Значения корректирующего коэффициента К2 (ЕНВД) в муниципальных образованиях Тульской области на 2017 год

Редакция от 01.10.2017 — Действует

По состоянию на 01.10.2017

ЗНАЧЕНИЯ КОРРЕКТИРУЮЩЕГО КОЭФФИЦИЕНТА К2 (ЕНВД) В МУНИЦИПАЛЬНЫХ ОБРАЗОВАНИЯХ ТУЛЬСКОЙ ОБЛАСТИ НА 2017 ГОД

Значения корректирующего коэффициента К2 (ЕНВД) в муниципальных образованиях Тульской области на 2020, 2019, 2018, 2016, 2015, 2014, 2013 гг. включены в систему отдельными документами.

ГОРОДА

Утвержден Решением Тульской городской Думы от 28.09.2005 N 71/1371 (ред. от 23.11.2016),
Решением Тульской городской Думы от 29.10.2014 N 3/42 (ред от 21.12.2016)

ТУЛА

Единый налог вводится в отношении следующих видов предпринимательской деятельности:

1) оказание бытовых услуг. Коды видов деятельности в соответствии с Общероссийским классификатором видов экономической деятельности и коды услуг в соответствии с Общероссийским классификатором продукции по видам экономической деятельности, относящихся к бытовым услугам, определяются Правительством Российской Федерации;м

2) оказание ветеринарных услуг;

3) оказание услуг по ремонту, техническому обслуживанию и мойке автомототранспортных средств;

4) оказание услуг по предоставлению во временное владение (в пользование) мест для стоянки автомототранспортных средств, а также по хранению автомототранспортных средств на платных стоянках (за исключением штрафных автостоянок);

5) оказание автотранспортных услуг по перевозке пассажиров и грузов, осуществляемых организациями и индивидуальными предпринимателями, имеющими на праве собственности или ином праве (пользования, владения и (или) распоряжения) не более 20 транспортных средств, предназначенных для оказания таких услуг;

6) розничная торговля, осуществляемая через магазины и павильоны с площадью торгового зала не более 150 квадратных метров по каждому объекту организации торговли;

7) розничная торговля, осуществляемая через объекты стационарной торговой сети, не имеющей торговых залов, а также объекты нестационарной торговой сети;

8) оказание услуг общественного питания, осуществляемых через объекты организации общественного питания с площадью зала обслуживания посетителей не более 150 кв. м по каждому объекту организации общественного питания;

9) оказание услуг общественного питания, осуществляемых через объекты организации общественного питания, не имеющие зала обслуживания посетителей;

10) распространение наружной рекламы с использованием рекламных конструкций;

11) размещение рекламы с использованием внешних и внутренних поверхностей транспортных средств;

12) оказание услуг по временному размещению и проживанию организациями и предпринимателями, использующими в каждом объекте предоставления данных услуг общую площадь помещений для временного размещения и проживания не более 500 квадратных метров;

13) оказание услуг по передаче во временное владение и (или) пользование торговых мест, расположенных в объектах стационарной торговой сети, не имеющих торговых залов, объектов нестационарной торговой сети, а также объектов организации общественного питания, не имеющих зала обслуживания посетителей;

14) оказание услуг по передаче во временное владение и (или) в пользование земельных участков для размещения объектов стационарной и нестационарной торговой сети, а также объектов организации общественного питания.

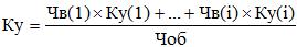
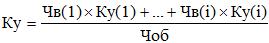
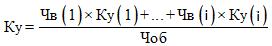
Корректирующий коэффициент базовой доходности К2 определяется как произведение установленных настоящим решением значений факторов, учитывающих влияние на результат предпринимательской деятельности:

1. Значения фактора вида предпринимательской деятельности (Таблица 1).

2. Значения фактора режима работы в розничной торговле (кроме развозной и разносной розничной торговли) и в организациях общественного питания (Таблица 2).

3. Значения фактора расположения объекта предпринимательской деятельности (Таблица 3).

4. Значения фактора расположения объекта наружной рекламы (Таблица 4).

5. Значения фактора места расположения объекта временного размещения и проживания (Таблица 5).

6. Значения фактора, учитывающего особенности осуществления деятельности по оказанию автотранспортных услуг по перевозке пассажиров (Таблица 6).

Для налогоплательщиков - инвалидов с детства, инвалидов I и II групп, индивидуально осуществляющих деятельность без привлечения наемных работников, общественных организаций, оказывающих бытовые услуги при среднесписочной численности инвалидов не менее 50 процентов и доле заработной платы инвалидов в фонде оплаты труда не менее 50 процентов, значения коэффициента К2 уменьшаются в 2 раза.

В случае если при определении коэффициента К2 его значение получается более или менее соответственно 1 или 0,005, то устанавливается значение коэффициента К2 равным соответственно 1 или 0,005.

Таблица 1

Фактор вида предпринимательской деятельности

Наименование вида предпринимательской деятельности Значение фактора
1. Бытовые услуги
Код по ОКВЭД2 Наименование кода по ОКВЭД2 Код по ОКПД2 Наименование кода по ОКПД2 Значение фактора
01.61 Предоставление услуг в области растениеводства 01.61.10.140 Услуги по защите сельскохозяйственных культур от болезней и вредителей 0,35
10.11.4 Производство щипаной шерсти, сырых шкур и кож крупного рогатого скота, животных семейств лошадиных и оленевых, овец и коз 10.11.4 Шерсть щипаная, шкуры и кожи сырые крупного рогатого скота и животных семейства лошадиных, овец и коз 0,35
10.13.2 Производство колбасных изделий 10.13.14 Изделия колбасные и аналогичная пищевая продукция из мяса, субпродуктов или крови животных, из мяса и субпродуктов птицы 0,35
10.31 Переработка и консервирование картофеля 10.31 Картофель переработанный и консервированный 0,35
10.41 Производство масел и жиров 10.41 Масла и жиры 0,35
10.61.2 Производство муки из зерновых культур 10.61.2 Мука из зерновых культур, овощных и других растительных культур; смеси из них 0,35
10.61.3 Производство крупы и гранул из зерновых культур 10.61.3 Крупа, мука грубого помола, гранулы и прочие продукты из зерновых культур 0,35
13.10.9 Подготовка и прядение прочих текстильных волокон 13.10.93.120 Услуги по подготовке к прядению шерсти и волоса животных 0,35
13.30.3 Плиссировка и подобные работы на текстильных материалах 13.30.19.120 Услуги по плиссировочным и подобным работам на текстильных материалах 0,21
13.92.2 Пошив готовых текстильных изделий по индивидуальному заказу населения, кроме одежды 13.92.99.200 Услуги по пошиву готовых текстильных изделий по индивидуальному заказу населения 0,43
13.92.99.210 Услуги по пошиву столового и постельного белья по индивидуальному заказу населения 0,43
13.92.99.220 Услуги по пошиву стеганых покрывал, накидок по индивидуальному заказу населения 0,43
13.92.99.230 Услуги по пошиву чехлов всех видов по индивидуальному заказу населения 0,43
13.92.99.240 Услуги по пошиву штор, драпировок по индивидуальному заказу населения 0,43
13.92.99.250 Услуги по пошиву сопутствующих изделий (салфетки, фартуки и др.) по индивидуальному заказу населения 0,43
13.99.4 Изготовление прочих текстильных изделий по индивидуальному заказу населения, не включенных в другие группировки 13.99.99.200 Услуги по пошиву прочих текстильных изделий, не включенных в другие группировки по индивидуальному заказу населения 0,21
13.99.99.210 Услуги по изготовлению изделий текстильной галантереи по индивидуальному заказу населения 0,21
13.99.99.220 Услуги по изготовлению кружевных изделий и изделий художественного ткачества по индивидуальному заказу населения 0,21
13.99.99.230 Услуги по изготовлению жалюзи из тканей по индивидуальному заказу населения 0,21
13.99.99.240 Услуги по изготовлению отделочных деталей по индивидуальному заказу населения 0,21
14.11.2 Пошив одежды из кожи по индивидуальному заказу населения 14.11.99.200 Услуги по пошиву одежды из натуральной и искусственной кожи, замши по индивидуальному заказу населения 0,43
14.12.2 Пошив производственной одежды по индивидуальному заказу населения 14.12.99.200 Услуги по пошиву производственной одежды по индивидуальному заказу населения 0,43
14.12.99.220 Услуги по пошиву костюмов для охотников и рыболовов по индивидуальному заказу населения 0,43
14.13.3 Пошив и вязание прочей верхней одежды по индивидуальному заказу населения 14.13.99.200 Услуги по пошиву верхней одежды по индивидуальному заказу населения 0,43
14.13.99.210 Услуги по пошиву стеганых пальто, курток и жилетов по индивидуальному заказу населения 0,43
14.13.99.220 Услуги по пошиву форменной одежды по индивидуальному заказу населения 0,43
14.13.99.230 Услуги по пошиву плащей, курток, накидок и других изделий из тканей с водоотталкивающей пропиткой, прорезиненных тканей по индивидуальному заказу населения 0,43
14.13.99.240 Услуги по пошиву мужских, женских, детских верхних трикотажных изделий по индивидуальному заказу населения 0,43
14.13.99.250 Услуги по вязанию верхних трикотажных изделий по индивидуальному заказу населения 0,43
14.14.4 Пошив нательного белья по индивидуальному заказу населения 14.14.99.200 Услуги по пошиву нательного белья по индивидуальному заказу населения 0,43
14.14.99.210 Услуги по пошиву легкой одежды по индивидуальному заказу населения 0,43
14.14.99.220 Услуги по пошиву мужского, женского белья по индивидуальному заказу населения 0,43
14.14.99.230 Услуги по пошиву корсетных изделий по индивидуальному заказу населения 0,43
14.19.5 Пошив и вязание прочей одежды и аксессуаров одежды, головных уборов по индивидуальному заказу населения 14.19.99.200 Услуги по пошиву прочей одежды и аксессуаров по индивидуальному заказу населения 0,43
14.19.99.210 Услуги по пошиву мужской, женской и детской спортивной одежды по индивидуальному заказу населения 0,43
14.19.99.220 Услуги по пошиву национальной одежды по индивидуальному заказу населения 0,43
14.19.99.230 Услуги по пошиву одежды для новорожденных по индивидуальному заказу населения 0,43
14.19.99.240 Услуги по пошиву мужских, женских и детских головных уборов по индивидуальному заказу населения 0,43
14.19.99.241 Услуги по пошиву мужских, женских и детских головных уборов из натурального меха по индивидуальному заказу населения 0,43
14.19.99.242 Услуги по пошиву мужских и женских формованных головных уборов по индивидуальному заказу населения 0,43
14.19.99.250 Услуги по пошиву одежды в ансамбле (комплектная одежда) по индивидуальному заказу населения 0,43
14.19.99.260 Услуги по пошиву одежды из заранее изготовленных полуфабрикатов по индивидуальному заказу населения 0,43
14.19.99.270 Услуги по вязанию платочно-шарфовых изделий по индивидуальному заказу населения 0,43
14.19.99.280 Услуги по вязанию головных уборов по индивидуальному заказу населения 0,43
14.19.99.290 Услуги по вязанию перчаточных изделий по индивидуальному заказу населения 0,43
14.20.2 Пошив меховых изделий по индивидуальному заказу населения 14.20.99.200 Услуги по пошиву меховых изделий по индивидуальному заказу населения 0,43
14.20.99.210 Услуги по пошиву одежды из меха по индивидуальному заказу населения 0,43
14.20.99.220 Услуги по пошиву пристегивающихся воротников, капюшонов, манжет из натурального и искусственного меха по индивидуальному заказу населения 0,43
14.31.2 Изготовление вязаных и трикотажных чулочно-носочных изделий по индивидуальному заказу населения 14.31.99.200 Услуги по изготовлению трикотажных и вязаных чулочно-носочных изделий по индивидуальному заказу населения 0,43
14.39.2 Изготовление прочих вязаных и трикотажных изделий, не включенных в другие группировки по индивидуальному заказу населения 14.39.99.200 Услуги по изготовлению прочих трикотажных и вязаных изделий, не включенные в другие группировки по индивидуальному заказу населения 0,43
15.20.5 Пошив обуви и различных дополнений к обуви по индивидуальному заказу населения 15.20.99.200 Услуги по пошиву обуви по индивидуальному заказу населения
15.20.99.211 Услуги по пошиву повседневной обуви по индивидуальному заказу населения 0,52
15.20.99.212 Услуги по пошиву модельной обуви по индивидуальному заказу населения 0,52
15.20.99.213 Услуги по пошиву домашней обуви по индивидуальному заказу населения 0,52
15.20.99.214 Услуги по пошиву детской обуви по индивидуальному заказу населения 0,52
15.20.99.215 Услуги по пошиву национальной обуви по индивидуальному заказу населения 0,52
15.20.99.216 Услуги по пошиву сувенирной обуви по индивидуальному заказу населения 0,52
15.20.99.217 Услуги по изготовлению валяной обуви 0,35
15.20.99.218 Услуги по пошиву обуви по эскизам заказчика по индивидуальному заказу населения 0,52
15.20.99.219 Услуги по пошиву обуви из натуральных материалов с отделками из ценных мехов по индивидуальному заказу населения 0,52
15.20.99.221 Услуги по пошиву зимней обуви из меха по индивидуальному заказу населения 0,52
15.20.99.222 Услуги по пошиву обуви из искусственной и синтетической кожи по индивидуальному заказу населения 0,52
15.20.99.223 Услуги по пошиву обуви из текстиля по индивидуальному заказу населения 0,52
15.20.99.229 Услуги по пошиву прочей обуви по индивидуальному заказу населения 0,52
15.20.99.230 Услуги по изготовлению различных дополнений к обуви по индивидуальному заказу населения 0,27
16.24 Производство деревянной тары 16.24.12 Бочки, бочонки и прочие бондарные деревянные изделия 0,35
16.29.3 Изготовление изделий из дерева, пробки, соломки и материалов для плетения, корзиночных и плетеных изделий по индивидуальному заказу населения 16.29.99.200 Услуги по изготовлению изделий из дерева, пробки, соломки и материалов для плетения по индивидуальному заказу населения 0,35
18.14 Деятельность брошюровочно-переплетная и отделочная и сопутствующие услуги 18.14.10.200 Услуги переплетные и связанные с переплетом аналогичных изделий 0,35
23.70.2 Резка, обработка и отделка камня для памятников 23.70.1 Камень разрезанный, обработанный и отделанный 0,38
25.50.1 Предоставление услуг по ковке, прессованию, объемной и листовой штамповке и профилированию листового металла 25.50.11.110 Услуги по ковке металлов 0,43
25.61 Обработка металлов и нанесение покрытий на металлы 25.61.11.112 Услуги по лужению 0,43
25.61.11.140 Услуги по нанесению покрытий никелем, медью, хромом, драгоценными металлами электролитическим и химическим методами 0,43
25.62 Обработка металлических изделий механическая 25.62.20 Услуги по обработке металлических изделий с использованием прочих основных технологических процессов машиностроения 0,43
25.99.3 Изготовление готовых металлических изделий хозяйственного назначения по индивидуальному заказу населения 25.99.99.200 Услуги по изготовлению готовых металлических изделий хозяйственного назначения по индивидуальному заказу населения 0,43
25.99.99.211 Услуги по изготовлению ажурных декоративных решеток из металла по индивидуальному заказу населения 0,43
25.99.99.212 Услуги по изготовлению багажных корзинок по индивидуальному заказу населения 0,43
25.99.99.213 Услуги по изготовлению чеканных панно и рамок по индивидуальному заказу населения 0,43
25.99.99.214 Услуги по изготовлению секций парниковых теплиц по индивидуальному заказу населения 0,43
25.99.99.215 Услуги по изготовлению подвесок под декоративные тарелки по индивидуальному заказу населения 0,43
25.99.99.216 Услуги по изготовлению электроводонагревателей по индивидуальному заказу населения 0,43
25.99.99.217 Услуги по изготовлению металлической посуды по индивидуальному заказу населения 0,43
25.99.99.218 Услуги по изготовлению памятников, ограждений, ворот из металла по индивидуальному заказу населения 0,43
25.99.99.219 Услуги по изготовлению мангалов по индивидуальному заказу населения 0,43
25.99.99.221 Услуги по изготовлению емкостей, тепловых шкафов, поддонов, труб и др. изделий из металла, в том числе по эскизам заказчика по индивидуальному заказу населения 0,43
25.99.99.222 Услуги по изготовлению сшивно-кровельного покрытия из железа по индивидуальному заказу населения 0,43
25.99.99.223 Услуги по изготовлению деталей к бытовым машинам и приборам по индивидуальному заказу населения 0,43
25.99.99.224 Услуги по изготовлению механизмов для зашторивания по индивидуальному заказу населения 0,43
25.99.99.229 Услуги по изготовлению прочих металлических предметов хозяйственного назначения по индивидуальному заказу населения 0,43
31.02.2 Изготовление кухонной мебели по индивидуальному заказу населения 31.02.99.200 Услуги по изготовлению кухонной мебели по индивидуальному заказу населения 1,00
31.09.2 Изготовление прочей мебели и отдельных мебельных деталей, не включенных в другие группировки по индивидуальному заказу населения 31.09.91.112 Услуги по декоративному оформлению новой мебели с применением резьбы, интарсии, накладных элементов декора 1,00
31.09.91.113 Услуги по декоративно-художественному оформлению новой мебели посредством горячего тиснения, шелкографии, приклеивания анодированной фольги, позолоты и т.п. 1,00
31.09.91.115 Услуги по декоративному оформлению изделий мягкой мебели путем художественной простежки облицовочной ткани и пиковки 1,00
31.09.99.200 Услуги по изготовлению прочей мебели по индивидуальному заказу населения 1,00
31.09.99.211 Услуги по изготовлению мягкой мебели по индивидуальному заказу населения 1,00
31.09.99.212 Услуги по изготовлению плетеной мебели по индивидуальному заказу населения 1,00
31.09.99.213 Услуги по изготовлению корпусной мебели по индивидуальному заказу населения 1,00
31.09.99.214 Услуги по изготовлению секционной мебели по индивидуальному заказу населения 1,00
31.09.99.215 Услуги по изготовлению наборов мебели по индивидуальному заказу населения 1,00
31.09.99.216 Услуги по изготовлению встроенной мебели по индивидуальному заказу населения 1,00
31.09.99.217 Услуги по изготовлению дачной мебели по индивидуальному заказу населения 1,00
31.09.99.218 Услуги по изготовлению мебели для оборудования прихожих по индивидуальному заказу населения 1,00
31.09.99.219 Услуги по изготовлению деревянных карнизов, багетных рамок по индивидуальному заказу населения 1,00
31.09.99.221 Услуги по изготовлению мебели многопланового назначения и трансформируемой мебели по индивидуальному заказу населения 1,00
31.09.99.222 Услуги по изготовлению двухсторонних стенок-перегородок по индивидуальному заказу населения 1,00
31.09.99.223 Услуги по изготовлению отдельных мебельных деталей (щитов, брусков и др.) по индивидуальному заказу населения 1,00
31.09.99.224 Услуги по изготовлению щитков, решеток и коробок для маскировки отопительных приборов по индивидуальному заказу населения 1,00
31.09.99.229 Услуги по изготовлению прочей мебели, не включенные в другие группировки по индивидуальному заказу населения 1,00
32.12.6 Изготовление ювелирных изделий и аналогичных изделий по индивидуальному заказу населения 32.12.99.200 Услуги по изготовлению ювелирных и соответствующих изделий по индивидуальному заказу населения 0,43
32.12.99.211 Услуги по изготовлению ювелирных изделий по индивидуальному заказу населения 0,43
32.12.99.212 Услуги по изготовлению шкатулок, пудрениц, корпусов для часов по индивидуальному заказу населения 0,43
32.12.99.213 Услуги по изготовлению накладных выпильных монограмм к ювелирным изделиям по индивидуальному заказу населения 0,43
32.12.99.214 Услуги по изготовлению ювелирных изделий методом литья по выплавляемым моделям по индивидуальному заказу населения 0,43
32.12.99.215 Услуги по изготовлению памятных медалей по индивидуальному заказу населения 0,43
32.12.99.216 Услуги по чеканке и гравировке ювелирных изделий по индивидуальному заказу населения 0,43
32.12.99.217 Услуги по чернению изделий из серебра по индивидуальному заказу населения 0,43
32.12.99.218 Услуги по обработке поделочных ювелирных камней и закрепление их в ювелирных изделиях 0,43
32.12.99.219 Услуги по изготовлению прочих ювелирных изделий по индивидуальному заказу населения 0,43
32.13.2 Изготовление бижутерии и подобных товаров по индивидуальному заказу населения 32.13.99.200 Услуги по изготовлению бижутерии и подобных изделий по индивидуальному заказу населения 0,43
32.13.99.210 Услуги по изготовлению браслетов к часам по индивидуальному заказу населения 0,43
32.99 Производство прочих готовых изделий, не включенных в другие группировки 32.99.3 Изделия из волоса человека или животных; аналогичные изделия из текстильных материалов 0,70
32.99.59 Изделия различные прочие, не включенные в другие группировки 0,38
33.12 Ремонт машин и оборудования 33.12.17 Услуги по ремонту и техническому обслуживанию ручных инструментов с механическим приводом 0,36
33.13 Ремонт электронного и оптического оборудования 33.13.11 Услуги по ремонту и техническому обслуживанию инструментов и приборов для измерения, испытаний и навигации 0,36
33.15 Ремонт и техническое обслуживание судов и лодок 33.15.10 Услуги по ремонту и техническому обслуживанию судов и лодок 1,00
33.19 Ремонт прочего оборудования 33.19.10 Услуги по ремонту прочего оборудования 1,00
38.32 Утилизация отсортированных материалов 38.32.1 Услуги по сортировке материалов для восстановления 1,00
41.10 Разработка строительных проектов 41.10.10 Документация проектная для строительства 0,52
41.20 Строительство жилых и нежилых зданий 41.20.30 Работы по возведению жилых зданий:
- строительство 1,00
- ремонт 0,52
41.20.40 Работы строительные по возведению нежилых зданий и сооружений (работы по строительству новых объектов, возведению пристроек, реконструкции и ремонту зданий):
- строительство 1,00
- ремонт 0,52
42.21 Строительство инженерных коммуникаций для водоснабжения и водоотведения, газоснабжения 42.21.22 Работы строительные по прокладке местных трубопроводов 1,00
42.21.23 Работы строительные по строительству оросительных систем (каналов), водоводов и водоводных конструкций, водоочистных станций, станций очистки сточных вод и насосных станций 1,00
42.21.24.110 Работы по бурению водозаборных скважин или отрывке колодцев, требующие специальной квалификации 1,00
43.21 Производство электромонтажных работ 43.21.10 Работы электромонтажные 0,36
43.22 Производство санитарно-технических работ, монтаж отопительных систем и систем кондиционирования воздуха 43.22.11.120 Работы по монтажу санитарно-технических приборов 0,52
43.22.12.140 Работы по ремонту и техническому обслуживанию бытовых отопительных котлов и бойлеров 0,43
43.29 Производство прочих строительно-монтажных работ 43.29.11 Работы изоляционные 1,00
43.29.12.110 Работы по установке оград, заборов, защитных перильных и аналогичных ограждений 0,52
43.31 Производство штукатурных работ 43.31.10 Работы штукатурные 1,00
43.32 Работы столярные и плотничные 43.32.10 Работы столярные и плотничные 0,52
43.32.1 Установка дверей (кроме автоматических и вращающихся), окон, дверных и оконных рам из дерева или прочих материалов
43.32.2 Работы по установке внутренних лестниц, встроенных шкафов, встроенного кухонного оборудования
43.32.3 Производство работ по внутренней отделке зданий (включая потолки, раздвижные и съемные перегородки и т.д.)
43.33 Работы по устройству покрытий полов и облицовке стен 43.33.10 Работы по облицовке полов и стен плитками 1,00
43.33.2 Работы по устройству покрытий полов и стен прочие, включая работы обойные 1,00
43.34 Производство малярных и стекольных работ 43.34 Работы малярные и стекольные 1,00
43.34.1 Производство малярных работ
43.34.2 Производство стекольных работ
43.39 Производство прочих отделочных и завершающих работ 43.39.11 Работы отделочные декоративные 0,52
43.91 Производство кровельных работ 43.91.19 Работы кровельные прочие 0,52
43.99 Работы строительные специализированные прочие, не включенные в другие группировки 43.99.10 Работы гидроизоляционные 1,00
43.99.40 Работы бетонные и железобетонные 0,52
43.99.60 Работы каменные и кирпичные:
- кладка печей, очагов, дымоходов, газоходов 1,00
- ремонт и перекладка печей, дымоходов и газоходов 0,52
43.99.90.130 Работы строительные по строительству открытых плавательных бассейнов 1,00
43.99.90.140 Работы строительные по устройству декоративных каминов, печей, очагов, дымоходов, газоходов 1,00
43.99.90.190 Работы строительные специализированные прочие, не включенные в другие группировки 0,52
47.78.22 Сборка и ремонт очков в специализированных магазинах 47.78.20.200 Услуги по сборке и ремонту очков в специализированных магазинах 0,35
58.19 Виды издательской деятельности прочие 58.19.11.200 Прочая издательская продукция печатная 0,35
74.10 Деятельность специализированная в области дизайна 74.10.11 Услуги по дизайну интерьеров 0,52
74.10.19 Услуги по специализированному дизайну прочие 0,52
74.20 Деятельность в области фотографии 74.20.21 Услуги портретной фотографии 0,38
74.20.21.111 Услуги по изготовлению в павильоне черно-белых и цветных фотоснимков для документов 0,38
74.20.21.112 Услуги по изготовлению в павильоне черно-белых и цветных художественных, в том числе комбинированных, фотоснимков 0,38
74.20.21.113 Услуги по изготовлению вне павильона черно-белых и цветных фотоснимков для документов 0,38
74.20.21.114 Услуги по изготовлению малоформатных фотоснимков в фотоавтоматах 0,38
74.20.21.115 Услуги по изготовлению портретов с негатива или фотоснимка заказчика 0,38
74.20.21.116 Услуги по изготовлению вне павильона черно-белых и цветных художественных фотоснимков 0,38
74.20.21.119 Прочие услуги в области портретной фотографии 0,38
74.20.23 Услуги в области фото- и видеосъемки событий 0,38
74.20.31 Услуги по обработке фотоматериалов 0,38
74.20.32 Услуги по восстановлению и ретушированию фотографий 0,38
74.20.39 Услуги в области фотографии прочие, не включенные в другие группировки 0,38
74.30 Деятельность по письменному и устному переводу 74.30 Услуги по письменному и устному переводу 0,19
77.11 Аренда и лизинг легковых автомобилей и легких автотранспортных средств 77.11.10 Услуги по аренде и лизингу легковых автомобилей и легких автотранспортных средств 0,19
77.12 Аренда и лизинг грузовых транспортных средств 77.12.11 Услуги по аренде и лизингу грузовых транспортных средств без водителя 0,19
77.21 Прокат и аренда товаров для отдыха и спортивных товаров 77.21.10 Услуги по прокату оборудования для отдыха, развлечений и занятий спортом 0,19
77.22 Прокат видеокассет и аудиокассет, грампластинок, компакт-дисков (CD), цифровых видеодисков (DVD) 77.22.10 Услуги по прокату видеокассет и аудиокассет, грампластинок, компакт-дисков (CD), цифровых видеодисков (DVD) 0,19
77.29 Прокат и аренда прочих предметов личного пользования и хозяйственно-бытового назначения 77.29 Услуги по прокату прочих бытовых изделий и предметов личного пользования 0,19
77.29.1 Прокат телевизоров, радиоприемников, устройств видеозаписи, аудиозаписи и подобного оборудования
77.29.2 Прокат мебели, электрических и неэлектрических бытовых приборов
77.29.3 Прокат музыкальных инструментов
77.29.9 Прокат прочих бытовых изделий и предметов личного пользования для домашних хозяйств, предприятий и организаций, не включенных в другие группировки
77.31 Аренда и лизинг сельскохозяйственных машин и оборудования 77.31.10 Услуги по аренде и лизингу сельскохозяйственных машин и оборудования 0,19
77.33 Аренда и лизинг офисных машин и оборудования, включая вычислительную технику 77.33.1 Услуги по аренде и лизингу офисных машин и оборудования, включая вычислительную технику
77.33.1 Аренда и лизинг офисных машин и оборудования 0,19
77.33.2 Аренда и лизинг вычислительных машин и оборудования 1,00
81.21.1 Деятельность по уборке квартир и частных домов 81.21.10 Услуги по общей уборке зданий 0,19
81.22 Деятельность по чистке и уборке жилых зданий и нежилых помещений прочая 81.22.11 Услуги по мытью окон 0,19
81.22.13 Услуги по чистке печей и дымоходов 0,52
81.29.1 Дезинфекция, дезинсекция, дератизация зданий, промышленного оборудования 81.29.13 Услуги санитарно-гигиенические прочие 0,19
81.29.2 Подметание улиц и уборка снега 81.29.12 Услуги по подметанию и уборке снега 0,19
81.29.9 Деятельность по чистке и уборке прочая, не включенная в другие группировки 81.29.19 Услуги по чистке и уборке прочие, не включенные в другие группировки 0,19
81.30 Деятельность по благоустройству ландшафта 81.30.10 Услуги по планировке ландшафта 0,52
82.19 Деятельность по фотокопированию и подготовке документов и прочая специализированная вспомогательная деятельность по обеспечению деятельности офиса 82.19.13 Услуги по подготовке документов и прочие услуги по обеспечению деятельности офиса 0,19
88.10 Предоставление социальных услуг без обеспечения проживания престарелым и инвалидам 88.10.14 Услуги по посещению и оказанию помощи для инвалидов 0,19
88.91 Предоставление услуг по дневному уходу за детьми 88.91.13 Услуги няни по уходу за ребенком 0,19
93.29.3 Организация обрядов (свадеб, юбилеев), в т.ч. музыкальное сопровождение 93.29.19 Услуги по организации отдыха и развлечений прочие, не включенные в другие группировки 0,13
93.29.9 Деятельность зрелищно-развлекательная прочая, не включенная в другие группировки 93.29.21 Услуги по проведению фейерверков, световых и звуковых представлений 0,19
95.11 Ремонт компьютеров и периферийного компьютерного оборудования 95.11.10.110 Услуги по ремонту электрокалькуляторов, персональных машин ЭВМ, компьютерной техники, включая ноутбуки, принтеры, сканеры, процессоры, мониторы, компьютерную клавиатуру 0,36
95.11.10.120 Услуги по ремонту ксерокопировальных аппаратов 0,36
95.11.10.130 Услуги по заправке картриджей для принтеров 0,36
95.11.10.190 Услуги по ремонту прочего компьютерного и периферийного компьютерного оборудования 0,36
95.12 Ремонт коммуникационного оборудования 95.12.10 Услуги по ремонту коммуникационного оборудования 0,36
95.21 Ремонт электронной бытовой техники 95.21.10.100 Услуги по ремонту приборов бытовой электроники 0,36
95.21.10.110 Услуги по ремонту телевизоров 0,36
95.21.10.120 Услуги по ремонту видеозаписывающей аппаратуры 0,36
95.21.10.130 Услуги по ремонту видеовоспроизводящей аппаратуры 0,36
95.21.10.140 Услуги по ремонту звукозаписывающей и звуковоспроизводящей аппаратуры 0,36
95.21.10.150 Услуги по ремонту многофункциональных бытовых радиоэлектронных аппаратов 0,36
95.21.10.160 Услуги по ремонту устройств спутникового телевидения 0,36
95.21.10.190 Услуги по ремонту прочей бытовой радиоэлектронной аппаратуры 0,36
95.21.10.200 Услуги по техническому обслуживанию бытовой радиоэлектронной аппаратуры 0,36
95.21.10.300 Услуги по установке, подключению, сопряжению бытовой радиоэлектронной аппаратуры 0,36
95.22 Ремонт бытовых приборов, домашнего и садового инвентаря
95.22.1 Ремонт бытовой техники 95.22.10.100 Услуги по ремонту бытовых машин, узлов и деталей к ним 0,34
95.22.10.110 Услуги по ремонту холодильников, морозильников 0,34
95.22.10.120 Услуги по ремонту пылесосов 0,34
95.22.10.130 Услуги по ремонту электрополотеров 0,34
95.22.10.140 Услуги по ремонту стиральных и сушильных машин 0,34
95.22.10.150 Услуги по ремонту швейных, вязальных машин (ручных) 0,34
95.22.10.160 Услуги по ремонту гладильных машин 0,34
95.22.10.170 Услуги по ремонту универсальных кухонных бытовых машин, комбайнов, автоматических посудомоечных машин 0,34
95.22.10.180 Услуги по ремонту газовых и электроплит в жилых помещениях 0,34
95.22.10.190 Услуги по ремонту прочих бытовых машин 0,34
95.22.10.200 Услуги по ремонту бытовых приборов 0,36
95.22.10.211 Услуги по ремонту приборов гигиены рта, включаемых в сеть 0,36
95.22.10.212 Услуги по ремонту электрических и механических машинок для стрижки волос 0,36
95.22.10.213 Услуги по ремонту электрических и механических бритв 0,36
95.22.10.214 Услуги по ремонту пульверизаторов 0,36
95.22.10.215 Услуги по ремонту приборов для массажа 0,36
95.22.10.216 Услуги по ремонту фенов 0,36
95.22.10.217 Услуги по ремонту электрических ножниц 0,36
95.22.10.218 Услуги по ремонту электровулканизаторов 0,36
95.22.10.219 Услуги по ремонту бытовых электрокраскораспылителей 0,36
95.22.10.221 Услуги по ремонту приборов автоматики и управления бытовых машин и приборов 0,36
95.22.10.222 Услуги по ремонту фотоаппаратов, фотоувеличителей 0,36
95.22.10.223 Услуги по ремонту фотовспышек, экспонометров 0,36
95.22.10.224 Услуги по ремонту кинопроекторов, диапроекторов и другой проекционной аппаратуры 0,36
95.22.10.225 Услуги по ремонту биноклей 0,36
95.22.10.226 Услуги по ремонту слуховых аппаратов 0,36
95.22.10.227 Услуги по ремонту ручных и электрических насосов 0,36
95.22.10.228 Услуги по ремонту бытовых электронагревательных приборов (электроплиток, электрорадиаторов, электрокаминов, электрогрелок, электроутюгов и др.) 0,36
95.22.10.229 Услуги по ремонту бытовых весоизмерительных приборов (весов пружинных напольных), не подлежащих госповерке 0,36
95.22.10.230 Услуги по ремонту бытовых кухонных приборов 0,36
95.22.10.241 Услуги по ремонту медогонок, сепараторов 0,36
95.22.10.242 Услуги по ремонту бытовых электровоздухоочистителей и надплитных электрофильтров 0,36
95.22.10.243 Услуги по ремонту комнатных кондиционеров воздуха 0,36
95.22.10.244 Услуги по ремонту увлажнителей воздуха, озонаторов, бытовых ионизаторов 0,36
95.22.10.245 Услуги по ремонту вентиляторов, теплоэлектровентиляторов, калориферов 0,36
95.22.10.246 Услуги по ремонту электроприборов для загара 0,36
95.22.10.247 Услуги по ремонту сифонов и автосифонов, в том числе зарядка газовых баллончиков для сифонов 0,36
95.22.10.248 Услуги по ремонту электрозвонков 0,36
95.22.10.249 Услуги по ремонту бытовых компрессоров и микрокомпрессоров 0,36
95.22.10.251 Услуги по ремонту трансформаторов и стабилизаторов напряжения 0,36
95.22.10.252 Услуги по ремонту устройств для измельчения пищевых отходов 0,36
95.22.10.253 Услуги по ремонту баков для кипячения белья и стерилизаторов 0,36
95.22.10.254 Услуги по ремонту электроводонагревателей, в том числе проточных 0,36
95.22.10.255 Услуги по ремонту электросушилок для одежды и обуви 0,36
95.22.10.256 Услуги по ремонту приборов с электродвигателем и приводом с питанием от батарей 0,36
95.22.10.257 Услуги по ремонту зажигалок для газовых плит с питанием от сети 0,36
95.22.10.258 Услуги по ремонту фильтров для очистки воды 0,36
95.22.10.259 Услуги по ремонту прочих бытовых приборов 0,36
95.22.2 Ремонт домашнего и садового оборудования 95.22.10.300 Услуги по ремонту домашнего и садового инвентаря 0,36
95.22.10.310 Услуги по ремонту сельхозинвентаря, минитракторов, газонокосилок 0,36
95.22.10.320 Услуги по ремонту приборов для аквариумов и садовых водоемов 0,36
95.22.10.390 Услуги по ремонту прочего домашнего и садового инвентаря 0,36
95.23 Ремонт обуви и прочих изделий из кожи 95.23.10.100 Услуги по ремонту обуви 0,27
95.23.10.110 Услуги по ремонту, реставрации верха обуви 0,27
95.23.10.111 Услуги по замене застежки-молнии, в том числе вставка блочек в сапоги вместо застежки-молнии 0,27
95.23.10.112 Услуги по изменению длины и ширины голенищ сапог 0,27
95.23.10.113 Услуги по изготовлению и прикреплению меховой опушки, замене окантовочной части верха обуви 0,27
95.23.10.114 Услуги по обновлению обуви с полной заменой верха с использованием ношеных формованных подошв 0,27
95.23.10.115 Услуги по формованию следа валяной обуви на колодке 0,27
95.23.10.116 Услуги по обновлению обуви с изменением модели кожаных сапог за счет уменьшения высоты голенищ и использования их на замену изношенных деталей 0,27
95.23.10.117 Услуги по обновлению обуви с изменением модели обуви за счет использования голенищ на детали верха 0,27
95.23.10.118 Услуги по отделке верха обуви, изготовленной из специфических кож (рептилий, рыб, лаковых) 0,27
95.23.10.119 Услуги по пропитке заготовки верха обуви водоотталкивающими препаратами 0,27
95.23.10.120 Услуги по ремонту и замене подошв 0,27
95.23.10.121 Услуги по постановке и ремонту внутренних задников, подпяточников, стелек и полустелек из различных материалов 0,27
95.23.10.122 Услуги по подшиву подошв меховой обуви 0,27
95.23.10.123 Услуги по укреплению подошв, каблуков, крокульной части подошв 0,27
95.23.10.124 Услуги по замене крокульной части подошвы в обуви на высоком каблуке 0,27
95.23.10.125 Услуги по постановке удлиненных подметок 0,27
95.23.10.126 Услуги по постановке супинаторов 0,27
95.23.10.127 Услуги по устранению переломов подошв и стелек в летней обуви с заменой деталей низа 0,27
95.23.10.128 Услуги по обновлению валяной обуви с постановкой бортовой обклейки, подошв, набоек, накладных деталей верха 0,27
95.23.10.129 Услуги по обновлению обуви с использованием пористой резины или натурального каучука для подошвы и бортовой обклейки, а также с использованием формованных подошв 0,27
95.23.10.130 Услуги по ремонту и по постановке каблуков любой формы из всех материалов 0,27
95.23.10.131 Услуги по постановке набоек, косячков, рубчиков из всех видов материалов 0,27
95.23.10.132 Услуги по декоративной отделке уреза подошвы и каблука под "формованную" 0,27
95.23.10.133 Услуги по обрезинованию валенок (рыбацкие калоши) 0,27
95.23.10.140 Услуги по окраске обуви 0,27
95.23.10.190 Прочие услуги по ремонту обуви 0,27
95.23.10.191 Услуги по восстановлению формы верха обуви из натуральных кож, подвергшихся влиянию реагентов, в том числе удаление пятен от реагентов 0,27
95.23.10.192 Услуги по изготовлению и прикрепление ремешков, язычков, удлинение ремешков и замена резинок 0,27
95.23.10.193 Услуги по изготовлению и прикрепление новых украшений, ремонт старых украшений и фурнитуры 0,27
95.23.10.194 Услуги по растяжке обуви 0,27
95.23.10.195 Услуги по полуперетяжке всех видов обуви из различных материалов 0,27
95.23.10.196 Услуги по ремонту резиновой и валяной обуви методом вулканизации 0,27
95.23.10.197 Услуги по вклеиванию новой ворсовой ткани 0,27
95.23.10.198 Услуги по ремонту обуви из синтетических материалов клеевым методом 0,27
95.23.10.199 Прочие услуги по ремонту обуви, не включенные в другие группировки 0,27
95.23.10.200 Услуги по ремонту изделий из кожи, кроме обуви 0,35
95.24 Ремонт мебели и предметов домашнего обихода
95.24.1 Ремонт мебели 95.24.10.110 Услуги по ремонту мебели 0,56
95.24.10.111 Услуги по ремонту мягкой мебели 0,56
95.24.10.112 Услуги по ремонту плетеной мебели 0,56
95.24.10.113 Услуги по ремонту корпусной мебели 0,56
95.24.10.114 Услуги по ремонту детской мебели 0,56
95.24.10.115 Услуги по ремонту кухонной мебели 0,56
95.24.10.116 Услуги по ремонту дачной мебели 0,56
95.24.10.117 Услуги по ремонту и реставрации антикварной мебели 0,56
95.24.10.118 Услуги по обновлению и переделке старых конструкций мебели на современные 0,56
95.24.10.119 Услуги по ремонту прочей мебели 0,56
95.24.10.120 Услуги по сборке мебели на дому у заказчика, приобретенной им в торговой сети в разобранном виде 0,56
95.24.10.190 Прочие услуги по ремонту мебели 0,56
95.24.10.191 Услуги по ремонту, реставрации, установке и креплению стекол и зеркал для мебели 0,56
95.24.10.192 Услуги по установке и креплению филенок, полок, фурнитуры 0,56
95.24.10.193 Услуги по замене старых настилочных и набивочных материалов новыми рулонными и пластовыми материалами при ремонте мягких элементов мебели 0,56
95.24.10.194 Услуги по замене старого лакокрасочного покрытия 0,56
95.24.10.199 Прочие услуги по ремонту мебели, не включенные в другие группировки 0,56
95.24.2 Ремонт предметов домашнего обихода 95.24.10.130 Услуги по ремонту предметов домашнего обихода 0,56
95.25 Ремонт часов и ювелирных изделий
95.25.1 Ремонт часов 95.25.11.100 Услуги по ремонту часов
95.25.11.111 Услуги по ремонту наручных и карманных механических часов 0,36
95.25.11.112 Услуги по ремонту настольных, настенных и напольных часов 0,36
95.25.11.113 Услуги по ремонту наручных и карманных электронно-механических (кварцевых с шаговым двигателем) часов 0,36
95.25.11.114 Услуги по ремонту электронно-механических будильников, а также будильников с шаговым двигателем 0,36
95.25.11.115 Услуги по ремонту электронно-механических настольных и настенных часов 0,36
95.25.11.116 Услуги по ремонту наручных и карманных электронных часов с цифровой индикацией 0,36
95.25.11.117 Услуги по ремонту настольных электронных часов с цифровой индикацией, работающих от сети 0,36
95.25.11.118 Услуги по ремонту настольных электронных часов с цифровой индикацией на жидких кристаллах, а также с музыкальным воспроизведением будильников (микропроцессором) 0,36
95.25.11.119 Услуги по ремонту секундомеров 0,36
95.25.11.121 Услуги по ремонту шагомеров 0,36
95.25.11.122 Услуги по ремонту антикварных и старинных часов, изготовление узлов и деталей к ним 0,36
95.25.11.123 Услуги по покраске металлических корпусов будильников и крупногабаритных часов 0,36
95.25.11.124 Услуги по ремонту корпусов часов 0,43
95.25.11.125 Услуги по ремонту браслетов к часам 0,43
95.25.11.126 Услуги по замене элементов питания в электронных часах и других приборах 0,35
95.25.11.129 Услуги по ремонту прочих часов, не включенные в другие группировки 0,36
95.25.2 Ремонт ювелирных изделий 95.25.12.110 Услуги по ремонту ювелирных изделий, бижутерии 0,43
95.25.12.111 Услуги по ремонту столовых приборов, портсигаров, пудрениц и др. 0,43
95.25.12.114 Услуги по обработке поделочных ювелирных камней и закрепление их в ювелирных изделиях 0,43
95.25.12.115 Услуги по ремонту и реставрация антикварных изделий 0,43
95.25.12.119 Прочие услуги по ремонту ювелирных изделий, не включенные в другие группировки 0,43
95.29 Ремонт прочих предметов личного потребления и бытовых товаров
95.29.1 Ремонт одежды и текстильных изделий
95.29.11 Ремонт одежды 95.29.11.100 Услуги по ремонту и подгонке/перешиву одежды, кроме трикотажной 0,21
95.29.11.110 Услуги по ремонту верхней одежды 0,21
95.29.11.120 Услуги по ремонту легкой одежды 0,21
95.29.11.130 Услуги по ремонту верхних мужских сорочек 0,21
95.29.11.140 Услуги по ремонту белья женского, мужского, детского 0,21
95.29.11.150 Услуги по ремонту корсетных изделий 0,21
95.29.11.160 Услуги по ремонту форменной одежды 0,21
95.29.11.170 Услуги по ремонту рабочей одежды 0,21
95.29.11.180 Услуги по ремонту мужских, женских, детских головных уборов 0,21
95.29.11.190 Прочие услуги по ремонту и подгонке/перешиву одежды 0,21
95.29.11.191 Услуги по перешиву взрослой одежды на детскую 0,21
95.29.11.192 Услуги по вставке застежки-молнии 0,21
95.29.11.193 Услуги по изготовлению изделий из меха, бывшего в употреблении 0,21
95.29.11.194 Услуги по глажению одежды 0,21
95.29.11.195 Услуги по художественной штопке одежды 0,21
95.29.11.300 Услуги по обновлению одежды, в том числе трикотажной 0,21
95.29.12 Ремонт текстильных изделий 95.29.11.200 Услуги по ремонту и подгонке/перешиву бытовых текстильных изделий, кроме трикотажных 0,21
95.29.11.210 Услуги по ремонту столового и постельного белья 0,21
95.29.11.220 Услуги по ремонту изделий из натурального и искусственного меха 0,21
95.29.11.230 Услуги по ремонту изделий из натуральной, искусственной кожи и замши 0,21
95.29.11.240 Услуги по ремонту стеганых одеял 0,21
95.29.11.250 Услуги по ремонту изделий текстильной галантереи 0,21
95.29.11.260 Услуги по ремонту чехлов всех видов, тентов 0,21
95.29.11.270 Услуги по ремонту и реставрация кружевных изделий и изделий художественного ткачества 0,21
95.29.11.280 Услуги по ремонту покрывал, штор 0,21
95.29.11.290 Услуги по ремонту и подгонке/перешиву прочих бытовых текстильных изделий, кроме трикотажных 0,21
95.29.13 Ремонт трикотажных изделий 95.29.11.400 Услуги по ремонту трикотажных изделий 0,19
95.29.11.410 Услуги по ремонту верхних трикотажных изделий 0,19
95.29.11.420 Услуги по ремонту бельевых трикотажных изделий 0,19
95.29.11.430 Услуги по ремонту чулочно-носочных, перчаточных изделий 0,19
95.29.11.440 Услуги по ремонту головных уборов 0,19
95.29.11.450 Услуги по ремонту платочно-шарфовых изделий 0,19
95.29.11.460 Услуги по ремонту трикотажных изделий, комбинированных с тканями, искусственной кожей, мехом и др. 0,19
95.29.11.490 Прочие услуги по ремонту трикотажных изделий 0,19
95.29.2 Ремонт спортивного и туристского оборудования 95.29.14.110 Услуги по ремонту и обслуживанию спортивного инвентаря
95.29.14.111 Услуги по ремонту туристского снаряжения и инвентаря 0,35
95.29.14.112 Услуги по ремонту скейтов 0,36
95.29.14.113 Услуги по ремонту роликовых коньков и лыжероллеров 0,36
95.29.14.114 Услуги по ремонту, клепка и точка коньков 0,36
95.29.14.115 Услуги по ремонту и установке жестких лыжных креплений 0,36
95.29.14.116 Услуги по ремонту ружей для подводной охоты 0,36
95.29.14.117 Услуги по ремонту рыболовных принадлежностей 0,36
95.29.14.118 Услуги по ремонту оборудования для аквалангистов 0,36
95.29.14.119 Услуги по ремонту и обслуживанию прочего спортивного инвентаря 0,36
95.29.19 Услуги по ремонту прочих предметов личного потребления и бытовых товаров, не включенных в другие группировки
95.29.3 Ремонт игрушек и подобных им изделий 95.29.19.100 Услуги по ремонту игрушек
95.29.19.110 Услуги по ремонту электрических игрушек с питанием от сети 0,36
95.29.19.120 Услуги по ремонту электротехнических игр 0,36
95.29.19.130 Услуги по ремонту заводных механических игрушек 0,43
95.29.19.140 Услуги по ремонту оборудования для детских игр 0,43
95.29.19.190 Услуги по ремонту прочих игрушек, не включенных в другие группировки 0,35
95.29.4 Ремонт металлоизделий бытового и хозяйственного назначения
95.29.41 Ремонт предметов и изделий из металла 95.29.19.200 Услуги по ремонту металлоизделий 0,43
95.29.19.211 Услуги по ремонту примусов, керосинок, керогазов 0,43
95.29.19.212 Услуги по ремонту бензиновых и газовых зажигалок 0,43
95.29.19.213 Услуги по ремонту замков 0,43
95.29.19.217 Услуги по ремонту зонтов и футляров к ним 0,43
95.29.19.218 Услуги по ремонту бытовой мебели из металла 0,43
95.29.19.219 Услуги по ремонту сейфов и несгораемых шкафов индивидуального пользования 0,43
95.29.19.222 Услуги по ремонту металлической посуды 0,43
95.29.19.223 Услуги по ремонту механизмов для зашторивания 0,43
95.29.19.224 Услуги по ремонту газовых и бензиновых портативных плиток 0,43
95.29.19.225 Услуги по ремонту мясорубок, соковарок и скороварок 0,43
95.29.19.229 Услуги по ремонту прочих металлических предметов хозяйственного назначения 0,43
95.29.42 Ремонт металлической галантереи, ключей, номерных знаков, указателей улиц 95.29.19.221 Услуги по ремонту и изготовлению металлической галантереи, ключей, номерных знаков, указателей улиц 0,43
95.29.43 Заточка пил, чертежных и других инструментов, ножей, ножниц, бритв, коньков и т.п. 95.29.19.214 Услуги по ремонту и заточке чертежных инструментов 0,43
95.29.19.215 Услуги по ремонту, заточке, шлифовке и правке ножей, ножниц, бритв 0,43
95.29.19.216 Услуги по ремонту, насечке, разводке, заточке пил для поперечной распиловки и лучковых пил 0,43
95.29.5 Ремонт бытовых осветительных приборов 95.29.19.300 Услуги по ремонту осветительных приборов 0,36
95.29.6 Ремонт велосипедов 95.29.12 Услуги по ремонту велосипедов 0,36
95.29.7 Ремонт и настройка музыкальных инструментов (кроме органов и исторических музыкальных инструментов) 95.29.13 Услуги по ремонту и обслуживанию музыкальных инструментов 0,36
95.29.9 Ремонт прочих бытовых изделий и предметов личного пользования 0,43
96.01 Стирка и химическая чистка текстильных и меховых изделий 96.01.12.111 Услуги по химической чистке одежды из тканей с содержанием натуральных, синтетических и искусственных волокон 0,50
96.01.12.112 Услуги по химической чистке одежды из тканей с пленочным покрытием 0,50
96.01.12.113 Услуги по химической чистке изделий из тканей на синтепоне 0,50
96.01.12.114 Услуги по химической чистке изделий из натурального меха 0,50
96.01.12.115 Услуги по химической чистке изделий из искусственного меха 0,50
96.01.12.116 Услуги по химической чистке изделий из натуральной замши и замшевой винилискожи 0,50
96.01.12.117 Услуги по химической чистке изделий из овчины и велюра 0,50
96.01.12.118 Услуги по химической чистке изделий из натуральной кожи и винилискожи 0,50
96.01.12.119 Услуги по химической чистке изделий, комбинированных из натуральной кожи и винилискожи, натурального и искусственного меха, натуральной замши и замшевой винилискожи 0,50
96.01.12.121 Услуги по химической чистке трикотажных изделий 0,50
96.01.12.122 Услуги по химической чистке головных уборов из велюра, замши, фетра 0,50
96.01.12.123 Услуги по химической чистке головных уборов из натурального и искусственного меха 0,50
96.01.12.124 Услуги по химической чистке головных уборов из шерсти, пуха и других материалов 0,50
96.01.12.125 Услуги по химической чистке изделий из декоративных тканей на основе смеси из искусственных волокон 0,50
96.01.12.126 Услуги по химической чистке изделий из нетканых материалов 0,50
96.01.12.127 Услуги по химической чистке шерстяных, хлопчатобумажных одеял и пледов 0,50
96.01.12.128 Услуги по химической чистке ватных одеял 0,50
96.01.12.129 Услуги по химической чистке ковров и ковровых изделий 0,50
96.01.12.131 Услуги по химической чистке мягких игрушек 0,50
96.01.12.132 Услуги по химической чистке зонтов 0,50
96.01.12.133 Услуги по химической чистке платков, шарфов, перчаток, варежек, галстуков, косынок из различных материалов 0,50
96.01.12.134 Услуги по химической чистке спальных мешков из различных материалов 0,50
96.01.12.135 Услуги по химической чистке спецодежды 0,50
96.01.12.136 Услуги по химической чистке изделий из ворсовых тканей 0,50
96.01.12.137 Услуги по химической чистке гобеленов 0,50
96.01.12.138 Услуги по химической чистке гардинно-тюлевых изделий 0,50
96.01.12.139 Услуги по химической чистке перопуховых изделий 0,50
96.01.12.141 Услуги по химической чистке мебели и ковров на дому 0,50
96.01.12.142 Срочная химчистка одежды и выведение пятен 0,50
96.01.12.143 Услуги по химической чистке одежды методом самообслуживания 0,50
96.01.12.144 Услуги по химической чистке чехлов для сидений автомобиля 0,50
96.01.12.145 Услуги по аквачистке 0,50
96.01.12.200 Прочие услуги при химической чистке 0,50
96.01.12.211 Услуги по противомолевой обработке изделий после химической чистки 0,50
96.01.12.212 Услуги по антистатической обработке 0,50
96.01.12.213 Услуги по водоотталкивающей пропитке спецодежды и других изделий из брезента 0,50
96.01.12.214 Услуги по аппретированию складок брюк и юбок для придания устойчивой формы 0,50
96.01.12.215 Услуги по аппретированию одежды после мокрой обработки и крашения 0,50
96.01.12.216 Услуги по аппретированию изделий из натуральной замши и овчины 0,50
96.01.12.217 Услуги по аппретированию ковров после химической чистки 0,50
96.01.12.218 Услуги по расчесыванию натуральных и искусственных мехов после химчистки 0,50
96.01.12.219 Услуги по замене наперников при химической чистке перопуховых изделий 0,50
96.01.12.221 Услуги по растяжке пуховых платков после химической чистки 0,50
96.01.12.222 Услуги по восстановлению формы и размеров трикотажных изделий из шерстяной и полушерстяной пряжи, деформированных после стирки в домашних условиях 0,50
96.01.12.223 Услуги по восстановлению первоначальных форм и размеров мужских головных уборов из фетра, велюра и замши 0,50
96.01.12.224 Услуги по отпарыванию и пришиванию пуговиц, меховых воротников на изделиях, сдаваемых в химическую чистку 0,50
96.01.12.225 Услуги по текущему ремонту одежды после химчистки и крашения 0,50
96.01.12.226 Услуги по глажению изделий после химической чистки методом самообслуживания 0,50
96.01.12.227 Услуги по декатированию швейных материалов 0,50
96.01.12.228 Услуги по реставрации ковровых изделий 0,50
96.01.12.229 Услуги по бактерицидной обработке изделий 0,50
96.01.12.231 Услуги по огнезащитной обработке изделий 0,50
96.01.12.232 Услуги по дезодорации одежды 0,50
96.01.12.233 Услуги по грязеотталкивающей обработке поверхности ковров и ковровых изделий 0,50
96.01.12.234 Услуги по обработке латексом изнанки ковров и ковровых изделий 0,50
96.01.12.235 Услуги по отбеливанию пряжи и гардинно-тюлевых изделий 0,50
96.01.12.236 Услуги по обновлению изделий из натуральной кожи покрывного крашения 0,50
96.01.12.237 Услуги по импрегнированию изделий из велюра и замши 0,50
96.01.14.111 Услуги по крашению текстильных и трикотажных изделий из натуральных волокон 0,52
96.01.14.112 Услуги по крашению изделий с наличием синтетических волокон 0,52
96.01.14.113 Услуги по крашению изделий из искусственного меха 0,52
96.01.14.114 Услуги по крашению изделий из натурального меха и замши 0,52
96.01.14.115 Услуги по крашению овчины 0,52
96.01.14.116 Услуги по крашению изделий из тканей с пленочным покрытием 0,52
96.01.14.117 Услуги по крашению изделий из ворсовых и лицевых кож 0,52
96.01.14.119 Услуги по крашению прочих изделий 0,52
96.01.19.100 Услуги прачечных 0,26
96.01.19.111 Услуги по стирке белья в прачечной самообслуживания 0,26
96.01.19.112 Услуги по стирке белья в прачечной самообслуживания персоналом прачечной 0,26
96.01.19.113 Услуги по сушке и глажению белья в прачечной самообслуживания 0,26
96.01.19.114 Услуги по срочной стирке белья 0,26
96.01.19.115 Услуги по стирке прямого хлопчатобумажного и льняного белья 0,26
96.01.19.116 Услуги по стирке фасонного хлопчатобумажного и льняного белья 0,26
96.01.19.117 Услуги по стирке верхних мужских сорочек 0,26
96.01.19.118 Услуги по антистатической обработке верхних мужских сорочек 0,26
96.01.19.119 Услуги по дезодорации верхних мужских сорочек 0,26
96.01.19.121 Услуги по стирке изделий из искусственных, синтетических и смешанных тканей 0,26
96.01.19.122 Услуги по стирке стеганых одеял 0,26
96.01.19.123 Услуги по стирке чехлов для сидений автомобилей, чехлов для мебели и др. 0,26
96.01.19.124 Услуги по стирке спецодежды 0,26
96.01.19.125 Услуги по стирке белья с различными пятнами, требующей особого режима обслуживания 0,26
96.01.19.126 Услуги по ароматизации белья после стирки 0,26
96.01.19.127 Услуги по дезинфекции белья 0,26
96.01.19.128 Услуги по изготовлению меток для белья 0,26
96.01.19.129 Услуги по текущему ремонту белья и верхних мужских сорочек 0,26
96.01.19.131 Услуги по пришиванию меток к белью и прием белья в стирку 0,26
96.01.19.132 Услуги по приему белья в стирку на дому у заказчика и доставка белья после стирки 0,26
96.01.19.139 Прочие услуги прачечных 0,26
96.02 Предоставление услуг парикмахерскими и салонами красоты 0,70
96.02.1 Предоставление парикмахерских услуг 96.02.11 Услуги парикмахерские для женщин и девочек 0,70
96.02.12 Услуги парикмахерские для мужчин и мальчиков 0,70
96.02.2 Предоставление косметических услуг парикмахерскими и салонами красоты 96.02.13.111 Услуги по простому и сложному гриму лица, макияж 0,70
96.02.13.112 Услуги по окраске бровей и ресниц, коррекции формы бровей, наращиванию ресниц, завивке ресниц 0,70
96.02.13.113 Услуги по косметическим маскам по уходу за кожей лица и шеи с применением косметических средств 0,70
96.02.13.114 Услуги по гигиеническому массажу лица и шеи, включая эстетический, стимулирующий, дренажный, аппаратный массаж, СПА-массаж 0,70
96.02.13.115 Услуги по косметическому комплексному уходу за кожей лица и шеи 0,70
96.02.13.116 Услуги по косметическому татуажу, пирсингу 0,70
96.02.13.117 Гигиеническая чистка лица 0,70
96.02.13.120 Услуги по маникюру 0,70
96.02.13.130 Услуги по педикюру 0,70
96.02.19.110 Услуги косметические прочие 0,70
96.02.19.111 Услуги по СПА-уходу по телу, включая гигиенические, релаксирующие, эстетические методы с использованием косметических средств, природных и преформированных факторов воздействия 0,70
96.02.19.112 Услуги по косметическому комплексному уходу за кожей тела, удалению волос с помощью косметических средств 0,70
96.03 Организация похорон и предоставление связанных с ними услуг 96.03.11.100 Услуги по захоронению 0,38
96.03.11.200 Услуги крематориев 0,38
96.03.11.300 Услуги по содержанию и обслуживанию кладбищ, уходу за могилами и местами захоронения 0,38
96.03.11.311 Услуги по установке, снятию окраски надмогильных сооружений 0,38
96.03.11.312 Услуги по нанесению надписей на памятниках, мраморных досках, крепление фотографий на памятниках, высечка барельефов, выполнение графических портретов на памятниках, скульптурные работы и т.п. 0,38
96.03.11.313 Услуги по установке и ремонту ограды, памятных знаков 0,38
96.03.11.314 Услуги по уходу за могилой 0,38
96.03.11.315 Услуги по сооружению склепов и мемориальных комплексов 0,38
96.03.11.316 Услуги по изготовлению надгробных сооружений из различных материалов и их реставрация 0,38
96.03.11.319 Прочие услуги по захоронению и кремации 0,38
96.03.12.111 Услуги приемщика заказов службы по организации похорон 0,38
96.03.12.112 Услуги по подаче объявлений, некролога, составление текстов траурной речи, оповещение родственников 0,38
96.03.12.113 Услуги по прокату зала и его оформление для проведения гражданской панихиды, обряда поминания 0,38
96.03.12.114 Услуги организатора ритуала по похоронам 0,38
96.03.12.115 Услуги по организации похорон 0,38
96.03.12.116 Услуги по бальзамированию трупа 0,38
96.03.12.117 Услуги по санитарной и косметической обработке трупа 0,38
96.03.12.118 Услуги по предпохоронному сохранению тел умерших 0,38
96.03.12.119 Услуги по перевозке тела (останков умершего на кладбище (крематорий) 0,38
96.03.12.121 Услуги по проведению эксгумации, транспортировка и перезахоронение останков 0,38
96.03.12.122 Услуги по пошиву, изготовлению и прокату похоронных принадлежностей 0,38
96.03.12.123 Услуги по изготовлению траурных венков, искусственных цветов, гирлянд 0,38
96.03.12.129 Прочие услуги похоронных бюро 0,38
96.04 Деятельность физкультурно-оздоровительная 96.04.10 Услуги в области физкультурно-оздоровительной деятельности:
- услуги бань и душевых 0,26
- услуги саун 0,43
- услуги соляриев 0,70
- прочие услуги, оказываемые в банях и душевых 0,70
96.09 Предоставление прочих персональных услуг, не включенных в другие группировки 96.09.11 Услуги по уходу за домашними животными 0,35
96.09.19.111 Услуги справочно-информационной службы по оказанию услуг населению по заполнению бланков, написанию заявлений, снятию копий по индивидуальному заказу населения 0,19
96.09.19.112 Услуги справочно-информационной службы по приему в расклейку объявлений 0,19
96.09.19.113 Услуги копировально-множительные по индивидуальному заказу населения 0,19
96.09.19.114 Услуги посреднические на информацию о финансовых, экономических, промышленных и иных данных по индивидуальному заказу населения 0,19
96.09.19.115 Услуги по оборудованию квартир (навеска карнизов, картин, вешалок, зеркал и др. предметов) 0,19
96.09.19.116 Услуги по стирке и глажению белья на дому у заказчика 0,19
96.09.19.125 Услуги по вспашке огородов, распиловке дров по индивидуальному заказу населения 0,35
96.09.19.126 Граверные работы по металлу, стеклу, фарфору, дереву, керамике, кроме ювелирных изделий, по индивидуальному заказу населения 0,35
96.09.19.127 Услуги по ремонту и изготовлению гончарных изделий по индивидуальному заказу населения 0,35
96.09.19.128 Нарезка стекла и зеркал, художественная обработка стекла по индивидуальному заказу населения 0,19
96.09.19.129 Услуги по изготовлению с/х инвентаря из материала заказчика по индивидуальному заказу населения 0,35
96.09.19.139 Прочие персональные услуги, не включенные в другие группировки 0,19
Официальный источник электронного документа содержит неточность: имеется в виду код 96.09.139.
2. Ветеринарные услуги 0,48
3. Услуги по ремонту, техническому обслуживанию и мойке автомототранспортных средств 0,50
4. Услуги по предоставлению во временное владение (пользование) мест для стоянки автомототранспортных средств, а также по хранению автомототранспортных средств на платных стоянках (за исключением штрафных автостоянок) 1,00
5. Услуги общественного питания 1,00
6. Услуги по передаче во временное владение и (или) пользование торговых мест, расположенных в объектах стационарной торговой сети, не имеющих торговых залов, объектов нестационарной торговой сети, а также объектов организации общественного питания, не имеющих зала обслуживания посетителей (по месту нахождения передаваемых объектов):
6.1. при предоставлении услуги в крытых рынках (ярмарках), торговых комплексах, торговых центрах и других аналогичных объектах 0,80
6.2. при предоставлении услуги на открытых рынках и площадках мелкорозничной торговли 0,60
6.3. при предоставлении услуги в прочих местах торговли (вокзалы, отделения связи, поликлиники, больницы, парикмахерские, бани и другие аналогичные объекты) 0,50
7. Услуги по распространению наружной рекламы с использованием рекламных конструкций 1,00
8. Услуги по временному размещению и проживанию (по видам жилых помещений):
8.1. гостиницы, мотели, общежития и другие средства размещения по видам категории предоставляемого сервиса:
пяти- и четырехзвездная 1,00
трех- и двухзвездная 0,60
однозвездная, прочие категории и некатегорийные 0,30
8.2. структурно обособленные жилые помещения по размеру оценочной стоимости помещения:
до 300 тыс. руб. 0,20
от 300 тыс. руб. до 500 тыс. руб. 0,30
от 500 тыс. руб. до 1000 тыс. руб. 0,60
от 1000 тыс. руб. и выше 1,00
9. Автотранспортные услуги по перевозке грузов 1,00
10. Автотранспортные услуги по перевозке пассажиров 1,00
11. Услуги по размещению рекламы на внешних и внутренних поверхностях транспортных средств (по видам транспортных средств):
11.1. троллейбус 0,19
11.2. автобус 0,15
11.3. трамвай 0,15
11.4. грузовой автомобиль 0,18
11.5. легковой автомобиль 0,06
11.6. прицеп 0,19
11.7. прочие 0,06
12. Услуги по передаче во временное владение и (или) пользование земельных участков для размещения объектов стационарной и нестационарной торговой сети, а также объектов организации общественного питания 0,70

Розничная торговля (по видам товаров)

Виды товаров Значение фактора
Меха, меховые и овчинно-шубные изделия (за исключением товаров для детей) 0,97
Изделия ювелирные, галантерея ювелирная и металлическая, изделия ритуально-обрядовые, награды, монеты 0,97
Мотоциклы с мощностью двигателя до 112,5 кВт (150 л.с.) 0,97
Продукция винодельческой промышленности 0,97
Водка и ликероводочные изделия 0,97
Продукция спиртового производства 0,97
Приборы бытовые электрические нагревательные. Машины и приборы бытовые с электродвигателем и работающие на основе физических эффектов 0,97
Вычислительная техника 0,97
Программные средства и информационные продукты вычислительной техники 0,97
Фото- и киноаппаратура. Аппаратура для измерения характеристики обработки фото- и киноматериалов 0,97
Кино-, фото - и магнитные материалы 0,97
Оборудование для кондиционирования воздуха и вентиляции 0,97
Изделия культурно-бытового назначения и хозяйственного обихода 0,97
Приборы времени 0,97
Продукция табачной промышленности 0,97
Продукция пивоваренной промышленности 0,97
Молоко и молочная продукция, продукция микробиологической, мукомольно-крупяной, соляной, чайной промышленности. Продукция сахарной и хлебопекарной промышленности 0,40
Изделия макаронные 0,40
Продукция растениеводства, сельского и лесного хозяйства 0,40
Сувениры 0,40
Изделия для физкультуры, спорта и туризма 0,40
Инструменты музыкальные 0,40
Изделия художественных промыслов. Оборудование, инструмент и материалы для художников. Материалы художественные. Кисти художественные ученические 0,40
Галантерея текстильная. Предметы мелкой галантереи. Значки. Принадлежности канцелярские и школьно-письменные. Принадлежности для домашнего содержания рыб, птиц и зверей 0,40
Нитки и изделия ниточные 0,40
Продукция полиграфической промышленности 0,40
Игрушки и украшения елочные 0,31
Товары для детей (продовольственные и промышленные товары) 0,31
Прочие товары 0,79

Примечания:

1. В случае оказания одним работником в течение налогового периода нескольких видов услуг, по которым установлены различные значения факторов вида услуг, учет этого работника производится по тому виду услуг, по которому установлено максимальное значение фактора.

2. При осуществлении на одном объекте розничной торговли в течение налогового периода смешанным ассортиментом товаров применяется максимальное значение фактора, учитывающего вид реализуемого товара из числа товаров, торговля которыми осуществляется на данном объекте.

Таблица 2

Фактор режима работы в розничной торговле (кроме развозной и разносной розничной торговли) и в организациях общественного питания

Продолжительность рабочей недели Значение фактора
Продолжительность ежедневной работы
до 11 часов в сутки свыше 11 часов до 15 часов в сутки свыше 15 часов до 24 часов в сутки
до 5 дней в неделю 0,84 0,90 0,96
6 дней в неделю 0,86 0,92 0,98
7 дней в неделю 0,88 0,94 1,0

Примечание:

1. Продолжительность рабочей недели и продолжительность ежедневной работы определяется правилами внутреннего трудового распорядка. Для объектов розничной торговли и объектов организации общественного питания, осуществляющих деятельность на территориях сторонних организаций, режим которых исключает возможность ведения предпринимательской деятельности более определенного количества дней в неделю, часов в сутки, продолжительность рабочей недели и продолжительность ежедневной работы определяется правилами внутреннего трудового распорядка указанных сторонних организаций.

Таблица 3

Фактор расположения объекта предпринимательской деятельности

Раздел 1. Фактор расположения объекта предпринимательской деятельности на территории города Тулы

Наименование вида деятельности Значение фактора расположения объекта предпринимательской деятельности по категориям
1 2 3 4 5 6 7 8 9
Оказание бытовых и ветеринарных услуг 1,0 1,0 1,0 1,0 1,0 1,0 1,0 0,3 0,2
Оказание услуг по ремонту, техническому обслуживанию и мойке автомототранспортных средств 1,0 1,0 1,0 1,0 1,0 1,0 1,0 0,7 0,7
Оказание услуг по предоставлению во временное владение (в пользование) мест для стоянки автомототранспортных средств, а также по хранению автомототранспортных средств на платных стоянках (за исключением штрафных автостоянок) 1,0 1,0 1,0 1,0 1,0 1,0 1,0 0,9 0,9
Оказание услуг общественного питания в ресторанах, кафе, барах 0,9 0,9 0,9 0,9 0,9 0,9 0,9 0,9 0,9
Оказание услуг общественного питания на предприятиях общественного питания (за исключением ресторанов, кафе, баров) с реализацией алкогольной продукции 0,8 0,8 0,8 0,8 0,8 0,8 0,8 0,8 0,8
Оказание услуг общественного питания на предприятиях общественного питания (за исключением ресторанов, кафе, баров) без реализации алкогольной продукции 0,6 0,6 0,6 0,6 0,6 0,6 0,6 0,3 0,3
Оказание услуг общественного питания в бюджетных учреждениях или осуществление обслуживания малоимущих граждан 0,4 0,4 0,4 0,4 0,4 0,4 0,4 0,1 0,1
Розничная торговля 1,0 0,9 0,8 0,7 0,6 0,5 0,4 0,3 0,2
Оказание услуг по передаче во временное владение и (или) пользование торговых мест, расположенных в объектах стационарной торговой сети, не имеющих торговых залов, объектов нестационарной торговой сети, а также объектов организации общественного питания, не имеющих зала обслуживания посетителей 1,0 0,9 0,8 0,7 0,6 0,5 0,4 0,3 0,2
Оказание услуг по передаче во временное владение и (или) в пользование земельных участков для размещения объектов стационарной и нестационарной торговой сети, а также объектов организации общественного питания 1,0 0,9 0,8 0,7 0,6 0,5 0,4 0,3 0,2

Примечание.

1. Перечень, определяющий предприятия, оказывающие услуги общественного питания малоимущим гражданам, в целях применения понижающего коэффициента при исчислении суммы единого налога на вмененный доход в соответствии с настоящим пунктом, устанавливается органами социальной защиты населения.

Категория места расположения объекта предпринимательской деятельности на территории города Тулы

Описание места расположения объекта Категория
Агеева ул. 5
Айвазовского ул. 6
Ак. Павлова ул., д. 2 4
Ак. Павлова ул., кроме д. 2 6
Аносова ул. 6
Арсенальная ул. 6
Бабякина ул. 6
Баженова ул. 6
Бакунина ул. 6
Батищева ул. 6
Белинского ул. 6
Белкина ул. 5
Болдина ул., от ул. Макаренко до ул. Тульская 2
Болдина ул., кроме территории от ул. Макаренко до ул. Тульская 5
Болотова ул., д. 2 6
Бондаренко ул. 6
Бородина ул. 6
Братьев Жабровых ул. 5
Бундурина ул. 5
Бухоновский пер. 5
Ватутина ул. 6
Веневское шоссе 6
Вересаева ул. 5
Верещагина ул. 6
Верхний проезд 6
Вильямса ул. 5
Вознесенского ул. 6
Войкова ул. 2
Волкова ул. 6
Волнянского ул. 5
Газовая ул. б
Гайдара ул. 6
Галкина ул., д. д. 1, 1-д, 1
Галкина ул., кроме д. д. 1, 1-д 4
Гармонная ул. 6
Гастелло проезд 1-й, 2-й, 3-й 6
Гастелло ул. 6
Генерала Маргелова ул. 5
Глинки ул. 6
Глухополянская ул. 6
Глушанская ул. 6
Гоголевская ул., от ул. Тургеневская до ул. Ф. Энгельса 2
Гоголевская ул., кроме территории от ул. Тургеневская до ул. Ф. Энгельса 5
Городской пер. 6
Горсовета ул. 6
Дальняя ул. 6
Дементьева ул. 6
Демидовская Плотина ул., д. д. 16 - 20, 41 - 43 2
Демидовская Плотина ул., кроме д. д. 16 - 20,41 - 43 4
Демидовская ул., д. д. 78 - 170, 163 - 211, кроме д. 179 5
Демидовская ул., д. 179 4
Демонстрации ул., д. д. 1, 2 - 106 1
Демонстрации ул., д. д. 12 - 22, 3 - 5-а, б, в 2
Демонстрации ул., д. 34 3
Демонстрации ул., д. д. 5 - 27, 28 - 52 4
Демьянова ул. 6
Денисовский пер. 5
Дзержинского ул. 5
Дм. Ульянова ул., д. д. 1 - 3, 2. - 4 2
Дм. Ульянова ул., кроме д. д. 1 - 3, 2 - 4 5
Добролюбова ул. 6
Доватора ул. 6
Доктора Гумилевской ул. 6
Докучаева ул. 6
Епифанская ул., от ул. Осташева до ул. Степанова 2
Епифанская ул., кроме территории от ул. Осташева до ул. Степанова 4
Епифанское шоссе 6
Ермоловой ул. 6
Жаворонкова ул. 5
Жуковского ул. 2
Загородный проезд 6
Замочная ул. 6
Индустриальная ул. 6
К. Маркса ул. 6
Калинина ул. 4
Каминского ул. (включая Каминского, 27), от переулка Центральный до ул. Пирогова 1
Каминского ул. (кроме Каминского, 27), от переулка Центральный до ул. Демонстрации 4
Каракозова ул. 6
Карпинского ул. 6
Карпова ул., д. д. 2 - 62, 1-63 6
Кауля ул., д. д. 10 - 20 4
Кауля ул., д. д. 1 - 9 5
Кауля ул., кроме д. д. 1 - 9, 10-20 6
Кирова ул., д. д. 22 - 168, 1 - 141 4
Кирова ул., д. д. 6-20 2
Кирова ул., кроме д. д. 6 - 168, 1 - 141 6
Кл. Цеткин ул. 5
Клюева ул. 6
Ковалевской ул. 6
Ковпака ул. 6
Коксовая ул. 6
Колетвинова ул., кроме д. д. 2 - 6 2
Колетвинова ул., д. д. 2 - 6 1
Кольцова ул. 6
Коминтерна ул., д. д. 24 - 34 1
Коминтерна ул., д. д. 2 - 6, 3-11 2
Коминтерна ул., кроме д. д. 2 - 6, 3 - 11, 24 - 34 5
Комсомольская ул., д. 51 4
Комсомольская ул., кроме д. 51 6
Короленко ул., д. д. 1 - 7 5
Красноармейский проспект 1
Краснодонцев ул. 6
Криволученская ул. 1-я - 5-я 6
Крупской ул. 6
Крылова ул. 6
Курковая ул., д. д. 9 - 13, 16 - 34 6
Кутузова ул., д. д. 13, 45 2
Кутузова ул., д. д. 6 - 54, 15 - 43 4
Кутузова ул., кроме д. д. 6 - 54, 13 - 45 5
Л. Толстого ул., д. д. 87 - 114, 114-а, 114-б 2
Л. Толстого ул., д. д. 9 - 79, 16 - 112 5
Лейтейзена ул. 4
Ленина проспект, между ул. Советская и ул. Рязанская, кроме территорий ТГПУ, ТулГУ, д. д. 99, 110 1
Ленина проспект, от ул. Рязанская и до конца 4
Ленина проспект, д. 110 4
Ленина проспект, территория ТГПУ, ТулГУ, д. 99 5
Ленина ул. 5
Ликбеза ул., д. д. 2 - 9 2
Литейная ул. 6
Лобачевского ул. 6
Ложевая ул. 2
Луначарского ул., д. д. 1 - 21, 2 - 42 5
Луначарского ул., кроме д. д. 1 - 21, 2-42 6
М. Гончары ул. 6
М. Горького ул., от начала до ул. Заварная 3
М. Горького ул., от ул. Заварная и до конца 5
М. Жукова ул., нечетная сторона 2
М. Смирнова ул. 6
М. Тореза ул., кроме д. д. 11-а, 11-б 5
Мазая ул. 6
Майская ул. 5
Макаренко ул., д. д. 5, 20, 24 4
Макаренко ул., д. д. 2 - 12 5
Макаренко ул., кроме д. д. 2 - 12, 5, 20, 24 6
Марата ул., от ул. Ложевая до ул. Чапаева 2
Марата ул., кроме территории от ул. Ложевая до ул. Чапаева 5
8 Марта переулок 6
Мартеновская ул. 6
Матросова ул. 6
9 Мая ул., от пр-та Ленина до ул. Смидович 3
9 Мая ул., от ул. Смидович до ул. Макаренко 4
Маяковского ул. 6
Менделеевская ул. 5
Металлистов ул. 4
Металлургов проезд 1-й - 5-й 6
Металлургов ул., д. д. 41 - 87, 30 - 104 4
Металлургов ул., д. д. 1 - 39, 2 - 28 5
Мира ул., от пр-та Ленина до ул. Смидович 2
Мира ул., кроме территории от пр-та Ленина до ул. Смидович 5
Михеева ул. 5
Можайского ул. 6
Морозова ул. 6
Мосина ул., от ул. Лейтейзена до ул. Ф. Смирнова 1
Мосина ул., от ул. Лейтейзена до ул. Советская 3
Москвина ул. 6
Московский вокзал пл. (вокзал, площадь, пригородные кассы, перрон) 1
Мусоргского ул. 6
Н. Островского ул. 6
Н. Руднева ул. 5
Н. Упская ул., д. 64 4
Набережная ул. 6
Некрасова ул. 6
Немцова ул. 6
Нестерова ул. 6
Новомосковская ул. 6
Новомосковское шоссе (кроме территории рынка "Плодоовощторг") 6
Новомосковское шоссе, д. 8 (территория рынка "Плодоовощторг") 4
Новотульская ул. 6
Оборонная ул., д. д. 1 - 37, 2 - 38 2
Оборонная ул., д. д. 39 - 83,40 - 86, кроме д. 51 4
Оборонная ул., кроме д. д. 1 - 86 5
Обручева ул. 5
Огарева ул. 6
Одоевское шоссе, д. д. 55 - 95 1
Одоевское шоссе, кроме д. д. 55 - 95 6
Октябрьская ул., д. д. 1 - 101, 2 - 84 2
Октябрьская ул., кроме д. д. 1 - 101, 2 - 84 5
Оружейная ул. 5
Оружейный переулок 2
Осташева ул. 6
Островского проезд 1-й, 2-й, 3-й 6
Павшинский мост ул. 2
Панфиловцев ул. 6
Папанина ул. 6
Патронная ул. 6
Первомайская ул., д. д. 10 - 28, 9 - 13 2
Первомайская ул., кроме д. д. 10 - 28, 9 - 13 5
Перекопская ул. 6
Песчаная ул. 1-я, 2-я, 3-я 6
Пирогова ул., д. д. 1 - 17, 2 - 30 1
Планировочная ул. 6
Плеханова ул., от ул. Марата до ул. Степанова 4
Плеханова ул., от ул. Пролетарская до ул. Степанова и от ул. Марата до ул. Калинина 5
Подъемная ул. 6
Полежаева ул. 6
Поленова ул. 6
Пробная ул. 6
Пржевальского ул. 6
Приупская ул. 6
Пролетарская набережная ул. 6
Пролетарская ул., от ул. К. Маркса до ул. Ложевая 2
Пролетарская ул., от ул. Советская до ул. К. Маркса 5
Пролетарская ул., от ул. Ложевая до конца 6
Прудная ул. 6
Пузакова ул., д. д. 1 - 3 3
Пузакова ул., кроме д. д. 1 - 3 4
Путейская ул., д. д. 1 - 13, 2 1
Пушкинская ул. 5
Пушкинский проезд 2
Р. Зорге ул. 6
Радищева ул., д. д. 2 - 12 5
Расковой проезд 1-й, 2-й, 3-й 6
Расковой ул. 6
Революции ул., д. 39 3
Революции ул., кроме д. 39 5
Репина ул. 6
Рогожинская ул. 6
Рудная ул. 6
Рязанская ул., кроме д. 7 5
Рязанская ул., д. 7 4
С. Перовской ул. 5
Садовая ул. 6
Свободы ул., кроме д. 52 5
Седова ул., д. д. 18, 21 4
Седова ул., кроме д. д. 18, 21, 25 6
Серова ул. 6
Смидович ул. 5
Советская ул., кроме д. д. 1-а, 13, 53 1
Сойфера ул., от ул. Советская до ул. Ленина 3
Сойфера ул., д. д. 14 - 20, 5 - 39 5
Союзная ул. 5
Станиславского ул. 5
Староникитская ул. 5
Ствольная ул. 6
Степанова ул. 4
Театральный переулок 5
Территория ЦПКиО 3
Тимирязева ул., д. 101, к. 1 - 7 6
Тимирязева ул., д. д. 1 - 99 5
Токарева ул. 6
Тульского Рабочего Полка ул., д. д. 98 - 104 5
Тургеневская ул. 2
Учетный пер. 2
Ушинского ул. 6
Ф. Смирнова ул. 5
Ф. Энгельса ул., д. 66 2
Ф. Энгельса ул., д. 62 3
Ф. Энгельса ул., кроме д. д. 62, 66 5
Фабричная ул. 6
Франко ул. 6
Фрунзе ул., от ул. Мосина до Красноармейского проспекта 1
Фрунзе ул., от Красноармейского проспекта до ул. Первомайская 2
Фучика ул. 6
Халтурина ул. 5
Ханинский проезд 2
Хворостухина ул. 5
Хлебная площадь ул. 1
Центральный пер. 2
Циолковского ул. 5
Чайкиной ул. 6
Чапаева ул. 6
Чаплыгина ул. 6
Черниковский пер. 5
Чмутова ул., д. д. 164-а, 170 5
Чмутова ул., д. д. 2 - 18 2
Шевченко ул. 5
Штыковая ул. 6
Щегловская Засека ул. 6
Щепкина ул. 6
Южный проезд 1-й 6
Яблочкова ул. 6
Прочая территория города, кроме поселков, входящих в состав города Тулы 7
Поселки, входящие в состав города Тулы: Басово-Прудный, Горелки, Горняк, Комсомольский, Косая Гора, Лесной, Матвеевские дачи, Менделеевский, Ново-Басово, Ново-Октябрьский, Новоскуратово, Ново-Тихвинский, Овсянниково, Озерный, Октябрьский, Первомайский, Призаводской Рудник, Скуратовский, Старо-Овсянниково, Старо-Скуратово, Толстовские Дачи, Толстовский 8
Прочие поселки, входящие в состав города Тулы 9

Примечание.

1. Диапазон номеров домов, использующий четные (нечетные) числа, определяет четную (нечетную) сторону нумерации домов.

2. В диапазон номеров домов, если явно не указано иное, включаются дома, имеющие номера из указанного диапазона с дополнительным буквенным обозначением и (или) номером корпуса.

Раздел 2. Фактор расположения объекта предпринимательской деятельности на территории сельских округов

Наименование вида деятельности Значение фактора расположения объекта предпринимательской деятельности по категориям
1 2 3
Оказание бытовых и ветеринарных услуг 0,6 0,4 0,25
Оказание услуг по ремонту, техническому обслуживанию и мойке автомототранспортных средств 1 0,9 0,9
Оказание услуг по предоставлению во временное владение (в пользование) мест для стоянки автомототранспортных средств, а также по хранению автомототранспортных средств на платных стоянках (за исключением штрафных автостоянок) 1 0,9 0,9
Оказание услуг общественного питания в ресторанах, кафе, барах 0,7 0,6 0,6
Оказание услуг общественного питания на предприятиях общественного питания (за исключением ресторанов, кафе, баров) с реализацией алкогольной продукции 0,7 0,6 0,6
Оказание услуг общественного питания на предприятиях общественного питания (за исключением ресторанов, кафе, баров) без реализации алкогольной продукции 0,2 0,2 0,15
Оказание услуг общественного питания в бюджетных учреждениях или осуществление обслуживания малоимущих граждан 0,05 0,04 0,03
Розничная торговля 0,5 0,25 0,15
Оказание услуг по передаче во временное владение и (или) пользование торговых мест, расположенных в объектах стационарной торговой сети, не имеющих торговых залов, объектов нестационарной торговой сети, а также объектов организации общественного питания, не имеющих зала обслуживания посетителей 0,5 0,4 0,2
Оказание услуг по передаче во временное владение и (или) в пользование земельных участков для размещения объектов стационарной и нестационарной торговой сети, а также объектов организации общественного питания 0,5 0,4 0,2

Примечание.

1. Перечень, определяющий предприятия, оказывающие услуги общественного питания малоимущим гражданам, в целях применения понижающего коэффициента при исчислении суммы единого налога на вмененный доход в соответствии с настоящим пунктом, устанавливается органами социальной защиты населения.

Категория места расположения объекта предпринимательской деятельности на территории сельских округов

Описание места расположения объекта Категория
Сельский поселок Ленинский, сельский поселок Плеханово 1
Поселок Рассвет, село Хрущево, сельский поселок Барсуки, поселок Шатск, поселок Петелино, поселок Иншинский, поселок Обидимо 2
Прочие населенные пункты, входящие в сельские округа 3

Таблица 4

Фактор расположения объекта наружной рекламы

Вид рекламной поверхности Значение фактора расположения объекта предпринимательской деятельности по категориям
1 2 3
Рекламная поверхность площадью до 6 м2 0,1 0,09 0,08
Рекламная поверхность площадью от 6 м2 до 20 м2 0,09 0,08 0,07
Рекламная поверхность площадью свыше 20 м2 0,08 0,07 0,05

Категория места расположения объекта наружной рекламы

Описание места расположения объекта Категория
Улицы в границах города Тулы:
9 Мая ул. 2
Болдина ул. 2
Восстания пл. 1
Горького ул., от ул. Октябрьская до ул. Заварная 2
Демидовская Плотина ул. 2
Демонстрации ул. 2
Дм. Ульянова ул. 2
Каминского ул. 2
Кирова ул. от начала до ул. Кутузова 2
Красноармейский проспект 1
Лейтейзена ул. 2
Ленина пл. 1
Ленина проспект, от ул. Советская до ул. Рязанская 1
Ленина проспект, от ул. Рязанская до конца 2
Ложевая ул. 1
Менделеевская ул. 1
Металлистов ул. 2
Металлургов ул., от ул. Волкова до конца 2
Кутузова ул., от ул. Кирова до ул. Вильямса 2
Мосина ул. 2
Московского вокзала пл. 1
Одоевское ш. 2
Октябрьская ул., от ул. Советская до ул. Токарева 1
Октябрьская ул., от ул. Токарева до конца 2
Первомайская ул., от проспекта Ленина до ул. Фрунзе 1
Первомайская ул., от ул. Фрунзе до ул. Дм. Ульянова 2
Пирогова ул., от ул. Советская до ул. Каминского 2
Победы пл. 1
Пролетарская ул., от ул. Советская до ул. Ложевая 1
Пузакова ул. 2
Пушкинская ул. 2
Революции ул. 2
Советская ул. 1
Староникитская ул. 2
Ф. Смирнова ул. 2
Ф. Энгельса ул., от ул. Первомайская до ул. Рабочего Полка 2
Фрунзе ул. 2
Хлебная площадь ул. (Центральный рынок) 2
Остальная территория муниципального образования город Тула 3

Таблица 5

Фактор места расположения объекта временного размещения и проживания

Описание места расположения объекта Значение фактора
1. Территория города Тулы, в том числе:
Советский район 1,0
Центральный район 1,0
Привокзальный район 0,9
Пролетарский район 0,8
Зареченский район 0,8
Поселки в составе районов города Тулы 0,5
2. Территории сельских округов 0,5

Таблица 6

Фактор вида транспортного средства, оказывающего услуги по перевозке пассажиров (по количеству посадочных мест)

Вид автомобильного транспортного средства Значение фактора
Пассажирское легковое (до 5 посадочных мест без учета места водителя) 1,0
Пассажирское особо малой вместимости (до 16 посадочных мест без учета места водителя) 0,5
Пассажирское малой вместимости (до 30 посадочных мест без учета места водителя) 0,4
Пассажирское большой и особо большой вместимости (более 30 посадочных мест без учета места водителя) 0,3

Утвержден Решением Собрания депутатов МО г. Новомосковск
от 14.11.2008 N 6-4 (ред. от 22.12.2008)
Решением Собрания депутатов МО г. Новомосковск
от 18.11.2011 N 63-3 (ред. от 24.11.2016)

НОВОМОСКОВСК

Единый налог вводится в отношении следующих видов предпринимательской деятельности:

1. оказание бытовых услуг;

2. оказание услуг по ремонту, техническому обслуживанию и мойке автотранспортных средств;

3. розничной торговли, осуществляемой через магазины и павильоны с площадью торгового зала не более 150 квадратных метров по каждому объекту организации торговли;

4. розничной торговли, осуществляемой через объекты стационарной торговой сети, не имеющей торговых залов, а также объекты нестационарной торговой сети;

5. оказание автотранспортных услуг по перевозке пассажиров и грузов, осуществляемых организациями и индивидуальными предпринимателями, имеющими на праве собственности или ином праве (пользования, владения и (или) распоряжения) не более 20 транспортных средств, предназначенных для оказания таких услуг;

6. оказание услуг общественного питания, осуществляемых через объекты организации общественного питания с площадью зала обслуживания посетителей не более 150 квадратных метров по каждому объекту организации общественного питания;

7. оказание ветеринарных услуг;

8. оказание услуг по предоставлению во временное владение (в пользование) мест для стоянки автотранспортных средств, а также по хранению автотранспортных средств на платных стоянках (за исключением штрафных стоянок);

9. распространение наружной рекламы с использованием рекламных конструкций;

10. оказание услуг общественного питания, осуществляемых через объекты организации общественного питания, не имеющие зала обслуживания посетителей;

11. размещение рекламы на транспортных средствах;

12. оказание услуг по временному размещению и проживанию организациями и предпринимателями, использующими в каждом объекте предоставления данных услуг общую площадь помещений для временного размещения и проживания не более 500 квадратных метров;

13. оказание услуг по передаче во временное владение и (или) в пользование торговых мест, расположенных в объектах стационарной торговой сети, не имеющих торговых залов, объектов нестационарной торговой сети, а также объектов организации общественного питания, не имеющих зала обслуживания посетителей;

14. оказание услуг по передаче во временное владение и (или) в пользование земельных участков для размещения объектов стационарной и нестационарной торговой сети, а также объектов организации общественного питания.

Установлено, что значения корректирующего коэффициента базовой доходности К2, учитывающего совокупность особенностей ведения предпринимательской деятельности, при исчислении единого налога на вмененный доход для отдельных видов деятельности определяются:

1. при оказании бытовых услуг - по формуле:

где

Ку - коэффициент бытовых услуг, определяется в соответствии со значениями, приведенными в Таблице 1;

Кт - территориальный коэффициент городского округа, определяется в соответствии со значением, приведенным в Таблице 2.

Городской округ - муниципальное образование город Новомосковск.

При оказании налогоплательщиком одновременно нескольких бытовых услуг, по которым установлены разные значения коэффициента Ку, значение коэффициента Ку определяется по формуле:

, ..., - численность работников, занятых оказанием услуг, в отношении которой установлено значение коэффициента Ку;

Чоб - количество работников, занятых оказанием бытовых услуг;

, ..., - значение коэффициента Ку для отдельных бытовых услуг.

В случае оказания одним работником нескольких бытовых услуг, по которым установлены различные значения коэффициента Ку, учет этого работника производится по той бытовой услуге, по которой установлено максимальное значение коэффициента Ку;

2. при оказании услуг по ремонту, техническому обслуживанию и мойке автотранспортных средств - по формуле:

где:

Кт - территориальный коэффициент городского округа, определяется в соответствии со значениями, приведенными в Таблице 2;

3. при оказании услуг по предоставлению во временное владение (пользование) мест для стоянки автотранспортных средств, а также по хранению автотранспортных средств на платных стоянках (за исключением штрафных стоянок) - как величина, равная:

Кт - территориальный коэффициент городского округа, определяется в соответствии со значениями, приведенными в Таблице 2;

4. для розничной торговли, осуществляемой через магазины и павильоны с площадью торгового зала не более 150 квадратных метров по каждому объекту организации торговли и розничной торговли, осуществляемой через объекты стационарной торговой сети, не имеющие торговых залов, а также объекты нестационарной торговой сети, - по формуле:

где

Кт - территориальный коэффициент городского округа, определяется в соответствии со значениями, приведенными в Таблице 2;

Км - коэффициент категории места расположения объекта, определяется из числа указанных для категорий городского округа величин, приведенных в Таблице 2.

Отнесение улиц и (или) домов к той или иной категории места расположения объекта определяется в соответствии со значениями, приведенными в Таблице 5;

Кв - коэффициент вида товара, определяется в соответствии со значениями, приведенными в Таблице 3;

Кн - равный 0,7 - коэффициент розничной торговли, осуществляемой через объекты нестационарной торговой сети, учитывающий время работы.

Значение коэффициента К2 уменьшается в 2 раза:

для налогоплательщиков, осуществляющих исключительно реализацию продукции по договорам комиссии (агентским договорам);

в случае одновременной реализации налогоплательщиком в течение квартала через магазины и павильоны продукции собственного производства и товаров при условии, что объем реализации за квартал продукции собственного производства составляет не менее 30 процентов от общего объема реализации за тот же квартал;

для налогоплательщиков, осуществляющих в течение квартала наряду с реализацией товаров продажу (отпуск) товаров с оплатой по безналичному расчету детским яслям и садам, школам, интернатам, домам престарелых, больницам и другим учреждениям социального обслуживания, здравоохранения и образования, финансируемым из бюджетов различных уровней, при условии, что объем продажи (отпуска) товаров этим учреждениям за квартал составляет не менее 10 процентов от общего объема реализации товаров за тот же квартал. Перечень учреждений социального обслуживания установлен действующим законодательством Российской Федерации, регулирующим вопросы в социальной сфере;

5. при оказании услуг общественного питания, осуществляемых через объекты организации общественного питания с площадью зала обслуживания посетителей не более 150 квадратных метров по каждому объекту организации общественного питания и при оказании услуг общественного питания, осуществляемых через объекты организации общественного питания, не имеющие зала обслуживания посетителей:

- в соответствии со значениями, приведенными в Таблице 4;

6. при оказании ветеринарных услуг - по формуле:

где

Кт - территориальный коэффициент городского округа, определяется в соответствии со значениями, приведенными в Таблице 2;

7. при оказании услуг по временному размещению и проживанию организациями и предпринимателями, использующими в каждом объекте предоставления данных услуг общую площадь помещений для временного размещения и проживания не более 500 квадратных метров, и при распространении наружной рекламы с использованием рекламных конструкций - по формуле:

где

Кт - территориальный коэффициент городского округа, определяется в соответствии со значениями, приведенными в Таблице 2;

Км - коэффициент категории места расположения объекта, определяется из числа указанных для категорий городского округа величин, приведенных в Таблице 2. Отнесение улиц и (или) домов к той или иной категории места расположения объекта определяется в соответствии со значениями, приведенными в Таблице 5.

Для налогоплательщиков, предоставляющих услуги по размещению и (или) распространению социальной рекламы, значение коэффициента К2 уменьшается в 2 раза;

8. при размещении рекламы на транспортных средствах - как величина, равная 1,0;

9. при оказании услуг по передаче во временное владение и (или) в пользование торговых мест, расположенных в объектах стационарной торговой сети, не имеющих торговых залов, объектов нестационарной торговой сети, а также объектов организации общественного питания, не имеющих зала обслуживания, - как величина, равная 0,65.

Значение коэффициента К2 уменьшается в 2 раза при предоставлении стационарных торговых мест в рынках только по выходным дням;

10. при оказании услуг по передаче во временное владение и (или) в пользование земельных участков для размещения объектов стационарной и нестационарной торговой сети, а также объектов организации общественного питания - по формуле:

где

Кт - территориальный коэффициент городского округа, определяется в соответствии со значениями, приведенными в Таблице 2;

Км - коэффициент категории места расположения объекта, определяется из числа указанных для категорий городского округа величин, приведенных в Таблице 2. Отнесение улиц и (или) домов к той или иной категории места расположения объекта определяется в соответствии со значениями, приведенными в Таблице 5;

1.11. при оказании автотранспортных услуг по перевозке грузов, осуществляемых организациями и индивидуальными предпринимателями, имеющими на праве собственности или ином праве (пользования, владения и (или) распоряжения) не более 20 транспортных средств, предназначенных для оказания таких услуг, - равные 1,0;

при оказании автотранспортных услуг по перевозке пассажиров, осуществляемых организациями и индивидуальными предпринимателями, имеющими на праве собственности или ином праве (пользования, владения и (или) распоряжения) не более 20 транспортных средств, предназначенных для оказания таких услуг, - по формуле:

где

Квт - коэффициент вида транспортного средства, оказывающего услуги по перевозке пассажиров, определяется в соответствии со значениями, приведенными в Таблице 6.

Значение коэффициента К2 уменьшается в 2 раза для налогоплательщиков - инвалидов с детства, инвалидов I и II групп, индивидуально осуществляющих виды предпринимательской деятельности, указанные в настоящем пункте, без привлечения наемных работников.

Налогоплательщик, имеющий право на уменьшение значения коэффициента К2 одновременно по нескольким основаниям, указанным в настоящей статье, может им воспользоваться только по одному основанию.

Таблица 1

Коэффициенты бытовых услуг <*> (Ку)

Код по ОКВЭД2 Наименование вида экономической деятельности Код по ОКПД2 Наименование бытовых услуг Коэффициент бытовых услуг (Ку)
14.13.3 Пошив и вязание прочей верхней одежды по индивидуальному заказу населения 14.13.99.200 Услуги по пошиву верхней одежды по индивидуальному заказу населения
14.13.99.210 Услуги по пошиву стеганых пальто, курток и жилетов по индивидуальному заказу населения 0,10
14.13.99.230 Услуги по пошиву плащей, курток, накидок и других изделий из тканей с водоотталкивающей пропиткой, прорезиненных тканей по индивидуальному заказу населения 0,10
14.13.99.240 Услуги по пошиву мужских, женских, детских верхних трикотажных изделий по индивидуальному заказу населения 0,10
14.13.99.250 Услуги по вязанию верхних трикотажных изделий по индивидуальному заказу населения 0,10
14.39.2 Изготовление прочих вязаных и трикотажных изделий, не включенных в другие группировки, по индивидуальному заказу населения 14.39.99.200 Услуги по изготовлению прочих трикотажных и вязаных изделий, не включенных в другие группировки, по индивидуальному заказу населения 0,19
15.20.5 Пошив обуви и различных дополнений к обуви по индивидуальному заказу населения 15.20.99.200 Услуги по пошиву обуви по индивидуальному заказу населения 0,23
15.20.99.211 Услуги по пошиву повседневной обуви по индивидуальному заказу населения 0,23
15.20.99.212 Услуги по пошиву модельной обуви по индивидуальному заказу населения 0,23
15.20.99.213 Услуги по пошиву домашней обуви по индивидуальному заказу населения 0,23
15.20.99.214 Услуги по пошиву детской обуви по индивидуальному заказу населения 0,23
15.20.99.215 Услуги по пошиву национальной обуви по индивидуальному заказу населения 0,23
15.20.99.216 Услуги по пошиву сувенирной обуви по индивидуальному заказу населения 0,23
15.20.99.217 Услуги по изготовление валяной обуви 0,23
15.20.99.218 Услуги по пошиву обуви по эскизам заказчика по индивидуальному заказу населения 0,23
15.20.99.219 Услуги по пошиву обуви из натуральных материалов с отделками из ценных мехов по индивидуальному заказу населения 0,23
15.20.99.221 Услуги по пошиву зимней обуви из меха по индивидуальному заказу населения 0,23
15.20.99.222 Услуги по пошиву обуви из искусственной и синтетической кожи по индивидуальному заказу населения 0,23
15.20.99.223 Услуги по пошиву обуви из текстиля по индивидуальному заказу населения 0,23
15.20.99.229 Услуги по пошиву прочей обуви по индивидуальному заказу населения 0,23
15.20.99.230 Услуги по изготовлению различных дополнений к обуви по индивидуальному заказу населения 0,23
из 18.14 Переплетные, брошюровочные, окантовочные, картонажные работы по индивидуальному заказу населения 18.14.10.200 Услуги переплетные и связанные с переплетом аналогичных изделий.
Эта группировка также включает:
- услуги переплетные, брошюровочные, окантовочные, картонажные работы по индивидуальному заказу населения
0,17
25.99.3 Изготовление готовых металлических изделий хозяйственного назначения по индивидуальному заказу населения 25.99.99.200 Услуги по изготовлению готовых металлических изделий хозяйственного назначения по индивидуальному заказу населения
25.99.99.211 Услуги по изготовлению ажурных декоративных решеток из металла по индивидуальному заказу населения 0,10
25.99.99.212 Услуги по изготовлению багажных корзинок по индивидуальному заказу населения 0,10
25.99.99.213 Услуги по изготовлению чеканных панно и рамок по индивидуальному заказу населения 0,10
25.99.99.214 Услуги по изготовлению секций парниковых теплиц по индивидуальному заказу населения 0,10
25.99.99.215 Услуги по изготовлению подвесок под декоративные тарелки по индивидуальному заказу населения 0,10
25.99.99.216 Услуги по изготовлению электроводонагревателей по индивидуальному заказу населения 0,10
25.99.99.217 Услуги по изготовлению металлической посуды по индивидуальному заказу населения 0,10
25.99.99.218 Услуги по изготовлению памятников, ограждений, ворот из металла по индивидуальному заказу населения 0,10
25.99.99.219 Услуги по изготовлению мангалов по индивидуальному заказу населения 0,10
25.99.99.221 Услуги по изготовлению емкостей, тепловых шкафов, поддонов, труб и др. изделий из металла, в том числе по эскизам заказчика, по индивидуальному заказу населения 0,10
25.99.99.222 Услуги по изготовлению сшивно-кровельного покрытия из железа по индивидуальному заказу населения 0,10
25.99.99.223 Услуги по изготовлению деталей к бытовым машинам и приборам по индивидуальному заказу населения 0,10
25.99.99.224 Услуги по изготовлению механизмов для зашторивания по индивидуальному заказу населения 0,10
25.99.99.229 Услуги по изготовлению прочих металлических предметов хозяйственного назначения по индивидуальному заказу населения 0,10
31.09.2 Изготовление прочей мебели и отдельных мебельных деталей, не включенных в другие группировки, по индивидуальному заказу населения 31.09.99.200 Услуги по изготовлению прочей мебели по индивидуальному заказу населения
31.09.99.211 Услуги по изготовлению мягкой мебели по индивидуальному заказу населения 0,53
31.09.99.212 Услуги по изготовлению плетеной мебели по индивидуальному заказу населения 0,53
31.09.99.213 Услуги по изготовлению корпусной мебели по индивидуальному заказу населения 0,53
31.09.99.214 Услуги по изготовлению секционной мебели по индивидуальному заказу населения 0,53
31.09.99.215 Услуги по изготовлению наборов мебели по индивидуальному заказу населения 0,53
31.09.99.216 Услуги по изготовлению встроенной мебели по индивидуальному заказу населения 0,53
31.09.99.217 Услуги по изготовлению дачной мебели по индивидуальному заказу населения 0,53
31.09.99.218 Услуги по изготовлению мебели для оборудования прихожих по индивидуальному заказу населения 0,53
31.09.99.219 Услуги по изготовлению деревянных карнизов, багетных рамок по индивидуальному заказу населения 0,53
31.09.99.221 Услуги по изготовлению мебели многопланового назначения и трансформируемой мебели по индивидуальному заказу населения 0,53
31.09.99.222 Услуги по изготовлению двухсторонних стенок-перегородок по индивидуальному заказу 0,53
31.09.99.223 Услуги по изготовлению отдельных мебельных деталей (щитов, брусков и др.) по индивидуальному заказу населения 0,53
31.09.99.224 Услуги по изготовлению щитков, решеток и коробок для маскировки отопительных приборов по индивидуальному заказу населения 0,53
31.09.99.229 Услуги по изготовлению прочей мебели, не включенной в другие группировки, по индивидуальному заказу населения 0,28
32.12.6 Изготовление ювелирных изделий и аналогичных изделий по индивидуальному заказу населения 32.12.99.200 Услуги по изготовлению ювелирных и соответствующих изделий по индивидуальному заказу населения
32.12.99.211 Услуги по изготовлению ювелирных изделий по индивидуальному заказу населения 0,10
32.12.99.212 Услуги по изготовлению шкатулок, пудрениц, корпусов для часов по индивидуальному заказу населения 0,10
32.12.99.213 Услуги по изготовлению накладных выпильных монограмм к ювелирным изделиям по индивидуальному заказу населения 0,10
32.12.99.214 Услуги по изготовлению ювелирных изделий методом литья по выплавляемым моделям по индивидуальному заказу населения 0,10
32.12.99.215 Услуги по изготовлению памятных медалей по индивидуальному заказу населения 0,10
32.12.99.216 Услуги по чеканке и гравировке ювелирных изделий по индивидуальному заказу населения 0,10
32.12.99.218 Услуги по обработке поделочных ювелирных камней и закрепление их в ювелирных изделиях
32.12.99.219 Услуги по изготовлению прочих ювелирных изделий по индивидуальному заказу населения 0,10
из 32.99.4 Изготовление париков, накладок, шиньонов по индивидуальному заказу населения 32.99.30.100 Изделия из волоса человека или животных 0,33
Официальный источник электронного документа содержит неточность: имеется в виду код по ОКПД2 32.99.30.110
из 32.99.9 Изготовление гробов по индивидуальному заказу населения 32.99.59 Изделия различные прочие, не включенные в другие группировки.
Эта группировка также включает:
- гробы для погребения
0,28
из 41.20 Строительство индивидуальных домов; возведение пристроек и хозяйственных построек (сараи, навесы, летние кухни, бани, душевые и т.д.), садовых домиков; индивидуальных гаражей; сборка и монтаж сборных сооружений на строительном участке, в том числе изготовление и сборка бревенчатых и брусчатых срубов; сборка щитовых домов заводского изготовления; строительство садовых домиков; пристройка к домам дополнительных помещений (веранд, туалетов и др.); строительство индивидуальных бань и душевых 41.20.30 Работы по возведению жилых зданий.
Эта группировка включает:
- работы по строительству новых объектов, возведению пристроек, реконструкции и ремонту зданий; 0,55
- ремонт домов, квартир по заказам населения; 0,23
- переборка бревенчатых и брусчатых срубов; 0,23
- ремонт подвальных помещений, погребов; 0,23
- ремонт садовых (дачных) домиков; 0,23
- ремонт хозяйственных построек (сараев, навесов, летних кухонь и др.); 0,23
- строительство индивидуальных домов; 0,55
- строительство хозяйственных построек; 0,55
- изготовление и сборка бревенчатых и брусчатых срубов; 0,55
- сборка щитовых домов заводского изготовления; 0,55
- строительство садовых домиков; 0,55
- пристройка к домам дополнительных помещений (веранд, туалетов и др.); 0,55
- строительство индивидуальных бань и душевых 0,55
47.78.22 Сборка и ремонт очков в специализированных магазинах 47.78.20.200 Услуги по сборке и ремонту очков в специализированных магазинах 0,17
74.20 Деятельность в области фотографии 74.20.21 Услуги портретной фотографии.
Эта группировка включает:
- услуги по изготовлению фотоснимков людей или прочих объектов в студии или в прочих местах, например в офисе или дома у заказчика.
Как правило, в такие услуги включаются проявление и печать таких фотографий в соответствии с требованиями заказчика: фотографий для паспорта или удостоверения личности, портретов младенцев и детей, семейных или военных портретов, студийных фотографий моделей, корпоративных фотопортретов
74.20.21.111 Услуги по изготовлению в павильоне черно-белых и цветных фотоснимков для документов 0,26
74.20.21.112 Услуги по изготовлению в павильоне черно-белых и цветных художественных, в том числе комбинированных, фотоснимков 0,26
74.20.21.114 Услуги по изготовлению малоформатных фотоснимков в фотоавтоматах 0,26
74.20.21.115 Услуги по изготовлению портретов с негатива или фотоснимка заказчика 0,26
74.20.21.116 Услуги по изготовлению вне павильона черно-белых и цветных художественных фотоснимков 0,26
74.20.21.119 Прочие услуги в области портретной фотографии 0,26
74.20.23.000 Услуги в области фото- и видеосъемки событий 0,26
74.20.31.000 Услуги по обработке фотоматериалов 0,26
74.20.32.000 Услуги по восстановлению и ретушированию фотографий 0,26
74.20.39.000 Услуги в области фотографии прочие, не включенные в другие группировки 0,17
74.30 Деятельность по письменному переводу 74.30.11.000 Услуги по письменному переводу 0,10
74.30 Деятельность по устному переводу 74.30.12.000 Услуги по устному переводу 0,10
из 77.11 Прокат легковых автомобилей и легких автотранспортных средств (мотоциклов, мотороллеров, мопедов, велосипедов, прицепов) 77.11.10.000 Услуги по аренде и лизингу легковых автомобилей и легких автотранспортных средств 0,10
из 77.12 Прокат грузовых транспортных средств 77.12.11.000 Услуги по аренде и лизингу грузовых транспортных средств без водителя 0,10
из 77.21 Прокат товаров для отдыха и спортивных товаров 77.21.10.000 Услуги по прокату оборудования для отдыха, развлечений и занятий спортом 0,66
77.22 Прокат видеокассет и аудиокассет, грампластинок, компакт-дисков (CD), цифровых видеодисков (DVD) 77.22.10.000 Услуги по прокату видеокассет и аудиокассет, грампластинок, компакт-дисков (CD), цифровых видеодисков (DVD) 0,66
из 77.29.1 Прокат телевизоров, радиоприемников, устройств видеозаписи, аудиозаписи и подобного оборудования 77.29.11.000 Услуги по прокату телевизоров, радиоприемников, видеомагнитофонов и подобного оборудования и принадлежностей 0,66
из 77.29.2 Прокат мебели, электрических и неэлектрических бытовых приборов 77.29.12.000 Услуги по прокату мебели и прочих бытовых приборов 0,10
из 77.29.3 Прокат музыкальных инструментов 77.29.13.000 Услуги по прокату музыкальных инструментов 0,10
из 77.29.9 Прокат прочих бытовых изделий и предметов личного пользования для домашних хозяйств 77.29.15.000 Услуги по прокату текстильных изделий, одежды и обуви 0,10
77.29.16.000 Услуги по прокату и лизингу машин и оборудования для "умелых рук" 0,10
77.29.19.000 Услуги по прокату прочих бытовых изделий и предметов личного пользования, не включенных в другие группировки 0,10
из 77.33.2 Прокат вычислительных машин и оборудования 77.33.12.000 Услуги по аренде и лизингу вычислительной техники 0,57
из 81.29.1 Санитарно-гигиеническая обработка помещений и сантехнического оборудования; чистка и дезинфекция кухонного оборудования по индивидуальному заказу населения 81.29.13.000 Услуги санитарно-гигиенические прочие 0,10
81.29.19.000 Услуги по чистке и уборке прочие, не включенные в другие группировки 0,10
из 81.30 Благоустройство придомовых территорий; услуги ландшафтного дизайна по индивидуальному заказу населения 81.30.10.000 Услуги по планировке ландшафта 0,10
82.19 Деятельность секретаря-референта, в том числе со знанием иностранного языка; услуги машинистки-стенографистки по индивидуальному заказу населения 82.19.13.000 Услуги по подготовке документов и прочие услуги по обеспечению деятельности офиса 0,10
95.21 Ремонт электронной бытовой техники 95.21.10.100 Услуги по ремонту приборов бытовой электроники
95.21.10.110 Услуги по ремонту телевизоров 0,21
95.21.10.120 Услуги по ремонту видеозаписывающей аппаратуры 0,21
95.21.10.130 Услуги по ремонту видеовоспроизводящей аппаратуры 0,21
95.21.10.140 Услуги по ремонту звукозаписывающей и звуковоспроизводящей аппаратуры 0,21
95.21.10.150 Услуги по ремонту многофункциональных бытовых радиоэлектронных аппаратов 0,21
95.21.10.160 Услуги по ремонту устройств спутникового телевидения 0,21
95.21.10.190 Услуги по ремонту прочей бытовой радиоэлектронной аппаратуры 0,21
95.21.10.200 Услуги по техническому обслуживанию бытовой радиоэлектронной аппаратуры 0,21
95.21.10.300 Услуги по установке, подключению, сопряжению бытовой радиоэлектронной аппаратуры 0,21
95.22.1 Ремонт бытовой техники 95.22.10.100 Услуги по ремонту бытовых машин, узлов и деталей к ним
95.22.10.110 Услуги по ремонту холодильников, морозильников 0,19
95.22.10.120 Услуги по ремонту пылесосов 0,19
95.22.10.130 Услуги по ремонту электрополотеров 0,19
95.22.10.140 Услуги по ремонту стиральных и сушильных машин 0,19
95.22.10.150 Услуги по ремонту швейных, вязальных машин (ручных) 0,19
95.22.10.160 Услуги по ремонту гладильных машин 0,19
95.22.10.170 Услуги по ремонту универсальных кухонных бытовых машин, комбайнов, автоматических посудомоечных машин 0,19
95.22.10.180 Услуги по ремонту газовых и электроплит в жилых помещениях 0,19
95.22.10.190 Услуги по ремонту прочих бытовых машин 0,19
95.22.10.200 Услуги по ремонту бытовых приборов
95.22.10.211 Услуги по ремонту приборов гигиены рта, включаемых в сеть 0,21
95.22.10.212 Услуги по ремонту электрических и механических машинок для стрижки волос 0,21
95.22.10.213 Услуги по ремонту электрических и механических бритв 0,21
95.22.10.214 Услуги по ремонту пульверизаторов 0,21
95.22.10.215 Услуги по ремонту приборов для массажа 0,21
95.22.10.216 Услуги по ремонту фенов 0,21
95.22.10.217 Услуги по ремонту электрических ножниц 0,21
95.22.10.218 Услуги по ремонту электровулканизаторов 0,21
95.22.10.219 Услуги по ремонту бытовых электрокраскораспылителей 0,21
95.22.10.221 Услуги по ремонту приборов автоматики и управления бытовых машин и приборов 0,21
95.22.10.222 Услуги по ремонту фотоаппаратов, фотоувеличителей 0,21
95.22.10.223 Услуги по ремонту фотовспышек, экспонометров 0,21
95.22.10.224 Услуги по ремонту кинопроекторов, диапроекторов и другой проекционной аппаратуры 0,21
95.22.10.225 Услуги по ремонту биноклей 0,21
95.22.10.226 Услуги по ремонту слуховых аппаратов 0,21
95.22.10.227 Услуги по ремонту ручных и электрических насосов 0,21
95.22.10.228 Услуги по ремонту бытовых электронагревательных приборов (электроплиток, электрорадиаторов, электрокаминов, электрогрелок, электроутюгов и др.) 0,21
95.22.10.229 Услуги по ремонту бытовых весоизмерительных приборов (весов пружинных напольных), не подлежащих госповерке 0,21
95.22.10.230 Услуги по ремонту бытовых кухонных приборов.
Эта группировка включает:
- услуги по ремонту кофемолок, кофеварок, электромясорубок, электромиксеров, электросоковыжималок, электрошашлычниц, электротостеров, электрогрилей, бытовых электроморожениц, электродуховок, электропечей, печей СВЧ, электрочайников, электросамоваров, электросковородок, фритюрниц и аналогичных приборов, мармитов и аналогичных приборов и т.п.
0,21
95.22.10.241 Услуги по ремонту медогонок, сепараторов 0,21
95.22.10.242 Услуги по ремонту бытовых электровоздухоочистителей и надплитных электрофильтров 0,21
95.22.10.243 Услуги по ремонту комнатных кондиционеров воздуха 0,21
95.22.10.244 Услуги по ремонту увлажнителей воздуха, озонаторов, бытовых ионизаторов 0,21
95.22.10.245 Услуги по ремонту вентиляторов, теплоэлектровентиляторов, калориферов 0,21
95.22.10.246 Услуги по ремонту электроприборов для загара 0,21
95.22.10.247 Услуги по ремонту сифонов и автосифонов, в том числе зарядка газовых баллончиков для сифонов 0,21
95.22.10.248 Услуги по ремонту электрозвонков 0,21
95.22.10.249 Услуги по ремонту бытовых компрессоров и микрокомпрессоров 0,21
95.22.10.251 Услуги по ремонту трансформаторов и стабилизаторов напряжения 0,21
95.22.10.252 Услуги по ремонту устройств для измельчения пищевых отходов 0,21
95.22.10.253 Услуги по ремонту баков для кипячения белья и стерилизаторов 0,21
95.22.10.254 Услуги по ремонту электроводонагревателей, в том числе проточных 0,21
95.22.10.255 Услуги по ремонту электросушилок для одежды и обуви 0,21
95.22.10.256 Услуги по ремонту приборов с электродвигателем и приводом с питанием от батарей 0,21
95.22.10.257 Услуги по ремонту зажигалок для газовых плит с питанием от сети 0,21
95.22.10.258 Услуги по ремонту фильтров для очистки воды 0,21
95.22.10.259 Услуги по ремонту прочих бытовых приборов 0,21
95.22.2 Ремонт домашнего и садового оборудования 95.22.10.300 Услуги по ремонту домашнего и садового инвентаря
95.22.10.310 Услуги по ремонту сельхозинвентаря, мини-тракторов, газонокосилок 0,21
95.22.10.320 Услуги по ремонту приборов для аквариумов и садовых водоемов 0,21
95.22.10.390 Услуги по ремонту прочего домашнего и садового инвентаря 0,21
95.23 Ремонт обуви и прочих изделий из кожи 95.23.10.100 Услуги по ремонту обуви
95.23.10.110 Услуги по ремонту, реставрации верха обуви 0,12
95.23.10.111 Услуги по замене застежки-молнии, в том числе вставка блочек в сапоги вместо застежки-молнии 0,12
95.23.10.112 Услуги по изменению длины и ширины голенищ сапог 0,12
95.23.10.113 Услуги по изготовлению и прикреплению меховой опушки, замене окантовочной части верха обуви 0,12
95.23.10.114 Услуги по обновлению обуви с полной заменой верха с использованием ношеных формованных подошв 0,12
95.23.10.115 Услуги по формованию следа валяной обуви на колодке 0,12
95.23.10.116 Услуги по обновлению обуви с изменением модели кожаных сапог за счет уменьшения высоты голенищ и использования их на замену изношенных деталей 0,12
95.23.10.117 Услуги по обновлению обуви с изменением модели обуви за счет использования голенищ на детали верха 0,12
95.23.10.118 Услуги по отделке верха обуви, изготовленной из специфических кож (рептилий, рыб, лаковых) 0,12
95.23.10.119 Услуги по пропитке заготовки верха обуви водоотталкивающими препаратами 0,12
95.23.10.120 Услуги по ремонту и замене подошв 0,12
95.23.10.121 Услуги по постановке и ремонту внутренних задников, подпяточников, стелек и полустелек из различных материалов 0,12
95.23.10.122 Услуги по подшиву подошв меховой обуви 0,12
95.23.10.123 Услуги по укреплению подошв, каблуков, крокульной части подошв 0,12
95.23.10.124 Услуги по замене крокульной части подошвы в обуви на высоком каблуке 0,12
95.23.10.125 Услуги по постановке удлиненных подметок 0,12
95.23.10.126 Услуги по постановке супинаторов 0,12
95.23.10.127 Услуги по устранению переломов подошв и стелек в летней обуви с заменой деталей низа 0,12
95.23.10.128 Услуги по обновлению валяной обуви с постановкой бортовой обклейки, подошв, набоек, накладных деталей верха 0,12
95.23.10.129 Услуги по обновлению обуви с использованием пористой резины или натурального каучука для подошвы и бортовой обклейки, а также с использованием формованных подошв 0,12
95.23.10.130 Услуги по ремонту и по постановке каблуков любой формы из всех материалов 0,12
95.23.10.131 Услуги по постановке набоек, косячков, рубчиков из всех видов материалов 0,12
95.23.10.132 Услуги по декоративной отделке уреза подошвы и каблука под "формованную" 0,12
95.23.10.133 Услуги по обрезинованию валенок (рыбацкие калоши) 0,12
95.23.10.140 Услуги по окраске обуви 0,12
95.23.10.190 Прочие услуги по ремонту обуви 0,12
95.23.10.191 Услуги по восстановлению формы верха обуви из натуральных кож, подвергшихся влиянию реагентов, в том числе удаление пятен от реагентов 0,12
95.23.10.192 Услуги по изготовлению и прикреплению ремешков, язычков, удлинению ремешков и замена резинок 0,12
95.23.10.193 Услуги по изготовлению и прикреплению новых украшений, ремонт старых украшений и фурнитуры 0,12
95.23.10.194 Услуги по растяжке обуви 0,12
95.23.10.195 Услуги по полуперетяжке всех видов обуви из различных материалов 0,12
95.23.10.196 Услуги по ремонту резиновой и валяной обуви методом вулканизации 0,12
95.23.10.197 Услуги по вклеиванию новой ворсовой ткани 0,12
95.23.10.198 Услуги по ремонту обуви из синтетических материалов клеевым методом 0,12
95.23.10.199 Прочие услуги по ремонту обуви, не включенные в другие группировки 0,12
95.23.10.200 Услуги по ремонту изделий из кожи, кроме обуви 0,12
95.24.1 Ремонт мебели 95.24.10.110 Услуги по ремонту мебели
95.24.10.111 Услуги по ремонту мягкой мебели 0,28
95.24.10.112 Услуги по ремонту плетеной мебели 0,28
95.24.10.113 Услуги по ремонту корпусной мебели 0,28
95.24.10.114 Услуги по ремонту детской мебели 0,28
95.24.10.115 Услуги по ремонту кухонной мебели 0,28
95.24.10.116 Услуги по ремонту дачной мебели 0,28
95.24.10.117 Услуги по ремонту и реставрация антикварной мебели 0,28
95.24.10.118 Услуги по обновлению и переделке старых конструкций мебели на современные 0,28
95.24.10.119 Услуги по ремонту прочей мебели 0,28
95.24.10.120 Услуги по сборке мебели на дому у заказчика, приобретенной им в торговой сети в разобранном виде 0,28
95.24.10.130 Услуги по ремонту предметов домашнего обихода 0,28
95.24.10.190 Прочие услуги по ремонту мебели 0,28
95.24.10.191 Услуги по ремонту, реставрации, установке и креплению стекол и зеркал для мебели 0,28
95.24.10.192 Услуги по установке и креплению филенок, полок, фурнитуры 0,28
95.24.10.193 Услуги по замене старых настилочных и набивочных материалов новыми рулонными и пластовыми материалами при ремонте мягких элементов мебели 0,28
95.24.10.194 Услуги по замене старого лакокрасочного покрытия 0,28
95.24.10.199 Прочие услуги по ремонту мебели, не включенные в другие группировки 0,28
95.29.11 Ремонт одежды 95.29.11.100 Услуги по ремонту и подгонке/перешиву одежды, кроме трикотажной
95.29.11.110 Услуги по ремонту верхней одежды 0,10
95.29.11.120 Услуги по ремонту легкой одежды 0,10
95.29.11.130 Услуги по ремонту верхних мужских сорочек 0,10
95.29.11.140 Услуги по ремонту белья женского, мужского, детского 0,10
95.29.11.150 Услуги по ремонту корсетных изделий 0,10
95.29.11.160 Услуги по ремонту форменной одежды 0,10
95.29.11.170 Услуги по ремонту рабочей одежды 0,10
95.29.11.180 Услуги по ремонту мужских, женских, детских головных уборов 0,10
95.29.11.190 Прочие услуги по ремонту и подгонке/перешиву одежды 0,10
95.29.11.191 Услуги по перешиву взрослой одежды на детскую 0,10
95.29.11.192 Услуги по вставке застежки-молнии 0,10
95.29.11.193 Услуги по изготовлению изделий из меха, бывшего в употреблении 0,10
95.29.11.194 Услуги по глажению одежды 0,10
95.29.11.195 Услуги по художественной штопке одежды 0,10
95.29.12 Ремонт текстильных изделий 95.29.11.200 Услуги по ремонту и подгонке/перешиву бытовых текстильных изделий, кроме трикотажных
95.29.11.210 Услуги по ремонту столового и постельного белья 0,10
95.29.11.220 Услуги по ремонту изделий из натурального и искусственного меха 0,10
95.29.11.230 Услуги по ремонту изделий из натуральной, искусственной кожи и замши 0,10
95.29.11.240 Услуги по ремонту стеганых одеял 0,10
95.29.11.250 Услуги по ремонту изделий текстильной галантереи 0,10
95.29.11.260 Услуги по ремонту чехлов всех видов, тентов 0,10
95.29.11.270 Услуги по ремонту и реставрация кружевных изделий и изделий художественного ткачества 0,09
95.29.11.280 Услуги по ремонту покрывал, штор 0,10
95.29.11.290 Услуги по ремонту и подгонке/перешиву прочих бытовых текстильных изделий, кроме трикотажных 0,10
95.29.13 Ремонт трикотажных изделий 95.29.11.300 Услуги по обновлению одежды, в том числе трикотажной 0,09
95.29.11.400 Услуги по ремонту трикотажных изделий 0,09
95.29.11.410 Услуги по ремонту верхних трикотажных изделий 0,09
95.29.11.420 Услуги по ремонту бельевых трикотажных изделий 0,09
95.29.11.430 Услуги по ремонту чулочно-носочных, перчаточных изделий 0,09
95.29.11.440 Услуги по ремонту головных уборов 0,09
95.29.11.450 Услуги по ремонту платочно-шарфовых изделий 0,09
95.29.11.460 Услуги по ремонту трикотажных изделий, комбинированных с тканями, искусственной кожей, мехом и др. 0,09
95.29.11.490 Прочие услуги по ремонту трикотажных изделий 0,09
95.29.6 Ремонт велосипедов 95.29.12.000 Услуги по ремонту велосипедов 0,25
95.29.7 Ремонт и настройка музыкальных инструментов (кроме органов и исторических музыкальных инструментов) 95.29.13.000 Услуги по ремонту и обслуживанию музыкальных инструментов 0,25
95.29.2 Ремонт спортивного и туристского оборудования 95.29.14.110 Услуги по ремонту и обслуживанию спортивного инвентаря
95.29.14.111 Услуги по ремонту туристского снаряжения и инвентаря 0,25
95.29.14.112 Услуги по ремонту скейтов 0,25
95.29.14.113 Услуги по ремонту роликовых коньков и лыжероллеров 0,25
95.29.14.114 Услуги по ремонту, клепке и точке коньков 0,25
95.29.14.115 Услуги по ремонту и установке жестких лыжных креплений 0,25
95.29.14.116 Услуги по ремонту ружей для подводной охоты 0,25
95.29.14.117 Услуги по ремонту рыболовных принадлежностей 0,25
95.29.14.118 Услуги по ремонту оборудования для аквалангистов 0,25
95.29.14.119 Услуги по ремонту и обслуживанию прочего спортивного инвентаря 0,25
95.29.9 Ремонт прочих бытовых изделий и предметов личного пользования, не вошедших в другие группировки 95.29.19 Услуги по ремонту прочих предметов личного потребления и бытовых товаров, не включенных в другие группировки.
Эта группировка включает:
- услуги по ремонту бытовых изделий и оборудования, не включенного в другие группировки, например металлоизделий, осветительных приборов, игрушек, книг и прочих предметов личного потребления и бытовых товаров;
- услуги, такие как изготовление металлической галантереи, ключей, номерных знаков, указателей улиц, пластиковое покрытие удостоверений личности.
Эта группировка не включает:
- ремонт ручных электрических инструментов, см. 33.12.17;
- услуги по ремонту и восстановлению произведений искусства, см. 90.03.11
0,25
95.29.3 Ремонт игрушек и подобных им изделий 95.29.19.100 Услуги по ремонту игрушек
95.29.19.110 Услуги по ремонту электрических игрушек с питанием от сети 0,25
95.29.19.120 Услуги по ремонту электротехнических игр 0,25
95.29.19.130 Услуги по ремонту заводных механических игрушек 0,25
95.29.19.140 Услуги по ремонту оборудования для детских игр 0,25
95.29.19.190 Услуги по ремонту прочих игрушек, не включенных в другие группировки 0,25
95.29.4 Ремонт металлоизделий бытового и хозяйственного назначения
95.29.41 Ремонт предметов и изделий из металла 95.29.19.200 Услуги по ремонту металлоизделий 0,25
95.29.19.211 Услуги по ремонту примусов, керосинок, керогазов 0,25
95.29.19.212 Услуги по ремонту бензиновых и газовых зажигалок 0,25
95.29.19.213 Услуги по ремонту замков 0,25
95.29.19.217 Услуги по ремонту зонтов и футляров к ним 0,25
95.29.19.218 Услуги по ремонту бытовой мебели из металла 0,25
95.29.19.219 Услуги по ремонту сейфов и несгораемых шкафов индивидуального пользования 0,25
95.29.19.222 Услуги по ремонту металлической посуды 0,25
95.29.19.223 Услуги по ремонту механизмов для зашторивания 0,25
95.29.19.224 Услуги по ремонту газовых и бензиновых портативных плиток 0,25
95.29.19.225 Услуги по ремонту мясорубок, соковарок и скороварок 0,25
95.29.19.229 Услуги по ремонту прочих металлических предметов хозяйственного назначения 0,25
95.29.42 Ремонт металлической галантереи, ключей, номеров знаков, указателей улиц 95.29.19.221 Услуги по ремонту и изготовлению металлической галантереи, ключей, номерных знаков, указателей улиц 0,25
95.29.43 Заточка пил, чертежных и других инструментов, ножей, ножниц, бритв, коньков и т.п. 95.29.19.214 Услуги по ремонту и заточке чертежных инструментов 0,25
95.29.19.215 Услуги по ремонту, заточке, шлифовке и правке ножей, ножниц, бритв 0,25
95.29.19.216 Услуги по ремонту, насечке, разводке, заточке пил для поперечной распиловки и лучковых пил 0,25
95.29.5 Ремонт бытовых осветительных приборов 95.29.19.300 Услуги по ремонту осветительных приборов 0,25
из 96.01 Стирка и химическая чистка текстильных и меховых изделий 96.01.12.111 Услуги по химической чистке одежды из тканей с содержанием натуральных, синтетических и искусственных волокон 0,23
96.01.12.112 Услуги по химической чистке одежды из тканей с пленочным покрытием 0,23
96.01.12.113 Услуги по химической чистке изделий из тканей на синтепоне 0,23
96.01.12.114 Услуги по химической чистке изделий из натурального меха 0,23
96.01.12.115 Услуги по химической чистке изделий из искусственного меха 0,23
96.01.12.116 Услуги по химической чистке изделий из натуральной замши и замшевой винилискожи 0,23
96.01.12.117 Услуги по химической чистке изделий из овчины и велюра 0,23
96.01.12.118 Услуги по химической чистке изделий из натуральной кожи и винилискожи 0,23
96.01.12.119 Услуги по химической чистке изделий, комбинированных из натуральной кожи и винилискожи, натурального и искусственного меха, натуральной замши и замшевой винилискожи 0,23
96.01.12.121 Услуги по химической чистке трикотажных изделий 0,23
96.01.12.122 Услуги по химической чистке головных уборов из велюра, замши, фетра 0,23
96.01.12.123 Услуги по химической чистке головных уборов из натурального и искусственного меха 0,23
96.01.12.124 Услуги по химической чистке головных уборов из шерсти, пуха и других материалов 0,23
96.01.12.125 Услуги по химической чистке изделий из декоративных тканей на основе смеси из искусственных волокон 0,23
96.01.12.126 Услуги по химической чистке изделий из нетканых материалов 0,23
96.01.12.127 Услуги по химической чистке шерстяных, хлопчатобумажных одеял и пледов 0,23
96.01.12.128 Услуги по химической чистке ватных одеял 0,23
96.01.12.129 Услуги по химической чистке ковров и ковровых изделий 0,23
96.01.12.131 Услуги по химической чистке мягких игрушек 0,23
96.01.12.132 Услуги по химической чистке зонтов 0,23
96.01.12.133 Услуги по химической чистке платков, шарфов, перчаток, варежек, галстуков, косынок из различных материалов 0,23
96.01.12.134 Услуги по химической чистке спальных мешков из различных материалов 0,23
96.01.12.135 Услуги по химической чистке спецодежды 0,23
96.01.12.136 Услуги по химической чистке изделий из ворсовых тканей 0,23
96.01.12.137 Услуги по химической чистке гобеленов 0,23
96.01.12.138 Услуги по химической чистке гардинно-тюлевых изделий 0,23
96.01.12.139 Услуги по химической чистке пухо-перовых изделий 0,23
96.01.12.141 Услуги по химической чистке мебели и ковров на дому 0,23
96.01.12.142 Срочная химчистка одежды и выведение пятен 0,23
96.01.12.143 Услуги по химической чистке одежды методом самообслуживания 0,23
96.01.12.144 Услуги по химической чистке чехлов для сидений автомобиля 0,23
96.01.12.145 Услуги по аквачистке 0,23
96.01.12.200 Прочие услуги при химической чистке
96.01.12.211 Услуги по противомолевой обработке изделий после химической чистки 0,23
96.01.12.212 Услуги по антистатической обработке 0,23
96.01.12.213 Услуги по водоотталкивающей пропитке спецодежды и других изделий из брезента 0,23
96.01.12.214 Услуги по аппретированию складок брюк и юбок для придания устойчивой формы 0,23
96.01.12.215 Услуги по аппретированию одежды после мокрой обработки и крашения 0,23
96.01.12.216 Услуги по аппретированию изделий из натуральной замши и овчины 0,23
96.01.12.217 Услуги по аппретированию ковров после химической чистки 0,23
96.01.12.218 Услуги по расчесыванию натуральных и искусственных мехов после химчистки 0,23
96.01.12.219 Услуги по замене наперников при химической чистке пухо-перовых изделий 0,23
96.01.12.221 Услуги по растяжке пуховых платков после химической чистки 0,23
96.01.12.222 Услуги по восстановлению формы и размеров трикотажных изделий из шерстяной и полушерстяной пряжи, деформированных после стирки в домашних условиях 0,23
96.01.12.223 Услуги по восстановлению первоначальных форм и размеров мужских головных уборов из фетра, велюра и замши 0,23
96.01.12.224 Услуги по отпариванию и пришиванию пуговиц, меховых воротников на изделиях, сдаваемых в химическую чистку 0,23
96.01.12.225 Услуги по текущему ремонту одежды после химчистки и крашения 0,23
96.01.12.226 Услуги по глажению изделий после химической чистки методом самообслуживания 0,23
96.01.12.227 Услуги по декатированию швейных материалов 0,23
96.01.12.228 Услуги по реставрации ковровых изделий 0,23
96.01.12.229 Услуги по бактерицидной обработке изделий 0,23
96.01.12.231 Услуги по огнезащитной обработке изделий 0,23
96.01.12.232 Услуги по дезодорации одежды 0,23
96.01.12.233 Услуги по грязеотталкивающей обработке поверхности ковров и ковровых изделий 0,23
96.01.12.234 Услуги по обработке латексом изнанки ковров и ковровых изделий 0,23
96.01.12.235 Услуги по отбеливанию пряжи и гардинно-тюлевых изделий 0,23
96.01.12.236 Услуги по обновлению изделий из натуральной кожи покрывного крашения 0,23
96.01.12.237 Услуги по импрегнированию изделий из велюра и замши 0,23
96.01.14.111 Услуги по крашению текстильных и трикотажных изделий из натуральных волокон 0,24
96.01.14.112 Услуги по крашению изделий с наличием синтетических волокон 0,24
96.01.14.113 Услуги по крашению изделий из искусственного меха 0,24
96.01.14.114 Услуги по крашению изделий из натурального меха и замши 0,24
96.01.14.115 Услуги по крашению овчины 0,24
96.01.14.116 Услуги по крашению изделий из тканей с пленочным покрытием 0,24
96.01.14.117 Услуги по крашению изделий из ворсовых и лицевых кож 0,24
96.01.14.119 Услуги по крашению прочих изделий 0,24
96.01.19.100 Услуги прачечных
96.01.19.111 Услуги по стирке белья в прачечной самообслуживания 0,12
96.01.19.112 Услуги по стирке белья в прачечной самообслуживания персоналом прачечной 0,12
96.01.19.113 Услуги по сушке и глажению белья в прачечной самообслуживания 0,12
96.01.19.114 Услуги по срочной стирке белья 0,12
96.01.19.115 Услуги по стирке прямого хлопчатобумажного и льняного белья 0,12
96.01.19.116 Услуги по стирке фасонного хлопчатобумажного и льняного белья 0,12
96.01.19.117 Услуги по стирке верхних мужских сорочек 0,12
96.01.19.118 Услуги по антистатической обработке верхних мужских сорочек 0,12
96.01.19.119 Услуги по дезодорации верхних мужских сорочек 0,12
96.01.19.121 Услуги по стирке изделий из искусственных, синтетических и смешанных тканей 0,12
96.01.19.122 Услуги по стирке стеганых одеял 0,12
96.01.19.123 Услуги по стирке чехлов для сидений автомобилей, чехлов для мебели и др. 0,12
96.01.19.124 Услуги по стирке спецодежды 0,12
96.01.19.125 Услуги по стирке белья с различными пятнами, требующей особого режима обслуживания 0,12
96.01.19.126 Услуги по ароматизации белья после стирки 0,12
96.01.19.127 Услуги по дезинфекции белья 0,12
96.01.19.128 Услуги по изготовлению меток для белья 0,12
96.01.19.129 Услуги по текущему ремонту белья и верхних мужских сорочек 0,12
96.01.19.131 Услуги по пришиванию меток к белью и приему белья в стирку 0,12
96.01.19.132 Услуги по приему белья в стирку на дому у заказчика и доставке белья после стирки 0,12
96.01.19.139 Прочие услуги прачечных 0,12
96.02.1 Предоставление парикмахерских услуг 96.02.11.000 Услуги парикмахерские для женщин и девочек 0,33
96.02.12.000 Услуги парикмахерские для мужчин и мальчиков 0,33
96.02.2 Предоставление косметических услуг парикмахерских и салонов красоты 96.02.13.111 Услуги по простому и сложному гриму лица, макияжу 0,33
96.02.13.112 Услуги по окраске бровей и ресниц, коррекции формы бровей, наращиванию ресниц, завивке ресниц 0,33
96.02.13.113 Услуги по косметическим маскам по уходу за кожей лица и шеи с применением косметических средств 0,33
96.02.13.114 Услуги по гигиеническому массажу лица и шеи, включая эстетический, стимулирующий, дренажный, аппаратный массаж, СПА-массаж 0,33
96.02.13.115 Услуги по косметическому комплексному уходу за кожей лица и шеи 0,33
96.02.13.116 Услуги по косметическому татуажу, пирсингу 0,33
96.02.13.117 Гигиеническая чистка лица 0,33
96.02.13.120 Услуги по маникюру.
Эта группировка включает:
- услуги по гигиеническому маникюру с покрытием и без покрытия ногтей лаком;
- услуги по комплексному уходу за кожей кистей рук;
- услуги по наращиванию ногтей;
- прочие услуги по маникюру
0,33
96.02.13.130 Услуги по педикюру.
Эта группировка включает:
- услуги по гигиеническому педикюру с покрытием и без покрытия ногтей лаком;
- услуги по комплексному уходу за кожей стоп;
- услуги по наращиванию ногтей;
- прочие услуги по педикюру
0,33
96.02.19.110 Услуги косметические прочие
96.02.19.111 Услуги по СПА-уходу по телу, включая гигиенические, релаксирующие, эстетические методы с использованием косметических средств, природных и преформированных факторов воздействия 0,33
96.02.19.112 Услуги по косметическому комплексному уходу за кожей тела, удалению волос с помощью косметических средств 0,33
96.03 Организация похорон и предоставление связанных с ними услуг 96.03.11.100 Услуги по захоронению 0,10
96.03.11.200 Услуги крематориев 0,10
96.03.11.300 Услуги по содержанию и обслуживанию кладбищ, уходу за могилами и местами захоронения.
Эта группировка не включает:
- установку освещения, устройство пешеходных дорожек, посадку зеленых насаждений, см. 81.30.10
0,10
96.03.11.311 Услуги по установке, снятию окраски надмогильных сооружений 0,10
96.03.11.312 Услуги по нанесению надписей на памятниках, мраморных досках, креплению фотографий на памятниках, высечке барельефов, выполнению графических портретов на памятниках, скульптурных работ и т.п. 0,10
96.03.11.313 Услуги по установке и ремонту ограды, памятных знаков 0,10
96.03.11.314 Услуги по уходу за могилой 0,10
96.03.11.315 Услуги по сооружению склепов и мемориальных комплексов 0,10
96.03.11.316 Услуги по изготовлению надгробных сооружений из различных материалов и их реставрации 0,10
96.03.11.319 Прочие услуги по захоронению и кремации 0,10
96.03.12.111 Услуги приемщика заказов службы по организации похорон 0,28
96.03.12.112 Услуги по подаче объявлений, некролога, составлению текстов траурной речи, оповещению родственников 0,28
96.03.12.113 Услуги по прокату зала и его оформлению для проведения гражданской панихиды, обряда поминания 0,28
96.03.12.114 Услуги организатора ритуала по похоронам 0,28
96.03.12.115 Услуги по организации похорон 0,28
96.03.12.116 Услуги по бальзамированию трупа 0,28
96.03.12.117 Услуги по санитарной и косметической обработке трупа 0,28
96.03.12.118 Услуги по предпохоронному сохранению тел умерших 0,28
96.03.12.119 Услуги по перевозке тела (останков умершего на кладбище (крематорий)) 0,28
96.03.12.121 Услуги по проведению эксгумации, транспортировке и перезахоронению останков 0,28
96.03.12.122 Услуги по пошиву, изготовлению и прокату похоронных принадлежностей 0,28
96.03.12.123 Услуги по изготовлению траурных венков, искусственных цветов, гирлянд 0,28
96.03.12.129 Прочие услуги похоронных бюро 0,28
из 96.04 Услуги бань, душевых и саун; прочие услуги, оказываемые в банях и душевых; услуги соляриев по индивидуальному заказу населения из 96.04.10 Услуги в области физкультурно-оздоровительной деятельности.
Эта группировка включает:
- услуги в области физкультурно-оздоровительной деятельности, такие как предоставляемые банями, душевыми, саунами и парными, соляриями, водолечебницами, салонами для сбавления веса и похудения, массажными салонами (за исключением лечебного массажа) и т.п.
Эта группировка не включает:
- услуги по медицинскому массажу и терапии, см. 86.90.13, 86.90.19;
- услуги клубов фитнеса и бодибилдинга, см. 93.13.10.
Услуги бань, душевых и саун;
прочие услуги, оказываемые в банях и душевых;
услуги соляриев по индивидуальному заказу населения
0,12
из 96.09 Вспашка огородов, распиловка дров; изготовление сельскохозяйственного инвентаря из материала заказчика; ремонт и изготовление гончарных изделий; граверные работы по металлу, стеклу, фарфору, дереву, керамике; стрижка домашних животных; оформление заказов на покупку очков, оправ, лекарств по рецепту и доставка их на дом; предоставление материалов для бытового технического творчества в салонах "сделай сам"; деятельность "службы семьи" (по системам); деятельность по предоставлению посреднических услуг по организации консультаций юристов, психологов, экономистов, врачей и других специалистов; подбор кандидатур с применением ЭВМ, видеозаписи; проклейка рам бумагой, очистка от бумаги и замазки; деятельность справочно-информационной службы по оказанию услуг населению по заполнению бланков, написанию заявлений, снятию копий, по приему в расклейку объявлений, выдаче справок, по обеспечению индивидуальных подписчиков газетно-журнальной информацией; деятельность по оказанию услуг копировально-множительных; деятельность по оказанию посреднических услуг на информацию о финансовых, экономических и промышленных данных; оборудование квартир (навеска карнизов, картин, вешалок, зеркал и др. предметов); стирка и глажение белья на дому у заказчика; нарезка стекла и зеркал, художественная обработка стекла; деятельность по предоставлению посреднических услуг на оформление заказов на обслуживание автотранспортом; переписка нот; деятельность по оказанию посреднических услуг на доставку цветов (подарков) на дом с возможной предварительной оплатой; организация занятий в группах общения, психогимнастики, аутогенной тренировки и др.; измерение силы рук, роста, взвешивание на медицинских весах; демонстрация моделей одежды; абонирование квартир для получения требуемой информации 96.09.11 Услуги по уходу за домашними животными 0,17
96.09.19.111 Услуги справочно-информационной службы по оказанию услуг населению по заполнению бланков, написанию заявлений, снятию копий по индивидуальному заказу населения 0,33
96.09.19.112 Услуги справочно-информационной службы по приему в расклейку объявлений 0,33
96.09.19.113 Услуги копировально-множительные по индивидуальному заказу населения 0,33
96.09.19.114 Услуги посреднические на информацию о финансовых, экономических и промышленных и иных данных по индивидуальному заказу населения 0,33
96.09.19.115 Услуги по оборудованию квартир (навеска карнизов, картин, вешалок, зеркал и др. предметов) 0,33
96.09.19.116 Услуги по стирке и глажению белья на дому у заказчика 0,33
96.09.19.117 Услуги брачных агентств, службы знакомств 0,33
96.09.19.118 Услуги по графологическим или генеалогическим исследованиям 0,33
96.09.19.119 Услуги астрологов, хиромантов и спиритов 0,33
96.09.19.121 Услуги наемных писателей 0,33
96.09.19.122 Услуги салонов татуировок, салонов пирсинга 0,33
96.09.19.123 Услуги носильщиков, чистильщиков обуви и помощников на автомобильных стоянках 0,33
96.09.19.124 Услуги платных туалетов 0,33
96.09.19.125 Услуги по вспашке огородов, распиловке дров по индивидуальному заказу населения 0,33
96.09.19.126 Граверные работы по металлу, стеклу, фарфору, дереву, керамике, кроме ювелирных изделий, по индивидуальному заказу населения 0,33
96.09.19.127 Услуги по ремонту и изготовлению гончарных изделий по индивидуальному заказу населения 0,33
96.09.19.128 Нарезка стекла и зеркал, художественная обработка стекла по индивидуальному заказу населения 0,33
96.09.19.129 Услуги по изготовлению с/х инвентаря из материала заказчика по индивидуальному заказу населения 0,33
из 96.09.139 Услуги справочно-информационной службы по выдаче справок; услуги справочно-информационной службы по обеспечению индивидуальных подписчиков газетно-журнальной информацией; переписка нот; посреднические услуги на оформление заказов на обслуживание автотранспортом; посреднические услуги на доставку цветов (подарков) на дом с возможной предварительной оплатой; организация занятий в группах общения, психогимнастики, аутогенной тренировки и др.; измерение силы рук, роста, взвешивание на медицинских весах; услуги по переработке с/х продуктов и даров леса;
оформление заказов на покупку очков, оправ, лекарств по рецепту и доставку их на дом; предоставление материалов для бытового технического творчества в салонах "сделай сам"; услуги "службы семьи" (по системам); посреднические услуги по организации консультаций юристов, психологов, экономистов, врачей и других специалистов; подбор кандидатур с применением ЭВМ, видеозаписи; проклейка рам бумагой, очистка от бумаги и замазки; демонстрация моделей одежды
0,10

<*> Бытовые услуги, не включенные в перечень настоящего решения и отнесенные распоряжением Правительства РФ N 2496/Р от 24.11.2016 к бытовым услугам, при расчете К2 используется коэффициент бытовых услуг равный 1.

Официальный источник электронного документа содержит неточность: распоряжение Правительства РФ от 24.11.2016 "Об утверждении кодов видов деятельности в соответствии с Общероссийским классификатором видов экономической деятельности, относящихся к бытовым услугам, и кодов услуг в соответствии с Общероссийским классификатором продукции по видам экономической деятельности, относящихся к бытовым услугам" имеет номер 2496-р.

Исключение составляют бытовые услуги, которые по Налоговому кодексу РФ выделены как отдельные виды деятельности, в отношении которых применяется система налогообложения в виде ЕНВД.

Таблица 2

Территориальные коэффициенты городского округа (кт) и коэффициенты категории места расположения объекта стационарной или нестационарной торговой сети (Км)

Место расположения объекта Территориальный коэффициент городского округа (Кт) Коэффициент категории места расположения объекта (Км)
Городской округ, за исключением поселков и сельских населенных пунктов, не являющихся муниципальными образованиями 0,9 1,0 - 1 категория
0,9 - 2 категория
0,8 - 3 категория
0,7 - 4 категория
0,6 - 5 категория
0,5 - 6 категория
0,4 - 7 категория
0,3 - 8 категория
Поселки и сельские населенные пункты, не являющиеся муниципальными образованиями 0,1

В случае если в течение налогового периода изменяется место расположения объекта нестационарной торговой сети, при расчете коэффициента К2 применяются максимальные значения коэффициентов Кт и Км для используемых мест расположения.

Таблица 3

Коэффициенты вида товара (Кв)

Код по Общероссийскому классификатору продукции по видам экономической деятельности Вид продукции по Общероссийскому классификатору продукции по видам экономической деятельности Коэффициент вида продукции (Кв)
59.11.22.000 Кинопленки 1,00
20.59.11 Фотопластинки и фотопленки, фотопленки для моментальных фотоснимков, светочувствительные, неэкспонированные; фотобумаги 1,00
20.59.11.110 Фотопластинки и фотопленки светочувствительные, неэкспонированные 1,00
20.59.11.130 Фотобумаги 1,00
26.80.11.000 Носители данных магнитные без записи, кроме магнитных карт 1,00
26.80.14.000 Карты магнитные 1,00
20.59.12.110 Эмульсии фотографические 1,00
26.70.19.000 Части и принадлежности фотографического оборудования 1,00
17.21.1 Бумага и картон гофрированные и тара бумажная и картонная 1,00
26.20 Компьютеры и периферийное оборудование 1,00
26.20.1 Компьютеры, их части и принадлежности 1,00
26.20.14.000 Машины вычислительные электронные цифровые, поставляемые в виде систем для автоматической обработки данных 1,00
26.20.40.190 Комплектующие и запасные части для вычислительных машин прочие, не включенные в другие группировки 1,00
26.20.13.000 Машины вычислительные электронные цифровые, содержащие в одном корпусе центральный процессор и устройство ввода и вывода, объединенные или нет для автоматической обработки данных 1,00
28.23.13 Машины счетные, аппараты контрольно-кассовые, машины почтовые франкировальные, машины билетопечатающие и аналогичные машины со счетными устройствами 1,00
28.23.13.190 Машины, содержащие счетные устройства, прочие, не включенные в другие группировки 1,00
28.23.13.110 Машины счетные 1,00
28.23.13.140 Машины билетопечатающие 1,00
26.20.21.110 Устройства запоминающие внутренние 1,00
26.20.40.110 Устройства и блоки питания вычислительных машин 1,00
26.20.40.120 Элементы замены типовые устройств ввода и вывода 1,00
26.20.21.120 Устройства запоминающие внешние 1,00
26.20.17.110 Мониторы, подключаемые к компьютеру 1,00
26.20.16 Устройства ввода или вывода, содержащие или не содержащие в одном корпусе запоминающие устройства 1,00
26.20.16.140 Терминалы ввода/вывода данных 1,00
26.20.16.120 Принтеры 1,00
26.20.16.190 Устройства ввода/вывода данных прочие 1,00
26.20.30.000 Устройства автоматической обработки данных прочие 1,00
26.20.40.130 Инструменты и принадлежности для вычислительных машин 1,00
26.52 Часы всех видов 1,00
26.52.12.110 Часы наручные и карманные механические прочие 1,00
26.52.11.110 Часы наручные и карманные механические с корпусом из драгоценного металла или металла, плакированного драгоценным металлом 1,00
26.52.14.000 Часы, не предназначенные для ношения на себе или с собой, с часовым механизмом для часов, предназначенных для ношения на себе или с собой; будильники и настенные часы; часы прочие 1,00
26.52.13 Часы, устанавливаемые на приборных панелях, и аналогичные часы для транспортных средств 1,00
26.52.12.140 Секундомеры 1,00
26.52.28.140 Переключатели временные с часовым механизмом всех видов 1,00
26.52.25.000 Механизмы часовые, укомплектованные несобранные, неукомплектованные и предварительно грубо собранные для часов, не предназначенных для ношения на себе или с собой 1,00
26.52.27.000 Части часов всех видов прочие 1,00
26.52.12.120 Часы наручные и карманные электронно-механические прочие 1,00
26.52.11.120 Часы наручные и карманные электронно-механические с корпусом из драгоценного металла или металла, плакированного драгоценным металлом 1,00
26.52.12.130 Часы наручные и карманные электронные прочие 1,00
26.52.11.130 Часы наручные и карманные электронные с корпусом из драгоценного металла или металла, плакированного драгоценным металлом 1,00
26.51.66.190 Инструменты, приборы и машины для измерения или контроля прочие, не включенные в другие группировки 1,00
28.99.39.190 Оборудование специального назначения прочее, не включенное в другие группировки 1,00
26.70.16.110 Кинопроекторы 1,00
28.99.52.000 Части прочего оборудования специального назначения 1,00
26.70.11 Объективы для фотокамер, кинокамер, проекторов, или фотоувеличителей, или фотооборудования для проецирования изображения с уменьшением 1,00
26.70.11.110 Объективы для фотокамер 1,00
26.70.11.120 Объективы для кинокамер 1,00
26.70.11.130 Объективы для проекторов 1,00
26.70.11.140 Объективы для фотоувеличителей или фотооборудования для проецирования изображения с уменьшением 1,00
26.70.14 Фотокамеры с моментальным получением готового снимка и прочие фотокамеры 1,00
26.70.14.190 Фотокамеры прочие 1,00
30.91.1 Мотоциклы и мотоциклетные коляски 1,00
28.25 Оборудование промышленное холодильное и вентиляционное 1,00
28.25.20.110 Вентиляторы общего назначения 1,00
28.25.20.111 Вентиляторы осевые 1,00
28.25.20.119 Вентиляторы общего назначения прочие 1,00
28.25.20.190 Вентиляторы прочие, кроме настольных, напольных, настенных, оконных, потолочных или вентиляторов для крыш 1,00
28.25.12 Оборудование для кондиционирования воздуха 1,00
28.25.12.110 Кондиционеры промышленные 1,00
28.25.12.120 Кондиционеры для транспортных средств 1,00
28.25.30.110 Комплектующие (запасные части) холодильного и морозильного оборудования, не имеющие самостоятельных группировок 1,00
27.52.13.000 Воздухонагреватели или распределительные устройства для подачи горячего воздуха неэлектрические из черных металлов, не включенные в другие группировки 1,00
58.2 Услуги по изданию программного обеспечения 1,00
58.29.11.000 Системы операционные на электронном носителе 1,00
58.29.14.000 Средства разработки инструментальные и программное обеспечение языков программирования на электронном носителе 1,00
58.29.29.000 Обеспечение программное прикладное прочее на электронном носителе 1,00
58.29.13.000 Обеспечение программное для администрирования баз данных на электронном носителе 1,00
62.01.29.000 Оригиналы программного обеспечения прочие 1,00
58.11.30.120 Книги профессиональные, технические и научные в электронной форме 1,00
58.11.30.140 Словари и энциклопедии в электронной форме 1,00
58.29.31.000 Обеспечение программное системное для загрузки 1,00
27.51 Приборы бытовые электрические 1,00
27.51.24.110 Электрочайники 1,00
27.51.24.120 Электрокофеварки 1,00
27.51.23.130 Утюги электрические 1,00
15.11.10 Шкурки меховые дубленые или выделанные 1,00
15.11.10.130 Шкурки меховые выделанные ягнят астраханской, курдючной, каракульской, персидской и аналогичных пород, а также ягнят индийской, китайской, монгольской или тибетской пород целые, с головой, хвостом или лапами или без них, несобранные 1,00
15.11.10.132 Каракуль чистопородный черный 1,00
15.11.10.131 Каракуль чистопородный серый 1,00
15.11.10.133 Каракуль чистопородный цветной 1,00
15.11.10.135 Каракульча 1,00
15.11.10.139 Шкурки меховые выделанные ягнят прочие 1,00
15.11.10.136 Смушка 1,00
15.11.10.137 Яхобаб 1,00
15.11.10.250 Шкурки ягнят всех пород овец (кроме каракулево-смушковой) и козлят выделанные целые, с головой, хвостом или лапами или без них, несобранные 1,00
15.11.10.251 Мерлушка 1,00
15.11.10.252 Клям 1,00
15.11.10.253 Муаре 1,00
15.11.10.254 Трясок 1,00
15.11.10.255 Сак-сак 1,00
15.11.10.256 Лямка 1,00
15.11.10.257 Козлик меховой 1,00
15.11.10.240 Овчина меховая и шубная выделанная целая, с головой, хвостом или лапами или без них, несобранная 1,00
15.11.10.241 Овчина меховая выделанная тонкорунная 1,00
15.11.10.242 Овчина меховая выделанная полутонкорунная 1,00
15.11.10.243 Овчина меховая выделанная полугрубая 1,00
15.11.10.390 Шкурки меховые выделанные целые, с головой, хвостом или лапами или без них, несобранные, прочие, не включенные в другие группировки 1,00
15.11.10.180 Шкурки тюленя меховые выделанные целые, с головой, хвостом или лапами или без них, несобранные 1,00
15.11.10.220 Шкурки сурка меховые выделанные целые, с головой, хвостом или лапами или без них, несобранные 1,00
15.11.10.120 Шкурки кролика или зайца меховые выделанные целые, с головой, хвостом или лапами или без них, несобранные 1,00
15.11.10.360 Шкурки белки меховые выделанные целые, с головой, хвостом или лапами или без них, несобранные 1,00
15.11.10.150 Шкурки ондатры меховые выделанные целые, с головой, хвостом или лапами или без них, несобранные 1,00
15.11.10.210 Шкурки нутрии меховые выделанные целые, с головой, хвостом или лапами или без них, несобранные 1,00
15.11.10.140 Шкурки бобра меховые выделанные целые, с головой, хвостом или лапами или без них, несобранные 1,00
15.11.10.350 Шкурки енота меховые выделанные целые, с головой, хвостом или лапами или без них, несобранные 1,00
15.11.10.170 Шкурки песца меховые выделанные целые, с головой, хвостом или лапами или без них, несобранные 1,00
15.11.10.160 Шкурки лисицы меховые выделанные целые, с головой, хвостом или лапами или без них, несобранные 1,00
15.11.10.230 Шкурки диких животных семейства кошачьих меховые выделанные целые, с головой, хвостом или лапами или без них, несобранные 1,00
15.11.10.280 Шкурки соболя меховые выделанные целые, с головой, хвостом или лапами или без них, несобранные 1,00
15.11.10.310 Шкурки куницы меховые выделанные целые, с головой, хвостом или лапами или без них, несобранные 1,00
15.11.10.110 Шкурки норки меховые выделанные целые, с головой, хвостом или лапами или без них, несобранные 1,00
15.11.10.270 Шкурки горностая меховые выделанные целые, с головой, хвостом или лапами или без них, несобранные 1,00
15.11.10.340 Шкурки хоря меховые выделанные целые, с головой, хвостом или лапами или без них, несобранные 1,00
15.11.10.320 Шкурки выдры меховые выделанные целые, с головой, хвостом или лапами или без них, несобранные 1,00
15.11.10.190 Шкурки калана меховые выделанные целые, с головой, хвостом или лапами или без них, несобранные 1,00
14.20 Изделия меховые 1,00
14.20.10.111 Пальто мужские с верхом из натурального меха 1,00
14.20.10.161 Пальто мужские с верхом из натуральной кожи, подкладка меховая 1,00
14.20.10.221 Пальто мужские с верхом из хлопчатобумажных тканей, подкладка меховая 1,00
14.20.10.281 Пальто мужские с верхом из шерстяных тканей, подкладка меховая 1,00
14.20.10.351 Пальто мужские нагольные 1,00
14.20.10.451 Пальто мужские с верхом из хлопчатобумажных тканей, подкладка из шубной овчины 1,00
14.20.10.531 Пальто мужские с верхом из меха, комбинированного с другими материалами 1,00
14.20.10.112 Пальто женские с верхом из натурального меха 1,00
14.20.10.162 Пальто женские с верхом из натуральной кожи, подкладка меховая 1,00
14.20.10.222 Пальто женские с верхом из хлопчатобумажных тканей, подкладка меховая 1,00
14.20.10.282 Пальто женские с верхом из шерстяных тканей, подкладка меховая 1,00
14.20.10.352 Пальто женские нагольные 1,00
14.20.10.452 Пальто женские с верхом из хлопчатобумажных тканей, подкладка из шубной овчины 1,00
14.20.10.532 Пальто женские с верхом из меха, комбинированного с другими материалами 1,00
14.20.10.121 Полупальто мужские с верхом из натурального меха 1,00
14.20.10.171 Полупальто мужские с верхом из натуральной кожи, подкладка меховая 1,00
14.20.10.231 Полупальто мужские с верхом из хлопчатобумажных тканей, подкладка меховая 1,00
14.20.10.311 Полупальто мужские с верхом из шерстяных тканей, подкладка меховая 1,00
14.20.10.361 Полупальто мужские нагольные 1,00
14.20.10.461 Полупальто мужские с верхом из хлопчатобумажных тканей, подкладка из шубной овчины 1,00
14.20.10.541 Полупальто мужские с верхом из меха, комбинированного с другими материалами 1,00
14.20.10.122 Полупальто женские с верхом из натурального меха 1,00
14.20.10.172 Полупальто женские с верхом из натуральной кожи, подкладка меховая 1,00
14.20.10.232 Полупальто женские с верхом из хлопчатобумажных тканей, подкладка меховая 1,00
14.20.10.312 Полупальто женские с верхом из шерстяных тканей, подкладка меховая 1,00
14.20.10.362 Полупальто женские нагольные 1,00
14.20.10.462 Полупальто женские с верхом из хлопчатобумажных тканей, подкладка из шубной овчины 1,00
14.20.10.131 Пиджаки мужские с верхом из натурального меха 1,00
14.20.10.241 Пиджаки мужские с верхом из хлопчатобумажных тканей, подкладка меховая 1,00
14.20.10.321 Пиджаки мужские с верхом из шерстяных тканей, подкладка меховая 1,00
14.20.10.371 Пиджаки мужские нагольные 1,00
14.20.10.471 Пиджаки мужские с верхом из хлопчатобумажных тканей, подкладка из шубной овчины 1,00
14.20.10.551 Пиджаки мужские с верхом из меха, комбинированного с другими материалами 1,00
14.20.10.132 Жакеты женские с верхом из натурального меха 1,00
14.20.10.242 Жакеты женские с верхом из хлопчатобумажных тканей, подкладка меховая 1,00
14.20.10.322 Жакеты женские с верхом из шерстяных тканей, подкладка меховая 1,00
14.20.10.372 Жакеты женские нагольные 1,00
14.20.10.472 Жакеты женские с верхом из хлопчатобумажных тканей, подкладка из шубной овчины 1,00
14.20.10.552 Жакеты женские с верхом из меха, комбинированного с другими материалами 1,00
14.20.10.141 Жилеты мужские с верхом из натурального меха 1,00
14.20.10.181 Жилеты мужские с верхом из натуральной кожи, подкладка меховая 1,00
14.20.10.251 Жилеты мужские с верхом из хлопчатобумажных тканей, подкладка меховая 1,00
14.20.10.331 Жилеты мужские с верхом из шерстяных тканей, подкладка меховая 1,00
14.20.10.381 Жилеты мужские нагольные 1,00
14.20.10.481 Жилеты мужские с верхом из хлопчатобумажных тканей, подкладка из шубной овчины 1,00
14.20.10.561 Жилеты мужские с верхом из меха, комбинированного с другими материалами 1,00
14.20.10.142 Жилеты женские с верхом из натурального меха 1,00
14.20.10.182 Жилеты женские с верхом из натуральной кожи, подкладка меховая 1,00
14.20.10.252 Жилеты женские с верхом из хлопчатобумажных тканей, подкладка меховая 1,00
14.20.10.332 Жилеты женские с верхом из шерстяных тканей, подкладка меховая 1,00
14.20.10.382 Жилеты женские нагольные 1,00
14.20.10.482 Жилеты женские с верхом из хлопчатобумажных тканей, подкладка из шубной овчины 1,00
14.20.10.562 Жилеты женские с верхом из меха, комбинированного с другими материалами 1,00
14.20.10.211 Куртки мужские с верхом из натуральной кожи, подкладка меховая 1,00
14.20.10.261 Куртки мужские с верхом из хлопчатобумажных тканей, подкладка меховая 1,00
14.20.10.341 Куртки мужские с верхом из шерстяных тканей, подкладка меховая 1,00
14.20.10.581 Куртки мужские с верхом из синтетических тканей, подкладка меховая 1,00
14.20.10.411 Куртки мужские нагольные 1,00
14.20.10.511 Куртки мужские с верхом из хлопчатобумажных тканей, подкладка из шубной овчины 1,00
14.20.10.571 Куртки мужские с верхом из меха, комбинированного с другими материалами 1,00
14.20.10.152 Куртки женские с верхом из натурального меха 1,00
14.20.10.262 Куртки женские с верхом из хлопчатобумажных тканей, подкладка меховая 1,00
14.20.10.342 Куртки женские с верхом из шерстяных тканей, подкладка меховая 1,00
14.20.10.582 Куртки женские с верхом из синтетических тканей, подкладка меховая 1,00
14.20.10.412 Куртки женские нагольные 1,00
14.20.10.512 Куртки женские с верхом из хлопчатобумажных тканей, подкладка из шубной овчины 1,00
14.20.10.572 Куртки женские с верхом из меха, комбинированного с другими материалами 1,00
14.20.10.420 Полушубки нагольные овчинно-шубные 1,00
14.20.10.520 Полушубки с верхом из хлопчатобумажных тканей, подкладка из шубной овчины 1,00
14.20.10.440 Бекеши нагольные овчинно-шубные 1,00
14.20.10.430 Тулупы нагольные овчинно-шубные 1,00
14.20.10.271 Костюмы мужские с верхом из хлопчатобумажных тканей, подкладка меховая 1,00
14.19.43.110 Уборы головные мужские или для мальчиков меховые 1,00
14.19.43.111 Уборы головные мужские или для мальчиков цельномеховые 1,00
14.19.43.112 Уборы головные мужские или для мальчиков меховые комбинированные с искусственной кожей 1,00
14.19.43.113 Уборы головные мужские или для мальчиков меховые комбинированные с натуральной кожей 1,00
14.19.43.114 Уборы головные мужские или для мальчиков меховые комбинированные с хлопчатобумажными тканями 1,00
14.19.43.115 Уборы головные мужские или для мальчиков меховые комбинированные с шерстяными тканями (сукном) 1,00
14.19.43.116 Уборы головные мужские или для мальчиков меховые комбинированные с искусственным мехом 1,00
14.19.43.117 Уборы головные мужские или для мальчиков меховые из шкурок кожевой тканью вверх 1,00
14.19.43.119 Уборы головные мужские или для мальчиков меховые комбинированные с другими материалами 1,00
14.19.43.120 Уборы головные женские или для девочек меховые 1,00
14.19.43.121 Уборы головные женские или для девочек цельномеховые 1,00
14.19.43.123 Уборы головные женские или для девочек меховые комбинированные с натуральной кожей 1,00
14.19.43.124 Уборы головные женские или для девочек меховые комбинированные с искусственным мехом 1,00
14.19.43.125 Уборы головные женские или для девочек меховые из шкурок кожевой тканью вверх 1,00
14.19.43.129 Уборы головные женские или для девочек меховые комбинированные с другими материалами 1,00
14.20.10.610 Воротники из натурального меха 1,00
14.20.10.611 Воротники мужские из натурального меха 1,00
14.20.10.612 Воротники женские из натурального меха 1,00
14.20.10.620 Пластины из шкурок и их частей, скрои из натурального меха 1,00
14.20.10.999 Изделия из меха прочие, не включенные в другие группировки 1,00
14.20.10.630 Уборы женские из натурального меха 1,00
14.20.10.631 Горжеты 1,00
14.20.10.632 Воротники на подкладке из тканей 1,00
14.20.10.633 Муфты 1,00
14.20.10.634 Палантины 1,00
14.20.10.635 Шарфы 1,00
14.20.10.636 Пелерины и полупелерины 1,00
14.19.31.121 Рукавицы мужские из натуральной кожи, подкладка меховая 1,00
14.20.10.641 Рукавицы мужские из хлопчатобумажных тканей, подкладка меховая 1,00
14.20.10.644 Рукавицы мужские из шерстяных тканей, подкладка меховая 1,00
14.20.10.651 Рукавицы мужские нагольные 1,00
14.20.10.647 Рукавицы мужские из хлопчатобумажных тканей, подкладка из шубной овчины 1,00
14.19.31.122 Рукавицы женские из натуральной кожи, подкладка меховая 1,00
14.20.10.642 Рукавицы женские из хлопчатобумажных тканей, подкладка меховая 1,00
14.20.10.645 Рукавицы женские из шерстяных тканей, подкладка меховая 1,00
14.20.10.652 Рукавицы женские нагольные 1,00
14.20.10.648 Рукавицы женские из хлопчатобумажных тканей, подкладка из шубной овчины 1,00
14.19.31.124 Перчатки мужские из натуральной кожи, подкладка меховая 1,00
14.20.10.654 Перчатки мужские нагольные 1,00
14.19.31.125 Перчатки женские из натуральной кожи, подкладка меховая 1,00
14.20.10.655 Перчатки женские нагольные 1,00
14.20.10.991 Мешки спальные меховые, в том числе с верхом из тканей 1,00
14.20.10.660 Чулки меховые 1,00
14.20.10.670 Носки меховые 1,00
14.20.10.671 Носки мужские из хлопчатобумажных тканей с меховой подкладкой 1,00
14.20.10.674 Носки мужские нагольные 1,00
14.20.10.672 Носки женские из хлопчатобумажных тканей с меховой подкладкой 1,00
14.20.10.675 Носки женские нагольные 1,00
14.20.10.992 Ковры меховые 1,00
14.20.10.993 Сувениры, украшения меховые 1,00
14.20.10.994 Покрывала, подушки, чехлы меховые 1,00
14.20.10.995 Изделия и принадлежности меховые для использования в технике, механизмах и в промышленных целях 1,00
15.11.10.710 Головы, хвосты, лапы и прочие части или обрезки, несобранные 1,00
11.02 Вина виноградные 1,00
11.02.12.110 Вина из свежего винограда, кроме вин игристых и газированных 1,00
11.04.10.120 Вина прочие из свежего винограда ароматизированные 1,00
11.02.11.120 Вина газированные из свежего винограда 1,00
11.02.11.111 Шампанское 1,00
11.02.11.110 Вина игристые из свежего винограда 1,00
11.02.11.119 Вина игристые прочие 1,00
11.03.10.111 Сидр 1,00
11.03.10.130 Вина плодовые прочие 1,00
11.03.10.112 Напитки медовые 1,00
11.01.10.140 Коньяки, коньячные напитки и спирты коньячные 1,00
11.02.12.120 Сусло виноградное 1,00
11.05.20.120 Отходы виноделия 1,00
11.05.20.121 Отходы виноградного виноделия 1,00
11.05.20.122 Отходы плодового виноделия 1,00
11.03.10.119 Напитки сброженные прочие, не включенные в другие группировки 1,00
11.03.10.120 Смеси из напитков, содержащих алкоголь 1,00
11.01.10 Напитки алкогольные дистиллированные 1,00
11.01.10.111 Водка 1,00
11.01.10.112 Спирт этиловый питьевой 1,00
11.01.10.120 Изделия ликеро-водочные крепкие крепостью 30% и выше 1,00
11.01.10.121 Ликеры крепостью 30% и выше 1,00
11.01.10.129 Изделия ликеро-водочные крепкие крепостью 30% и выше прочие 1,00
11.01.10.125 Настойки крепостью 30% и выше 1,00
11.01.10.122 Бальзамы 1,00
11.01.10.150 Наливки и настойки сладкие крепостью менее 30% 1,00
11.01.10.130 Изделия ликеро-водочные слабоградусные крепостью менее 30% 1,00
11.01.10.131 Ликеры крепостью менее 30% 1,00
11.01.10.139 Изделия ликеро-водочные слабоградусные крепостью менее 30% прочие 1,00
11.01.10.132 Настойки крепостью менее 30% 1,00
20.14.75.000 Спирт этиловый и прочие денатурированные спирты любой концентрации (крепости) 1,00
11.01.10.110 Водка и питьевой спирт 1,00
11.06.10 Солод 1,00
11.06.10.110 Солод ячменный пивоваренный 1,00
11.06.10.120 Солод ржаной 1,00
11.06.10.140 Солод кукурузный 1,00
11.05.10.110 Пиво 1,00
11.05.10 Пиво, кроме отходов пивоварения 1,00
11.06.10.190 Солод прочий 1,00
10.89.13.113 Дрожжи пивные 1,00
11.05.20.110 Отходы пивоварения 1,00
10.89.15.110 Соки и экстракты растительные 1,00
11.05.10.160 Напитки, изготавливаемые на основе пива (напитки пивные) 1,00
12.00.19.130 Табак гомогенизированный или восстановленный 1,00
12.00.20.110 Отходы переработки табачных листьев 1,00
12.00.11.140 Папиросы из табака или заменителей табака 1,00
12.00.11.130 Сигареты 1,00
12.00.11.110 Сигары, сигары с обрезанными концами (черуты) 1,00
12.00.19.110 Табак 1,00
12.00.19.150 Махорка 1,00
12.00.1 Изделия табачные (кроме отходов) 1,00
32.12.1 Изделия ювелирные и подобные 1,00
32.12.13 Изделия ювелирные и их части; ювелирные изделия из золота или ювелирные изделия из серебра и их части 1,00
32.12.13.110 Изделия ювелирные из золота и их части 1,00
32.12.13.120 Изделия ювелирные из серебра и их части 1,00
32.12.14.190 Изделия из драгоценных металлов прочие 1,00
32.12.14.130 Изделия из драгоценных или полудрагоценных камней 1,00
32.13.10.110 Бижутерия 1,00
32.12.14.120 Изделия из природного или культивированного жемчуга 1,00
23.13.13.140 Украшения для интерьера и аналогичные изделия из стекла 1,00
32.13.10.190 Изделия подобные бижутерии прочие 1,00
25.99.29.190 Изделия прочие из недрагоценных металлов, не включенные в другие группировки 1,00
16.29.13.120 Футляры для ювелирных или ножевых изделий и аналогичные изделия из дерева 1,00
Прочие 0,84
20.30.23.110 Краски для художников, учащихся или оформителей вывесок 0,42
20.30.23.120 Красители оттеночные 0,42
20.30.23.130 Краски любительские и аналогичные продукты 0,42
20.30.22.210 Пасты 0,42
20.30.22.220 Растворители и разбавители органические сложные; составы готовые для удаления красок и лаков (смывки) 0,42
27.90.11.000 Машины электрические и аппаратура специализированные 0,42
27.33.12.000 Патроны для ламп на напряжение не более 1 кВ 0,42
27.33.13.110 Разъемы и розетки штепсельные 0,42
27.33.13.190 Устройства коммутационные и/или предохранительные для электрических цепей прочие, не включенные в другие группировки 0,42
27.40.14.000 Лампы накаливания прочие, не включенные в другие группировки 0,42
27.40.13.000 Лампы накаливания мощностью 100 - 200 Вт, не включенные в другие группировки 0,42
27.40.15.130 Лампы инфракрасные 0,42
27.40.15.110 Лампы газоразрядные 0,42
27.40.15.114 Лампы люминесцентные 0,42
27.40.15.111 Лампы ртутные высокого давления 0,42
27.40.15.120 Лампы ультрафиолетовые 0,42
27.40.15.113 Лампы натриевые низкого давления 0,42
27.40.15.112 Лампы натриевые высокого давления 0,42
27.40.15.119 Лампы газоразрядные прочие 0,42
27.51.28 Печи прочие; варочные котлы, кухонные плиты, варочные панели; грили, жаровни 0,42
27.51.28.110 Печи бытовые электрические 0,42
27.51.28.130 Плиты кухонные электрические 0,42
27.51.24.130 Электрофритюрницы 0,42
27.51.28.140 Жаровни электрические 0,42
27.51.24.170 Электросковороды 0,42
27.51.27.000 Печи микроволновые 0,42
27.51.24 Приборы электронагревательные прочие 0,42
27.51.24.140 Электрокастрюли-скороварки 0,42
27.51.24.150 Электрокастрюли-пароварки 0,42
27.51.25.110 Водонагреватели проточные и накопительные электрические 0,42
27.51.24.160 Электросамовары 0,42
27.51.25.120 Кипятильники погружные электрические 0,42
27.51.26.110 Приборы отопительные электрические 0,42
27.51.14.000 Одеяла электрические 0,42
27.51.24.190 Приборы электронагревательные бытовые прочие, не включенные в другие группировки 0,42
27.90.31.110 Машины и оборудование электрические для пайки мягким и твердым припоем и сварки 0,42
32.99.41.110 Зажигалки сигаретные и прочие 0,42
27.51.23.110 Приборы нагревательные для укладки и завивки волос 0,42
27.11.2004 Трансформаторы электрические 0,42
Официальный источник электронного документа содержит неточность: вид продукции "Трансформаторы электрические" имеет код 27.11.4.
27.51.21.119 Приборы электромеханические бытовые хозяйственные со встроенным электродвигателем прочие, не включенные в другие группировки 0,42
27.51.24.180 Электросоковыжималки 0,42
27.40.21.120 Фонари электрические переносные, работающие от батарей сухих элементов, аккумуляторов, магнето 0,42
27.40.41 Части ламп накаливания или газоразрядных ламп 0,42
27.40.42.000 Части светильников и осветительных устройств 0,42
27.51.30.000 Части бытовых электрических приборов 0,42
32.99.13.120 Авторучки 0,42
32.99.13.121 Авторучки перьевые 0,42
32.99.13.122 Авторучки шариковые 0,42
32.99.13.110 Ручки чертежные для туши 0,42
32.99.13.123 Фломастеры 0,42
32.99.13.130 Стилографы и прочие ручки 0,42
32.99.12.130 Карандаши механические 0,42
32.99.14.110 Наборы пишущих принадлежностей 0,42
32.99.14.130 Детали пишущих принадлежностей 0,42
26.51.32.190 Инструменты для черчения, разметки или математических расчетов прочие 0,42
17.23.13.194 Тетради школьные ученические 0,42
17.23.13.196 Тетради различного назначения 0,42
17.23.13.191 Блокноты, записные книжки и книги для записей 0,42
17.23.13.192 Альбомы и папки с бумагой (включая блоки) 0,42
17.23.14 Бумага и картон прочие, используемые для письма или печати или прочих графических целей, тисненые, гофрированные или перфорированные 0,42
13.96.14.192 Калька чертежная, полученная обработкой смолами хлопчатобумажных или льняных тканей 0,42
17.23.11.110 Бумага копировальная 0,42
17.23.13.199 Принадлежности канцелярские прочие из бумаги или картона, не включенные в другие группировки 0,42
17.23.14.120 Картон прочий, используемый для письма или печати или прочих графических целей, тисненый, гофрированный или перфорированный 0,42
17.23.14.110 Бумага прочая, используемая для письма или печати или прочих графических целей, тисненая, гофрированная или перфорированная 0,42
17.29.19.130 Бумага и картон фильтровальные 0,42
17.23.12.110 Конверты, письма-секретки 0,42
17.23.13.193 Папки и обложки из бумаги или картона 0,42
13.10.62.000 Нитки швейные хлопчатобумажные 0,42
13.10.1971 Пряжа льняная 0,42
Официальный источник электронного документа содержит неточность: вид продукции "Пряжа льняная" имеет код 13.10.71.
13.10.71.110 Пряжа льняная 0,42
13.10.71.111 Пряжа льняная однониточная мокрого прядения 0,42
13.10.71.112 Пряжа льняная однониточная сухого прядения 0,42
13.10.71.113 Пряжа льняная крученая мокрого прядения 0,42
13.10.71.114 Пряжа льняная крученая сухого прядения 0,42
13.10.71.121 Пряжа оческовая однониточная мокрого прядения 0,42
13.10.71.190 Пряжа льняная прочая 0,42
13.10.71.123 Пряжа оческовая крученая мокрого прядения 0,42
13.10.72.111 Пряжа из джута 0,42
13.10.50.110 Пряжа шерстяная гребенного прядения, расфасованная для розничной продажи 0,42
13.10.40.120 Нитки шелковые 0,42
32.50.50.000 Изделия медицинские, в том числе хирургические, прочие 0,42
13.96.17.133 Материалы ленточные отделочные без вышивки, кроме трикотажных 0,42
13.96.16.190 Материалы и изделия технического назначения прочие, не включенные в другие группировки 0,42
13.94.12.130 Изделия из пряжи и лент, не включенные в другие группировки 0,42
13.96.16.110 Фитили текстильные 0,42
13.96.17.120 Ярлыки, этикетки, эмблемы и аналогичные изделия из текстильных материалов 0,42
13.96.17.131 Тесьма плетеная и шнуры 0,42
13.96.17.132 Шнуры оплетенные отделочные 0,42
13.96.17.190 Материалы отделочные и аналогичные изделия прочие, не включенные в другие группировки 0,42
13.99.11 Полотно тюлевое и прочие сетчатые полотна (кроме тканых, трикотажных или вязаных полотен); кружева в кусках, в лентах или в виде отдельных орнаментов 0,42
13.99.11.110 Полотно тюлевое 0,42
13.99.19.190 Изделия текстильные прочие, не включенные в другие группировки 0,42
13.99.11.130 Кружева в кусках в виде полос или отдельных аппликаций 0,42
14.14.25.130 Подтяжки, помочи, подвязки, аналогичные изделия и их части из любого текстильного материала (включая трикотажные или вязаные) 0,42
21.20.24.133 Бинты эластичные медицинские 0,42
14.19.23.120 Шали, шарфы, вуали, кроме трикотажных или вязаных 0,42
14.19.23.110 Платки носовые из текстильных материалов, кроме трикотажных или вязаных 0,42
14.19.23 Платки носовые, шали, шарфы, платки, вуали, галстуки, шейные платки, перчатки и прочие готовые аксессуары к одежде, детали одежды или аксессуаров к одежде из текстильных материалов, кроме трикотажных или вязаных, не включенные в другие группировки 0,42
14.19.23.210 Детали одежды или аксессуаров одежды из текстильных материалов, кроме трикотажных или вязаных, не включенные в другие группировки 0,42
13.92.29.190 Изделия текстильные готовые прочие, не включенные в другие группировки 0,42
13.92.13.111 Скатерти из хлопчатобумажных тканей 0,42
13.92.15.120 Шторы для интерьеров 0,42
13.92.13.112 Салфетки столовые из хлопчатобумажных тканей 0,42
13.92.12.113 Наволочки из хлопчатобумажных тканей 0,42
14.19.23.130 Галстуки, платки шейные, кроме трикотажных или вязаных 0,42
32.99.21.110 Зонты от дождя и солнца 0,42
13.94.12.110 Сети (кроме рыболовных) и сетки плетеные из бечевок, каната или веревок 0,42
32.99.55.000 Цветы искусственные, листья и фрукты и их части 0,42
14.19.42.170 Сетки для волос 0,42
21.20.24 Материалы клейкие перевязочные, кетгут и аналогичные материалы, аптечки и сумки санитарные 0,42
13.20.44.120 Марля медицинская 0,42
21.20.24.120 Кетгут и аналогичные материалы 0,42
21.20.24.130 Бинты медицинские 0,42
21.20.24.150 Изделия медицинские ватно-марлевые 0,42
21.20.24.160 Материалы перевязочные и аналогичные изделия, пропитанные или покрытые лекарственными средствами 0,42
10.81 Сахар 0,42
10.81.11 Сахар-сырец свекловичный или тростниковый в твердом состоянии 0,42
10.81.11.110 Сахар-сырец свекловичный в твердом состоянии 0,42
10.81.11.120 Сахар-сырец тростниковый в твердом состоянии 0,42
10.81.12 Сахар белый свекловичный или тростниковый и химически чистая сахароза в твердом состоянии без вкусоароматических или красящих добавок 0,42
10.81.12.110 Сахар белый свекловичный в твердом состоянии без вкусоароматических или красящих добавок 0,42
10.81.12.120 Сахар белый тростниковый в твердом состоянии без вкусоароматических или красящих добавок 0,42
10.81.13.110 Сахар белый свекловичный в твердом состоянии со вкусоароматическими или красящими добавками 0,42
10.81.12.130 Сахароза химически чистая, в твердом состоянии без вкусоароматических или красящих добавок 0,42
10.81.14 Меласса 0,42
10.81.14.110 Меласса свекловичная 0,42
10.81.14.120 Меласса из тростникового сахара-сырца 0,42
10.81.14.190 Меласса прочая 0,42
10.81.20.110 Жом свекловичный 0,42
10.81.20.190 Продукты сахарного производства побочные прочие 0,42
10.71.11 Изделия хлебобулочные недлительного хранения 0,42
10.71.11.110 Хлеб и хлебобулочные изделия недлительного хранения 0,42
10.86.10.590 Продукция диетическая прочая 0,42
10.72.19.130 Изделия хлебобулочные бараночные 0,42
10.72.19.190 Изделия хлебобулочные сухие или хлебобулочные изделия длительного хранения прочие, не включенные в другие группировки 0,42
10.72.11 Хлебцы хрустящие, сухари, гренки и аналогичные обжаренные продукты 0,42
10.72.11.000 Хлебцы хрустящие, сухари, гренки и аналогичные обжаренные продукты 0,42
10.73 Изделия макаронные, кускус и аналогичные мучные изделия 0,42
10.73.11.110 Макароны 0,42
10.73.11.120 Вермишель 0,42
10.73.11.130 Лапша 0,42
10.73.11.140 Изделия макаронные фигурные 0,42
10.73.11.150 Рожки 0,42
10.73.11.190 Изделия макаронные прочие 0,42
10.73.11.160 Перья 0,42
10.83.13 Чай зеленый (неферментированный), чай черный (ферментированный) и чай частично ферментированный, в упаковках массой не более 3 кг 0,42
10.83.13.120 Чай черный (ферментированный) в упаковках массой не более 3 кг 0,42
10.83.13.110 Чай зеленый (неферментированный) в упаковках массой не более 3 кг 0,42
10.83.13.130 Чай частично ферментированный в упаковках массой не более 3 кг 0,42
10.89.19.290 Продукты пищевые прочие, не включенные в другие группировки 0,42
10.83.14 Экстракты, эссенции, концентраты и готовые продукты на основе чая или мате 0,42
10.39.30.000 Сырье растительное, отходы и остатки растительные, продукты побочные 0,42
10.83.14.130 Концентраты на основе чая или мате 0,42
10.83.14.140 Продукты готовые на основе чая или мате 0,42
08.93.10.111 Соль глыбовая 0,42
08.93.10.112 Соль дробленка 0,42
10.84.30.120 Соль пищевая выварочная 0,42
10.84.30.140 Соль пищевая молотая 0,42
08.93.10.115 Соль денатурированная, соль для промышленных целей 0,42
08.93.10.130 Хлорид натрия чистый 0,42
10.51 Молоко и молочная продукция 0,42
10.51.30.110 Масло сливочное 0,42
10.51.30.111 Масло сладко-сливочное 0,42
10.51.30.112 Масло кисло-сливочное 0,42
10.51.30.113 Масло сливочное подсырное 0,42
10.51.30.300 Масло топленое 0,42
10.51.30.210 Пасты масляные 0,42
10.51.30.211 Паста масляная сладко-сливочная 0,42
10.51.30.212 Паста масляная кисло-сливочная 0,42
10.51.30.213 Паста масляная подсырная 0,42
10.51.30.130 Масло сливочное сухое 0,42
10.51.30.400 Жир молочный 0,42
10.51.11 Молоко, кроме сырого 0,42
10.51.11.140 Молоко питьевое стерилизованное 0,42
10.51.11.190 Молоко питьевое прочее, не включенное в другие группировки 0,42
10.86.10.100 Продукты молочные для детского питания 0,42
10.51.11.120 Молоко питьевое ультрапастеризованное (ультравысокотемпературно-обработанное) 0,42
10.51.11.130 Молоко питьевое топленое 0,42
10.86.10.110 Молоко питьевое для детского питания пастеризованное, стерилизованное и ультрапастеризованное (ультравысокотемпературно-обработанное) 0,42
10.86.10.130 Молоко сухое и смеси сухие молочные для детей раннего возраста 0,42
10.86.10.133 Смеси молочные адаптированные (заменители женского молока) в порошкообразной форме для детей раннего возраста 0,42
10.86.10.134 Смеси молочные последующие сухие для детей раннего возраста 0,42
10.86.10.136 Каши молочные сухие (восстанавливаемые до готовности в домашних условиях путем разведения питьевой водой) для детей раннего возраста 0,42
10.86.10.137 Напитки молочные сухие для детей раннего возраста 0,42
10.86.10.125 Продукты кисломолочные для детей раннего возраста 0,42
10.86.10.126 Творог и творожные продукты для детей раннего возраста 0,42
10.86.10.129 Продукты в жидкой форме прочие для детей раннего возраста 0,42
10.51.52 Продукты кисломолочные (кроме творога и продуктов из творога) 0,42
10.51.52.112 Ацидофилин 0,42
10.51.52.111 Йогурт 0,42
10.51.52.113 Ряженка и варенец 0,42
10.51.52.114 Кефир 0,42
10.51.52.115 Простокваша, в том числе мечниковская 0,42
10.51.52.116 Кумыс, кумысный продукт 0,42
10.51.52.117 Айран 0,42
10.51.12.120 Сливки питьевые 0,42
10.51.12.110 Сливки сырые 0,42
10.86.10.196 Сливки питьевые для детей дошкольного возраста и детей школьного возраста 0,42
10.51.12.130 Сливки взбитые 0,42
10.51.56.141 Напитки, коктейли, кисели сливочные 0,42
10.51.56.142 Желе, соусы, кремы, пудинги, муссы, пасты, суфле сливочные 0,42
10.51.56.143 Продукты сливочные, подвергнутые термической обработке после сквашивания 0,42
10.51.52.120 Сметана 0,42
10.51.52.121 Сметана от 9,0% до 14,0% жирности 0,42
10.51.52.122 Сметана от 15,0% до 19,0% жирности 0,42
10.51.52.123 Сметана от 20,0% до 24,0% жирности 0,42
10.51.52.124 Сметана от 25,0% до 29,0% жирности 0,42
10.51.52.125 Сметана от 30,0% до 34,0% жирности 0,42
10.51.52.126 Сметана от 35,0% до 48,0% жирности 0,42
10.51.52.127 Сметана от 50,0% до 58,0% жирности 0,42
10.51.56.154 Желе, соусы, кремы, пудинги, муссы, пасты, суфле творожные 0,42
10.51.56.152 Сырки творожные 0,42
10.51.56.151 Масса творожная 0,42
10.51.56.159 Продукты на основе творога прочие, не включенные в другие группировки 0,42
10.51.56.120 Напитки молочные 0,42
10.51.56.320 Желе, соусы, кремы, пудинги, муссы, пасты, суфле молокосодержащие 0,42
10.51.40.300 Творог 0,42
10.51.40.360 Творог зерненый 0,42
10.51.22 Молоко и сливки сухие, сублимированные, в том числе цельные 0,42
10.51.22.111 Молоко сухое от 2,0% до 12,0% жирности 0,42
10.51.22.112 Молоко сухое от 14,0% до 18,0% жирности 0,42
10.51.22.113 Молоко сухое цельное от 20,0% до 35,0% жирности 0,42
10.51.22.121 Молоко сублимированное от 14,0% до 18,0% жирности 0,42
10.51.22.122 Молоко сублимированное от 20,0% до 30,0% жирности 0,42
10.51.22.131 Сливки сухие от 42,0% до 60,0% жирности 0,42
10.51.22.132 Сливки сухие от 65,0% до 80,0% жирности 0,42
10.51.22.130 Сливки сухие 0,42
10.51.22.141 Сливки сублимированные от 35,0% до 49,0% жирности 0,42
10.51.22.142 Сливки сублимированные от 50,0% до 65,0% жирности 0,42
10.51.22.143 Сливки сублимированные от 67,0% до 72,0% жирности 0,42
10.51.56.211 Смеси сухие для сливочного мороженого и мороженого пломбир 0,42
10.51.56.212 Смеси сухие для молочного мороженого 0,42
10.51.56.220 Продукты сухие молочные 0,42
10.51.56.230 Продукты сухие сливочные 0,42
10.86.10.131 Молоко сухое моментального приготовления для детей раннего возраста 0,42
10.86.10.132 Молоко сухое, требующее термической обработки, для детей раннего возраста 0,42
10.86.10.135 Смеси кисломолочные сухие для детей раннего возраста 0,42
10.86.10.139 Смеси молочные сухие прочие для детей раннего возраста 0,42
10.51.56.240 Продукты кисломолочные сухие, сублимированные 0,42
10.51.56.241 Продукты кисломолочные сухие 0,42
10.51.56.242 Продукты кисломолочные сублимированные, кроме творожных и сметанных продуктов 0,42
10.51.56.243 Продукты сублимированные творожные 0,42
10.51.56.244 Продукты сублимированные сметанные 0,42
10.51.21.110 Молоко сухое не более 1,5% жирности 0,42
10.51.22.110 Молоко сухое 0,42
10.51.56.250 Пахта сухая и продукты сухие из пахты 0,42
10.51.56.251 Пахта сухая распылительной сушки 0,42
10.51.56.252 Пахта сухая сублимационной сушки 0,42
10.51.56.253 Продукты сухие из пахты 0,42
10.51.56.260 Заменитель цельного молока сухой для телят 0,42
10.51.56.270 Сыворотка сухая и продукты сухие из сыворотки 0,42
10.51.56.271 Сыворотка сухая распылительной сушки 0,42
10.51.56.272 Сыворотка сухая сублимационной сушки 0,42
10.51.56.273 Продукты сухие из сыворотки 0,42
10.51.40.100 Сыры 0,42
10.51.40.111 Сыры мягкие 0,42
10.51.40.112 Сыры полутвердые 0,42
10.51.40.113 Сыры твердые 0,42
10.51.40.114 Сыры сверхтвердые 0,42
10.51.40.141 Сыры плавленые ломтевые 0,42
10.51.40.142 Сыры плавленые пастообразные 0,42
10.51.40.130 Сыры рассольные 0,42
10.51.40.131 Сыры рассольные из коровьего молока 0,42
10.51.40.132 Сыры рассольные из овечьего молока 0,42
10.51.40.133 Сыры рассольные из молока других сельскохозяйственных животных или их смеси 0,42
10.51.40.115 Сыры сухие 0,42
10.51.40.150 Сыры сывороточно-альбуминные 0,42
10.51.40.220 Продукты сыроделия прочие, не включенные в другие группировки 0,42
10.51.40.221 Пасты сырные 0,42
10.51.40.222 Соусы сырные 0,42
10.51.56.300 Продукты и консервы молокосодержащие 0,42
10.51.56.310 Напитки, коктейли, кисели молокосодержащие 0,42
10.51.56.150 Продукты на основе творога 0,42
10.52.10.140 Мороженое с растительным жиром (заменителем молочного жира) 0,42
10.51.51.130 Консервы молокосодержащие сгущенные 0,42
10.51.51.131 Консервы молокосодержащие сгущенные с сахаром 0,42
10.51.51.133 Консервы молокосодержащие сгущенные с сахаром с вкусовыми компонентами 0,42
10.51.56.330 Консервы молокосодержащие. Продукты сухие сублимационной сушки 0,42
10.51.56.331 Продукты сухие молокосодержащие 0,42
10.51.56.332 Консервы сухие молокосодержащие 0,42
10.51.56.333 Продукты сублимационной сушки молокосодержащие 0,42
10.51.56.334 Консервы сублимационной сушки молокосодержащие 0,42
10.51.56.335 Продукты сквашенные сублимационной сушки молокосодержащие 0,42
10.51.56.336 Консервы и продукты сухие сублимационной сушки молокосодержащие прочие 0,42
10.51.40.210 Продукты сырные 0,42
10.51.40.211 Продукты сырные мягкие 0,42
10.51.40.212 Продукты сырные полутвердые 0,42
10.51.40.213 Продукты сырные твердые 0,42
10.51.40.214 Продукты сырные сверхтвердые 0,42
10.51.40.219 Продукты сырные прочие 0,42
10.51.40.216 Продукты сырные рассольные 0,42
10.51.51.110 Консервы молочные сгущенные 0,42
10.51.51.113 Молоко сгущенное цельное с сахаром 0,42
10.51.51.122 Молоко сгущенное с сахаром и какао 0,42
10.51.51.121 Молоко сгущенное с сахаром и кофе 0,42
10.51.51.111 Молоко сгущенное стерилизованное 0,42
10.51.51.114 Молоко сгущенное обезжиренное с сахаром 0,42
10.51.51.112 Молоко цельное концентрированное стерилизованное 0,42
10.51.51.116 Сливки сгущенные с сахаром 0,42
10.51.51.125 Сливки сгущенные с сахаром и какао 0,42
10.51.51.124 Сливки сгущенные с сахаром и кофе 0,42
10.51.51.115 Сливки сгущенные стерилизованные 0,42
10.51.51 Молоко и сливки сгущенные или с добавками сахара или других подслащивающих веществ не сухие 0,42
10.52.10 Мороженое 0,42
10.52.10.110 Мороженое сливочное 0,42
10.52.10.111 Мороженое сливочное без наполнителей и добавок 0,42
10.52.10.112 Мороженое сливочное с наполнителями и добавками 0,42
10.52.10.113 Мороженое сливочное без наполнителей и добавок в глазури 0,42
10.52.10.114 Мороженое сливочное с наполнителями и добавками в глазури 0,42
10.52.10.120 Мороженое молочное 0,42
10.52.10.121 Мороженое молочное без наполнителей и добавок 0,42
10.52.10.122 Мороженое молочное с наполнителями и добавками 0,42
10.52.10.123 Мороженое молочное без наполнителей и добавок в глазури 0,42
10.52.10.124 Мороженое молочное с наполнителями и добавками в глазури 0,42
10.52.10.130 Мороженое кисломолочное 0,42
10.52.10.180 Торты, кексы, пирожные и десерты из мороженого 0,42
10.52.10.181 Торты из мороженого 0,42
10.52.10.182 Кексы из мороженого 0,42
10.52.10.183 Пирожные из мороженого 0,42
10.52.10.184 Десерты из мороженого 0,42
10.52.10.150 Мороженое пломбир 0,42
10.52.10.151 Мороженое пломбир без наполнителей и добавок 0,42
10.52.10.153 Мороженое пломбир без наполнителей и добавок в глазури 0,42
10.52.10.152 Мороженое пломбир с наполнителями и добавками 0,42
10.52.10.154 Мороженое пломбир с наполнителями и добавками в глазури 0,42
10.52.10.160 Мороженое мягкое 0,42
10.52.10.161 Мороженое мягкое молочное 0,42
10.52.10.162 Мороженое мягкое сливочное 0,42
10.52.10.163 Мороженое мягкое кисломолочное 0,42
10.52.10.164 Мороженое мягкое с растительным жиром (заменителем молочного жира) 0,42
10.52.10.170 Смеси для мягкого мороженого 0,42
10.52.10.171 Смеси для мягкого мороженого сухие 0,42
10.52.10.172 Смеси для мягкого мороженого жидкие 0,42
10.52.10.173 Смеси для мягкого мороженого сгущенные 0,42
10.51.53 Казеин 0,42
10.51.53.120 Казеин технический 0,42
10.51.53.110 Казеин пищевой 0,42
10.51.54.110 Сахар молочный 0,42
10.51.54.113 Сахар молочный пищевой 0,42
10.51.54.111 Сахар молочный фармакопейный (медицинский) 0,42
10.51.54.114 Сахар молочный-сырец 0,42
10.51.54.112 Сахар молочный рафинированный 0,42
10.51.55 Сыворотка молочная 0,42
10.51.55.110 Сыворотка молочная подсырная 0,42
10.51.55.120 Сыворотка молочная творожная 0,42
10.51.55.130 Сыворотка молочная казеиновая 0,42
10.86.10.191 Продукты молочные для детского питания профилактического и лечебного назначения и бакконцентраты 0,42
10.86.10.192 Продукты детского питания на основе полных или частичных гидролизатов белка 0,42
10.86.10.193 Продукты безглютеновые для детского питания 0,42
10.86.10.194 Продукты низколактозные для детского питания 0,42
10.86.10.195 Продукты безлактозные для детского питания 0,42
10.86.10.199 Продукты молочные для детского питания прочие, не включенные в другие группировки 0,42
10.51.30.500 Спреды и смеси топленые сливочно-растительные 0,42
10.51.30.510 Спреды сливочно-растительные 0,42
10.51.30.520 Смеси топленые сливочно-растительные 0,42
10.51.56.360 Белки сывороточные 0,42
10.51.56.361 Альбумин молочный 0,42
10.51.56.362 Концентрат сывороточных белков 0,42
10.51.56.363 Концентрат сывороточных белков сухой 0,42
10.51.56.490 Продукты переработки молока побочные прочие, не включенные в другие группировки 0,42
10.91.10.150 Белок кормовой 0,42
10.91.10.151 Дрожжи кормовые 0,42
10.91.10.152 Кормобактерин 0,42
10.91.10.153 Концентрат белковый метанового брожения 0,42
10.91.10.160 Антибиотики кормовые 0,42
20.20.14.000 Средства дезинфекционные 0,42
21.10.51.129 Витамины, в том числе в комбинации с другими препаратами, прочие 0,42
10.91.10.170 Премиксы 0,42
10.91.10.173 Премиксы для птиц 0,42
10.91.10.172 Премиксы для свиней 0,42
10.91.10.171 Премиксы для крупного рогатого скота 0,42
10.91.10.179 Премиксы прочие 0,42
10.11.60.150 Сырье эндокринно-ферментное непищевое прочее 0,42
20.14.52.110 Соединения гетероциклические, не включенные в другие группировки 0,42
21.10.20.110 Лизин, кислота глутаминовая и их соли 0,42
21.20.23.190 Препараты фармацевтические прочие 0,42
38.12.24.000 Отходы химические опасные 0,42
21.10 Субстанции фармацевтические 0,42
10.61.2 Мука из зерновых культур, овощных и других растительных культур; смеси из них 0,42
10.61.21.000 Мука пшеничная и пшенично-ржаная 0,42
10.61.31.110 Крупа из пшеницы 0,42
10.61.22.110 Мука ржаная 0,42
10.61.22.120 Мука кукурузная 0,42
10.61.22.140 Мука ячменная 0,42
10.61.22.160 Мука овсяная 0,42
10.61.22.190 Мука из прочих зерновых культур, не включенная в другие группировки 0,42
10.61.12.000 Рис полуобрушенный, или полностью обрушенный, или дробленый 0,42
10.61.32.111 Крупа овсяная 0,42
10.61.33.111 Зерна овса плющеные или переработанные в хлопья 0,42
10.61.32.112 Толокно 0,42
10.61.32.119 Крупа из прочих зерновых культур 0,42
10.61.32.114 Пшено 0,42
10.61.32.113 Крупа гречневая 0,42
10.61.32.115 Крупа ячневая 0,42
10.61.32.116 Крупа перловая 0,42
10.61.32.117 Крупа кукурузная 0,42
10.61.4 Отруби, высевки и прочие отходы от обработки зерновых культур 0,42
10.61.40.000 Отруби, высевки и прочие отходы от обработки зерновых культур 0,42
10.91.10.180 Комбикорма 0,42
10.91.10.186 Комбикорма для сельскохозяйственной птицы 0,42
10.91.10.183 Комбикорма для свиней 0,42
10.91.10.181 Комбикорма для крупного рогатого скота 0,42
10.91.10.184 Комбикорма для овец 0,42
10.91.10.182 Комбикорма для лошадей 0,42
10.91.10.185 Комбикорма для пушных зверей, кроликов и нутрий 0,42
10.91.10.188 Комбикорма для рыб 0,42
10.91.10.189 Комбикорма для прочих животных 0,42
10.91.10.210 Концентраты белково-витаминно-минеральные 0,42
10.91.10.220 Концентраты амидо-витаминно-минеральные 0,42
10.91.10.230 Концентраты и смеси кормовые 0,42
22.22.19.000 Изделия упаковочные пластмассовые прочие 0,42
25.92.13.000 Пробки и заглушки, колпачки и крышки корончатые из недрагоценных металлов 0,42
16.29.24.190 Изделия из агломерированной пробки, не включенные в другие группировки 0,42
17.29.19.190 Изделия прочие из бумаги и картона, не включенные в другие группировки 0,42
23.13.11.150 Пробки, крышки и прочие укупорочные средства из стекла 0,42
58.13.10.000 Газеты печатные 0,42
58.14.1 Журналы и периодические издания печатные 0,42
58.14.11.190 Журналы печатные и периодические издания общего интереса прочие 0,42
58.14.12.000 Бизнес-журналы, профессиональные и академические журналы и периодические издания 0,42
58.14.11.110 Журналы печатные для детей 0,42
58.11.1 Книги печатные 0,42
58.11.12.000 Книги печатные профессиональные, технические и научные 0,42
58.11.13.000 Книги печатные для детей 0,42
58.19.19.190 Продукция издательская печатная прочая, не включенная в другие группировки 0,42
58.19.13.120 Календари печатные 0,42
58.19.12.000 Репродукции, чертежи и фотографии печатные 0,42
58.11.19.000 Книги, брошюры, листовки печатные прочие и подобные печатные материалы 0,42
32.40.41.000 Карты игральные 0,42
58.19.11.000 Открытки почтовые печатные, открытки поздравительные и прочая издательская продукция печатная 0,42
58.11.16.000 Карты и гидрографические или аналогичные схемы печатные, не в виде книги 0,42
58.11.15.000 Атласы и прочие книги с картами печатные 0,42
58.11.11.000 Учебники печатные общеобразовательного назначения 0,42
58.11.14.000 Словари и энциклопедии печатные 0,42
32.99.59.000 Изделия различные прочие, не включенные в другие группировки 0,42
59.20.31 Издания нотные печатные 0,42
59.20.31.190 Издания нотные печатные прочие 0,42
59.20.31.111 Издания нотные печатные с записью хоров и ансамблей 0,42
59.20.31.112 Издания нотные печатные с записью школьных и детских песен и хоров 0,42
59.20.31.113 Издания нотные печатные с записью сольного пения с инструментальным сопровождением 0,42
59.20.31.114 Издания нотные печатные с записью вокальных сборников 0,42
59.20.31.120 Издания нотные печатные с записью инструментальной музыки 0,42
59.20.31.121 Издания нотные печатные с записью произведений для оркестра 0,42
59.20.31.122 Издания нотные печатные с записью камерной музыки 0,42
59.20.31.123 Издания нотные печатные с записью произведений для инструментов соло 0,42
59.20.31.130 Издания нотные печатные с записью сценической музыки 0,42
59.20.31.140 Издания нотные печатные учебные 0,42
17.29.11 Ярлыки и этикетки из бумаги или картона 0,42
58.19.13.110 Картинки переводные (декалькомания) 0,42
17.23.13.140 Бланки из бумаги или картона 0,42
17.23.13.141 Бланки личных документов строгого учета 0,42
17.23.13.142 Бланки членских билетов добровольных обществ, союзов, научных и творческих организаций 0,42
17.23.13.143 Бланки форм учетной и отчетной документации 0,42
17.23.13.144 Карточки учетные строгого учета 0,42
17.23.13.145 Билеты на право проезда, входа и прочие 0,42
58.19.14 Марки почтовые негашеные, гербовые и аналогичные марки; бумага гербовая; книжки чековые, банкноты, акции и аналогичные виды ценных бумаг 0,42
58.19.14.130 Книжки чековые, банкноты, акции и аналогичные виды ценных бумаг 0,42
58.19.14.110 Марки почтовые негашеные, гербовые и аналогичные марки 0,42
58.19.14.120 Бумага гербовая 0,42
17.12.14.142 Бумага диаграммная 0,42
58.11.30.190 Книги, брошюры, листовки печатные прочие и подобные материалы в электронной форме 0,42
58.19.19.110 Издания печатные для слепых 0,42
59.20.31.150 Издания нотные для слепых печатные 0,42
32.30.1 Товары спортивные 0,42
32.30.14.111 Инвентарь и оборудование для акробатики 0,42
32.30.14.112 Инвентарь и оборудование для спортивной и художественной гимнастики 0,42
32.30.14.113 Инвентарь и оборудование для легкой атлетики 0,42
32.30.13 Лыжи водные, доски для серфинга, виндсерферы и прочее снаряжение для водного спорта 0,42
32.30.13.110 Лыжи водные 0,42
32.30.13.190 Снаряжение для водного спорта прочее 0,42
32.30.15.180 Инвентарь для оборудования гребных дистанций и бассейнов при спортивном плавании 0,42
32.30.11 Лыжи и прочее лыжное снаряжение, кроме обуви; коньки и роликовые коньки; их части 0,42
32.30.11.122 Палки лыжные 0,42
32.30.11.131 Коньки ледовые, включая коньки с ботинками 0,42
32.30.11.133 Коньки детские 0,42
32.30.11.132 Коньки роликовые, включая коньки с ботинками 0,42
32.30.11.121 Крепления лыжные 0,42
32.30.15.291 Сани спортивные 0,42
32.30.15.117 Инвентарь для игры в хоккей с шайбой и мячом 0,42
32.30.11.110 Лыжи 0,42
32.30.11.111 Лыжи спортивно-беговые 0,42
32.30.11.119 Лыжи прочие 0,42
32.30.11.112 Лыжи туристские 0,42
32.30.11.113 Лыжи лесные 0,42
32.30.11.115 Лыжи детские 0,42
32.30.15.292 Инвентарь, включая тренировочный, для зимних видов спорта прочий 0,42
32.30.15.110 Инвентарь для спортивных игр 0,42
32.30.15.111 Инвентарь для баскетбола 0,42
32.30.15.112 Инвентарь для волейбола 0,42
32.30.15.113 Инвентарь для футбола и ручного мяча 0,42
32.30.15.114 Инвентарь для тенниса и бадминтона 0,42
32.30.15.115 Инвентарь для настольного тенниса 0,42
32.30.15.116 Инвентарь для игры в хоккей на траве 0,42
32.30.15.118 Инвентарь для городошного спорта 0,42
32.40.42.191 Инвентарь для игры в шахматы и шашки 0,42
32.30.15.119 Инвентарь судейский, тренировочный и прочий для спортивных игр; приспособления для подготовки инвентаря для спортивных игр 0,42
32.30.15.210 Изделия и принадлежности для альпинизма 0,42
32.30.14.114 Инвентарь и оборудование для бокса 0,42
32.30.14.116 Инвентарь и оборудование для борьбы 0,42
32.30.15.120 Инвентарь для конного спорта 0,42
32.30.15.130 Инвентарь для стрельбы из лука 0,42
32.30.15.150 Инвентарь для пулевой и стендовой стрельбы, кроме оружия и боеприпасов 0,42
32.30.14.115 Инвентарь и оборудование для тяжелой атлетики 0,42
32.30.15.140 Инвентарь для фехтования 0,42
25.71.15.120 Оружие клинковое холодное спортивное 0,42
25.71.15.150 Части холодного оружия 0,42
32.30.15.299 Изделия спортивные, инвентарь, включая тренировочный, прочие, не включенные в другие группировки 0,42
26.60.12.129 Приборы и аппараты для функциональной диагностики прочие, применяемые в медицинских целях, не включенные в другие группировки 0,42
27.40.24.120 Табло световые и аналогичные устройства 0,42
32.30.14.117 Изделия для общефизической подготовки населения 0,42
32.30.14.120 Оборудование для занятий физкультурой, гимнастикой и атлетикой, занятий в спортзалах, фитнес-центрах 0,42
32.30.14.121 Тренажеры силовые 0,42
32.30.15.220 Изделия и принадлежности для туризма 0,42
32.20 Инструменты музыкальные 0,42
32.20.11 Фортепиано, пианино и прочие струнные клавишные музыкальные инструменты 0,42
32.20.11.130 Рояли 0,42
32.20.11.120 Пианино 0,42
32.20.12.120 Инструменты музыкальные струнные щипковые 0,42
32.20.12.121 Балалайки 0,42
32.20.12.122 Гитары 0,42
32.20.12.123 Мандолины 0,42
32.20.12.124 Домры 0,42
32.20.12.125 Арфы 0,42
32.20.12.126 Инструменты струнные щипковые национальные 0,42
32.20.12.110 Инструменты музыкальные струнные смычковые 0,42
32.20.12.111 Скрипки 0,42
32.20.12.112 Альты 0,42
32.20.12.113 Виолончели 0,42
32.20.12.114 Контрабасы 0,42
32.20.12.115 Инструменты струнные смычковые национальные 0,42
32.20.13.130 Аккордеоны и аналогичные инструменты 0,42
32.20.13.131 Аккордеоны 0,42
32.20.13.132 Баяны 0,42
32.20.13.133 Гармони 0,42
32.20.13.134 Инструменты язычковые национальные с мехом 0,42
32.20.13.140 Гармоники губные 0,42
32.20.13.150 Органолы детские пневматические 0,42
32.20.13.160 Инструменты музыкальные духовые 0,42
32.20.13.162 Корнеты 0,42
32.20.13.161 Трубы 0,42
32.20.13.163 Альты 0,42
32.20.13.164 Теноры 0,42
32.20.13.165 Баритоны 0,42
32.20.13.166 Басы (включая тубы, геликоны, сузофоны) 0,42
32.20.13.167 Валторны 0,42
32.20.13.168 Тромбоны 0,42
32.20.13.172 Фанфары 0,42
32.20.13.179 Инструменты духовые прочие, не включенные в другие группировки 0,42
32.20.13.173 Флейты 0,42
32.20.13.174 Кларнеты 0,42
32.20.13.175 Саксофоны 0,42
32.20.13.176 Гобои 0,42
32.20.13.177 Фаготы 0,42
32.20.13.178 Инструменты национальные духовые 0,42
32.20.15.110 Инструменты музыкальные ударные 0,42
32.20.14 Инструменты музыкальные или клавишные с электрической генерацией или электрическим усилением звука 0,42
32.20.14.120 Инструменты электромузыкальные адаптиризованные струнные щипковые 0,42
32.20.14.130 Инструменты электромузыкальные адаптиризованные струнные смычковые 0,42
32.20.14.140 Инструменты электромузыкальные адаптиризованные язычковые 0,42
32.20.14.150 Инструменты электромузыкальные адаптиризованные духовые 0,42
32.20.14.110 Инструменты электромузыкальные клавишные 0,42
32.20.14.160 Инструменты электронные с мехом 0,42
26.40.43.120 Установки электрических усилителей звука 0,42
26.40.43.110 Усилители электрические звуковых частот 0,42
32.20.20.140 Части и принадлежности электромузыкальных инструментов 0,42
32.20.20.120 Части и принадлежности струнных музыкальных инструментов 0,42
32.20.20.150 Части и принадлежности духовых музыкальных инструментов 0,42
32.20.20.160 Части и принадлежности ударных инструментов 0,42
32.20.16.140 Струны музыкальных инструментов 0,42
15.12.12.193 Футляры для музыкальных инструментов, футляры для очков, биноклей, фотоаппаратов, ружей, кобура и аналогичные чехлы из натуральной кожи, сочетаний кожи, листов пластмассы, текстильных материалов, вулканизированных волокон или картона 0,42
32.20.20.130 Части и принадлежности клавишных духовых органов, фисгармоний и аналогичных инструментов 0,42
32.20.16.120 Камертоны и камертоны-дудки 0,42
32.20.20 Части и принадлежности музыкальных инструментов 0,42
32.20.16.110 Метрономы 0,42
32.91.12.140 Кисти художественные, кисточки для письма 0,42
25.71.13.120 Наборы и инструменты маникюрные 0,42
25.71.13.130 Наборы и инструменты педикюрные 0,42
32.99.52.110 Расчески, гребни для волос и аналогичные изделия 0,42
32.99.52.120 Шпильки для волос 0,42
32.99.52.130 Зажимы для завивки и бигуди 0,42
25.93.18.130 Булавки английские и прочие булавки из черных металлов, не включенные в другие группировки 0,42
15.12.12.210 Наборы дорожные, используемые для личной гигиены, шитья или для чистки одежды или обуви 0,42
30.92.40 Коляски детские и их части 0,42
30.92.40.110 Коляски детские 0,42
30.92.40.120 Комплектующие (запасные части) детских колясок, не имеющие самостоятельных группировок 0,42
23.13.13.142 Украшения для интерьера и аналогичные изделия из прочего стекла 0,42
10.92.10.190 Корм готовый для прочих домашних животных 0,42
25.93.14.130 Кнопки чертежные 0,42
25.99.23.000 Детали для скоросшивателей или папок, канцелярские зажимы и аналогичные канцелярские изделия и скобы в виде полос из недрагоценных металлов 0,42
32.99.15.110 Карандаши простые и цветные с грифелями в твердой оболочке 0,42
23.13.13.132 Принадлежности канцелярские из прочего стекла 0,42
25.99.22 Лотки для бумаг, подставки для бумаг, лотки для ручек, подставки для печатей и аналогичное офисное или канцелярское оборудование из недрагоценных металлов, кроме офисной мебели 0,42
16.29.14.199 Изделия из дерева прочие, не включенные в другие группировки 0,42
32.99.56 Изделия народных художественных промыслов 0,42
32.99.56.110 Изделия художественной обработки дерева 0,42
32.99.56.120 Изделия художественной резьбы по камню, кости, рогу, перламутру и прочим материалам, кроме ювелирных 0,42
32.99.56.121 Изделия художественной резьбы по камню 0,42
32.99.56.122 Изделия художественной резьбы по кости и рогу 0,42
32.99.56.123 Изделия художественной резьбы по перламутру 0,42
32.99.56.129 Изделия художественной резьбы по прочим материалам 0,42
32.99.56.130 Изделия художественной обработки стекла и керамики 0,42
32.99.56.131 Изделия художественной обработки стекла 0,42
32.99.56.132 Изделия художественной обработки фарфора и полуфарфора 0,42
32.99.56.133 Изделия художественной обработки фаянса 0,42
32.99.56.134 Изделия художественной обработки терракоты из тонкокаменной массы 0,42
32.99.56.135 Изделия художественной обработки майолики 0,42
32.99.56.139 Изделия художественной обработки прочей керамики 0,42
32.99.56.140 Изделия с миниатюрной живописью 0,42
32.99.56.150 Изделия художественной обработки металла, кроме ювелирных 0,42
32.99.56.160 Изделия художественного ручного ткачества, вязания, вышивки и прочие 0,42
32.99.56.161 Изделия художественного ручного ткачества 0,42
32.99.56.162 Изделия художественного ручного вязания 0,42
32.99.56.163 Изделия художественного ручного кружевовязания 0,42
32.99.56.164 Изделия художественной ручной вышивки 0,42
32.99.56.165 Изделия художественной ручной росписи тканей 0,42
32.99.56.190 Изделия прочих видов народных художественных промыслов 0,42
13.96.14.193 Холст, загрунтованный для живописи 0,42
20.30.23 Краски для художников, учащихся или оформителей вывесок; красители оттеночные, краски любительские и аналогичные продукты 0,42
23.52.20.140 Гипс формовочный 0,42
16.10.21.110 Пиломатериалы хвойные профилированные 0,42
16.29.14.110 Рамы деревянные для картин, фотографий, зеркал или аналогичных предметов из дерева 0,42
25.73.60.190 Инструмент прочий, не включенный в другие группировки 0,42
01 Продукция и услуги сельского хозяйства и охоты 0,42
01.11 Культуры зерновые (кроме риса), зернобобовые, семена масличных культур 0,42
01.11.11.110 Пшеница озимая твердая 0,42
01.11.11.111 Зерно озимой твердой пшеницы 0,42
01.11.11.112 Семена озимой твердой пшеницы 0,42
01.11.11.130 Зерноотходы твердой пшеницы 0,42
01.11.12.110 Пшеница озимая мягкая 0,42
01.11.12.111 Зерно озимой мягкой пшеницы 0,42
01.11.12.112 Семена озимой мягкой пшеницы 0,42
01.11.32.110 Рожь озимая 0,42
01.11.32.111 Зерно озимой ржи 0,42
01.11.32.112 Семена озимой ржи 0,42
01.11.32.130 Зерноотходы ржи 0,42
01.11.50.000 Солома и мякина зерновых культур 0,42
01.11.31.110 Ячмень озимый 0,42
01.11.31.111 Зерно озимого ячменя 0,42
01.11.31.112 Семена озимого ячменя 0,42
01.11.31.130 Зерноотходы ячменя 0,42
01.11.49.120 Тритикале (пшенично-ржаной гибрид) 0,42
01.11.11.120 Пшеница яровая твердая 0,42
01.11.11.121 Зерно яровой твердой пшеницы 0,42
01.11.11.122 Семена яровой твердой пшеницы 0,42
01.11.12.120 Пшеница яровая мягкая 0,42
01.11.12.121 Зерно яровой мягкой пшеницы 0,42
01.11.12.122 Семена яровой мягкой пшеницы 0,42
01.11.12.130 Зерноотходы мягкой пшеницы 0,42
01.11.2020 Кукуруза 0,42
Официальный источник электронного документа содержит неточность: вид продукции "Кукуруза" имеет код 01.11.20.
01.11.20.110 Кукуруза лопающаяся (рисовая) 0,42
01.11.20.111 Зерно лопающейся (рисовой) кукурузы 0,42
01.11.20.113 Початки лопающейся (рисовой) кукурузы 0,42
01.11.20.112 Семена лопающейся (рисовой) кукурузы 0,42
01.11.20.114 Початки обрушенные лопающейся (рисовой) кукурузы 0,42
01.11.20.150 Зерноотходы кукурузы 0,42
01.13.39.120 Кукуруза сахарная 0,42
01.11.20.120 Кукуруза кремнистая 0,42
01.11.20.121 Зерно кремнистой кукурузы 0,42
01.11.20.123 Початки кремнистой кукурузы 0,42
01.11.20.122 Семена кремнистой кукурузы 0,42
01.11.20.124 Початки обрушенные кремнистой кукурузы 0,42
01.11.20.130 Кукуруза зубовидная и кукуруза прочих сортов, кроме сахарной 0,42
01.11.20.131 Зерно зубовидной кукурузы и кукурузы прочих сортов 0,42
01.11.20.133 Початки зубовидной кукурузы и кукурузы прочих сортов 0,42
01.11.20.132 Семена зубовидной кукурузы и кукурузы прочих сортов 0,42
01.11.20.134 Початки обрушенные зубовидной кукурузы и кукурузы прочих сортов 0,42
01.11.20.140 Кукуруза разнотипная (смесь) 0,42
01.11.20.141 Зерно разнотипной кукурузы 0,42
01.11.20.143 Початки разнотипной кукурузы 0,42
01.11.20.142 Семена разнотипной кукурузы 0,42
01.11.32.120 Рожь яровая 0,42
01.11.32.121 Зерно яровой ржи 0,42
01.11.32.122 Семена яровой ржи 0,42
01.11.31.120 Ячмень яровой 0,42
01.11.31.121 Зерно ярового ячменя 0,42
01.11.31.122 Семена ярового ячменя 0,42
01.11.1933 Овес 0,42
01.11.33.110 Зерно овса 0,42
01.11.33.111 Семена овса 0,42
01.11.33.112 Зерноотходы овса 0,42
01.11.49.190 Культуры зерновые прочие, не включенные в другие группировки 0,42
01.11.49.191 Зерно зерновых культур, не включенных в другие группировки 0,42
01.11.49.192 Семена зерновых культур, не включенных в другие группировки 0,42
01.11.49.193 Зерноотходы зерновых культур, не включенных в другие группировки 0,42
01.11.1942 Просо 0,42
01.11.42.110 Зерно проса 0,42
01.11.42.120 Семена проса 0,42
01.11.42.130 Зерноотходы проса 0,42
01.11.49.110 Гречиха 0,42
01.11.49.111 Зерно гречихи 0,42
01.11.49.112 Семена гречихи 0,42
01.11.49.113 Зерноотходы гречихи 0,42
01.12.2010 Рис нешелушеный 0,42
01.12.10.110 Зерно нешелушеного риса 0,42
01.12.10.120 Семена нешелушеного риса 0,42
01.11.1941 Сорго 0,42
01.11.41.110 Зерно сорго 0,42
01.11.41.120 Семена сорго 0,42
01.11.41.130 Зерноотходы сорго 0,42
01.11.49.130 Чумиза 0,42
01.11.49.131 Зерно чумизы 0,42
01.11.49.132 Семена чумизы 0,42
01.11.49.133 Зерноотходы чумизы 0,42
01.11.1975 Горох сушеный 0,42
01.11.75.110 Зерно гороха 0,42
01.11.75.120 Семена гороха 0,42
01.11.79.199 Зерноотходы прочих зернобобовых культур (овощей бобовых сушеных) 0,42
01.11.1971 Фасоль сушеная 0,42
01.11.71.110 Зерно фасоли 0,42
01.11.71.120 Семена фасоли 0,42
01.11.1972 Бобы кормовые сушеные 0,42
01.11.72.110 Зерно кормовых бобов 0,42
01.11.72.120 Семена кормовых бобов 0,42
01.11.1974 Чечевица сушеная 0,42
01.11.74.110 Зерно чечевицы 0,42
01.11.74.120 Семена чечевицы 0,42
01.11.49.140 Вика и смеси виковые на зерно 0,42
01.11.49.150 Люпин кормовой сладкий на зерно 0,42
01.11.73.110 Зерно нута 0,42
01.11.73.120 Семена нута 0,42
01.11.79.110 Чина сушеная 0,42
01.11.79.111 Зерно чины 0,42
01.11.79.112 Семена чины 0,42
01.11.79.120 Маш сушеный 0,42
01.11.79.121 Зерно маша 0,42
01.11.79.122 Семена маша 0,42
01.11.2001 Пшеница 0,42
Официальный источник электронного документа содержит неточность: вид продукции "Пшеница" имеет код 01.11.1.
01.11.2012 Пшеница, кроме твердой пшеницы 0,42
Официальный источник электронного документа содержит неточность: вид продукции "Пшеница, кроме твердой пшеницы" имеет код 01.11.12.
01.11.2011 Пшеница твердая 0,42
Официальный источник электронного документа содержит неточность: вид продукции "Пшеница твердая" имеет код по 01.11.11.
01.11.1932 Рожь 0,42
Официальный источник электронного документа содержит неточность: вид продукции "Рожь" имеет код 01.11.32.
01.11.1931 Ячмень 0,42
Официальный источник электронного документа содержит неточность: вид продукции "Ячмень" имеет код 01.11.31.
01.11.2007 Овощи бобовые сушеные (культуры зернобобовые) 0,42
Официальный источник электронного документа содержит неточность: вид продукции "Овощи бобовые сушеные (культуры зернобобовые)" имеет код 01.11.7.
01.11.79.191 Зерно прочих зернобобовых культур (овощей бобовых сушеных), не включенных в другие группировки 0,42
01.11.2009 Семена льна, горчицы, рапса, сурепицы, кунжута, подсолнечника и семена прочих масличных культур, не включенных в другие группировки 0,42
Официальный источник электронного документа содержит неточность: вид продукции "Семена льна, горчицы, рапса, сурепицы, кунжута, подсолнечника и семена прочих масличных культур, не включенных в другие группировки" имеет код 01.11.9.
01.11.95.110 Семена подсолнечника для посева 0,42
01.11.1991 Семена льна 0,42
Официальный источник электронного документа содержит неточность: вид продукции "Семена льна" имеет код 01.11.91.
01.11.1992 Семена горчицы 0,42
Официальный источник электронного документа содержит неточность: вид продукции "Семена горчицы" имеет код 01.11.92.
01.11.99.110 Семена клещевины 0,42
01.11.99.190 Семена прочих масличных культур, не включенных в другие группировки 0,42
01.11.82.000 Арахис (орех земляной) нелущеный 0,42
01.11.1994 Семена кунжута 0,42
Официальный источник электронного документа содержит неточность: вид продукции "Семена кунжута" имеет код 01.11.94.
01.11.1993 Семена рапса 0,42
Официальный источник электронного документа содержит неточность: вид продукции "Семена рапса" имеет код 01.11.93.
01.11.93.120 Семена ярового рапса (кользы) 0,42
01.11.99.160 Семена сафлора 0,42
01.11.1999 Семена прочих масличных культур, не включенных в другие группировки 0,42
Официальный источник электронного документа содержит неточность: вид продукции "Семена прочих масличных культур, не включенные в другие группировки" имеет код 01.11.99.
01.16.11 Хлопок-сырец очищенный или не очищенный от семян 0,42
01.16.11.110 Хлопок-сырец тонковолокнистых сортов хлопчатника 0,42
01.16.11.120 Хлопок-сырец средневолокнистых сортов хлопчатника 0,42
01.16.19.111 Волокно льна-долгунца 0,42
01.16.19.112 Соломка льна-долгунца 0,42
01.11.99.140 Семена среднерусской конопли 0,42
01.16.19.122 Соломка среднерусской конопли 0,42
01.16.19.121 Волокно среднерусской конопли 0,42
01.11.99.130 Семена южной конопли 0,42
01.16.19.124 Соломка южной конопли 0,42
01.16.12.120 Волокна кенафа необработанные 0,42
01.16.12.110 Волокна джута необработанные 0,42
01.16.12.130 Волокна канатника необработанные 0,42
01.13.71 Свекла сахарная 0,42
01.13.71.000 Свекла сахарная 0,42
01.13.72.140 Семенники сахарной свеклы 0,42
01.13.72.120 Семена сахарной свеклы дражированные 0,42
01.15.10 Табак необработанный 0,42
01.15.10.110 Табак ферментированный с неотделенной средней жилкой 0,42
01.15.10.130 Табак соусированный и ароматизированный 0,42
01.15.10.140 Махорка-сырье неферментированное 0,42
01.27.19.110 Цикорий 0,42
01.28.30.120 Культуры лекарственные 0,42
01.28.30.110 Культуры эфиромасличные 0,42
01.11.99.150 Семена рыжика 0,42
01.16.19 Лен, конопля обыкновенная и необработанные растительные текстильные волокна, не включенные в другие группировки 0,42
01.19.31.169 Семена прочих многолетних трав 0,42
01.16.19.120 Волокно обыкновенной конопли необработанное 0,42
01.13 Овощи и культуры бахчевые, корнеплоды и клубнеплоды 0,42
01.13.51 Картофель 0,42
01.13.51.110 Картофель столовый ранний 0,42
01.13.52.000 Батат (картофель сладкий) 0,42
01.13.59.000 Корнеплоды столовые и клубнеплоды с высоким содержанием крахмала или инулина прочие 0,42
01.13.12 Капуста 0,42
01.13.13.000 Капуста цветная и брокколи 0,42
01.13.12.120 Капуста белокочанная 0,42
01.13.12.130 Капуста краснокочанная 0,42
01.13.12.110 Капуста брюссельская 0,42
01.13.12.140 Капуста савойская 0,42
01.13.12.160 Кольраби 0,42
01.13.12.150 Капуста пекинская 0,42
01.13.4 Корнеплоды и клубнеплоды овощные, культуры овощные луковичные 0,42
01.13.49.110 Свекла столовая 0,42
01.13.41.110 Морковь столовая 0,42
01.13.49.190 Корнеплоды и клубнеплоды овощные, культуры овощные луковичные (без высокого содержания крахмала или инулина) прочие 0,42
01.13.49.120 Редька 0,42
01.13.49.130 Редис 0,42
01.13.41.120 Репа 0,42
01.13.41.130 Брюква 0,42
01.13.43 Культуры овощные луковичные 0,42
01.13.43.110 Лук репчатый 0,42
01.13.43.120 Лук-шалот 0,42
01.13.44.000 Лук-порей и прочие культуры овощные луковичные 0,42
01.13.42.000 Чеснок 0,42
01.13.60.121 Лук-севок 0,42
01.13.34.000 Томаты (помидоры) 0,42
01.13.39.190 Культуры овощные плодовые прочие, не включенные в другие группировки 0,42
01.13.31.000 Перец стручковый и горошковый черный, не сушеный 0,42
01.13.33.000 Баклажаны 0,42
01.13.32.000 Огурцы 0,42
01.13.39.140 Патиссоны 0,42
01.13.39.110 Кабачки 0,42
01.11.62.000 Горох овощной 0,42
01.11.61.000 Фасоль овощная 0,42
01.11.69.000 Овощи бобовые зеленые прочие 0,42
01.11.1950 Солома и мякина зерновых культур 0,42
Официальный источник электронного документа содержит неточность: вид продукции "Солома и мякина зерновых культур" имеет код 01.11.50.
01.13.14.000 Салат-латук 0,42
01.13.19.000 Овощи листовые или стебельные прочие 0,42
01.13.15.000 Салат цикорный (витлуф) 0,42
01.13.16.000 Шпинат 0,42
01.13.11.000 Спаржа 0,42
01.13.17.000 Артишоки 0,42
01.13.6 Семена овощных культур, кроме семян сахарной свеклы 0,42
01.13.60 Семена овощных культур, кроме семян сахарной свеклы 0,42
01.13.60.130 Семена капусты всех видов 0,42
01.13.60.140 Семена корнеплодных овощных культур 0,42
01.13.60.150 Семена пасленовых овощных культур 0,42
01.13.60.160 Семена тыквенных овощных культур 0,42
01.13.60.170 Семена салатных овощных культур 0,42
01.13.60.180 Семена зеленых овощных культур 0,42
01.13.60.190 Семена бобовых овощных культур 0,42
01.13.60.260 Маточники овощных культур, кроме свеклы 0,42
01.13.60.210 Семена двухлетних овощных культур 0,42
01.13.60.220 Семена многолетних овощных культур 0,42
01.13.2 Культуры бахчевые 0,42
01.13.21.000 Арбузы 0,42
01.13.29.000 Культуры бахчевые прочие 0,42
01.13.39.130 Тыквы 0,42
01.13.60.230 Семена бахчевых культур 0,42
01.13.60.250 Семенники бахчевых культур 0,42
01.13 Овощи и культуры бахчевые, корнеплоды и клубнеплоды 0,42
01.30.10.122 Рассада овощных культур 0,42
01.13.80.000 Грибы и трюфели 0,42
01.30.10.151 Мицелий тепличных шампиньонов 0,42
01.30.10.159 Мицелий прочих грибов 0,42
01.13.43.190 Культуры овощные луковичные прочие 0,42
01.13.60.240 Семенники овощных культур 0,42
01.19.10 Культуры кормовые 0,42
01.19.10.110 Культуры кормовые корнеплодные 0,42
01.19.10.120 Культуры бахчевые кормовые 0,42
01.19.31.140 Маточники кормовых корнеплодов 0,42
01.19.31.120 Семена кормовых корнеплодов, кроме кормовой свеклы 0,42
01.19.31.130 Семенники кормовых корнеплодов 0,42
01.19.10.190 Культуры кормовые, не включенные в другие группировки 0,42
01.19.31.190 Семена прочих кормовых культур 0,42
10.91.10.110 Корма растительные 0,42
01.19.31.150 Семена однолетних трав 0,42
01.19.10.130 Культуры кормовые зернобобовые 0,42
01.19.31 Семена кормовой свеклы (кроме семян сахарной свеклы) и семена кормовых растений 0,42
01.19.31.160 Семена многолетних трав 0,42
01.19.31.164 Семена луговых пастбищных трав 0,42
01.30.10.131 Культуры плодовые семечковые 0,42
01.30.10.132 Культуры плодовые косточковые 0,42
01.30.10.133 Культуры ягодные 0,42
01.30.10.134 Культуры орехоплодные 0,42
01.30.10.135 Культуры цитрусовые 0,42
01.30.10.139 Культуры плодовые и ягодные прочие 0,42
01.30.10.136 Виноград (культура ягодная) 0,42
01.27.1 Культуры для производства напитков 0,42
01.27.12 Листья чая 0,42
02.10.12.119 Семена прочих деревьев и кустарников 0,42
01.28.20.000 Шишки хмеля 0,42
01.28.19.000 Пряности необработанные прочие 0,42
01.19.21.190 Цветы срезанные прочие 0,42
01.30.10.119 Луковицы, клубнелуковицы, корневища прочих цветов 0,42
01.19.21 Цветы срезанные и бутоны цветочные 0,42
01.30.10.121 Рассада цветов 0,42
01.19.22 Семена цветочных культур 0,42
01.19.22.110 Семена однолетних цветочных культур 0,42
01.19.22.120 Семена двухлетних цветочных культур 0,42
01.19.22.130 Семена многолетних цветочных культур 0,42
01.25.20.110 Семена плодовых семечковых культур 0,42
01.25.20.130 Семена ягодных культур 0,42
01.25.20 Семена плодовых культур 0,42
02.30.40 Ресурсы лесные пищевые 0,42
02.30.40.190 Ресурсы лесные пищевые прочие, не включенные в другие группировки 0,42
02.30.40.120 Ягоды дикорастущие 0,42
02.30.40.130 Орехи дикорастущие 0,42
02.30.40.110 Грибы дикорастущие 0,42
01.27.11.000 Зерна кофейные необжаренные 0,42
01.27.14.000 Какао-бобы 0,42
01.22.19.000 Плоды тропических и субтропических культур прочие 0,42
01.22.12.000 Бананы 0,42
01.30.10.130 Культуры плодовые и ягодные, включая черенки и отводки 0,42
01.30.10.140 Культуры декоративные, включая черенки и отводки 0,42
01.24.24.000 Вишня 0,42
01.24.29.110 Черешня 0,42
01.25.19.110 Смородина черная 0,42
01.25.19.120 Смородина красная 0,42
01.25.19.130 Смородина белая 0,42
01.25.35.000 Орехи грецкие 0,42
01.24.29 Плоды семечковых и косточковых культур прочие, не включенные в другие группировки 0,42
01.30.10.149 Культуры декоративные, включая черенки и отводки, прочие 0,42
02.10.2012 Семена деревьев и кустарников 0,42
Официальный источник электронного документа содержит неточность: вид продукции "Семена деревьев и кустарников" имеет код 02.10.12.
02.10.12.111 Семена деревьев хвойных пород 0,42
02.10.12.112 Семена деревьев твердолиственных пород 0,42
02.10.12.113 Семена деревьев мягколиственных пород 0,42
02.10.12.114 Семена деревьев прочих лиственных пород 0,42
02.10.12.115 Семена кустарников 0,42
02.10.12.116 Семена тальников 0,42
02.10.11.100 Сеянцы деревьев и кустарников 0,42
02.10.11.110 Сеянцы деревьев хвойных пород 0,42
02.10.11.120 Сеянцы деревьев твердолиственных пород 0,42
02.10.11.130 Сеянцы деревьев мягколиственных пород 0,42
02.10.11.140 Сеянцы деревьев прочих лиственных пород 0,42
02.10.11.150 Сеянцы кустарников 0,42
02.10.11.160 Сеянцы тальников 0,42
02.10.2011 Сеянцы, саженцы деревьев и кустарников 0,42
Официальный источник электронного документа содержит неточность: вид продукции "Сеянцы, саженцы деревьев и кустарников" имеет код 02.10.11.
02.10.11.210 Саженцы деревьев хвойных пород 0,42
02.10.11.220 Саженцы деревьев твердолиственных пород 0,42
02.10.11.230 Саженцы деревьев мягколиственных пород 0,42
02.10.11.240 Саженцы деревьев прочих лиственных пород 0,42
02.10.11.250 Саженцы кустарников 0,42
02.10.11.260 Саженцы тальников 0,42
02.10.11.290 Саженцы прочих деревьев и кустарников 0,42
01.30.10.141 Рододендроны и азалии 0,42
22.19.71.120 Соски различных типов (в том числе для бутылочек) и аналогичные изделия для детей 0,32
15.20.11.111 Ботики резиновые, резинотекстильные 0,32
15.20.11.130 Обувь водонепроницаемая детская 0,32
15.20.11.112 Галоши резиновые 0,32
15.20.11.114 Сапожки и полусапожки резиновые, резинотекстильные 0,32
15.20.11.135 Сапожки и полусапожки детские цельнорезиновые 0,32
15.20.11.134 Сапожки и полусапожки детские резинотекстильные 0,32
15.20.11.124 Сапожки и полусапожки из полимерных материалов 0,32
15.20.29.190 Обувь спортивная прочая, кроме лыжных ботинок и ботинок с коньками, не включенная в другие группировки 0,32
15.20.2 Обувь спортивная 0,32
15.20.21.120 Обувь для баскетбола 0,32
15.20.21.110 Обувь для тенниса 0,32
15.20.21.150 Обувь спортивная детская 0,32
30.92.10.130 Велосипеды двухколесные для детей 0,32
14.19.11 Одежда и аксессуары одежды для детей младшего возраста трикотажные или вязаные 0,32
14.14.12.110 Кальсоны мужские или для мальчиков трикотажные или вязаные 0,32
14.14.14.120 Трусы и панталоны женские или для девочек трикотажные или вязаные 0,32
14.14.30.110 Футболки трикотажные или вязаные 0,32
14.14.14.130 Рубашки ночные, пижамы женские или для девочек трикотажные или вязаные 0,32
14.14.14.140 Халаты домашние и купальные, пеньюары и аналогичные изделия женские или для девочек трикотажные или вязаные 0,32
14.19.11.121 Ползунки для детей младшего возраста трикотажные или вязаные из хлопчатобумажной пряжи 0,32
14.19.11.141 Костюмы, гарнитуры, комбинезоны для детей младшего возраста трикотажные или вязаные из хлопчатобумажной пряжи 0,32
14.19.11.111 Распашонки, "кимоно", кофточки для детей младшего возраста трикотажные или вязаные из хлопчатобумажной пряжи 0,32
14.14.12.120 Трусы мужские или для мальчиков трикотажные или вязаные 0,32
14.14.30.120 Майки и прочие нижние рубашки трикотажные или вязаные 0,32
14.19.12.130 Костюмы купальные трикотажные или вязаные 0,32
14.19.22.130 Костюмы купальные из текстильных материалов, кроме трикотажных или вязаных 0,32
14.19.12.110 Костюмы спортивные трикотажные или вязаные 0,32
14.14.24.120 Комбинации и юбки нижние женские или для девочек из текстильных материалов, кроме трикотажных или вязаных 0,32
14.19.11.122 Ползунки для детей младшего возраста трикотажные или вязаные из шерсти или тонкого волоса животных 0,32
14.19.11.142 Костюмы, гарнитуры, комбинезоны для детей младшего возраста трикотажные или вязаные из шерсти или тонкого волоса животных 0,32
14.19.11.112 Распашонки, "кимоно", кофточки для детей младшего возраста трикотажные или вязаные из шерсти или тонкого волоса животных 0,32
14.14.11.000 Рубашки мужские или для мальчиков трикотажные или вязаные 0,32
14.14.12.130 Рубашки ночные, пижамы мужские или для мальчиков трикотажные или вязаные 0,32
14.14.14.110 Комбинации и юбки нижние женские или для девочек трикотажные или вязаные 0,32
14.19.11.123 Ползунки для детей младшего возраста трикотажные или вязаные из искусственной пряжи 0,32
14.19.11.143 Костюмы, гарнитуры, комбинезоны для детей младшего возраста трикотажные или вязаные из искусственной пряжи 0,32
14.19.11.113 Распашонки, "кимоно", кофточки для детей младшего возраста трикотажные или вязаные из искусственной пряжи 0,32
14.19.12.190 Одежда прочая трикотажная или вязаная 0,32
14.19.11.129 Ползунки для детей младшего возраста трикотажные или вязаные из прочей пряжи 0,32
14.19.11.149 Костюмы, гарнитуры, комбинезоны для детей младшего возраста трикотажные или вязаные из прочей пряжи 0,32
14.19.11.119 Распашонки, "кимоно", кофточки для детей младшего возраста трикотажные или вязаные из прочей пряжи 0,32
14.14.24.140 Рубашки ночные, пижамы женские или для девочек из текстильных материалов, кроме трикотажных или вязаных 0,32
14.14.24.150 Пеньюары, халаты купальные, халаты домашние и аналогичные изделия женские или для девочек из текстильных материалов, кроме трикотажных или вязаных 0,32
14.14.13.120 Рубашки и батники женские или для девочек трикотажные или вязаные 0,32
14.13.14.130 Жакеты и блейзеры женские или для девочек трикотажные или вязаные 0,32
14.39.10.110 Джемперы трикотажные или вязаные 0,32
14.13.14.110 Костюмы женские или для девочек трикотажные или вязаные 0,32
14.13.14.150 Юбки, юбки-брюки женские или для девочек трикотажные или вязаные 0,32
14.13.14.140 Платья женские или для девочек трикотажные или вязаные 0,32
14.13.14.120 Комплекты женские или для девочек трикотажные или вязаные 0,32
14.13.14.160 Брюки женские или для девочек трикотажные или вязаные 0,32
14.13.11.120 Куртки мужские или для мальчиков трикотажные или вязаные 0,32
14.13.12.140 Брюки мужские или для мальчиков трикотажные или вязаные 0,32
14.13.11.110 Пальто, полупальто мужские или для мальчиков трикотажные или вязаные 0,32
14.13.12.160 Бриджи и шорты мужские или для мальчиков трикотажные или вязаные 0,32
14.39.10.140 Жилеты трикотажные или вязаные 0,32
14.13.12.150 Комбинезоны с нагрудниками и лямками мужские или для мальчиков трикотажные или вязаные 0,32
14.13.13.110 Пальто, полупальто женские или для девочек трикотажные или вязаные 0,32
14.14.13.110 Блузки женские или для девочек трикотажные или вязаные 0,32
14.13.14.180 Бриджи и шорты женские или для девочек трикотажные или вязаные 0,32
14.13.14.170 Комбинезоны с нагрудниками и лямками женские или для девочек трикотажные или вязаные 0,32
14.13.12.110 Костюмы мужские или для мальчиков трикотажные или вязаные 0,32
14.14.2 Белье нательное, кроме трикотажного или вязаного 0,32
14.31.10.130 Изделия чулочно-носочные детские из хлопчатобумажной и смешанной пряжи (смеси хлопковой пряжи с другими волокнами) трикотажные или вязаные 0,32
14.31.10.139 Изделия чулочно-носочные детские из хлопчатобумажной и смешанной пряжи прочие 0,32
14.31.10.132 Чулки детские из хлопчатобумажной пряжи 0,32
14.31.10.134 Носки детские из хлопчатобумажной пряжи 0,32
14.31.10.160 Изделия чулочно-носочные детские из шерстяной и смешанной (полушерстяной) пряжи трикотажные или вязаные 0,32
14.31.10.162 Чулки детские из шерстяной пряжи 0,32
14.31.10.164 Носки детские из шерстяной пряжи 0,32
14.31.10.190 Изделия чулочно-носочные детские из синтетических нитей и синтетических нитей в смеси с другими нитями трикотажные или вязаные 0,32
14.31.10.199 Изделия чулочно-носочные детские из синтетических нитей и синтетических нитей в смеси с другими нитями прочие 0,32
14.31.10.192 Чулки детские из синтетических нитей 0,32
14.31.10.194 Носки детские из синтетических нитей 0,32
14.31.10.169 Изделия чулочно-носочные детские из шерстяной и смешанной (полушерстяной) пряжи прочие 0,32
14.31.10.166 Чулки детские из смешанной (полушерстяной) пряжи 0,32
14.31.10.168 Носки детские из смешанной (полушерстяной) пряжи 0,32
14.31.10.136 Чулки детские из хлопчатобумажной и смешанной пряжи 0,32
14.31.10.196 Чулки детские из синтетических нитей в смеси с другими нитями 0,32
14.31.10.198 Носки детские из синтетических нитей в смеси с другими нитями 0,32
14.19.11.150 Перчатки, варежки и митенки для детей младшего возраста трикотажные или вязаные 0,32
14.19.11.151 Перчатки, варежки и митенки для детей младшего возраста трикотажные или вязаные из хлопчатобумажной пряжи 0,32
14.19.11.154 Перчатки, варежки и митенки для детей младшего возраста трикотажные или вязаные из искусственной пряжи 0,32
14.19.13.000 Перчатки, рукавицы (варежки) и митенки трикотажные или вязаные 0,32
14.19.11.152 Перчатки, варежки и митенки для детей младшего возраста трикотажные или вязаные из шерсти или тонкого волоса животных 0,32
14.19.11.153 Перчатки, варежки и митенки для детей младшего возраста трикотажные или вязаные из синтетической пряжи 0,32
14.19.42.160 Уборы головные трикотажные или вязаные 0,32
14.13.31.110 Пальто, полупальто женские или для девочек из текстильных материалов, кроме трикотажных или вязаных 0,32
14.19.21.110 Одежда для детей младшего возраста и аксессуары одежды из хлопчатобумажных тканей 0,32
14.13.21.110 Пальто и полупальто мужские или для мальчиков из текстильных материалов, кроме трикотажных или вязаных 0,32
14.19.21.190 Одежда для детей младшего возраста и аксессуары одежды из прочих текстильных материалов 0,32
14.19.21.130 Одежда для детей младшего возраста и аксессуары одежды из шерстяных тканей 0,32
14.19.21.140 Одежда для детей младшего возраста и аксессуары одежды из шелковых тканей 0,32
14.13.21.130 Плащи, плащи с капюшонами мужские или для мальчиков из текстильных материалов, кроме трикотажных или вязаных 0,32
14.13.31.130 Плащи, плащи с капюшонами женские или для девочек из текстильных материалов, кроме трикотажных или вязаных 0,32
14.19.21.210 Аксессуары одежды для детей младшего возраста из текстильных материалов, кроме трикотажных или вязаных 0,32
14.13.21.120 Куртки мужские или для мальчиков из текстильных материалов, кроме трикотажных или вязаных 0,32
14.13.31.120 Куртки женские или для девочек из текстильных материалов, кроме трикотажных или вязаных 0,32
14.13.22.110 Костюмы мужские или для мальчиков из текстильных материалов, кроме трикотажных или вязаных 0,32
14.13.32.110 Костюмы женские или для девочек из текстильных материалов, кроме трикотажных или вязаных 0,32
14.13.12.130 Пиджаки и блейзеры мужские или для мальчиков трикотажные или вязаные 0,32
14.13.33.000 Жакеты и блейзеры женские или для девочек из текстильных материалов, кроме трикотажных или вязаных 0,32
14.19.21.120 Одежда для детей младшего возраста и аксессуары одежды из льняных тканей 0,32
14.13.24.110 Брюки мужские или для мальчиков из текстильных материалов, кроме трикотажных или вязаных 0,32
14.13.35.110 Брюки женские или для девочек из текстильных материалов, кроме трикотажных или вязаных 0,32
14.13.34.110 Платья женские или для девочек из текстильных материалов, кроме трикотажных или вязаных 0,32
14.14.22.140 Халаты домашние и купальные мужские или для мальчиков из текстильных материалов, кроме трикотажных или вязаных 0,32
14.13.34.120 Юбки и юбки-брюки женские или для девочек из текстильных материалов, кроме трикотажных или вязаных 0,32
14.14.23.110 Блузки женские или для девочек из текстильных материалов, кроме трикотажных или вязаных 0,32
14.19.22.190 Одежда прочая из текстильных материалов, кроме трикотажных или вязаных 0,32
14.13.12.120 Комплекты мужские или для мальчиков трикотажные или вязаные 0,32
14.14.21.000 Рубашки мужские или для мальчиков из текстильных материалов, кроме трикотажных или вязаных 0,32
13.92.12.110 Белье постельное из хлопчатобумажных тканей 0,32
13.92.12.130 Белье постельное из шерстяных тканей 0,32
13.92.12.140 Белье постельное из шелковых тканей 0,32
13.92.12.160 Белье постельное из нетканых материалов 0,32
14.14.22.130 Рубашки ночные, пижамы мужские или для мальчиков из текстильных материалов, кроме трикотажных или вязаных 0,32
14.14.25 Бюстгальтеры, пояса, корсеты, подтяжки, помочи, подвязки и аналогичные изделия и их части из любого текстильного материала (включая трикотажные или вязаные) 0,32
13.92.24.121 Одеяла стеганые пуховые с верхом из хлопчатобумажных тканей для детей 0,32
13.92.24.124 Одеяла стеганые перьевые с верхом из шелковых тканей для детей 0,32
14.12.30.111 Пальто, полупальто и плащи мужские производственные и профессиональные 0,32
14.12.30.112 Пальто, полупальто и плащи женские производственные и профессиональные 0,32
14.12.30.190 Одежда производственная и профессиональная прочая, не включенная в другие группировки 0,32
14.12.11.120 Костюмы мужские производственные и профессиональные 0,32
14.12.12.110 Брюки мужские производственные и профессиональные 0,32
14.12.11.130 Куртки (пиджаки) и блейзеры мужские производственные и профессиональные 0,32
14.12.30.132 Юбки, халаты, блузки, фартуки, жилеты, платья и сорочки женские производственные и профессиональные 0,32
14.12.30.131 Халаты, фартуки, жилеты и сорочки мужские производственные и профессиональные 0,32
14.19.42.141 Фуражки и кепи швейные мужские или для мальчиков 0,32
14.19.42.142 Шапки швейные мужские или для мальчиков 0,32
14.19.42.152 Шапки швейные женские или для девочек 0,32
14.19.42.153 Шляпы, панамы, береты швейные женские или для девочек 0,32
14.19.42.130 Уборы головные плетеные 0,32
14.19.42.143 Шляпы, панамы, береты швейные мужские или для мальчиков 0,32
14.19.42.149 Уборы головные швейные прочие мужские или для мальчиков 0,32
14.12.30.121 Куртки мужские производственные и профессиональные 0,32
14.12.30.122 Куртки женские производственные и профессиональные 0,32
14.12.22.110 Брюки женские производственные и профессиональные 0,32
14.12.30.141 Комбинезоны мужские производственные и профессиональные 0,32
14.19.31.111 Перчатки, рукавицы, варежки, митенки мужские или для мальчиков из натуральной или композиционной кожи 0,32
14.19.31.130 Пояса, ремни, портупеи и патронташи из натуральной или композиционной кожи 0,32
15.20.13 Обувь с верхом из кожи, кроме спортивной обуви, обуви с защитным металлическим подноском и различной специальной обуви 0,32
15.20.13.130 Обувь летняя с верхом из кожи 0,32
15.20.13.173 Сандалии школьные, детские, малодетские с верхом из кожи (включая сандалии с верхом из ремешков или полосок, шлепанцы) 0,32
15.20.13.110 Обувь повседневная с верхом из кожи 0,32
32.30.12.110 Ботинки лыжные 0,32
15.20.29.110 Ботинки для конькобежных видов спорта 0,32
15.20.29.120 Ботинки для футболистов 0,32
15.20.29.130 Ботинки для туристов и альпинистов 0,32
15.20.13.170 Обувь детская с верхом из кожи 0,32
15.20.13.171 Обувь уличная детская и с верхом из кожи (включая сапожки, ботинки и туфли) 0,32
15.20.13.179 Обувь детская с верхом из кожи прочая, не включенная в другие группировки 0,32
15.20.13.172 Обувь малодетская и гусариковая уличная с верхом из кожи (включая сапожки, ботинки и туфли) 0,32
32.30.12.190 Обувь лыжная прочая 0,32
15.20.29.140 Обувь для боксеров, борцов и тяжелоатлетов 0,32
15.20.13.160 Обувь домашняя с верхом из кожи 0,32
15.20.13.190 Обувь прочая с верхом из кожи, кроме обуви спортивной, обуви с защитным металлическим подноском и различной специальной обуви 0,32
32.50.22.151 Обувь ортопедическая для взрослых 0,32
15.20.21.159 Обувь спортивная детская прочая, не включенная в другие группировки 0,32
15.20.13.174 Туфли комнатные детские, малодетские и прочая обувь домашняя с верхом из кожи (включая туфли для танцев, тапочки комнатные, туфли домашние без задников) 0,32
32.50.22.152 Обувь ортопедическая для детей 0,32
15.20.14.142 Обувь с верхом из текстильных материалов, кроме спортивной обуви 0,32
15.20.14.141 Туфли детские комнатные с верхом из текстильных материалов, войлока или фетра 0,32
15.20.14.140 Обувь детская с верхом из текстильных материалов, кроме спортивной обуви 0,32
15.20.14.110 Обувь с верхом из текстильных материалов 0,32
15.20.32.190 Обувь прочая, не включенная в другие группировки 0,32
15.20.32.139 Обувь детская прочая, не включенная в другие группировки 0,32
14.20.10.113 Пальто детские с верхом из натурального меха 0,32
14.20.10.223 Пальто детские с верхом из хлопчатобумажных тканей, подкладка меховая 0,32
14.20.10.353 Пальто детские нагольные 0,32
14.20.10.453 Пальто детские с верхом из хлопчатобумажных тканей, подкладка из шубной овчины 0,32
14.20.10.533 Пальто детские с верхом из меха, комбинированного с другими материалами 0,32
14.20.10.133 Пиджаки детские с верхом из натурального меха 0,32
14.20.10.243 Пиджаки детские с верхом из хлопчатобумажных тканей, подкладка меховая 0,32
14.20.10.373 Пиджаки детские нагольные 0,32
14.20.10.473 Пиджаки детские с верхом из хлопчатобумажных тканей, подкладка из шубной овчины 0,32
14.20.10.553 Пиджаки детские с верхом из меха, комбинированного с другими материалами 0,32
14.20.10.263 Куртки детские с верхом из хлопчатобумажных тканей, подкладка меховая 0,32
14.20.10.410 Куртки нагольные 0,32
14.20.10.513 Куртки детские с верхом из хлопчатобумажных тканей, подкладка из шубной овчины 0,32
14.20.10.573 Куртки детские с верхом из меха, комбинированного с другими материалами 0,32
14.19.43.130 Уборы головные детские меховые 0,32
14.20.10.613 Воротники детские из натурального меха 0,32
14.19.31.123 Рукавицы детские из натуральной кожи, подкладка меховая 0,32
14.20.10.643 Рукавицы детские из хлопчатобумажных тканей, подкладка меховая 0,32
14.20.10.646 Рукавицы детские из шерстяных тканей, подкладка меховая 0,32
14.20.10.653 Рукавицы детские нагольные 0,32
14.20.10.673 Носки детские из хлопчатобумажных тканей с меховой подкладкой 0,32
14.20.10.676 Носки детские нагольные 0,32
15.20.32.131 Тапочки детские меховые 0,32
15.20.32.132 Тапочки детские шубные 0,32
10.86.10.210 Консервы овощные для детского и диетического питания, кроме томатных 0,32
10.86.10.211 Консервы овощные гомогенизированные для детского и диетического питания 0,32
10.86.10.212 Консервы овощные протертые для детского и диетического питания 0,32
10.86.10.213 Консервы овощные, нарезанные кусочками, для детского и диетического питания 0,32
10.86.10.220 Консервы томатные для детского питания 0,32
10.86.10.240 Консервы для детского и диетического питания (кроме овощных); продукция соковая из фруктов и фруктово-овощная для детского питания 0,32
10.86.10.241 Консервы фруктовые и фруктово-овощные гомогенизированные для детского питания 0,32
10.86.10.242 Консервы фруктовые и фруктово-овощные протертые для детского питания 0,32
10.86.10.243 Соки фруктовые и фруктово-овощные для детского питания 0,32
10.86.10.244 Консервы фруктовые и фруктово-овощные диетические 0,32
10.86.10.245 Напитки сокосодержащие фруктовые и фруктово-овощные для детского питания 0,32
10.86.10.246 Нектары фруктовые и фруктово-овощные для детского питания 0,32
10.86.10.247 Морсы для детского питания 0,32

При торговле смешанным ассортиментом товаров применяется максимальное значение коэффициента Кв из числа значений коэффициентов, установленных по видам товаров, торговля которыми осуществляется на данном объекте торговли. При торговле смешанным ассортиментом товаров в поселках и сельских населенных пунктах, не являющихся муниципальными образованиями, значение коэффициента Кв устанавливается в размере 0,6. Код вида продукции определяется по Общероссийскому классификатору продукции по видам экономической деятельности.

Таблица 4

Корректирующие коэффициенты базовой доходности при оказании услуг общественного питания (К2)

Место расположения объекта Корректирующие коэффициенты базовой доходности при оказании услуг общественного питания (К2)
Рестораны, кафе, бары Столовые, закусочные, другие предприятия общественного питания (кроме ресторанов, кафе, баров) Столовые, расположенные в учреждениях социального обслуживания, здравоохранения и образования, столовые, обслуживающие малоимущих граждан по спискам комитетов (управлений) социальной защиты граждан
реализующие алкогольную продукцию не реализующие алкогольную продукцию
Городской округ, за исключением микрорайона Сокольники, поселков и сельских населенных пунктов, не являющихся муниципальными образованиями 0,84 0,76 0,48 0,38
Микрорайон Сокольники 0,76 0,66 0,38 0,09
Поселки, не являющиеся муниципальными образованиями 0,56 0,28 0,10 0,04
Сельские населенные пункты, не являющиеся муниципальными образованиями 0,38 0,18 0,04 0,02

Таблица 5

N п/п Места дислокации организаций городского округа Категория месторасположения
2 3
В электронном документе нумерация граф соответствует официальному источнику.
1 - улица Московская - от пересечения с северной стороной;
- ул. Шахтеров - до пересечения с южной стороной ул. Куйбышева;
- ул. Комсомольская - от здания железнодорожного вокзала до ул. Свердлова (угла дома N 39/15 по ул. Комсомольская/Свердлова);
- ул. Трудовые Резервы - от южной стороны ул. Комсомольская до южной стороны ул. Куйбышева;
- от северной стороны ул. Донская до ул. Трудовой проезд;
- ул. Березовая - от южной стороны ул. Комсомольская до южной стороны ул. Куйбышева;
- ул. Садовского - от западной стороны ул. Свердлова (не включая дом N 40/38 по ул. Садовского/Свердлова) до восточной стороны ул. Березовая;
- ул. Бережного - от западной стороны ул. Октябрьская до восточной стороны ул. Березовая;
- территория Урванского рынка;
- четная сторона ул. Мира, прилегающая к рынку, от д. N 36 по ул. Мира до южной стороны ул. Есенина;
- ул. Октябрьская - от южной стороны ул. Шахтеров до южной стороны ул. Садовского;
- ул. Мира, д. 3-Д;
- ул. Комсомольская/ул. Калинина, д. 47/22;
- ул. Кукунина, д. 15;
- ул. Мира, д. 11-ж;
- ул. Присягина
1 категория
2 - ул. Садовского - от западной стороны ул. Калинина до восточной стороны ул. Свердлова;
- ул. Бережного - от западной стороны ул. Московская до восточной стороны ул. Октябрьская;
- ул. Октябрьская - от северной стороны ул. Садовского до южной стороны ул. Куйбышева;
- ул. Маяковского - от восточной стороны ул. Московская до д. N 33/1 по ул. Маяковского;
- ул. Генерала Белова (нечетная сторона) - от ул. Рязанское шоссе до южной стороны ул. Проспект Победы;
- ул. Рязанское шоссе - от западной стороны ул. Генерала Белова до восточной стороны ул. Парковая
2 категория
3 Места дислокации объектов, расположенных по адресам, описанным в п. п. 1, 2, но во внутриквартальных территориях с номерами домов, дополненных литерами а, б и т.п. 3 категория
4 Район центральной проходной НАК "Азот" 4 категория
5 Места дислокации (кроме мест, указанных в п. 1, 2), находящиеся внутри района города, ограниченного сторонами:
- ул. Мира - от южной стороны ул. Комсомольская до северной стороны ул. Куйбышева;
- ул. Куйбышева - от ул. Мира до восточной стороны ул. Московская;
- ул. Пашанина - от восточной стороны ул. Московская до начала Рязанского шоссе (пьедестал с танком);
- ул. Парковый проезд от начала Рязанского шоссе (пьедестал с танком) до д. N 4 по ул. Пионерская;
- ул. Пионерская - от д. N 4 до северной стороны ул. Садовского, ул. Садовского до центрального входа в городской парк культуры и отдыха;
- западной границей территории футбольного клуба "Дон" - от центрального входа в ПКиО до границы воинской части;
- западной границей воинской части - от границы ФК "Дон" до окончания границы воинской части, далее на север до пересечения с северной стороной ул. Кукунина;
- северной стороной ул. Кукунина - от д. N 10 до д. N 22/21 включительно;
- от д. N 22/21 по ул. Кукунина до д. N 4 по ул. Профсоюзная;
- ул. Профсоюзная - от д. N 4 до ул. Маяковского;
- ул. Маяковского - от пересечения с ул. Профсоюзная до пересечения с ул. Солнечная;
- ул. Солнечной - от ул. Маяковского до д. N 2 по ул. Чапаева;
- четной стороной ул. Чапаева - от д. N 2 до пересечения с ул. Гвардейская;
- ул. Гвардейская - от д. N 57/17 до пересечения с южной стороной ул. Комсомольская;
- ул. Клинский родник - от пересечения с северной стороной ул. Маяковского до ул. Черняховского;
- ул. Вахрушева - от ул. Космонавтов до ул. Мичурина;
- ул. Школьная - от ул. Вахрушева до ул. Загородная;
- ул. Космонавтов - от ул. Мира до ул. Техническая;
- ул. Парковая - от Рязанского шоссе до ул. Северодонецкая;
- Проспект Победы - от ул. Парковая до ул. Генерала Белова;
- ул. Мира - от северной стороны ул. Куйбышева до южной стороны 1-го Деповского переулка;
- ул. Дружбы - от ул. Мира до ул. Демкина (в районе АТС-4);
- ул. Демкина - от ул. Мира до ул. Дружбы;
- ул. Есенина - от д. N 1/38 до д. N 5 включительно;
- ул. Орджоникидзе (обе стороны) - от ул. Мира до ул. Донской проезд;
- ул. Донской проезд - от ул. Дружбы до ул. Трудовые Резервы;
- ул. Донская (обе стороны) - от ул. Донской проезд до д. N 7/68 по ул. Донская включительно;
- ул. Трудовой проезд - от ул. Трудовые Резервы до Молодежная;
- ул. Трудовые Резервы - от северной стороны ул. Куйбышева до северной стороны ул. Донской проезд
4 категория
6 Места дислокации объектов, расположенных по адресам, описанным в п. 5, но во внутриквартальных территориях с номерами домов, дополненных литерами а, б и т.п. 5 категория
7 - дома NN 9-а, 9-б, 9-в по Рязанскому шоссе;
- ул. Северодонецкая - от д. N 1 до ул. Генерала Белова;
- ул. Генерала Белова - от ул. Северодонецкая до д. 15 включительно;
- ул. Дружбы - от д. N 23 до д. N 31 включительно;
- ул. Молодежная;
- ул. Вокзальная (ст. Новомосковск - II);
- территория бывшего поселка Гипсовый;
- остальные территории городского округа (без микрорайона Сокольники), не вошедшие в п. п. 1, 2, 3, 4, 5, 6, 7, 8, 9, 10 настоящей таблицы
6 категория
8 Территории бывших поселков: Энергетиков, Новозасецкий, 25 лет химкомбината, Северный, Мошок, Аварийный (пос. огнеупорного завода) Химиков, Первомайский, Шпальный, бывших шахт NN 22, 28, пгт Заречье 7 категория
9 - Микрорайон Сокольники:
- улица Шахтерская - от перекрестка с ул. О. Кошевого до перекрестка с ул. Чкалова, район автостанции; 7 категория
- улица Ленина - от ул. Строительная до ул. Октябрьская; 7 категория
- улица Горького - от ул. Ленина до ул. Островского; 7 категория
- остальные территории микрорайона Сокольники 8 категория
10 Поселки и сельские населенные пункты, не являющиеся муниципальными образованиями: -
- пос. Мирный -
- пос. Шахты N 35 -
- пос. Шахты N 38 -
- с. Гремячее -
- с. Беломестное -
- с. Тетяковка -
- дер. Савино -
- дер. Яцкое -
- дер. Березовка -
- дер. Матово -
- дер. Ново-Яковлевка -
- дер. Матов Сад -
- дер. Александровка -
- дер. Пустоши -
- дер. Большие Стрельцы -
- дер. Ерзовка -
- пос. Коммунаров -
- дер. Симаково -
- дер. Подлубное -
- дер. Ясенок-Муравьевка -
- дер. Верхний Ясенок -
- дер. Ясенок-Подлубное -
- пос. Красный Богатырь -
- пос. Садовый -
- дер. Улановка -
- с. Стрельцы -
- дер. Пушкари -
- пос. Первомайский -
- с. Осаново -
- дер. Иваньково -
- дер. Фустово -
- дер. Сергеевка -
- дер. Плоское -
- с. Шишлово -
- дер. Подхожие Выселки -
- дер. Подосинки-Кожино -
- дер. Холтобино -
- дер. Хлопово -
- дер. Малое Колодезное -
- пос. Малиновский -
- пос. Придонье -
- с. Иван-Озеро -
- дер. Хмелевка -
- дер. Большое Колодезное -
- дер. Княгинино -
- дер. Озерки -
- дер. Кукуй -
- дер. Алмазово -
- с. Спасское -
- дер. Макшеево -
- дер. Ольховец -
- дер. Избищи -
- дер. Петровочка -
- дер. Сокольники 1 -
- дер. Сокольники 2 -
- дер. Белоколодезь -
- дер. Юдино -
- с. Юдино -
- пос. Ширинский -
- дер. Чусовка -
- с. Бороздино -
- дер. Шатовка -
- дер. Ширино -
- пос. Знаменский -
- пос. Пригорье -
- дер. Красное Гремячево -
- дер. Кресты -
- дер. Гремячево -
- дер. Ключевка -
- дер. Михайловка -
- дер. Новая Деревня -
- дер. Акульшино -
- дер. Докторово -
- с. Грайворонки -
- дер. Малые Тетерки -
- дер. Пашково -
- дер. Сторожевое -
- дер. Старая Уваровка -
- дер. Прохоровка -
- дер. Знаменка -
- дер. Богдановка -
- дер. Васильевка -
- дер. Прудки -
- дер. Урусово -
- дер. Тихоновка -
- дер. Орловка -
- дер. Грицово -
- ст. Грицово -
- дер. Рига-Васильевка -
- с. Ильинка 1-я -
- дер. Ильинка 2-я -
- дер. Маклец -
- дер. Ясенок-Выселки -
- пос. Правда -
- пос. Верходонье -
- дер. Большие Тетерки -
- дер. Любовка -
- ст. Маклец -

Таблица 6

Вид транспортного средства, оказывающего услуги по перевозке пассажиров (Квт)

Вид автомобильного транспортного средства (место водителя не учитывается) Значение Квт
Пассажирское легковое (до 5 посадочных мест) 1,0
Пассажирское малой вместимости (до 16 посадочных мест) 0,54
Пассажирское малой вместимости (до 30 посадочных мест) 0,43
Пассажирское большой и особо большой вместимости (более 30 посадочных мест) 0,32

ДОНСКОЙ

С отчетности за III квартал (с 01.07.2017)

Утвержден Решением Собрания депутатов муниципального образования г. Донской
от 28.09.2005 N 70-3 (ред. от 23.11.2009)
Решением Собрания депутатов муниципального образования г. Донской
от 30.11.2016 N 32-1 (ред. от 18.05.2017)

Единый налог вводится в отношении следующих видов предпринимательской деятельности:

1) оказания бытовых услуг, за исключением услуг по изготовлению мебели, строительству индивидуальных домов;

2) оказания услуг по ремонту, техническому обслуживанию и мойке автотранспортных средств;

3) розничной торговли, осуществляемой через магазины и павильоны с площадью торгового зала не более 150 квадратных метров по каждому объекту организации торговли;

4) розничной торговли, осуществляемой через объекты стационарной торговой сети, не имеющие торговых залов, а также объекты нестационарной торговой сети;

5) оказания автотранспортных услуг по перевозке пассажиров и грузов, осуществляемых организациями и индивидуальными предпринимателями, имеющими на праве собственности или ином праве (пользования, владения и (или) распоряжения) не более 20 транспортных средств, предназначенных для оказания таких услуг;

6) оказание услуг общественного питания, осуществляемых через объекты организации общественного питания с площадью зала обслуживания посетителей не более 150 квадратных метров по каждому объекту организации общественного питания;

7) оказания ветеринарных услуг;

8) оказание услуг по предоставлению во временное владение (в пользование) мест для стоянки автотранспортных средств, а также по хранению автотранспортных средств на платных стоянках (за исключением штрафных автостоянок);

9) распространение наружной рекламы с использованием рекламных конструкций.

Значения корректирующего коэффициента базовой доходности К2, учитывающего совокупность особенностей ведения предпринимательской деятельности, при исчислении суммы единого налога на вмененный доход для отдельных видов деятельности определяются:

1) при оказании бытовых услуг, их групп, подгрупп, видов и (или) отдельных бытовых услуг, классифицируемых в соответствии с Общероссийским классификатором видов экономической деятельности, - по формуле:

,

где:

Ку - коэффициент бытовых услуг, определяется в соответствии со значениями, приведенными в таблице 1;

Кт - коэффициент микрорайона, определяется в соответствии со значениями, приведенными в таблице 2.

В случае если при определении коэффициента К2 для бытовых услуг значения коэффициента К2 получаются менее 0,005, устанавливается коэффициент К2, равный 0,005;

2) при оказании услуг по ремонту, техническому обслуживанию и мойке автомототранспортных средств - по формуле:

,

где:

Кт - коэффициент микрорайона, определяется в соответствии со значениями, приведенными в таблице 2;

3) при оказании услуг по предоставлению во временное владение (в пользование) мест для стоянки автотранспортных средств, а также по хранению автотранспортных средств на платных стоянках (за исключением штрафных автостоянок) - по формуле:

,

где:

Кт - коэффициент микрорайона, определяется в соответствии со значениями, приведенными в таблице 2;

4) для розничной торговли, осуществляемой через магазины и павильоны с площадью торгового зала не более 150 квадратных метров по каждому объекту организации торговли; для розничной торговли, осуществляемой через объекты стационарной торговой сети, не имеющей торговых залов, а также объекты нестационарной торговой сети, - по формуле:

,

где:

Кт - коэффициент микрорайона, определяется в соответствии со значениями, приведенными в таблице 2;

Км - коэффициент категории места расположения объекта стационарной или нестационарной торговой сети, определяется из числа указанных для категорий микрорайонов величин, приведенных в таблице 2. Отнесение улиц и (или) домов к той или иной категории места расположения объекта стационарной или нестационарной торговой сети определяется в соответствии со значениями, приведенными в таблице 5;

Кв - коэффициент вида товара, определяется в соответствии со значениями, приведенными в таблице 3;

Кн - коэффициент розничной торговли, осуществляемой через объекты нестационарной торговой сети, учитывающий время работы, равный 0,7.

Значения коэффициента К2 уменьшаются в 2 раза:

в случае одновременной реализации налогоплательщиком в течение квартала через магазины и павильоны продукции собственного производства и товаров при условии, что объем реализации за квартал продукции собственного производства составляет не менее 30 процентов от общего объема реализации за тот же квартал;

5) при оказании автотранспортных услуг по перевозке пассажиров и грузов, осуществляемых организациями и индивидуальными предпринимателями, имеющими на праве собственности или ином праве (пользования, владения и (или) распоряжения) не более 20 транспортных средств, предназначенных для оказания таких услуг:

- по перевозке грузов - К2 как величина, равная 1,0;

- по перевозке пассажиров - К2 как величина, равная 1,0;

6) при оказании услуг общественного питания, осуществляемых через объекты организации общественного питания с площадью зала обслуживания посетителей не более 150 квадратных метров по каждому объекту организации общественного питания, - по формуле:

,

где:

Кп - коэффициент общественного питания, определяется в соответствии со значениями, приведенными в таблице 4;

7) при оказании ветеринарных услуг - по формуле:

,

где:

Кт - коэффициент микрорайона, определяется в соответствии со значениями, приведенными в таблице 2;

8) при распространении наружной рекламы с использованием рекламных конструкций - К2, как величина, равная 0,06.

Для налогоплательщиков, предоставляющих услуги по размещению и (или) распространению социальной рекламы, значение коэффициента как величина, равная 0,005.

9) при оказании услуг по временному размещению и проживанию организациями и предпринимателями, использующими в каждом объекте предоставления данных услуг общую площадь помещений для временного размещения и проживания не более 500 квадратных метров, - по формуле:

,

где:

таблице 2приложении 2 к настоящему решению;

Км - коэффициент категории места расположения объекта стационарной или нестационарной торговой сети, определяется из числа указанных для категорий микрорайонов величин, приведенных в таблице 2. Отнесение улиц и (или) домов к той или иной категории места расположения объекта стационарной или нестационарной торговой сети определяется в соответствии со значениями, приведенными в таблице 5;

10) при оказании услуг общественного питания, осуществляемых через объекты организации общественного питания, не имеющие зала обслуживания посетителей, - как величина, равная 0,1;

11) при размещении рекламы на транспортных средствах - как величина, равная 1,0;

12) при оказании услуг по передаче во временное владение и (или) в пользование торговых мест, расположенных в объектах стационарной торговой сети, не имеющих торговых залов, объектов нестационарной торговой сети, а также объектов организации общественного питания, не имеющих зала обслуживания посетителей, - по формуле:

,

где:

Кт - коэффициент микрорайона, определяется в соответствии со значениями, приведенными в таблице 2;

13) при оказании услуг по передаче во временное владение и (или) в пользование земельных участков для размещения объектов стационарной и нестационарной торговой сети, а также объектов организации общественного питания - по формуле:

,

где:

Кт - коэффициент микрорайона, определяется в соответствии со значениями, приведенными в таблице 2;

Км - коэффициент категории места расположения объекта стационарной или нестационарной торговой сети, определяется из числа указанных для категорий микрорайонов величин, приведенных в таблице 2. Отнесение улиц и (или) домов к той или иной категории места расположения объекта стационарной или нестационарной торговой сети определяется в соответствии со значениями, приведенными в таблице 5.

2. Значение коэффициента К2 уменьшается в 2 раза для налогоплательщиков - инвалидов с детства, инвалидов I и II групп, индивидуально осуществляющих виды предпринимательской деятельности, указанные в настоящей статье, без привлечения наемных работников.

Налогоплательщик, имеющий право на уменьшение значения коэффициента К2 одновременно по нескольким основаниям, указанным в настоящей статье, может им воспользоваться только по одному основанию.

Таблица 1

Коэффициенты бытовых услуг (Ку)

Код по Общероссийскому классификатору Наименование услуг Коэффициент бытовых услуг (Ку)
95.23.10 Услуги по ремонту обуви и изделий из кожи 0,15
15.20.99 Услуги по производству обуви 0,30
95.29.11 Услуги по ремонту и подгонке/перешиву одежды и бытовых текстильных изделий 0,15
14.39.99 Услуги по производству прочих трикотажных и вязаных предметов одежды 0,20
95.21.10 Услуги по ремонту приборов бытовой электроники 0,25
95.22.10 Услуги по ремонту бытовых приборов, домашнего и садового инвентаря 0,25
95.29.19 Услуги по ремонту прочих предметов личного потребления и бытовых товаров, не включенных в другие группировки 0,25
31.09.99 Услуги по производству прочей мебели 0,30
95.24.10 Услуги по ремонту мебели и предметов домашнего обихода 0,30
96.01 Услуги по стирке и чистке (в том числе химической) изделий из тканей и меха 0,25
96.01.14 Услуги по крашению и интенсификации цвета 0,25
41.20.30 Работы по возведению жилых зданий 0,60
43.99.90 Работы строительные специализированные прочие, не включенные в другие группировки 0,30
74.20 Услуги в области фотографии 0,30
13.10.93 Услуги по подготовке к прядению натуральных текстильных волокон 0,20
18.14.10 Услуги переплетные и связанные с переплетом и отделкой книг и аналогичных изделий 0,20
47.78.20 Услуги по розничной торговле очками, включая сборку и ремонт очков, в специализированных магазинах 0,20
96.09.11 Услуги по уходу за домашними животными 0,20
96.09.19 Услуги разнообразные прочие, не включенные в другие группировки 0,20
96.04 Услуги в области физкультурно-оздоровительной деятельности 0,15
96.02 Услуги парикмахерских и услуги салонов красоты прочие 0,40
96.03 Услуги по организации похорон и связанные с этим услуги 0,50
32.99.59 Изделия различные прочие, не включенные в другие группировки
Эта группировка также включает:
- гробы для погребения
0,50
14.13.99 Услуги по производству верхней одежды 0,15
25.99.99 Металлоизделия готовые прочие, не включенные в другие группировки 0,15
32.12.99 Услуги по производству ювелирных и соответствующих изделий отдельные 0,15
77.29.19 Услуги по прокату прочих бытовых изделий и предметов личного пользования, не включенных в другие группировки 0,15
74.30 Услуги по письменному и устному переводу 0,15
81.29.13 Услуги санитарно-гигиенические прочие 0,15
81.29.19 Услуги по чистке и уборке прочие, не включенные в другие группировки 0,15
81.30.10 Услуги по планировке ландшафта 0,15
82.19.13 Услуги по подготовке документов и прочие услуги по обеспечению деятельности офиса 0,15
96.01.19 Услуги по чистке текстильных изделий прочие 0,15

При оказании налогоплательщиком одновременно нескольких бытовых услуг, по которым установлены разные значения коэффициента Ку, значение коэффициента Ку определяется по формуле:

,

где:

Чв(1), ..., Чв(i) - численность работников, занятых оказанием услуги, в отношении которой установлено значение коэффициента Ку;

Чоб - количество работников, занятых оказанием бытовых услуг;

Ку(1), ..., Ку(i) - значения коэффициента Ку для отдельных бытовых услуг.

В случае оказания одним работником нескольких бытовых услуг, по которым установлены различные значения коэффициента Ку, учет этого работника производится по той бытовой услуге, по которой установлено максимальное значение коэффициента Ку.

Таблица 2

Коэффициенты микрорайона (Кт) и коэффициенты категории места расположения объекта стационарной или нестационарной торговой сети (Км)

Место расположения объекта Коэффициент микрорайона (Кт) Коэффициент категории места расположения объекта стационарной или нестационарной торговой сети (Км)
Микрорайон с населением от 10 тыс. человек до 50 тыс. человек (мкр. Центральный, мкр. Северо-Задонск) 0,4 1,0 - 1 категория
0,7 - 2 категория
0,5 - 3 категория
Микрорайон с населением от 5 тыс. человек до 10 тыс. человек (мкр.Новоугольный) 0,3 1,0 - 1 категория
0,7 - 2 категория
0,5 - 3 категория
Микрорайон с населением менее 5 тыс. человек (мкр. Шахтерский, мкр. Подлесный, мкр. Комсомольский, мкр. Руднев, мкр. Задонье) 0,2 1,0 - 1 категория
0,7 - 2 категория

В случае если в течение налогового периода изменяется место расположения объекта нестационарной торговой сети, при расчете коэффициента К2 применяются максимальные значения коэффициентов Кт и Км для используемых мест расположения.

Приложение 3

Коэффициенты вида товара (Кв)

Код по Общероссийскому классификатору продукции по видам экономической деятельности Вид продукции по Общероссийскому классификатору продукции по видам экономической деятельности Коэффициент вида товара (Кв)
29 Средства автотранспортные, прицепы и полуприцепы 0,96
14.20 Изделия меховые  
32.1 Изделия ювелирные, бижутерия и подобные изделия  
30.91 Мотоциклы  
11.01.10 Напитки алкогольные дистиллированные  
11.02.1 Вина виноградные из свежего винограда; сусло виноградное  
27.90 Оборудование электрическое прочее  
27.51 Приборы бытовые электрические  
26.20 Компьютеры и периферийное оборудование  
28.99 Оборудование специального назначения прочее, не включенное в другие группировки  
28.25 Оборудование промышленное холодильное и вентиляционное  
27.40 Оборудование электрическое осветительное  
28.99 Оборудование специального назначения прочее, не включенное в другие группировки  
26.52.1 Часы всех видов, кроме часовых механизмов и частей  
26.52.2 Механизмы часовые и части часов всех видов  
12.00.1 Табачные изделия (кроме отходов)  
11.05.1 Пиво, кроме отходов пивоварения  
  Прочие 0,78
10.51 Молоко и молочная продукция 0,39
10.61.2 Мука из зерновых, культур, овощных и других растительных культур  
14.20.10.993 Сувениры, украшения, меховые  
32.30.1 Товары спортивные  
32.20 Инструменты музыкальные  
10.71.11 Изделия хлебобулочные недлительного хранения  
10.73.1 Изделия макаронные и аналогичные мучные изделия  
10.84.30.120 Соль пищевая выварочная  
10.84.30.140 Соль пищевая молотая  
32.99.56 Изделия народных и художественных промыслов  
32.91.12 Зубные щетки, щетки для волос и прочие туалетные щетки для ухода за внешностью; художественные кисти, кисточки для письма, косметические кисточки  
17.23.1 Принадлежности канцелярские бумажные  
32.99.12 Ручки шариковые; ручки и маркеры с наконечником из фетра и прочих пористых материалов; механические карандаши  
32.40 Игры и игрушки 0,30

При торговле смешанным ассортиментом товаров применяется максимальное значение коэффициента Кв из числа значений коэффициентов, установленных по видам товаров, торговля которыми осуществляется на данном объекте торговли.

Код вида продукции определяется по Общероссийскому классификатору продукции по видам экономической деятельности.

Таблица 4

Коэффициенты общественного питания (Кп)

Место расположения объекта Коэффициенты общественного питания (Кп)
Рестораны, кафе, бары Столовые, закусочные, другие предприятия общественного питания (кроме ресторанов, кафе, баров) Столовые, расположенные в учреждениях социального обслуживания, здравоохранения и образования; столовые, обслуживающие малоимущих граждан по спискам комитетов (управлений) социальной защиты населения
реализующие алкогольную продукцию не реализующие алкогольную продукцию
Микрорайон с населением от 10 тыс. человек до 50 тыс. человек (мкр. Центральный, мкр. Северо-Задонск) 0,61 0,52 0,17 0,09
Микрорайон с населением от 5 тыс. человек до 10 тыс. человек (мкр.Новоугольный) 0,52 0,26 0,09 0,04
Микрорайон с населением менее 5 тыс. человек (мкр. Шахтерский, мкр. Подлесный, мкр. Комсомольский, мкр. Руднев, мкр. Задонье) 0,44 0,22 0,09 0,026

Таблица 5

Категории места расположения объектов стационарной или нестационарной торговой сети

N п/п Место расположения объекта стационарной или нестационарной торговой сети Категория места расположения объекта торговой сети
1 2 3
Город Донской, микрорайон Центральный
1 Рынки 1
2 Улица Октябрьская 1
3 Улица Новая 2
4 Другие улицы 3
Микрорайон Северо-Задонск
1 Рынок 1
2 Улица Ленина, ул. Школьная 1
3 Другие улицы 3
Микрорайон Новоугольный
1 Улица Индустриальная 1
2 Улица Ленина, Кирова 2
3 Другие улицы 3
Микрорайон Руднев
1 Улица 10-й Армии 1
2 Другие улицы 2
Микрорайон Комсомольский
1 Улица Димитрова 1
2 Другие улицы 2
Микрорайон Шахтерский
1 Улица Свердлова 1
2 Другие улицы 2
Микрорайон Задонье
  Все улицы 2
Микрорайон Подлесный
  Все улицы 2

С отчетности за I квартал (с 01.01.2017)

Утвержден Решением Собрания депутатов муниципального образования г. Донской
от 28.09.2005 N 70-3 (ред. от 23.11.2009),
Решением Собрания депутатов муниципального образования г. Донской
от 30.11.2016 N 32-1

Единый налог вводится в отношении следующих видов предпринимательской деятельности:

1) оказания бытовых услуг, за исключением услуг по изготовлению мебели, строительству индивидуальных домов;

2) оказания услуг по ремонту, техническому обслуживанию и мойке автотранспортных средств;

3) розничной торговли, осуществляемой через магазины и павильоны с площадью торгового зала не более 150 квадратных метров по каждому объекту организации торговли;

4) розничной торговли, осуществляемой через объекты стационарной торговой сети, не имеющие торговых залов, а также объекты нестационарной торговой сети;

5) оказания автотранспортных услуг по перевозке пассажиров и грузов, осуществляемых организациями и индивидуальными предпринимателями, имеющими на праве собственности или ином праве (пользования, владения и (или) распоряжения) не более 20 транспортных средств, предназначенных для оказания таких услуг;

6) оказание услуг общественного питания, осуществляемых через объекты организации общественного питания с площадью зала обслуживания посетителей не более 150 квадратных метров по каждому объекту организации общественного питания;

7) оказания ветеринарных услуг;

8) оказание услуг по предоставлению во временное владение (в пользование) мест для стоянки автотранспортных средств, а также по хранению автотранспортных средств на платных стоянках (за исключением штрафных автостоянок);

9) распространение наружной рекламы с использованием рекламных конструкций.

Значения корректирующего коэффициента базовой доходности К2, учитывающего совокупность особенностей ведения предпринимательской деятельности, при исчислении суммы единого налога на вмененный доход для отдельных видов деятельности определяются:

1) при оказании бытовых услуг, их групп, подгрупп, видов и (или) отдельных бытовых услуг, классифицируемых в соответствии с Общероссийским классификатором видов экономической деятельности, - по формуле:

,

где

- коэффициент бытовых услуг, определяется в соответствии со значениями, приведенными в таблице 1 к настоящему решению;

- коэффициент микрорайона, определяется в соответствии со значениями, приведенными в таблице 2 к настоящему решению.

В случае если при определении коэффициента К2 для бытовых услуг значения коэффициента К2 получаются менее 0,005, устанавливается коэффициент К2, равный 0,005;

2) при оказании услуг по ремонту, техническому обслуживанию и мойке автомототранспортных средств - по формуле:

,

где

- коэффициент микрорайона, определяется в соответствии со значениями, приведенными в таблице 2 к настоящему решению;

3) при оказании услуг по предоставлению во временное владение (в пользование) мест для стоянки автотранспортных средств, а также по хранению автотранспортных средств на платных стоянках (за исключением штрафных автостоянок) - по формуле:

,

где

- коэффициент микрорайона, определяется в соответствии со значениями, приведенными в таблице 2 к настоящему решению;

4) для розничной торговли, осуществляемой через магазины и павильоны с площадью торгового зала не более 150 квадратных метров по каждому объекту организации торговли; для розничной торговли, осуществляемой через объекты стационарной торговой сети, не имеющей торговых залов, а также объекты нестационарной торговой сети, - по формуле:

,

где

- коэффициент микрорайона, определяется в соответствии со значениями, приведенными в таблице 2 к настоящему решению;

- коэффициент категории места расположения объекта стационарной или нестационарной торговой сети, определяется из числа указанных для категорий микрорайонов величин, приведенных в таблице 2 к настоящему решению. Отнесение улиц и (или) домов к той или иной категории места расположения объекта стационарной или нестационарной торговой сети определяется в соответствии со значениями, приведенными в таблице 5 к настоящему решению;

- коэффициент вида товара, определяется в соответствии со значениями, приведенными в таблице 3 к настоящему решению;

- коэффициент розничной торговли, осуществляемой через объекты нестационарной торговой сети, учитывающий время работы, равный 0,7.

Значения коэффициента К2 уменьшаются в 2 раза:

в случае одновременной реализации налогоплательщиком в течение квартала через магазины и павильоны продукции собственного производства и товаров при условии, что объем реализации за квартал продукции собственного производства составляет не менее 30 процентов от общего объема реализации за тот же квартал;

5) при оказании автотранспортных услуг по перевозке пассажиров и грузов, осуществляемых организациями и индивидуальными предпринимателями, имеющими на праве собственности или ином праве (пользования, владения и (или) распоряжения) не более 20 транспортных средств, предназначенных для оказания таких услуг:

- по перевозке грузов - К2 как величина, равная 1,0;

- по перевозке пассажиров - К2 как величина, равная 1,0;

6) при оказании услуг общественного питания, осуществляемых через объекты организации общественного питания с площадью зала обслуживания посетителей не более 150 квадратных метров по каждому объекту организации общественного питания, - по формуле:

,

где

- коэффициент общественного питания, определяется в соответствии со значениями, приведенными в таблице 4 к настоящему решению;

7) при оказании ветеринарных услуг - по формуле:

,

где

- коэффициент микрорайона, определяется в соответствии со значениями, приведенными в таблице 2 к настоящему решению;

8) при распространении наружной рекламы с использованием рекламных конструкций:

К2 определяется в соответствии со значениями, приведенными в таблице 6 к настоящему решению;

9) при оказании услуг по временному размещению и проживанию организациями и предпринимателями, использующими в каждом объекте предоставления данных услуг общую площадь помещений для временного размещения и проживания не более 500 квадратных метров, - по формуле:

,

где

- коэффициент микрорайона, определяется в соответствии со значениями, приведенными в таблице 2 к настоящему решению;

- коэффициент категории места расположения объекта стационарной или нестационарной торговой сети, определяется из числа указанных для категорий микрорайонов величин, приведенных в таблице 2 к настоящему решению. Отнесение улиц и (или) домов к той или иной категории места расположения объекта стационарной или нестационарной торговой сети определяется в соответствии со значениями, приведенными в таблице 5 к настоящему решению;

10) при оказании услуг общественного питания, осуществляемых через объекты организации общественного питания, не имеющие зала обслуживания посетителей, - как величина, равная 0,1;

11) при размещении рекламы на транспортных средствах - как величина, равная 1,0;

12) при оказании услуг по передаче во временное владение и (или) в пользование торговых мест, расположенных в объектах стационарной торговой сети, не имеющих торговых залов, объектов нестационарной торговой сети, а также объектов организации общественного питания, не имеющих зала обслуживания посетителей, - по формуле:

,

где

- коэффициент микрорайона, определяется в соответствии со значениями, приведенными в таблице 2 к настоящему решению;

13) при оказании услуг по передаче во временное владение и (или) в пользование земельных участков для размещения объектов стационарной и нестационарной торговой сети, а также объектов организации общественного питания - по формуле:

,

где

- коэффициент микрорайона, определяется в соответствии со значениями, приведенными в таблице 2 к настоящему решению;

- коэффициент категории места расположения объекта стационарной или нестационарной торговой сети, определяется из числа указанных для категорий микрорайонов величин, приведенных в таблице 2 к настоящему решению. Отнесение улиц и (или) домов к той или иной категории места расположения объекта стационарной или нестационарной торговой сети определяется в соответствии со значениями, приведенными в таблице 5 к настоящему решению.

Значение коэффициента К2 уменьшается в 2 раза для налогоплательщиков - инвалидов с детства, инвалидов I и II групп, индивидуально осуществляющих виды предпринимательской деятельности, указанные в настоящей статье, без привлечения наемных работников.

Налогоплательщик, имеющий право на уменьшение значения коэффициента К2 одновременно по нескольким основаниям, указанным в настоящей статье, может им воспользоваться только по одному основанию.

Таблица 1

Коэффициенты бытовых услуг (Ку)

Код по Общероссийскому классификатору Наименование услуг Коэффициент бытовых услуг (Ку)
95.23.10 Услуги по ремонту обуви и изделий из кожи 0,15
15.20.99 Услуги по производству обуви 0,30
95.29.11 Услуги по ремонту и подгонке/перешиву одежды и бытовых текстильных изделий 0,15
14.39.99 Услуги по производству прочих трикотажных и вязаных предметов одежды 0,20
95.21.10 Услуги по ремонту приборов бытовой электроники 0,25
95.22.10 Услуги по ремонту бытовых приборов, домашнего и садового инвентаря 0,25
95.29.19 Услуги по ремонту прочих предметов личного потребления и бытовых товаров, не включенных в другие группировки 0,25
31.09.99 Услуги по производству прочей мебели 0,30
95.24.10 Услуги по ремонту мебели и предметов домашнего обихода 0,30
96.01 Услуги по стирке и чистке (в том числе химической) изделий из тканей и меха 0,25
96.01.14 Услуги по крашению и интенсификации цвета 0,25
41.20.30 Работы по возведению жилых зданий 0,60
43.99.90 Работы строительные специализированные прочие, не включенные в другие группировки 0,30
74.20 Услуги в области фотографии 0,30
13.10.93 Услуги по подготовке к прядению натуральных текстильных волокон 0,20
18.14.10 Услуги переплетные и связанные с переплетом и отделкой книг и аналогичных изделий 0,20
47.78.20 Услуги по розничной торговле очками, включая сборку и ремонт очков, в специализированных магазинах 0,20
96.09.11 Услуги по уходу за домашними животными 0,20
96.09.19 Услуги разнообразные прочие, не включенные в другие группировки 0,20
96.04 Услуги в области физкультурно-оздоровительной деятельности 0,15
96.02 Услуги парикмахерских и услуги салонов красоты прочие 0,40
96.03 Услуги по организации похорон и связанные с этим услуги 0,50
96.03.11 Услуги по захоронению и кремации 0,15
32.99.59 Изделия различные прочие, не включенные в другие группировки.
Эта группировка также включает:
- гробы для погребения
0,50
14.13.99 Услуги по производству верхней одежды 0,15
25.99.99 Металлоизделия готовые прочие, не включенные в другие группировки 0,15
32.12.99 Услуги по производству ювелирных и соответствующих изделий отдельные 0,15
77.29.19 Услуги по прокату прочих бытовых изделий и предметов личного пользования, не включенных в другие группировки 0,15
74.30 Услуги по письменному и устному переводу 0,15
81.29.13 Услуги санитарно-гигиенические прочие 0,15
81.29.19 Услуги по чистке и уборке прочие, не включенные в другие группировки 0,15
81.30.10 Услуги по планировке ландшафта 0,15
82.19.13 Услуги по подготовке документов и прочие услуги по обеспечению деятельности офиса 0,15
96.01.19 Услуги по чистке текстильных изделий прочие 0,15

При оказании налогоплательщиком одновременно нескольких бытовых услуг, по которым установлены разные значения коэффициента , значение коэффициента определяется по формуле:

, ..., - численность работников, занятых оказанием услуги, в отношении которой установлено значение коэффициента ;

- количество работников, занятых оказанием бытовых услуг;

, ..., - значения коэффициента для отдельных бытовых услуг.

В случае оказания одним работником нескольких бытовых услуг, по которым установлены различные значения коэффициента , учет этого работника производится по той бытовой услуге, по которой установлено максимальное значение коэффициента .

Таблица 2

Коэффициенты микрорайона (Кт) и коэффициенты категории места расположения объекта стационарной или нестационарной торговой сети (Км)

Место расположения объекта Коэффициент микрорайона () Коэффициент категории места расположения объекта стационарной или нестационарной торговой сети ()
Микрорайон с населением от 10 тыс. человек до 50 тыс. человек (мкр. Центральный, мкр. Северо-Задонск) 0,4 1,0 - 1 категория
0,7 - 2 категория
0,5 - 3 категория
Микрорайон с населением от 5 тыс. человек до 10 тыс. человек (мкр. Новоугольный) 0,3 1,0 - 1 категория
0,7 - 2 категория
0,5 - 3 категория
Микрорайон с населением менее 5 тыс. человек
(мкр. Шахтерский,
мкр. Подлесный,
мкр. Комсомольский,
мкр. Руднев, мкр. Задонье)
0,2 1,0 - 1 категория
0,7 - 2 категория

В случае если в течение налогового периода изменяется место расположения объекта нестационарной торговой сети, при расчете коэффициента К2 применяются максимальные значения коэффициентов и для используемых мест расположения.

Таблица 3

Коэффициенты вида товара (Кв)

Код по Общероссийскому классификатору продукции по видам экономической деятельности Вид продукции по Общероссийскому классификатору продукции по видам экономической деятельности Коэффициент вида товара ()
29 Средства автотранспортные, прицепы и полуприцепы 0,96
14.20 Изделия меховые
32.1 Изделия ювелирные, бижутерия и подобные изделия
30.91 Мотоциклы
11.01.10 Напитки алкогольные дистиллированные
11.02.1 Вина виноградные из свежего винограда; сусло виноградное
27.90 Оборудование электрическое прочее
27.51 Приборы бытовые электрические
26.20 Компьютеры и периферийное оборудование
28.99 Оборудование специального назначения прочее, не включенное в другие группировки
28.25 Оборудование промышленное холодильное и вентиляционное
27.40 Оборудование электрическое осветительное
28.99 Оборудование специального назначения прочее, не включенное в другие группировки
26.52.1 Часы всех видов, кроме часовых механизмов и частей
26.52.2 Механизмы часовые и части часов всех видов
12.00.1 Табачные изделия (кроме отходов)
11.05.1 Пиво, кроме отходов пивоварения
Прочие 0,78
10.51 Молоко и молочная продукция 0,39
10.61.2 Мука из зерновых, культур, овощных и других растительных культур
14.20.10.993 Сувениры, украшения, меховые
32.30.1 Товары спортивные
32.20 Инструменты музыкальные
10.71.11 Изделия хлебобулочные недлительного хранения
10.73.1 Изделия макаронные и аналогичные мучные изделия
10.84.30.120 Соль пищевая выварочная
10.84.30.140 Соль пищевая молотая
32.99.56 Изделия народных и художественных промыслов
32.91.12 Зубные щетки, щетки для волос и прочие туалетные щетки для ухода за внешностью; художественные кисти, кисточки для письма, косметические кисточки
17.23.1 Принадлежности канцелярские бумажные
32.99.12 Ручки шариковые; ручки и маркеры с наконечником из фетра и прочих пористых материалов; механические карандаши
32.40 Игры и игрушки 0,30

При торговле смешанным ассортиментом товаров применяется максимальное значение коэффициента из числа значений коэффициентов, установленных по видам товаров, торговля которыми осуществляется на данном объекте торговли.

Код вида продукции определяется по Общероссийскому классификатору продукции по видам экономической деятельности.

Таблица 4

Коэффициенты общественного питания (Кп)

Место расположения объекта Коэффициенты общественного питания ()
Рестораны, кафе, бары Столовые, закусочные, другие предприятия общественного питания (кроме ресторанов, кафе, баров) Столовые, расположенные в учреждениях социального обслуживания, здравоохранения и образования; столовые, обслуживающие малоимущих граждан по спискам комитетов (управлений) социальной защиты населения
реализующие алкогольную продукцию не реализующие алкогольную продукцию
Микрорайон с населением от 10 тыс. человек до 50 тыс. человек (мкр. Центральный, мкр. Северо-Задонск) 0,61 0,52 0,17 0,09
Микрорайон с населением от 5 тыс. человек до 10 тыс. человек (мкр. Новоугольный) 0,52 0,26 0,09 0,04
Микрорайон с населением менее 5 тыс. человек (мкр. Шахтерский, мкр. Подлесный, мкр. Комсомольский, мкр. Руднев, мкр. Задонье) 0,44 0,22 0,09 0,026

Таблица 5

Категории места расположения объектов стационарной или нестационарной торговой сети

N п/п Место расположения объекта стационарной или нестационарной торговой сети Категория места расположения объекта торговой сети
1 2 3
Город Донской, микрорайон Центральный
1 Рынки 1
2 Улица Октябрьская 1
3 Улица Новая 2
4 Другие улицы 3
Микрорайон Северо-Задонск
1 Рынок 1
2 Улица Ленина, ул. Школьная 1
3 Другие улицы 3
Микрорайон Новоугольный
1 Улица Индустриальная 1
2 Улица Ленина, Кирова 2
3 Другие улицы 3
Микрорайон Руднев
1 Улица 10-й Армии 1
2 Другие улицы 2
Микрорайон Комсомольский
1 Улица Димитрова 1
2 Другие улицы 2
Микрорайон Шахтерский
1 Улица Свердлова 1
2 Другие улицы 2
Микрорайон Задонье
Все улицы 2
Микрорайон Подлесный
Все улицы 2

Таблица 6

Значения корректирующего коэффициента базовой доходности К2 при исчислении суммы единого налога на вмененный доход в отношении деятельности по распространению наружной рекламы с использованием рекламных конструкций

Место расположения объекта Значение корректирующего коэффициента К2 Значение корректирующего коэффициента К2 для социальной рекламы
Микрорайон с населением от 10 тыс. человек до 50 тыс. человек (мкр. Центральный, мкр. Северо-Задонск) 0,06 0,005
Микрорайон с населением от 5 тыс. человек до 10 тыс. человек (мкр. Новоугольный) 0,04 0,005
Микрорайон с населением менее 5 тыс. человек (мкр. Шахтерский, мкр. Подлесный, мкр. Комсомольский, мкр. Руднев, мкр. Задонье) 0,02 0,005

Утвержден Решением Собрания депутатов муниципального образования г. Ефремов
от 20.11.2014 N 7-33 (ред. от 24.11.2016),
решением Собрания представителей муниципального образования Ефремовский район
от 27.09.2005 N 11-88 (ред. от 26.11.2009)

ЕФРЕМОВ

Единый налог вводится в отношении следующих видов предпринимательской деятельности:

1) оказания бытовых услуг (кроме бытовых услуг по изготовлению мебели и строительству индивидуальных домов), их групп, подгрупп, видов и (или) отдельных бытовых услуг (кроме бытовых услуг по изготовлению мебели и строительству индивидуальных домов), классифицируемых в соответствии с Общероссийским классификатором услуг населению;

(ОКУН) ОК 002-93 утратил силу с 01.01.2017. В целях классификации с указанной даты вместо ОКУН применяются классификаторы ОК 029-2014 (ОКВЭД2) и 034-2014 (ОКПД2).

Перечни кодов бытовых услуг, их групп, подгрупп, видов и (или) отдельных бытовых услуг в соответствии с ОК 029-2014 (ОКВЭД2) и 034-2014 (ОКПД2) утверждены Распоряжением Правительства РФ от 24.11.2016 N 2496-р.

2) оказание услуг по ремонту, техническому обслуживанию и мойке автотранспортных средств;

3) розничной торговли, осуществляемой через магазины и павильоны с площадью торгового зала не более 150 квадратных метров по каждому объекту организации торговли. Для целей настоящей главы розничная торговля, осуществляемая через магазины и павильоны с площадью торгового зала более 150 квадратных метров по каждому объекту организации торговли, признается видом предпринимательской деятельности, в отношении которого единый налог не применяется;

4) оказания автотранспортных услуг по перевозке пассажиров и грузов, осуществляемых организациями и индивидуальными предпринимателями, имеющими на праве собственности или ином праве (пользования, владения и (или) распоряжения) не более 20 транспортных средств, предназначенных для оказания таких услуг;

5) оказание услуг общественного питания, осуществляемых через объекты организации общественного питания с площадью зала обслуживания посетителей не более 150 квадратных метров по каждому объекту организации общественного питания. Для целей настоящей главы оказание услуг общественного питания, осуществляемых через объекты организации общественного питания с площадью зала обслуживания посетителей более 150 квадратных метров по каждому объекту организации общественного питания, признается видом предпринимательской деятельности, в отношении которого единый налог не применяется;

6) оказание ветеринарных услуг;

7) оказания услуг по предоставлению во временное владение (в пользование) мест для стоянки автотранспортных средств, а также по хранению автотранспортных средств на платных стоянках (за исключением штрафных автостоянок);

8) распространения наружной рекламы с использованием рекламных конструкций;

9) оказания услуг по передаче во временное владение и (или) в пользование торговых мест, расположенных в объектах стационарной торговой сети, не имеющих торговых залов, объектов нестационарной торговой сети, а также объектов организации общественного питания, не имеющих зала обслуживания посетителей;

10) розничной торговли, осуществляемой через объекты стационарной торговой сети, не имеющей торговых залов, а также объекты нестационарной торговой сети;

11) оказания услуг по передаче во временное владение и (или) в пользование земельных участков для размещения объектов стационарной и нестационарной торговой сети, а также объектов организации общественного питания;

12) оказание услуг общественного питания, осуществляемых через объекты организации общественного питания, не имеющие зала обслуживания посетителей;

13) распространение и (или) размещение рекламы на транспортных средствах.

Значения корректирующего коэффициента базовой доходности К2, учитывающего совокупность особенностей ведения предпринимательской деятельности, при исчислении суммы единого налога на вмененный доход для отдельных видов деятельности определяются:

1) при оказании бытовых услуг, их групп, подгрупп, видов и отдельных бытовых услуг, классифицируемых в соответствии с Общероссийским классификатором услуг населению, - по формуле:

,

где

0,312 - максимальное значение корректирующего коэффициента К2;

- коэффициент вида услуг, определяется в соответствии со значениями, приведенными в таблице N 1 к настоящему решению;

- коэффициент категории города или сельского населенного пункта, определяется в соответствии со значениями, приведенными в таблице N 2 к настоящему решению.

В случае если при определении коэффициента К2 для бытовых услуг значения коэффициента К2 получатся менее 0,005, устанавливается коэффициент К2, равный 0,005;

2) при оказании ветеринарных услуг - по формуле:

,

где

0,188 - максимальное значение корректирующего коэффициента К2;

- коэффициент категории города или сельского населенного пункта, определяется в соответствии со значениями, приведенными в таблице N 2 к настоящему решению;

3) при оказании услуг по ремонту, техническому обслуживанию и мойке автотранспортных средств - по формуле:

,

где

0,34 - максимальное значение корректирующего коэффициента К2 для данного вида деятельности;

- коэффициент категории города или сельского населенного пункта, определяется в соответствии со значениями, приведенными в таблице N 2 к настоящему решению;

4) при оказании услуг по предоставлению во временное владение (пользование) мест для стоянки автотранспортных средств, а также по хранению автотранспортных средств на платных стоянках (за исключением штрафных автостоянок) - как величина, равная:

,

где

1,0 - максимальное значение корректирующего коэффициента К2 для данного вида деятельности;

- коэффициент категории города или сельского населенного пункта, определяется в соответствии со значениями, приведенными в таблице N 2 к настоящему решению;

5) при оказании автотранспортных услуг по перевозке пассажиров и грузов, осуществляемых организациями и индивидуальными предпринимателями, имеющими на праве собственности или ином праве (пользования, владения и (или) распоряжения) не более 20 транспортных средств, предназначенных для оказания таких услуг, - по формуле:

- при оказании услуг по перевозке грузов:

,

где

1,0 - максимальное значение корректирующего коэффициента К2;

- коэффициент категории города или сельского населенного пункта, определяется в соответствии со значениями, приведенными в таблице N 2 к настоящему решению;

- при оказании услуг по перевозке пассажиров:

;

6) для розничной торговли, осуществляемой через магазины и павильоны с площадью торгового зала не более 150 квадратных метров по каждому объекту организации торговли, - по формуле:

,

где

0,5 - максимальное значение корректирующего коэффициента К2;

- коэффициент категории города или сельского населенного пункта, определяется в соответствии со значениями, приведенными в таблице N 2 к настоящему решению;

- коэффициент категории места расположения объекта стационарной или нестационарной торговой сети, объекта наружной рекламы, земельного участка, определяется в соответствии со значениями, приведенными в таблице N 5 к настоящему решению;

- коэффициент вида товара, определяется в соответствии со значениями, приведенными в таблице N 3 к настоящему решению;

7) для розничной торговли, осуществляемой через объекты стационарной торговой сети, не имеющие торговых залов, а также объекты нестационарной торговой сети, - по формуле:

,

где

0,5 - максимальное значение корректирующего коэффициента К2;

- коэффициент категории города или сельского населенного пункта, определяется в соответствии со значениями, приведенными в таблице N 2 к настоящему решению;

- коэффициент категории места расположения объекта стационарной или нестационарной торговой сети, объекта наружной рекламы, земельного участка, определяется в соответствии со значениями, приведенными в таблице N 5 к настоящему решению;

- коэффициент вида товара, определяется в соответствии со значениями, приведенными в таблице N 3 к настоящему решению;

8) при оказании услуг общественного питания, осуществляемых через объекты организации общественного питания с площадью зала обслуживания посетителей не более 150 квадратных метров по каждому объекту организации общественного питания, - по формуле:

,

где

0,87 - максимальное значение корректирующего коэффициента К2;

- корректирующий коэффициент базовой доходности при оказании услуг общественного питания, определяется в соответствии со значениями, приведенными в таблице N 4 к настоящему решению;

9) при оказании услуг общественного питания, осуществляемых через объекты организации общественного питания, не имеющие зала обслуживания посетителей, - по формуле:

,

где

1,0 - максимальное значение корректирующего коэффициента К2;

- корректирующий коэффициент базовой доходности при оказании услуг общественного питания, определяется в соответствии со значениями, приведенными в таблице N 4 к настоящему решению;

10) при распространении наружной рекламы с использованием рекламных конструкций - по формуле:

,

где

0,12 - максимальное значение корректирующего коэффициента К2;

- коэффициент категории города или сельского населенного пункта, определяется в соответствии со значениями, приведенными в таблице N 2 к настоящему решению;

- коэффициент категории места расположения объекта стационарной или нестационарной торговой сети, объекта наружной рекламы, земельного участка, определяется в соответствии со значениями, приведенными в таблице N 5 к настоящему решению;

11) при размещении рекламы на транспортных средствах - по формуле:

,

где

- коэффициент, учитывающий место расположения рекламного объекта на транспортном средстве, определяется в соответствии со значениями, приведенными в таблице N 6 к настоящему решению;

- коэффициент, учитывающий вид рекламного объекта, находящегося на транспортном средстве, определяется в соответствии со значениями, приведенными в таблице N 7 к настоящему решению;

12) при оказании услуг по временному размещению и проживанию организациями и предпринимателями, использующими в каждом объекте предоставления данных услуг общую площадь помещений для временного размещения и проживания не более 500 квадратных метров, - по формуле:

,

где

- коэффициент города или сельского населенного пункта, определяется в соответствии со значениями, приведенными в таблице 2 к настоящему решению;

13) при оказании услуг по передаче во временное владение и (или) пользование торговых мест, расположенных в объектах стационарной торговой сети, не имеющих торговых залов, объектов нестационарной торговой сети, а также объектов организации общественного питания, не имеющих зала обслуживания посетителей, - по формуле:

,

где

- коэффициент города или сельского населенного пункта, определяется в соответствии со значениями, приведенными в таблице 2 к настоящему решению;

14) при оказании услуг по передаче во временное владение и (или) пользование земельных участков для размещения объектов стационарной и нестационарной торговой сети, а также объектов организации общественного питания - по формуле:

,

где

1,0 - максимальное значение корректирующего коэффициента К2;

- коэффициент категории места расположения объекта стационарной или нестационарной торговой сети, объекта наружной рекламы, земельного участка, определяется в соответствии со значениями, приведенными в таблице N 5 к настоящему решению.

Значения коэффициента К2 уменьшаются в 2 раза:

- в случае одновременной реализации налогоплательщиком в течение квартала через магазины и павильоны продукции собственного производства и товаров при условии, что объем реализации за квартал продукции собственного производства составляет не менее 30 процентов от общего объема реализации за тот же квартал;

- для налогоплательщиков, осуществляющих в течение квартала наряду с реализацией товаров продажу (отпуск) товаров с оплатой по безналичному расчету яслям, детским садам, школам, интернатам, домам престарелых, больницам и другим учреждениям социального обслуживания, здравоохранения и образования, финансируемым из бюджетов различного уровня, при условии, что объем продажи (отпуска) товаров этим учреждениям за квартал составляет не менее 10 процентов от общего объема реализации товаров за тот же квартал. Перечень учреждений социального обслуживания определяется в соответствии с Федеральным законом от 10 декабря 1995 года N 195-ФЗ "Об основах социального обслуживания населения в Российской Федерации";

В связи с утратой силы Федерального закона от 10 декабря 1995 года N 195-ФЗ, следует руководствоваться принятым взамен Федеральным законом от 28.12.2013 N 442-ФЗ.

- для налогоплательщиков - инвалидов с детства, инвалидов I и II групп, индивидуально осуществляющих виды предпринимательской деятельности без привлечения наемных работников.

Налогоплательщик, имеющий право на уменьшение значения коэффициента К2 одновременно по нескольким основаниям, указанным выше, может им воспользоваться только по одному основанию.

Таблица 1

Коэффициент вида услуг (товара) (КУ)

ОКПД Наименование вида предпринимательской деятельности Значение коэффициента бытовых услуг
95.23.10.000 Услуги по ремонту обуви и изделий из кожи 0,11
15.20.99.000 Услуги по производству обуви отдельные, выполняемые субподрядчиком 0,21
95.29.11.000 Услуги по ремонту и подгонке/перешиву одежды и бытовых текстильных изделий 0,09
14.39.99.000 Услуги по производству прочих трикотажных и вязаных предметов одежды отдельные, выполняемые субподрядчиком 0,18
95.21.10.000 Услуги по ремонту приборов бытовой электроники 0,28
95.22.10.110 Услуги по ремонту бытовых приборов 0,28
95.29.19.000 Услуги по ремонту прочих предметов личного потребления и бытовых товаров, не включенных в другие группировки 0,36
31.09.99.000 Услуги по производству прочей мебели отдельные, выполняемые субподрядчиком 0,26
95.24.10.000 Услуги по ремонту мебели и предметов домашнего обихода 0,26
96.01 Услуги по стирке и чистке (в том числе химической) изделий из тканей и меха 0,27
96.01.14.000 Услуги по крашению и интенсификации цвета 0,32
41.20.30.000 Работы по возведению жилых зданий 0,32
43.99.90.190 Работы строительные специализированные прочие, не включенные в другие группировки 0,32
74.20 Услуги в области фотографии 0,36
13.10.93.120 Услуги по подготовке к прядению шерсти и волоса животных 0,26
18.14.10.000 Услуги переплетные и связанные с переплетом и отделкой книг и аналогичных изделий 0,26
47.78.20.000 Услуги по розничной торговле очками, включая сборку и ремонт очков, в специализированных магазинах 0,26
95.29.19.000 Услуги по ремонту прочих предметов личного потребления и бытовых товаров, не включенных в другие группировки 0,26
96.09.11.000 Услуги по уходу за домашними животными 0,26
96.09.19.000 Услуги разнообразные прочие, не включенные в другие группировки 0,26
96.04 Услуги в области физкультурно-оздоровительной деятельности 0,18
96.09.19.000 Услуги разнообразные прочие, не включенные в другие группировки 0,18
96.02 Услуги парикмахерских и услуги салонов красоты прочие 0,35
96.03 Услуги по организации похорон и связанные с этим услуги 0,39
32.99.59 Изделия различные прочие, не включенные в другие группировки 0,39
Официальный источник электронного документа содержит неточность: имеется ввиду код по ОКПД 32.99.59.000
14.13.99.000 Услуги по производству верхней одежды отдельные, выполняемые субподрядчиком 0,14
25.99.99.000 Услуги по производству прочих металлических изделий, не включенных в другие группировки, отдельные, выполняемые субподрядчиком 0,14
32.12.99.000 Услуги по производству ювелирных и соответствующих изделий отдельные, выполняемые субподрядчиком 0,14
77.29.19.000 Услуги по прокату прочих бытовых изделий и предметов личного пользования, не включенных в другие группировки 0,14
96.03.11.000 Услуги по захоронению и кремации 0,14
74.30.11.000 Услуги по письменному переводу 0,14
74.30.12.000 Услуги по устному переводу 0,14
81.29.13.000 Услуги санитарно-гигиенические прочие 0,14
81.29.19.000 Услуги по чистке и уборке прочие, не включенные в другие группировки 0,14
81.30.10.000 Услуги по планировке ландшафта 0,14
82.19.13.000 Услуги по подготовке документов и прочие услуги по обеспечению деятельности офиса 0,14
96.01.19.000 Услуги по чистке текстильных изделий прочие 0,14
  <*> Прочие виды экономической деятельности и услуги, относящиеся к бытовым услугам 0,14

<*> В части кодов видов экономической деятельности, относящихся к бытовым услугам, и кодов услуг, относящихся к бытовым услугам, определенных Правительством Российской Федерации.

При оказании налогоплательщиком одновременно нескольких бытовых услуг, по которым установлены разные значения коэффициента , значение коэффициента определяется по формуле:

где

,..., - численность работников, занятых оказанием услуги, в отношении которой установлено значение коэффициента ;

- количество работников, занятых оказанием бытовых услуг;

,..., - значения коэффициента для отдельных бытовых услуг.

В случае оказания одним работником нескольких бытовых услуг, по которым установлены различные значения коэффициента , учет этого работника производится по той бытовой услуге, по которой установлено максимальное значение коэффициента .

Таблица 2

Коэффициент категории города или сельского населенного пункта (КТ)

Место расположения объекта Коэффициент категории города или сельского населенного пункта (Кт)
Город Ефремов 0,4
Поселки с населением свыше 5 тыс. человек 0,3
Поселки с населением менее 5 тыс. человек 0,2
Сельские населенные пункты с населением свыше 150 человек 0,1
Сельские населенные пункты с населением до 150 человек 0,05
Места, расположенные вне города и сельских населенных пунктов 0,3

Таблица 3

Коэффициент вида товара (КВ)

Вид товара по виду продукции Общероссийского классификатора продукции
"Общероссийский классификатор продукции" ОК 005-93 (ОКП)" утратил силу. Аналогичные нормы содержатся в "Общероссийском классификаторе продукции по видам экономической деятельности (ОКПД 2). ОК 034-2014 (КПЕС 2008)".
Прицепы общего назначения к грузовым автомобилям 1,25
Меха, меховые и овчинно-шубные изделия (за исключением товаров для детей)
Изделия ювелирные, галантерея ювелирная и металлическая, изделия ритуально-обрядовые, награды, монеты
Мотоциклы с мощностью двигателя до 112,5 кВт (15 л.с.)
Продукция винодельческой промышленности
Водка и ликероводочные изделия
Продукция спиртового производства
Приборы бытовые электрические нагревательные
Вычислительная техника
Программные средства и информационные продукты вычислительной техники
Фото- и киноаппаратура (кроме профессиональной). Аппаратура для измерения характеристик и обработки фото- и киноматериалов
Кино-, фото- и магнитные материалы
Оборудование для кондиционирования воздуха и вентиляции
Оборудование светотехническое и изделия электроустановочные. Лампы электрические. Изделия культурно-бытового назначения и хозяйственного обихода
Приборы времени
Продукция табачной промышленности
Продукция пивоваренной промышленности
Прочие 1,00
Продукция молочной и маслосыродельной промышленности 0,50
Продукция микробиологической и мукомольно-крупяной промышленности
Сувениры
Изделия для физкультуры, спорта и туризма
Продукция сахарной и хлебопекарной промышленности
Изделия макаронные
Продукция соляной промышленности
Продукция чайной промышленности
Инструменты музыкальные
Изделия художественных промыслов
Оборудование, инструмент и материалы для художников
Материалы художественные
Кисти художественные ученические
Галантерея текстильная
Предметы мелкой галантереи. Значки. Принадлежности канцелярские и школьно-письменные; для домашнего содержания рыб, птиц и зверей
Ручки автоматические
Карандаши механические
Наборы ручек автоматических и карандашей механических. Приборы письменные настольные
Устройства вспомогательные и принадлежности к средствам составления текстовых документов
Нитки и изделия ниточные
Продукция растениеводства, сельского и лесного хозяйства
Продукция полиграфической промышленности
Игрушки и украшения елочные 0,38
Товары для детей

При торговле смешанным ассортиментом товаров применяется максимальное значение коэффициента из числа значений коэффициентов, установленных по видам товаров, торговля которыми осуществляется на данном объекте торговли.

При торговле смешанным ассортиментом товаров в сельских населенных пунктах значение коэффициента устанавливается в размере 0,6.

Код вида продукции определяется по Общероссийскому классификатору продукции.

Таблица 4

Корректирующие коэффициенты базовой доходности при оказании услуг общественного питания (КП)

Место расположения объекта Корректирующие коэффициенты базовой доходности при оказании услуг общественного питания (Кп)
Рестораны, кафе, бары Столовые, закусочные, другие предприятия общественного питания (кроме ресторанов, кафе, баров) Столовые, расположенные в учреждениях социального обслуживания, здравоохранения; столовые, обслуживающие малоимущих граждан по спискам комитетов (управлений) социальной защиты населения Объекты организации общественного питания, не имеющие зала обслуживания посетителей
реализующие алкогольную продукцию не реализующие алкогольную продукцию
Город Ефремов 0,61 0,52 0,17 0,09 0,88
Поселки с населением свыше 5,0 тыс. человек 0,52 0,26 0,09 0,04 0,26
Поселки с населением менее 5,0 тыс. человек 0,44 0,22 0,09 0,026 0,22
Сельские населенные пункты с населением свыше 150 человек 0,35 0,17 0,04 0,02 0,117
Сельские населенные пункты с населением до 150 человек 0,26 0,09 0,026 0,009 0,09
Места, расположенные вне города и сельских населенных пунктов 0,87 0,78 0,52 - 1

Таблица 5

Коэффициент категории места расположения объекта стационарной или нестационарной торговой сети, объекта наружной рекламы, земельного участка

Описание места расположения объекта Категория Значение коэффициента Км
Гоголя ул., от ул. Свердлова до ул. Лермонтова 1 1
Горького ул., дома NN 2 - 68, 1 - 51 1 1
Дружбы ул., дома NN 6 - 8, 11, 13, 15, 17, 19, 21 1 1
Интернациональная ул. 1 1
Комсомольская ул., от ул. Лермонтова до ул. Горького 1 1
Красная площадь 1 1
Ленина ул., от ул. Лермонтова до пересечения ул. Землянского и Советская 1 1
Лермонтова ул. 1 1
Ленинградская ул., от ул. Октябрьская до ул. Дальняя 1 1
Мира ул. 1 1
Свердлова ул., от Красной площади до ул. Словацкого Восстания 1 1
Словацкого Восстания ул., от ул. Лермонтова до ул. Горького 1 1
Тульское шоссе ул. 1 1
Сельская территория с населением свыше 200 человек 1 1
Тургенева ул. 2 0,7
Газовая ул. 2 0,7
Гоголя ул., от ул. Горького до ул. Свердлова 2 0,7
Горького ул., дом N 70 2 0,7
Дружбы ул., дома NN 10, 12, 14, 16, 18, 20, 22 и далее 2 0,7
Комсомольская ул., от ул. Горького до ул. Красноармейская 2 0,7
Комсомольская ул., от ул. Ломоносова до ул. Лермонтова 2 0,7
Короткова ул. 2 0,7
Ленина ул., от ул. Ломоносова до ул. Лермонтова 2 0,7
Ленина ул., от пересечения с ул. Землянского и Советская до ул. Тульское шоссе 2 0,7
Ленинградская ул., от начала ул. до пересечения с ул. Октябрьская 2 0,7
Ломоносова ул. 2 0,7
Менделеева ул. 2 0,7
Словацкого Восстания ул., от ул. Горького до ул. Верхняя 2 0,7
Строителей ул. 2 0,7
Территория центрального рынка 2 0,7
Чернышевского ул. 2 0,7
Сельская территория с населением менее 200 человек 2 0,7
Прочая территория города 3 0,5

Примечания.

1. В диапазон номеров домов, если явно не указано иное, включаются дома, имеющие номера из указанного диапазона с дополнительным буквенным обозначением и (или) номером корпуса.

2. Местом расположения торгового объекта считать место расположения торговой точки, местом расположения объекта наружной рекламы считать место расположения рекламного шита, местом расположения земельного участка считать место расположения на соответствующем земельном участке торгового места в стационарной торговой сети, объекта нестационарной торговой сети, объекта организации общественного питания, не имеющего зала обслуживания посетителей.

Таблица 6

Корректирующие коэффициенты, учитывающие место расположения рекламного объекта на транспортном средстве (КМ)

Место расположения рекламного объекта на транспортном средстве Коэффициент, учитывающий место расположения рекламного объекта на транспортном средстве (Км)
1 борт 0,5
Крыша 0,25

Таблица 7

Корректирующие коэффициенты, учитывающие вид рекламного объекта (КР)

Вид рекламного объекта Коэффициент, учитывающий вид рекламного объекта (Кр)
Изображение, нанесенное непосредственно на кузов транспортного средства 1,0
Рекламные щиты 0,8
Электронные табло 0,6

РАЙОНЫ

Утвержден Решением Собрания представителей муниципального образования Алексинский район
от 28.09.2005 N 4(24).26 (ред. от 12.11.2014)
Решением Собрания представителей муниципального образования Алексинский район
от 15.11.2012 N 14(48).8 (ред. от 28.11.2016)

АЛЕКСИНСКИЙ

Единый налог вводится в отношении следующих видов предпринимательской деятельности:

1) при оказании бытовых услуг, их групп, подгрупп, видов и (или) отдельных бытовых услуг, классифицируемых в соответствии с Общероссийским классификатором услуг населению;

2) при оказании ветеринарных услуг;

3) при оказании услуг по ремонту, техническому обслуживанию и мойке автомототранспортных средств;

4) при оказании услуг по предоставлению во временное владение (пользование) мест для стоянки автомототранспортных средств, а также по хранению автомототранспортных средств на платных стоянках (за исключением штрафных автостоянок);

5) при оказании автотранспортных услуг и перевозке пассажиров и грузов, осуществляемых организациями и индивидуальными предпринимателями, имеющими на праве собственности или ином праве (пользования, владения и (или) распоряжения) не более 20 транспортных средств, предназначенных для оказания таких услуг;

6) для розничной торговли, осуществляемой через магазины и павильоны с площадью торгового зала не более 150 квадратных метров по каждому объекту организации торговли;

7) для розничной торговли, осуществляемой через объекты стационарной торговой сети, не имеющей торговых залов, а также объекты нестационарной торговой сети;

8) при оказании услуг общественного питания, осуществляемых через объекты организации общественного питания с площадью зала обслуживания посетителей не более 150 квадратных метров по каждому объекту организации общественного питания;

9) при оказании услуг общественного питания, осуществляемых через объекты организации общественного питания, не имеющие зала обслуживания посетителей;

10) при распространении наружной рекламы с использованием рекламных конструкций;

11) при размещении рекламы с использованием внешних и внутренних поверхностей транспортных средств;

12) при оказании услуг по временному размещению и проживанию организациями и предпринимателями, использующими в каждом объекте предоставления данных услуг общую площадь помещений для временного размещения и проживания не более 500 квадратных метров;

13) при оказании услуг по передаче во временное владение и (или) в пользование торговых мест, расположенных в объектах стационарной торговой сети, не имеющих торговых залов, объектов нестационарной торговой сети, а также объектов организации общественного питания, не имеющих зала обслуживания посетителей;

14) при оказании услуг по передаче во временное владение и (или) в пользование земельных участков для размещения объектов стационарной и нестационарной торговой сети, а также объектов организации общественного питания.

К2 при оказании бытовых услуг (коды видов деятельности в соответствии с Общероссийским классификатором видов экономической деятельности и коды услуг в соответствии с Общероссийским классификатором продукции по видам экономической деятельности, относящихся к бытовым услугам, определяются Правительством Российской Федерации)

Определяется по формуле:

где:

Ку - коэффициент бытовых услуг, определяемый в соответствии со значениями, приведенными в Таблице 1;

Кт - коэффициент поселения, определяемый в соответствии со значениями, приведенными в Таблице 2.

При оказании налогоплательщиком одновременно нескольких наименований бытовых услуг, по которым установлены разные значения коэффициента Ку, значение коэффициента Ку определяется по формуле:

где:

Чв(1),..., Чв(i) - численность работников, занятых оказанием услуги, в отношении которой установлено значение коэффициента Ку;

Чоб - количество работников, занятых оказанием бытовых услуг;

Ку(1),..., Ку(i) - значения коэффициента Ку для отдельных бытовых услуг.

В случае оказания одним работником нескольких бытовых услуг, по которым установлены различные значения коэффициента Ку, учет этого работника производится по той бытовой услуге, по которой установлено максимальное значение коэффициента Ку;

К2 при оказании ветеринарных услуг

Определяется по формуле:

где:

Кт - коэффициент поселения, определяемый в соответствии со значениями, приведенными в Таблице 2;

К2 при оказании услуг по ремонту, техническому обслуживанию и мойке автомототранспортных средств

Определяется как величина, равная 0,5 (К2 = 0,5);

К2 при оказании услуг по предоставлению во временное владение (в пользование) мест для стоянки автомототранспортных средств, а также по хранению автомототранспортных средств на платных стоянках (за исключением штрафных автостоянок)

Определяется по формуле:

где:

Кт - коэффициент поселения, определяемый в соответствии со значениями, приведенными в Таблице 2;

К2 при оказании автотранспортных услуг по перевозке грузов, осуществляемых организациями и индивидуальными предпринимателями, имеющими на праве собственности или ином праве (пользования, владения и (или) распоряжения) не более 20 транспортных средств, предназначенных для оказания таких услуг

Определяется как величина, равная 1 (К2 = 1);

К2 при оказании автотранспортных услуг по перевозке пассажиров, осуществляемых организациями и индивидуальными предпринимателями, имеющими на праве собственности или ином праве (пользования, владения и (или) распоряжения) не более 20 транспортных средств, предназначенных для оказания таких услуг:

а) в транспортных средствах до 5 посадочных мест включительно - как величина, равная 1 (К2 = 1);

б) в транспортных средствах от 6 до 16 посадочных мест включительно - как величина, равная 0,62 (К2 = 0,62);

в) в транспортных средствах свыше 16 посадочных мест - как величина, равная 0,5 (К2 = 0,5);

К2 для розничной торговли

Осуществляемой через:

а) магазины и павильоны с площадью торгового зала не более 150 квадратных метров по каждому объекту организации торговли и через объекты стационарной торговой сети, не имеющей торговых залов, - по формуле:

где:

Кт - коэффициент поселения, определяемый в соответствии со значениями, приведенными в Таблице 2;

Км - коэффициент категории места расположения объекта стационарной или нестационарной торговой сети, определяемый в соответствии со значениями, приведенными в Таблице 2

Категория места расположения объекта стационарной или нестационарной торговой сети определяется согласно Таблице 5;

Кв - коэффициент вида товара, определяемый в соответствии со значениями, приведенными в Таблице 3

б) объекты нестационарной торговой сети - по формуле:

где:

Кт - коэффициент поселения, определяемый в соответствии со значениями, приведенными в Таблице 2;

Км - коэффициент категории места расположения объекта стационарной или нестационарной торговой сети, определяемый в соответствии со значениями, приведенными в Таблице 2.

Категория места расположения объекта стационарной или нестационарной торговой сети определяется согласно Таблице 5;

Кв - коэффициент вида товара, определяемый в соответствии со значениями, приведенными в Таблице 3;

Кп - коэффициент фактического периода времени осуществления предпринимательской деятельности, определяемый как отношение количества календарных дней ведения предпринимательской деятельности в течение календарного месяца налогового периода к количеству календарных дней в данном календарном месяце налогового периода;

К2 при оказании услуг общественного питания, осуществляемых через объекты организации общественного питания:

а) с площадью зала обслуживания посетителей не более 150 квадратных метров по каждому объекту организации общественного питания - по формуле:

где:

Кт - коэффициент поселения, определяемый в соответствии со значениями, приведенными в Таблице 2;

Ко - коэффициент общественного питания, определяемый в соответствии со значениями, приведенными в Таблице 4;

б) не имеющие зала обслуживания посетителей - как величина, равная 1 (К2 = 1);

К2 при распространении наружной рекламы с использованием рекламных конструкций и размещении рекламы с использованием внешних и внутренних поверхностей транспортных средств

Определяется как величина, равная 0,7 (К2 = 0,7);

К2 при оказании услуг по временному размещению и проживанию организациями и предпринимателями, использующими в каждом объекте предоставления данных услуг общую площадь помещений для временного размещения и проживания не более 500 квадратных метров

Определяется как величина, равная 0,4 (К2 = 0,4);

К2 при оказании услуг по передаче во временное владение и (или) в пользование торговых мест, расположенных в объектах стационарной торговой сети, не имеющих торговых залов, объектов нестационарной торговой сети, а также объектов организации общественного питания, не имеющих зала обслуживания посетителей

Определяется как величина, равная 0,8 (К2 = 0,8);

К2 при оказании услуг по передаче во временное владение и (или) в пользование земельных участков для размещения объектов стационарной и нестационарной торговой сети, а также объектов организации общественного питания

Определяется как величина, равная 1 (К2 = 1).

Значение коэффициента К2 уменьшается в 2 раза для налогоплательщиков - инвалидов с детства, инвалидов I и II групп, индивидуально осуществляющих виды предпринимательской деятельности, указанные в пункте, без привлечения наемных работников.

Таблица 1

Коэффициент бытовых услуг (Ку)

Код по Общероссийскому классификатору видов экономической деятельности Вид экономической деятельности Коэффициент бытовых услуг (Ку)
из 01.61 Предоставление услуг в области растениеводства:
- защита растений от сельскохозяйственных вредителей (включая кроликов);
- защита садов, огородов и зеленых насаждений от вредителей и болезней по индивидуальному заказу населения
0,20
из 10.11.4 Выделка шкур животных по индивидуальному заказу населения 0,20
из 10.13.2 Изготовление и копчение колбас по индивидуальному заказу населения 0,20
из 10.31 Переработка картофеля по индивидуальному заказу населения 0,20
из 10.41 Переработка масло семян по индивидуальному заказу населения 0,20
из 10.61.2 Помол зерна по индивидуальному заказу населения 0,20
из 10.61.3 Обдирка круп по индивидуальному заказу населения 0,20
из 13.10.9 Переработка давальческой мытой шерсти на трикотажную пряжу по индивидуальному заказу населения 0,20
13.92.2 Пошив готовых текстильных изделий по индивидуальному заказу населения, кроме одежды
13.99.4 Изготовление прочих текстильных изделий по индивидуальному заказу населения, не включенных в другие группировки
14.11.2 Пошив одежды из кожи по индивидуальному заказу населения
14.12.2 Пошив производственной одежды по индивидуальному заказу населения 0,22
14.13.3 Пошив и вязание прочей верхней одежды по индивидуальному заказу населения
14.14.4 Пошив нательного белья по индивидуальному заказу населения
14.19.5 Пошив и вязание прочей одежды и аксессуаров одежды, головных уборов по индивидуальному заказу населения
14.20.2 Пошив меховых изделий по индивидуальному заказу населения
14.39.2 Изготовление прочих вязаных и трикотажных изделий, не включенных в другие группировки, по индивидуальному заказу населения
15.20.5 Пошив обуви и различных дополнений к обуви по индивидуальному заказу населения 0,26
25.99.3 Изготовление готовых металлических изделий хозяйственного назначения по индивидуальному заказу населения 0,29
31.02.2 Изготовление кухонной мебели по индивидуальному заказу населения 0,32
31.09.2 Изготовление прочей мебели и отдельных мебельных деталей, не включенных в другие группировки, по индивидуальному заказу населения 0,32
из 41.20 Работы по возведению жилых зданий:
- работы по строительству новых объектов, возведению пристроек, реконструкции и ремонту зданий;
- строительство индивидуальных домов;
- строительство хозяйственных построек; 0,62
- изготовление и сборка бревенчатых и брусчатых срубов;
- сборка щитовых домов заводского изготовления;
- строительство садовых домиков;
- пристройка к домам дополнительных помещений (веранд, туалетов и др.);
- строительство индивидуальных бань и душевых
   
- ремонт домов, квартир по заказам населения;
- переборка бревенчатых и брусчатых срубов;
- ремонт подвальных помещений, погребов; 0,26
- ремонт садовых (дачных) домиков;
- ремонт хозяйственных построек (сараев, навесов, летних кухонь и др.)
из 43.99.6 Ремонт и перекладка печей, очагов, дымоходов, газоходов по индивидуальному заказу населения 0,26
47.78.22 Сборка и ремонт очков в специализированных магазинах 0,20
из 58.19 Изготовление и печатание визитных карточек и пригласительных билетов на семейные торжества по индивидуальному заказу населения 0,20
74.20 Деятельность в области фотографии 0,30
77.2 Прокат и аренда предметов личного пользования и хозяйственно-бытового назначения 0,11
из 77.33 Прокат офисных машин и оборудования, включая вычислительную технику 0,66
81.21.1 Деятельность по уборке квартир и частных домов 0,11
из 81.22 Услуги по чистке печей и дымоходов по индивидуальному заказу населения 0,11
из 81.29.1 Санитарно-гигиеническая обработка помещений и сантехнического оборудования; чистка и дезинфекция кухонного оборудования по индивидуальному заказу населения 0,11
из 81.29.2 Очистка крутых кровель от снега и льда по индивидуальному заказу населения 0,11
из 81.29.9 Чистка сливных и канализационных решеток, труб и желобов, уход за декоративными изделиями из стекла, металла, дерева, кожи; уход за лепными и скульптурными украшениями; чистка жалюзи по индивидуальному заказу населения 0,11
из 82.19 Деятельность секретаря-референта, в том числе со знанием иностранного языка; услуги машинистки-стенографистки по индивидуальному заказу населения 0,11
из 88.10 Деятельность по присмотру за больными 0,11
из 88.91 Деятельность по присмотру за детьми 0,11
93.29.3 Организация обрядов (свадеб, юбилеев), в т.ч. музыкальное сопровождение 0,11
95.21 Ремонт электронной бытовой техники 0,24
95.22.1 Ремонт бытовой техники 0,22
95.22.2 Ремонт домашнего и садового оборудования 0,24
95.23 Ремонт обуви и прочих изделий из кожи 0,14
95.24.1 Ремонт мебели 0,32
95.29.4 Ремонт металлоизделий бытового и хозяйственного назначения 0,29
95.29.11 Ремонт одежды 0,11
95.29.12 Ремонт текстильных изделий 0,11
95.29.13 Ремонт трикотажных изделий 0,10
из 96.01 Стирка и химическая чистка текстильных и меховых изделий (кроме ОКПД 96.01.19.100) 0,26
   
Услуги прачечных (по ОКПД 96.01.19.100) 0,14
96.02 Предоставление услуг парикмахерскими и салонами красоты 0,45
96.03 Организация похорон и предоставление связанных с ними услуг 0,32
96.04 Услуги бань, душевых и саун; услуги соляриев по индивидуальному заказу населения:
- деятельность бань и душевых по предоставлению общегигиенических услуг;
- деятельность саун, соляриев
0,14

Таблица 2

Коэффициенты территории (Кт) и коэффициенты категории места расположения объекта стационарной или нестационарной торговой сети (Км)

1. Наименование населенного пункта Коэффициент территории (Кт) Коэффициент категории места расположения объекта стационарной или нестационарной торговой сети (Км)
г. Алексин 0,8 1,0 - 1 категория
0,7 - 2 категория
0,5 - 3 категория
с. Бунырево
д. Ботня
с. Егнышевка
д. Хатманово
0,49
п. Авангард
д. Александровка
д. Борисово
с. Пластово
с. Поповка
с. Сенево
с. Спас-Конино
с. Суходол
с. Шелепино
0,35
Иные сельские населенные пункты 0,15

Таблица 3

Коэффициент вида товара (Кв)

Вид товара по виду продукции Общероссийского классификатора продукции Коэффициент вида товара (Кв)
Кино-, фото- и магнитные материалы 0,96
Оборудование светотехническое и изделия электроустановочные. Лампы электрические. Изделия культурно-бытового назначения и хозяйственного обихода 0,96
Вычислительная техника 0,96
Приборы времени 0,96
Фото- и киноаппаратура (кроме профессиональной). Аппаратура для измерения характеристик и обработки фото- и киноматериалов 0,96
Мотоциклы с мощностью двигателя до 112,5 кВт (150 л.с.) 0,96
Оборудование для кондиционирования воздуха и вентиляции 0,96
Программные средства и информационные продукты вычислительной техники 0,96
Приборы бытовые электрические нагревательные 0,96
Меха, меховые и овчинно-шубные изделия (за исключением товаров для детей) 0,96
Продукция винодельческой промышленности 0,96
Водка и ликероводочные изделия 0,96
Продукция спиртового производства 0,96
Продукция пивоваренной промышленности 0,96
Продукция табачной промышленности 0,96
Изделия ювелирные, галантерея ювелирная и металлическая, изделия ритуально-обрядовые, награды, монеты 0,96
Прочие товары 0,78
Материалы художественные и вспомогательные 0,48
Ручки автоматические 0,48
Карандаши механические 0,48
Наборы ручек автоматических и карандашей механических. Приборы письменные настольные 0,48
Устройства вспомогательные и принадлежности к средствам составления текстовых документов 0,48
Нитки и изделия ниточные 0,48
Галантерея текстильная 0,48
Продукция сахарной и хлебопекарной промышленности 0,48
Изделия макаронные 0,48
Продукция чайной промышленности 0,48
Продукция соляной промышленности 0,48
Молоко и молочная продукция 0,48
Продукция микробиологической и мукомольно-крупяной промышленности 0,48
Продукция полиграфической промышленности 0,48
Сувениры 0,48
Изделия для физической культуры, спорта и туризма 0,48
Инструменты музыкальные 0,48
Кисти художественные ученические 0,48
Предметы мелкой галантереи, включая детские. Коляски детские. Значки. Принадлежности канцелярские и школьно-письменные. Принадлежности для домашнего содержания рыб, птиц и зверей 0,48
Изделия художественных промыслов 0,48
Оборудование, инструмент и материалы для художников 0,48
Продукция растениеводства, сельского и лесного хозяйства 0,48
Книги и брошюры 0,38
Картографическая продукция 0,38
Нотные издания 0,38
Издания для слепых 0,38
Игрушки и украшения елочные 0,38
Товары для детей 0,38

При торговле смешанным ассортиментом товаров применяется максимальное значение коэффициента Кв из числа значений коэффициентов, установленных по видам товаров, торговля которыми осуществляется на данном объекте торговли.

При торговле смешанным ассортиментом товаров в сельских населенных пунктах значение коэффициента Кв устанавливается равным 0,6.

Таблица 4

Коэффициенты услуг общественного питания (Ко)

Наименование населенного пункта Рестораны, кафе, бары Столовые, закусочные, другие предприятия общественного питания (кроме ресторанов, кафе, баров)
реализующие алкогольную продукцию не реализующие алкогольную продукцию
г. Алексин 1,0 0,7 0,35
с. Бунырево, с. Егнышевка 0,7 0,5 0,25
иные сельские населенные пункты 0,3 0,2 0,05

Таблица 5

Категория места расположения объекта стационарной или нестационарной торговой сети (Км)

Место расположения объекта Категория месторасположения
1. МКР "Шахтерский":
2. шоссе ген. Короткова;
ул. Тульская, дома N 121-а - 138 (кроме домов N 131 корпус 2, корпус 3, 133 корпус 2-а), 138 корпус 1;
МКР "Сельхозтехника":
ул. Болотова;
МКР "Старый город":
Базарная площадь;
МКР "Бор":
ул. 50 лет Октября, дома N 1 - 19;
ул. Юности, дом N 2;
ул. Санаторная;
МКР "Горушки":
ул. Арматурная, дома N 14 и N 17-а;
МКР "Соцгород":
ул. Мира, дома (кроме домов N 4 - 7/11);
ул. Ленина, дома N 1 - 13, 15, 17/18, 19/15;
ул. Северная, дома N 15 и 17;
ул. Героев Алексинцев, дома N 5, 6 и 6-а;
ул. Молодежная, дом N 4/1;
ул. Городская дорога;
ул. Железнодорожная;
ул. Баумана, дома N 7-а - 16;
ул. Пахомова, дома N 17 - 21/7;
МКР "Петровское":
ул. Металлистов, дома N 6, 15 и 47;
ул. Чехова, дома N 13-а - 19;
ул. Вересаева, дома N 2 и N 2-а
1 категория
МКР "Шахтерский":
ул. Энгельса;
ул. Тульская, дома N 5 - 121, 131 корпус 2,
131 корпус 3, 133 корпус 2-а;
ул. Дубравная;
МКР "Сельхозтехника":
ул. Солнечный проезд;
МКР "Старый город":
ул. Тульская, дома N 1 - 4;
ул. Советская;
пл. Свободы;
ул. Ломоносова;
ул. Кутузова;
ул. Муралова;
Кузнечный переулок;
МКР "Бор":
ул. 50 лет Октября (кроме домов N 1 - 19);
ул. Революции;
ул. Радбужская, дом N 3;
ул. Юности (кроме дома N 2);
МКР "Горушки":
ул. Рабочая;
ул. Центральная;
ул. 238 Дивизии;
Арматурная (кроме домов N 14 и N 17-а);
МКР "Соцгород":
ул. Ленина, дома N 14, 16, 18, 20 - 23, 27, 29, 31;
ул. Пахомова, дома N 7/12 - 16;
ул. Героев Алексинцев до дома N 15 включительно (кроме домов N 5, 6, 6-а);
ул. Пионерская;
пл. Победы;
ул. Баумана (кроме домов N 7-а - 16);
ул. Матросова;
ул. Октябрьская;
ул. Строителей;
ул. Северная (кроме домов N 15 и N 17);
МКР "Петровское":
ул. Металлистов (кроме домов N 6, 15 и N 47);
ул. Чехова (кроме домов N 13-а - 19);
ул. Вересаева (кроме домов N 2 и N 2-а)
2 категория
Иные улицы и участки улиц с номерами домов 3 категория

Утвержден Решением Собрания представителей муниципального образования Богородицкого района
от 29.11.2016 N 41-295

БОГОРОДИЦКИЙ

Единый налог вводится в отношении следующих видов предпринимательской деятельности:

1) при оказании бытовых услуг, их групп, подгрупп, видов и отдельных бытовых услуг, классифицируемых в соответствии с Общероссийским классификатором видов экономической деятельности, - по формуле:

где:

Ку - коэффициент бытовых услуг, определяется в соответствии со значениями, приведенными в Таблице 1;

Кт - коэффициент города (категории городского округа, городского или сельского поселения), определяется в соответствии со значениями, приведенными в Таблице 2.

В случае если при определении коэффициента К2 для бытовых услуг значения коэффициента К2 получаются менее 0,005, устанавливается коэффициент К2, равный 0,005;

2) при оказании ветеринарных услуг - по формуле:

где:

Ку = 1,18;

Кт - коэффициент города (категории городского округа, городского или сельского поселения), определяется в соответствии со значениями, приведенными в Таблице 2;

3) при оказании услуг по ремонту, техническому обслуживанию и мойке автотранспортных средств - по формуле:

где:

Ку = 1,4;

Кт - коэффициент города (категории городского округа, городского или сельского поселения), определяется в соответствии со значениями, приведенными в Таблице 2;

4) при оказании услуг по предоставлению во временное владение (в пользование) мест для стоянки автотранспортных средств, а также по хранению автотранспортных средств на платных стоянках (за исключением штрафных автостоянок) - по формуле:

где:

Ку = 1,4;

Кт - коэффициент города (категории городского округа, городского или сельского поселения), определяется в соответствии со значениями, приведенными в Таблице 2;

5) при оказании автотранспортных услуг по перевозке пассажиров и грузов, осуществляемых организациями и индивидуальными предпринимателями, имеющими на праве собственности или ином праве (пользования, владения и (или) распоряжения) не более 20 транспортных средств, предназначенных для оказания таких услуг, - по формуле:

а) по перевозке пассажиров на автотранспортных средствах:

- вместимостью до 8 посадочных мест (включительно) К2 = 1,0;

- вместимостью 8 и более посадочных мест К2 = 0,5;

б) по перевозке грузов К2 = 1,0;

6) для розничной торговли, осуществляемой через:

- магазины и павильоны с площадью торгового зала не более 150 квадратных метров по каждому объекту организации торговли;

- объекты стационарной торговой сети, не имеющей торговых залов, а также объекты нестационарной торговой сети - по формуле:

где:

Кт - коэффициент города (категории городского округа, городского или сельского поселения), определяется в соответствии со значениями, приведенными в Таблице 2;

Км - коэффициент категории места расположения объекта стационарной или нестационарной торговой сети, определяется из числа указанных для категорий городских и сельских поселений величин, приведенных в Таблице 2. Отнесение улиц и (или) домов к той или иной категории места расположения объекта стационарной или нестационарной торговой сети определяется в соответствии со значениями, приведенными в Таблице 2;

Кв - коэффициент вида товара, определяется в соответствии со значениями, приведенными в Таблице 3.

В случае если в течение налогового периода изменяется место расположения объекта нестационарной торговой сети, при расчете коэффициента К2 применяются максимальные значения коэффициентов Кт и Км для используемых мест расположения.

Значения коэффициента К2 уменьшаются в 2 раза:

- в случае одновременной реализации налогоплательщиком в течение квартала через магазины и павильоны продукции собственного производства и товаров при условии, что объем реализации за квартал продукции собственного производства составляет не менее 30 процентов от общего объема реализации за тот же квартал;

- для налогоплательщиков, заключивших с администрацией муниципального образования Богородицкий район соглашение на обслуживание не менее двух отдаленных, труднодоступных населенных пунктов товарами первой необходимости;

- для налогоплательщиков, осуществляющих в течение квартала наряду с реализацией товаров продажу (отпуск) товаров с оплатой по безналичному расчету яслям, детским садам, школам, интернатам, домам престарелых, больницам и другим учреждениям социального обслуживания, здравоохранения и образования, финансируемым из бюджетов различного уровня, при условии, что объем продажи (отпуска) товаров этим учреждениям за квартал составляет не менее 10 процентов от общего объема реализации товаров за тот же квартал. Перечень учреждений социального обслуживания определяется в соответствии с Федеральным законом от 10 декабря 1995 года N 195-ФЗ "Об основах социального обслуживания населения в Российской Федерации";

7) при оказании услуг общественного питания, осуществляемых через объекты организации общественного питания с площадью зала обслуживания посетителей не более 150 квадратных метров по каждому объекту организации общественного питания и объекты организации общественного питания, не имеющие зала обслуживания посетителей, - в соответствии со значениями, приведенными в приложении 4 к настоящему решению;

8) при распространении наружной рекламы с использованием рекламных конструкций - как величина, равная 0,1;

9) при размещении рекламы с использованием внешних и внутренних поверхностей транспортных средств - как величина, равная 0,1;

10) при оказании услуг по временному размещению и проживанию организациями и предпринимателями, использующими в каждом объекте предоставления данных услуг общую площадь помещений для временного размещения и проживания не более 500 квадратных метров, - по формуле:

где:

Кт - коэффициент города (категории городского округа, городского или сельского поселения), определяется в соответствии со значениями, приведенными в Таблице 2;

Км - коэффициент категории места расположения объекта, определяется из числа указанных для категорий городских и сельских поселений величин, приведенных в Таблице 2;

11) при оказании услуг по передаче во временное владение и (или) в пользование торговых мест, расположенных в объектах стационарной торговой сети, не имеющих торговых залов, объектов нестационарной торговой сети, а также объектов организации общественного питания, не имеющих зала обслуживания посетителей, в соответствии со значениями, приведенными в Таблице 5;

12) при оказании услуг по передаче во временное владение и (или) в пользование земельных участков для размещения объектов стационарной и нестационарной торговой сети, а также объектов организации общественного питания - как величина в соответствии со значениями, приведенными в Таблице 6.

Значение коэффициента К2 уменьшается в 2 раза для налогоплательщиков - инвалидов с детства, инвалидов I и II групп, индивидуально осуществляющих виды предпринимательской деятельности, указанные в настоящей статье, без привлечения наемных работников.

Налогоплательщик, имеющий право на уменьшение значения коэффициента К2 одновременно по нескольким основаниям, указанным в настоящей статье, может им воспользоваться только по одному основанию.

При отсутствии в Таблице 2 мест расположения объектов стационарной или нестационарной торговой сети и объектов оказания услуг по временному размещению и проживанию значение коэффициента Км устанавливается равным 1,0.

В случае если значение коэффициента К2 превышает 1,0, то при начислении суммы единого налога на вмененный доход применять значение коэффициента К2 равным 1,0.

Единый налог не применяется в отношении видов предпринимательской деятельности в случае осуществления их в рамках договора простого товарищества (договора о совместной деятельности) или договора доверительного управления имуществом, а также в случае осуществления их налогоплательщиками, отнесенными к категории крупнейших в соответствии со статьей 83 главы 14 Налогового кодекса Российской Федерации.

Единый налог не применяется в отношении видов предпринимательской деятельности, указанных в подпунктах 6-9, в случае, если они осуществляются организациями и индивидуальными предпринимателями, перешедшими в соответствии с главой 26.1 Налогового кодекса Российской Федерации на уплату единого сельскохозяйственного налога, и указанные организации и индивидуальные предприниматели реализуют через свои объекты организации торговли и (или) общественного питания произведенную ими сельскохозяйственную продукцию, включая продукцию первичной переработки, произведенную ими из сельскохозяйственного сырья собственного производства.

Таблица 1

Коэффициенты бытовых услуг (Ку)

Код по Общероссийскому классификатору Наименование услуг Коэффициент бытовых услуг (Ку)
95.23 Ремонт обуви и прочих изделий из кожи 1,25
95.29.1 ремонт одежды и текстильных изделий 0,75
95.2 ремонт предметов личного потребления и хозяйственно-бытового назначения 0,2
96.01 Стирка и химическая чистка текстильных и меховых изделий 0,22
43.3 Работы строительные отделочные 1,42
74.2 Деятельность в области фотографии 1,25
96.09 Предоставление прочих персональных услуг, не включенных в другие группировки 0,5
96.04 Деятельность физкультурно-оздоровительная 0,5
96.02 Предоставление услуг парикмахерскими и салонами красоты 1,42
77.2 Прокат и аренда предметов личного потребления и хозяйственно-бытового назначения 1,42
96.03 Организация похорон и связанных с ними услуг 1,25

При оказании налогоплательщиком одновременно нескольких бытовых услуг, по которым установлены разные значения коэффициента Ку, значение коэффициента Ку определяется по формуле:

Чв(1), ... Чв(i) - численность работников, занятых оказанием услуги, в отношении которой установлено значение коэффициента Ку;

Чоб. - количество работников, занятых оказанием бытовых услуг;

Ку(1), ... Ку(i) - значения коэффициента Ку для отдельных бытовых услуг.

В случае оказания одним работником нескольких бытовых услуг, по которым установлены различные значения коэффициента Ку, учет этого работника производится по той бытовой услуге, по которой установлено максимальное значение коэффициента Ку.

Таблица 2

Коэффициенты городов (категории городского округа, городского или сельского поселения) (Кт) и коэффициенты категории места расположения объекта стационарной или нестационарной торговой сети и объектов оказания услуг по временному размещению и проживанию (Км)

Категория городского или сельского поселения Коэффициент категории городского или сельского поселения (Кт) Места расположения объектов стационарной или нестационарной торговой сети и объектов оказания услуг по временному размещению и проживанию Коэффициент категории места расположения объекта (Км)
Муниципальное образование город Богородицк Богородицкого района 0,7 ул. Пролетарская;
ул. 10 Армии;
ул. Коммунаров;
ул. Интернациональная;
ул. Пушкинская;
ул. Победы;
ул. Свободы;
ул. Комсомольская;
ул. К. Маркса;
ул. Макаренко;
ул. Володарского;
ул. Шахтная;
переулок Шахтный;
проезд Шахтный;
ул. Ленина;
ул. Урицкого;
ул. Луначарского;
ул. Дачная;
ул. Гончарная;
проезд Заводской;
Западный микрорайон:
переулок Школьный;
ул. М. Горького;
ул. Бродовского;
ул. Садовая от ул. Урицкого по д. N 5;
проезд 2-й Магистральный;
на территории г. Богородицк Богородицкого района: павильоны, палатки, киоски;
на автомагистрали "Москва - Дон":
в придорожной полосе либо в пределах 150 метров от придорожной полосы
1,0 - 1 категория
0,7 ул. Садовая от д. N 6, переулок Садовый, ул. Октябрьская, ул. Энгельса 0,8 - 2 категория
0,7 переулок Урицкого;
ул. Волынкина;
ул. Полевая;
ул. Защитная;
ул. 30 лет Победы;
Восточный микрорайон:
ул. Вересаева;
ул. Спортивная;
ул. Восточная;
ул. Юности;
проезд Иевлевский
0,7 - 3 категория
0,7 микрорайон Жданковский;
территория совхоза колледжа
0,6 - 4 категория
0,7 ул. 1-я Лесоторговая 0,5 - 5 категория
0,7 ул. Пригородная;
ул. Кирпичная;
ул. 9 Мая;
ул. Железнодорожная;
ул. Механическая;
ул. Тургеневская;
ул. Есенина;
ул. Овражная;
микрорайон Дачный;
микрорайон Лесной;
ул. Заводская;
переулок Вязовский;
ул. 8 Марта;
ул. Вязовская;
ул. Луговая;
ул. Южная;
переулок Труда;
переулок Пионеров;
ул. Пионеров;
ул. Л. Толстого;
переулок 1-й Горняцкий;
переулок 2-й Горняцкий;
переулок 3-й Горняцкий;
переулок 4-й Горняцкий;
ул. Воронежская;
ул. Лесная;
ул. Поддубная;
ул. Рабочая;
переулок Дорожный;
проезд Дорожный;
проезд Рабочий;
ул. Центральная;
ул. Первомайская;
ул. Уклонка;
ул. Кольцевая;
ул. Диагональная;
ул. Труда;
ул. Горная;
ул. Низовая;
ул. Песочная;
переулок 1-й Первомайский;
переулок 2-й Первомайский;
переулок Горный;
переулок Песочный;
переулок Центральный
0,3 - 6 категория
0,7 микрорайон Суходольский 0,2 - 7 категория
0,7 микрорайон Коптевский
Муниципальное образование Товарковское Богородицкого района 0,5 ул. Строителей;
ул. Кирова (с д. 1 по д. 5);
ул. Советская;
ул. Базарная;
на территории поселка Товарковский Богородицкого района:
павильоны, палатки, киоски
1,0 - 1 категория
0,5 ул. Советская, кроме д. 1, 2, 2-а, 10;
ул. Кирова, с д. 6 до д. 74
0,8 - 2 категория
0,5 ул. Кирова (с д. 75 по д. 165);
ул. Шахта 33;
ул. Энергетиков;
ул. Трудовая
0,6 - 4 категория
0,5 ул. Пролетарская;
ул. Транспортная;
ул. Станционная;
ул. Прудная;
переулок Парковый
0,5 - 5 категория
0,5 объекты, расположенные в селе Товарково, селе Кузовка, селе Ломовка 0,2 - 7 категория
объекты, расположенные в других населенных пунктах муниципального образования Товарковское Богородицкого района 0,2 - 7 категория
Муниципальное образование Бегичевское Богородицкого района 0,3 ул. Пушкинская;
ул. Первомайская;
ул. Гайдара;
ул. Советская
0,8 - 2 категория
0,3 микрорайон Красницкий;
поселок Романцевский
0,3 - 6 категория
объекты, расположенные в других населенных пунктах муниципального образования Бегичевское Богородицкого района 0,2 - 7 категория
Муниципальное образование Бахметьевское Богородицкого района 0,2 объекты, расположенные в селе Бахметьево, селе Красные Буйцы, поселке Кичевский, селе Малевка, селе Папоротка 0,6 - 4 категория
объекты, расположенные в других населенных пунктах муниципального образования Бахметьевское Богородицкого района 0,2 - 7 категория
Муниципальное образование Иевлевское Богородицкого района 0,2 объекты, расположенные в селе Иевлево, селе Новопокровское, хутор Александринский 0,6 - 4 категория
объекты, расположенные в других населенных пунктах муниципального образования Иевлевское Богородицкого района 0,2 - 7 категория

Таблица 3

Коэффициенты вида товара (Кв)

Код по Общероссийскому классификатору продукции по видам экономической деятельности Вид продукции по Общероссийскому классификатору продукции по видам экономической деятельности Коэффициент вида продукции (Кв)
29.10.2 Автомобили легковые 1,0
20.59.11 Фотопластинки и фотопленки, фотопленки для моментальных фотоснимков, светочувствительные, неэкспонированные; фотобумаги 1,00
20.59.11.110 Фотопластинки и фотопленки светочувствительные, неэкспонированные 1,00
20.59.11.130 Фотобумаги 1,00
26.80.11.000 Носители данных магнитные без записи, кроме магнитных карт 1,00
26.80.14.000 Карты магнитные 1,00
20.59.12.110 Эмульсии фотографические 1,00
26.70.19.000 Части и принадлежности фотографического оборудования 1,00
17.21.1 Бумага и картон гофрированные и тара бумажная и картонная 1,00
26.20 Компьютеры и периферийное оборудование 1,00
26.20.1 Компьютеры, их части и принадлежности 1,00
26.20.14.000 Машины вычислительные электронные цифровые, поставляемые в виде систем для автоматической обработки данных 1,00
26.20.40.190 Комплектующие и запасные части для вычислительных машин прочие, не включенные в другие группировки 1,00
26.20.13.000 Машины вычислительные электронные цифровые, содержащие в одном корпусе центральный процессор и устройство ввода и вывода, объединенные или нет для автоматической обработки данных 1,00
28.23.13 Машины счетные, аппараты контрольно-кассовые, машины почтовые франкировальные, машины билетопечатающие и аналогичные машины со счетными устройствами 1,00
28.23.13.190 Машины, содержащие счетные устройства, прочие, не включенные в другие группировки 1,00
28.23.13.110 Машины счетные 1,00
28.23.13.140 Машины билетопечатающие 1,00
26.20.21.110 Устройства запоминающие внутренние 1,00
26.20.40.110 Устройства и блоки питания вычислительных машин 1,00
26.20.40.120 Элементы замены типовые устройств ввода и вывода 1,00
26.20.21.120 Устройства запоминающие внешние 1,00
26.20.17.110 Мониторы, подключаемые к компьютеру 1,00
26.20.16 Устройства ввода или вывода, содержащие или не содержащие в одном корпусе запоминающие устройства 1,00
26.20.16.140 Терминалы ввода/вывода данных 1,00
26.20.16.120 Принтеры 1,00
26.20.16.190 Устройства ввода/вывода данных прочие 1,00
26.20.30.000 Устройства автоматической обработки данных прочие 1,00
26.20.40.130 Инструменты и принадлежности для вычислительных машин 1,00
26.52 Часы всех видов 1,00
26.52.12.110 Часы наручные и карманные механические прочие 1,00
26.52.11.110 Часы наручные и карманные механические с корпусом из драгоценного металла или металла, плакированного драгоценным металлом 1,00
26.52.14.000 Часы, не предназначенные для ношения на себе или с собой, с часовым механизмом для часов, предназначенных для ношения на себе или с собой; будильники и настенные часы; часы прочие 1,00
26.52.13 Часы, устанавливаемые на приборных панелях, и аналогичные часы для транспортных средств 1,00
26.52.12.140 Секундомеры 1,00
26.52.28.140 Переключатели временные с часовым механизмом всех видов 1,00
26.52.25.000 Механизмы часовые, укомплектованные несобранные, неукомплектованные и предварительно грубо собранные для часов, не предназначенных для ношения на себе или с собой 1,00
26.52.27.000 Части часов всех видов прочие 1,00
26.52.12.120 Часы наручные и карманные электронно-механические прочие 1,00
26.52.11.120 Часы наручные и карманные электронно-механические с корпусом из драгоценного металла или металла, плакированного драгоценным металлом 1,00
26.52.12.130 Часы наручные и карманные электронные прочие 1,00
26.52.11.130 Часы наручные и карманные электронные с корпусом из драгоценного металла или металла, плакированного драгоценным металлом 1,00
26.51.66.190 Инструменты, приборы и машины для измерения или контроля прочие, не включенные в другие группировки 1,00
28.99.39.190 Оборудование специального назначения прочее, не включенное в другие группировки 1,00
26.70.16.110 Кинопроекторы 1,00
28.99.52.000 Части прочего оборудования специального назначения 1,00
26.70.11 Объективы для фотокамер, кинокамер, проекторов или фотоувеличителей, или фотооборудования для проецирования изображения с уменьшением 1,00
26.70.11.110 Объективы для фотокамер 1,00
26.70.11.120 Объективы для кинокамер 1,00
26.70.11.130 Объективы для проекторов 1,00
26.70.11.140 Объективы для фотоувеличителей или фотооборудования для проецирования изображения с уменьшением 1,00
26.70.14 Фотокамеры с моментальным получением готового снимка и прочие фотокамеры 1,00
26.70.14.190 Фотокамеры прочие 1,00
30.91.1 Мотоциклы и мотоциклетные коляски 1,00
28.25 Оборудование промышленное холодильное и вентиляционное 1,00
28.25.20.110 Вентиляторы общего назначения 1,00
28.25.20.111 Вентиляторы осевые 1,00
28.25.20.119 Вентиляторы общего назначения прочие 1,00
28.25.20.190 Вентиляторы прочие, кроме настольных, напольных, настенных, оконных, потолочных или вентиляторов для крыш 1,00
28.25.12 Оборудование для кондиционирования воздуха 1,00
28.25.12.110 Кондиционеры промышленные 1,00
28.25.12.120 Кондиционеры для транспортных средств 1,00
28.25.30.110 Комплектующие (запасные части) холодильного и морозильного оборудования, не имеющие самостоятельных группировок 1,00
27.52.13.000 Воздухонагреватели или распределительные устройства для подачи горячего воздуха неэлектрические из черных металлов, не включенные в другие группировки 1,00
58.2 Услуги по изданию программного обеспечения 1,00
58.29.11.000 Системы операционные на электронном носителе 1,00
58.29.14.000 Средства разработки инструментальные и программное обеспечение языков программирования на электронном носителе 1,00
58.29.29.000 Обеспечение программное прикладное прочее на электронном носителе 1,00
58.29.13.000 Обеспечение программное для администрирования баз данных на электронном носителе 1,00
62.01.29.000 Оригиналы программного обеспечения прочие 1,00
58.11.30.120 Книги профессиональные, технические и научные в электронной форме 1,00
58.11.30.140 Словари и энциклопедии в электронной форме 1,00
58.29.31.000 Обеспечение программное системное для загрузки 1,00
27.51 Приборы бытовые электрические 1,00
27.51.24.110 Электрочайники 1,00
27.51.24.120 Электрокофеварки 1,00
27.51.23.130 Утюги электрические 1,00
15.11.10 Шкурки меховые дубленые или выделанные 1,00
15.11.10.130 Шкурки меховые выделанные ягнят астраханской, курдючной, каракульской, персидской и аналогичных пород, а также ягнят индийской, китайской, монгольской или тибетской пород целые, с головой, хвостом или лапами или без них, несобранные 1,00
15.11.10.132 Каракуль чистопородный черный 1,00
15.11.10.131 Каракуль чистопородный серый 1,00
15.11.10.133 Каракуль чистопородный цветной 1,00
15.11.10.135 Каракульча 1,00
15.11.10.139 Шкурки меховые выделанные ягнят прочие 1,00
15.11.10.136 Смушка 1,00
15.11.10.137 Яхобаб 1,00
15.11.10.250 Шкурки ягнят всех пород овец (кроме каракулево-смушковой) и козлят выделанные целые, с головой, хвостом или лапами или без них, несобранные 1,00
15.11.10.251 Мерлушка 1,00
15.11.10.252 Клям 1,00
15.11.10.253 Муаре 1,00
15.11.10.254 Трясок 1,00
15.11.10.255 Сак-сак 1,00
15.11.10.256 Лямка 1,00
15.11.10.257 Козлик меховой 1,00
15.11.10.240 Овчина меховая и шубная выделанная целая, с головой, хвостом или лапами или без них, несобранная 1,00
15.11.10.241 Овчина меховая выделанная тонкорунная 1,00
15.11.10.242 Овчина меховая выделанная полутонкорунная 1,00
15.11.10.243 Овчина меховая выделанная полугрубая 1,00
15.11.10.390 Шкурки меховые выделанные целые, с головой, хвостом или лапами или без них, несобранные, прочие, не включенные в другие группировки 1,00
15.11.10.180 Шкурки тюленя меховые выделанные целые, с головой, хвостом или лапами или без них, несобранные 1,00
15.11.10.220 Шкурки сурка меховые выделанные целые, с головой, хвостом или лапами или без них, несобранные 1,00
15.11.10.120 Шкурки кролика или зайца меховые выделанные целые, с головой, хвостом или лапами или без них, несобранные 1,00
15.11.10.360 Шкурки белки меховые выделанные целые, с головой, хвостом или лапами или без них, несобранные 1,00
15.11.10.150 Шкурки ондатры меховые выделанные целые, с головой, хвостом или лапами или без них, несобранные 1,00
15.11.10.210 Шкурки нутрии меховые выделанные целые, с головой, хвостом или лапами или без них, несобранные 1,00
15.11.10.140 Шкурки бобра меховые выделанные целые, с головой, хвостом или лапами или без них, несобранные 1,00
15.11.10.350 Шкурки енота меховые выделанные целые, с головой, хвостом или лапами или без них, несобранные 1,00
15.11.10.170 Шкурки песца меховые выделанные целые, с головой, хвостом или лапами или без них, несобранные 1,00
15.11.10.160 Шкурки лисицы меховые выделанные целые, с головой, хвостом или лапами или без них, несобранные 1,00
15.11.10.230 Шкурки диких животных семейства кошачьих меховые выделанные целые, с головой, хвостом или лапами или без них, несобранные 1,00
15.11.10.280 Шкурки соболя меховые выделанные целые, с головой, хвостом или лапами или без них, несобранные 1,00
15.11.10.310 Шкурки куницы меховые выделанные целые, с головой, хвостом или лапами или без них, несобранные 1,00
15.11.10.110 Шкурки норки меховые выделанные целые, с головой, хвостом или лапами или без них, несобранные 1,00
15.11.10.270 Шкурки горностая меховые выделанные целые, с головой, хвостом или лапами или без них, несобранные 1,00
15.11.10.340 Шкурки хоря меховые выделанные целые, с головой, хвостом или лапами или без них, несобранные 1,00
15.11.10.320 Шкурки выдры меховые выделанные целые, с головой, хвостом или лапами или без них, несобранные 1,00
15.11.10.190 Шкурки калана меховые выделанные целые, с головой, хвостом или лапами или без них, несобранные 1,00
14.20 Изделия меховые 1,00
14.20.10.111 Пальто мужские с верхом из натурального меха 1,00
14.20.10.161 Пальто мужские с верхом из натуральной кожи, подкладка меховая 1,00
14.20.10.221 Пальто мужские с верхом из хлопчатобумажных тканей, подкладка меховая 1,00
14.20.10.281 Пальто мужские с верхом из шерстяных тканей, подкладка меховая 1,00
14.20.10.351 Пальто мужские нагольные 1,00
14.20.10.451 Пальто мужские с верхом из хлопчатобумажных тканей, подкладка из шубной овчины 1,00
14.20.10.531 Пальто мужские с верхом из меха, комбинированного с другими материалами 1,00
14.20.10.112 Пальто женские с верхом из натурального меха 1,00
14.20.10.162 Пальто женские с верхом из натуральной кожи, подкладка меховая 1,00
14.20.10.222 Пальто женские с верхом из хлопчатобумажных тканей, подкладка меховая 1,00
14.20.10.282 Пальто женские с верхом из шерстяных тканей, подкладка меховая 1,00
14.20.10.352 Пальто женские нагольные 1,00
14.20.10.452 Пальто женские с верхом из хлопчатобумажных тканей, подкладка из шубной овчины 1,00
14.20.10.532 Пальто женские с верхом из меха, комбинированного с другими материалами 1,00
14.20.10.121 Полупальто мужские с верхом из натурального меха 1,00
14.20.10.171 Полупальто мужские с верхом из натуральной кожи, подкладка меховая 1,00
14.20.10.231 Полупальто мужские с верхом из хлопчатобумажных тканей, подкладка меховая 1,00
14.20.10.311 Полупальто мужские с верхом из шерстяных тканей, подкладка меховая 1,00
14.20.10.361 Полупальто мужские нагольные 1,00
14.20.10.461 Полупальто мужские с верхом из хлопчатобумажных тканей, подкладка из шубной овчины 1,00
14.20.10.541 Полупальто мужские с верхом из меха, комбинированного с другими материалами 1,00
14.20.10.122 Полупальто женские с верхом из натурального меха 1,00
14.20.10.172 Полупальто женские с верхом из натуральной кожи, подкладка меховая 1,00
14.20.10.232 Полупальто женские с верхом из хлопчатобумажных тканей, подкладка меховая 1,00
14.20.10.312 Полупальто женские с верхом из шерстяных тканей, подкладка меховая 1,00
14.20.10.362 Полупальто женские нагольные 1,00
14.20.10.462 Полупальто женские с верхом из хлопчатобумажных тканей, подкладка из шубной овчины 1,00
14.20.10.131 Пиджаки мужские с верхом из натурального меха 1,00
14.20.10.241 Пиджаки мужские с верхом из хлопчатобумажных тканей, подкладка меховая 1,00
14.20.10.321 Пиджаки мужские с верхом из шерстяных тканей, подкладка меховая 1,00
14.20.10.371 Пиджаки мужские нагольные 1,00
14.20.10.471 Пиджаки мужские с верхом из хлопчатобумажных тканей, подкладка из шубной овчины 1,00
14.20.10.551 Пиджаки мужские с верхом из меха, комбинированного с другими материалами 1,00
14.20.10.132 Жакеты женские с верхом из натурального меха 1,00
14.20.10.242 Жакеты женские с верхом из хлопчатобумажных тканей, подкладка меховая 1,00
14.20.10.322 Жакеты женские с верхом из шерстяных тканей, подкладка меховая 1,00
14.20.10.372 Жакеты женские нагольные 1,00
14.20.10.472 Жакеты женские с верхом из хлопчатобумажных тканей, подкладка из шубной овчины 1,00
14.20.10.552 Жакеты женские с верхом из меха, комбинированного с другими материалами 1,00
14.20.10.141 Жилеты мужские с верхом из натурального меха 1,00
14.20.10.181 Жилеты мужские с верхом из натуральной кожи, подкладка меховая 1,00
14.20.10.251 Жилеты мужские с верхом из хлопчатобумажных тканей, подкладка меховая 1,00
14.20.10.331 Жилеты мужские с верхом из шерстяных тканей, подкладка меховая 1,00
14.20.10.381 Жилеты мужские нагольные 1,00
14.20.10.481 Жилеты мужские с верхом из хлопчатобумажных тканей, подкладка из шубной овчины 1,00
14.20.10.561 Жилеты мужские с верхом из меха, комбинированного с другими материалами 1,00
14.20.10.142 Жилеты женские с верхом из натурального меха 1,00
14.20.10.182 Жилеты женские с верхом из натуральной кожи, подкладка меховая 1,00
14.20.10.252 Жилеты женские с верхом из хлопчатобумажных тканей, подкладка меховая 1,00
14.20.10.332 Жилеты женские с верхом из шерстяных тканей, подкладка меховая 1,00
14.20.10.382 Жилеты женские нагольные 1,00
14.20.10.482 Жилеты женские с верхом из хлопчатобумажных тканей, подкладка из шубной овчины 1,00
14.20.10.562 Жилеты женские с верхом из меха, комбинированного с другими материалами 1,00
14.20.10.211 Куртки мужские с верхом из натуральной кожи, подкладка меховая 1,00
14.20.10.261 Куртки мужские с верхом из хлопчатобумажных тканей, подкладка меховая 1,00
14.20.10.341 Куртки мужские с верхом из шерстяных тканей, подкладка меховая 1,00
14.20.10.581 Куртки мужские с верхом из синтетических тканей, подкладка меховая 1,00
14.20.10.411 Куртки мужские нагольные 1,00
14.20.10.511 Куртки мужские с верхом из хлопчатобумажных тканей, подкладка из шубной овчины 1,00
14.20.10.571 Куртки мужские с верхом из меха, комбинированного с другими материалами 1,00
14.20.10.152 Куртки женские с верхом из натурального меха 1,00
14.20.10.262 Куртки женские с верхом из хлопчатобумажных тканей, подкладка меховая 1,00
14.20.10.342 Куртки женские с верхом из шерстяных тканей, подкладка меховая 1,00
14.20.10.582 Куртки женские с верхом из синтетических тканей, подкладка меховая 1,00
14.20.10.412 Куртки женские нагольные 1,00
14.20.10.512 Куртки женские с верхом из хлопчатобумажных тканей, подкладка из шубной овчины 1,00
14.20.10.572 Куртки женские с верхом из меха, комбинированного с другими материалами 1,00
14.20.10.420 Полушубки нагольные овчинно-шубные 1,00
14.20.10.520 Полушубки с верхом из хлопчатобумажных тканей, подкладка из шубной овчины 1,00
14.20.10.440 Бекеши нагольные овчинно-шубные 1,00
14.20.10.430 Тулупы нагольные овчинно-шубные 1,00
14.20.10.271 Костюмы мужские с верхом из хлопчатобумажных тканей, подкладка меховая 1,00
14.19.43.110 Уборы головные мужские или для мальчиков меховые 1,00
14.19.43.111 Уборы головные мужские или для мальчиков цельномеховые 1,00
14.19.43.112 Уборы головные мужские или для мальчиков меховые комбинированные с искусственной кожей 1,00
14.19.43.113 Уборы головные мужские или для мальчиков меховые комбинированные с натуральной кожей 1,00
14.19.43.114 Уборы головные мужские или для мальчиков меховые комбинированные с хлопчатобумажными тканями 1,00
14.19.43.115 Уборы головные мужские или для мальчиков меховые комбинированные с шерстяными тканями (сукном) 1,00
14.19.43.116 Уборы головные мужские или для мальчиков меховые комбинированные с искусственным мехом 1,00
14.19.43.117 Уборы головные мужские или для мальчиков меховые из шкурок кожаной тканью вверх 1,00
14.19.43.119 Уборы головные мужские или для мальчиков меховые комбинированные с другими материалами 1,00
14.19.43.120 Уборы головные женские или для девочек меховые 1,00
14.19.43.121 Уборы головные женские или для девочек цельномеховые 1,00
14.19.43.123 Уборы головные женские или для девочек меховые комбинированные с натуральной кожей 1,00
14.19.43.124 Уборы головные женские или для девочек меховые комбинированные с искусственным мехом 1,00
14.19.43.125 Уборы головные женские или для девочек меховые из шкурок кожаной тканью вверх 1,00
14.19.43.129 Уборы головные женские или для девочек меховые комбинированные с другими материалами 1,00
14.20.10.610 Воротники из натурального меха 1,00
14.20.10.611 Воротники мужские из натурального меха 1,00
14.20.10.612 Воротники женские из натурального меха 1,00
14.20.10.620 Пластины из шкурок и их частей, скрои из натурального меха 1,00
14.20.10.999 Изделия из меха прочие, не включенные в другие группировки 1,00
14.20.10.630 Уборы женские из натурального меха 1,00
14.20.10.631 Горжеты 1,00
14.20.10.632 Воротники на подкладке из тканей 1,00
14.20.10.633 Муфты 1,00
14.20.10.634 Палантины 1,00
14.20.10.635 Шарфы 1,00
14.20.10.636 Пелерины и полупелерины 1,00
14.19.31.121 Рукавицы мужские из натуральной кожи, подкладка меховая 1,00
14.20.10.641 Рукавицы мужские из хлопчатобумажных тканей, подкладка меховая 1,00
14.20.10.644 Рукавицы мужские из шерстяных тканей, подкладка меховая 1,00
14.20.10.651 Рукавицы мужские нагольные 1,00
14.20.10.647 Рукавицы мужские из хлопчатобумажных тканей, подкладка из шубной овчины 1,00
14.19.31.122 Рукавицы женские из натуральной кожи, подкладка меховая 1,00
14.20.10.642 Рукавицы женские из хлопчатобумажных тканей, подкладка меховая 1,00
14.20.10.645 Рукавицы женские из шерстяных тканей, подкладка меховая 1,00
14.20.10.652 Рукавицы женские нагольные 1,00
14.20.10.648 Рукавицы женские из хлопчатобумажных тканей, подкладка из шубной овчины 1,00
14.19.31.124 Перчатки мужские из натуральной кожи, подкладка меховая 1,00
14.20.10.654 Перчатки мужские нагольные 1,00
14.19.31.125 Перчатки женские из натуральной кожи, подкладка меховая 1,00
14.20.10.655 Перчатки женские нагольные 1,00
14.20.10.991 Мешки спальные меховые, в том числе с верхом из тканей 1,00
14.20.10.660 Чулки меховые 1,00
14.20.10.670 Носки меховые 1,00
14.20.10.671 Носки мужские из хлопчатобумажных тканей с меховой подкладкой 1,00
14.20.10.674 Носки мужские нагольные 1,00
14.20.10.672 Носки женские из хлопчатобумажных тканей с меховой подкладкой 1,00
14.20.10.675 Носки женские нагольные 1,00
14.20.10.992 Ковры меховые 1,00
14.20.10.993 Сувениры, украшения меховые 1,00
14.20.10.994 Покрывала, подушки, чехлы меховые 1,00
14.20.10.995 Изделия и принадлежности меховые для использования в технике, механизмах и в промышленных целях 1,00
15.11.10.710 Головы, хвосты, лапы и прочие части или обрезки, несобранные 1,00
11.02 Вина виноградные 1,00
11.02.12.110 Вина из свежего винограда, кроме вин игристых и газированных 1,00
11.04.10.120 Вина прочие из свежего винограда ароматизированные 1,00
11.02.11.120 Вина газированные из свежего винограда 1,00
11.02.11.111 Шампанское 1,00
11.02.11.110 Вина игристые из свежего винограда 1,00
11.02.11.119 Вина игристые прочие 1,00
11.03.10.111 Сидр 1,00
11.03.10.130 Вина плодовые прочие 1,00
11.03.10.112 Напитки медовые 1,00
11.01.10.140 Коньяки, коньячные напитки и спирты коньячные 1,00
11.02.12.120 Сусло виноградное 1,00
11.05.20.120 Отходы виноделия 1,00
11.05.20.121 Отходы виноградного виноделия 1,00
11.05.20.122 Отходы плодового виноделия 1,00
11.03.10.119 Напитки сброженные прочие, не включенные в другие группировки 1,00
11.03.10.120 Смеси из напитков, содержащих алкоголь 1,00
11.01.10 Напитки алкогольные дистиллированные 1,00
11.01.10.111 Водка 1,00
11.01.10.112 Спирт этиловый питьевой 1,00
11.01.10.120 Изделия ликеро-водочные крепкие крепостью 30% и выше 1,00
11.01.10.121 Ликеры крепостью 30% и выше 1,00
11.01.10.129 Изделия ликеро-водочные крепкие крепостью 30% и выше прочие 1,00
11.01.10.125 Настойки крепостью 30% и выше 1,00
11.01.10.122 Бальзамы 1,00
11.01.10.150 Наливки и настойки сладкие крепостью менее 30% 1,00
11.01.10.130 Изделия ликеро-водочные слабоградусные крепостью менее 30% 1,00
11.01.10.131 Ликеры крепостью менее 30% 1,00
11.01.10.139 Изделия ликеро-водочные слабоградусные крепостью менее 30% прочие 1,00
11.01.10.132 Настойки крепостью менее 30% 1,00
20.14.75.000 Спирт этиловый и прочие денатурированные спирты любой концентрации (крепости) 1,00
11.01.10.110 Водка и питьевой спирт 1,00
11.06.10 Солод 1,00
11.06.10.110 Солод ячменный пивоваренный 1,00
11.06.10.120 Солод ржаной 1,00
11.06.10.140 Солод кукурузный 1,00
11.05.10.110 Пиво 1,00
11.05.10 Пиво, кроме отходов пивоварения 1,00
11.06.10.190 Солод прочий 1,00
10.89.13.113 Дрожжи пивные 1,00
11.05.20.110 Отходы пивоварения 1,00
10.89.15.110 Соки и экстракты растительные 1,00
11.05.10.160 Напитки, изготавливаемые на основе пива (напитки пивные) 1,00
12.00.19.130 Табак гомогенизированный или восстановленный 1,00
Официальный источник электронного документа содержит неточность: имеется в виду код 12.00.19.170 "Табак гомогенизированный или восстановленный" Общероссийского классификатора продукции по видам экономической деятельности, утвержденного Приказом Росстандарта от 31.01.2014 N 14-ст.
12.00.20.110 Отходы переработки табачных листьев 1,00
12.00.11.140 Папиросы из табака или заменителей табака 1,00
12.00.11.130 Сигареты 1,00
12.00.11.110 Сигары, сигары с обрезанными концами (черуты) 1,00
12.00.19.110 Табак 1,00
12.00.19.150 Махорка 1,00
12.00.1 Изделия табачные (кроме отходов) 1,00
32.12.1 Изделия ювелирные и подобные 1,00
32.12.13 Изделия ювелирные и их части; ювелирные изделия из золота или ювелирные изделия из серебра и их части 1,00
32.12.13.110 Изделия ювелирные из золота и их части 1,00
32.12.13.120 Изделия ювелирные из серебра и их части 1,00
32.12.14.190 Изделия из драгоценных металлов прочие 1,00
32.12.14.130 Изделия из драгоценных или полудрагоценных камней 1,00
32.13.10.110 Бижутерия 1,00
32.12.14.120 Изделия из природного или культивированного жемчуга 1,00
23.13.13.140 Украшения для интерьера и аналогичные изделия из стекла 1,00
32.13.10.190 Изделия подобные бижутерии прочие 1,00
25.99.29.190 Изделия прочие из недрагоценных металлов, не включенные в другие группировки 1,00
16.29.13.120 Футляры для ювелирных или ножевых изделий и аналогичные изделия из дерева 1,00
Прочие 0,85
20.30.23.110 Краски для художников, учащихся или оформителей вывесок 0,45
20.30.23.120 Красители оттеночные 0,45
20.30.23.130 Краски любительские и аналогичные продукты 0,45
20.30.22.210 Пасты 0,45
20.30.22.220 Растворители и разбавители органические сложные; составы готовые для удаления красок и лаков (смывки) 0,45
27.90.11.000 Машины электрические и аппаратура специализированные 0,45
27.33.12.000 Патроны для ламп на напряжение не более 1 кВ 0,45
27.33.13.110 Разъемы и розетки штепсельные 0,45
27.33.13.190 Устройства коммутационные и/или предохранительные для электрических цепей прочие, не включенные в другие группировки 0,45
27.40.14.000 Лампы накаливания прочие, не включенные в другие группировки 0,45
27.40.13.000 Лампы накаливания мощностью 100 - 200 Вт, не включенные в другие группировки 0,45
27.40.15.130 Лампы инфракрасные 0,45
27.40.15.110 Лампы газоразрядные 0,45
27.40.15.114 Лампы люминесцентные 0,45
27.40.15.111 Лампы ртутные высокого давления 0,45
27.40.15.120 Лампы ультрафиолетовые 0,45
27.40.15.113 Лампы натриевые низкого давления 0,45
27.40.15.112 Лампы натриевые высокого давления 0,45
27.40.15.119 Лампы газоразрядные прочие 0,45
27.51.28 Печи прочие; варочные котлы, кухонные плиты, варочные панели; грили, жаровни 0,45
27.51.28.110 Печи бытовые электрические 0,45
27.51.28.130 Плиты кухонные электрические 0,45
27.51.24.130 Электрофритюрницы 0,45
27.51.28.140 Жаровни электрические 0,45
27.51.24.170 Электросковороды 0,45
27.51.27.000 Печи микроволновые 0,45
27.51.24 Приборы электронагревательные прочие 0,45
27.51.24.140 Электрокастрюли-скороварки 0,45
27.51.24.150 Электрокастрюли-пароварки 0,45
27.51.25.110 Водонагреватели проточные и накопительные электрические 0,45
27.51.24.160 Электросамовары 0,45
27.51.25.120 Кипятильники погружные электрические 0,45
27.51.26.110 Приборы отопительные электрические 0,45
27.51.14.000 Одеяла электрические 0,45
27.51.24.190 Приборы электронагревательные бытовые прочие, не включенные в другие группировки 0,45
27.90.31.110 Машины и оборудование электрические для пайки мягким и твердым припоем и сварки 0,45
32.99.41.110 Зажигалки сигаретные и прочие 0,45
27.51.23.110 Приборы нагревательные для укладки и завивки волос 0,45
27.11.2004 Трансформаторы электрические 0,45
Официальный источник электронного документа содержит неточность: имеется в виду код 27.11.4 "Трансформаторы электрические" Общероссийского классификатора продукции по видам экономической деятельности, утвержденного Приказом Росстандарта от 31.01.2014 N 14-ст.
27.51.21.119 Приборы электромеханические бытовые хозяйственные со встроенным электродвигателем прочие, не включенные в другие группировки 0,45
27.51.24.180 Электросоковыжималки 0,45
27.40.21.120 Фонари электрические переносные, работающие от батарей сухих элементов, аккумуляторов, магнето 0,45
27.40.41 Части ламп накаливания или газоразрядных ламп 0,45
27.40.42.000 Части светильников и осветительных устройств 0,45
27.51.30.000 Части бытовых электрических приборов 0,45
32.99.13.120 Авторучки 0,45
32.99.13.121 Авторучки перьевые 0,45
32.99.13.122 Авторучки шариковые 0,45
32.99.13.110 Ручки чертежные для туши 0,45
32.99.13.123 Фломастеры 0,45
32.99.13.130 Стилографы и прочие ручки 0,45
32.99.12.130 Карандаши механические 0,45
32.99.14.110 Наборы пишущих принадлежностей 0,45
32.99.14.130 Детали пишущих принадлежностей 0,45
26.51.32.190 Инструменты для черчения, разметки или математических расчетов прочие 0,45
17.23.13.194 Тетради школьные ученические 0,45
17.23.13.196 Тетради различного назначения 0,45
17.23.13.191 Блокноты, записные книжки и книги для записей 0,45
17.23.13.192 Альбомы и папки с бумагой (включая блоки) 0,45
17.23.14 Бумага и картон прочие, используемые для письма или печати или прочих графических целей, тисненые, гофрированные или перфорированные 0,45
13.96.14.192 Калька чертежная, полученная обработкой смолами хлопчатобумажных или льняных тканей 0,45
17.23.11.110 Бумага копировальная 0,45
17.23.13.199 Принадлежности канцелярские прочие из бумаги или картона, не включенные в другие группировки 0,45
17.23.14.120 Картон прочий, используемый для письма или печати или прочих графических целей, тисненый, гофрированный или перфорированный 0,45
17.23.14.110 Бумага прочая, используемая для письма или печати или прочих графических целей, тисненая, гофрированная или перфорированная 0,45
17.29.19.130 Бумага и картон фильтровальные 0,45
17.23.12.110 Конверты, письма-секретки 0,45
17.23.13.193 Папки и обложки из бумаги или картона 0,45
13.10.62.000 Нитки швейные хлопчатобумажные 0,45
13.10.1971 Пряжа льняная 0,45
Официальный источник электронного документа содержит неточность: имеется в виду код 13.10.71 "Пряжа льняная" Общероссийского классификатора продукции по видам экономической деятельности, утвержденного Приказом Росстандарта от 31.01.2014 N 14-ст.
13.10.71.110 Пряжа льняная 0,45
13.10.71.111 Пряжа льняная однониточная мокрого прядения 0,45
13.10.71.112 Пряжа льняная однониточная сухого прядения 0,45
13.10.71.113 Пряжа льняная крученая мокрого прядения 0,45
13.10.71.114 Пряжа льняная крученая сухого прядения 0,45
13.10.71.121 Пряжа оческовая однониточная мокрого прядения 0,45
13.10.71.190 Пряжа льняная прочая 0,45
13.10.71.123 Пряжа оческовая крученая мокрого прядения 0,45
13.10.72.111 Пряжа из джута 0,45
13.10.50.110 Пряжа шерстяная гребенного прядения, расфасованная для розничной продажи 0,45
13.10.40.120 Нитки шелковые 0,45
32.50.50.000 Изделия медицинские, в том числе хирургические, прочие 0,45
13.96.17.133 Материалы ленточные отделочные без вышивки, кроме трикотажных 0,45
13.96.16.190 Материалы и изделия технического назначения прочие, не включенные в другие группировки 0,45
13.94.12.130 Изделия из пряжи и лент, не включенные в другие группировки 0,45
13.96.16.110 Фитили текстильные 0,45
13.96.17.120 Ярлыки, этикетки, эмблемы и аналогичные изделия из текстильных материалов 0,45
13.96.17.131 Тесьма плетеная и шнуры 0,45
13.96.17.132 Шнуры оплетенные отделочные 0,45
13.96.17.190 Материалы отделочные и аналогичные изделия прочие, не включенные в другие группировки 0,45
13.99.11 Полотно тюлевое и прочие сетчатые полотна (кроме тканых, трикотажных или вязаных полотен); кружева в кусках, в лентах или в виде отдельных орнаментов 0,45
13.99.11.110 Полотно тюлевое 0,45
13.99.19.190 Изделия текстильные прочие, не включенные в другие группировки 0,45
13.99.11.130 Кружева в кусках в виде полос или отдельных аппликаций 0,45
14.14.25.130 Подтяжки, помочи, подвязки, аналогичные изделия и их части из любого текстильного материала (включая трикотажные или вязаные) 0,45
21.20.24.133 Бинты эластичные медицинские 0,45
14.19.23.120 Шали, шарфы, вуали, кроме трикотажных или вязаных 0,45
14.19.23.110 Платки носовые из текстильных материалов, кроме трикотажных или вязаных 0,45
14.19.23 Платки носовые, шали, шарфы, платки, вуали, галстуки, шейные платки, перчатки и прочие готовые аксессуары к одежде, детали одежды или аксессуаров к одежде из текстильных материалов, кроме трикотажных или вязаных, не включенные в другие группировки 0,45
14.19.23.210 Детали одежды или аксессуаров одежды из текстильных материалов, кроме трикотажных или вязаных, не включенные в другие группировки 0,45
13.92.29.190 Изделия текстильные готовые прочие, не включенные в другие группировки 0,45
13.92.13.111 Скатерти из хлопчатобумажных тканей 0,45
13.92.15.120 Шторы для интерьеров 0,45
13.92.13.112 Салфетки столовые из хлопчатобумажных тканей 0,45
13.92.12.113 Наволочки из хлопчатобумажных тканей 0,45
14.19.23.130 Галстуки, платки шейные, кроме трикотажных или вязаных 0,45
32.99.21.110 Зонты от дождя и солнца 0,45
13.94.12.110 Сети (кроме рыболовных) и сетки плетеные из бечевок, каната или веревок 0,45
32.99.55.000 Цветы искусственные, листья и фрукты, и их части 0,45
14.19.42.170 Сетки для волос 0,45
21.20.24 Материалы клейкие перевязочные, кетгут и аналогичные материалы, аптечки и сумки санитарные 0,45
13.20.44.120 Марля медицинская 0,45
21.20.24.120 Кетгут и аналогичные материалы 0,45
21.20.24.130 Бинты медицинские 0,45
21.20.24.150 Изделия медицинские ватно-марлевые 0,45
21.20.24.160 Материалы перевязочные и аналогичные изделия, пропитанные или покрытые лекарственными средствами 0,45
10.81 Сахар 0,45
10.81.11 Сахар-сырец свекловичный или тростниковый в твердом состоянии 0,45
10.81.11.110 Сахар-сырец свекловичный в твердом состоянии 0,45
10.81.11.120 Сахар-сырец тростниковый в твердом состоянии 0,45
10.81.12 Сахар белый свекловичный или тростниковый и химически чистая сахароза в твердом состоянии без вкусоароматических или красящих добавок 0,45
10.81.12.110 Сахар белый свекловичный в твердом состоянии без вкусоароматических или красящих добавок 0,45
10.81.12.120 Сахар белый тростниковый в твердом состоянии без вкусоароматических или красящих добавок 0,45
10.81.13.110 Сахар белый свекловичный в твердом состоянии со вкусоароматическими или красящими добавками 0,45
10.81.12.130 Сахароза химически чистая в твердом состоянии без вкусоароматических или красящих добавок 0,45
10.81.14 Меласса 0,45
10.81.14.110 Меласса свекловичная 0,45
10.81.14.120 Меласса из тростникового сахара-сырца 0,45
10.81.14.190 Меласса прочая 0,45
10.81.20.110 Жом свекловичный 0,45
10.81.20.190 Продукты сахарного производства побочные прочие 0,45
10.71.11 Изделия хлебобулочные недлительного хранения 0,45
10.71.11.110 Хлеб и хлебобулочные изделия недлительного хранения 0,45
10.86.10.590 Продукция диетическая прочая 0,45
10.72.19.130 Изделия хлебобулочные бараночные 0,45
10.72.19.190 Изделия хлебобулочные сухие или хлебобулочные изделия длительного хранения прочие, не включенные в другие группировки 0,45
10.72.11 Хлебцы хрустящие, сухари, гренки и аналогичные обжаренные продукты 0,45
10.72.11.000 Хлебцы хрустящие, сухари, гренки и аналогичные обжаренные продукты 0,45
10.73 Изделия макаронные, кускус и аналогичные мучные изделия 0,45
10.73.11.110 Макароны 0,45
10.73.11.120 Вермишель 0,45
10.73.11.130 Лапша 0,45
10.73.11.140 Изделия макаронные фигурные 0,45
10.73.11.150 Рожки 0,45
10.73.11.190 Изделия макаронные прочие 0,45
10.73.11.160 Перья 0,45
10.83.13 Чай зеленый (неферментированный), чай черный (ферментированный) и чай частично ферментированный, в упаковках массой не более 3 кг 0,45
10.83.13.120 Чай черный (ферментированный) в упаковках массой не более 3 кг 0,45
10.83.13.110 Чай зеленый (неферментированный) в упаковках массой не более 3 кг 0,45
10.83.13.130 Чай частично ферментированный в упаковках массой не более 3 кг 0,45
10.89.19.290 Продукты пищевые прочие, не включенные в другие группировки 0,45
10.83.14 Экстракты, эссенции, концентраты и готовые продукты на основе чая или мате 0,45
10.39.30.000 Сырье растительное, отходы и остатки растительные, продукты побочные 0,45
10.83.14.130 Концентраты на основе чая или мате 0,45
10.83.14.140 Продукты готовые на основе чая или мате 0,45
08.93.10.111 Соль глыбовая 0,45
08.93.10.112 Соль дробленка 0,45
10.84.30.120 Соль пищевая выварочная 0,45
10.84.30.140 Соль пищевая молотая 0,45
08.93.10.115 Соль денатурированная, соль для промышленных целей 0,45
08.93.10.130 Хлорид натрия чистый 0,45
10.51 Молоко и молочная продукция 0,45
10.51.30.110 Масло сливочное 0,45
10.51.30.111 Масло сладко-сливочное 0,45
10.51.30.112 Масло кисло-сливочное 0,45
10.51.30.113 Масло сливочное подсырное 0,45
10.51.30.300 Масло топленое 0,45
10.51.30.210 Пасты масляные 0,45
10.51.30.211 Паста масляная сладко-сливочная 0,45
10.51.30.212 Паста масляная кисло-сливочная 0,45
10.51.30.213 Паста масляная подсырная 0,45
10.51.30.130 Масло сливочное сухое 0,45
10.51.30.400 Жир молочный 0,45
10.51.11 Молоко, кроме сырого 0,45
10.51.11.140 Молоко питьевое стерилизованное 0,42
10.51.11.190 Молоко питьевое прочее, не включенное в другие группировки 0,45
10.86.10.100 Продукты молочные для детского питания 0,45
10.51.11.120 Молоко питьевое ультрапастеризованное (ультравысокотемпературно-обработанное) 0,45
10.51.11.130 Молоко питьевое топленое 0,45
10.86.10.110 Молоко питьевое для детского питания пастеризованное, стерилизованное и ультрапастеризованное (ультравысокотемпературно-обработанное) 0,45
10.86.10.130 Молоко сухое и смеси сухие молочные для детей раннего возраста 0,45
10.86.10.133 Смеси молочные адаптированные (заменители женского молока) в порошкообразной форме для детей раннего возраста 0,45
10.86.10.134 Смеси молочные последующие сухие для детей раннего возраста 0,45
10.86.10.136 Каши молочные сухие (восстанавливаемые до готовности в домашних условиях путем разведения питьевой водой) для детей раннего возраста 0,45
10.86.10.137 Напитки молочные сухие для детей раннего возраста 0,45
10.86.10.125 Продукты кисломолочные для детей раннего возраста 0,45
10.86.10.126 Творог и творожные продукты для детей раннего возраста 0,45
10.86.10.129 Продукты в жидкой форме прочие для детей раннего возраста 0,45
10.51.52 Продукты кисломолочные (кроме творога и продуктов из творога) 0,45
10.51.52.112 Ацидофилин 0,45
10.51.52.111 Йогурт 0,45
10.51.52.113 Ряженка и варенец 0,45
10.51.52.114 Кефир 0,45
10.51.52.115 Простокваша, в том числе мечниковская 0,45
10.51.52.116 Кумыс, кумысный продукт 0,45
10.51.52.117 Айран 0,45
10.51.12.120 Сливки питьевые 0,45
10.51.12.110 Сливки сырые 0,45
10.86.10.196 Сливки питьевые для детей дошкольного возраста и детей школьного возраста 0,45
10.51.12.130 Сливки взбитые 0,45
10.51.56.141 Напитки, коктейли, кисели сливочные 0,45
10.51.56.142 Желе, соусы, кремы, пудинги, муссы, пасты, суфле сливочные 0,45
10.51.56.143 Продукты сливочные, подвергнутые термической обработке после сквашивания 0,45
10.51.52.120 Сметана 0,45
10.51.52.121 Сметана от 9,0% до 14,0% жирности 0,45
10.51.52.122 Сметана от 15,0% до 19,0% жирности 0,45
10.51.52.123 Сметана от 20,0% до 24,0% жирности 0,45
10.51.52.124 Сметана от 25,0% до 29,0% жирности 0,45
10.51.52.125 Сметана от 30,0% до 34,0% жирности 0,45
10.51.52.126 Сметана от 35,0% до 48,0% жирности 0,45
10.51.52.127 Сметана от 50,0% до 58,0% жирности 0,45
10.51.56.154 Желе, соусы, кремы, пудинги, муссы, пасты, суфле творожные 0,45
10.51.56.152 Сырки творожные 0,45
10.51.56.151 Масса творожная 0,45
10.51.56.159 Продукты на основе творога прочие, не включенные в другие группировки 0,45
10.51.56.120 Напитки молочные 0,45
10.51.56.320 Желе, соусы, кремы, пудинги, муссы, пасты, суфле молокосодержащие 0,45
10.51.40.300 Творог 0,45
10.51.40.360 Творог зерненый 0,45
10.51.22 Молоко и сливки сухие, сублимированные, в том числе цельные 0,45
10.51.22.111 Молоко сухое от 2,0% до 12,0% жирности 0,45
10.51.22.112 Молоко сухое от 14,0% до 18,0% жирности 0,45
10.51.22.113 Молоко сухое цельное от 20,0% до 35,0% жирности 0,45
10.51.22.121 Молоко сублимированное от 14,0% до 18,0% жирности 0,45
10.51.22.122 Молоко сублимированное от 20,0% до 30,0% жирности 0,45
10.51.22.131 Сливки сухие от 42,0% до 60,0% жирности 0,45
10.51.22.132 Сливки сухие от 65,0% до 80,0% жирности 0,45
10.51.22.130 Сливки сухие 0,45
10.51.22.141 Сливки сублимированные от 35,0% до 49,0% жирности 0,45
10.51.22.142 Сливки сублимированные от 50,0% до 65,0% жирности 0,45
10.51.22.143 Сливки сублимированные от 67,0% до 72,0% жирности 0,45
10.51.56.211 Смеси сухие для сливочного мороженого и мороженого пломбир 0,45
10.51.56.212 Смеси сухие для молочного мороженого 0,45
10.51.56.220 Продукты сухие молочные 0,45
10.51.56.230 Продукты сухие сливочные 0,45
10.86.10.131 Молоко сухое моментального приготовления для детей раннего возраста 0,45
10.86.10.132 Молоко сухое, требующее термической обработки, для детей раннего возраста 0,45
10.86.10.135 Смеси кисломолочные сухие для детей раннего возраста 0,45
10.86.10.139 Смеси молочные сухие прочие для детей раннего возраста 0,45
10.51.56.240 Продукты кисломолочные сухие, сублимированные 0,45
10.51.56.241 Продукты кисломолочные сухие 0,45
10.51.56.242 Продукты кисломолочные сублимированные, кроме творожных и сметанных продуктов 0,45
10.51.56.243 Продукты сублимированные творожные 0,45
10.51.56.244 Продукты сублимированные сметанные 0,45
10.51.21.110 Молоко сухое не более 1,5% жирности 0,45
10.51.22.110 Молоко сухое 0,45
10.51.56.250 Пахта сухая и продукты сухие из пахты 0,45
10.51.56.251 Пахта сухая распылительной сушки 0,45
10.51.56.252 Пахта сухая сублимационной сушки 0,45
10.51.56.253 Продукты сухие из пахты 0,45
10.51.56.260 Заменитель цельного молока сухой для телят 0,45
10.51.56.270 Сыворотка сухая и продукты сухие из сыворотки 0,45
10.51.56.271 Сыворотка сухая распылительной сушки 0,45
10.51.56.272 Сыворотка сухая сублимационной сушки 0,45
10.51.56.273 Продукты сухие из сыворотки 0,45
10.51.40.100 Сыры 0,45
10.51.40.111 Сыры мягкие 0,45
10.51.40.112 Сыры полутвердые 0,45
10.51.40.113 Сыры твердые 0,45
10.51.40.114 Сыры сверхтвердые 0,45
10.51.40.141 Сыры плавленые ломтевые 0,45
10.51.40.142 Сыры плавленые пастообразные 0,45
10.51.40.130 Сыры рассольные 0,45
10.51.40.131 Сыры рассольные из коровьего молока 0,45
10.51.40.132 Сыры рассольные из овечьего молока 0,45
10.51.40.133 Сыры рассольные из молока других сельскохозяйственных животных или их смеси 0,45
10.51.40.115 Сыры сухие 0,45
10.51.40.150 Сыры сывороточно-альбуминные 0,45
10.51.40.220 Продукты сыроделия прочие, не включенные в другие группировки 0,45
10.51.40.221 Пасты сырные 0,45
10.51.40.222 Соусы сырные 0,45
10.51.56.300 Продукты и консервы молокосодержащие 0,45
10.51.56.310 Напитки, коктейли, кисели молокосодержащие 0,45
10.51.56.150 Продукты на основе творога 0,45
10.52.10.140 Мороженое с растительным жиром (заменителем молочного жира) 0,45
10.51.51.130 Консервы молокосодержащие сгущенные 0,45
10.51.51.131 Консервы молокосодержащие сгущенные с сахаром 0,45
10.51.51.133 Консервы молокосодержащие сгущенные с сахаром с вкусовыми компонентами 0,45
10.51.56.330 Консервы молокосодержащие. Продукты сухие, сублимационной сушки 0,45
10.51.56.331 Продукты сухие молокосодержащие 0,45
10.51.56.332 Консервы сухие молокосодержащие 0,45
10.51.56.333 Продукты сублимационной сушки молокосодержащие 0,45
10.51.56.334 Консервы сублимационной сушки молокосодержащие 0,45
10.51.56.335 Продукты, сквашенные сублимационной сушки молокосодержащие 0,45
10.51.56.336 Консервы и продукты сухие, сублимационной сушки молокосодержащие прочие 0,45
10.51.40.210 Продукты сырные 0,45
10.51.40.211 Продукты сырные мягкие 0,45
10.51.40.212 Продукты сырные полутвердые 0,45
10.51.40.213 Продукты сырные твердые 0,45
10.51.40.214 Продукты сырные сверхтвердые 0,45
10.51.40.219 Продукты сырные прочие 0,45
10.51.40.216 Продукты сырные рассольные 0,45
10.51.51.110 Консервы молочные сгущенные 0,45
10.51.51.113 Молоко сгущенное цельное с сахаром 0,45
10.51.51.122 Молоко сгущенное с сахаром и какао 0,45
10.51.51.121 Молоко сгущенное с сахаром и кофе 0,45
10.51.51.111 Молоко сгущенное стерилизованное 0,45
10.51.51.114 Молоко сгущенное обезжиренное с сахаром 0,45
10.51.51.112 Молоко цельное концентрированное стерилизованное 0,45
10.51.51.116 Сливки сгущенные с сахаром 0,45
10.51.51.125 Сливки сгущенные с сахаром и какао 0,45
10.51.51.124 Сливки сгущенные с сахаром и кофе 0,45
10.51.51.115 Сливки сгущенные стерилизованные 0,45
10.51.51 Молоко и сливки, сгущенные или с добавками сахара или других подслащивающих веществ, не сухие 0,45
10.52.10 Мороженое 0,45
10.52.10.110 Мороженое сливочное 0,45
10.52.10.111 Мороженое сливочное без наполнителей и добавок 0 45
10.52.10.112 Мороженое сливочное с наполнителями и добавками 0,45
10.52.10.113 Мороженое сливочное без наполнителей и добавок в глазури 0,45
10.52.10.114 Мороженое сливочное с наполнителями и добавками в глазури 0,45
10.52.10.120 Мороженое молочное 0,45
10.52.10.121 Мороженое молочное без наполнителей и добавок 0,45
10.52.10.122 Мороженое молочное с наполнителями и добавками 0,45
10.52.10.123 Мороженое молочное без наполнителей и добавок в глазури 0,45
10.52.10.124 Мороженое молочное с наполнителями и добавками в глазури 0,45
10.52.10.130 Мороженое кисломолочное 0,45
10.52.10.180 Торты, кексы, пирожные и десерты из мороженого 0,45
10.52.10.181 Торты из мороженого 0,45
10.52.10.182 Кексы из мороженого 0,45
10.52.10.183 Пирожные из мороженого 0,45
10.52.10.184 Десерты из мороженого 0,45
10.52.10.150 Мороженое пломбир 0,45
10.52.10.151 Мороженое пломбир без наполнителей и добавок 045
10.52.10.153 Мороженое пломбир без наполнителей и добавок в глазури 0,45
10.52.10.152 Мороженое пломбир с наполнителями и добавками 0,45
10.52.10.154 Мороженое пломбир с наполнителями и добавками в глазури 0,45
10.52.10.160 Мороженое мягкое 0,45
10.52.10.161 Мороженое мягкое молочное 0,45
10.52.10.162 Мороженое мягкое сливочное 0,45
10.52.10.163 Мороженое мягкое кисломолочное 0,45
10.52.10.164 Мороженое мягкое с растительным жиром (заменителем молочного жира) 0,45
10.52.10.170 Смеси для мягкого мороженого 0,45
10.52.10.171 Смеси для мягкого мороженого сухие 0,45
10.52.10.172 Смеси для мягкого мороженого жидкие 0,45
10.52.10.173 Смеси для мягкого мороженого сгущенные 0,45
10.51.53 Казеин 0,45
10.51.53.120 Казеин технический 0,45
10.51.53.110 Казеин пищевой 0,45
10.51.54.110 Сахар молочный 0,45
10.51.54.113 Сахар молочный пищевой 0,45
10.51.54.111 Сахар молочный фармакопейный (медицинский) 0,45
10.51.54.114 Сахар молочный - сырец 0,45
10.51.54.112 Сахар молочный рафинированный 0,45
10.51.55 Сыворотка молочная 0,45
10.51.55.110 Сыворотка молочная подсырная 0,45
10.51.55.120 Сыворотка молочная творожная 0,45
10.51.55.130 Сыворотка молочная казеиновая 0,45
10.86.10.191 Продукты молочные для детского питания профилактического и лечебного назначения и бакконцентраты 0,45
10.86.10.192 Продукты детского питания на основе полных или частичных гидролизатов белка 0,45
10.86.10.193 Продукты безглютеновые для детского питания 0,45
10.86.10.194 Продукты низколактозные для детского питания 0,45
10.86.10.195 Продукты безлактозные для детского питания 0,45
10.86.10.199 Продукты молочные для детского питания прочие, не включенные в другие группировки 0,45
10.51.30.500 Спреды и смеси топленые сливочно-растительные 0,45
10.51.30.510 Спреды сливочно-растительные 0,45
10.51.30.520 Смеси топленые сливочно-растительные 0,45
10.51.56.360 Белки сывороточные 0,45
10.51.56.361 Альбумин молочный 0,45
10.51.56.362 Концентрат сывороточных белков 0,45
10.51.56.363 Концентрат сывороточных белков сухой 0,45
10.51.56.490 Продукты переработки молока побочные прочие, не включенные в другие группировки 0,45
10.91.10.150 Белок кормовой 0,45
10.91.10.151 Дрожжи кормовые 0,45
10.91.10.152 Кормобактерин 0,45
10.91.10.153 Концентрат белковый метанового брожения 0,45
10.91.10.160 Антибиотики кормовые 0,45
20.20.14.000 Средства дезинфекционные 0,45
21.10.51.129 Витамины, в том числе в комбинации с другими препаратами, прочие 0,45
10.91.10.170 Премиксы 0,45
10.91.10.173 Премиксы для птиц 0,45
10.91.10.172 Премиксы для свиней 0,45
10.91.10.171 Премиксы для крупного рогатого скота 0,45
10.91.10.179 Премиксы прочие 0,45
10.11.60.150 Сырье эндокринно-ферментное непищевое прочее 0,45
20.14.52.110 Соединения гетероциклические, не включенные в другие группировки 0,45
21.10.20.110 Лизин, кислота глутаминовая и их соли 0,45
21.20.23.190 Препараты фармацевтические прочие 0,45
38.12.24.000 Отходы химические опасные 0,45
21.10 Субстанции фармацевтические 0,45
10.61.2 Мука из зерновых культур, овощных и других растительных культур; смеси из них 0,45
10.61.21.000 Мука пшеничная и пшенично-ржаная 0,45
10.61.31.110 Крупа из пшеницы 0,45
10.61.22.110 Мука ржаная 0,45
10.61.22.120 Мука кукурузная 0,45
10.61.22.140 Мука ячменная 0,45
10.61.22.160 Мука овсяная 0,45
10.61.22.190 Мука из прочих зерновых культур, не включенная в другие группировки 0,45
10.61.12.000 Рис полуобрушенный или полностью обрушенный, или дробленый 0,45
10.61.32.111 Крупа овсяная 0,45
10.61.33.111 Зерна овса плющеные или переработанные в хлопья 0,45
10.61.32.112 Толокно 0,45
10.61.32.119 Крупа из прочих зерновых культур 0,45
10.61.32.114 Пшено 0,45
10.61.32.113 Крупа гречневая 0,45
10.61.32.115 Крупа ячневая 0,45
10.61.32.116 Крупа перловая 0,45
10.61.32.117 Крупа кукурузная 0,45
10.61.4 Отруби, высевки и прочие отходы от обработки зерновых культур 0,45
10.61.40.000 Отруби, высевки и прочие отходы от обработки зерновых культур 0,45
10.91.10.180 Комбикорма 0,45
10.91.10.186 Комбикорма для сельскохозяйственной птицы 0,45
10.91.10.183 Комбикорма для свиней 0,45
10.91.10.181 Комбикорма для крупного рогатого скота 0,45
10.91.10.184 Комбикорма для овец 0,45
10.91.10.182 Комбикорма для лошадей 0,45
10.91.10.185 Комбикорма для пушных зверей, кроликов и нутрий 0,45
10.91.10.188 Комбикорма для рыб 0,45
10.91.10.189 Комбикорма для прочих животных 0,45
10.91.10.210 Концентраты белково-витаминно-минеральные 0,45
10.91.10.220 Концентраты амидо-витаминно-минеральные 0,45
10.91.10.230 Концентраты и смеси кормовые 0,45
22.22.19.000 Изделия упаковочные пластмассовые прочие 0,45
25.92.13.000 Пробки и заглушки, колпачки и крышки корончатые из недрагоценных металлов 0,45
16.29.24.190 Изделия из агломерированной пробки, не включенные в другие группировки 0,45
17.29.19.190 Изделия прочие из бумаги и картона, не включенные в другие группировки 0,45
23.13.11.150 Пробки, крышки и прочие укупорочные средства из стекла 0,45
58.13.10.000 Газеты печатные 0,45
58.14.1 Журналы и периодические издания печатные 0,45
58.14.11.190 Журналы печатные и периодические издания общего интереса прочие 0,45
58.14.12.000 Бизнес-журналы, профессиональные и академические журналы и периодические издания 0,45
58.14.11.110 Журналы печатные для детей 0,45
58.11.1 Книги печатные 0,45
58.11.12.000 Книги печатные профессиональные, технические и научные 0,45
58.11.13.000 Книги печатные для детей 0,45
58.19.19.190 Продукция издательская печатная прочая, не включенная в другие группировки 0,45
58.19.13.120 Календари печатные 0,45
58.19.12.000 Репродукции, чертежи и фотографии печатные 0,45
58.11.19.000 Книги, брошюры, листовки печатные прочие и подобные печатные материалы 0,45
32.40.41.000 Карты игральные 0,45
58.19.11.000 Открытки почтовые печатные, открытки поздравительные и прочая издательская продукция печатная 0,45
58.11.16.000 Карты и гидрографические или аналогичные схемы печатные, не в виде книги 0,45
58.11.15.000 Атласы и прочие книги с картами печатные 0,45
58.11.11.000 Учебники печатные общеобразовательного назначения 0,45
58.11.14.000 Словари и энциклопедии печатные 0,45
32.99.59.000 Изделия различные прочие, не включенные в другие группировки 0,45
59.20.31 Издания нотные печатные 0,45
59.20.31.190 Издания нотные печатные прочие 0,45
59.20.31.111 Издания нотные печатные с записью хоров и ансамблей 0,45
59.20.31.112 Издания нотные печатные с записью школьных и детских песен и хоров 0,45
59.20.31.113 Издания нотные печатные с записью сольного пения с инструментальным сопровождением 0,45
59.20.31.114 Издания нотные печатные с записью вокальных сборников 0,45
59.20.31.120 Издания нотные печатные с записью инструментальной музыки 0,45
59.20.31.121 Издания нотные печатные с записью произведений для оркестра 0,45
59.20.31.122 Издания нотные печатные с записью камерной музыки 0,45
59.20.31.123 Издания нотные печатные с записью произведений для инструментов соло 0,45
59.20.31.130 Издания нотные печатные с записью сценической музыки 0,45
59.20.31.140 Издания нотные печатные учебные 0,45
17.29.11 Ярлыки и этикетки из бумаги или картона 0,45
58.19.13.110 Картинки переводные (декалькомания) 0,45
17.23.13.140 Бланки из бумаги или картона 0,45
17.23.13.141 Бланки личных документов строгого учета 0,45
17.23.13.142 Бланки членских билетов добровольных обществ, союзов, научных и творческих организаций 0,45
17.23.13.143 Бланки форм учетной и отчетной документации 0,45
17.23.13.144 Карточки учетные строгого учета 0,45
17.23.13.145 Билеты на право проезда, входа и прочие 0,45
58.19.14 Марки почтовые негашеные, гербовые и аналогичные марки; бумага гербовая; книжки чековые, банкноты, акции и аналогичные виды ценных бумаг 0,45
58.19.14.130 Книжки чековые, банкноты, акции и аналогичные виды ценных бумаг 0,45
58.19.14.110 Марки почтовые негашеные, гербовые и аналогичные марки 0,45
58.19.14.120 Бумага гербовая 0,45
17.12.14.142 Бумага диаграммная 0,45
58.11.30.190 Книги, брошюры, листовки печатные прочие и подобные материалы в электронной форме 0,45
58.19.19.110 Издания печатные для слепых 0,45
59.20.31.150 Издания нотные для слепых печатные 0,45
32.30.1 Товары спортивные 0,45
32.30.14.111 Инвентарь и оборудование для акробатики 0,45
32.30.14.112 Инвентарь и оборудование для спортивной и художественной гимнастики 0,45
32.30.14.113 Инвентарь и оборудование для легкой атлетики 0,45
32.30.13 Лыжи водные, доски для серфинга, виндсерферы и прочее снаряжение для водного спорта 0,45
32.30.13.110 Лыжи водные 0,45
32.30.13.190 Снаряжение для водного спорта прочее 0,45
32.30.15.180 Инвентарь для оборудования гребных дистанций и бассейнов при спортивном плавании 0,45
32.30.11 Лыжи и прочее лыжное снаряжение, кроме обуви; коньки и роликовые коньки; их части 0,45
32.30.11.122 Палки лыжные 0,45
32.30.11.131 Коньки ледовые, включая коньки с ботинками 0,45
32.30.11.133 Коньки детские 0,45
32.30.11.132 Коньки роликовые, включая коньки с ботинками 0,45
32.30.11.121 Крепления лыжные 0,45
32.30.15.291 Сани спортивные 0,45
32.30.15.117 Инвентарь для игры в хоккей с шайбой и мячом 0,45
32.30.11.110 Лыжи 0,45
32.30.11.111 Лыжи спортивно-беговые 0,45
32.30.11.119 Лыжи прочие 0,45
32.30.11.112 Лыжи туристские 0,45
32.30.11.113 Лыжи лесные 0,45
32.30.11.115 Лыжи детские 0,45
32.30.15.292 Инвентарь, включая тренировочный, для зимних видов спорта прочий 0,45
32.30.15.110 Инвентарь для спортивных игр 0,45
32.30.15.111 Инвентарь для баскетбола 0,45
32.30.15.112 Инвентарь для волейбола 0,45
32.30.15.113 Инвентарь для футбола и ручного мяча 0,45
32.30.15.114 Инвентарь для тенниса и бадминтона 0,45
32.30.15.115 Инвентарь для настольного тенниса 0,45
32.30.15.116 Инвентарь для игры в хоккей на траве 0,45
32.30.15.118 Инвентарь для городошного спорта 0,45
32.40.42.191 Инвентарь для игры в шахматы и шашки 0,45
32.30.15.119 Инвентарь судейский, тренировочный и прочий для спортивных игр; приспособления для подготовки инвентаря для спортивных игр 0,45
32.30.15.210 Изделия и принадлежности для альпинизма 0,45
32.30.14.114 Инвентарь и оборудование для бокса 0,45
32.30.14.116 Инвентарь и оборудование для борьбы 0,45
32.30.15.120 Инвентарь для конного спорта 0,45
32.30.15.130 Инвентарь для стрельбы из лука 0,45
32.30.15.150 Инвентарь для пулевой и стендовой стрельбы, кроме оружия и боеприпасов 0,45
32.30.14.115 Инвентарь и оборудование для тяжелой атлетики 0,45
32.30.15.140 Инвентарь для фехтования 0,45
25.71.15.120 Оружие клинковое холодное спортивное 0,45
25.71.15.150 Части холодного оружия 0,45
32.30.15.299 Изделия спортивные, инвентарь, включая тренировочный, прочие, не включенные в другие группировки 0,45
26.60.12.129 Приборы и аппараты для функциональной диагностики прочие, применяемые в медицинских целях, не включенные в другие группировки 0,45
27.40.24.120 Табло световые и аналогичные устройства 0,45
32.30.14.117 Изделия для общефизической подготовки населения 0,45
32.30.14.120 Оборудование для занятий физкультурой, гимнастикой и атлетикой, занятий в спортзалах, фитнес-центрах 0,45
32.30.14.121 Тренажеры силовые 0,45
32.30.15.220 Изделия и принадлежности для туризма 0,45
32.20 Инструменты музыкальные 0,45
32.20.11 Фортепиано, пианино и прочие струнные клавишные музыкальные инструменты 0,45
32.20.11.130 Рояли 0,45
32.20.11.120 Пианино 0,45
32.20.12.120 Инструменты музыкальные струнные щипковые 0,45
32.20.12.121 Балалайки 0,45
32.20.12.122 Гитары 0,45
32.20.12.123 Мандолины 0,45
32.20.12.124 Домры 0,45
32.20.12.125 Арфы 0,45
32.20.12.126 Инструменты струнные щипковые национальные 0,45
32.20.12.110 Инструменты музыкальные струнные смычковые 0,45
32.20.12.111 Скрипки 0,45
32.20.12.112 Альты 0,45
32.20.12.113 Виолончели 0,45
32.20.12.114 Контрабасы 0,45
32.20.12.115 Инструменты струнные смычковые национальные 0,45
32.20.13.130 Аккордеоны и аналогичные инструменты 0,45
32.20.13.131 Аккордеоны 0,45
32.20.13.132 Баяны 0,45
32.20.13.133 Гармони 0,45
32.20.13.134 Инструменты язычковые национальные с мехом 0,45
32.20.13.140 Гармоники губные 0,45
32.20.13.150 Органолы детские пневматические 0,45
32.20.13.160 Инструменты музыкальные духовые 0,45
32.20.13.162 Корнеты 0,45
32.20.13.161 Трубы 0,45
32.20.13.163 Альты 0,45
32.20.13.164 Теноры 0,45
32.20.13.165 Баритоны 0,45
32.20.13.166 Басы (включая тубы, геликоны, сузофоны) 0,45
32.20.13.167 Валторны 0,45
32.20.13.168 Тромбоны 0,45
32.20.13.172 Фанфары 0,45
32.20.13.179 Инструменты духовые прочие, не включенные в другие группировки 0,45
32.20.13.173 Флейты 0,45
32.20.13.174 Кларнеты 0,45
32.20.13.175 Саксофоны 0,45
32.20.13.176 Гобои 0,45
32.20.13.177 Фаготы 0,45
32.20.13.178 Инструменты национальные духовые 0,45
32.20.15.110 Инструменты музыкальные ударные 0,45
32.20.14 Инструменты музыкальные или клавишные с электрической генерацией или электрическим усилением звука 0,45
32.20.14.120 Инструменты электромузыкальные адаптиризованные струнные щипковые 0,45
32.20.14.130 Инструменты электромузыкальные адаптиризованные струнные смычковые 0,45
32.20.14.140 Инструменты электромузыкальные адаптиризованные язычковые 0,45
32.20.14.150 Инструменты электромузыкальные адаптиризованные духовые 0,45
32.20.14.110 Инструменты электромузыкальные клавишные 0,45
32.20.14.160 Инструменты электронные с мехом 0,45
26.40.43.120 Установки электрических усилителей звука 0,45
26.40.43.110 Усилители электрические звуковых частот 0,45
32.20.20.140 Части и принадлежности электромузыкальных инструментов 0,45
32.20.20.120 Части и принадлежности струнных музыкальных инструментов 0,45
32.20.20.150 Части и принадлежности духовых музыкальных инструментов 0,45
32.20.20.160 Части и принадлежности ударных инструментов 0,45
32.20.16.140 Струны музыкальных инструментов 0,45
15.12.12.193 Футляры для музыкальных инструментов, футляры для очков, биноклей, фотоаппаратов, ружей, кобура и аналогичные чехлы из натуральной кожи, сочетаний кожи, листов пластмассы, текстильных материалов, вулканизированных волокон или картона 0,45
32.20.20.130 Части и принадлежности клавишных духовых органов, фисгармоний и аналогичных инструментов 0,45
32.20.16.120 Камертоны и камертоны-дудки 0,45
32.20.20 Части и принадлежности музыкальных инструментов 0,45
32.20.16.110 Метрономы 0,45
32.91.12.140 Кисти художественные, кисточки для письма 0,45
25.71.13.120 Наборы и инструменты маникюрные 0,45
25.71.13.130 Наборы и инструменты педикюрные 0,45
32.99.52.110 Расчески, гребни для волос и аналогичные изделия 0,45
32.99.52.120 Шпильки для волос 0,45
32.99.52.130 Зажимы для завивки и бигуди 0,45
25.93.18.130 Булавки английские и прочие булавки из черных металлов, не включенные в другие группировки 0,45
15.12.12.210 Наборы дорожные, используемые для личной гигиены, шитья или для чистки одежды или обуви 0,45
30.92.40 Коляски детские и их части 0,45
30.92.40.110 Коляски детские 0,45
30.92.40.120 Комплектующие (запасные части) детских колясок, не имеющие самостоятельных группировок 0,45
23.13.13.142 Украшения для интерьера и аналогичные изделия из прочего стекла 0,45
10.92.10.190 Корм готовый для прочих домашних животных 0,45
25.93.14.130 Кнопки чертежные 0,45
25.99.23.000 Детали для скоросшивателей или папок, канцелярские зажимы и аналогичные канцелярские изделия и скобы в виде полос из недрагоценных металлов 0,45
32.99.15.110 Карандаши простые и цветные с грифелями в твердой оболочке 0,45
23.13.13.132 Принадлежности канцелярские из прочего стекла 0,45
25.99.22 Лотки для бумаг, подставки для бумаг, лотки для ручек, подставки для печатей и аналогичное офисное или канцелярское оборудование из недрагоценных металлов, кроме офисной мебели 0,45
16.29.14.199 Изделия из дерева прочие, не включенные в другие группировки 0,45
32.99.56 Изделия народных художественных промыслов 0,45
32.99.56.110 Изделия художественной обработки дерева 0,45
32.99.56.120 Изделия художественной резьбы по камню, кости, рогу, перламутру и прочим материалам, кроме ювелирных 0,45
32.99.56.121 Изделия художественной резьбы по камню 0,45
32.99.56.122 Изделия художественной резьбы по кости и рогу 0,45
32.99.56.123 Изделия художественной резьбы по перламутру 0,45
32.99.56.129 Изделия художественной резьбы по прочим материалам 0,45
32.99.56.130 Изделия художественной обработки стекла и керамики 0,45
32.99.56.131 Изделия художественной обработки стекла 0,45
32.99.56.132 Изделия художественной обработки фарфора и полуфарфора 0,45
32.99.56.133 Изделия художественной обработки фаянса 0,45
32.99.56.134 Изделия художественной обработки терракоты из тонкокаменной массы 0,45
32.99.56.135 Изделия художественной обработки майолики 0,45
32.99.56.139 Изделия художественной обработки прочей керамики 0,45
32.99.56.140 Изделия с миниатюрной живописью 0,45
32.99.56.150 Изделия художественной обработки металла, кроме ювелирных 0,45
32.99.56.160 Изделия художественного ручного ткачества, вязания, вышивки и прочие 0,45
32.99.56.161 Изделия художественного ручного ткачества 0,45
32.99.56.162 Изделия художественного ручного вязания 0,45
32.99.56.163 Изделия художественного ручного кружевовязания 0,45
32.99.56.164 Изделия художественной ручной вышивки 0,45
32.99.56.165 Изделия художественной ручной росписи тканей 0,45
32.99.56.190 Изделия прочих видов народных художественных промыслов 0,45
13.96.14.193 Холст, загрунтованный для живописи 0,45
20.30.23 Краски для художников, учащихся или оформителей вывесок; красители оттеночные, краски любительские и аналогичные продукты 0,45
23.52.20.140 Гипс формовочный 0,45
16.10.21.110 Пиломатериалы хвойные профилированные 0,45
16.29.14.110 Рамы деревянные для картин, фотографий, зеркал или аналогичных предметов из дерева 0,45
25.73.60.190 Инструмент прочий, не включенный в другие группировки 0,45
01 Продукция и услуги сельского хозяйства и охоты 0,45
01.11 Культуры зерновые (кроме риса), зернобобовые, семена масличных культур 0,45
01.11.11.110 Пшеница озимая твердая 0,45
01.11.11.111 Зерно озимой твердой пшеницы 0,45
01.11.11.112 Семена озимой твердой пшеницы 0,45
01.11.11.130 Зерноотходы твердой пшеницы 0,45
01.11.12.110 Пшеница озимая мягкая 0,45
01.11.12.111 Зерно озимой мягкой пшеницы 0,45
01.11.12.112 Семена озимой мягкой пшеницы 0,45
01.11.32.110 Рожь озимая 0,45
01.11.32.111 Зерно озимой ржи 0,45
01.11.32.112 Семена озимой ржи 0,45
01.11.32.130 Зерноотходы ржи 0,45
01.11.50.000 Солома и мякина зерновых культур 0,45
01.11.31.110 Ячмень озимый 0,45
01.11.31.111 Зерно озимого ячменя 0,45
01.11.31.112 Семена озимого ячменя 0,45
01.11.31.130 Зерноотходы ячменя 0,45
01.11.49.120 Тритикале (пшенично-ржаной гибрид) 0,45
01.11.11.120 Пшеница яровая твердая 0,45
01.11.11.121 Зерно яровой твердой пшеницы 0,45
01.11.11.122 Семена яровой твердой пшеницы 0,45
01.11.12.120 Пшеница яровая мягкая 0,45
01.11.12.121 Зерно яровой мягкой пшеницы 0,45
01.11.12.122 Семена яровой мягкой пшеницы 0,45
01.11.12.130 Зерноотходы мягкой пшеницы 0,45
01.11.2020 Кукуруза 0,45
01.11.20.110 Кукуруза лопающаяся (рисовая) 0,45
01.11.20.111 Зерно лопающейся (рисовой) кукурузы 0,45
01.11.20.113 Початки лопающейся (рисовой) кукурузы 0,45
01.11.20.112 Семена лопающейся (рисовой) кукурузы 0,45
01.11.20.114 Початки обрушенные лопающейся (рисовой) кукурузы 0,45
01.11.20.150 Зерноотходы кукурузы 0,45
01.13.39.120 Кукуруза сахарная 0,45
01.11.20.120 Кукуруза кремнистая 0,45
01.11.20.121 Зерно кремнистой кукурузы 0,45
01.11.20.123 Початки кремнистой кукурузы 0,45
01.11.20.122 Семена кремнистой кукурузы 0,45
01.11.20.124 Початки обрушенные кремнистой кукурузы 0,45
01.11.20.130 Кукуруза зубовидная и кукуруза прочих сортов, кроме сахарной 0,45
01.11.20.131 Зерно зубовидной кукурузы и кукурузы прочих сортов 0,45
01.11.20.133 Початки зубовидной кукурузы и кукурузы прочих сортов 0,45
01.11.20.132 Семена зубовидной кукурузы и кукурузы прочих сортов 0,45
01.11.20.134 Початки обрушенные зубовидной кукурузы и кукурузы прочих сортов 0,45
01.11.20.140 Кукуруза разнотипная (смесь) 0,45
01.11.20.141 Зерно разнотипной кукурузы 0,45
01.11.20.143 Початки разнотипной кукурузы 0,45
01.11.20.142 Семена разнотипной кукурузы 0,45
01.11.32.120 Рожь яровая 0,45
01.11.32.121 Зерно яровой ржи 0,45
01.11.32.122 Семена яровой ржи 0,45
01.11.31.120 Ячмень яровой 0,45
01.11.31.121 Зерно ярового ячменя 0,45
01.11.31.122 Семена ярового ячменя 0,45
01.11.1933 Овес 0,45
01.11.33.110 Зерно овса 0,45
01.11.33.111 Семена овса 0,45
01.11.33.112 Зерноотходы овса 0,45
01.11.49.190 Культуры зерновые прочие, не включенные в другие группировки 0,45
01.11.49.191 Зерно зерновых культур, не включенных в другие группировки 0,45
01.11.49.192 Семена зерновых культур, не включенных в другие группировки 0,45
01.11.49.193 Зерноотходы зерновых культур, не включенных в другие группировки 0,45
01.11.1942 Просо 0,45
01.11.42.110 Зерно проса 0,45
01.11.42.120 Семена проса 0,45
01.11.42.130 Зерноотходы проса 0,45
01.11.49.110 Гречиха 0,45
01.11.49.111 Зерно гречихи 0,45
01.11.49.112 Семена гречихи 0,45
01.11.49.113 Зерноотходы гречихи 0,45
01.12.2010 Рис нешелушеный 0,45
01.12.10.110 Зерно нешелушеного риса 0,45
01.12.10.120 Семена нешелушеного риса 0,45
01.11.1941 Сорго 0,45
01.11.41.110 Зерно сорго 0,45
01.11.41.120 Семена сорго 0,45
01.11.41.130 Зерноотходы сорго 0,45
01.11.49.130 Чумиза 0,45
01.11.49.131 Зерно чумизы 0,45
01.11.49.132 Семена чумизы 0,45
01.11.49.133 Зерноотходы чумизы 0,45
01.11.1975 Горох сушеный 0,45
01.11.75.110 Зерно гороха 0,45
01.11.75.120 Семена гороха 0,45
01.11.79.199 Зерноотходы прочих зернобобовых культур (овощей бобовых сушеных) 0,45
01.11.1971 Фасоль сушеная 0,45
01.11.71.110 Зерно фасоли 0,45
01.11.71.120 Семена фасоли 0,45
01.11.1972 Бобы кормовые сушеные 0,45
01.11.72.110 Зерно кормовых бобов 0,45
01.11.72.120 Семена кормовых бобов 0,45
01.11.1974 Чечевица сушеная 0,45
01.11.74.110 Зерно чечевицы 0,45
01.11.74.120 Семена чечевицы 0,45
01.11.49.140 Вика и смеси виковые на зерно 0,45
01.11.49.150 Люпин кормовой сладкий на зерно 0,45
01.11.73.110 Зерно нута 0,45
01.11.73.120 Семена нута 0,45
01.11.79.110 Чина сушеная 0,45
01.11.79.111 Зерно чины 0,45
01.11.79.112 Семена чины 0,45
01.11.79.120 Маш сушеный 0,45
01.11.79.121 Зерно маша 0,45
01.11.79.122 Семена маша 0,45
01.11.2001 Пшеница 0,45
01.11.2012 Пшеница, кроме твердой пшеницы 0,45
01.11.2011 Пшеница твердая 0,45
01.11.1932 Рожь 0,45
01.11.1931 Ячмень 0,45
01.11.2007 Овощи бобовые сушеные (культуры зернобобовые) 0,45
01.11.79.191 Зерно прочих зернобобовых культур (овощей бобовых сушеных), не включенных в другие группировки 0,45
01.11.2009 Семена льна, горчицы, рапса, сурепицы, кунжута, подсолнечника и семена прочих масличных культур, не включенные в другие группировки 0,45
01.11.95.110 Семена подсолнечника для посева 0,45
01.11.1991 Семена льна 0,45
01.11.1992 Семена горчицы 0,45
01.11.99.110 Семена клещевины 0,45
01.11.99.190 Семена прочих масличных культур, не включенные в другие группировки 0,45
01.11.82.000 Арахис (орех земляной) нелущеный 0,45
01.11.1994 Семена кунжута 0,45
01.11.1993 Семена рапса 0,45
01.11.93.120 Семена ярового рапса (кользы) 0,45
01.11.99.160 Семена сафлора 0,45
01.11.1999 Семена прочих масличных культур, не включенные в другие группировки 0,45
01.16.11 Хлопок-сырец очищенный или не очищенный от семян 0,45
01.16.11.110 Хлопок-сырец тонковолокнистых сортов хлопчатника 0,45
01.16.11.120 Хлопок-сырец средневолокнистых сортов хлопчатника 0,45
01.16.19.111 Волокно льна-долгунца 0,45
01.16.19.112 Соломка льна-долгунца 0,45
01.11.99.140 Семена среднерусской конопли 0,45
01.16.19.122 Соломка среднерусской конопли 0,45
01.16.19.121 Волокно среднерусской конопли 0,45
01.11.99.130 Семена южной конопли 0,45
01.16.19.124 Соломка южной конопли 0,45
01.16.12.120 Волокна кенафа необработанные 0,45
01.16.12.110 Волокна джута необработанные 0,45
01.16.12.130 Волокна канатника необработанные 0,45
01.13.71 Свекла сахарная 0,45
01.13.71.000 Свекла сахарная 0,45
01.13.72.140 Семенники сахарной свеклы 0,45
01.13.72.120 Семена сахарной свеклы дражированные 0,45
01.15.10 Табак необработанный 0,45
01.15.10.110 Табак ферментированный с неотделенной средней жилкой 0,45
01.15.10.130 Табак соусированный и ароматизированный 0,45
01.15.10.140 Махорка-сырье неферментированное 0,45
01.27.19.110 Цикорий 0,45
01.28.30.120 Культуры лекарственные 0,45
01.28.30.110 Культуры эфиромасличные 0,45
01.11.99.150 Семена рыжика 0,45
01.16.19 Лен, конопля обыкновенная и необработанные растительные текстильные волокна, не включенные в другие группировки 0,45
01.19.31.169 Семена прочих многолетних трав 0,45
01.16.19.120 Волокно обыкновенной конопли необработанное 0,45
01.13 Овощи и культуры бахчевые, корнеплоды и клубнеплоды 0,45
01.13.51 Картофель 0,45
01.13.51.110 Картофель столовый ранний 0,45
01.13.52.000 Батат (картофель сладкий) 0,45
01.13.59.000 Корнеплоды столовые и клубнеплоды с высоким содержанием крахмала или инулина, прочие 0,45
01.13.12 Капуста 0,45
01.13.13.000 Капуста цветная и брокколи 0,45
01.13.12.120 Капуста белокочанная 0,45
01.13.12.130 Капуста краснокочанная 0,45
01.13.12.110 Капуста брюссельская 0,45
01.13.12.140 Капуста савойская 0,45
01.13.12.160 Кольраби 0,45
01.13.12.150 Капуста пекинская 0,45
01.13.4 Корнеплоды и клубнеплоды овощные, культуры овощные луковичные 0,45
01.13.49.110 Свекла столовая 0,45
01.13.41.110 Морковь столовая 0,45
01.13.49.190 Корнеплоды и клубнеплоды овощные, культуры овощные луковичные (без высокого содержания крахмала или инулина) прочие 0,45
01.13.49.120 Редька 0,45
01.13.49.130 Редис 0,45
01.13.41.120 Репа 0,45
01.13.41.130 Брюква 0,45
01.13.43 Культуры овощные луковичные 0,45
01.13.43.110 Лук репчатый 0,45
01.13.43.120 Лук-шалот 0,45
01.13.44.000 Лук-порей и прочие культуры овощные луковичные 0,45
01.13.42.000 Чеснок 0,45
01.13.60.121 Лук-севок 0,45
01.13.34.000 Томаты (помидоры) 0,45
01.13.39.190 Культуры овощные плодовые прочие, не включенные в другие группировки 0,45
01.13.31.000 Перец стручковый и горошковый черный, не сушеный 0,45
01.13.33.000 Баклажаны 0,45
01.13.32.000 Огурцы 0,45
01.13.39.140 Патиссоны 0,45
01.13.39.110 Кабачки 0,45
01.11.62.000 Горох овощной 0,45
01.11.61.000 Фасоль овощная 0,45
01.11.69.000 Овощи бобовые зеленые прочие 0,45
01.11.1950 Солома и мякина зерновых культур 0,45
01.13.14.000 Салат-латук 0,45
01.13.19.000 Овощи листовые или стебельные прочие 0,45
01.13.15.000 Салат цикорный (витлуф) 0,45
01.13.16.000 Шпинат 0,45
01.13.11.000 Спаржа 0,45
01.13.17.000 Артишоки 0,45
01.13.6 Семена овощных культур, кроме семян сахарной свеклы 0,45
01.13.60 Семена овощных культур, кроме семян сахарной свеклы 0,45
01.13.60.130 Семена капусты всех видов 0,45
01.13.60.140 Семена корнеплодных овощных культур 0,45
01.13.60.150 Семена пасленовых овощных культур 0,45
01.13.60.160 Семена тыквенных овощных культур 0,45
01.13.60.170 Семена салатных овощных культур 0,45
01.13.60.180 Семена зеленых овощных культур 0,45
01.13.60.190 Семена бобовых овощных культур 0,45
01.13.60.260 Маточники овощных культур, кроме свеклы 0,45
01.13.60.210 Семена двухлетних овощных культур 0,45
01.13.60.220 Семена многолетних овощных культур 0,45
01.13.2 Культуры бахчевые 0,45
01.13.21.000 Арбузы 0,45
01.13.29.000 Культуры бахчевые прочие 0,45
01.13.39.130 Тыквы 0,45
01.13.60.230 Семена бахчевых культур 0,45
01.13.60.250 Семенники бахчевых культур 0,45
01.13 Овощи и культуры бахчевые, корнеплоды и клубнеплоды 0,45
01.30.10.122 Рассада овощных культур 0,45
01.13.80.000 Грибы и трюфели 0,45
01.30.10.151 Мицелий тепличных шампиньонов 0,45
01.30.10.159 Мицелий прочих грибов 0,45
01.13.43.190 Культуры овощные луковичные прочие 0,45
01.13.60.240 Семенники овощных культур 0,45
01.19.10 Культуры кормовые 0,45
01.19.10.110 Культуры кормовые корнеплодные 0,45
01.19.10.120 Культуры бахчевые кормовые 0,45
01.19.31.140 Маточники кормовых корнеплодов 0,45
01.19.31.120 Семена кормовых корнеплодов, кроме кормовой свеклы 0,45
01.19.31.130 Семенники кормовых корнеплодов 0,45
01.19.10.190 Культуры кормовые, не включенные в другие группировки 0,45
01.19.31.190 Семена прочих кормовых культур 0,45
10.91.10.110 Корма растительные 0,45
01.19.31.150 Семена однолетних трав 0,45
01.19.10.130 Культуры кормовые зернобобовые 0,45
01.19.31 Семена кормовой свеклы (кроме семян сахарной свеклы) и семена кормовых растений 0,45
01.19.31.160 Семена многолетних трав 0,45
01.19.31.164 Семена луговых пастбищных трав 0,45
01.30.10.131 Культуры плодовые семечковые 0,45
01.30.10.132 Культуры плодовые косточковые 0,45
01.30.10.133 Культуры ягодные 0,45
01.30.10.134 Культуры орехоплодные 0,45
01.30.10.135 Культуры цитрусовые 0,45
01.30.10.139 Культуры плодовые и ягодные прочие 0,45
01.30.10.136 Виноград (культура ягодная) 0,45
01.27.1 Культуры для производства напитков 0,45
01.27.12 Листья чая 0,45
02.10.12.119 Семена прочих деревьев и кустарников 0,45
01.28.20.000 Шишки хмеля 0,45
01.28.19.000 Пряности необработанные прочие 0,45
01.19.21.190 Цветы срезанные прочие 0,45
01.30.10.119 Луковицы, клубнелуковицы, корневища прочих цветов 0,45
01.19.21 Цветы срезанные и бутоны цветочные 0,45
01.30.10.121 Рассада цветов 0,45
01.19.22 Семена цветочных культур 0,45
01.19.22.110 Семена однолетних цветочных культур 0,45
01.19.22.120 Семена двухлетних цветочных культур 0,45
01.19.22.130 Семена многолетних цветочных культур 0,45
01.25.20.110 Семена плодовых семечковых культур 0,45
01.25.20.130 Семена ягодных культур 0,45
01.25.20 Семена плодовых культур 0,45
02.30.40 Ресурсы лесные пищевые 0,45
02.30.40.190 Ресурсы лесные пищевые прочие, не включенные в другие группировки 0,45
02.30.40.120 Ягоды дикорастущие 0,45
02.30.40.130 Орехи дикорастущие 0,45
02.30.40.110 Грибы дикорастущие 0,45
01.27.11.000 Зерна кофейные необжаренные 0,45
01.27.14.000 Какао-бобы 0,45
01.22.19.000 Плоды тропических и субтропических культур прочие 0,45
01.22.12.000 Бананы 0,45
01.30.10.130 Культуры плодовые и ягодные, включая черенки и отводки 0,45
01.30.10.140 Культуры декоративные, включая черенки и отводки 0,45
01.24.24.000 Вишня 0,45
01.24.29.110 Черешня 0,45
01.25.19.110 Смородина черная 0,45
01.25.19.120 Смородина красная 0,45
01.25.19.130 Смородина белая 0,45
01.25.35.000 Орехи грецкие 0,45
01.24.29 Плоды семечковых и косточковых культур прочие, не включенные в другие группировки 0,45
01.30.10.149 Культуры декоративные, включая черенки и отводки, прочие 0,45
02.10.2012 Семена деревьев и кустарников 0,45
02.10.12.111 Семена деревьев хвойных пород 0,45
02.10.12.112 Семена деревьев твердолиственных пород 0,45
02.10.12.113 Семена деревьев мягколиственных пород 0,45
02.10.12.114 Семена деревьев прочих лиственных пород 0,45
02.10.12.115 Семена кустарников 0,45
02.10.12.116 Семена тальников 0,45
02.10.11.100 Сеянцы деревьев и кустарников 0,45
02.10.11.110 Сеянцы деревьев хвойных пород 0,45
02.10.11.120 Сеянцы деревьев твердолиственных пород 0,45
02.10.11.130 Сеянцы деревьев мягколиственных пород 0,45
02.10.11.140 Сеянцы деревьев прочих лиственных пород 0,45
02.10.11.150 Сеянцы кустарников 0,45
02.10.11.160 Сеянцы тальников 0,45
02.10.2011 Сеянцы, саженцы деревьев и кустарников 0,45
02.10.11.210 Саженцы деревьев хвойных пород 0,45
02.10.11.220 Саженцы деревьев твердолиственных пород 0,45
02.10.11.230 Саженцы деревьев мягколиственных пород 0,45
02.10.11.240 Саженцы деревьев прочих лиственных пород 0,45
02.10.11.250 Саженцы кустарников 0,45
02.10.11.260 Саженцы тальников 0,45
02.10.11.290 Саженцы прочих деревьев и кустарников 0,45
01.30.10.141 Рододендроны и азалии 0,45
22.19.71.120 Соски различных типов (в том числе для бутылочек) и аналогичные изделия для детей 0,4
15.20.11.111 Ботики резиновые, резинотекстильные 0,4
15.20.11.130 Обувь водонепроницаемая детская 0,4
15.20.11.112 Галоши резиновые 0,4
15.20.11.114 Сапожки и полусапожки резиновые, резинотекстильные 0,4
15.20.11.135 Сапожки и полусапожки детские цельнорезиновые 0,4
15.20.11.134 Сапожки и полусапожки детские резинотекстильные 0,4
15.20.11.124 Сапожки и полусапожки из полимерных материалов 0,4
15.20.29.190 Обувь спортивная прочая, кроме лыжных ботинок и ботинок с коньками, не включенная в другие группировки 0,4
15.20.2 Обувь спортивная 0,4
15.20.21.120 Обувь для баскетбола 0,4
15.20.21.110 Обувь для тенниса 0,4
15.20.21.150 Обувь спортивная детская 0,4
30.92.10.130 Велосипеды двухколесные для детей 0,4
14.19.11 Одежда и аксессуары одежды для детей младшего возраста трикотажные или вязаные 0,4
14.14.12.110 Кальсоны мужские или для мальчиков трикотажные или вязаные 0,4
14.14.14.120 Трусы и панталоны женские или для девочек трикотажные или вязаные 0,4
14.14.30.110 Футболки трикотажные или вязаные 0,4
14.14.14.130 Рубашки ночные, пижамы женские или для девочек трикотажные или вязаные 0,4
14.14.14.140 Халаты домашние и купальные, пеньюары и аналогичные изделия женские или для девочек трикотажные или вязаные 0,4
14.19.11.121 Ползунки для детей младшего возраста трикотажные или вязаные из хлопчатобумажной пряжи 0,4
14.19.11.141 Костюмы, гарнитуры, комбинезоны для детей младшего возраста трикотажные или вязаные из хлопчатобумажной пряжи 0,4
14.19.11.111 Распашонки, "кимоно", кофточки для детей младшего возраста трикотажные или вязаные из хлопчатобумажной пряжи 0,4
14.14.12.120 Трусы мужские или для мальчиков трикотажные или вязаные 0,4
14.14.30.120 Майки и прочие нижние рубашки трикотажные или вязаные 0,4
14.19.12.130 Костюмы купальные трикотажные или вязаные 0,4
14.19.22.130 Костюмы купальные из текстильных материалов, кроме трикотажных или вязаных 0,4
14.19.12.110 Костюмы спортивные трикотажные или вязаные 0,4
14.14.24.120 Комбинации и юбки нижние женские или для девочек из текстильных материалов, кроме трикотажных или вязаных 0,4
14.19.11.122 Ползунки для детей младшего возраста трикотажные или вязаные из шерсти или тонкого волоса животных 0,4
14.19.11.142 Костюмы, гарнитуры, комбинезоны для детей младшего возраста трикотажные или вязаные из шерсти или тонкого волоса животных 0,4
14.19.11.112 Распашонки, "кимоно", кофточки для детей младшего возраста трикотажные или вязаные из шерсти или тонкого волоса животных 0,4
14.14.11.000 Рубашки мужские или для мальчиков трикотажные или вязаные 0,4
14.14.12.130 Рубашки ночные, пижамы мужские или для мальчиков трикотажные или вязаные 0,4
14.14.14.110 Комбинации и юбки нижние женские или для девочек трикотажные или вязаные 0,4
14.19.11.123 Ползунки для детей младшего возраста трикотажные или вязаные из искусственной пряжи 0,4
14.19.11.143 Костюмы, гарнитуры, комбинезоны для детей младшего возраста трикотажные или вязаные из искусственной пряжи 0,4
14.19.11.113 Распашонки, "кимоно", кофточки для детей младшего возраста трикотажные или вязаные из искусственной пряжи 0,4
14.19.12.190 Одежда прочая трикотажная или вязаная 0,4
14.19.11.129 Ползунки для детей младшего возраста трикотажные или вязаные из прочей пряжи 0,4
14.19.11.149 Костюмы, гарнитуры, комбинезоны для детей младшего возраста трикотажные или вязаные из прочей пряжи 0,4
14.19.11.119 Распашонки, "кимоно", кофточки для детей младшего возраста трикотажные или вязаные из прочей пряжи 0,4
14.14.24.140 Рубашки ночные, пижамы женские или для девочек из текстильных материалов, кроме трикотажных или вязаных 0,4
14.14.24.150 Пеньюары, халаты купальные, халаты домашние и аналогичные изделия женские или для девочек из текстильных материалов, кроме трикотажных или вязаных 0,4
14.14.13.120 Рубашки и батники женские или для девочек трикотажные или вязаные 0,4
14.13.14.130 Жакеты и блейзеры женские или для девочек трикотажные или вязаные 0,4
14.39.10.110 Джемперы трикотажные или вязаные 0,4
14.13.14.110 Костюмы женские или для девочек трикотажные или вязаные 0,4
14.13.14.150 Юбки, юбки-брюки женские или для девочек трикотажные или вязаные 0,4
14.13.14.140 Платья женские или для девочек трикотажные или вязаные 0,4
14.13.14.120 Комплекты женские или для девочек трикотажные или вязаные 0,4
14.13.14.160 Брюки женские или для девочек трикотажные или вязаные 0,4
14.13.11.120 Куртки мужские или для мальчиков трикотажные или вязаные 0,4
14.13.12.140 Брюки мужские или для мальчиков трикотажные или вязаные 0,4
14.13.11.110 Пальто, полупальто мужские или для мальчиков трикотажные или вязаные 0,4
14.13.12.160 Бриджи и шорты мужские или для мальчиков трикотажные или вязаные 0,4
14.39.10.140 Жилеты трикотажные или вязаные 0,4
14.13.12.150 Комбинезоны с нагрудниками и лямками мужские или для мальчиков трикотажные или вязаные 0,4
14.13.13.110 Пальто, полупальто женские или для девочек трикотажные или вязаные 0,4
14.14.13.110 Блузки женские или для девочек трикотажные или вязаные 0,4
14.13.14.180 Бриджи и шорты женские или для девочек трикотажные или вязаные 0,4
14.13.14.170 Комбинезоны с нагрудниками и лямками женские или для девочек трикотажные или вязаные 0,4
14.13.12.110 Костюмы мужские или для мальчиков трикотажные или вязаные 0,4
14.14.2 Белье нательное, кроме трикотажного или вязаного 0,4
14.31.10.130 Изделия чулочно-носочные детские из хлопчатобумажной и смешанной пряжи (смеси хлопковой пряжи с другими волокнами) трикотажные или вязаные 0,4
14.31.10.139 Изделия чулочно-носочные детские из хлопчатобумажной и смешанной пряжи прочие 0,4
14.31.10.132 Чулки детские из хлопчатобумажной пряжи 0,4
14.31.10.134 Носки детские из хлопчатобумажной пряжи 0,4
14.31.10.160 Изделия чулочно-носочные детские из шерстяной и смешанной (полушерстяной) пряжи трикотажные или вязаные 0,4
14.31.10.162 Чулки детские из шерстяной пряжи 0,4
14.31.10.164 Носки детские из шерстяной пряжи 0,4
14.31.10.190 Изделия чулочно-носочные детские из синтетических нитей и синтетических нитей в смеси с другими нитями трикотажные или вязаные 0,4
14.31.10.199 Изделия чулочно-носочные детские из синтетических нитей и синтетических нитей в смеси с другими нитями прочие 0,4
14.31.10.192 Чулки детские из синтетических нитей 0,4
14.31.10.194 Носки детские из синтетических нитей 0,4
14.31.10.169 Изделия чулочно-носочные детские из шерстяной и смешанной (полушерстяной) пряжи прочие 0,4
14.31.10.166 Чулки детские из смешанной (полушерстяной) пряжи 0,4
14.31.10.168 Носки детские из смешанной (полушерстяной) пряжи 0,4
14.31.10.136 Чулки детские из хлопчатобумажной и смешанной пряжи 0,4
14.31.10.196 Чулки детские из синтетических нитей в смеси с другими нитями 0,4
14.31.10.198 Носки детские из синтетических нитей в смеси с другими нитями 0,4
14.19.11.150 Перчатки, варежки и митенки для детей младшего возраста трикотажные или вязаные 0,4
14.19.11.151 Перчатки, варежки и митенки для детей младшего возраста трикотажные или вязаные из хлопчатобумажной пряжи 0,4
14.19.11.154 Перчатки, варежки и митенки для детей младшего возраста трикотажные или вязаные из искусственной пряжи 0,4
14.19.13.000 Перчатки, рукавицы (варежки) и митенки трикотажные или вязаные 0,4
14.19.11.152 Перчатки, варежки и митенки для детей младшего возраста трикотажные или вязаные из шерсти или тонкого волоса животных 0,4
14.19.11.153 Перчатки, варежки и митенки для детей младшего возраста трикотажные или вязаные из синтетической пряжи 0,4
14.19.42.160 Уборы головные трикотажные или вязаные 0,4
14.13.31.110 Пальто, полупальто женские или для девочек из текстильных материалов, кроме трикотажных или вязаных 0,4
14.19.21.110 Одежда для детей младшего возраста и аксессуары одежды из хлопчатобумажных тканей 0,4
14.13.21.110 Пальто и полупальто мужские или для мальчиков из текстильных материалов, кроме трикотажных или вязаных 0,4
14.19.21.190 Одежда для детей младшего возраста и аксессуары одежды из прочих текстильных материалов 0,4
14.19.21.130 Одежда для детей младшего возраста и аксессуары одежды из шерстяных тканей 0,4
14.19.21.140 Одежда для детей младшего возраста и аксессуары одежды из шелковых тканей 0,4
14.13.21.130 Плащи, плащи с капюшонами мужские или для мальчиков из текстильных материалов, кроме трикотажных или вязаных 0,4
14.13.31.130 Плащи, плащи с капюшонами женские или для девочек из текстильных материалов, кроме трикотажных или вязаных 0,4
14.19.21.210 Аксессуары одежды для детей младшего возраста из текстильных материалов, кроме трикотажных или вязаных 0,4
14.13.21.120 Куртки мужские или для мальчиков из текстильных материалов, кроме трикотажных или вязаных 0,4
14.13.31.120 Куртки женские или для девочек из текстильных материалов, кроме трикотажных или вязаных 0,4
14.13.22.110 Костюмы мужские или для мальчиков из текстильных материалов, кроме трикотажных или вязаных 0,4
14.13.32.110 Костюмы женские или для девочек из текстильных материалов, кроме трикотажных или вязаных 0,4
14.13.12.130 Пиджаки и блейзеры мужские или для мальчиков трикотажные или вязаные 0,4
14.13.33.000 Жакеты и блейзеры женские или для девочек из текстильных материалов, кроме трикотажных или вязаных 0,4
14.19.21.120 Одежда для детей младшего возраста и аксессуары одежды из льняных тканей 0,4
14.13.24.110 Брюки мужские или для мальчиков из текстильных материалов, кроме трикотажных или вязаных 0,4
14.13.35.110 Брюки женские или для девочек из текстильных материалов, кроме трикотажных или вязаных 0,4
14.13.34.110 Платья женские или для девочек из текстильных материалов, кроме трикотажных или вязаных 0,4
14.14.22.140 Халаты домашние и купальные мужские или для мальчиков из текстильных материалов, кроме трикотажных или вязаных 0,4
14.13.34.120 Юбки и юбки-брюки женские или для девочек из текстильных материалов, кроме трикотажных или вязаных 0,4
14.14.23.110 Блузки женские или для девочек из текстильных материалов, кроме трикотажных или вязаных 0,4
14.19.22.190 Одежда прочая из текстильных материалов, кроме трикотажных или вязаных 0,4
14.13.12.120 Комплекты мужские или для мальчиков трикотажные или вязаные 0,4
14.14.21.000 Рубашки мужские или для мальчиков из текстильных материалов, кроме трикотажных или вязаных 0,4
13.92.12.110 Белье постельное из хлопчатобумажных тканей 0,4
13.92.12.130 Белье постельное из шерстяных тканей 0,4
13.92.12.140 Белье постельное из шелковых тканей 0,4
13.92.12.160 Белье постельное из нетканых материалов 0,4
14.14.22.130 Рубашки ночные, пижамы мужские или для мальчиков из текстильных материалов, кроме трикотажных или вязаных 0,4
14.14.25 Бюстгальтеры, пояса, корсеты, подтяжки, помочи, подвязки и аналогичные изделия и их части из любого текстильного материала (включая трикотажные или вязаные 0,4
13.92.24.121 Одеяла стеганые пуховые с верхом из хлопчатобумажных тканей для детей 0,4
13.92.24.124 Одеяла стеганые перьевые с верхом из шелковых тканей для детей 0,4
14.12.30.111 Пальто, полупальто и плащи мужские производственные и профессиональные 0,4
14.12.30.112 Пальто, полупальто и плащи женские производственные и профессиональные 0,4
14.12.30.190 Одежда производственная и профессиональная прочая, не включенная в другие группировки 0,4
14.12.11.120 Костюмы мужские производственные и профессиональные 0,4
14.12.12.110 Брюки мужские производственные и профессиональные 0,4
14.12.11.130 Куртки (пиджаки) и блейзеры мужские производственные и профессиональные 0,4
14.12.30.132 Юбки, халаты, блузки, фартуки, жилеты, платья и сорочки женские производственные и профессиональные 0,4
14.12.30.131 Халаты, фартуки, жилеты и сорочки мужские производственные и профессиональные 0,4
14.19.42.141 Фуражки и кепи швейные мужские или для мальчиков 0,4
14.19.42.142 Шапки швейные мужские или для мальчиков 0,4
14.19.42.152 Шапки швейные женские или для девочек 0,4
14.19.42.153 Шляпы, панамы, береты швейные женские или для девочек 0,4
14.19.42.130 Уборы головные плетеные 0,4
14.19.42.143 Шляпы, панамы, береты швейные мужские или для мальчиков 0,4
14.19.42.149 Уборы головные швейные прочие мужские или для мальчиков 0,4
14.12.30.121 Куртки мужские производственные и профессиональные 0,4
14.12.30.122 Куртки женские производственные и профессиональные 0,4
14.12.22.110 Брюки женские производственные и профессиональные 0,4
14.12.30.141 Комбинезоны мужские производственные и профессиональные 0,4
14.19.31.111 Перчатки, рукавицы, варежки, митенки мужские или для мальчиков из натуральной или композиционной кожи 0,4
14.19.31.130 Пояса, ремни, портупеи и патронташи из натуральной или композиционной кожи 0,4
15.20.13 Обувь с верхом из кожи, кроме спортивной обуви, обуви с защитным металлическим подноском и различной специальной обуви 0,4
15.20.13.130 Обувь летняя с верхом из кожи 0,4
15.20.13.173 Сандалии школьные, детские, малодетские с верхом из кожи (включая сандалии с верхом из ремешков или полосок, шлепанцы) 0,4
15.20.13.110 Обувь повседневная с верхом из кожи 0,4
32.30.12.110 Ботинки лыжные 0,4
15.20.29.110 Ботинки для конькобежных видов спорта 0,4
15.20.29.120 Ботинки для футболистов 0,4
15.20.29.130 Ботинки для туристов и альпинистов 0,4
15.20.13.170 Обувь детская с верхом из кожи 0,4
15.20.13.171 Обувь уличная детская и с верхом из кожи (включая сапожки, ботинки и туфли) 0,4
15.20.13.179 Обувь детская с верхом из кожи прочая, не включенная в другие группировки 0,4
15.20.13.172 Обувь малодетская и гусариковая уличная с верхом из кожи (включая сапожки, ботинки и туфли) 0,4
32.30.12.190 Обувь лыжная прочая 0,4
15.20.29.140 Обувь для боксеров, борцов и тяжелоатлетов 0,4
15.20.13.160 Обувь домашняя с верхом из кожи 0,4
15.20.13.190 Обувь прочая с верхом из кожи, кроме обуви спортивной, обуви с защитным металлическим подноском и различной специальной обуви 0,4
32.50.22.151 Обувь ортопедическая для взрослых 0,4
15.20.21.159 Обувь спортивная детская прочая, не включенная в другие группировки 0,4
15.20.13.174 Туфли комнатные детские, малодетские и прочая обувь домашняя с верхом из кожи (включая туфли для танцев, тапочки комнатные, туфли домашние без задников) 0,4
32.50.22.152 Обувь ортопедическая для детей 0,4
15.20.14.142 Обувь с верхом из текстильных материалов, кроме спортивной обуви 0,4
15.20.14.141 Туфли детские комнатные с верхом из текстильных материалов, войлока или фетра 0,4
15.20.14.140 Обувь детская с верхом из текстильных материалов, кроме спортивной обуви 0,4
15.20.14.110 Обувь с верхом из текстильных материалов 0,4
15.20.32.190 Обувь прочая, не включенная в другие группировки 0,4
15.20.32.139 Обувь детская прочая, не включенная в другие группировки 0,4
14.20.10.113 Пальто детские с верхом из натурального меха 0,4
14.20.10.223 Пальто детские с верхом из хлопчатобумажных тканей, подкладка меховая 0,4
14.20.10.353 Пальто детские нагольные 0,4
14.20.10.453 Пальто детские с верхом из хлопчатобумажных тканей, подкладка из шубной овчины 0,4
14.20.10.533 Пальто детские с верхом из меха, комбинированного с другими материалами 0,4
14.20.10.133 Пиджаки детские с верхом из натурального меха 0,4
14.20.10.243 Пиджаки детские с верхом из хлопчатобумажных тканей, подкладка меховая 0,4
14.20.10.373 Пиджаки детские нагольные 0,4
14.20.10.473 Пиджаки детские с верхом из хлопчатобумажных тканей, подкладка из шубной овчины 0,4
14.20.10.553 Пиджаки детские с верхом из меха, комбинированного с другими материалами 0,4
14.20.10.263 Куртки детские с верхом из хлопчатобумажных тканей, подкладка меховая 0,4
14.20.10.410 Куртки нагольные 0,4
14.20.10.513 Куртки детские с верхом из хлопчатобумажных тканей, подкладка из шубной овчины 0,4
14.20.10.573 Куртки детские с верхом из меха, комбинированного с другими материалами 0,4
14.19.43.130 Уборы головные детские меховые 0,4
14.20.10.613 Воротники детские из натурального меха 0,4
14.19.31.123 Рукавицы детские из натуральной кожи, подкладка меховая 0,4
14.20.10.643 Рукавицы детские из хлопчатобумажных тканей, подкладка меховая 0,4
14.20.10.646 Рукавицы детские из шерстяных тканей, подкладка меховая 0,4
14.20.10.653 Рукавицы детские нагольные 0,4
14.20.10.673 Носки детские из хлопчатобумажных тканей с меховой подкладкой 0,4
14.20.10.676 Носки детские нагольные 0,4
15.20.32.131 Тапочки детские меховые 0,4
15.20.32.132 Тапочки детские шубные 0,4
10.86.10.210 Консервы овощные для детского и диетического питания, кроме томатных 0,4
10.86.10.211 Консервы овощные гомогенизированные для детского и диетического питания 0,4
10.86.10.212 Консервы овощные протертые для детского и диетического питания 0,4
10.86.10.213 Консервы овощные, нарезанные кусочками, для детского и диетического питания 0,4
10.86.10.220 Консервы томатные для детского питания 0,4
10.86.10.240 Консервы для детского и диетического питания (кроме овощных); продукция соковая из фруктов и фруктово-овощная для детского питания 0,4
10.86.10.241 Консервы фруктовые и фруктово-овощные гомогенизированные для детского питания 0,4
10.86.10.242 Консервы фруктовые и фруктово-овощные протертые для детского питания 0,4
10.86.10.243 Соки фруктовые и фруктово-овощные для детского питания 0,4
10.86.10.244 Консервы фруктовые и фруктово-овощные диетические 0,4
10.86.10.245 Напитки сокосодержащие фруктовые и фруктово-овощные для детского питания 0,4
10.86.10.246 Нектары фруктовые и фруктово-овощные для детского питания 0,4
10.86.10.247 Морсы для детского питания 0,4

При торговле смешанным ассортиментом товаров применяется максимальное значение коэффициента Кв из числа значений коэффициентов, установленных по видам товара, торговля которыми осуществляется на данном объекте торговли.

При торговле смешанным ассортиментом товаров в сельских поселениях значение коэффициента Кв устанавливается в размере 0,6.

Код вида продукции определяется по Общероссийскому классификатору продукции.

Таблица 4

Коэффициенты общественного питания (К2)

Место расположения объекта (*) Коэффициенты общественного питания (К2)
рестораны, кафе, бары столовые, закусочные, другие предприятия общественного питания (кроме ресторанов, кафе, баров), реализующие алкогольную продукцию столовые, закусочные, другие предприятия общественного питания (кроме ресторанов, кафе, баров), не реализующие алкогольную продукцию
Муниципальное образование город Богородицк Богородицкого района 0,9 0,8 0,5
Муниципальные образования Товарковское, Иевлевское Богородицкого района 0,7 0,5 0,2
Муниципальные образования Бегичевское, Бахметьевское Богородицкого района 0,6 0,3 0,1

Таблица 5

Корректирующий коэффициент базовой доходности К2 для исчисления суммы ЕНВД при осуществлении деятельности по оказанию услуг по передаче во временное владение и (или) в пользование торговых мест, расположенных в объектах стационарной торговой сети, не имеющих торговых залов, объектов нестационарной торговой сети, а также объектов организации общественного питания, не имеющих зала обслуживания посетителей

N п/п Наименование видов деятельности К2
1 Оказание услуг по передаче во временное владение и (или) в пользование торговых мест, расположенных в объектах стационарной торговой сети, не имеющих торговых залов, объектов нестационарной торговой сети, а также объектов организации общественного питания, не имеющих зала обслуживания посетителей, если площадь каждого из них:
- не превышает 5 кв. м 0,5
- от 5,1 кв. м до 50 кв. м 0,4
- от 50,1 кв. м до 150 кв. м 0,3
- свыше 150 кв. м 0,2

Таблица 6

Корректирующий коэффициент базовой доходности К2 для исчисления суммы ЕНВД при осуществлении деятельности по оказанию услуг по передаче во временное владение и (или) в пользование земельных участков для размещения объектов стационарной и нестационарной торговой сети, а также объектов организации общественного питания

N п/п Наименование видов деятельности К2
1 Оказание услуг по передаче во временное владение и (или) в пользование земельных участков для размещения объектов стационарной и нестационарной торговой сети, а также объектов организации общественного питания, если площадь земельного участка:
- не превышает 10 кв. м 0,5
- от 10,1 кв. м до 150 кв. м 0,4
- от 150,1 кв. м до 500 кв. м 0,3
- свыше 500 кв. м 0,2

Утвержден Решением Собрания представителей муниципального образования Киреевский район
от 30.10.2013 N 2-19 (ред. от 23.12.2016),
Решением Собрания представителей муниципального образования Киреевский район
от 30.11.2016 N 45-237

КИРЕЕВСКИЙ

Единый налог вводится в отношении следующих видов предпринимательской деятельности:

1) оказание бытовых услуг. Коды видов деятельности в соответствии с Общероссийским классификатором видов экономической деятельности и коды услуг в соответствии с Общероссийским классификатором продукции по видам экономической деятельности, относящихся к бытовым услугам, определяются Правительством Российской Федерации;

2) оказания ветеринарных услуг;

3) оказания услуг по ремонту, техническому обслуживанию и мойке автомототранспортных средств;

4) оказания услуг по предоставлению во временное владение (в пользование) мест для стоянки автомототранспортных средств, а также по хранению автомототранспортных средств на платных стоянках (за исключением штрафных автостоянок);

5) оказания автотранспортных услуг по перевозке пассажиров и грузов, осуществляемых организациями и индивидуальными предпринимателями, имеющими на праве собственности или ином праве (пользования, владения и (или) распоряжения) не более 20 транспортных средств, предназначенных для оказания таких услуг;

6) розничной торговли, осуществляемой через магазины и павильоны с площадью торгового зала не более 150 квадратных метров по каждому объекту организации торговли. Розничная торговля, осуществляемая через магазины и павильоны с площадью торгового зала более 150 квадратных метров по каждому объекту организации торговли, признается видом предпринимательской деятельности, в отношении которого единый налог не применяется;

7) розничной торговли, осуществляемой через объекты стационарной торговой сети, не имеющей торговых залов, а также объекты нестационарной торговой сети;

8) оказания услуг общественного питания, осуществляемых через объекты организации общественного питания с площадью зала обслуживания посетителей не более 150 квадратных метров по каждому объекту организации общественного питания. Оказание услуг общественного питания, осуществляемых через объекты организации общественного питания с площадью зала обслуживания посетителей более 150 квадратных метров по каждому объекту организации общественного питания, признается видом предпринимательской деятельности, в отношении которого единый налог не применяется;

9) оказания услуг общественного питания, осуществляемых через объекты организации общественного питания, не имеющие зала обслуживания посетителей;

10) распространения наружной рекламы с использованием рекламных конструкций;

11) размещения рекламы с использованием внешних и внутренних поверхностей транспортных средств;

12) оказания услуг по временному размещению и проживанию организациями и предпринимателями, использующими в каждом объекте предоставления данных услуг общую площадь помещений для временного размещения и проживания не более 500 квадратных метров;

13) оказания услуг по передаче во временное владение и (или) в пользование торговых мест, расположенных в объектах стационарной торговой сети, не имеющих торговых залов, объектов нестационарной торговой сети, а также объектов организации общественного питания, не имеющих залов обслуживания посетителей;

14) оказания услуг по передаче во временное владение и (или) в пользование земельных участков для размещения объектов стационарной и нестационарной торговой сети, а также объектов организации общественного питания

Значения корректирующего коэффициента базовой доходности К2, учитывающего совокупность особенностей ведения предпринимательской деятельности, при исчислении суммы единого налога на вмененный доход для отдельных видов деятельности определяются:

При оказании бытовых услуг, их групп, подгрупп, видов и (или) отдельных бытовых услуг, классифицируемых в соответствии с Общероссийским классификатором услуг населению

По формуле:

,

где:

Ку - коэффициент бытовых услуг, определяется в соответствии со значениями, приведенными в приложении 1 к настоящему решению;

Кт - коэффициент города (категории городского округа, городского или сельского поселения), определяется в соответствии со значениями, приведенными в приложении 2 к настоящему решению.

В случае если при определении коэффициента К2 для бытовых услуг значения коэффициента К2 получаются менее 0,005, устанавливается коэффициент К2, равный 0,005;

При оказании услуг по ремонту, техническому обслуживанию и мойке автомототранспортных средств

По формуле:

,

где:

Кт - коэффициент города (городского или сельского поселения), определяется в соответствии со значениями, приведенными в приложении 2 к настоящему решению;

При оказании услуг по предоставлению во временное владение (в пользование) мест для стоянки автомототранспортных средств, а также по хранению автотранспортных средств на платных автостоянках (за исключением штрафных автостоянок):

,

где:

Кт - коэффициент города (городского или сельского поселения), определяется в соответствии со значениями, приведенными в приложении 2 к настоящему решению;

Для розничной торговли, осуществляемой через магазины и павильоны с площадью торгового зала не более 150 квадратных метров по каждому объекту организации торговли; для розничной торговли, осуществляемой через объекты стационарной торговой сети, не имеющие торговых залов, а также объекты нестационарной торговой сети

По формуле:

,

где:

Кт - коэффициент города (городского или сельского поселения), определяется в соответствии со значениями, приведенными в приложении 2 к настоящему решению;

Км - коэффициент категории места расположения объекта стационарной или нестационарной торговой сети, определяется из числа указанных для категорий городских поселений величин, приведенных в приложении 2 к настоящему решению. Отнесение улиц и (или) домов к той или иной категории места расположения объекта стационарной или нестационарной торговой сети определяется в соответствии со значениями, приведенными в приложении 5 к настоящему решению;

Кв - коэффициент вида товара, определяется в соответствии со значениями, приведенными в приложении 3 к настоящему решению;

При оказании автотранспортных услуг по перевозке пассажиров и грузов, осуществляемых организациями и индивидуальными предпринимателями, имеющими на праве собственности или ином праве (пользования, владения и (или) распоряжения, не более 20 транспортных средств, предназначенных для оказания таких услуг:

а) при оказании автотранспортных услуг по перевозке грузов , где Кт - коэффициент города (категории городского округа, городского округа, городского или сельского поселения), определяется в соответствии со значениями, приведенными в приложении 2 к настоящему решению;

б) при оказании автотранспортных услуг по перевозке пассажиров для автотранспортных средств с количеством посадочных мест:

до 5 мест
от 5 до 16 мест
от 16 до 22 мест
свыше 22 мест ,

где:

Кт - коэффициент города (категории городского округа, городского округа, городского или сельского поселения), определяется в соответствии со значениями, приведенными в приложении 2 к настоящему решению;

При оказании услуг общественного питания, осуществляемых через объекты организации общественного питания с площадью зала обслуживания посетителей не более 150 квадратных метров по каждому объекту организации общественного питания; при оказании услуг общественного питания, осуществляемых через объекты организации общественного питания, не имеющие зала обслуживания посетителей:

,

где:

Кп - коэффициент общественного питания, определяется в соответствии со значениями, приведенными в приложении 4 к настоящему решению;

При оказании ветеринарных услуг

По формуле:

,

где:

Кт - коэффициент города (категории городского округа, городского или сельского поселения), определяется в соответствии со значениями, приведенными в приложении 2 к настоящему решению;

При распространении наружной рекламы с использованием рекламных конструкций

По формуле:

,

где:

Кр - коэффициент места расположения объекта наружной рекламы, определяется в соответствии со значениями, приведенными в приложении 6 к настоящему решению;

При размещении рекламы с использованием внешних и внутренних поверхностей транспортных средств

По формуле:

,

где:

Кр - коэффициент места расположения объекта наружной рекламы, определяется в соответствии со значениями, приведенными в приложении 6 к настоящему решению;

При оказании услуг по временному размещению и проживанию

По формуле:

,

где:

Кт - коэффициент города (категории городского округа, городского или сельского поселения), определяется в соответствии со значениями, приведенными в приложении 2 к настоящему решению;

При оказании услуг по передаче во временное владение и (или) в пользование торговых мест, расположенных в объектах стационарной торговой сети, не имеющих торговых залов, объектов нестационарной торговой сети, а также объектов организации общественного питания, не имеющих залов обслуживания посетителей

По формуле:

,

где:

Кт - коэффициент города (категории городского округа, городского или сельского поселения), определяется в соответствии со значениями, приведенными в приложении 2 к настоящему решению;

При оказании услуг по передаче во временное владение и (или) в пользование земельных участков для размещения объектов стационарной и нестационарной торговой сети, а также объектов организации общественного питания:

,

где:

Кт - коэффициент города (категории городского округа, городского или сельского поселения), определяется в соответствии со значениями, приведенными в приложении 2 к настоящему решению.

При отсутствии в Таблице 5 об отнесении улиц и (или) домов к категориям места расположения объекта стационарной или нестационарной торговой сети настоящего решения значение коэффициента Км устанавливается равным 1,0.

Таблица 1

Коэффициенты услуг (Ку)

Наименование вида предпринимательской деятельности Коэффициент (Ку)
Бытовые услуги  
Код по ОКВЭД2 Наименование вида экономической деятельности Код по ОКПД2 Наименование вида продукции по ОКПД2 Коэффициент (Ку)
из 01.61 Защита садов, огородов и зеленых насаждений от вредителей и болезней по индивидуальному заказу населения 01.61.10.140 Услуги по защите сельскохозяйственных культур от болезней и вредителей 0,35
из 10.11.4 Выделка шкур животных по индивидуальному заказу населения из 10.11.4 Услуги по выделке шкур животных по индивидуальному заказу населения 0,35
из 10.13.2 Изготовление и копчение колбас по индивидуальному заказу населения из 10.13.14 Услуги по изготовлению и копчению колбас по индивидуальному заказу населения 0,35
из 10.31 Переработка картофеля по индивидуальному заказу населения из 10.31 Услуги по переработке картофеля по индивидуальному заказу населения 0,35
из 10.41 Переработка маслосемян по индивидуальному заказу населения из 10.41 Услуги по переработке маслосемян по индивидуальному заказу населения 0,35
из 10.61.2 Помол зерна по индивидуальному заказу населения из 10.61.2 Услуги по помолу зерна по индивидуальному заказу населения 0,35
из 10.61.3 Обдирка круп по индивидуальному заказу населения из 10.61.3 Услуги по обдирке круп по индивидуальному заказу населения 0,35
из 13.10.9 Переработка давальческой мытой шерсти на трикотажную пряжу по индивидуальному заказу населения из 13.10.93.120 Услуги по переработке давальческой мытой шерсти на трикотажную пряжу по индивидуальному населению 0,35
из 13.30.3 Выполнение плиссировочных и гофрировочных работ по индивидуальному заказу населения     0,21
13.92.2 Пошив готовых текстильных изделий по индивидуальному заказу населения, кроме одежды 13.92.99.210 Услуги по пошиву столового и постельного белья по индивидуальному заказу населения 0,57
13.92.99.220 Услуги по пошиву стеганых покрывал, накидок по индивидуальному заказу населения 0,57
13.92.99.230 Услуги по пошиву чехлов всех видов по индивидуальному заказу населения 0,57
    13.92.99.240 Услуги по пошиву штор, драпировок по индивидуальному заказу населения 0,57
13.92.99.250 Услуги по пошиву сопутствующих изделий (салфетки, фартуки и др.) по индивидуальному заказу населения 0,57
13.99.4 Изготовление прочих текстильных изделий по индивидуальному заказу населения, не включенных в другие группировки 13.99.99.210 Услуги по изготовлению изделий текстильной галантереи по индивидуальному заказу населения 0,25
13.99.99.220 Услуги по изготовлению кружевных изделий и изделий художественного ткачества по индивидуальному заказу населения 0,25
13.99.99.230 Услуги по изготовлению жалюзи из тканей по индивидуальному заказу населения 0,25
13.99.99.240 Услуги по изготовлению отделочных деталей по индивидуальному заказу населения 0,25
14.11.2 Пошив одежды из кожи по индивидуальному заказу населения 14.11.99.200 Услуги по пошиву одежды из натуральной и искусственной кожи, замши по индивидуальному заказу населения 0,57
14.12.2 Пошив производственной одежды по индивидуальному заказу населения 14.12.99.200 Услуги по пошиву производственной одежды по индивидуальному заказу населения 0,57
14.12.99.220 Услуги по пошиву костюмов для охотников и рыболовов по индивидуальному заказу населения 0,57
14.13.3 Пошив и вязание прочей верхней одежды по индивидуальному заказу населения 14.13.99.200 Услуги по пошиву верхней одежды по индивидуальному заказу населения 0,57
14.13.99.210 Услуги по пошиву стеганых пальто, курток и жилетов по индивидуальному заказу населения 0,57
14.13.99.230 Услуги по пошиву плащей, курток, накидок и других изделий из тканей с водоотталкивающей пропиткой, прорезиненных тканей по индивидуальному заказу населения 0,57
14.13.99.240 Услуги по пошиву мужских, женских детских верхних трикотажных изделий по индивидуальному заказу населения 0,57
14.13.99.250 Услуги по вязанию верхних трикотажных изделий по индивидуальному заказу населения 0,57
14.14.4 Пошив нательного белья по индивидуальному заказу населения 14.14.99.200 Услуги по пошиву нательного белья по индивидуальному заказу населения 0,57
14.14.99.210 Услуги по пошиву легкой одежды по индивидуальному заказу населения 0,57
    14.14.99.220 Услуги по пошиву мужского, женского белья по индивидуальному заказу населения 0,57
14.14.99.230 Услуги по пошиву корсетных изделий по индивидуальному заказу населения 0,57
14.19.5 Пошив и вязание прочей одежды и аксессуаров одежды, головных уборов по индивидуальному заказу населения 14.19.99.200 Услуги по пошиву прочей одежды и аксессуаров по индивидуальному заказу населения 0,57
14.19.99.210 Услуги по пошиву мужской, женской и детской спортивной одежды по индивидуальному заказу населения 0,57
14.19.99.220 Услуги по пошиву национальной одежды по индивидуальному заказу населения 0,57
14.19.99.230 Услуги по пошиву одежды для новорожденных по индивидуальному заказу населения 0,57
14.19.99.240 Услуги по пошиву мужских, женских и детских головных уборов по индивидуальному заказу населения 0,57
14.19.99.241 Услуги по пошиву мужских, женских и детских головных уборов из натурального меха по индивидуальному заказу населения 0,57
    14.19.99.242 Услуги по пошиву мужских и женских формованных головных уборов по индивидуальному заказу населения 0,57
14.19.99.250 Услуги по пошиву одежды в ансамбле (комплектная одежда) по индивидуальному заказу населения 0,57
14.19.99.260 Услуги по пошиву одежды из заранее изготовленных полуфабрикатов по индивидуальному заказу населения 0,57
14.19.99.270 Услуги по вязанию платочно-шарфовых изделий по индивидуальному заказу населения 0,57
14.19.99.280 Услуги по вязанию головных уборов по индивидуальному заказу населения 0,57
14.19.99.290 Услуги по вязанию перчаточных изделий по индивидуальному заказу населения 0,57
14.202 Пошив меховых изделий по индивидуальному заказу населения 14.20.99.200 Услуги по пошиву меховых изделий по индивидуальному заказу населения 0,57
    14.20.99.210 Услуги по пошиву одежды из меха по индивидуальному заказу населения 0,57
14.20.99.220 Услуги по пошиву пристегивающихся воротников, капюшонов, манжет из натурального и искусственного меха по индивидуальному заказу населения 0,57
14.31.2 Изготовление вязаных и трикотажных чулочно-носочных изделий по индивидуальному заказу населения 14.31.99.200 Услуги по изготовлению трикотажных и вязаных чулочно-носочных изделий по индивидуальному заказу населения 0,57
14.39.2 Изготовление прочих вязаных и трикотажных изделий, не включенных в другие группировки по индивидуальному заказу населения 14.39.99.20 Услуги по изготовлению прочих трикотажных и вязаных изделий, не включенные в другие группировки по индивидуальному заказу населения 0,57
15.205 Пошив обуви и различных дополнений к обуви по индивидуальному заказу населении 15.20.99.200 Услуги по пошиву обуви по индивидуальному заказу населения  
15.20.99.211 Услуги по пошиву повседневной обуви по индивидуальному заказу населении 0,7 <*>
15.20.99.212 Услуги по пошиву модельной обуви по индивидуальному заказу населения 0,7
15.20.99.213 Услуги по пошиву домашней обуви по индивидуальному заказу населения 0,7
15.20.99.214 Услуги по пошиву детской обуви по индивидуальному заказу населения 0,7
15.20.99.215 Услуги по пошиву национальной обуви по индивидуальному заказу населения 0,7
    15.20.99.216 Услуги по пошиву сувенирной обуви по индивидуальному заказу населения 0,7
15.20.99.217 Услуги по изготовлению валяной обуви 0,55
15.20.99.218 Услуги по пошиву обуви по эскизам заказчика по индивидуальному заказу населения 0,7
15.20.99.219 Услуги по пошиву обуви из натуральных материалов с отделками из псиных мехов по индивидуальному заказу населения 0,7
15.20.99.221 Услуги по пошиву зимней обуви из меха по индивидуальному заказу населения 0,7
15.20.99.222 Услуги по пошиву обуви из искусственной и синтетической кожи по индивидуальному заказу населения 0,7
    15.20.99.223 Услуги по пошиву обуви из текстиля по индивидуальному заказу населения 0,7
15.20.99.229 Услуги по пошиву прочей обуви по индивидуальному заказу населения 0,7
15.20.99.230 Услуги по изготовлению различных дополнений к обуви по индивидуальному заказу населения 0,7
из 16.24 Ремонт и изготовление бондарной посуды по индивидуальному заказу населения из 16.24.12 Услуги по ремонту и изготовлению бондарной посуды по индивидуальному заказу населения 0,35
из 16.29.3 Изготовление и ремонт деревянных лодок по индивидуальному заказу населения 16.29.99.200 Услуги по изготовлению и ремонту деревянных лодок по индивидуальному заказу населения 0,35
из 18.14 Переплетные, брошюровочные, окантовочные, картонажные работы по индивидуальному заказу населения 18.14.10.200 Услуги переплетные, брошюровочные, окантовочные, картонажные работы по индивидуальному заказу населения 0,35
23.70.2 <*> Резка, обработка и отделка камня для памятников из 23.70.1 Резка, обработка и отделка камня для памятников по индивидуальному заказу населения 0,38
из 25.50.1 Кузнечные работы по индивидуальному заказу населения 25.50.11.110 Кузнечные работы по индивидуальному заказу населения 0,43
из 25.61 Хромирование и никелирование металлов; лужение металлической посуды и самоваров по индивидуальному заказу населения 25.61.11.112 Лужение металлической посуды и самоваров по индивидуальному заказу населения 0,43
25.61.11.140 Хромирование и никелирование по индивидуальному заказу населения 0,43
из 25.62 Газовая и электрическая сварка по индивидуальному заказу населения 25.62.20 Газовая и электрическая сварка по индивидуальному заказу населения 0,8
25.99.3 Изготовление готовых металлических изделий хозяйственного назначения по индивидуальному заказу населения 25.99.99.200 Услуги по изготовлению готовых металлических изделий хозяйственного назначения по индивидуальному заказу населения 0,8
25.99.99.211 Услуги по изготовлению ажурных декоративных решеток из металла по индивидуальному заказу населения 0,8
25.99.99.212 Услуги по изготовлению багажных корзинок по индивидуальному заказу населения 0,8
25.99.99.213 Услуги по изготовлению чеканных панно и рамок по индивидуальному заказу населения 0,8
25.99.99.214 Услуги по изготовлению секций парниковых теплиц по индивидуальному заказу населения 0,8
    25.99.99.215 Услуги по изготовлению подвесок под декоративные тарелки по индивидуальному заказу населения 0,8
25.99.99.216 Услуги по изготовлению электроводонагревателей по индивидуальному заказу населения 0,8
    25.99.99.217 Услуги по изготовлению металлической посуды по индивидуальному заказу населения 0,8
25.99.99.218 Услуги по изготовлению памятников, ограждений, ворот из металла по индивидуальному заказу населения 0,8
25.99.99.219 Услуги по изготовлению мангалов по индивидуальному заказу населения 0,8
25.99.99.221 Услуги по изготовлению емкостей, тепловых шкафов, поддонов, труб и др. изделий из металла, в том числе по эскизам заказчика по индивидуальному заказу населения 0,8
25.99.99.222 Услуги по изготовлению сшивно-кровельного покрытия из железа по индивидуальному заказу населения 0,8
    25.99.99.223 Услуги по изготовлению деталей к бытовым машинам и приборам по индивидуальному заказу населения 0,8
25.99.99.223 Услуги по изготовлению деталей к бытовым машинам и приборам по индивидуальному заказу населения 0,8
25.99.99.224 Услуги по изготовлению механизмов для зашторивания по индивидуальному заказу населения 0,8
25.99.99.229 Услуги по изготовлению прочих металлических предметов хозяйственного назначения по индивидуальному заказу населения 0,8
31.02.2 Изготовление кухонной мебели по индивидуальному заказу населения 31.02.99.200 Услуги по изготовлению кухонной мебели по индивидуальному заказу населения 0,9
31.09.2 Изготовление прочей мебели и отдельных мебельных деталей, не включенных в другие группировки по индивидуальному заказу населения 31.09.91.112 <*> Услуги по декоративному оформлению новой мебели с применением резьбы, интарсии, накладных элементов декора 0,9
31.09.91.113 <*> Услуги по декоративно-художественному оформлению новой мебели посредством горячего тиснения, шелкографии, приклеивания анодированной фольги, позолоте и т.п. 0,9
31.09.91.115 <*> Услуги по декоративному оформлению изделий мягкой мебели путем художественной простежки облицовочной ткани и пиковки 0,9
31.09.99.200 Услуги по изготовлению прочей мебели по индивидуальному заказу населения 0,9
31.09.99.211 Услуги по изготовлению мягкой мебели по индивидуальному заказу населения 0,9
    31.09.99.212 Услуги по изготовлению плетеной мебели по индивидуальному заказу населения 0,9
31.09.99.213 Услуги по изготовлению корпусной мебели по индивидуальному заказу населения 0,9
31.09.99.214 Услуги по изготовлению секционной мебели по индивидуальному заказу населения 0,9
31.09.99.215 Услуги по изготовлению наборов мебели по индивидуальному заказу населения 0,9
31.09.99.216 Услуги по изготовлению встроенной мебели по индивидуальному заказу населения 0,9
31.09.99.217 Услуги по изготовлению дачной мебели по индивидуальному заказу населения 0,9
    31.09.99.218 Услуги по изготовлению мебели для оборудования прихожих по индивидуальному заказу населения 0,9
31.09.99.219 Услуги по изготовлению деревянных карнизов, багетных рамок по индивидуальному заказу населения 0,9
31.09.99.221 Услуги по изготовлению мебели многопланового назначения и трансформируемой мебели по индивидуальному заказу населения 0,9
31.09.99.222 Услуги по изготовлению двухсторонних стенок-перегородок по индивидуальному заказу населения 0,9
31.09.99.223 Услуги по изготовлению отдельных мебельных деталей (щитов, брусков и др.) по индивидуальному заказу населения 0,9
    31.09.99.224 Услуги по изготовлению щитков, решеток и коробок для маскировки отопительных приборов по индивидуальному заказу населения 0,9
31.09.99.229 Услуги по изготовлению прочей мебели, не включенные в другие группировки по индивидуальному заказу населения 0,9
32.12.6 Изготовление ювелирных изделий и аналогичных изделий по индивидуальному заказу населения 32.12.99.200 Услуги по изготовлению ювелирных и соответствующих изделий по индивидуальному заказу населения 0,43
32.12.99.211 Услуги по изготовлению ювелирных изделий по индивидуальному заказу населения 0,43
32.12.99.212 Услуги по изготовлению шкатулок, пудрениц, корпусов для часов по индивидуальному заказу населения 0,43
    32.12.99.213 Услуги по изготовлению накладных выпильных монограмм к ювелирным изделиям по индивидуальному заказу населения 0,43
32.12.99.214 Услуги по изготовлению ювелирных изделий методом литья по выплавляемым моделям по индивидуальному заказу населения 0,43
32.12.99.215 Услуги по изготовлению памятных медалей по индивидуальному заказу населения 0,43
32.12.99.216 Услуги по чеканке и гравировке ювелирных изделий по индивидуальному заказу населения 0,43
32.12.99.217 Услуги по чернению изделий из серебра по индивидуальному заказу населения 0,43
    32.12.99.218 <*> Услуги по обработке поделочных ювелирных камней и закрепление их в ювелирных изделиях 0,43
32.12.99.219 Услуги по изготовлению прочих ювелирных изделий по индивидуальному заказу населения 0,43
32.13.2 Изготовление бижутерии и подобных товаров по индивидуальному заказу населения 32.13.99.200 Услуги по изготовлению бижутерии и подобных изделий по индивидуальному заказу населения 0,43
32.13.99.210 Услуги по изготовлению браслетов к часам по индивидуальному заказу населения 0,43
из 32.99.4 Изготовление париков, накладок, шиньонов по индивидуальному заказу населения из 32.99.30 Услуги по изготовлению париков, накладок, шиньонов по индивидуальному заказу населения 0,70
из 32.99.9 Изготовление гробов по индивидуальному заказу населения из 32.99.59 Изготовление гробов, в т.ч. цинковых по индивидуальному заказу населения 0,38
из 33.12 Ремонт бензомоторных пил, бытовых электроинструментов (электродрелей, электролобзиков, электропаяльников, электрорубанков и др.), бытовых электропил по индивидуальному заказу населения 33.12.17 <*> Услуги по ремонту и техническому обслуживанию ручных инструментов с механическим приводом 0,7
из 33.13 Ремонт электронного и оптического оборудования, такого как микроскопов (кроме электронных и протонных микроскопов), телескопов, призм и линз (кроме офтальмологических), фотографического оборудования и таймеров из 33.13.11 <*> Услуги по ремонту и техническому обслуживанию инструментов и приборов для измерения, испытаний и навигации (микроскопов (кроме электронных и протонных микроскопов), телескопов, призм и линз (кроме офтальмологических) и таймеров) 0,7
из 33.15 Техническое обслуживание и ремонт катеров по индивидуальному заказу населения из 33.15.10 Услуги по техническому обслуживанию и ремонту катеров по индивидуальному заказу населения 0,7
из 33.19 <*> Восстановление органов и прочих исторических музыкальных инструментов из 33.19.10 Услуги по ремонту органов и исторических музыкальных инструментов по индивидуальному заказу населения 1,00
из 38.32 Утилизация автотранспортных средств и их составных частей по индивидуальному заказу населения из 38.32.1 Утилизация автотранспортных средств и их составных частей по индивидуальному заказу населения 1,00
41.10 <**> Разработка строительных проектов из 41.10.10 Услуги по разработке проектно-сметной документации по индивидуальному заказу населения 0,52
из 41.20 <**> Строительство индивидуальных домов; возведение пристроек и хозяйственных построек (сараи, навесы, летние кухни, бани, душевые и т.д.), садовых домиков; индивидуальных гаражей; сборка и монтаж сборных сооружений на строительном участке, в том числе изготовление и сборка бревенчатых и брусчатых срубов; сборка щитовых домов заводского изготовления; пристройка к домам дополнительных помещений (веранд, туалетов и др.) по индивидуальному заказу населения; реконструкция или ремонт существующих жилых и нежилых зданий, ремонт домов и квартир, садовых (дачных) домиков, пристроек и хозяйственных построек, бань и душевых, а также спортивных сооружений из 41.20.30 <**> Работы по строительству новых объектов, возведению пристроек, реконструкции и ремонту зданий; ремонт домов, квартир по заказам населения; переборка бревенчатых и брусчатых срубов; ремонт подвальных помещений, погребов; ремонт садовых (дачных) домиков; - ремонт хозяйственных построек (сараев, навесов, летних кухонь и др.); строительство индивидуальных домов; строительство хозяйственных построек; изготовление и сборка бревенчатых и брусчатых срубов; сборка щитовых домов заводского изготовления; строительство садовых домиков; пристройка к домам дополнительных помещений (веранд, туалетов и др.); строительство индивидуальных бань и душевых  
строительство 1,00
ремонт 0,52
из 41.20.40 <**> Строительство и ремонт индивидуальных гаражей  
строительство 1,00
ремонт 0,52
из 42.21 <**> Установка и ремонт водозаборного оборудования, арматуры и трубопроводов; установка и ремонт систем водоочистки; прокладка и ремонт местных газопроводов; строительство колодцев; бурение и оборудование скважин по индивидуальному заказу населения 42.21.22 <**> Работы строительные по прокладке местных трубопроводов 1,00
из 42.21.23 Установка и ремонт водозаборного оборудования, арматуры; установка и ремонт систем водоочистки по индивидуальному заказу населения 1,00
из 42.21.24.110 Строительство колодцев; бурение и оборудование скважин по индивидуальному заказу населения 1,00
из 43.21 <**> Монтаж электропроводки и электроарматуры, телекоммуникаций, компьютерной сети и проводки кабельного телевидения, включая оптоволоконные линии связи, антенн всех типов, включая спутниковые антенны, осветительных систем, пожарной сигнализации, систем охранной сигнализации; выполнение работ по подводке электросетей для подключения электроприборов, кодовых замков, домофонов и прочего оборудования, включая плинтусное отопление из 43.21.10 <**> Электромонтажные работы, связанные с установкой приборов; работы по монтажу систем пожарной сигнализации и охранной сигнализации; работы по монтажу антенн всех типов, включая спутниковые антенны, в жилых зданиях, работы по монтажу проводных и кабельных сетей кабельного телевидения в здании; электромонтажные работы по прокладке телекоммуникационной проводки; электромонтажные работы по монтажу прочего электрического оборудования, включая электрические солнечные коллекторы и плинтусные обогреватели, зданий и сооружений; услуги по установке кодовых замков и домофонов для частных домовладений; работы по установке приборов учета расхода электроэнергии 0,36
из 43.22 <**> Ремонт душевых водогрейных установок (электрических, газовых, дровяных); монтаж и ремонт сантехнического оборудования; ремонт домашних отопительных котлов по индивидуальному заказу населения 43.22.11.120 <**> Работы по монтажу санитарно-технических приборов 0,7
43.22.12.140 <*> Работы по ремонту и техническому обслуживанию бытовых отопительных котлов и бойлеров 0,7
из 43.29 <**> Монтаж систем тепловой, звуковой и виброизоляции; ремонт ограждений (кроме металлических) по индивидуальному заказу населения 43.29.11 <**> Работы изоляционные 1,00
43.29.12.110 <**> Работы по установке оград, заборов, защитных перильных и аналогичных ограждений 0,7
43.31 <**> Производство штукатурных работ 43.31.10 <**> Работы штукатурные 1,00
43.32 <**> Работы столярные и плотничные 43.32.10 <**> Работы столярные и плотничные 0,8
43.32.1 <**> Установка дверей (кроме автоматических и вращающихся), окон, дверных и оконных рам из дерева или прочих материалов
43.32.2 <**> Работы по установке внутренних лестниц, встроенных шкафов, встроенного кухонного оборудования
43.32.3 <**> Производство работ по внутренней отделке зданий (включая потолки, раздвижные и съемные перегородки и т.д.)
43.33 <**> Работы по устройству покрытий полов и облицовке стен 43.33.10 <**> Работы по облицовке полов и стен плитками 0,8
43.33.2 <**> Работы по устройству покрытий полов и стен прочие, включая работы обойные 0,8
43.34 <**> Производство малярных и стекольных работ 43.34 <**> Работы малярные и стекольные 0,8
43.34.1 <**> Производство малярных работ
43.34.2 <**> Производство стекольных работ
из 43.39 <**> Изготовление и монтаж лепных элементов по индивидуальному заказу населения; пробивка отверстий и установка креплений для подвешивания на стенах предметов домашнего обихода по индивидуальному заказу населения 43.39.11 <**> Работы отделочные декоративные 0,8
43.91 <**> Производство кровельных работ 43.91.19 <**> Работы кровельные прочие 0,8
43.99.1 <**> Работы гидроизоляционные 43.99.10 <**> Работы гидроизоляционные 0,8
из 43.99.4 Изготовление железобетонных строительных деталей и изделий по индивидуальному заказу населения 43.99.40 <**> Работы бетонные и железобетонные прочие, не включенные в другие группировки 0,8
из 43.99.6 Кладка, ремонт и перекладка печей, очагов, дымоходов, газоходов по индивидуальному заказу населения из 43.99.60 <**> Кладка, ремонт и перекладка печей, дымоходов и газоходов  
кладка печей, очагов, дымоходов, газоходов 1,00
ремонт и перекладка печей, дымоходов и газоходов 0,52
из 43.99.9 <*> Работы по устройству частных плавательных бассейнов 43.99.90.130 <**> Работы строительные по строительству открытых плавательных бассейнов 1,00
43.99.90.140 <**> Работы строительные по устройству декоративных каминов, печей, очагов, дымоходов, газоходов 1,00
из 43.99.90.190 <*> Укладка тротуарной плитки на садовых участках 0,52
47.78.22 <*> Сборка и ремонт очков в специализированных магазинах 47.78.20.200 <*> Услуги по сборке и ремонту очков в специализированных магазинах 0,35
из 58.19 Изготовление и печатание визитных карточек и пригласительных билетов на семейные торжества по индивидуальному заказу населения из 58.19.11.200 Услуги по изготовлению и печатанию визитных карточек и пригласительных билетов на семейные торжества по индивидуальному заказу населения 0,35
из 74.10 Консультации по оформлению интерьера жилого помещения; разработка эскизов и оформление интерьера жилых помещений; консультация художника-модельера по индивидуальному заказу населения 74.10.11 <*> Услуги по дизайну интерьеров 0,52
из 74.10.19 Изготовление эскизов и чертежей на мебельные изделия по заказам населения, консультация художника-модельера по индивидуальному заказу населения 0,52
74.20 <*> Деятельность в области фотографии 74.20.21 <*> Услуги портретной фотографии 0,75
74.20.21.111 <*> Услуги по изготовлению в павильоне черно-белых и цветных фотоснимков для документов 0,75
    74.20.21.112 <*> Услуги по изготовлению в павильоне черно-белых и цветных художественных, в том числе комбинированных, фотоснимков 0,75
74.20.21.113 <*> Услуги по изготовлению вне павильона черно-белых и цветных фотоснимков для документов 0,75
74.20.21.114 <*> Услуги по изготовлению малоформатных фотоснимков в фотоавтоматах 0,75
74.20.21.115 <*> Услуги по изготовлению портретов с негатива или фотоснимка заказчика 0,75
    74.20.21.116 <*> Услуги по изготовлению вне павильона черно-белых и цветных художественных фотоснимков 0,75
74.20.21.119 <*> Прочие услуги в области портретной фотографии 0,75
    74.20.23 <*> Услуги в области фото- и видеосъемки событий 0,75
74.20.31 <*> Услуги по обработке фотоматериалов 0,75
74.20.32 <*> Услуги по восстановлению и ретушированию фотографий 0,75
74.20.39 <*> Услуги в области фотографии прочие, не включенные в другие группировки 0,51
74.30 <*> Деятельность по письменному и устному переводу 74.30 <*> Услуги по письменному и устному переводу 0,19
из 77.11 <*> Прокат легковых автомобилей и легких автотранспортных средств (мотоциклов, мотороллеров, мопедов, велосипедов, прицепов) из 77.11.10 <*> Прокат легковых автомобилей и легких автотранспортных средств (мотоциклов, мотороллеров, мопедов, велосипедов, прицепов) 0,19
из 77.12 <*> Прокат грузовых транспортных средств из 77.12.11 <*> Прокат грузовых транспортных средств 0,19
из 77.21 <*> Прокат товаров для отдыха и спортивных товаров из 77.21.10 <*> Прокат товаров для отдыха и спортивных товаров 0,19
77.22 <*> Прокат видеокассет и аудиокассет, грампластинок, компакт-дисков (CD), цифровых видеодисков (DVD) 77.22.10 <*> Услуги по прокату видеокассет и аудиокассет, грампластинок, компакт-дисков (CD), цифровых видеодисков (DVD) 0,19
из 77.29 <*> Прокат прочих предметов личного пользования и хозяйственно-бытового назначения 77.29 <*> Услуги по прокату прочих бытовых изделий и предметов личного пользования 0,19
из 77.29.1 <*> Прокат телевизоров, радиоприемников, устройств видеозаписи, аудиозаписи и подобного оборудования
из 77.29.2 <*> Прокат мебели, электрических и неэлектрических бытовых приборов
из 77.29.3 <*> Прокат музыкальных инструментов
из 77.29.9 <*> Прокат прочих бытовых изделий и предметов личного пользования для домашних хозяйств
из 77.31 <*> Прокат сельскохозяйственных машин и оборудования из 77.31.10 <*> Прокат сельскохозяйственных машин и оборудования 0,19
из 77.33 <*> Прокат офисных машин и оборудования, включая вычислительную технику из 77.33.1 <*> Прокат офисных машин и оборудования, включая вычислительную технику  
из 77.33.1 <*> Прокат офисных машин и оборудования 0,19
из 77.33.2 <*> Прокат вычислительных машин и оборудования 1,00
81.21.1 <*> Деятельность по уборке квартир и частных домов из 81.21.10 Услуги по уборке квартир по индивидуальному заказу населения 0,19
из 81.22 Услуги по чистке печей и дымоходов по индивидуальному заказу населения 81.22.11 <*> Услуги по мытью окон 0,19
81.22.13 <*> Услуги по чистке печей и дымоходов 0,52
из 81.29.1 Санитарно-гигиеническая обработка помещений и сантехнического оборудования; чистка и дезинфекция кухонного оборудования по индивидуальному заказу населения из 81.29.13 <*> Санитарно-гигиеническая обработка помещений и сантехнического оборудования, чистка и дезинфекция кухонного оборудования 0,19
из 81.29.2 Очистка крутых кровель от снега и льда по индивидуальному заказу населения из 81.29.12 <*> Очистка крутых кровель от снега и льда 0,19
из 81.29.9 Чистка сливных и канализационных решеток, труб и желобов; уход за декоративными изделиями из стекла, металла, дерева, кожи; уход за лепными и скульптурными украшениями; чистка жалюзи по индивидуальному заказу населения из 81.29.19 <*> Чистка сливных и канализационных решеток, труб и желобов, уход за декоративными изделиями из стекла, металла, дерева, кожи, уход за лепными и скульптурными украшениями, чистка жалюзи 0,19
из 81.30 Благоустройство придомовых территорий; услуги ландшафтного дизайна по индивидуальному заказу населения из 81.30.10 Благоустройство придомовых территорий; услуги ландшафтного дизайна по индивидуальному заказу населения 0,52
из 82.19 Деятельность секретаря-референта, в том числе со знанием иностранного языка; услуги машинистки-стенографистки по индивидуальному заказу населения из 82.19.13 Услуги секретаря-референта, в том числе со знанием иностранного языка; услуги машинистки-стенографистки по индивидуальному заказу населения 0,19
из 88.10 <*> Деятельность по присмотру за больными из 88.10.14 <*> Услуги по присмотру за больными 0,19
из 88.91 <*> Деятельность по присмотру за детьми из 88.91.13 <*> Услуги по присмотру за детьми 0,19
93.29.3 <*> Организация обрядов (свадеб, юбилеев), в т.ч. музыкальное сопровождение из 93.29.19 <*> Услуги по организации обрядов (свадеб, юбилеев), в т.ч. музыкальное сопровождение обрядов 0,13
из 93.29.9 Услуги по организации фейерверков по индивидуальному заказу населения; приобретение, доставка и вручение сувениров, подарков с поздравлением сказочных персонажей по индивидуальному заказу населения Приобретение, доставка и вручение сувениров, подарков с поздравлением сказочными персонажами на дому 0,19
93.29.21 <*> Услуги по проведению фейерверков, световых и звуковых представлений
95.11 <*> Ремонт компьютеров и периферийного компьютерного оборудования 95.11.10.110 <*> Услуги по ремонту электрокалькуляторов, персональных машин ЭВМ, компьютерной техники, включая ноутбуки, принтеры, сканеры, процессоры, мониторы, компьютерную клавиатуру 0,36
95.11.10.120 <*> Услуги по ремонту ксерокопировальных аппаратов 0,36
95.11.10.130 <*> Услуги по заправке картриджей для принтеров 0,36
95.11.10.190 <*> Услуги по ремонту прочего компьютерного и периферийного компьютерного оборудования 0,36
95.12 <*> Ремонт коммуникационного оборудования 95.12.10 <*> Услуги по ремонту коммуникационного оборудования 0,36
95.21 <*> Ремонт электронной бытовой техники 95.21.10.100 <*> Услуги по ремонту приборов бытовой электроники 0,7
95.21.10.110 <*> Услуги по ремонту телевизоров 0,7
95.21.10.120 <*> Услуги по ремонту видеозаписывающей аппаратуры 0,7
    95.21.10.130 <*> Услуги по ремонту видеовоспроизводящей аппаратуры 0,7
95.21.10.140 <*> Услуги по ремонту звукозаписывающей и звуковоспроизводящей аппаратуры 0,7
95.21.10.150 <*> Услуги по ремонту многофункциональных бытовых радиоэлектронных аппаратов 0,7
95.21.10.160 <*> Услуги по ремонту устройств спутникового телевидения 0,7
95.21.10.190 <*> Услуги по ремонту прочей бытовой радиоэлектронной аппаратуры 0,7
95.21.10.200 <*> Услуги по техническому обслуживанию бытовой радиоэлектронной аппаратуры 0,7
95.21.10.300 <*> Услуги по установке, подключению, сопряжению бытовой радиоэлектронной аппаратуры 0,7
95.22 <*> Ремонт бытовых приборов, домашнего и садового инвентаря 95.22.10.100 <*> Услуги по ремонту бытовых машин, узлов и деталей к ним  
95.22.1 <*> Ремонт бытовой техники 95.22.10.110 <*> Услуги по ремонту холодильников, морозильников 0,7
95.22.10.120 <*> Услуги по ремонту пылесосов 0,7
95.22.10.130 <*> Услуги по ремонту электрополотеров 0,7
95.22.10.140 <*> Услуги по ремонту стиральных и сушильных машин 0,7
95.22.10.150 <*> Услуги по ремонту швейных, вязальных машин (ручных) 0,7
95.22.10.160 <*> Услуги по ремонту гладильных машин 0,7
95.22.10.170 <*> Услуги по ремонту универсальных кухонных бытовых машин, комбайнов, автоматических посудомоечных машин 0,7
    95.22.10.180 <*> Услуги по ремонту газовых и электроплит в жилых помещениях 0,7
95.22.10.190 <*> Услуги по ремонту прочих бытовых машин 0,7
95.22.10.200 <*> Услуги по ремонту бытовых приборов 0,7
95.22.10.211 <*> Услуги по ремонту приборов гигиены рта, включаемых в сеть 0,7
95.22.10.212 <*> Услуги по ремонту электрических и механических машинок для стрижки волос 0,7
95.22.10.213 <*> Услуги по ремонту электрических и механических бритв 0,7
95.22.10.214 <*> Услуги по ремонту пульверизаторов 0,7
95.22.10.215 <*> Услуги по ремонту приборов для массажа 0,7
    95.22.10.216 <*> Услуги по ремонту фенов 0,7
95.22.10.217 <*> Услуги по ремонту электрических ножниц 0,7
95.22.10.218 <*> Услуги по ремонту электровулканизаторов 0,7
95.22.10.219 <*> Услуги по ремонту бытовых электрокраскораспылителей 0,7
95.22.10.221 <*> Услуги по ремонту приборов автоматики и управления бытовых машин и приборов 0,7
95.22.10.222 <*> Услуги по ремонту фотоаппаратов, фотоувеличителей 0,7
95.22.10.223 <*> Услуги по ремонту фотовспышек, экспонометров 0,7
95.22.10.224 <*> Услуги по ремонту кинопроекторов, диапроекторов и другой проекционной аппаратуры 0,7
    95.22.10.225 <*> Услуги по ремонту биноклей 0,7
95.22.10.226 <*> Услуги по ремонту слуховых аппаратов 0,7
95.22.10.227 <*> Услуги по ремонту ручных и электрических насосов 0,7
95.22.10.228 <*> Услуги по ремонту бытовых электронагревательных приборов (электроплиток, электрорадиаторов, электрокаминов, электрогрелок, электроутюгов и др.) 0,7
95.22.10.229 <*> Услуги по ремонту бытовых весоизмерительных приборов (весов пружинных напольных), не подлежащих госповерке 0,7
95.22.10.230 <*> Услуги по ремонту бытовых кухонных приборов 0,7
95.22.10.241 <*> Услуги по ремонту медогонок, сепараторов 0,7
    95.22.10.242 <*> Услуги по ремонту бытовых электровоздухоочистителей и надплитных электрофильтров 0,7
95.22.10.243 <*> Услуги по ремонту комнатных кондиционеров воздуха 0,7
95.22.10.244 <*> Услуги по ремонту увлажнителей воздуха, озонаторов, бытовых ионизаторов 0,7
95.22.10.245 <*> Услуги по ремонту вентиляторов, теплоэлектровентиляторов, калориферов 0,7
95.22.10.246 <*> Услуги по ремонту электроприборов для загара 0,7
95.22.10.247 <*> Услуги по ремонту сифонов и автосифонов, в том числе зарядка газовых баллончиков для сифонов 0,7
95.22.10.248 <*> Услуги по ремонту электрозвонков 0,7
    95.22.10.249 <*> Услуги по ремонту бытовых компрессоров и микрокомпрессоров 0,7
95.22.10.251 <*> Услуги по ремонту трансформаторов и стерилизаторов напряжения 0,7
    95.22.10.252 <*> Услуги по ремонту устройств для измельчения пищевых отходов 0,7
95.22.10.253 <*> Услуги по ремонту баков для кипячения белья и стерилизаторов 0,7
95.22.10.254 <*> Услуги по ремонту электроводонагревателей, в том числе проточных 0,7
95.22.10.255 <*> Услуги по ремонту электросушилок для одежды и обуви 0,7
95.22.10.256 <*> Услуги по ремонту приборов с электродвигателем и приводом с питанием от батарей 0,7
95.22.10.257 <*> Услуги по ремонту зажигалок для газовых плит с питанием от сети 0,7
95.22.10.258 <*> Услуги по ремонту фильтров для очистки воды 0,7
95.22.10.259 <*> Услуги по ремонту прочих бытовых приборов 0,7
95.22.2 <*> Ремонт домашнего и садового оборудования 95.22.10.300 <*> Услуги по ремонту домашнего и садового инвентаря 0,7
95.22.10.310 <*> Услуги по ремонту сельхозинвентаря, мини-тракторов, газонокосилок 0,7
95.22.10.320 <*> Услуги по ремонту приборов для аквариумов и садовых водоемов 0,7
95.22.10.390 <*> Услуги по ремонту прочего домашнего и садового инвентаря 0,7
95.23 <*> Ремонт обуви и прочих изделий из кожи 95.23.10.100 <*> Услуги по ремонту обуви 0,5
95.23.10.110 <*> Услуги по ремонту, реставрации верха обуви 0,5
95.23.10.111 <*> Услуги по замене застежки-молнии, в том числе вставка блочек в сапоги вместо застежки-молнии 0,5
95.23.10.112 <*> Услуги по изменению длины и ширины голенищ сапог 0,5
95.23.10.113 <*> Услуги по изготовлению и прикреплению меховой опушки, замене окантовочной части верха обуви 0,5
95.23.10.114 <*> Услуги по обновлению обуви с полной заменой верха с использованием ношеных формованных подошв 0,5
95.23.10.115 <*> Услуги по формованию следа валяной обуви на колодке 0,5
95.23.10.116 <*> Услуги по обновлению обуви с изменением модели кожаных сапог за счет уменьшения высоты голенищ и использования их на замену изношенных деталей 0,5
95.23.10.117 <*> Услуги по обновлению обуви с изменением модели обуви за счет использования голенищ на детали верха 0,5
    95.23.10.118 <*> Услуги по отделке верха обуви, изготовленной из специфических кож (рептилий, рыб, лаковых) 0,5
95.23.10.119 <*> Услуги по пропитке заготовки верха обуви водоотталкивающими препаратами 0,5
95.23.10.120 <*> Услуги по ремонту и замене подошв 0,5
95.23.10.121 <*> Услуги по постановке и ремонту внутренних задников, подпяточников, стелек и полустелек из различных материалов 0,5
95.23.10.122 <*> Услуги по подшиву подошв меховой обуви 0,5
95.23.10.123 <*> Услуги по укреплению подошв, каблуков, крокульной части подошв 0,5
95.23.10.124 <*> Услуги по замене крокульной части подошвы в обуви на высоком каблуке 0,5
95.23.10.125 <*> Услуги по постановке удлиненных подметок 0,5
95.23.10.126 <*> Услуги по постановке супинаторов 0,5
95.23.10.127 <*> Услуги по устранению переломов подошв и стелек в летней обуви с заменой деталей низа 0,5
95.23.10.128 <*> Услуги по обновлению валяной обуви с постановкой бортовой обклейки, подошв, набоек, накладных деталей верха 0,5
    95.23.10.129 <*> Услуги по обновлению обуви с использованием пористой резины или натурального каучука для подошвы и бортовой обклейки, а также с использованием формованных подошв 0,5
95.23.10.130 <*> Услуги по ремонту и по постановке каблуков любой формы из всех материалов 0,5
95.23.10.131 <*> Услуги по постановке набоек, косячков, рубчиков из всех видов материалов 0,5
95.23.10.132 <*> Услуги по декоративной отделке уреза подошвы и каблука под "формованную" 0,5
95.23.10.133 <*> Услуги по обрезинованию валенок (рыбацкие калоши) 0,5
95.23.10.140 <*> Услуги по окраске обуви 0,5
95.23.10.190 <*> Прочие услуги по ремонту обуви 0,5
    95.23.10.191 <*> Услуги по восстановлению формы верха обуви из натуральных кож, подвергшихся влиянию реагентов, в том числе удаление пятен от реагентов 0,5
    95.23.10.192 <*> Услуги по изготовлению и прикрепление ремешков, язычков, удлинение ремешков и замена резинок 0,5
95.23.10.193 <*> Услуги по изготовлению и прикрепление новых украшений, ремонт старых украшений и фурнитуры 0,5
95.23.10.194 <*> Услуги по растяжке обуви 0,5
95.23.10.195 <*> Услуги по полуперетяжке всех видов обуви из различных материалов 0,5
95.23.10.196 <*> Услуги по ремонту резиновой и валяной обуви методом вулканизации 0,5
95.23.10.197 <*> Услуги по вклеиванию новой ворсовой ткани 0,5
95.23.10.198 <*> Услуги по ремонту обуви из синтетических материалов клеевым методом 0,5
    95.23.10.199 <*> Прочие услуги по ремонту обуви, не включенные в другие группировки 0,5
95.23.10.200 <*> Услуги по ремонту изделий из кожи, кроме обуви 0,5
95.24 <*> Ремонт мебели и предметов домашнего обихода      
95.24.1 <*> Ремонт мебели 95.24.10.110 <*> Услуги по ремонту мебели  
95.24.10.111 <*> Услуги по ремонту мягкой мебели 0,9
95.24.10.112 <*> Услуги по ремонту плетеной мебели 0,9
95.24.10.113 <*> Услуги по ремонту корпусной мебели 0,9
95.24.10.114 <*> Услуги по ремонту детской мебели 0,9
95.24.10.115 <*> Услуги по ремонту кухонной мебели 0,9
95.24.10.116 <*> Услуги по ремонту дачной мебели 0,9
95.24.10.117 <*> Услуги по ремонту и реставрации антикварной мебели 0,9
95.24.10.118 <*> Услуги по обновлению и переделке старых конструкций мебели на современные 0,9
95.24.10.119 <*> Услуги по ремонту прочей мебели 0,9
    95.24.10.120 <*> Услуги по сборке мебели на дому у заказчика, приобретенной им в торговой сети в разобранном виде 0,9
95.24.10.190 <*> Прочие услуги по ремонту мебели 0,9
95.24.10.191 <*> Услуги по ремонту, реставрации, установке и креплению стекол и зеркал для мебели 0,9
95.24.10.192 <*> Услуги по установке и креплению филенок, полок, фурнитуры 0,9
95.24.10.193 <*> Услуги по замене старых настилочных и набивочных материалов новыми рулонными и пластовыми материалами при ремонте мягких элементов мебели 0,9
    95.24.10.194 <*> Услуги по замене старого лакокрасочного покрытия 0,9
95.24.10.199 <*> Прочие услуги по ремонту мебели, не включенные в другие группировки 0,9
95.24.2 <*> Ремонт предметов домашнего обихода 95.24.10.130 <*> Услуги по ремонту предметов домашнего обихода 0,56
95.25 <*> Ремонт часов и ювелирных изделий      
95.25.1 <*> Ремонт часов 95.25.11.100 <*> Услуги по ремонту часов  
95.25.11.111 <*> Услуги по ремонту наручных и карманных механических часов 0,36
95.25.11.112 <*> Услуги по ремонту настольных, настенных и напольных часов 0,36
95.25.11.113 <*> Услуги по ремонту наручных и карманных электронно-механических (кварцевых с шаговым двигателем) часов 0,36
95.25.11.114 <*> Услуги по ремонту электронно-механических будильников, а также будильников с шаговым двигателем 0,36
95.25.11.115 <*> Услуги по ремонту электронно-механических настольных и настенных часов 0,36
95.25.11.116 <*> Услуги по ремонту наручных и карманных электронных часов с цифровой индикацией 0,36
    95.25.11.117 <*> Услуги по ремонту настольных электронных часов с цифровой индикацией, работающих от сети 0,36
95.25.11.118 <*> Услуги по ремонту настольных электронных часов с цифровой индикацией на жидких кристаллах, а также с музыкальным воспроизведением будильников (микропроцессором) 0,36
95.25.11.119 <*> Услуги по ремонту секундомеров 0,36
95.25.11.121 <*> Услуги по ремонту шагомеров 0,36
95.25.11.122 <*> Услуги по ремонту антикварных и старинных часов, изготовление узлов и деталей к ним 0,36
95.25.11.123 <*> Услуги по покраске металлических корпусов будильников и крупногабаритных часов 0,36
    95.25.11.124 <*> Услуги по ремонту корпусов часов 0,43
95.25.11.125 <*> Услуги по ремонту браслетов к часам 0,43
95.25.11.126 <*> Услуги по замене элементов питания в электронных часах и других приборах 0,35
95.25.11.129 <*> Услуги по ремонту прочих часов, не включенные в другие группировки 0,36
из 95.25.2 <*> Ремонт ювелирных изделий 95.25.12.110 <*> Услуги по ремонту ювелирных изделий, бижутерии  
95.25.12.111 <*> Услуги по ремонту столовых приборов, портсигаров, пудрениц и др. 0,43
95.25.12.114 <*> Услуги по обработке поделочных ювелирных камней и закрепление их в ювелирных изделиях 0,43
95.25.12.115 <*> Услуги по ремонту и реставрация антикварных изделий 0,43
95.25.12.119 <*> Прочие услуги по ремонту ювелирных изделий, не включенные в другие группировки 0,43
95.29 <*> Ремонт прочих предметов личного потребления и бытовых товаров      
95.29.1 <*> Ремонт одежды и текстильных изделий      
95.29.11 <*> Ремонт одежды 95.29.11.100 <*> Услуги по ремонту и подгонке/перешиву одежды, кроме трикотажной  
95.29.11.110 <*> Услуги по ремонту верхней одежды 0,28
95.29.11.120 <*> Услуги по ремонту легкой одежды 0,28
95.29.11.130 <*> Услуги по ремонту верхних мужских сорочек 0,28
95.29.11.140 <*> Услуги по ремонту белья женского, мужского, детского 0,28
95.29.11.150 <*> Услуги по ремонту корсетных изделий 0,28
95.29.11.160 <*> Услуги по ремонту форменной одежды 0,28
95.29.11.170 <*> Услуги по ремонту рабочей одежды 0,28
95.29.11.180 <*> Услуги по ремонту мужских, женских, детских головных уборов 0,28
95.29.11.190 <*> Прочие услуги по ремонту и подгонке/перешиву одежды 0,28
    95.29.11.191 <*> Услуги по перешиву взрослой одежды на детскую 0,28
95.29.11.192 <*> Услуги по вставке застежки-молнии 0,28
95.29.11.193 <*> Услуги по изготовлению изделий из меха, бывшего в употреблении 0,28
95.29.11.194 <*> Услуги по глажению одежды 0,28
95.29.11.195 <*> Услуги по художественной штопке одежды 0,28
    95.29.11.300 <*> Услуги по обновлению одежды, в том числе трикотажной 0,28
95.29.12 <*> Ремонт текстильных изделий 95.29.11.200 <*> Услуги по ремонту и подгонке/перешиву бытовых текстильных изделий, кроме трикотажных 0,28
95.29.11.210 <*> Услуги по ремонту столового и постельного белья 0,28
    95.29.11.220 <*> Услуги по ремонту изделий из натурального и искусственного меха 0,28
95.29.11.230 <*> Услуги по ремонту изделий из натуральной, искусственной кожи и замши 0,28
95.29.11.240 <*> Услуги по ремонту стеганых одеял 0,28
95.29.11.250 <*> Услуги по ремонту изделий текстильной галантереи 0,28
95.29.11.260 Услуги по ремонту чехлов всех видов, тентов 0,28
95.29.11.270 <*> Услуги по ремонту и реставрация кружевных изделий и изделий художественного ткачества 0,28
95.29.11.280 <*> Услуги по ремонту покрывал, штор 0,28
95.29.11.290 <*> Услуги по ремонту и подгонке/перешиву прочих бытовых текстильных изделий, кроме трикотажных 0,28
95.29.13 <*> Ремонт трикотажных изделий 95.29.11.400 <*> Услуги по ремонту трикотажных изделий  
95.29.11.410 <*> Услуги по ремонту верхних трикотажных изделий 0,25
95.29.11.420 <*> Услуги по ремонту бельевых трикотажных изделий 0,25
95.29.11.430 <*> Услуги по ремонту чулочно-носочных, перчаточных изделий 0,25
95.29.11.440 <*> Услуги по ремонту головных уборов 0,25
95.29.11.450 <*> Услуги по ремонту платочно-шарфовых изделий 0,25
95.29.11.460 <*> Услуги по ремонту трикотажных изделий, комбинированных с тканями, искусственной кожей, мехом и др. 0,25
95.29.2 <*> Ремонт спортивного и туристского оборудования 95.29.14.110 <*> Услуги по ремонту и обслуживанию спортивного инвентаря 0,44
95.29.14.111 <*> Услуги по ремонту туристского снаряжения и инвентаря 0,44
95.29.14.112 <*> Услуги по ремонту скейтов 0,44
95.29.14.113 <*> Услуги по ремонту роликовых коньков и лыжероллеров 0,44
95.29.14.114 <*> Услуги по ремонту, клепка и точка коньков 0,44
95.29.14.115 <*> Услуги по ремонту и установке жестких лыжных креплений 0,44
95.29.14.116 <*> Услуги по ремонту ружей для подводной охоты 0,44
95.29.14.117 <*> Услуги по ремонту рыболовных принадлежностей 0,44
95.29.14.118 <*> Услуги по ремонту оборудования для аквалангистов 0,44
95.29.14.119 <*> Услуги по ремонту и обслуживанию прочего спортивного инвентаря 0,44
95.29.3 <*> Ремонт игрушек и подобных им изделий 95.29.19.100 <*> Услуги по ремонту игрушек 0,44
95.29.19.110 <*> Услуги по ремонту электрических игрушек с питанием от сети 0,44
95.29.19.120 <*> Услуги по ремонту электротехнических игр 0,44
95.29.19.130 <*> Услуги по ремонту заводных механических игрушек 0,44
95.29.19.140 <*> Услуги по ремонту оборудования для детских игр 0,44
95.29.19.190 <*> Услуги по ремонту прочих игрушек, не включенных в другие группировки 0,44
95.29.4 <*> Ремонт металлоизделий бытового и хозяйственного назначения      
95.29.41 <*> Ремонт предметов и изделий из металла 95.29.19.200 <*> Услуги по ремонту металлоизделий 0,8
95.29.19.211 <*> Услуги по ремонту примусов, керосинок, керогазов 0,8
95.29.19.212 <*> Услуги по ремонту бензиновых и газовых зажигалок 0,8
95.29.19.213 <*> Услуги по ремонту замков 0,8
95.29.19.217 <*> Услуги по ремонту зонтов и футляров к ним 0,8
95.29.19.218 <*> Услуги по ремонту бытовой мебели из металла 0,8
95.29.19.219 <*> Услуги по ремонту сейфов и несгораемых шкафов индивидуального пользования 0,8
    95.29.19.222 Услуги по ремонту металлической посуды 0,8
95.29.19.223 <*> Услуги по ремонту механизмов для зашторивания 0,8
95.29.19.224 <*> Услуги по ремонту газовых и бензиновых портативных плиток 0,8
95.29.19.225 <*> Услуги по ремонту мясорубок, соковарок и скороварок 0,8
95.29.19.229 <*> Услуги по ремонту прочих металлических предметов хозяйственного назначения 0,8
95.29.42 <*> Ремонт металлической галантереи, ключей, номерных знаков, указателей улиц 95.29.19.221 <*> Услуги по ремонту и изготовлению металлической галантереи, ключей, номерных знаков, указателей улиц 0,8
95.29.43 <*> Заточка пил, чертежных и других инструментов, ножей, ножниц, бритв, коньков и т.п. 95.29.19.214 <*> Услуги по ремонту и заточке чертежных инструментов 0,8
95.29.19.215 <*> Услуги по ремонту, заточке, шлифовке и правке ножей, ножниц, бритв 0,8
95.29.19.216 <*> Услуги по ремонту, насечке, разводке, заточке пил для поперечной распиловки и лучковых пил 0,8
95.29.5 <*> Ремонт бытовых осветительных приборов 95.29.19.300 <*> Услуги по ремонту осветительных приборов 0,7
95.29.6 <*> Ремонт велосипедов 95.29.12 <*> Услуги по ремонту велосипедов 0,7
95.29.7 <*> Ремонт и настройка музыкальных инструментов (кроме органов и исторических музыкальных инструментов) 95.29.13 <*> Услуги по ремонту и обслуживанию музыкальных инструментов 0,7
95.29.9 <*> Ремонт прочих бытовых изделий и предметов личного пользования, не вошедших в другие группировки      
из 96.01 <*> Стирка и химическая чистка текстильных и меховых изделий 96.01.12.111 <*> Услуги по химической чистке одежды из тканей с содержанием натуральных, синтетических и искусственных волокон 0,75
96.01.12.112 <*> Услуги по химической чистке одежды из тканей с пленочным покрытием 0,75
96.01.12.113 <*> Услуги по химической чистке изделий из тканей на синтепоне 0,75
96.01.12.114 <*> Услуги по химической чистке изделий из натурального меха 0,75
96.01.12.115 <*> Услуги по химической чистке изделий из искусственного меха 0,75
96.01.12.116 <*> Услуги по химической чистке изделий из натуральной замши и замшевой винилискожи 0,75
96.01.12.117 <*> Услуги по химической чистке изделий из овчины и велюра 0,75
96.01.12.118 <*> Услуги по химической чистке изделий из натуральной кожи и винилискожи 0,75
    96.01.12.119 <*> Услуги по химической чистке изделий, комбинированных из натуральной кожи и винилискожи, натурального и искусственного меха, натуральной замши и замшевой винилискожи 0,75
96.01.12.121 <*> Услуги по химической чистке трикотажных изделий 0,75
96.01.12.122 <*> Услуги по химической чистке головных уборов из велюра, замши, фетра 0,75
96.01.12.123 <*> Услуги по химической чистке головных уборов из натурального и искусственного меха 0,75
96.01.12.124 <*> Услуги по химической чистке головных уборов из шерсти, пуха и других материалов 0,75
96.01.12.125 <*> Услуги по химической чистке изделий из декоративных тканей на основе смеси из искусственных волокон 0,75
    96.01.12.126 <*> Услуги по химической чистке изделий из нетканых материалов 0,75
96.01.12.127 <*> Услуги по химической чистке шерстяных, хлопчатобумажных одеял и пледов 0,75
96.01.12.128 <*> Услуги по химической чистке ватных одеял 0,75
    96.01.12.129 <*> Услуги по химической чистке ковров и ковровых изделий 0,75
96.01.12.131 <*> Услуги по химической чистке мягких игрушек 0,75
96.01.12.132 <*> Услуги по химической чистке зонтов 0,75
96.01.12.133 <*> Услуги по химической чистке платков, шарфов, перчаток, варежек, галстуков, косынок из различных материалов 0,75
96.01.12.134 <*> Услуги по химической чистке спальных мешков из различных материалов 0,75
96.01.12.13 <*> Услуги по химической чистке спецодежды 0,75
96.01.12.136 <*> Услуги по химической чистке изделий из ворсовых тканей 0,75
96.01.12.137 <*> Услуги по химической чистке гобеленов 0,75
96.01.12.138 <*> Услуги по химической чистке гардинно-тюлевых изделий 0,75
    96.01.12.139 <*> Услуги по химической чистке перо-пуховых изделий 0,75
96.01.12.141 <*> Услуги по химической чистке мебели и ковров на дому 0,75
96.01.12.142 <*> Срочная химчистка одежды и выведение пятен 0,75
96.01.12.143 <*> Услуги по химической чистке одежды методом самообслуживания 0,75
96.01.12.144 <*> Услуги по химической чистке чехлов для сидений автомобиля 0,75
96.01.12.145 <*> Услуги по аквачистке 0,75
96.01.12.200 <*> Прочие услуги при химической чистке 0,75
96.01.12.211 <*> Услуги по противомолевой обработке изделий после химической чистки 0,75
96.01.12.212 <*> Услуги по антистатической обработке 0,75
    96.01.12.213 <*> Услуги по водоотталкивающей пропитке спецодежды и других изделий из брезента 0,75
96.01.12.214 <*> Услуги по аппретированию складок брюк и юбок для придания устойчивой формы 0,75
96.01.12.215 <*> Услуги по аппретированию одежды после мокрой обработки и крашения 0,75
96.01.12.216 <*> Услуги по аппретированию изделий из натуральной замши и овчины 0,75
96.01.12.217 <*> Услуги по аппретированию ковров после химической чистки 0,75
    96.01.12.218 <*> Услуги по расчесыванию натуральных и искусственных мехов после химчистки 0,75
96.01.12.219 <*> Услуги по замене наперников при химической чистке перо-пуховых изделий 0,75
96.01.12.221 <*> Услуги по растяжке пуховых платков после химической чистки 0,75
96.01.12.222 <*> Услуги по восстановлению формы и размеров трикотажных изделий из шерстяной и полушерстяной пряжи, деформированных после стирки в домашних условиях 0,75
96.01.12.223 <*> Услуги по восстановлению первоначальных форм и размеров мужских головных уборов из фетра, велюра и замши 0,75
96.01.12.224 <*> Услуги по отпарыванию и пришиванию пуговиц, меховых воротников на изделиях, сдаваемых в химическую чистку 0,75
    96.01.12.225 <*> Услуги по текущему ремонту одежды после химчистки и крашения 0,75
96.01.12.226 <*> Услуги по глажению изделий после химической чистки методом самообслуживания 0,75
96.01.12.227 <*> Услуги по декатированию швейных материалов 0,75
96.01.12.228 <*> Услуги по реставрации ковровых изделий 0,75
96.01.12.229 <*> Услуги по бактерицидной обработке изделий 0,75
96.01.12.231 <*> Услуги по огнезащитной обработке изделий 0,75
96.01.12.232 <*> Услуги по дезодорации одежды 0,75
96.01.12.233 <*> Услуги по грязеотталкивающей обработке поверхности ковров и ковровых изделий 0,75
    96.01.12.234 <*> Услуги по обработке латексом изнанки ковров и ковровых изделий 0,75
96.01.12.235 <*> Услуги по отбеливанию пряжи и гардинно-тюлевых изделий 0,75
96.01.12.236 <*> Услуги по обновлению изделий из натуральной кожи покрывного крашения 0,75
96.01.12.237 <*> Услуги по импрегнированию изделий из велюра и замши 0,75
96.01.14.111 <*> Услуги по крашению текстильных и трикотажных изделий из натуральных волокон 0,79
    96.01.14.112 <*> Услуги по крашению изделий с наличием синтетических волокон 0,79
96.01.14.113 <*> Услуги по крашению изделий из искусственного меха 0,79
96.01.14.114 <*> Услуги по крашению изделий из натурального меха и замши 0,79
96.01.14.115 <*> Услуги по крашению овчины 0,79
96.01.14.116 <*> Услуги по крашению изделий из тканей с пленочным покрытием 0,79
96.01.14.117 <*> Услуги по крашению изделий из ворсовых и лицевых кож 0,79
96.01.14.119 <*> Услуги по крашению прочих изделий 0,79
96.01.19.100 <*> Услуги прачечных 0,5
96.01.19.111 <*> Услуги по стирке белья в прачечной самообслуживания 0,5
96.01.19.112 <*> Услуги по стирке белья в прачечной самообслуживания персоналом прачечной 0,5
    96.01.19.113 <*> Услуги по сушке и глажению белья в прачечной самообслуживания 0,5
96.01.19.114 <*> Услуги по срочной стирке белья 0,5
96.01.19.115 <*> Услуги по стирке прямого хлопчатобумажного и льняного белья 0,5
96.01.19.116 <*> Услуги по стирке фасонного хлопчатобумажного и льняного белья 0,5
96.01.19.117 <*> Услуги по стирке верхних мужских сорочек 0,5
96.01.19.118 <*> Услуги по антистатической обработке верхних мужских сорочек 0,5
96.01.19.119 <*> Услуги по дезодорации верхних мужских сорочек 0,5
96.01.19.121 <*> Услуги по стирке изделий из искусственных, синтетических и смешанных тканей 0,5
    96.01.19.122 <*> Услуги по стирке стеганых одеял 0,5
96.01.19.123 <*> Услуги по стирке чехлов для сидений автомобилей, чехлов для мебели и др. 0,5
96.01.19.124 <*> Услуги по стирке спецодежды 0,5
96.01.19.125 <*> Услуги по стирке белья с различными пятнами, требующая особого режима обслуживания 0,5
96.01.19.126 <*> Услуги по ароматизации белья после стирки 0,5
96.01.19.127 <*> Услуги по дезинфекции белья 0,5
96.01.19.128 <*> Услуги по изготовлению меток для белья 0,5
    96.01.19.129 <*> Услуги по текущему ремонту белья и верхних мужских сорочек 0,5
96.01.19.131 <*> Услуги по пришиванию меток к белью и прием белья в стирку 0,5
96.01.19.132 <*> Услуги по приему белья и стирку на дому у заказчика и доставка белья после стирки 0,5
96.01.19.139 <*> Прочие услуги прачечных 0,5
96.02 <*> Предоставление услуг парикмахерскими и салонами красоты      
96.02.1 <*> Предоставление парикмахерских услуг 96.02.11 <*> Услуги парикмахерские для женщин и девочек 1,0
96.02.2 <*> Предоставление косметических услуг парикмахерскими и салонами красоты 96.02.12 <*> Услуги парикмахерские для мужчин и мальчиков 1,0
96.02.13.111 <*> Услуги по простому и сложному гриму лица, макияж 1,0
96.02.13.112 <*> Услуги по окраске бровей и ресниц, коррекции формы бровей, наращиванию ресниц, завивке ресниц 1,0
96.02.13.113 <*> Услуги по косметическим маскам по уходу за кожей лица и шеи с применением косметических средств 1,0
96.02.13.114 <*> Услуги по гигиеническому массажу лица и шеи, включая эстетический, стимулирующий, дренажный, аппаратный массаж, СПА-массаж 1,0
96.02.13.115 <*> Услуги по косметическому комплексному уходу за кожей лица и шеи 1,0
96.02.13.116 <*> Услуги по косметическому татуажу, пирсингу 1,0
    96.02.13.117 <*> Гигиеническая чистка лица 1,0
96.02.13.120 <*> Услуги по маникюру 1,0
96.02.13.130 <*> Услуги по педикюру 1,0
96.02.19.110 <*> Услуги косметические прочие 1,0
96.02.19.111 <*> Услуги по СИЛ-уходу по телу, включая гигиенические, релаксирующие, эстетические методы с использованием косметических средств, природных и преформированных факторов воздействия 1,0
96.02.19.112 <*> Услуги по косметическому комплексному уходу за кожей тела, удалению полос с помощью косметических средств 1,0
96.03 <*> Организация похорон и предоставление связанных с ними услуг 96.03.11.100 <*> Услуги по захоронению 0,85
96.03.11.200 <*> Услуги крематориев 0,85
96.03.11.300 <*> Услуги по содержанию и обслуживанию кладбищ, уходу за могилами и местами захоронения 0,85
    96.03.11.311 <*> Услуги по установке, снятию окраски надмогильных сооружений 0,8
96.03.11.312 <*> Услуги по нанесению надписей на памятниках, мраморных досках, крепление фотографий на памятниках, высечке барельефов, выполнение графических портретов на памятниках, скульптурные работы и т.п. 0,8
96.03.11.313 <*> Услуги по установке и ремонту ограды, памятных знаков 0,8
96.03.11.314 <*> Услуги по уходу за могилой 0,8
96.03.11.315 <*> Услуги по сооружению склепов и мемориальных комплексов 0,8
96.03.11.316 <*> Услуги по изготовлению надгробных сооружений из различных материалов и их реставрация 0,8
    96.03.11.319 <*> Прочие услуги по захоронению и кремации 0,8
96.03.12.111 <*> Услуги приемщика заказов службы по организации похорон 0,8
96.03.12.112 <*> Услуги по подаче объявлений, некролога, составление текстов траурной речи, оповещение родственников 0,8
96.03.12.113 <*> Услуги по прокату зала и его оформление для проведения гражданской панихиды, обряда поминания 0,8
96.03.12.114 <*> Услуги организатора ритуала по похоронам 0,8
96.03.12.115 <*> Услуги по организации похорон 0,8
96.03.12.116 <*> Услуги по бальзамированию трупа 0,8
96.03.12.117 <*> Услуги по санитарной и косметической обработке трупа 0,8
    96.03.12.118 <*> Услуги по предпохоронному сохранению тел умерших 0,8
96.03.12.119 <*> Услуги по перевозке тела (останков умершего) на кладбище (крематорий) 0,8
96.03.12.121 <*> Услуги по проведению эксгумации, транспортировка и перезахоронение останков 0,8
96.03.12.122 <*> Услуги по пошиву, изготовлению и прокату похоронных принадлежностей 0,8
96.03.12.123 <*> Услуги по изготовлению траурных венков, искусственных цветов, гирлянд 0,8
96.03.12.129 <*> Прочие услуги похоронных бюро 0,8
из 96.04 <*> Услуги бань, душевых и саун; услуги соляриев по индивидуальному заказу населения из 96.04.10 Услуги бань, душевых и саун; прочие услуги, оказываемые в банях и душевых; услуги соляриев по индивидуальному заказу населения  
услуги бань и душевых 0,33
услуги саун 0,33
прочие услуги, оказываемые в банях и душевых 0,45
услуги соляриев 0,70
из 96.09 <*> Вспашка огородов, распилка дров; изготовление сельскохозяйственного инвентаря из материала заказчика; ремонт и изготовление гончарных изделий; граверные работы по металлу, стеклу, фарфору, дереву, керамике; стрижка домашних животных; оформление заказов на покупку очков, оправ, лекарств по рецепту и доставка их на дом; предоставление материалов для бытового технического творчества в салонах "сделай сам";
деятельность "службы семьи" (по системам);
96.09.11 <*> Услуги по уходу за домашними животными 0,35
96.09.19.111 Услуги справочно-информационной службы по оказанию услуг населению по заполнению бланков, написанию заявлений, снятию копий по индивидуальному заказу населения 0,19
  96.09.19.112 <*> Услуги справочно-информационной службы по приему в расклейку объявлений 0,19
96.09.19.113 Услуги копировально-множительные по индивидуальному заказу населения 0,19
96.09.19.114 Услуги посреднические на информацию о финансовых, экономических, промышленных и иных данных по индивидуальному заказу населения 0,19
  деятельность по предоставлению посреднических услуг по организации консультаций юристов, психологов, экономистов, врачей и других специалистов;
подбор кандидатур с применением ЭВМ, видеозаписи;
проклейка рам бумагой, очистка от бумаги и замазки;
деятельность справочно-информационной службы по оказанию услуг населению по заполнению бланков, написанию заявлений, снятию копий, по приему в расклейку объявлений, выдаче справок, по обеспечению индивидуальных подписчиков газетно-журнальной информацией;
деятельность по оказанию услуг копировально-множительных;
96.09.19.115 <*> Услуги по оборудованию квартир (навеска карнизов, картин, вешалок, зеркал и др. предметов) 0,19
96.09.19.116 <*> Услуги по стирке и глажению белья на дому у заказчика 0,19
96.09.19.125 Услуги по вспашке огородов, распиловке дров по индивидуальному заказу населения 0,35
96.09.19.126 Граверные работы по металлу, стеклу, фарфору, дереву, керамике, кроме ювелирных изделий по индивидуальному заказу населения 0,35
96.09.19.127 Услуги по ремонту и изготовлению гончарных изделий по индивидуальному заказу населения 0,35
96.09.19.128 Услуги по нарезке стекла и зеркал, художественной обработке стекла по индивидуальному заказу населения 0,19
96.09.19.129 Услуги по изготовлению с/х инвентаря из материала заказчика по индивидуальному заказу населения 0,35
  деятельность по оказанию посреднических услуг на информацию о финансовых, экономических и промышленных данных;
оборудование квартир (навеска карнизов, картин, вешалок, зеркал и др. предметов);
стирка и глажение белья на дому у заказчика;
нарезка стекла и зеркал, художественная обработка стекла;
деятельность по предоставлению посреднических услуг на оформление заказов на обслуживание автотранспортом;
переписка нот;
деятельность по оказанию посреднических услуг на доставку цветов (подарков) на дом с возможной предварительной оплатой;
организация занятий в группах общения, психогимнастики, аутогенной тренировки и др.;
измерение силы рук, роста, взвешивание на медицинских весах;
демонстрация моделей одежды;
абонирование квартир для получения требуемой информации
из 96.09.19.139 <*> Услуги справочно-информационной службы по выдаче справок; услуги справочно-информационной службы по обеспечению индивидуальных подписчиков газетно-журнальной информацией; переписка нот; посреднические услуги на оформление заказов на обслуживание автотранспортом; посреднические услуги на доставку цветов (подарков) на дом с возможной предварительной оплатой; организация занятий в группах общения, психогимнастики, аутогенной тренировки и др.; измерение силы рук, роста, взвешивание на медицинских весах; услуги по переработке с/х продуктов и даров леса; оформление заказов на покупку очков, оправ, лекарств по рецепту и доставку их на дом; предоставление материалов для бытового технического творчества в салонах "Сделай сам"; услуги "службы семьи" (по системам); посреднические услуги по организации консультаций юристов, психологов, экономистов, врачей и других специалистов; подбор кандидатур с применением ЭВМ, видеозаписи; проклейка рам бумагой, очистка от бумаги и замазки; демонстрация моделей одежды 0,19
Официальный источник электронного документа содержит неточность: код "96.09.19.139" в Общероссийском классификаторе продукции по видам экономической деятельности отсутствует.

<*> Услуги оказываются по индивидуальному заказу населения.

<**> Услуги оказываются в рамках договора бытового подряда в соответствии со статьей 730 Гражданского кодекса Российской Федерации (Собрание законодательства Российской Федерации, 1996, N 5, ст. 410).

При оказании налогоплательщиком одновременно нескольких бытовых услуг, по которым установлены разные значения коэффициента Ку, значение коэффициента Ку определяется по формуле:

,

где:

Чв(1), ..., Чв(i) - численность работников, занятых оказанием услуги, в отношении которой установлено значение коэффициента Ку;

Чоб. - количество работников, занятых оказанием бытовых услуг;

Ку(1), ..., Ку(i) - значения коэффициента Ку для отдельных бытовых услуг.

В случае оказания одним работником нескольких бытовых услуг, по которым установлены различные значения коэффициента Ку, учет этого работника производится по той бытовой услуге, по которой установлено максимальное значение коэффициента Ку.

Таблица 2

Коэффициенты городов (категории городского округа, городского или сельского поселения) (Кт) и коэффициенты категории места расположения объекта стационарной или нестационарной торговой сети (Км)

Место расположения объекта <*> Коэффициент города (категории городского округа, городского или сельского поселения) (Кт) Коэффициент категории места расположения объекта стационарной или нестационарной торговой сети (Км)
Городские поселения (города) с населением менее 30 тыс. человек 0,4 1,0 - 1-я категория
0,9 - 2-я категория
0,7 - 3-я категория
Городские поселения (рабочие поселки) с населением свыше 4 тыс. человек 0,3 1,0 - 1-я категория
0,9 - 2-я категория
Городские поселения (сельские поселки) с населением 4 тыс. человек и менее 0,2 1,0 - 1-я категория
0,9 - 2-я категория
Сельские поселения (села, деревни, поселки) с населением свыше 2 тыс. человек 0,2  
Сельские поселения (села, деревни, поселки) с населением 2 тыс. человек и менее 0,1  
Места, расположенные вне городских и сельских населенных пунктов 0,4  

<*> Отнесение объектов административно-территориального деления к городским округам, городским или сельским поселениям определяется в соответствии с законами Тульской области о переименовании муниципальных образований Тульской области, установлении границ, наделении статусом и определении районов Тульской области.

В случае если в течение налогового периода изменяется место расположения объекта нестационарной торговой сети, при расчете коэффициента К 2 применяются максимальные значения коэффициентов Кт и Км для используемых мест расположения.

Таблица 3

Розничная торговля по видам торговли (Кв)

Вид товаров Коэффициент вида товара (Кв)
Меха, меховые и овчинно-шубные изделия (за исключением товаров для детей) 1,97
Изделия ювелирные, галантерея ювелирная и металлическая, изделия ритуально-обрядовые, награды, монеты 1,97
Мотоциклы с мощностью двигателя до 112,5 кВт (150 л.с.) 1,97
Продукция винодельческой промышленности 1,97
Водка и ликероводочные изделия 1,97
Продукция спиртового производства 1,97
Приборы бытовые электрические нагревательные 1,97
Вычислительная техника 1,97
Программные средства и информационные продукты вычислительной техники 1,97
Фото и киноаппаратура (кроме профессиональной). Аппаратура для измерения характеристик и обработки фото- и киноматериалов 1,97
Кино-, фото- и магнитные материалы 1,97
Оборудование для кондиционирования воздуха и вентиляции 1,97
Оборудование светотехническое и изделия электроустановочные. Лампы электрические 1,97
Изделия культурно-бытового назначения и хозяйственного обихода 1,97
Приборы времени 1,97
Продукция табачной промышленности 1,97
Продукция пивоваренной промышленности 1,97
Молоко и молочная продукция, продукция микробиологической, мукомольно-крупяной, соляной, чайной промышленности. Продукция сахарной и хлебопекарной промышленности 0,82
Изделия макаронные 0,82
Продукция растениеводства, сельского и лесного хозяйства 0,82
Сувениры 0,82
Изделия для физкультуры, спорта и туризма 0,82
Инструменты музыкальные 0,82
Изделия художественных промыслов. Оборудование, инструмент и материалы для художников. Материалы художественные. Кисти художественные ученические 0,82
Галантерея текстильная. Предметы мелкой галантереи. Значки. Принадлежности канцелярские и школьно-письменные. Принадлежности для домашнего содержания рыб, птиц и зверей 0,82
Нитки и изделия ниточные 0,82
Продукция полиграфической промышленности 0,82
Игрушки и украшения елочные 0,62
Товары для детей 0,62
Прочие товары 1,55

При торговле смешанным ассортиментом товаров применяется максимальное значение коэффициента Кв из числа значений коэффициентов, установленных по видам товаров, торговля которыми осуществляется на данном объекте торговли.

При торговле смешанным ассортиментом товаров в сельских поселениях значение коэффициента Кв устанавливается в размере 0,7.

Таблица 4
 

Коэффициенты общественного питания (Кп)

Место расположения объекта <*> Коэффициенты общественного питания (Кп)
Рестораны, кафе, бары Столовые, закусочные, другие предприятия общественного питания (кроме ресторанов, кафе, баров)
реализующие алкогольную продукцию не реализующие алкогольную продукцию
Городские поселения (города) с населением менее 30 тыс. человек 1,0 1,0 0,47
Городские поселения (рабочие поселки) с населением свыше 4 тыс. человек 1,0 0,53 0,25
Городские поселения (сельские поселки) с населением 4 тыс. человек и менее 1,0 0,44 0,25
Сельские поселения (села, деревни, поселки) с населением свыше 150 человек 0,87 0,33 0,23
Сельские поселения (села, деревни, поселки) с населением 150 человек и менее 0,66 0,24 0,14
Места, расположенные вне городских и сельских населенных пунктов 1,0 1,0 1,0

<*> Отнесение объектов административно-территориального деления к городским округам, городским или сельским поселениям определяется в соответствии с законами Тульской области о переименовании муниципальных образований Тульской области, установлении границ, населении статусом и определении административных центров муниципальных образований на территории районов Тульской области.

Таблица 5

Отнесение улиц и (или) домов к той или иной категории места расположения объекта стационарной или нестационарной торговой сети по городским и сельским поселениям муниципального образования Киреевский район

город Киреевск

1-я категория Км = 1,0:

1. пер. Чехова

2. ул. Ленина

3. ул. Мира

4. ул. Гагарина

5. пер. Октябрьский

6. ул. Л. Толстого

7. ул. Октябрьская

8. пер. Тупиковый

9. ул. Горняков

10. ул. Пролетарская

11. ул. Комарова

12. ул. Тесакова

13. ул. Папанина

14. ул. Школьная

15. ул. 8-е Марта

16. ул. Зеленая

17. ул. Титова

18. пер. Горнорудный

19. ул. Чехова

20. ул. Торговая

21. ул. Геологов

3-я категория Км = 0,7:

1. ул. Первомайская

2. пер. Тесакова

пос. Октябрьский

1-я категория Км = 1,0:

1. ул. Мичурина

2. ул. Ленина

3. ул. Пушкина

4. ул. Кирова

5. ул. Комсомольская

6. ул. Чапаева

город Липки

2-я категория Км = 0,9:

1. ул. Советская

2. ул. Гоголя

3. ул. Трудовая

4. ул. Мира

5. ул. Лермонтова

6. ул. Горького

7. ул. Комсомольская

8. ул. Ново-Октябрьская

9. ул. Октябрьская

пос. Комсомольский

2-я категория Км = 0,9:

1. ул. Школьная

2. пер. Школьный

3. ул. Свободы

4. ул. Шахтная

5. ул. 8-е Марта

город Болохово

2-я категория Км =0,9:

1. ул. Соловцова

2. ул. Первомайская

3. ул. Первомайская

4. ул. Мира

5. ул. Ленина

6. ул. Корнеева

7. ул. Горняков

8. ул. Советская

пос. Бородинский

2-я категория Км = 0,9:

1. ул. Пионерская

2. ул. Пушкина

3. ул. Советская

4. ул. Комсомольская

5. ул. Колхозная

6. ул. Трудовая

7. ул. Луговая

8. ул. Гоголя

пос. Шварцевский

2-я категория Км = 0,9:

1. ул. Менделеева

2. ул. Первомайская

3. ул. Советская

4. пер. Школьный

5. ул. Ленина

Таблица 6

Коэффициенты места расположения объекта наружной рекламы (Кр) по категориям

Вид рекламной поверхности Коэффициент места расположения объекта наружной рекламы (Кр) по категориям
1-я категория 2-я категория
Рекламная поверхность площадью до 6 кв. м 0,36 0,12
Рекламная поверхность площадью от 6 кв. м до 20 кв. м 0,32 0,11
Рекламная поверхность площадью свыше 20 кв. м 0,28 0,09

Категория места расположения объекта наружной рекламы

Место расположения объекта Категория
Полоса отвода автодорог федерального значения 1
Остальная территория муниципального образования Киреевский район 2

Утвержден Решением Собрания представителей муниципального образования Плавский район
от 16.11.2006 N 16/116 (ред. от 24.11.2016)
Решением Собрания представителей муниципального образования Плавский район
от 29.10.2013 N 2/8 (ред. от 24.11.2016)
Решением Собрания представителей муниципального образования Плавский район
от 26.10.2016 N 41/216

ПЛАВСКИЙ

Единый налог вводится в отношении следующих видов предпринимательской деятельности:

1) оказания бытовых услуг;

2) оказания ветеринарных услуг;

3) оказания услуг по ремонту, техническому обслуживанию и мойке автомототранспортных средств;

4) оказания услуг по предоставлению во временное владение (в пользование) мест для стоянки автомототранспортных средств, а также по хранению автомототранспортных средств на платных стоянках (за исключением штрафных автостоянок);

5) оказания автотранспортных услуг по перевозке пассажиров и грузов, осуществляемых организациями и индивидуальными предпринимателями, имеющими на праве собственности или ином праве (пользования, владения и (или) распоряжения) не более 20 транспортных средств, предназначенных для оказания таких услуг;

6) розничной торговли, осуществляемой через магазины и павильоны с площадью торгового зала не более 150 квадратных метров по каждому объекту организации торговли;

7) розничной торговли, осуществляемой через объекты стационарной торговой сети, не имеющей торговых залов, а также объекты нестационарной торговой сети;

8) оказания услуг общественного питания, осуществляемых через объекты организации общественного питания с площадью зала обслуживания посетителей не более 150 квадратных метров по каждому объекту организации общественного питания;

9) оказания услуг общественного питания, осуществляемых через объекты организации общественного питания, не имеющие зала обслуживания посетителей;

10) распространения наружной рекламы с использованием рекламных конструкций;

11) размещения рекламы с использованием внешних и внутренних поверхностей транспортных средств;

12) оказания услуг по временному размещению и проживанию организациями и предпринимателями, использующими в каждом объекте предоставления данных услуг общую площадь помещений для временного размещения и проживания не более 500 квадратных метров;

13) оказания услуг по передаче во временное владение и (или) в пользование торговых мест, расположенных в объектах стационарной торговой сети, не имеющих торговых залов, объектов нестационарной торговой сети, а также объектов организации общественного питания, не имеющих зала обслуживания посетителей;

14) оказания услуг по передаче во временное владение и (или) в пользование земельных участков для размещения объектов стационарной и нестационарной торговой сети, а также объектов организации общественного питания.

Значения корректирующего коэффициента базовой доходности К2, учитывающего совокупность особенностей ведения предпринимательской деятельности, при исчислении суммы единого налога на вмененный доход для отдельных видов деятельности определяются:

1) при оказании бытовых услуг - по формуле:

,

где:

Ку - коэффициент бытовых услуг, который определяется в соответствии со значениями, приведенными в Таблице 1;

Кт - коэффициент категории городского и сельского поселений Плавского района, который определяется в соответствии со значениями, приведенными в Таблице 2.

В случае если при определении коэффициента К2 для бытовых услуг значения коэффициента К2 получаются менее 0,005, устанавливается коэффициент К2, равный 0,005;

2) при оказании ветеринарных услуг - по формуле:

,

где:

Кт - коэффициент категории городского и сельского поселений Плавского района, который определяется в соответствии со значениями, приведенными в Таблице 2;

3) при оказании услуг по ремонту, техническому обслуживанию и мойке автомототранспортных средств - по формуле:

,

где:

Кт - коэффициент категории городского и сельского поселений Плавского района, который определяется в соответствии со значениями, приведенными в Таблице 2;

4) при оказании услуг по предоставлению во временное владение (пользование) мест для стоянки автомототранспортных средств, а также по хранению автомототранспортных средств на платных стоянках (за исключением штрафных автостоянок) - по формуле:

,

где:

Кт - коэффициент категории городского и сельского поселений Плавского района, который определяется в соответствии со значениями, приведенными в Таблице 2;

5) при оказании автотранспортных услуг по перевозке пассажиров и грузов, осуществляемых организациями и индивидуальными предпринимателями, имеющими на праве собственности или ином праве (пользования, владения и (или) распоряжения) не более 20 транспортных средств, предназначенных для оказания таких услуг:

- по перевозке грузов, - по формуле:

,

где:

Квт - коэффициент вида транспортного средства, оказывающего услуги по перевозке грузов, равный 1;

- по перевозке пассажиров, - по формуле:

,

где:

Квт - коэффициент вида транспортного средства, оказывающего услуги по перевозке пассажиров, определяемый в соответствии со значениями:

- в транспортном средстве, имеющем помимо места водителя не более 8 мест для сидения, - как величина, равная 1,0;

- в транспортном средстве, имеющем помимо места водителя более 8 мест для сидения и максимальная масса которого не превышает 5 тонн, - как величина, равная 0,54;

- в транспортном средстве, имеющем помимо места водителя более 8 мест для сидения и максимальная масса которого превышает 5 тонн, - как величина, равная 0,43;

6) для:

- розничной торговли, осуществляемой через объекты стационарной торговой сети, имеющие торговые залы;

- розничной торговли, осуществляемой через объекты стационарной торговой сети, не имеющие торговых залов, а также через объекты нестационарной торговой сети, площадь торгового места в которых не превышает 5 квадратных метров;

- розничной торговли, осуществляемой через объекты стационарной торговой сети, не имеющие торговых залов, а также через объекты нестационарной торговой сети, площадь торгового места в которых превышает 5 квадратных метров;

- развозной и разносной розничной торговли;

- реализации товаров с использованием торговых автоматов

- по формуле:

,

где:

Кт - коэффициент категории городского и сельского поселений Плавского района, который определяется в соответствии со значениями, приведенными в Таблице 2;

Км - коэффициент категории места расположения объекта стационарной или нестационарной торговой сети, который определяется из числа указанных для категории городского поселения величин, приведенных в Таблице 2. Отнесение улиц и (или) домов к той или иной категории места расположения объекта стационарной или нестационарной торговой сети определяется в соответствии со значениями, приведенными в Таблице 5;

Кв - коэффициент вида товара, который определяется в соответствии со значениями, приведенными в Таблице 3.

Значения коэффициента К2 уменьшаются в 2 раза:

- в случае одновременной реализации налогоплательщиком в течение квартала через магазины и павильоны продукции собственного производства и товаров при условии, что объем реализации за квартал продукции собственного производства составляет не менее 30 процентов от общего объема реализации за тот же квартал;

- для налогоплательщиков, осуществляющих в течение квартала наряду с реализацией товаров продажу (отпуск) товаров с оплатой по безналичному расчету яслям, детским садам, школам, интернатам, домам престарелых, больницам и другим учреждениям социального обслуживания, здравоохранения и образования, финансируемым из бюджетов различного уровня, при условии, что объем продажи (отпуска) товаров этим учреждениям за квартал составляет не менее 10 процентов от общего объема реализации товаров за тот же квартал. Перечень учреждений социального обслуживания определяется в соответствии с Федеральным законом от 10 декабря 1995 года N 195-ФЗ "Об основах социального обслуживания населения в Российской Федерации";

7) при:

- оказании услуг общественного питания через объект организации общественного питания, имеющий зал обслуживания посетителей;

- оказании услуг общественного питания через объект организации общественного питания, не имеющий зала обслуживания посетителей

- по формуле:

,

где:

Кп - коэффициент общественного питания, который определяется в соответствии со значениями, приведенными в Таблице 4;

8) при оказании услуг:

- по распространению наружной рекламы с использованием рекламных конструкций (за исключением рекламных конструкций с автоматической сменой изображения и электронных табло);

- по распространению наружной рекламы с использованием рекламных инструкций с автоматической сменой изображения;

- по распространению наружной рекламы посредством электронных табло;

- при размещении рекламы с использованием внешних и внутренних поверхностей транспортных средств

- по формуле:

,

где:

Кт - коэффициент категории городского и сельского поселений Плавского района, который определяется в соответствии со значениями, приведенными в Таблице 2;

9) при оказании услуг по временному размещению и проживанию - по формуле:

,

где:

Кт - коэффициент категории городского и сельского поселений Плавского района, который определяется в соответствии со значениями, приведенными в Таблице 2;

10) при оказании услуг по передаче во временное владение и (или) пользование торговых мест, расположенных в объектах стационарной торговой сети, не имеющих торговых залов, объектов нестационарной торговой сети, а также объектов организации общественного питания, не имеющих залов обслуживания посетителей, если площадь каждого из них не превышает 5 кв. м, - как величина, равная 0,41;

при оказании услуг по передаче во временное владение и (или) пользование торговых мест, расположенных в объектах стационарной торговой сети, не имеющих торговых залов, объектов нестационарной торговой сети, а также объектов организации общественного питания, не имеющих залов обслуживания посетителей, если площадь каждого из них превышает 5 кв. м, - как величина, равная 0,62;

11) при оказании услуг по передаче во временное владение и (или) пользование земельных участков для размещения объектов стационарной и нестационарной торговой сети, а также объектов организации общественного питания, если площадь земельного участка не превышает 10 квадратных метров, - как величина, равная 0,62;

при оказании услуг по передаче во временное владение и (или) в пользование земельных участков для размещения объектов стационарной и нестационарной торговой сети, а также объектов организации общественного питания, если площадь земельного участка превышает 10 квадратных метров, как величина, - равная 0,82.

Установлено, что:

- значение коэффициента К2 уменьшается в 2 раза для налогоплательщиков - инвалидов с детства, инвалидов I и II групп, индивидуально осуществляющих виды предпринимательской деятельности, указанные в пункте 1 настоящего решения, без привлечения наемных работников;

- налогоплательщик, имеющий право на уменьшение значения коэффициента К2 одновременно по нескольким основаниям, указанным в пунктах 1, 2 настоящего решения, может им воспользоваться только по одному основанию.

В случае если значение коэффициента К2 превышает 1, то при начислении суммы единого налога на вмененный доход применяется значение коэффициента К2 = 1.

Таблица 1

Коэффициенты бытовых услуг (Ку)

Код по ОКВЭД 2 Наименование вида экономической деятельности Код по ОКПД 2 Наименование вида предпринимательской деятельности Значение коэффициента бытовых услуг (Ку)
из 13.10.9 Переработка давальческой мытой шерсти на трикотажную пряжу по индивидуальному заказу населения из 13.10.93.120 Услуги по переработке давальческой мытой шерсти на трикотажную пряжу по индивидуальному населению 0,811
Официальный источник электронного документа содержит неточность: код по Общероссийскому классификатору видов экономической деятельности "13.10.9" имеет название "Подготовка и прядение прочих текстильных волокон".
Официальный источник электронного документа содержит неточность: код по Общероссийскому классификатору продукции по видам экономической деятельности "13.10.93.120" имеет название "Услуги по подготовке к прядению шерсти и волоса животных".
14.13.3 Пошив и вязание прочей верхней одежды по индивидуальному заказу населения 14.13.99.200 Услуги по пошиву верхней одежды по индивидуальному заказу населения 0,487
14.13.99.210 Услуги по пошиву стеганых пальто, курток и жилетов по индивидуальному заказу населения 0,487
14.13.99.230 Услуги по пошиву плащей, курток, накидок и других изделий из тканей с водоотталкивающей пропиткой, прорезиненных тканей по индивидуальному заказу населения 0,487
14.13.99.240 Услуги по пошиву мужских, женских, детских верхних трикотажных изделий по индивидуальному заказу населения 0,487
14.13.99.250 Услуги по вязанию верхних трикотажных изделий по индивидуальному заказу населения 0,487
14.39.2 Изготовление прочих вязаных и трикотажных изделий, не включенных в другие группировки, по индивидуальному заказу населения 14.39.99.200 Услуги по изготовлению прочих трикотажных и вязаных изделий, не включенные в другие группировки, по индивидуальному заказу населения 0,243
15.20.5 Пошив обуви и различных дополнений к обуви по индивидуальному заказу населения 15.20.99.200 Услуги по пошиву обуви по индивидуальному заказу населения 0,811
15.20.99.211 Услуги по пошиву повседневной обуви по индивидуальному заказу населения 0,811
15.20.99.212 Услуги по пошиву модельной обуви по индивидуальному заказу населения 0,811
15.20.99.213 Услуги по пошиву домашней обуви по индивидуальному заказу населения 0,811
15.20.99.214 Услуги по пошиву детской обуви по индивидуальному заказу населения 0,811
15.20.99.215 Услуги по пошиву национальной обуви по индивидуальному заказу населения 0,811
15.20.99.216 Услуги по пошиву сувенирной обуви по индивидуальному заказу населения 0,811
    15.20.99.217 Услуги по изготовление валяной обуви 0,811
15.20.99.218 Услуги по пошиву обуви по эскизам заказчика по индивидуальному заказу населения 0,811
15.20.99.219 Услуги по пошиву обуви из натуральных материалов с отделками из ценных мехов по индивидуальному заказу населения 0,811
15.20.99.221 Услуги по пошиву зимней обуви из меха по индивидуальному заказу населения 0,811
15.20.99.222 Услуги по пошиву обуви из искусственной и синтетической кожи по индивидуальному заказу населения 0,811
15.20.99.223 Услуги по пошиву обуви из текстиля по индивидуальному заказу населения 0,811
    15.20.99.229 Услуги по пошиву прочей обуви по индивидуальному заказу населения 0,811
15.20.99.230 Услуги по изготовлению различных дополнений к обуви по индивидуальному заказу населения 0,811
из 18.14 Переплетные, брошюровочные, окантовочные, картонажные работы по индивидуальному заказу населения 18.14.10.200 Услуги переплетные, брошюровочные, окантовочные, картонажные работы по индивидуальному заказу населения 0,811
25.99.3 Изготовление готовых металлических изделий хозяйственного назначения по индивидуальному заказу населения 25.99.99.200 Услуги по изготовлению готовых металлических изделий хозяйственного назначения по индивидуальному заказу населения 1,622
25.99.99.211 Услуги по изготовлению ажурных декоративных решеток из металла по индивидуальному заказу населения 1,622
25.99.99.212 Услуги по изготовлению багажных корзинок по индивидуальному заказу населения 1,622
25.99.99.213 Услуги по изготовлению чеканных панно и рамок по индивидуальному заказу населения 1,622
25.99.99.214 Услуги по изготовлению секций парниковых теплиц по индивидуальному заказу населения 1,622
    25.99.99.215 Услуги по изготовлению подвесок под декоративные тарелки по индивидуальному заказу населения 1,622
25.99.99.216 Услуги по изготовлению электроводонагревателей по индивидуальному заказу населения 1,622
25.99.99.217 Услуги по изготовлению металлической посуды по индивидуальному заказу населения 1,622
25.99.99.218 Услуги по изготовлению памятников, ограждений, ворот из металла по индивидуальному заказу населения 1,622
25.99.99.219 Услуги по изготовлению мангалов по индивидуальному заказу населения 1,622
    25.99.99.221 Услуги по изготовлению емкостей, тепловых шкафов, поддонов, труб и др. изделий из металла, в том числе по эскизам заказчика, по индивидуальному заказу населения 1,622
25.99.99.222 Услуги по изготовлению сшивно-кровельного покрытия из железа по индивидуальному заказу населения 1,622
25.99.99.223 Услуги по изготовлению деталей к бытовым машинам и приборам по индивидуальному заказу населения 1,622
25.99.99.224 Услуги по изготовлению механизмов для зашторивания по индивидуальному заказу населения 1,622
25.99.99.229 Услуги по изготовлению прочих металлических предметов хозяйственного назначения по индивидуальному заказу населения 1,622
31.09.2 Изготовление прочей мебели и отдельных мебельных деталей, не включенных в другие группировки, по индивидуальному заказу населения 31.09.91.112 <*> Услуги по декоративному оформлению новой мебели с применением резьбы, интарсии, накладных элементов декора 0,649
31.09.91.113 <*> Услуги по декоративно-художественному оформлению новой мебели посредством горячего тиснения, шелкографии, приклеивания анодированной фольги, позолоты и т.п. 0,649
31.09.91.115 <*> Услуги по декоративному оформлению изделий мягкой мебели путем художественной простежки облицовочной ткани и пиковки 0,649
31.09.99.200 Услуги по изготовлению прочей мебели по индивидуальному заказу населения 0,649
    31.09.99.211 Услуги по изготовлению мягкой мебели по индивидуальному заказу населения 0,649
31.09.99.212 Услуги по изготовлению плетеной мебели по индивидуальному заказу населения 0,649
31.09.99.213 Услуги по изготовлению корпусной мебели по индивидуальному заказу населения 0,649
31.09.99.214 Услуги по изготовлению секционной мебели по индивидуальному заказу населения 0,649
31.09.99.215 Услуги по изготовлению наборов мебели по индивидуальному заказу населения 0,649
31.09.99.216 Услуги по изготовлению встроенной мебели по индивидуальному заказу населения 0,649
    31.09.99.217 Услуги по изготовлению дачной мебели по индивидуальному заказу населения 0,649
31.09.99.218 Услуги по изготовлению мебели для оборудования прихожих по индивидуальному заказу населения 0,649
31.09.99.219 Услуги по изготовлению деревянных карнизов, багетных рамок по индивидуальному заказу населения 0,649
31.09.99.221 Услуги по изготовлению мебели многопланового назначения и трансформируемой мебели по индивидуальному заказу населения 0,649
31.09.99.222 Услуги по изготовлению двухсторонних стенок-перегородок по индивидуальному заказу 0,649
    31.09.99.223 Услуги по изготовлению отдельных мебельных деталей (щитов, брусков и др.) по индивидуальному заказу населения 0,649
31.09.99.224 Услуги по изготовлению щитков, решеток и коробок для маскировки отопительных приборов по индивидуальному заказу населения 0,649
31.09.99.229 Услуги по изготовлению прочей мебели, не включенные в другие группировки, по индивидуальному заказу населения 0,649
32.12.6 Изготовление ювелирных изделий и аналогичных изделий по индивидуальному заказу населения 32.12.99.200 Услуги по изготовлению ювелирных и соответствующих изделий по индивидуальному заказу населения 0,324
32.12.99.211 Услуги по изготовлению ювелирных изделий по индивидуальному заказу населения 0,324
32.12.99.212 Услуги по изготовлению шкатулок, пудрениц, корпусов для часов по индивидуальному заказу населения 0,324
32.12.99.213 Услуги по изготовлению накладных выпильных монограмм к ювелирным изделиям по индивидуальному заказу населения 0,324
32.12.99.214 Услуги по изготовлению ювелирных изделий методом литья по выплавляемым моделям по индивидуальному заказу населения 0,324
    32.12.99.215 Услуги по изготовлению памятных медалей по индивидуальному заказу населения 0,324
32.12.99.216 Услуги по чеканке и гравировке ювелирных изделий по индивидуальному заказу населения 0,324
32.12.99.217 Услуги по чернению изделий из серебра по индивидуальному заказу населения 0,324
32.12.99.218 <*> Услуги по обработке поделочных ювелирных камней и закрепление их в ювелирных изделиях 0,324
32.12.99.219 Услуги по изготовлению прочих ювелирных изделий по индивидуальному заказу населения 0,324
из 32.99.9 Изготовление гробов по индивидуальному заказу населения из 32.99.59 Изготовление гробов, в т.ч. цинковых по индивидуальному заказу населения 0,811
41.10 <**> Разработка строительных проектов из 41.10.10 Услуги по разработке проектно-сметной документации по индивидуальному заказу населения 1,622
из 41.20 <**> Строительство индивидуальных домов; возведение пристроек и хозяйственных построек (сараи, навесы, летние кухни, бани, душевые и т.д.), садовых домиков; индивидуальных гаражей; сборка и монтаж сборных сооружений на строительном участке, в том числе изготовление и сборка бревенчатых и брусчатых срубов; сборка щитовых домов заводского изготовления; пристройка к домам дополнительных помещений (веранд, туалетов и др.) по индивидуальному заказу населения; реконструкция или ремонт существующих жилых и нежилых зданий, ремонт домов и квартир, садовых (дачных) домиков, пристроек и хозяйственных построек, бань и душевых, а также спортивных сооружений из 41.20.30 <**> Работы по строительству новых объектов, возведению пристроек, реконструкции и ремонту зданий; ремонт домов, квартир по заказам населения; переборка бревенчатых и брусчатых срубов; ремонт подвальных помещений, погребов; ремонт садовых (дачных) домиков;
ремонт хозяйственных построек (сараев, навесов, летних кухонь и др.); строительство индивидуальных домов; строительство хозяйственных построек;
изготовление и сборка бревенчатых и брусчатых срубов;
сборка щитовых домов заводского изготовления; строительство садовых домиков; пристройка к домам дополнительных помещений (веранд, туалетов и др.); строительство индивидуальных бань и душевых
 
строительство 1,622
ремонт 2,028
из 41.20.40 <**> Строительство и ремонт индивидуальных гаражей  
строительство 1,622
ремонт 2,028
43.32 <**> Работы столярные и плотничные 43.32.10 <**> Работы столярные и плотничные 1,622
43.32.1 <**> Установка дверей (кроме автоматических и вращающихся), окон, дверных и оконных рам из дерева или прочих материалов
43.32.2 <**> Работы по установке внутренних лестниц, встроенных шкафов, встроенного кухонного оборудования
43.32.3 <**> Производство работ по внутренней отделке зданий (включая потолки, раздвижные и съемные перегородки и т.д.)
43.33 <**> Работы по устройству покрытий полов и облицовке стен 43.33.10 <**> Работы по облицовке полов и стен плитками 1,622
43.33.2 <**> Работы по устройству покрытий полов и стен прочие, включая работы обойные 1,622
43.34 <**> Производство малярных и стекольных работ 43.34 <**> Работы малярные и стекольные 1,622
43.34.1 <**> Производство малярных работ
43.34.2 <**> Производство стекольных работ
43.91 <**> Производство кровельных работ 43.91.19 <**> Работы кровельные прочие 1,622
из 43.99.9 <*> Работы по устройству частных плавательных бассейнов 43.99.90.130 <**> Работы строительные по строительству открытых плавательных бассейнов 1,622
43.99.90.140 <**> Работы строительные по устройству декоративных каминов, печей, очагов, дымоходов, газоходов 1,622
из 43.99.90.190 <*> Укладка тротуарной плитки на садовых участках 1,622
47.78.22 <*> Сборка и ремонт очков в специализированных магазинах 47.78.20.200 <*> Услуги по сборке и ремонту очков в специализированных магазинах 0,811
74.20 <*> Деятельность в области фотографии 74.20.21 <*> Услуги портретной фотографии 0,811
74.20.21.111 <*> Услуги по изготовлению в павильоне черно-белых и цветных фотоснимков для документов 0,811
74.20.21.112 <*> Услуги по изготовлению в павильоне черно-белых и цветных художественных, в том числе комбинированных, фотоснимков 0,811
74.20.21.113 <*> Услуги по изготовлению вне павильона черно-белых и цветных фотоснимков для документов 0,811
74.20.21.114 <*> Услуги по изготовлению малоформатных фотоснимков в фотоавтоматах 0,811
    74.20.21.115 <*> Услуги по изготовлению портретов с негатива или фотоснимка заказчика 0,811
74.20.21.116 <*> Услуги по изготовлению вне павильона черно-белых и цветных художественных фотоснимков 0,811
74.20.21.119 <*> Прочие услуги в области портретной фотографии 0,811
74.20.23 <*> Услуги в области фото и видеосъемки событий 0,811
74.20.31 <*> Услуги по обработке фотоматериалов 0,811
74.20.32 <*> Услуги по восстановлению и ретушированию фотографий 0,811
74.20.39 <*> Услуги в области фотографии прочие, не включенные в другие группировки 0,811
74.30 <*> Деятельность по письменному и устному переводу 74.30 <*> Услуги по письменному и устному переводу 0,324
из 77.29 <*> Прокат прочих предметов личного пользования и хозяйственно-бытового назначения 77.29 <*> Услуги по прокату прочих бытовых изделий и предметов личного пользования 0,324
из 77.29.1 <*> Прокат телевизоров, радиоприемников, устройств видеозаписи, аудиозаписи и подобного оборудования
из 77.29.2 <*> Прокат мебели, электрических и неэлектрических бытовых приборов
из 77.29.3 <*> Прокат музыкальных инструментов
из 77.29.9 <*> Прокат прочих бытовых изделий и предметов личного пользования для домашних хозяйств
из 77.33 <*> Прокат офисных машин и оборудования, включая вычислительную технику из 77.33.1 <*> Прокат офисных машин и оборудования, включая вычислительную технику 1,46
из 77.33.1 <*> Прокат офисных машин и оборудования
из 77.33.2 <*> Прокат вычислительных машин и оборудования
из 81.29.2 Очистка крутых кровель от снега и льда по индивидуальному заказу населения из 81.29.12 <*> Очистка крутых кровель от снега и льда 0,324
из 81.29.1 Санитарно-гигиеническая обработка помещений и сантехнического оборудования; чистка и дезинфекция кухонного оборудования по индивидуальному заказу населения из 81.29.13 <*> Санитарно-гигиеническая обработка помещений и сантехнического оборудования, чистка и дезинфекция кухонного оборудования 0,324
из 81.29.9 Чистка сливных и канализационных решеток, труб и желобов; уход за декоративными изделиями из стекла, металла, дерева, кожи;
уход за лепными и скульптурными украшениями; чистка жалюзи по индивидуальному заказу населения
из 81.29.19 <*> Чистка сливных и канализационных решеток, труб и желобов, уход за декоративными изделиями из стекла, металла, дерева, кожи, уход за лепными и скульптурными украшениями, чистка жалюзи 0,324
из 81.30 Благоустройство придомовых территорий; услуги ландшафтного дизайна по индивидуальному заказу населения из 81.30.10 Благоустройство придомовых территорий; услуги ландшафтного дизайна по индивидуальному заказу населения 0,324
из 82.19 Деятельность секретаря-референта, в том числе со знанием иностранного языка; услуги машинистки-стенографистки по индивидуальному заказу населения из 82.19.13 Услуги секретаря-референта, в том числе со знанием иностранного языка; услуги машинистки-стенографистки по индивидуальному заказу населения 0,324
95.21 <*> Ремонт электронной бытовой техники 95.21.10.100 <*> Услуги по ремонту приборов бытовой электроники 1,622
95.21.10.110 <*> Услуги по ремонту телевизоров 1,622
95.21.10.120 <*> Услуги по ремонту видеозаписывающей аппаратуры 1,622
95.21.10.130 <*> Услуги по ремонту видеовоспроизводящей аппаратуры 1,622
95.21.10.140 <*> Услуги по ремонту звукозаписывающей и звуковоспроизводящей аппаратуры 1,622
95.21.10.150 <*> Услуги по ремонту многофункциональных бытовых радиоэлектронных аппаратов 1,622
95.21.10.160 <*> Услуги по ремонту устройств спутникового телевидения 1,622
95.21.10.190 <*> Услуги по ремонту прочей бытовой радиоэлектронной аппаратуры 1,622
    95.21.10.200 <*> Услуги по техническому обслуживанию бытовой радиоэлектронной аппаратуры 1,622
95.21.10.300 <*> Услуги по установке, подключению, сопряжению бытовой радиоэлектронной аппаратуры 1,622
95.22 <*> Ремонт бытовых приборов, домашнего и садового инвентаря 95.22.10.100 <*> Услуги по ремонту бытовых машин, узлов и деталей к ним 1,622
95.22.1 <*> Ремонт бытовой техники 95.22.10.110 <*> Услуги по ремонту холодильников, морозильников 1,622
95.22.10.120 <*> Услуги по ремонту пылесосов 1,622
95.22.10.130 <*> Услуги по ремонту электрополотеров 1,622
95.22.10.140 <*> Услуги по ремонту стиральных и сушильных машин 1,622
95.22.10.150 <*> Услуги по ремонту швейных, вязальных машин (ручных) 1,622
95.22.10.160 <*> Услуги по ремонту гладильных машин 1,622
95.22.10.170 <*> Услуги по ремонту универсальных кухонных бытовых машин, комбайнов, автоматических посудомоечных машин 1,622
95.22.10.180 <*> Услуги по ремонту газовых и электроплит в жилых помещениях 1,622
95.22.10.190 <*> Услуги по ремонту прочих бытовых машин 1,622
    95.22.10.200 <*> Услуги по ремонту бытовых приборов 1,622
95.22.10.211 <*> Услуги по ремонту приборов гигиены рта, включаемых в сеть 1,622
95.22.10.212 <*> Услуги по ремонту электрических и механических машинок для стрижки волос 1,622
95.22.10.213 <*> Услуги по ремонту электрических и механических бритв 1,622
95.22.10.214 <*> Услуги по ремонту пульверизаторов 1,622
95.22.10.215 <*> Услуги по ремонту приборов для массажа 1,622
95.22.10.216 <*> Услуги по ремонту фенов 1,622
95.22.10.217 <*> Услуги по ремонту электрических ножниц 1,622
95.22.10.218 <*> Услуги по ремонту электровулканизаторов 1,622
    95.22.10.219 <*> Услуги по ремонту бытовых электрокраскораспылителей 1,622
95.22.10.221 <*> Услуги по ремонту приборов автоматики и управления бытовых машин и приборов 1,622
95.22.10.222 <*> Услуги по ремонту фотоаппаратов, фотоувеличителей 1,622
95.22.10.223 <*> Услуги по ремонту фотовспышек, экспонометров 1,622
95.22.10.224 <*> Услуги по ремонту кинопроекторов, диапроекторов и другой проекционной аппаратуры 1,622
95.22.10.225 <*> Услуги по ремонту биноклей 1,622
95.22.10.226 <*> Услуги по ремонту слуховых аппаратов 1,622
95.22.10.227 <*> Услуги по ремонту ручных и электрических насосов 1,622
    95.22.10.228 <*> Услуги по ремонту бытовых электронагревательных приборов (электроплиток, электрорадиаторов, электрокаминов, электрогрелок, электроутюгов и др.) 1,622
95.22.10.229 <*> Услуги по ремонту бытовых весоизмерительных приборов (весов пружинных напольных), не подлежащих госповерке 1,622
95.22.10.230 <*> Услуги по ремонту бытовых кухонных приборов 1,622
95.22.10.241 <*> Услуги по ремонту медогонок, сепараторов 1,622
95.22.10.242 <*> Услуги по ремонту бытовых электровоздухоочистителей и надплитных электрофильтров 1,622
95.22.10.243 <*> Услуги по ремонту комнатных кондиционеров воздуха 1,622
    95.22.10.244 <*> Услуги по ремонту увлажнителей воздуха, озонаторов, бытовых ионизаторов 1,622
95.22.10.245 <*> Услуги по ремонту вентиляторов, теплоэлектровентиляторов, калориферов 1,622
95.22.10.246 <*> Услуги по ремонту электроприборов для загара 1,622
95.22.10.247 <*> Услуги по ремонту сифонов и автосифонов, в том числе зарядка газовых баллончиков для сифонов 1,622
95.22.10.248 <*> Услуги по ремонту электрозвонков 1,622
95.22.10.249 <*> Услуги по ремонту бытовых компрессоров и микрокомпрессоров 1,622
95.22.10.251 <*> Услуги по ремонту трансформаторов и стабилизаторов напряжения 1,622
    95.22.10.252 <*> Услуги по ремонту устройств для измельчения пищевых отходов 1,622
95.22.10.253 <*> Услуги по ремонту баков для кипячения белья и стерилизаторов 1,622
95.22.10.254 <*> Услуги по ремонту электроводонагревателей, в том числе проточных 1,622
95.22.10.255 <*> Услуги по ремонту электросушилок для одежды и обуви 1,622
95.22.10.256 <*> Услуги по ремонту приборов с электродвигателем и приводом с питанием от батарей 1,622
95.22.10.257 <*> Услуги по ремонту зажигалок для газовых плит с питанием от сети 1,622
95.22.10.258 <*> Услуги по ремонту фильтров для очистки воды 1,622
95.22.10.259 <*> Услуги по ремонту прочих бытовых приборов 1,622
95.22.2 <*> Ремонт домашнего и садового оборудования 95.22.10.300 <*> Услуги по ремонту домашнего и садового инвентаря 1,622
95.22.10.310 <*> Услуги по ремонту сельхозинвентаря, минитракторов, газонокосилок 1,622
95.22.10.320 <*> Услуги по ремонту приборов для аквариумов и садовых водоемов 1,622
95.22.10.390 <*> Услуги по ремонту прочего домашнего и садового инвентаря 1,622
95.23 <*> Ремонт обуви и прочих изделий из кожи 95.23.10.100 <*> Услуги по ремонту обуви 0,811
95.23.10.110 <*> Услуги по ремонту, реставрации верха обуви 0,811
95.23.10.111 <*> Услуги по замене застежки-молнии, в том числе вставка блочек в сапоги вместо застежки-молнии 0,811
95.23.10.112 <*> Услуги по изменению длины и ширины голенищ сапог 0,811
95.23.10.113 <*> Услуги по изготовлению и прикреплению меховой опушки, замене окантовочной части верха обуви 0,811
95.23.10.114 <*> Услуги по обновлению обуви с полной заменой верха с использованием ношеных формованных подошв 0,811
95.23.10.115 <*> Услуги по формованию следа валяной обуви на колодке 0,811
    95.23.10.116 <*> Услуги по обновлению обуви с изменением модели кожаных сапог за счет уменьшения высоты голенищ и использования их на замену изношенных деталей 0,811
95.23.10.117 <*> Услуги по обновлению обуви с изменением модели обуви за счет использования голенищ на детали верха 0,811
95.23.10.118 <*> Услуги по отделке верха обуви, изготовленной из специфических кож (рептилий, рыб, лаковых) 0,811
95.23.10.119 <*> Услуги по пропитке заготовки верха обуви водоотталкивающими препаратами 0,811
95.23.10.120 <*> Услуги по ремонту и замене подошв 0,811
    95.23.10.121 <*> Услуги по постановке и ремонту внутренних задников, подпяточников, стелек и полустелек из различных материалов 0,811
95.23.10.122 <*> Услуги по подшиву подошв меховой обуви 0,811
95.23.10.123 <*> Услуги по укреплению подошв, каблуков, крокульной части подошв 0,811
95.23.10.124 <*> Услуги по замене крокульной части подошвы в обуви на высоком каблуке 0,811
95.23.10.125 <*> Услуги по постановке удлиненных подметок 0,811
95.23.10.126 <*> Услуги по постановке супинаторов 0,811
95.23.10.127 <*> Услуги по устранению переломов подошв и стелек в летней обуви с заменой деталей низа 0,811
    95.23.10.128 <*> Услуги по обновлению валяной обуви с постановкой бортовой обклейки, подошв, набоек, накладных деталей верха 0,811
95.23.10.129 <*> Услуги по обновлению обуви с использованием пористой резины или натурального каучука для подошвы и бортовой обклейки, а также с использованием формованных подошв 0,811
95.23.10.130 <*> Услуги по ремонту и по постановке каблуков любой формы из всех материалов 0,811
95.23.10.131 <*> Услуги по постановке набоек, косячков, рубчиков из всех видов материалов 0,811
95.23.10.132 <*> Услуги по декоративной отделке уреза подошвы и каблука под "формованную" 0,811
    95.23.10.133 <*> Услуги по обрезинованию валенок (рыбацкие калоши) 0,811
95.23.10.140 <*> Услуги по окраске обуви 0,811
95.23.10.190 <*> Прочие услуги по ремонту обуви 0,811
95.23.10.191 <*> Услуги по восстановлению формы верха обуви из натуральных кож, подвергшихся влиянию реагентов, в том числе удаление пятен от реагентов 0,811
95.23.10.192 <*> Услуги по изготовлению и прикрепление ремешков, язычков, удлинение ремешков и замена резинок 0,811
95.23.10.193 <*> Услуги по изготовлению и прикрепление новых украшений, ремонт старых украшений и фурнитуры 0,811
    95.23.10.194 <*> Услуги по растяжке обуви 0,811
95.23.10.195 <*> Услуги по полуперетяжке всех видов обуви из различных материалов 0,811
95.23.10.196 <*> Услуги по ремонту резиновой и валяной обуви методом вулканизации 0,811
95.23.10.197 <*> Услуги по вклеиванию новой ворсовой ткани 0,811
95.23.10.198 <*> Услуги по ремонту обуви из синтетических материалов клеевым методом 0,811
95.23.10.199 <*> Прочие услуги по ремонту обуви, не включенные в другие группировки 0,811
95.23.10.200 <*> Услуги по ремонту изделий из кожи, кроме обуви 0,243
95.24 <*> Ремонт мебели и предметов домашнего обихода      
95.24.1 <*> Ремонт мебели 95.24.10.110 <*> Услуги по ремонту мебели 0,649
95.24.10.111 <*> Услуги по ремонту мягкой мебели 0,649
95.24.10.112 <*> Услуги по ремонту плетеной мебели 0,649
95.24.10.113 <*> Услуги по ремонту корпусной мебели 0,649
95.24.10.114 <*> Услуги по ремонту детской мебели 0,649
95.24.10.115 <*> Услуги по ремонту кухонной мебели 0,649
95.24.10.116 <*> Услуги по ремонту дачной мебели 0,649
95.24.10.117 <*> Услуги по ремонту и реставрация антикварной мебели 0,649
95.24.10.118 <*> Услуги по обновлению и переделке старых конструкций мебели на современные 0,649
95.24.10.119 <*> Услуги по ремонту прочей мебели 0,649
    95.24.10.120 <*> Услуги по сборке мебели на дому у заказчика, приобретенной им в торговой сети в разобранном виде 0,649
95.24.10.190 <*> Прочие услуги по ремонту мебели 0,649
95.24.10.191 <*> Услуги по ремонту, реставрации, установке и креплению стекол и зеркал для мебели 0,649
95.24.10.192 <*> Услуги по установке и креплению филенок, полок, фурнитуры 0,649
95.24.10.193 <*> Услуги по замене старых настилочных и набивочных материалов новыми рулонными и пластовыми материалами при ремонте мягких элементов мебели 0,649
    95.24.10.194 <*> Услуги по замене старого лакокрасочного покрытия 0,649
95.24.10.199 <*> Прочие услуги по ремонту мебели, не включенные в другие группировки 0,649
95.24.2 <*> Ремонт предметов домашнего обихода 95.24.10.130 <*> Услуги по ремонту предметов домашнего обихода 0,649
95.29.1 <*> Ремонт одежды и текстильных изделий      
95.29.11 <*> Ремонт одежды 95.29.11.100 <*> Услуги по ремонту и подгонке/перешиву одежды, кроме трикотажной 0,243
95.29.11.110 <*> Услуги по ремонту верхней одежды 0,243
95.29.11.120 <*> Услуги по ремонту легкой одежды 0,243
95.29.11.130 <*> Услуги по ремонту верхних мужских сорочек 0,243
95.29.11.140 <*> Услуги по ремонту белья женского, мужского, детского 0,243
95.29.11.150 <*> Услуги по ремонту корсетных изделий 0,243
95.29.11.160 <*> Услуги по ремонту форменной одежды 0,243
95.29.11.170 <*> Услуги по ремонту рабочей одежды 0,243
95.29.11.180 <*> Услуги по ремонту мужских, женских, детских головных уборов 0,243
95.29.11.190 <*> Прочие услуги по ремонту и подгонке/перешиву одежды 0,243
    95.29.11.191 <*> Услуги по перешиву взрослой одежды на детскую 0,243
95.29.11.192 <*> Услуги по вставке застежки-молнии 0,243
95.29.11.193 <*> Услуги по изготовлению изделий из меха, бывшего в употреблении 0,243
95.29.11.194 <*> Услуги по глажению одежды 0,243
95.29.11.195 <*> Услуги по художественной штопке одежды 0,243
95.29.12 <*> Ремонт текстильных изделий 95.29.11.200 <*> Услуги по ремонту и подгонке/перешиву бытовых текстильных изделий, кроме трикотажных 0,243
95.29.11.210 <*> Услуги по ремонту столового и постельного белья 0,243
95.29.11.220 <*> Услуги по ремонту изделий из натурального и искусственного меха 0,243
95.29.11.230 <*> Услуги по ремонту изделий из натуральной, искусственной кожи и замши 0,243
95.29.11.240 <*> Услуги по ремонту стеганых одеял 0,243
95.29.11.250 <*> Услуги по ремонту изделий текстильной галантереи 0,243
    95.29.11.260 Услуги по ремонту чехлов всех видов, тентов 0,243
95.29.11.270 <*> Услуги по ремонту и реставрации кружевных изделий и изделий художественного ткачества 0,243
95.29.11.280 <*> Услуги по ремонту покрывал, штор 0,243
95.29.11.290 <*> Услуги по ремонту и подгонке/перешиву прочих бытовых текстильных изделий, кроме трикотажных 0,243
95.29.13 <*> Ремонт трикотажных изделий 95.29.11.300 <*> Услуги по обновлению одежды, в том числе трикотажной 0,243
95.29.11.400 <*> Услуги по ремонту трикотажных изделий 0,243
95.29.11.410 <*> Услуги по ремонту верхних трикотажных изделий 0,243
95.29.11.420 <*> Услуги по ремонту бельевых трикотажных изделий 0,243
95.29.11.430 <*> Услуги по ремонту чулочно-носочных, перчаточных изделий 0,243
95.29.11.440 <*> Услуги по ремонту головных уборов 0,243
95.29.11.450 <*> Услуги по ремонту платочно-шарфовых изделий 0,243
95.29.11.460 <*> Услуги по ремонту трикотажных изделий, комбинированных с тканями, искусственной кожей, мехом и др. 0,243
95.29.11.490 <*> Прочие услуги по ремонту трикотажных изделий 0,243
95.29 <*> Ремонт прочих предметов личного потребления и бытовых товаров      
95.29.4 <*> Ремонт металлоизделий бытового и хозяйственного назначения      
95.29.41 <*> Ремонт предметов и изделий из металла 95.29.19.200 <*> Услуги по ремонту металлоизделий 1,622
95.29.19.211 <*> Услуги по ремонту примусов, керосинок, керогазов 1,622
95.29.19.212 <*> Услуги по ремонту бензиновых и газовых зажигалок 1,622
95.29.19.213 <*> Услуги по ремонту замков 1,622
95.29.19.214 <*> Услуги по ремонту и заточке чертежных инструментов 1,622
95.29.19.215 <*> Услуги по ремонту, заточке, шлифовке и правке ножей, ножниц, бритв 1,622
95.29.19.216 <*> Услуги по ремонту, насечке, разводке, заточке пил для поперечной распиловки и лучковых пил 1,622
95.29.19.217 <*> Услуги по ремонту зонтов и футляров к ним 1,622
    95.29.19.218 <*> Услуги по ремонту бытовой мебели из металла 1,622
95.29.19.219 <*> Услуги по ремонту сейфов и несгораемых шкафов индивидуального пользования 1,622
95.29.19.221 <*> Услуги по ремонту и изготовлению металлической галантереи, ключей, номерных знаков, указателей улиц 1,622
95.29.19.222 Услуги по ремонту металлической посуды 1,622
95.29.19.223 <*> Услуги по ремонту механизмов для зашторивания 1,622
95.29.19.224 <*> Услуги по ремонту газовых и бензиновых портативных плиток 1,622
95.29.19.225 <*> Услуги по ремонту мясорубок, соковарок и скороварок 1,622
    95.29.19.229 <*> Услуги по ремонту прочих металлических предметов хозяйственного назначения 1,622
95.29.19.300 <*> Услуги по ремонту осветительных приборов 1,622
из 96.01 <*> Стирка и химическая чистка текстильных и меховых изделий 96.01.12.111 <*> Услуги по химической чистке одежды из тканей с содержанием натуральных, синтетических и искусственных волокон 0,567
96.01.12.112 <*> Услуги по химической чистке одежды из тканей с пленочным покрытием 0,567
96.01.12.113 <*> Услуги по химической чистке изделий из тканей на синтепоне 0,567
96.01.12.114 <*> Услуги по химической чистке изделий из натурального меха 0,567
96.01.12.115 <*> Услуги по химической чистке изделий из искусственного меха 0,567
96.01.12.116 <*> Услуги по химической чистке изделий из натуральной замши и замшевой винилискожи 0,567
    96.01.12.117 <*> Услуги по химической чистке изделий из овчины и велюра 0,567
96.01.12.118 <*> Услуги по химической чистке изделий из натуральной кожи и винилискожи 0,567
96.01.12.119 <*> Услуги по химической чистке изделий, комбинированных из натуральной кожи и винилискожи, натурального и искусственного меха, натуральной замши и замшевой винилискожи 0,567
96.01.12.121 <*> Услуги по химической чистке трикотажных изделий 0,567
96.01.12.122 <*> Услуги по химической чистке головных уборов из велюра, замши, фетра  
96.01.12.123 <*> Услуги по химической чистке головных уборов из натурального и искусственного меха 0,567
    96.01.12.124 <*> Услуги по химической чистке головных уборов из шерсти, пуха и других материалов 0,567
96.01.12.125 <*> Услуги по химической чистке изделий из декоративных тканей на основе смеси из искусственных волокон 0,567
96.01.12.126 <*> Услуги по химической чистке изделий из нетканых материалов 0,567
96.01.12.127 <*> Услуги по химической чистке шерстяных, хлопчатобумажных одеял и пледов 0,567
96.01.12.128 <*> Услуги по химической чистке ватных одеял 0,567
96.01.12.129 <*> Услуги по химической чистке ковров и ковровых изделий 0,567
    96.01.12.131 <*> Услуги по химической чистке мягких игрушек 0,567
96.01.12.132 <*> Услуги по химической чистке зонтов 0,567
96.01.12.133 <*> Услуги по химической чистке платков, шарфов, перчаток, варежек, галстуков, косынок из различных материалов 0,567
96.01.12.134 <*> Услуги по химической чистке спальных мешков из различных материалов 0,567
96.01.12.135 <*> Услуги по химической чистке спецодежды 0,567
96.01.12.136 <*> Услуги по химической чистке изделий из ворсовых тканей 0,567
96.01.12.137 <*> Услуги по химической чистке гобеленов 0,567
    96.01.12.138 <*> Услуги по химической чистке гардинно-тюлевых изделий 0,567
96.01.12.139 <*> Услуги по химической чистке перо-пуховых изделий 0,567
96.01.12.141 <*> Услуги по химической чистке мебели и ковров на дому 0,567
96.01.12.142 <*> Срочная химчистка одежды и выведение пятен 0,567
96.01.12.143 <*> Услуги по химической чистке одежды методом самообслуживания 0,567
96.01.12.144 <*> Услуги по химической чистке чехлов для сидений автомобиля 0,567
96.01.12.145 <*> Услуги по аквачистке 0,567
96.01.12.200 <*> Прочие услуги при химической чистке 0,567
    96.01.12.211 <*> Услуги по противомолевой обработке изделий после химической чистки 0,567
96.01.12.212 <*> Услуги по антистатической обработке 0,567
96.01.12.213 <*> Услуги по водоотталкивающей пропитке спецодежды и других изделий из брезента 0,567
96.01.12.214 <*> Услуги по аппретированию складок брюк и юбок для придания устойчивой формы 0,567
96.01.12.215 <*> Услуги по аппретированию одежды после мокрой обработки и крашения 0,567
96.01.12.216 <*> Услуги по аппретированию изделий из натуральной замши и овчины 0,567
    96.01.12.217 <*> Услуги по аппретированию ковров после химической чистки 0,567
96.01.12.218 <*> Услуги по расчесыванию натуральных и искусственных мехов после химчистки 0,567
96.01.12.219 <*> Услуги по замене наперников при химической чистке перо-пуховых изделий 0,567
96.01.12.221 <*> Услуги по растяжке пуховых платков после химической чистки 0,567
96.01.12.222 <*> Услуги по восстановлению формы и размеров трикотажных изделий из шерстяной и полушерстяной пряжи, деформированных после стирки в домашних условиях 0,567
    96.01.12.223 <*> Услуги по восстановлению первоначальных форм и размеров мужских головных уборов из фетра, велюра и замши 0,567
96.01.12.224 <*> Услуги по отпарыванию и пришиванию пуговиц, меховых воротников на изделиях, сдаваемых в химическую чистку 0,567
96.01.12.225 <*> Услуги по текущему ремонту одежды после химчистки и крашения 0,567
96.01.12.226 <*> Услуги по глажению изделий после химической чистки методом самообслуживания 0,567
96.01.12.227 <*> Услуги по декатированию швейных материалов 0,567
96.01.12.228 <*> Услуги по реставрации ковровых изделий 0,567
    96.01.12.229 <*> Услуги по бактерицидной обработке изделий 0,567
96.01.12.231 <*> Услуги по огнезащитной обработке изделий 0,567
96.01.12.232 <*> Услуги по дезодорации одежды 0,567
96.01.12.233 <*> Услуги по грязеотталкивающей обработке поверхности ковров и ковровых изделий 0,567
96.01.12.234 <*> Услуги по обработке латексом изнанки ковров и ковровых изделий 0,567
96.01.12.235 <*> Услуги по отбеливанию пряжи и гардинно-тюлевых изделий 0,567
96.01.12.236 <*> Услуги по обновлению изделий из натуральной кожи покрывного крашения 0,567
96.01.12.237 <*> Услуги по импрегнированию изделий из велюра и замши 0,567
    96.01.14.111 <*> Услуги по крашению текстильных и трикотажных изделий из натуральных волокон 0,567
96.01.14.112 <*> Услуги по крашению изделий с наличием синтетических волокон 0,567
96.01.14.113 <*> Услуги по крашению изделий из искусственного меха 0,567
96.01.14.114 <*> Услуги по крашению изделий из натурального меха и замши 0,567
96.01.14.115 <*> Услуги по крашению овчины 0,567
96.01.14.116 <*> Услуги по крашению изделий из тканей с пленочным покрытием 0,567
96.01.14.117 <*> Услуги по крашению изделий из ворсовых и лицевых кож 0,567
96.01.14.119 <*> Услуги по крашению прочих изделий 0,567
    96.01.19.100 <*> Услуги прачечных 0,243
96.01.19.111 <*> Услуги по стирке белья в прачечной самообслуживания 0,243
96.01.19.112 <*> Услуги по стирке белья в прачечной самообслуживания персоналом прачечной 0,243
96.01.19.113 <*> Услуги по сушке и глажению белья в прачечной самообслуживания 0,243
96.01.19.114 <*> Услуги по срочной стирке белья 0,243
96.01.19.115 <*> Услуги по стирке прямого хлопчатобумажного и льняного белья 0,243
96.01.19.116 <*> Услуги по стирке фасонного хлопчатобумажного и льняного белья 0,243
96.01.19.117 <*> Услуги по стирке верхних мужских сорочек 0,243
    96.01.19.118 <*> Услуги по антистатической обработке верхних мужских сорочек 0,243
96.01.19.119 <*> Услуги по дезодорации верхних мужских сорочек 0,243
96.01.19.121 <*> Услуги по стирке изделий из искусственных, синтетических и смешанных тканей 0,243
96.01.19.122 <*> Услуги по стирке стеганых одеял 0,243
96.01.19.123 <*> Услуги по стирке чехлов для сидений автомобилей, чехлов для мебели и др. 0,243
96.01.19.124 <*> Услуги по стирке спецодежды 0,243
96.01.19.125 <*> Услуги по стирке белья с различными пятнами, требующей особого режима обслуживания 0,243
96.01.19.126 <*> Услуги по ароматизации белья после стирки 0,243
    96.01.19.127 <*> Услуги по дезинфекции белья 0,243
96.01.19.128 <*> Услуги по изготовлению меток для белья 0,243
96.01.19.129 <*> Услуги по текущему ремонту белья и верхних мужских сорочек 0,243
96.01.19.131 <*> Услуги по пришиванию меток к белью и приему белья в стирку 0,243
96.01.19.132 <*> Услуги по приему белья в стирку на дому у заказчика и доставке белья после стирки 0,243
96.01.19.139 <*> Прочие услуги прачечных 0,243
96.02 <*> Предоставление услуг парикмахерскими и салонами красоты      
96.02.1 <*> Предоставление парикмахерских услуг 96.02.11 <*> Услуги парикмахерские для женщин и девочек 1,216
96.02.12 <*> Услуги парикмахерские для мужчин и мальчиков 1,216
96.02.2 <*> Предоставление косметических услуг парикмахерскими и салонами красоты 96.02.13.111 <*> Услуги по простому и сложному гриму лица, макияж 1,216
96.02.13.112 <*> Услуги по окраске бровей и ресниц, коррекции формы бровей, наращиванию ресниц, завивке ресниц 1,216
96.02.13.113 <*> Услуги по косметическим маскам по уходу за кожей лица и шеи с применением косметических средств 1,216
96.02.13.114 <*> Услуги по гигиеническому массажу лица и шеи, включая эстетический, стимулирующий, дренажный, аппаратный массаж, СПА-массаж 1,216
96.02.13.115 <*> Услуги по косметическому комплексному уходу за кожей лица и шеи 1,216
    96.02.13.116 <*> Услуги по косметическому татуажу, пирсингу 1,216
96.02.13.117 <*> Гигиеническая чистка лица 1,216
96.02.13.120 <*> Услуги по маникюру 1,216
96.02.13.130 <*> Услуги по педикюру 1,216
96.02.19.110 <*> Услуги косметические прочие 1,216
96.02.19.111 <*> Услуги по СПА уходу по телу, включая гигиенические, релаксирующие, эстетические методы с использованием косметических средств, природных и преформированных факторов воздействия 1,216
96.02.19.112 <*> Услуги по косметическому комплексному уходу за кожей тела, удалению волос с помощью косметических средств 1,216
96.03 <*> Организация похорон и предоставление связанных с ними услуг 96.03.11.100 <*> Услуги по захоронению 0,811
96.03.11.200 Услуги крематориев 0,811
96.03.11.300 <*> Услуги по содержанию и обслуживанию кладбищ, уходу за могилами и местами захоронения 0,811
96.03.11.311 <*> Услуги по установке, снятию окраски надмогильных сооружений 0,811
96.03.11.312 <*> Услуги по нанесению надписей на памятниках, мраморных досках, крепление фотографий на памятниках, высечке барельефов, выполнение графических портретов на памятниках, скульптурные работы и т.п. 0,811
    96.03.11.313 <*> Услуги по установке и ремонту ограды, памятных знаков 0,811
96.03.11.314 <*> Услуги по уходу за могилой 0,811
96.03.11.315 <*> Услуги по сооружению склепов и мемориальных комплексов 0,811
96.03.11.316 <*> Услуги по изготовлению надгробных сооружений из различных материалов и их реставрация 0,811
96.03.11.319 <*> Прочие услуги по захоронению и кремации 0,811
96.03.12.111 <*> Услуги приемщика заказов службы по организации похорон 0,811
    96.03.12.112 <*> Услуги по подаче объявлений, некролога, составление текстов траурной речи, оповещение родственников 0,811
96.03.12.113 <*> Услуги по прокату зала и его оформление для проведения гражданской панихиды, обряда поминания 0,811
96.03.12.114 <*> Услуги организатора ритуала по похоронам 0,811
96.03.12.115 <*> Услуги по организации похорон 0,811
96.03.12.116 <*> Услуги по бальзамированию трупа 0,811
96.03.12.117 <*> Услуги по санитарной и косметической обработке трупа 0,811
96.03.12.118 <*> Услуги по предпохоронному сохранению тел умерших 0,811
    96.03.12.119 <*> Услуги по перевозке тела (останков умершего) на кладбище (крематорий) 0,811
96.03.12.121 <*> Услуги по проведению эксгумации, транспортировка и перезахоронение останков 0,811
96.03.12.122 <*> Услуги по пошиву, изготовлению и прокату похоронных принадлежностей 0,811
96.03.12.123 <*> Услуги по изготовлению траурных венков, искусственных цветов, гирлянд 0,811
96.03.12.129 <*> Прочие услуги похоронных бюро 0,811
из 96.09 <*> Вспашка огородов, распилка дров;
изготовление сельскохозяйственного инвентаря из материала заказчика;
ремонт и изготовление гончарных изделий;
граверные работы по металлу, стеклу, фарфору, дереву, керамике;
стрижка домашних животных;
оформление заказов на покупку очков, оправ, лекарств по рецепту и доставка их на дом;
предоставление материалов для бытового технического творчества в салонах "сделай сам";
96.09.11 <*> Услуги по уходу за домашними животными 0,811
96.09.19.111 Услуги справочно-информационной службы по оказанию услуг населению по заполнению бланков, написанию заявлений, снятию копий по индивидуальному заказу населения 0,324
96.09.19.112 <*> Услуги справочно-информационной службы по приему в расклейку объявлений 0,324
96.09.19.113 Услуги копировально-множительные по индивидуальному заказу населения 0,324
96.09.19.114 Услуги посреднические на информацию о финансовых, экономических и промышленных и иных данных по индивидуальному заказу населения 0,324
  деятельность "службы семьи" (по системам);
деятельность по предоставлению посреднических услуг по организации консультаций юристов, психологов, экономистов, врачей и других специалистов;
подбор кандидатур с применением ЭВМ, видеозаписи;
проклейка рам бумагой, очистка от бумаги и замазки;
96.09.19.115 <*> Услуги по оборудованию квартир (навеска карнизов, картин, вешалок, зеркал и др. предметов) 0,324
96.09.19.116 <*> Услуги по стирке и глажению белья на дому у заказчика 0,324
96.09.19.125 Услуги по вспашке огородов, распиловке дров по индивидуальному заказу населения 0,811
96.09.19.126 Граверные работы по металлу, стеклу, фарфору, дереву, керамике, кроме ювелирных изделий, по индивидуальному заказу населения 0,811
  деятельность справочно-информационной службы по оказанию услуг населению по заполнению бланков, написанию заявлений, снятию копий, по приему в расклейку объявлений, выдаче справок, по обеспечению индивидуальных подписчиков газетно-журнальной информацией;
деятельность по оказанию услуг копировально-множительных;
деятельность по оказанию посреднических услуг на информацию о финансовых, экономических и промышленных данных;
оборудование квартир (навеска карнизов, картин, вешалок, зеркал и др. предметов);
стирка и глажение белья на дому у заказчика;
нарезка стекла и зеркал, художественная обработка стекла;
деятельность по предоставлению посреднических услуг на оформление заказов на обслуживание автотранспортом;
96.09.19.127 Услуги по ремонту и изготовлению гончарных изделий по индивидуальному заказу населения 0,811
96.09.19.128 Нарезка стекла и зеркал, художественная обработка стекла по индивидуальному заказу населения 0,324
96.09.19.129 Услуги по изготовлению с/х инвентаря из материала заказчика по индивидуальному заказу населения 0,811
из 96.09.19.139 <*> Услуги справочно-информационной службы по выдаче справок;
услуги справочно-информационной службы по обеспечению индивидуальных подписчиков газетно-журнальной информацией;
переписка нот;
посреднические услуги на оформление заказов на обслуживание автотранспортом;
посреднические услуги на доставку цветов (подарков) на дом с возможной предварительной оплатой;
организация занятий в группах общения, психогимнастики, аутогенной тренировки и др.;
измерение силы рук, роста, взвешивание на медицинских весах;
0,324
  переписка нот;
деятельность по оказанию посреднических услуг на доставку цветов (подарков) на дом с возможной предварительной оплатой;
организация занятий в группах общения, психогимнастики, аутогенной тренировки и др.;
измерение силы рук, роста, взвешивание на медицинских весах;
демонстрация моделей одежды;
абонирование квартир для получения требуемой информации
  услуги по переработке с/х продуктов и даров леса;
оформление заказов на покупку очков, оправ, лекарств по рецепту и доставку их на дом;
предоставление материалов для бытового технического творчества в салонах "сделай сам";
услуги "службы семьи" (по системам);
посреднические услуги по организации консультаций юристов, психологов, экономистов, врачей и других специалистов;
подбор кандидатур с применением ЭВМ, видеозаписи;
проклейка рам бумагой, очистка от бумаги и замазки; демонстрация моделей одежды
 
Официальный источник электронного документа содержит неточность: код "96.09.19.139" в Общероссийском классификаторе продукции по видам экономической деятельности отсутствует отсутствуют.
Из 96.04 <*> Услуги бань, душевых и саун; услуги соляриев по индивидуальному заказу населения из 96.04.10 Услуги бань, душевых и саун; прочие услуги, оказываемые в банях и душевых; услуги соляриев по индивидуальному заказу населения 0,216
      Прочие виды экономической деятельности и услуги, относящиеся к бытовым услугам <**> 0,324

<*> Услуги оказываются по индивидуальному заказу населения.

<**> В части кодов видов экономической деятельности, относящихся к бытовым услугам, и кодов услуг, относящихся к бытовым услугам, определенных Правительством Российской Федерации.

При оказании налогоплательщиком одновременно нескольких бытовых услуг, по которым установлены разные значения коэффициента Ку, значение коэффициента Ку определяется по формуле:

,

где:

Чв(1), ..., Чв(i) - численность работников, занятых оказанием услуги, в отношении которой установлено значение коэффициента Ку;

Чоб - количество работников, занятых оказанием бытовых услуг;

Ку(1), ..., Ку(i) - значения коэффициента Ку для отдельных бытовых услуг.

В случае оказания одним работником нескольких бытовых услуг, по которым установлены различные значения коэффициента Ку, учет этого работника производится по той бытовой услуге, по которой установлено максимальное значение коэффициента Ку.

Таблица 2

Коэффициенты категории городского и сельского поселений (Кт) и коэффициенты категории места расположения объекта стационарной или нестационарной торговой сети (Км)

Место расположения Объекта Коэффициент категории городского и сельского поселений Плавского района (Кт) Коэффициент категории места расположения объекта стационарной или нестационарной торговой сети (Км)
Городское поселение - город Плавск Плавского района 0,4 1,0 - 1 категория
Сельские поселения:
- Камынинское Плавского района;
- Молочно-Дворское Плавского района;
- Пригородное Плавского района
0,1 1,0 - 1 категория

В случае если в течение налогового периода изменяется место расположения объекта нестационарной торговой сети, при расчете коэффициента К2 применяются максимальные значения коэффициентов Кт и Км для используемых мест расположения.

Таблица 3

Коэффициенты вида товара (Кв)

Вид товара Коэффициент вида товара (Кв)
Меха, меховые и овчинно-шубные изделия (за исключением товаров для детей) 1,687
Изделия ювелирные, галантерея ювелирная и металлическая, изделия ритуально-обрядовые, награды, монеты
Мотоциклы с мощностью двигателя до 112,5 кВт (150 л.с.)
Продукция винодельческой промышленности
Водка и ликероводочные изделия
Продукция спиртового производства
Приборы бытовые электрические нагревательные
Вычислительная техника
Программные средства и информационные продукты вычислительной техники
Фото- и киноаппаратура (кроме профессиональной).
Аппаратура для измерения характеристик и обработки фото- и киноматериалов
Кино-, фото- и магнитные материалы
Оборудование для кондиционирования воздуха и вентиляции
Оборудование светотехническое и изделия электроустановочные. Лампы электрические. Изделия культурно-бытового назначения и хозяйственного обихода
Приборы времени
Продукция табачной промышленности
Продукция пивоваренной промышленности
Прочие 1,428
Продукция молочной и маслосыродельной промышленности 0,779
Продукция микробиологической и мукомольно-крупяной промышленности
Сувениры
Изделия для физкультуры, спорта и туризма
Продукция сахарной и хлебопекарной промышленности
Изделия макаронные
Продукция соляной промышленности
Продукция чайной промышленности
Инструменты музыкальные
Изделия художественных промыслов
Оборудование, инструмент и материалы для художников
Материалы художественные
Кисти художественные ученические
Галантерея текстильная
Предметы мелкой галантереи. Значки. Принадлежности канцелярские и школьно-письменные; для домашнего содержания рыб, птиц и зверей
Ручки автоматические
Карандаши механические
Наборы ручек автоматических и карандашей механических. Приборы письменные настольные
Устройства вспомогательные и принадлежности к средствам составления текстовых документов
Нитки и изделия ниточные
Продукция растениеводства, сельского и лесного хозяйства
Продукция полиграфической промышленности
Игрушки и украшения елочные 0,649
Товары для детей  

При торговле смешанным ассортиментом товаров применяется максимальное значение коэффициента Кв из числа значений коэффициентов, установленных по видам товаров, торговля которыми осуществляется на данном объекте торговли.

При торговле смешанным ассортиментом товаров в сельских поселениях значение коэффициента Кв устанавливается в размере 0,65.

Таблица 4

Коэффициенты общественного питания (Кп)

Место расположения объекта Коэффициенты общественного питания Кп
рестораны, кафе, бары столовые, закусочные, другие предприятия общественного питания (кроме ресторанов, кафе, баров) Столовые, расположенные в учреждениях социального обслуживания, здравоохранения и образования; столовые, обслуживающие малоимущих граждан по спискам комитетов (управлений) отделов социальной защиты населения
реализующие алкогольную продукцию не реализующие алкогольную продукцию
Городское поселение с населением менее 50 тыс. человек:
- город Плавск Плавского района
0,61 0,52 0,17 0.09
Сельские поселения с населением более 5 тыс. человек:
- Молочно-Дворское Плавского района
0,44 0,22 0,09 0,026
Сельские поселения с населением более 2 тыс. человек:
- Камынинское Плавского района;
- Пригородное Плавского района
0,35 0,17 0,04 0,02

Таблица 5

Об отнесении к 1 категории места расположения объектов стационарной или нестационарной торговой сети на 2014 год в г. Плавске и сельских населенных пунктах

Все улицы, переулки, проезды, площади, поселки в г. Плавске, населенные пункты в сельских поселениях Относятся к 1 категории места расположения объекта стационарной или нестационарной торговой сети