления Правительства Российской Федерации от 17 июля 2015 г. N 719 "О подтверждении производства российской промышленной продукции", действовавшей на дату закладки киля.
Для продукции судостроения, классифицируемой кодом по ОК 034-2014 (КПЕС 2008) 30.11.31.130, дата закладки киля которой произведена ранее 13 апреля 2019 г., применяются требования указанного раздела в редакции постановления Правительства Российской Федерации от 28 марта 2019 г. N 351 "О внесении изменений в приложение к постановлению Правительства Российской Федерации от 17 июля 2015 г. N 719".
Для продукции судостроения, включенной в группу 30.11 в соответствии с ОК 034-2014 (КПЕС 2008) и предусмотренной разделом XVIII настоящего приложения, договор на строительство которой заключен ранее 13 апреля 2019 г., применяются требования указанного раздела в редакции постановления Правительства Российской Федерации от 28 марта 2019 г. N 351 "О внесении изменений в приложение к постановлению Правительства Российской Федерации от 17 июля 2015 г. N 719".
Для иной продукции, предусмотренной разделом XVIII настоящего приложения, применяются требования указанного раздела в редакции постановления Правительства Российской Федерации от 17 июля 2015 г. N 719 "О подтверждении производства российской промышленной продукции", действовавшей на дату заключения договора на изготовление и (или) поставку.".
Пункт 4 действует с 01.01.2027 (пункт 4).
4. Дополнить сносками <54> и <55> следующего содержания:
"<54> Интегральная схема - полупроводниковое микроэлектронное изделие, состоящее из совокупности элементов (компонентов), электрически соединенных или не соединенных между собой в объеме и (или) на поверхности подложки (кристалла), и предназначенное для выполнения заданной функции.
<55> Требование к исполнению технологической операции и использованию компонентов и материалов, программного обеспечения применяется в случае, если это предусмотрено конструкторской, эксплуатационной и технологической документацией.".
5. В примечании 17:
а) абзац двенадцатый изложить в следующей редакции:
"30.11.31.110, 30.11.31.111, 30.11.31.112, 30.11.31.113, 30.11.31.114, 30.11.31.115, 30.11.31.116, 30.11.31.119, 30.11.31.120, 30.11.31.130, 30.11.31.190: до 30 июня 2023 г. не менее 2300 баллов, с 1 июля 2023 г. не менее 2900 баллов, с 1 июля 2025 г. не менее 3400 баллов, с 1 июля 2029 г. не менее 3500 баллов, за исключением судов, инвестиционные проекты по строительству которых реализуются в рамках договоров о закреплении и предоставлении доли квоты добычи (вылова) водных биологических ресурсов на инвестиционные цели в отношении квот, предусмотренных пунктами 11 - 14 части 1 статьи 30 Федерального закона "О рыболовстве и сохранении водных биологических ресурсов", и которые оцениваются до 30 июня 2025 г. не менее 2300 баллов, с 1 июля 2025 г. не менее 2900 баллов, с 1 июля 2027 г. не менее 3400 баллов, с 1 июля 2029 г. не менее 3500 баллов;";
б) абзац семнадцатый изложить в следующей редакции:
"30.11.23.110, 30.11.23.120, 30.11.23.130: до 30 июня 2023 г. не менее 2500 баллов, с 1 июля 2023 г. не менее 3200 баллов, с 1 июля 2025 г. не менее 3750 баллов, с 1 июля 2029 г. не менее 3850 баллов, за исключением судов, инвестиционные проекты по строительству которых реализуются в рамках договоров о закреплении и предоставлении доли квоты добычи (вылова) водных биологических ресурсов на инвестиционные цели в отношении квот, предусмотренных пунктами 11 - 14 части 1 статьи 30 Федерального закона "О рыболовстве и сохранении водных биологических ресурсов", и которые оцениваются до 30 июня 2025 г. не менее 2500 баллов, с 1 июля 2025 г. не менее 3200 баллов, с 1 июля 2027 г. не менее 3750 баллов, с 1 июля 2029 г. не менее 3850 баллов.".
6. Дополнить примечанием 17.1 следующего содержания:
"17.1. При отнесении продукции судостроения, предусмотренной абзацем двенадцатым примечания 17 к настоящему приложению и классифицируемой кодами по ОК 034-2014 (КПЕС 2008) 30.11.31.110, 30.11.31.111, 30.11.31.112, 30.11.31.113, 30.11.31.114, 30.11.31.115, 30.11.31.116, 30.11.31.119, 30.11.31.120, 30.11.31.130, 30.11.31.190, к российской промышленной продукции в отношении судов длиной до 30 метров к баллам, установленным разделом XVIII настоящего приложения, применяется повышающий коэффициент в размере 1,45.".
Пункт 7 действует с 01.07.2026 (пункт 3).
7. Дополнить примечанием 81 следующего содержания:
"81. Продукция медицинской промышленности может быть отнесена к российской промышленной продукции при условии достижения в совокупности следующего суммарного количества баллов для каждой единицы продукции:
| Код по ОК 034-2014 (КПЕС 2008) | Наименование продукции | 2026 год | 2027 год | 2028 год | 2029 год | 2030 год и далее |
| из 32.50.23.161 | Узел кисти (в том числе пальцы) пассивный с использованием стали или сплавов и полимеров | не менее 120 баллов | не менее 120 баллов | 140 баллов | 140 баллов | 140 баллов |
| из 32.50.23.161 | Узел кисти (в том числе пальцы) пассивный с использованием стали или сплавов и синтетических каучуков | не менее 120 баллов | не менее 120 баллов | не менее 120 баллов | 140 баллов | 140 баллов |
| из 32.50.23.161 | Узел кисти (в том числе пальцы) пассивный с использованием стали или сплавов, полимеров и синтетических каучуков | не менее 120 баллов | не менее 120 баллов | не менее 120 баллов | 140 баллов | 140 баллов |
| из 32.50.23.161 | Узел кисти (в том числе пальцы) пассивный с использованием полимеров | не менее 100 баллов | не менее 100 баллов | 120 баллов | 120 баллов | 120 баллов |
| из 32.50.23.161 | Узел кисти (в том числе пальцы) пассивный с использованием синтетических каучуков | не менее 100 баллов | не менее 100 баллов | не менее 100 баллов | 120 баллов | 120 баллов |
| из 32.50.23.161 | Узел кисти (в том числе пальцы) пассивный с использованием полимеров и синтетических каучуков | не менее 100 баллов | не менее 100 баллов | не менее 120 баллов | 140 баллов | 140 баллов |
| из 32.50.23.162 | Узел кисти (в том числе пальцы) активный с использованием полимеров | не менее 120 баллов | не менее 120 баллов | 140 баллов | 140 баллов | 140 баллов |
| из 32.50.23.162 | Узел кисти (в том числе пальцы) активный с использованием синтетических каучуков | не менее 120 баллов | не менее 120 баллов | не менее 120 баллов | 140 баллов | 140 баллов |
| из 32.50.23.162 | Узел кисти (в том числе пальцы) активный с использованием полимеров и синтетических каучуков | не менее 120 баллов | не менее 120 баллов | не менее 140 баллов | 160 баллов | 160 баллов |
| из 32.50.23.163 | Узел кисти (в том числе пальцы) с микропроцессорным управлением с использованием полимеров | не менее 90 баллов | не менее 110 баллов | не менее 130 баллов | 160 баллов | 160 баллов |
| из 32.50.23.163 | Узел кисти (в том числе пальцы) с микропроцессорным управлением с использованием синтетических каучуков | не менее 90 баллов | не менее 110 баллов | не менее 110 баллов | 160 баллов | 160 баллов |
| из 32.50.23.163 | Узел кисти (в том числе пальцы) с микропроцессорным управлением с использованием полимеров и синтетических каучуков | не менее 90 баллов | не менее 110 баллов | не менее 130 баллов | 180 баллов | 180 баллов |
| из 32.50.23.171 | Локтевой узел пассивный с использованием полимеров | не менее 120 баллов | не менее 120 баллов | 140 баллов | 140 баллов | 140 баллов |
| из 32.50.23.171 | Локтевой узел пассивный с использованием синтетических каучуков | не менее 120 баллов | не менее 120 баллов | 140 баллов | 140 баллов | 140 баллов |
| из 32.50.23.171 | Локтевой узел пассивный с использованием полимеров и синтетических каучуков | не менее 120 баллов | не менее 120 баллов | не менее 140 баллов | 160 баллов | 160 баллов |
| из 32.50.23.171 | Локтевой узел пассивный с использованием полимеров и стеклоткани | не менее 140 баллов | не менее 140 баллов | 160 баллов | 160 баллов | 160 баллов |
| из 32.50.23.171 | Локтевой узел пассивный с использованием полимеров, углеткани и стеклоткани | не менее 140 баллов | не менее 140 баллов | не менее 160 баллов | 180 баллов | 180 баллов |
| из 32.50.23.171 | Локтевой узел пассивный с использованием синтетических каучуков и стеклоткани | не менее 140 баллов | не менее 140 баллов | 160 баллов | 160 баллов | 160 баллов |
| из 32.50.23.171 | Локтевой узел пассивный с использованием синтетических каучуков и углеткани | не менее 120 баллов | не менее 120 баллов | не менее 120 баллов | 160 баллов | 160 баллов |
| из 32.50.23.171 | Локтевой узел пассивный с использованием синтетических каучуков, стеклоткани и углеткани | не менее 140 баллов | не менее 140 баллов | не менее 140 баллов | 180 баллов | 180 баллов |
| из 32.50.23.171 | Локтевой узел пассивный с использованием полимеров, синтетических каучуков и стеклоткани | не менее 140 баллов | не менее 140 баллов | не менее 160 баллов | 180 баллов | 180 баллов |
| из 32.50.23.171 | Локтевой узел пассивный с использованием полимеров, синтетических каучуков и углеткани | не менее 120 баллов | не менее 120 баллов | не менее 140 баллов | 180 баллов | 180 баллов |
| из 32.50.23.171 | Локтевой узел пассивный с использованием полимеров, синтетических каучуков, стеклоткани и углеткани | не менее 140 баллов | не менее 140 баллов | не менее 160 баллов | 200 баллов | 200 баллов |
| 32.50.23.131 | Стопа полиуретановая | не менее 120 баллов | не менее 120 баллов | 140 баллов | 140 баллов | 140 баллов |
| из 32.50.23.132 | Стопа из композитных материалов (углеткани) с оболочкой с использованием полимеров | не менее 120 баллов | не менее 120 баллов | не менее 140 баллов | 160 баллов | 160 баллов |
| из 32.50.23.132 | Стопа из композитных материалов (стеклоткани) с оболочкой с использованием полимеров | не менее 140 баллов | не менее 140 баллов | 160 баллов | 160 баллов | 160 баллов |
| из 32.50.23.132 | Стопа из композитных материалов (углеткани) без оболочки | не менее 95 баллов | не менее 95 баллов | не менее 95 баллов | 115 баллов | 115 баллов |
| из 32.50.23.139 | Стопа с пневмогидравлическим или гидравлическим управлением без оболочки | не менее 165 баллов | не менее 165 баллов | не менее 165 баллов | 215 баллов | 215 баллов |
| из 32.50.23.139 | Стопа с пневмогидравлическим или гидравлическим управлением с оболочкой | не менее 190 баллов | не менее 190 баллов | не менее 210 баллов | 240 баллов | 240 баллов |
| 32.50.23.141 | Коленный модуль с механическим управлением | 120 баллов | 120 баллов | 120 баллов | 120 баллов | 120 баллов |
| 32.50.23.142 | Коленный модуль с пневматическим управлением | 120 баллов | 120 баллов | 120 баллов | 120 баллов | 120 баллов |
| 32.50.23.143 | Коленный модуль с гидравлическим управлением | не менее 80 баллов | не менее 80 баллов | 120 баллов | 120 баллов | 120 баллов |
| из 32.50.23.144 | Коленный модуль с микропроцессорным управлением (за исключением коленного модуля с микропроцессорным управлением с использованием композитов) | не менее 140 баллов | не менее 140 баллов | не менее 140 баллов | 180 баллов | 180 баллов |
| из 32.50.23.144 | Коленный модуль с микропроцессорным управлением с использованием композитов | не менее 140 баллов | не менее 140 баллов | не менее 140 баллов | 200 баллов | 200 баллов |
| из 32.50.23.149 | Коленный модуль с пневмогидравлическим управлением | не менее 80 баллов | не менее 80 баллов | 110 баллов | 110 баллов | 110 баллов |
| из 32.50.23.151 | Тазобедренный модуль с механическим управлением (за исключением тазобедренного модуля с механическим управлением с использованием полимеров) | 120 баллов | 120 баллов | 120 баллов | 120 баллов | 120 баллов |
| из 32.50.23.151 | Тазобедренный модуль с механическим управлением с использованием полимеров | 140 баллов | 140 баллов | 140 баллов | 140 баллов | 140 баллов |
| из 21.20.23.110 | Тест-полоски для определения содержания глюкозы в крови, соответствующие коду 248900 вида медицинского изделия в соответствии с номенклатурной классификацией медицинских изделий по видам, утвержденной Министерством здравоохранения Российской Федерации | не менее 135 баллов | 225 баллов | 225 баллов | 225 баллов | 225 баллов |
| из 32.50.22.121 из 32.50.22.129 из 32.50.22.190 из 32.50.50 | Экзопротез молочной железы | не менее 90 баллов | не менее 90 баллов | не менее 110 баллов | 130 баллов | 130 баллов |
| из 32.50.13.190 из 32.50.50.141 | Калоприемники однокомпонентные | не менее 130 баллов | не менее 200 баллов | не менее 200 баллов | 220 баллов | 220 баллов |
| из 32.50.13.190 из 32.50.50.141 из 32.50.50.149 | Калоприемники двухкомпонентные | не менее 160 баллов | не менее 230 баллов | не менее 230 баллов | 250 баллов | 250 баллов |
| из 32.50.13.190 из 32.50.50 из 32.50.50.141 | Мочеприемники | не менее 135 баллов | не менее 135 баллов | не менее 135 баллов | 155 баллов | 155 баллов |
| из 32.50.13.190 из 32.50.50.141 | Уроприемники однокомпонентные | не менее 200 баллов | не менее 220 баллов | не менее 220 баллов | 240 баллов | 240 баллов |
| из 32.50.13.190 из 32.50.50.141 из 32.50.50.149 | Уроприемники двухкомпонентные | не менее 250 баллов | не менее 270 баллов | не менее 270 баллов | 290 баллов | 290 баллов |
| из 20.59.52.120 | Воск зуботехнический без применения красителей | 65 баллов | 65 баллов | 65 баллов | 65 баллов | 65 баллов |
| из 20.59.52.120 | Воск зуботехнический с применением красителей | 75 баллов | 75 баллов | 75 баллов | 75 баллов | 75 баллов". |
Пункт 8 действует с 01.01.2027 (пункт 4).
8. Дополнить примечанием 82 следующего содержания:
"82. Продукция, включенная в раздел IX настоящего приложения, может быть отнесена к российской промышленной продукции при условии достижения в совокупности следующего суммарного количества баллов для каждой единицы продукции:
классифицируемой по коду из 26.11.3 для интегральных схем первого уровня:
с 1 января 2027 г. - не менее 82 баллов;
с 1 января 2030 г. - не менее 85 баллов;
с 1 января 2033 г. - не менее 94 баллов;
с 1 января 2035 г. - не менее 100 баллов;
классифицируемой по коду из 26.11.3 для интегральных схем второго уровня, за исключением интегральных схем второго уровня, производимых по технологическому процессу 28 нанометров и менее и имеющих площадь кристалла более 50 квадратных миллиметров:
с 1 января 2027 г. - не менее 29 баллов;
с 1 января 2030 г. - не менее 38 баллов;
с 1 января 2033 г. - не менее 49 баллов;
с 1 января 2035 г. - не менее 55 баллов;
классифицируемой по коду из 26.11.3 для интегральных схем второго уровня, производимых по технологическому процессу 28 нанометров и менее и имеющих площадь кристалла более 50 квадратных миллиметров:
с 1 января 2027 г. - не менее 21 балла;
с 1 января 2030 г. - не менее 23 баллов;
с 1 января 2034 г. - не менее 24 баллов;
- заданное значение в баллах за выполнение i-го требования из применимых к интегральной схеме требований, указанных в подпунктах 2.1 - 2.9;
- заданное значение в баллах за каждое применимое требование из указанных в подпунктах 2.1 - 2.9 независимо от того, выполняются они на территории Российской Федерации или за ее пределами
- заданное значение в баллах за выполнение i-го требования из применимых к интегральной схеме требований, указанных в подпунктах 3.1 - 3.6;
- заданное значение в баллах за каждое применимое требование из указанных в подпунктах 3.1 - 3.6 независимо от того, выполняются они на территории Российской Федерации или за ее пределами
), начисляемых за использование сложнофункциональных блоков и (или) иных элементов конструирования и (или) разработки топологии российской разработки, рассчитывается по формуле:
- площадь i-го сложнофункционального блока и (или) иного элемента конструирования и (или) разработки топологии российской разработки, занимаемая ими в слое активных элементов топологии интегральной схемы;





), начисляемых за использование сложнофункциональных блоков и (или) иных элементов конструирования и (или) разработки топологии российской разработки, рассчитывается по формуле:
), начисляемых за использование сложнофункциональных блоков и программного обеспечения российской разработки, рассчитывается путем суммирования количества баллов по формуле:
