Постановление ФЭК РФ от 31.07.2002 N 49-Э/8

"Об утверждении методических указаний по расчету регулируемых тарифов и цен на электрическую (тепловую) энергию на розничном (потребительском) рынке"
Редакция от 14.05.2003 — Документ утратил силу, см. «Приказ ФСТ РФ от 06.08.2004 N 20-Э/2»
Показать изменения

Зарегистрировано в Минюсте РФ 30 августа 2002 г. N 3760


ФЕДЕРАЛЬНАЯ ЭНЕРГЕТИЧЕСКАЯ КОМИССИЯ РОССИЙСКОЙ ФЕДЕРАЦИИ

ПОСТАНОВЛЕНИЕ
от 31 июля 2002 г. N 49-э/8

ОБ УТВЕРЖДЕНИИ МЕТОДИЧЕСКИХ УКАЗАНИЙ ПО РАСЧЕТУ РЕГУЛИРУЕМЫХ ТАРИФОВ И ЦЕН НА ЭЛЕКТРИЧЕСКУЮ (ТЕПЛОВУЮ) ЭНЕРГИЮ НА РОЗНИЧНОМ (ПОТРЕБИТЕЛЬСКОМ) РЫНКЕ

(в ред. Постановления ФЭК РФ от 14.05.2003 N 37-э/1)

Федеральная энергетическая комиссия Российской Федерации постановляет:

1. Утвердить прилагаемые методические указания по расчету регулируемых тарифов и цен на электрическую (тепловую) энергию на розничном (потребительском) рынке.

2. Признать утратившими силу методические указания о порядке расчета тарифов на электрическую и тепловую энергию на потребительском рынке, утвержденные Приказом ФЭК России от 16 апреля 1997 г. (протокол N 73, не нуждаются в государственной регистрации - письмо Минюста России от 21 мая 1997 г. N 07-02-625-97), Постановление ФЭК России "Об утверждении методики расчета минимальных уровней тарифов на электрическую энергию, потребляемую населением субъектов Российской Федерации" от 21 июля 2000 г. N 36/4 (опубликовано "Информационный бюллетень ФЭК России" 11 сентября 2000 г. N 17, не нуждается в государственной регистрации - письмо Минюста России от 25 августа 2000 г. N 7239-ЮД), Постановление ФЭК России "Об утверждении методики расчета прогнозных уровней тарифов на электрическую и тепловую энергию, потребляемую организациями, финансируемыми за счет средств федерального бюджета" от 4 августа 2000 г. N 41/1 (опубликовано "Информационный бюллетень ФЭК России" 25 октября 2000 г. N 20, не нуждается в государственной регистрации - письмо Минюста России от 3 октября 2000 г. N 8349-ЮД), Постановление ФЭК России "О внесении изменений в Методические указания о порядке расчета тарифов на электрическую и тепловую энергию на потребительском рынке" от 8 августа 2001 г. N 50/4 (опубликовано "Информационный бюллетень ФЭК России" 29 августа 2001 г. N 16, не нуждается в государственной регистрации - письмо Минюста России от 30 августа 2001 г. N 07/8717-ЮД), Постановление ФЭК России "О внесении изменений в Методику расчета прогнозных уровней тарифов на электрическую и тепловую энергию, потребляемую организациями, финансируемыми за счет средств федерального бюджета" от 15 августа 2001 г. N 52/5 (опубликовано "Информационный бюллетень ФЭК России" 29 августа 2001 г. N 16(40), не нуждается в государственной регистрации - письмо Минюста России от 30 августа 2001 г. N 07/8721-ЮД), Постановление ФЭК России "Об утверждении методики расчета размера платы за услуги по передаче электрической энергии" от 12 мая 2000 г. N 25/3 (опубликовано "Информационный бюллетень ФЭК России" 25 августа 2000 г. N 16, не нуждается в государственной регистрации - письмо Минюста России от 10 августа 2000 г. N 6781-ЭР).

3. Утвержденные в соответствии с пунктом 1 настоящего Постановления Методические указания вступают в силу в установленном порядке.

Председатель Федеральной
энергетической комиссии
Российской Федерации
Г.КУТОВОЙ

УТВЕРЖДЕНЫ
Постановлением Федеральной
энергетической комиссии
Российской Федерации
от 31 июля 2002 г. N 49-э/8

МЕТОДИЧЕСКИЕ УКАЗАНИЯ
ПО РАСЧЕТУ РЕГУЛИРУЕМЫХ ТАРИФОВ И ЦЕН НА ЭЛЕКТРИЧЕСКУЮ (ТЕПЛОВУЮ) ЭНЕРГИЮ НА РОЗНИЧНОМ (ПОТРЕБИТЕЛЬСКОМ) РЫНКЕ

(в ред. Постановления ФЭК РФ от 14.05.2003 N 37-э/1)

I. Общие положения

1. Настоящие "Методические указания по расчету регулируемых тарифов и цен на электрическую (тепловую) энергию (мощность) на розничном (потребительском) рынке" (далее - Методические указания) разработаны в соответствии с "Основами ценообразования в отношении электрической и тепловой энергии в Российской Федерации" (далее - "Основы ценообразования") и "Правилами государственного регулирования и применения тарифов (цен) на электрическую и тепловую энергию в Российской Федерации" (далее - "Правила регулирования"), утвержденными Постановлением Правительства Российской Федерации "О ценообразовании в отношении электрической и тепловой энергии" от 2 апреля 2002 г. N 226 (Собрание законодательства Российской Федерации от 15 апреля 2002 г., N 15, ст. 1431).

2. Методические указания предназначены для использования Федеральной энергетической комиссией Российской Федерации, региональными энергетическими комиссиями субъектов Российской Федерации, органами местного самоуправления, регулируемыми организациями для расчета экономически обоснованных уровней регулируемых тарифов и цен на розничном (потребительском) рынке электрической энергии (мощности) и тепловой энергии (мощности) в рамках устанавливаемых предельных уровней (минимальный и (или) максимальный) указанных тарифов и цен. (в ред. Постановления ФЭК РФ от 14.05.2003 N 37-э/1)

3. Понятия, используемые в настоящих Методических указаниях, соответствуют определениям, данным в Федеральном законе "О государственном регулировании тарифов на электрическую и тепловую энергию в Российской Федерации" от 14 апреля 1995 г. N 41-ФЗ (Собрание законодательства Российской Федерации от 17 апреля 1995 г., N 16, ст. 1316) и в Постановлении Правительства Российской Федерации "О ценообразовании в отношении электрической и тепловой энергии" от 2 апреля 2002 г. N 226, и означают следующее:

энергоснабжающая организация - коммерческая организация независимо от организационно - правовой формы, осуществляющая продажу потребителям произведенной или купленной электрической и (или) тепловой энергии;
потребитель электрической (тепловой) энергии (мощности) - физическое или юридическое лицо, осуществляющее пользование электрической энергией (мощностью) и (или) тепловой энергией (мощностью);
регулирующие органы (Комиссия, региональные комиссии) - Федеральная энергетическая комиссия Российской Федерации и региональные энергетические комиссии, осуществляющие государственное регулирование тарифов (цен) на электрическую и тепловую энергию в соответствии с установленными законодательством Российской Федерации полномочиями;
оптовый рынок электрической энергии (мощности) - Федеральный (общероссийский) оптовый рынок электрической энергии (мощности) - сфера купли - продажи электрической энергии (мощности), осуществляемой его субъектами в пределах Единой энергетической системы России;
регулируемая деятельность - деятельность, в рамках которой расчеты за поставляемую продукцию (услуги) осуществляются по тарифам (ценам), регулируемым государством. Настоящее понятие применяется исключительно для целей идентификации расходов, относящихся к регулируемой деятельности, и не означает применения в отношении этой деятельности какого-либо иного регулирования, кроме установления тарифов (цен);
расчетный период регулирования (период регулирования) - период, на который устанавливаются тарифы (цены), равный календарному году;
тарифы - система ценовых ставок, по которым осуществляются расчеты за электрическую энергию (мощность) и тепловую энергию (мощность);
срок действия тарифов (цен) - период времени между изменениями тарифов (цен) регулирующими органами;
необходимая валовая выручка - экономически обоснованный объем финансовых средств, который необходим организации для осуществления регулируемой хозяйственной деятельности в течение расчетного периода регулирования.

4. В настоящих Методических указаниях акционерные общества энергетики и электрификации, другие регулируемые организации, осуществляющие несколько видов регулируемой деятельности, рассматриваются как:

- энергоснабжающая организация (далее - ЭСО) - в части осуществления продажи потребителям произведенной и (или) купленной энергии;

- производитель энергии - в части собственного производства энергии;

- региональная сетевая организация - в части передачи электрической (тепловой) энергии;

- покупатели энергии - в части покупки энергии;

- потребители энергии - в части пользования энергией.

II. Виды регулируемых цен и тарифов, применяемых на потребительских рынках электрической энергии (мощности) и тепловой энергии (мощности)

5. На потребительских рынках электрической энергии (мощности) осуществляется регулирование следующих тарифов (цен) (в дальнейшем слово "регулируемые" опускается, за исключением случаев, где это требуется для однозначности понимания):

5.1. Цена продажи производителями электрической энергии, не поставляемой на оптовый рынок.

Цена продажи электрической энергии (мощности), не поставляемой на оптовый рынок, рассчитывается без учета стоимости услуг, оказание которых является неотъемлемой частью процесса поставки электрической энергии (цена на "шинах" производителя электроэнергии). В настоящих Методических указаниях для целей расчета (формирования) тарифов на электрическую энергию покупка электрической энергии (мощности) с оптового рынка рассматривается как покупка от производителей электрической энергии (далее - ПЭ).

5.2. Тариф (цена) на тепловую энергию.

Тариф (цена) продажи тепловой энергии (мощности) рассчитывается без учета стоимости услуг, оказание которых является неотъемлемой частью процесса поставки тепловой энергии (цена на "коллекторах" производителя тепловой энергии).

Тариф на тепловую энергию, отпускаемую потребителям, рассчитывается с учетом платы за услуги по передаче тепловой энергии. (в ред. Постановления ФЭК РФ от 14.05.2003 N 37-э/1)

5.3. Тариф (цена) на тепловую энергию, вырабатываемую организациями, поставляющими электрическую энергию на оптовый рынок.

5.4. Плата за услуги по передаче электрической и тепловой энергии (мощности) по региональным электрическим (тепловым) сетям.

При определении размера платы за услуги по передаче электрической (тепловой) энергии (мощности) отдельной составляющей выделяются услуги по передаче энергии по электрическим (тепловым) сетям и по их сбыту (реализации) за счет распределения расходов между указанными видами деятельности. Для потребителей (покупателей), получающих энергию по прямым договорам через региональные электрические сети, расчет платы за услуги по передаче энергии производится без сбытовой надбавки.

5.5. Тарифы (цены) на электроэнергию энергию, поставляемую потребителям.

Тарифы (цены) на электроэнергию энергию, поставляемую потребителям (за исключением тарифов продажи по прямым договорам) устанавливаются в разрезе групп потребителей одновременно в трех вариантах:

- в виде одной ставки тарифа, включающей в себя полную стоимость покупки 1 киловатт - часа (далее - кВт.ч) электрической энергии (далее - одноставочный тариф на электрическую энергию);

- в виде двух ставок, включающих в себя ставку платы за покупку 1 киловатт - часа электрической энергии и ставку за 1 киловатт электрической мощности (далее - двухставочный тариф);

- зонные тарифы (цены), устанавливающие дифференциацию стоимости покупки 1 кВт.ч по недельным или суточным зонам графика электрической нагрузки.

Экономически обоснованным уровнем тарифа (цены) признается тариф (цена), рассчитанный по настоящим Методическим указаниям и обеспечивающий компенсацию экономически обоснованных расходов и получение прибыли, определяемыми в соответствии с Основами ценообразования. (в ред. Постановления ФЭК РФ от 14.05.2003 N 37-э/1)

5.6. Предельный тариф (цена) на электрическую и тепловую энергию.

Предельные тарифы (цены) формируется посредством установления минимальной или максимальной ставки тарифа.

В соответствии с пунктом 6 Основ ценообразования в случае установления регулирующими органами предельных тарифов (цен) при заключении прямых договоров купли - продажи (поставки) электрической и тепловой энергии (мощности) в расчетах за реализуемую электрическую и тепловую энергию (мощность) и оказываемые услуги могут применяться договорные тарифы (цены) в рамках установленных предельных тарифов (цен).

5.7. Тариф (цена) на электрическую энергию и услуги по ее передаче со сроком действия два и более лет (далее - долгосрочный тариф).

В соответствии с пунктом 3 Правил регулирования при заключении прямых договоров купли - продажи (поставки) электрической и тепловой энергии регулирующие органы могут в соответствии со своей компетенцией и с согласия организации, осуществляющей регулируемую деятельность, и потребителей (покупателей) электрической энергии устанавливать тариф (цену) на электрическую энергию и услуги по ее передаче со сроком действия два и более лет.

6. В соответствии с пунктом 5 Основ ценообразования регулирование тарифов (цен), перечисленных в пунктах 5.1, 5.3, 5.4 настоящих Методических указаний, осуществляется Комиссией, тарифов (цен), перечисленных в пунктах 5.2, 5.5, осуществляется региональными комиссиями, регулирование тарифов (цен), перечисленных в пунктах 5.6, 5.7, осуществляется Комиссией и региональными комиссиями в соответствии с их полномочиями, если иное не установлено законодательством Российской Федерации.

III. Формирование тарифов на электрическую и тепловую энергию на потребительском рынке

7. В соответствии с пунктом 23 Основ ценообразования тарифы (цены) на электрическую и тепловую энергию, поставляемую потребителям, представляют собой сумму следующих составляющих:

- средняя стоимость единицы электрической (тепловой) энергии, включая цену ее покупки на оптовом рынке, у иных производителей электрической энергии или энергосбытовых организаций, а также стоимость электрической энергии собственного производства;

- суммарная стоимость услуг по передаче энергии, услуг по оперативно - диспетчерскому управлению и иных услуг, оказание которых является неотъемлемой частью процесса поставки энергии потребителям, включая регулируемые сбытовые надбавки и плату за балансировку.

7.1. Стоимость единицы электрической (тепловой) энергии (мощности) представляет собой (если иное не определено настоящими Методическими указаниями применительно к отдельным случаям) средневзвешенную стоимость единицы электрической (тепловой) энергии (мощности), получаемой от указанных выше источников (цену покупки электроэнергии (тепловой) энергии (мощности) у производителей на оптовом и потребительском рынках и стоимость электрической (тепловой) энергии (мощности) собственного производства).

Цена покупки электроэнергии с оптового рынка Цопт рассчитывается как средневзвешенное значение цены покупки с регулируемого сектора оптового рынка и цены покупки с конкурентного (свободного) сектора оптового рынка по формуле:

Цопт = Црег х Дрег + Цкон х Дкон, (1)

где:

Црег и Цкон - соответственно цены на регулируемом и конкурентном секторах оптового рынка;

Дрег и Дкон - соответственно доли покупки электроэнергии с регулируемого и конкурентного секторов оптового рынка.

Тариф (цена) покупки электрической (тепловой) энергии (мощности) определяется в соответствии с разделом XI настоящих Методических указаний.

7.2. Стоимость услуг, являющихся неотъемлемой частью процесса поставки энергии, включает в себя:

- плату за услуги по передаче энергии по региональным электрическим сетям, дифференцированную по уровням напряжения: высокое (ВН), среднее первое (СН1), среднее второе (СН11) и низкое (НН); (в ред. Постановления ФЭК РФ от 14.05.2003 N 37-э/1)

- плату за услуги по передаче тепловой энергии по тепловым сетям;

- плату за иные услуги, являющиеся неотъемлемой частью процесса передачи и распределения энергии, которые определены Федеральным законом "О государственном регулировании тарифов на электрическую и тепловую энергию в Российской Федерации" и пунктами 4 и 23 Основ ценообразования.

Регулирование тарифов на услуги по оперативно - диспетчерскому управлению, тарифов на услуги по передаче электрической энергии по линиям электропередачи, входящим в состав единой национальной электрической сети, и тарифов на иные услуги по организации функционирования и развитию Единой энергетической системы России вводится после создания организаций, оказывающих такие услуги, и утверждения перечня указанных услуг и порядка их оплаты при одновременном исключении расходов на данные цели (в том числе расходов на инвестиции) из состава абонентной платы за услуги по организации функционирования и развитию Единой энергетической системы России (в случае финансирования этих расходов за счет указанной абонентной платы).

7.3. При установлении регулирующими органами тарифов (цен) для организаций, осуществляющих регулируемую деятельность, не допускается двойной учет одних и тех же расходов в тарифах (ценах) на электрическую и тепловую энергию, на услуги по передаче электрической и тепловой энергии, услуги по оперативно - диспетчерскому управлению и иные услуги, оказание которых является неотъемлемой частью процесса поставки электрической энергии потребителям. Во избежание двойного учета затрат на сбыт (реализацию) электрической энергии и плату за услуги по организации функционирования и развитию Единой энергетической системы России (абонентная плата) указанные расходы исключаются из платы за услуги по передаче электрической энергии по региональным сетям:

- сбытовая надбавка - для потребителей, получающих электрическую энергии по прямым договорам;

- абонентная плата - для потребителей - субъектов оптового рынка электрической энергии (мощности).

7.4. При формировании тарифов (цен) в соответствии с пунктом 7 настоящих Методических указаний отдельно отражаются стоимость электрической (тепловой) энергии и стоимость каждого вида услуг.

IV. Основные методические положения по формированию регулируемых тарифов (цен)

8. Расчет и формирование тарифов (цен) осуществляются исходя из принципа обязательного раздельного учета регулируемыми организациями объемов продукции, доходов и расходов по производству, передаче и сбыту энергии в соответствии с Постановлением Правительства Российской Федерации от 6 июля 1998 г. N 700 "О введении раздельного учета затрат по регулируемым видам деятельности в энергетике" (Собрание законодательства Российской Федерации от 13 июля 1998 г., N 28, ст. 3357).

9. Основным методом расчета регулируемых тарифов (цен) является метод экономически обоснованных расходов. При применении метода экономически обоснованных расходов следует руководствоваться изложенными ниже положениями.

9.1. Основными исходными параметрами расчета экономически обоснованного уровня расходов на производство (отпуска) единицы энергии (мощности) или услуг, оказываемых на рынке электрической и тепловой энергии в Российской Федерации, являются:

- необходимая валовая выручка (далее - "НВВ") на период регулирования для покрытия обоснованных расходов на осуществление регулируемого вида деятельности, обеспечения соответствующих организаций необходимой прибылью и средствами для уплаты всех налогов и иных обязательных платежей в соответствии с действующим законодательством;

- объемы производства энергии и (или) оказания услуг.

Основой расчетов тарифов (цен) на электрическую и тепловую энергию (мощность) являются балансы электрической и тепловой энергии (мощности), утвержденные в установленном порядке.

Т(Ц) = НВВ , (2)
ОП

где:

Т(Ц) - тариф (цена) энергии (услуг) на розничном рынке;

ОП - объем производства (отпуска) энергии или оказания услуг (ОУ) в соответствующих единицах измерения;

НВВ - необходимая валовая выручка для покрытия обоснованных расходов на производство регулируемого вида деятельности (производство электрической (тепловой) энергии, передача электрической (тепловой) энергии).

9.2. Определение состава расходов и оценка экономической обоснованности производятся в соответствии с Федеральным законом "О государственном регулировании тарифов на электрическую и тепловую энергию в Российской Федерации", главой 25 Налогового кодекса Российской Федерации и настоящими методическими указаниями.

9.3. В случае, если энергоснабжающая организация осуществляет регулируемую деятельность в нескольких субъектах Российской Федерации, объемы НВВ по регулируемым видам деятельности рассчитываются отдельно по каждому из субъектов Российской Федерации соответствующими региональными комиссиями.

9.4. В случае, если организация кроме регулируемой деятельности осуществляет иные виды деятельности, расходы на их осуществление не учитываются при расчете тарифов (цен).

9.5. Избыточные и непроизводительные расходы организаций, осуществляющих регулируемую деятельность, исключаются из регулируемых тарифов (цен). Основания для исключения указанных расходов из регулируемых тарифов приведены в пункте 29 Основ ценообразования.

9.6. В случае, если организации, осуществляющие регулируемую деятельность, в течение расчетного периода регулирования понесли экономически обоснованные расходы, не учтенные при установлении тарифов (цен) на расчетный период регулирования, в том числе расходы, связанные с объективным и незапланированным ростом цен на продукцию, потребляемую в течение расчетного периода регулирования, эти расходы учитываются регулирующими органами при установлении тарифов (цен) на последующий расчетный период регулирования (включая расходы, связанные с обслуживанием заемных средств, привлекаемых для покрытия недостатка средств).

9.7. В последующие расчетные периоды регулирования учитываются приводимые ниже расходы на покрытие убытков от списания дебиторской и кредиторской задолженностей.

9.7.1. Расходы, направляемые на покрытие убытков от списания просроченной дебиторской задолженности, возникшей до 1 января 2001 года, учитываются по видам деятельности:

- производство (продажа) электрической энергии;

- предоставление услуг по передаче электрической энергии;

- производство (продажа) тепловой энергии;

- предоставление услуг по передаче тепловой энергии.

Расходы, направляемые на покрытие убытков от списания просроченной дебиторской задолженности, учитываются в составе тарифа в соответствии с нормами главы 25 Налогового кодекса Российской Федерации.

9.7.2. Расходы на выплату части кредиторской задолженности, не покрываемой встречными обязательствами дебиторов, если они не были учтены в предыдущих периодах регулирования.

Недостаток средств по погашению задолженности рассматривается только перед кредиторами регулируемого вида деятельности. При этом встречные обязательства дебиторов относятся к соответствующему регулируемому виду деятельности. Распределение по видам деятельности данной статьи расходов осуществляется аналогично распределению убытков от списания дебиторской задолженности.

9.8. Исключаются из состава НВВ:

- избыточные и необоснованные расходы субъектов регулирования согласно пункту 31 Основ ценообразования в отношении электрической и тепловой энергии в Российской Федерации;

- средства, полученные от дебиторов, но ранее учтенные регулирующим органом как убытки от списания дебиторской задолженности;

- средства, привлеченные за счет поступлений от регулируемой деятельности и направленные на оплату процентов по кредитам банков, полученным для финансирования необоснованных расходов.

Выявленные по данным отчетности не использованные в течение базового периода регулирования средства по отдельным статьям расходов учитываются регулирующими органами при установлении тарифов (цен) на следующий период регулирования в качестве источника покрытия расходов следующего периода регулирования.

9.9. НВВ на период регулирования, для покрытия обоснованных расходов на производство регулируемого вида деятельности, с учетом корректировки по избытку (исключению необоснованных расходов) средств и возмещению недостатка средств, рассчитывается по формуле:

НВВ = НВВр +/- дельта НВВ, (3)

где:

НВВр - необходимый доход регулируемой организации в расчетном периоде, обеспечивающий компенсацию экономически обоснованных расходов на производство продукции (услуг) и получение прибыли, определяемой в соответствии с настоящими Методическими указаниями;

дельта НВВ - экономически обоснованные расходы регулируемой организации, подлежащие возмещению (со знаком "+") и исключению из НВВр (со знаком "-") в соответствии с пунктами 9.6, 9.7, 9.8 настоящих Методических указаний.

V. Расчет расходов, относимых на регулируемые виды деятельности

10. Определение состава расходов и оценка их экономической обоснованности производятся в соответствии с Федеральным законом "О государственном регулировании тарифов на электрическую и тепловую энергию в Российской Федерации", главой 25 Налогового кодекса Российской Федерации, Основами ценообразования.

11. Сумма планируемых расходов по каждому виду регулируемой деятельности рассчитывается как прямые расходы, которые относятся непосредственно на соответствующий регулируемый вид деятельности и косвенные расходы организации, представляющие собой часть общехозяйственных расходов.

Распределение косвенных расходов между различными видами деятельности, осуществляемыми организацией, по решению региональной комиссии, производится в соответствии с одним из нижеследующих методов: (в ред. Постановления ФЭК РФ от 14.05.2003 N 37-э/1)

- в соответствии с учетной политикой, принятой в организации; (в ред. Постановления ФЭК РФ от 14.05.2003 N 37-э/1)

- распределение косвенных расходов - пропорционально условно - постоянным расходам;

- распределение косвенных расходов - пропорционально прямым расходам по регулируемым видам деятельности.

12. Расчет расходов, связанных с производством и передачей электрической (тепловой) энергии (мощности), производится по следующим составляющим расходов:

- сырье, основные и вспомогательные материалы, используемые при производстве (изготовлении) товаров (выполнении работ, оказании услуг) для обеспечения технологического процесса - исходя из действующих норм и прогнозируемых на период регулирования цен на сырье и материалы;

- работы и услуги производственного характера - исходя из необходимости проведения регламентных (ремонтных и других) работ и цен и тарифов на указанные работы и услуги, прогнозируемых на период регулирования;

- топливо на технологические цели при производстве электрической и тепловой энергии для тепловых электростанций - на основании норм удельных расходов топлива при производстве электрической и тепловой энергии (рассчитываются на базе утвержденных в установленном порядке нормативных характеристик энергетического (генерирующего) оборудования и планируемого режима работы оборудования на период регулирования), прогнозируемых цен на топливо и тарифов на его перевозку в соответствии с пунктом 12 Основ ценообразования;

- нормативы создания запасов топлива (за исключением ядерного), рассчитываемые в соответствии с методикой, утвержденной Министерством энергетики Российской Федерации по согласованию с Комиссией. После включения в тарифы на энергию расходов на создание запасов топлива регулирующий орган в дальнейшем учитывает дополнительные расходы (доходы) субъекта регулирования (ЭСО или производителя энергии), связанные с изменением цен на топливо, для восполнения нормативного запаса топлива;

- топливо всех видов на иные технологические цели (отопление зданий, обслуживание производства транспортом предприятия и т.п.) - исходя из действующих норм и цен, прогнозируемых на период регулирования;

- покупная энергия всех видов, в том числе электрическая энергия (мощность), приобретенная на оптовом рынке, электрическая (тепловая) энергия (мощность), приобретенная у производителя, включая электрическую и тепловую энергию, приобретенную на хозяйственные (производственные) нужды (исходя из нормативных (расчетных) объемов потребления и тарифов, прогнозируемых на период регулирования);

- расходы на оплату труда персонала, занятого в регулируемой (основной) деятельности, - в соответствии с пунктом 13 Основ ценообразования;

- отчисления на социальные нужды (единый социальный налог и отчисления на страхование от несчастного случая на производстве, предусмотренные действующим законодательством) - в размерах, установленных действующим законодательством Российской Федерации;

- амортизация основных фондов - по нормам амортизационных отчислений, утвержденным в установленном порядке;

- прочие расходы, в том числе:

- страховые платежи;

плата за предельно допустимые выбросы (сбросы) загрязняющих веществ в окружающую природную среду - в соответствии с действующими экологическими нормативами;

плата за пользование водными объектами предприятиями гидроэнергетики, определяемая в установленном порядке;

затраты на подготовку и переподготовку кадров - в соответствии с действующим законодательством Российской Федерации;

амортизация по нематериальным активам - в соответствии с действующим законодательством Российской Федерации;

плата за услуги по организации функционирования и развитию Единой энергетической системы России и прочие услуги на оптовом рынке электрической энергии (мощности) - в соответствии с утвержденными Комиссией размерами платы по каждому виду услуг;

отчисления в ремонтный фонд (в случае его формирования) - на основе программ проведения ремонтных работ, норм расходования материальных и трудовых ресурсов и прогнозируемых на период регулирования цен в соответствии с пунктом 14 Основ ценообразования;

непроизводственные расходы - в соответствии с действующим законодательством Российской Федерации;

другие расходы, включая расходы на НИОКР, проведение предусмотренных законодательством Российской Федерации обязательной сертификации, лицензирования, идентификации опасных производственных объектов, обязательных энергетических обследований. (в ред. Постановления ФЭК РФ от 14.05.2003 N 37-э/1)

Расходы на топливо, используемое на технологические цели при производстве электрической и тепловой энергии, относятся к условно - переменным расходам регулируемой организации, все остальные расходы - к условно - постоянным.

При отсутствии нормативов по отдельным статьям расходов до их утверждения допускается в соответствии с главой 25 Налогового кодекса Российской Федерации использовать экспертные оценки на основе отчетных данных и результатах энергетических обследований, проводимых в установленном порядке. (в ред. Постановления ФЭК РФ от 14.05.2003 N 37-э/1)

Региональная комиссия на основе предварительно согласованных с ней мероприятий по сокращению расходов регулируемой организации, в соответствии с пунктом 30 Основ ценообразования, в течение 2 лет после окончания срока окупаемости расходов на провидение этих мероприятий сохраняет расчетный уровень удельных расходов, сложившихся в период, предшествующий сокращению расходов. (в ред. Постановления ФЭК РФ от 14.05.2003 N 37-э/1)

13. При расчете тарифов (цен) учитывается величина прибыли (расходы, не перечисленные в пункте 12 настоящих Методических указаний), необходимая для обеспечения организаций, осуществляющих регулируемую деятельность, средствами на обслуживание привлеченного и заемного капитала, собственными средствами на развитие, для выплаты дивидендов и финансирования за счет прибыли других обоснованных расходов по следующим составляющим:

- развитие производства, в том числе на капитальные вложения - исходя из программы производственного развития, утвержденной в установленном порядке (программы развития, как правило, содержат: перечень объектов, объем инвестиций, сроки их освоения, источник инвестиций (амортизация, прибыль, заемные средства и т.д.), расчет эффективности по критерию дисконтированного интегрального эффекта и срок возврата инвестиций);

- расходы на социальное развитие - исходя из программы социального развития;

- дивиденды по акциям - с учетом развития производства, состояния фондового рынка и уровня дивидендов на предприятиях, занимающихся аналогичным видом деятельности и находящихся в схожих экономических условиях (аналоги определяет региональная комиссия);

- налоги, уплачиваемые за счет прибыли, - в соответствии с налоговым законодательством Российской Федерации;

- прибыль на прочие цели (с расшифровкой), включая:

платежи за превышение предельно допустимых выбросов (сбросов) загрязняющих веществ;

отчисления из прибыли на другие цели, в том числе на осуществление энергосберегающих мероприятий - в соответствии с законодательством Российской Федерации. (в ред. Постановления ФЭК РФ от 14.05.2003 N 37-э/1)

14. Распределение статей прибыли, которые невозможно отнести к одному виду деятельности, между различными видами деятельности производится аналогично распределению косвенных расходов (пункт 11 настоящих Методических указаний).

VI. Ценообразование для отдельных групп потребителей электрической и тепловой энергии (мощности)

15. Особенности расчета тарифов (цен) для отдельных групп потребителей электрической и тепловой энергии (далее - тарифные группы) определяются в соответствии с:

- статьей 5 Федерального закона "О государственном регулировании тарифов на электрическую и тепловую энергию в Российской Федерации";

- пунктом 25 Основ ценообразования;

- пунктом 3 Правил регулирования;

- пунктом 4 Постановления Правительства Российской Федерации от 30 мая 2000 г. N 418 "Об уровнях тарифов на электрическую энергию, потребляемую населением".

16. Тарифные группы потребителей электрической энергии (мощности):

Критерии формирования групп потребителей (покупателей), определяющие особенности расчета тарифов (цен) для указанных групп, утверждает Комиссия.

1 группа. Базовые потребители

Базовые потребители - потребители со средним за период регулирования значением заявленной (или расчетной) мощности, равной или более 250 МВт, и числом часов использования заявленной мощности более 7000. Среднее за период регулирования значение заявленной (или расчетной) мощности Nзаявл рассчитывается на основании помесячных максимальных заявленных мощностей потребителя по формуле:

Nзаявл = SUM Nзаявл m , (4)
M

где:

М - количество месяцев в периоде регулирования;

Nзаявл m - заявленная (расчетная) мощность в месяце m, считая от первого месяца в периоде регулирования.

В зависимости от региональных особенностей структуры электропотребления потребителей Комиссия может по представлению региональной комиссии:

- повысить значение заявленной мощности потребителей в целях отнесения их к группе 1;

- понизить значение заявленной мощности потребителей в целях отнесения их к группе 1 - в случае отсутствия на территории субъекта Российской Федерации потребителей с заявленной мощностью, равной или более 250 МВт.

2 группа. Бюджетные потребители

Бюджетные потребители - организации, финансируемые за счет средств соответствующих бюджетов.

3 группа. Население

Аналогично указанной группе рекомендуется производить расчет тарифов для населенных пунктов, рассчитывающихся по общему счетчику на вводе; жилищных организаций, потребляющих электроэнергию на технические цели жилых домов; садоводческих товариществ, дачно - строительных и гаражно-строительных кооперативов, рассчитывающихся по общему счетчику на вводе, а также содержащихся за счет прихожан религиозных организаций. (в ред. Постановления ФЭК РФ от 14.05.2003 N 37-э/1)

4 группа. Прочие потребители

Тарифы на передачу электрической энергии дифференцируются по четырем уровням напряжения:

- высокое (110 кВ и выше);

- среднее первое (35 кВ);

- среднее второе (20-1 кВ);

- низкое (0,4 кВ и ниже); (в ред. Постановления ФЭК РФ от 14.05.2003 N 37-э/1)

17. Тарифные группы потребителей тепловой энергии (мощности):

1 группа. Бюджетные потребители

Бюджетные потребители - организации, финансируемые за счет средств соответствующих бюджетов.

2 группа. Прочие потребители

Расчет размера платы за тепловую энергию, потребляемую содержащимися за счет прихожан религиозными организациями, рекомендуется производить аналогично расчету размера платы за тепловую энергию, потребляемую населением. (в ред. Постановления ФЭК РФ от 14.05.2003 N 37-э/1)

18. При расчетах тарифов на электрическую (тепловую) энергию (мощность), отпускаемую энергоснабжающими организациями другим энергоснабжающим организациям, последние рассматриваются в качестве потребителей с установлением для них тарифов на электрическую (тепловую) энергию (мощность) с учетом положений, изложенных в настоящих Методических указаниях.

При наличии экономического обоснования с учетом региональных особенностей структуры электропотребления тарифы на электрическую энергию для потребителей 2 и 3 групп (бюджетные потребители и население) могут рассчитываться на одном уровне для каждой из указанных групп.

При расчете тарифов на электрическую энергию (мощность), отпускаемую другим ЭСО, учитывается наличие в их составе базовых потребителей, тарифы для которых устанавливаются в соответствии с настоящими Методическими указаниями. ЭСО, имеющая суммарную заявленную мощность, равную или более 250 МВт, и годовое число часов ее использования более 7000, рассматривается как базовый потребитель. (в ред. Постановления ФЭК РФ от 14.05.2003 N 37-э/1)

При установлении Правительством Российской Федерации единых по субъекту Российской Федерации предельных уровней тарифов на электрическую энергию, отпускаемую потребителям 4 группы (прочие потребители), ставки за электрическую энергию и мощность могут рассчитываться на одном уровне для всех потребителей указанной группы. (в ред. Постановления ФЭК РФ от 14.05.2003 N 37-э/1)

Тарифы на тепловую энергию, отпускаемую в горячей воде, для всех потребителей в одной системе, в которой теплоснабжение потребителей осуществляется от источника (источников) тепла через общую тепловую сеть (далее - система централизованного теплоснабжения (СЦТ)), могут рассчитываться на едином уровне. (в ред. Постановления ФЭК РФ от 14.05.2003 N 37-э/1)

В случае если потребитель (покупатель, другая ЭСО) получает электрическую энергию от нескольких ЭСО (ПЭ), имеющих различную структуру поставки электрической энергии (собственная генерация, покупка у различных производителей, поставщиков, ЭСО), цены на электрическую энергию и мощность, получаемые потребителем (покупателем, другим ЭСО) от данных ЭСО (ПЭ), рассчитываются отдельно и могут быть различными; (в ред. Постановления ФЭК РФ от 14.05.2003 N 37-э/1)

19. Тарифы на тепловую энергию устанавливаются раздельно по следующим видам теплоносителей:

- горячая вода;

- отборный пар давлением:

от 1,2 до 2,5 кг/см2

от 2,5 до 7,0 кг/см2

от 7,0 до 13,0 кг/см2

свыше 13,0 кг/см2;

- острый и редуцированный пар.

VII. Порядок определения среднего тарифа на электрическую (тепловую) энергию на розничном (потребительском) рынке

20. Средний тариф на электрическую энергию на потребительском
рынке рассчитывается по формуле:

где:

Тэ/ср - средневзвешенный тариф (цена) покупки электрической энергии с оптового рынка и у других поставщиков и производства на генерирующих источниках энергоснабжающей организации;

Тусл - суммарная плата за услуги, связанные с передачей электроэнергии по региональной электрической сети, платы за иные услуги, являющиеся неотъемлемой частью процесса передачи и распределения энергии, определенные Федеральным законом "О государственном регулировании тарифов на электрическую и тепловую энергию в Российской Федерации" и пунктами 4 и 23 Основ ценообразования.

21.Суммарная плата за услуги по передаче электрической энергии (Тусл) дифференцируется по диапазонам напряжения (ВН, СН1, СН11, НН). (в ред. Постановления ФЭК РФ от 14.05.2003 N 37-э/1)

22. Средневзвешенный тариф на электрическую энергию рассчитывается по формуле:

где:

s - поставщик электрической энергии (мощности), в том числе с оптового рынка;

Tпs, Эпs - тариф на электрическую энергию (мощность) и объем, покупаемый с оптового рынка и от других s-ных поставщиков;

Т, Эотп - средний тариф на электрическую энергию и отпуск электрической энергии на собственных генерирующих источниках ЭСО.

23. Средний тариф на тепловую энергию на потребительском рынке

рассчитывается по формуле:

где:

Тт/ср - средневзвешенный тариф (цена) производства тепловой энергии на генерирующих источниках энергоснабжающей организации и покупки тепловой энергии у других поставщиков;

Тусл - суммарная плата за услуги, связанные с передачей тепловой энергии по тепловым сетям, платы за иные услуги, являющиеся неотъемлемой частью процесса передачи и распределения энергии, которые определены Федеральным законом "О государственном регулировании тарифов на электрическую и тепловую энергию в Российской Федерации" и пунктами 4 и 23 Основ ценообразования.

VIII. Расчет экономически обоснованного уровня регулируемой цены продажи на электрическую энергию на шинах и тепловую энергию на коллекторах производителей энергии (энергоснабжающей организации) - субъекта розничного рынка

24. Калькулирование расходов, связанных с производством электрической и тепловой энергии, осуществляется в соответствии с главой 25 Налогового кодекса Российской Федерации и Постановлением Правительства Российской Федерации от 6 июля 1998 г. N 700 "О введении раздельного учета затрат по регулируемым видам деятельности в энергетике".

25. Распределение расхода топлива тепловых электростанций между электрической и тепловой энергией, осуществляемое в процессе калькулирования расходов электрической и тепловой энергии, производится в соответствии с действующими нормативными актами.

26. Распределение расходов по видам регулируемой деятельности (электрическая и тепловая энергия) производится в соответствии с п. 11 настоящих Методических указаний.

27. Распределение балансовой прибыли между электрической и тепловой энергией производится согласно п. 14 настоящих Методических указаний.

28. Экономически обоснованный средний одноставочный тариф (цена) продажи электрической энергии, поставляемой на региональный рынок от ПЭ, рассчитывается по формуле:

где:

НВВэ - необходимая валовая выручка на производство электрической энергии;

Эотп - отпуск электроэнергии от ПЭ, рассчитываемый:

- по отпуску с шин электростанций, в случае покупки электроэнергии на производственные и хозяйственные нужды на стороне (в этом случае в НВВэ входят расходы на покупную электроэнергию для производственных и хозяйственных нужд);

- по отпуску с шин электростанций за вычетом электроэнергии, расходуемой на производственные и хозяйственные нужды, - в случае поставки указанной электроэнергии за счет собственного производства электроэнергии.

В обоих случаях при расчете Эотп учитываются потери электроэнергии в распределительных устройствах электростанции.

Потери электрической энергии в пристанционном узле, вызванные развернутым транзитом электрической энергии через распределительное устройство данной электростанции, не включаются в НВВ данной электростанции, а относятся на потери в сетях.

Не включаются в НВВ электростанции расходы на содержание данного пристанционного узла (распределительного устройства) в части транзита электрической мощности (в пределах пропускной способности пристанционного узла), определяемой в соответствии с учетной политикой, принятой на электростанции. (в ред. Постановления ФЭК РФ от 14.05.2003 N 37-э/1)

29. Экономически обоснованный тариф (цена) на тепловую энергию, предлагаемый ПЭ на рынок тепловой энергии, определяется по формуле:

где:

HBBт - необходимая валовая выручка на производство тепловой энергии (с учетом стоимости покупной тепловой энергии для производственных и хозяйственных нужд НВВ п.н.);

Qотп - отпуск тепловой энергии в сеть.

30. Расчет экономически обоснованного двухставочного тарифа (цены) продажи электрической энергии ПЭ производится путем разделения НВВэ на производство электрической энергии и на содержание электрической мощности. (в ред. Постановления ФЭК РФ от 14.05.2003 N 37-э/1)

31. Расчет экономически обоснованного двухставочного тарифа (цены) продажи электрической энергии ПЭ производится по формулам:

- ставка платы за электрическую энергию:

Тэ = Зтопл + ВН + К x Пэ (руб./тыс. кВт.ч), (14)
Эотп

- ставка платы за электрическую мощность

Тм = НВВэ - К x Пэ - Зтопл - ВН (руб./МВт мес.), (15)
Nуус x М

где:

Зтопл - суммарные затраты на топливо на технологические цели на тепловых электростанциях, входящих в состав ПЭ;

ВН - водный налог (плата за пользование водными объектами гидравлическими электростанциями, входящими в состав ПЭ);

Пэ - прибыль ПЭ, относимая на производство электрической энергии (мощности);

К - коэффициент, равный отношению суммы Зтопл и ВН к расходам (без учета расходов из прибыли) ПЭ, отнесенным на производство электрической энергии и на содержание электрической мощности;

Эотп - суммарный отпуск электрической энергии с шин всех тепловых и гидравлических электростанций, входящих в состав ПЭ;

Nуст - суммарная установленная электрическая мощность всех тепловых и гидравлических электростанций, входящих в состав ПЭ;

М - число месяцев в периоде регулирования. (в ред. Постановления ФЭК РФ от 14.05.2003 N 37-э/1)

32. Тариф (цена) продажи тепловой энергии от ЭСО (ПЭ) рассчитывается единым для всех потребителей (покупателей) данного ЭСО (ПЭ) или дифференцируется СЦТ. (в ред. Постановления ФЭК РФ от 14.05.2003 N 37-э/1)

33. Основой для дифференциации тарифов по СЦТ является принцип привязки потребителя, в силу определенных технологических ограничений по передаче тепловой энергии, к определенному теплоисточнику или теплоисточникам. (в ред. Постановления ФЭК РФ от 14.05.2003 N 37-э/1)

34. Расчет тарифов предусматривает определение двухставочных тарифов в качестве базы для установления тарифов на тепловую энергию для всех потребителей.

Расчет двухставочного тарифа продажи тепловой энергии производится путем разделения НВВт на производство тепловой энергии и на содержание мощности.

При этом при расчетах за покупную энергию по двухставочным тарифам в расчет условно - постоянных расходов ЭСО включаются расходы на покупку мощности (по ставке тарифа за мощность) и в расчет переменных составляющих расходов включаются расходы на покупку энергии (по ставке тарифа на тепловую энергию). В случае расчетов за покупную энергию по одноставочному тарифу 40% стоимости покупки относится к условно - постоянным расходам, 60% - к условно - переменным расходам.

35. Если СЦТ имеет несколько тепловых источников (электростанций, котельных), то тариф продажи тепловой энергии в данном узле устанавливается на уровне средневзвешенного тарифа, рассчитанного на основании расчетных тарифов продажи тепловой энергии (мощности) для каждого теплоисточника, входящего в СЦТ. (в ред. Постановления ФЭК РФ от 14.05.2003 N 37-э/1)

36. Расчет двухставочных тарифов продажи тепловой энергии с коллекторов генерирующих источников производится по формулам: (в ред. Постановления ФЭК РФ от 14.05.2003 N 37-э/1)

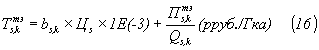
36.1. Ставка платы за тепловую энергию:

- по k-й ступени параметров пара s-го источника пара

- по i-му источнику горячей воды

где:

b_s,k, b_i - удельные расходы условного топлива на тепловую энергию, отпускаемую соответственно в паре k-й ступени параметров s-м источником и в горячей воде i-м источником, кг у.т./Гкал;

Q_s,k, Q_i - количество тепловой энергии, отпускаемой соответственно s-м источником в паре k-й ступени параметров и i-м источником в горячей воде, тыс. Гкал;

Ц_s, Ц_i - цена условного топлива, используемого соответственно s-ым и i-ым источниками тепла, руб./т у.т.;

- части прибыли ЭСО по отпуску тепла, относимые соответственно на Q_s,k и Q_i, тыс. руб. (в ред. Постановления ФЭК РФ от 14.05.2003 N 37-э/1)

36.2. Ставка платы за тепловую мощность рассчитывается на едином уровне для всех генерирующих источников тепла (в паре и горячей воде) и для всех СЦТ ЭСО по формуле:

- необходимая валовая выручка ЭСО (ПЭ) по отпуску тепловой энергии в паре и горячей воде, тыс. руб.;

P_s,k, P_i - соответственно расчетные (присоединенные) тепловые мощности (нагрузки) s-oro источника в теплоносителе "пар" k-й ступени параметров и i-го источника в теплоносителе "горячая вода", Гкал/ч;

L, m - количество соответственно ступеней параметров пара на s-м источнике и источников пара в ЭСО;

n, r - количество соответственно источников горячей воды в СЦТ и СЦТ в ЭСО. (в ред. Постановления ФЭК РФ от 14.05.2003 N 37-э/1)

37. Пункт исключен. (в ред. Постановления ФЭК РФ от 14.05.2003 N 37-э/1)

38. Общехозяйственные расходы и прибыль ЭСО (ПЭ), относимые на тепловую энергию, распределяются между генерирующими источниками в соответствии с пунктами 11 и 14 настоящих Методических указаний. (в ред. Постановления ФЭК РФ от 14.05.2003 N 37-э/1)

39-43. Пункты исключены. (в ред. Постановления ФЭК РФ от 14.05.2003 N 37-э/1)

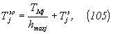
44. Рассчитанные двухставочные тарифы продажи тепловой энергии преобразовываются в одноставочные.

Указанное преобразование осуществляется посредством деления ставки платы за тепловую мощность j1-го потребителя (категории потребителей) на соответствующее число часов использования его максимальной тепловой нагрузки, с последующим суммированием полученного значения со ставкой платы за энергию:

- для потребителей пара:

- для потребителей горячей воды:

где:

j1 - потребитель (категория потребителей) теплоэнергии;

- число часов использования максимальной нагрузки j1-го потребителя, часов/год;
(в ред. Постановления ФЭК РФ от 14.05.2003 N 37-э/1)
     
- тарифная ставка платы за тепловую мощность, руб./Гкал час.;
     
- тарифная ставка платы за энергию для потребителей пара различных параметров, руб./Гкал;
     
- тарифная ставка на тепловую энергию, отпускаемую в виде горячей воды, руб./Гкал.

Рассчитанные таким образом одноставочные тарифы являются экономически обоснованными для потребителей, получающих тепловую энергию на коллекторах регулируемой организации.

45. Предложения по установлению тарифов (цен) на электрическую и тепловую энергию (мощность) включают в себя:

- экономическое обоснование общей потребности в финансовых средствах по видам регулируемой деятельности на период регулирования;

- виды и объемы продукции в натуральном выражении;

- распределение общей финансовой потребности по видам регулируемой деятельности;

- расчет средних и дифференцированных тарифов (цен) по видам регулируемой деятельности.

46. Для расчета тарифов (цен) используются следующие материалы:

- баланс электрической энергии и мощности (в составе утвержденного баланса по ЕЭС России или изолированной региональной энергосистеме) (Таблица П1.1);

- расчет полезного отпуска электрической энергии по ЭСО (ПЭ) (Таблица П1.2);

- расчет полезного отпуска тепловой энергии (Таблица П1.7);

- расчет расхода топлива по электростанциям (котельным) (Таблица П1.9);

- расчет баланса топлива (Таблица П1.10);

- расчет затрат на топливо для выработки электрической и тепловой энергии (Таблица П1.11);

- расчет стоимости покупной энергии на производственные и хозяйственные нужды (Таблица П1.12);

- расчет суммы платы за пользование водными объектами предприятиями гидроэнергетики (Таблица П1.14);

- смета расходов на производство электрической и тепловой энергии (Таблица 1.15);

- расчет расходов на оплату труда (Таблица П1.16);

- расчет амортизационных отчислений на восстановление основных производственных фондов (Таблица П1.17);

- калькуляция расходов производства электрической энергии (Таблица П1.18, П1.18.1);

- калькуляция расходов производства тепловой энергии (Таблица П1.19, П1.19.1);

- расчет источников финансирования капитальных вложений (Таблица П1.20);

- справка о финансировании и освоении капитальных вложений по источникам электроэнергии (производство электроэнергии) (Таблица П1.20.1);

- справка о финансировании и освоении капитальных вложений по источникам тепловой энергии (производство тепловой энергии) (Таблица П1.20.2);

- расчет балансовой прибыли, принимаемой при установлении тарифов на электрическую и тепловую энергию (Таблица П1.21, П1.21.1, П1.21.2);

- расчет экономически обоснованного тарифа продажи ЭСО (ПЭ) (Таблица П1.22);

- расчет экономически обоснованного тарифа покупки электроэнергии потребителями (Таблица П1.23);

- расчет дифференцированных по времени суток ставок платы за электроэнергию (Таблица П1.26);

- экономически обоснованные тарифы на электрическую энергию (мощность) по группам потребителей (Таблица П1.27);

- расчет одноставочных экономически обоснованных тарифов на тепловую энергию (по узлам теплоснабжения) (Таблица П1.28);

- расчет ставок платы за тепловую мощность для потребителей пара и горячей воды (по узлам теплоснабжения) (таблица П1.28.1);

- расчет дифференцированных ставок за тепловую энергию для потребителей пара различных параметров и горячей воды (по СЦТ) (Таблица П1.28.2); (в ред. Постановления ФЭК РФ от 14.05.2003 N 37-э/1)

- расчет экономически обоснованных тарифов на тепловую энергию (мощность) по группам потребителей (Таблица П1.28.3);

- программу производственного развития (план капвложений), согласованную в установленном порядке;

- расчет размера выпадающих доходов или дополнительно полученной выгоды в предшествующий период регулирования, выявленные на основании официальной отчетности или по результатам проверки хозяйственной деятельности;

- бухгалтерскую и статистическую отчетность на последнюю отчетную дату;

- другие обосновывающие материалы и расчеты, нормы и нормативы расчета отдельных статей расходов по перечню, установленному регулирующим органом в соответствии с пунктами 9 и 10 Правил регулирования.

47. При заполнении таблиц расчетные показатели базового периода определяются:

- по экономическим (стоимостным) показателям - по текущим показателям периода, предшествующего расчетному;

- по показателям производственно - технического характера - соответствующего периода прошлого года.

IX. Расчет тарифа (платы) за услуги по передаче электрической энергии по региональным электрическим сетям

48. Расчет платы за услуги по передаче электрической энергии по региональным электрическим сетям определяется исходя из стоимости работ, выполняемых организацией, эксплуатирующей на правах собственности или на иных законных основаниях электрические сети и / или устройства преобразования электрической энергии, в результате которых обеспечиваются:

- передача электрической энергии (мощности) как потребителям, присоединенным к данной сети, так и отпускаемой в электрические сети других организаций;

- поддержание в пределах государственных стандартов качества передаваемой электрической энергии, за исключением частоты электрического тока;

- содержание в соответствии с техническими требованиями к устройствам электроустановок и эксплуатации электростанций и электрических сетей, технологического оборудования, зданий и энергетических сооружений, связанных с эксплуатацией электрических сетей.

49. Размер платы за услуги по передаче электрической энергии рассчитывается в виде экономически обоснованной ставки, которая в свою очередь дифференцируется по трем уровням напряжения в точке подключения потребителя (покупателя, другой энергоснабжающей организации) к электрической сети рассматриваемой организации:

на высоком напряжении: (ВН) 110 кВ и выше;

на среднем первом напряжении: (СН1) 35 кВ; (в ред. Постановления ФЭК РФ от 14.05.2003 N 37-э/1)

на среднем втором напряжении: (СН11) 20-1 кВ. (в ред. Постановления ФЭК РФ от 14.05.2003 N 37-э/1)

на низком напряжении: (НН) 0,4 кВ.

50. Если граница раздела балансовой принадлежности сетей рассматриваемой организации и сетей потребителя (покупателя, другой ЭСО) находится на шинах распределительного устройства подстанции (с учетом коммутационной аппаратуры, находящейся в собственности или на иных законных основаниях у рассматриваемой организации), за уровень напряжения для расчета платы за услуги по передаче электрической энергии в объеме потребления от данной подстанции принимается значение первичного напряжения подстанции, независимо от уровня напряжения, на котором подключены электрические сети потребителя (покупателя, другой ЭСО).

Данное положение распространяется в том числе на случаи, когда граница раздела балансовой принадлежности электрических сетей находится на шинах распределительного устройства подстанции (в случае наличия абонентских ячеек), выводах линейных коммутационных аппаратов, кабельных наконечниках или проходных изоляторах линейных ячеек, линейных разъединителях или линейных порталах. (в ред. Постановления ФЭК РФ от 14.05.2003 N 37-э/1)

51. При определении платы за услуги по передаче электрической энергии (мощности) по указанным четырем уровням напряжения не учитываются сети потребителей, находящиеся у них на правах собственности или иных законных основаниях при условии, что содержание, эксплуатация и развитие этих сетей производится за счет средств потребителей. В этом случае не учитывается плата за услуги по передаче электрической энергии (мощности) по указанным сетям. (в ред. Постановления ФЭК РФ от 14.05.2003 N 37-э/1)

52.Расчетный объем необходимой валовой выручки (НВВсети) сетевой организации, осуществляющей деятельность по передаче электрической энергии по сетям высокого, среднего первого, среднего второго и низкого напряжения, определяется исходя из: (в ред. Постановления ФЭК РФ от 14.05.2003 N 37-э/1)

- расходов по осуществлению деятельности по передаче электрической энергии, в том числе: часть общехозяйственных расходов, относимых на деятельность по передаче электрической энергии, а также расходов на оплату услуг по передаче электрической энергии, принимаемой из сети, присоединенной к сети рассматриваемой организации (в случае сальдо - перетока электроэнергии в рассматриваемую организацию);

- суммы прибыли, отнесенной на передачу электрической энергии.

53. Необходимая валовая выручка НВВсети распределяется по уровням напряжения пропорционально условным единицам на планируемый период регулирования:

НВВвн = НВВсети Увн (28)
SUM У
       
НВВсн11 = НВВсети x Усн11 (29.1)  
SUMY  
(в ред. Постановления ФЭК РФ от 14.05.2003 N 37-э/1)
       
НВВсн1 = НВВсети x Усн1 (29)  
SUMY  
(в ред. Постановления ФЭК РФ от 14.05.2003 N 37-э/1)
       
НВВвн = НВВсети Унн (30)
SUM У

где:

НВВвн расчетный объем необходимой валовой выручки, обеспечивающий компенсацию экономически обоснованных расходов на осуществление деятельности по передаче электрической энергии по сетям высокого, среднего первого, среднего второго и низкого напряжения соответственно, и покрытия прибыли, относящейся на данный уровень напряжения (тыс. руб.)
НВВсн1
НВВсн11
НВВнн

(в ред. Постановления ФЭК РФ от 14.05.2003 N 37-э/1)

SUM У - сумма условных единиц по оборудованию всех уровней напряжения, определенная в соответствии с Приложением 2;

Увн - суммы условных единиц по оборудованию, отнесенных к соответствующим уровням напряжения, определенные в соответствии с Приложением 2.
Усн1
Усн11
Унн

(в ред. Постановления ФЭК РФ от 14.05.2003 N 37-э/1)

54. Расчет экономически обоснованного размера платы за услуги по передаче электрической энергии предусматривает определение двух ставок в качестве базы для утверждения платы за услуги по передаче электрической энергии для всех категорий и групп потребителей (как для потребителей, применяющих двухставочные тарифы, так и для потребителей, применяющих одноставочные тарифы) и покупателей (других ЭСО):

- плата за услуги по содержанию электрических сетей соответствующего уровня (диапазона) напряжения в расчете на МВт в месяц заявленной (расчетной) мощности потребителя (покупателя - другой энергоснабжающей организации) - руб./МВт.ч). (в ред. Постановления ФЭК РФ от 14.05.2003 N 37-э/1)

- оплата технологического расхода (потерь) электрической энергии на ее передачу по сетям соответствующего уровня напряжения - руб./МВт.ч). (в ред. Постановления ФЭК РФ от 14.05.2003 N 37-э/1)

55. Тарифы на содержание электрических сетей, дифференцированные по диапазонам (уровням) напряжения, рассчитываются в следующем порядке.

Высокое напряжение 110 (60) кВ

Часть НВВ_вн , учитываемая при расчете тарифов на передачу для сетей среднего напряжения

в том числе:

- часть, учитываемая при расчете

- часть, учитываемая при расчете

Среднее напряжение первого уровня 35 кВ

Среднее напряжение второго уровня 20-1 кВ

Низкое напряжение ниже 1 кВ

- мощность, отпускаемая в сеть высокого, среднего (первого 1 и второго 11 уровней напряжения), низкого напряжения;

- мощность, отпускаемая в сеть СН11 из сети ВН и СН1;

- полезный отпуск мощности потребителям, получающим электроэнергию от сетей ВН, СН1, СН11, и НН;

- поставка мощности в сети ВН, СН1, СН11;

альфа_вн, альфа_сн1, альфа_сн11, альфа_нн - нормативы потерь в электрических сетях ВН, СН1, СН11 и НН;

- необходимая валовая выручка сети СН11, подключенной к сети ВН и СН1;

- часть необходимой

валовой выручки сети более высокого напряжения (нижний индекс), учитываемая при расчете тарифа на передачу смежной сети меньшего напряжения (верхний индекс).

М - количество месяцев в периоде регулирования. (в ред. Постановления ФЭК РФ от 14.05.2003 N 37-э/1)

56. Для нахождения платы на содержание электрических сетей по диапазонам (уровням) напряжения в расчете на МВт.ч для потребителей (покупателей, других ЭСО), рассчитывающихся по одноставочному тарифу, необходимо разделить плату на передачу мощности по диапазонам напряжения (руб./МВт) на число часов использования заявленной (расчетной) мощности по данной группе потребителей (покупателей, других ЭСО), получающих электроэнергию на соответствующем диапазоне напряжения:

(34)

(35.1)

(35.2)

(36)

где:

- плата за содержание электрических сетей соответствующего диапазона (уровня) напряжения в расчете на МВт.ч;

h_вн, h_сн1, h_сн11, h_нн - среднегодовое число часов использования заявленной (расчетной) мощности одноставочных потребителей (покупателей, других ЭСО), получающих электроэнергию на соответствующем диапазоне напряжения. (в ред. Постановления ФЭК РФ от 14.05.2003 N 37-э/1)

57. Расчет ставки, учитывающей оплату потерь (технологического расхода) электрической энергии на ее передачу по сетям, определяется по формулам:

Высокое напряжение 110 (60) кВ

где

Среднее напряжение первого уровня 35 кВ

где

Среднее напряжение второго уровня 20-1 кВ

Низкое напряжение ниже 1 кВ

где:

- суммарный плановый (расчетный) на предстоящий период регулирования отпуск электроэнергии в сеть высокого, среднего (первого и второго уровня) и низкого напряжения, млн. кВт.ч;

- плановая (расчетная) поставка электроэнергии в сеть высокого и среднего напряжения непосредственно от генерирующих источников, а также с ФОРЭМ и от других внешних поставщиков, млн. кВт.ч;

- расчетный поток электроэнергии из сети ВН в сеть СН1 и СН11, а также из сети СН1 в сеть СН11, млн. кВт.ч;

альфа_вн, альфа_сн1, альфа_сн11, альфа_нн - нормативы технологического расхода (потерь) электрической энергии на ее передачу по сетям ВН, СН1, СН11, НН соответственно, %;

- расходы на оплату потерь в сетях соответствующего уровня напряжения, тыс. руб;

- часть затрат на оплату потерь сетей более высокого напряжения (нижний индекс), учитываемая при расчете Т(пот) для смежных сетей более низкого напряжения (верхний индекс), тыс. руб.;

- средневзвешенный тариф (цена) 1 МВт.ч потерь, руб./МВт.ч

(в ред. Постановления ФЭК РФ от 14.05.2003 N 37-э/1)

58. Экономически обоснованный размер платы за услуги по передаче электрической энергии (Тусл вн, Тусл сн1, Тусл сн11, Тусл нн - руб./МВт.ч) определяется следующим образом: (в ред. Постановления ФЭК РФ от 14.05.2003 N 37-э/1)

(в ред. Постановления ФЭК РФ от 14.05.2003 N 37-э/1)

При определении размера платы за услуги по передаче электрической энергии учитывается сальдо - переток электрической энергии (мощности) в другие организации. Величина сальдо - перетока электрической энергии рассчитывается как алгебраическая сумма всех прямых и обратных перетоков электрической энергии (в целом по году), по всем включенным в работу линиям электропередачи, соединяющим данную организацию с другой организацией, осуществляющей услуги по передаче электрической энергии.

59. Размер платы за услуги по передаче электрической энергии j-му потребителю (или j-ой группе потребителей) OYj рассчитывается по формулам:

59.1. При передаче электрической энергии потребителю через одну региональную электрическую сеть

где:

- тариф за услуги по передаче электрической энергии по сети i-го уровня напряжения для j-ого
потребителя, руб./МВт.ч;
     
- полезный отпуск электрической энергии из сети i-го уровня напряжения j-му потребителю или сальдо - переток в другую организацию, млн. кВт.ч.

59.2. При передаче электрической энергии через сети нескольких организаций в условиях разделения ЭСО на генерирующие и сетевые компании суммарная плата j-го потребителя:

где:

m - индекс, фиксирующий m-ю сетевую организацию;

Tmi - тариф на услуги по передаче электрической энергии по сети i-го уровня напряжения m-ой сетевой организацией, руб./МВт.ч;

- полезный отпуск электрической энергии из сети i-го уровня напряжения m-ой сетевой организацией j-му потребителю, млн. кВт.ч.

60. Пункт исключен. (в ред. Постановления ФЭК РФ от 14.05.2003 N 37-э/1)

61. Плата за услуги по передаче электрической энергии не взимается с потребителя (покупателя, другой ЭСО), подключенного непосредственно к шинам генераторного напряжения одной или нескольких электростанций производителя энергии и получающего от нее (них) всю покупаемую электрическую энергию.

Расчет за покупаемую электрическую энергию этот потребитель (покупатель, другая ЭСО) производит по тарифу указанного производителя энергии.

В случае получения указанным потребителем (покупателем, другой ЭСО) части электрической энергии из общей сети расчет за электрическую энергию производится исходя из следующих положений:

- за часть электрической энергии, получаемой с шин генераторного напряжения - как для потребителя (покупателя, другой ЭСО), подключенного непосредственно к шинам генераторного напряжения одной или нескольких электростанций производителя энергии;

- за остальную часть электрической энергии, полученной потребителем (покупателем, другой ЭСО) из общей сети - с учетом:

стоимости покупаемой электрической энергии, определяемой по средней стоимости единицы электрической энергии в соответствии с пунктом 7 настоящих Методических указаний;

платы за передачу электрической энергии, определяемой как произведение ставки платы за содержание электрических сетей соответствующего уровня напряжения и заявленной мощности, умноженной на коэффициент, равный частному от деления указанной части электрической энергии на полезный отпуск электрической энергии потребителю (покупателю, другой ЭСО) за календарный год, предшествующий расчетному периоду регулирования.

В тарифе для данного потребителя (покупателя, другой ЭСО) учитываются также расходы на сбыт электрической энергии и расходы на оплату услуг по организации функционирования и развитию Единой энергетической системы России. (в ред. Постановления ФЭК РФ от 14.05.2003 N 37-э/1)

62. Расчет платы за услуги по передаче электрической энергии по участкам электрических сетей (выделенным участкам электрических сетей), используемым для передачи электрической энергии конкретному потребителю (покупателю, другой ЭСО), производится при наличии в электросетях соответствующих приборов учета и контроля.

При расчете платы за услуги по передаче электрической энергии по выделенным участкам электросетей учитываются только те расходы ЭСО, которые необходимы для содержания указанных участков электросетей (с соответствующими устройствами преобразования электрической энергии), компенсации возникающих в них потерь электрической энергии и резервного питания потребителя (покупателя, другой ЭСО).

При этом необходимая валовая выручка каждого уровня напряжения распределяется между выделенным участком электросети и прочими участками пропорционально условным единицам на планируемый период регулирования. (в ред. Постановления ФЭК РФ от 14.05.2003 N 37-э/1)

63. Для расчета тарифов (цен) используются следующие материалы:

- расчет технологического расхода электрической энергии (потерь) в электрических сетях ЭСО (региональные электрические сети) (Таблица П1.3);

- баланс электрической энергии в сети ВН, СН и НН (Таблица П1.4);

- электрическая мощность по диапазонам напряжения (Таблица П1.5);

- структура полезного отпуска электрической энергии (мощности) по группам потребителей (Таблица П1.6);

- расчет суммы платы за услуги по организации функционирования и развитию ЕЭС России (Таблица П1.13);

- смета расходов (Таблица П1.15);

- расчет расходов на оплату труда (Таблица П1.16);

- расчет амортизационных отчислений на восстановление основных производственных фондов (Таблица П1.17);

- калькуляция расходов по передаче электрической энергии (Таблица П1.18.2);

- расчет источников финансирования капитальных вложений (таблица П1.20);

- справка о финансировании и освоении капитальных вложений в электросетевое строительство (передача электроэнергии) (таблица П1.20.3);

- расчет балансовой прибыли, принимаемой при установлении тарифов на передачу электрической энергии (Таблица П1.21.3);

- плата за услуги по содержанию электрических сетей (таблица П1.24);

- расчет ставки по оплате технологического расхода (потерь) электрической энергии на ее передачу по сетям (Таблица П1.25);

- экономически обоснованные тарифы на электрическую энергию (мощность) по группам потребителей (Таблица П1.27);

- расчет условных единиц для распределения общей необходимой валовой выручки на содержание электрических сетей по уровням напряжения (Приложение 2);

- бухгалтерская и статистическая отчетность на последнюю отчетную дату.

X. Расчет размера платы за услуги по передаче тепловой энергии в системах централизованного теплоснабжения

64. Расчет платы за услуги по передаче тепловой энергии по тепловым сетям определяется исходя из следующих видов расходов:

- расходы на эксплуатацию тепловых сетей;

- расходы на оплату тепловой энергии, израсходованной на передачу тепловой энергии по тепловым сетям (технологический расход (потери) тепловой энергии в сетях).

Расходы на эксплуатацию тепловых сетей должны обеспечивать:

- содержание в соответствии с технологическими нормами, требованиями и правилами тепловых сетей и сооружений на них, устройств защиты и автоматики, а также зданий и сооружений, предназначенных для эксплуатации тепловых сетей;

- безопасную эксплуатацию тепловых сетей;

- передачу тепловой энергии (мощности) как потребителям, присоединенным к данной организации, так и отпускаемой в тепловые сети других организаций;

- уровень надежности теплоснабжения каждого потребителя в соответствии с проектной категорией надежности;

- поддержание качества передаваемых тепловой энергии и теплоносителей в пределах, устанавливаемых в договорах и обязательных к применению правилах, утвержденных в установленном порядке;

- поддержание в состоянии эксплуатационной готовности тепловых сетей, а также оборудования, зданий и сооружений, связанных с эксплуатацией тепловых сетей. (в ред. Постановления ФЭК РФ от 14.05.2003 N 37-э/1)

65. Расчет платы за услуги по передаче тепловой энергии Т в виде одноставочного тарифа на передачу по тепловым сетям

передi единицы тепловой мощности производится по формуле:

где:

Т_передi - плата за услуги по передаче тепловой энергии (руб./Гкал/час в мес.);

- необходимая валовая выручка теплосетевой организации на регулируемый период по оказанию услуг по передаче тепловой энергии в паре или в горячей воде, тыс. руб.;

Pi - суммарная расчетная (присоединенная) тепловая мощность (нагрузка) по совокупности потребителей тепловой энергии в паре или горячей воде по заключенным договорам теплоснабжения с энергоснабжающей (энергосбытовой) организацией на регулируемый период, тыс. Гкал/час;

М - продолжительность периода регулирования, мес. (в ред. Постановления ФЭК РФ от 14.05.2003 N 37-э/1)

66. При расчете величины платы за услуги по передаче тепловой энергии по паровым и водяным тепловым сетям, НВВ регулируемой организации, осуществляющей деятельность по передаче тепловой энергии в паре и в горячей воде, распределяется между тепловыми и паровыми сетями. (в ред. Постановления ФЭК РФ от 14.05.2003 N 37-э/1)

66.1. Прямые расходы на развитие и содержание паровых и водяных тепловых сетей учитываются раздельно. Общехозяйственные расходы и прибыль регулируемой организации распределяются между СЦТ пропорционально прямым расходам. При невозможности отнесения какой-либо составляющей прямых расходов (материальные расходы, оплата труда, отчисления в ремонтный фонд, прочие прямые расходы) по видам услуг по передаче тепловой энергии (пар, горячая вода) по прямому признаку, расчет указанных расходов производится пропорционально условным единицам тепловых сетей или в соответствии с учетной политикой, принятой в регулируемой организации. (в ред. Постановления ФЭК РФ от 14.05.2003 N 37-э/1)

66.2. В состав расходов по передаче тепловой энергии включаются расходы на развитие, содержание, эксплуатацию, техническое обслуживание и ремонт трубопроводов тепловых сетей, бойлерных установок, каналов, смотровых колодцев, прочего оборудования и сооружений тепловых сетей, а также расходы на осуществление диспетчерского управления и эксплуатацию средств измерений и автоматики. (в ред. Постановления ФЭК РФ от 14.05.2003 N 37-э/1)

66.3. В составе материальных расходов учитываются расходы на приобретение воды, электрической и тепловой энергии, расходуемых на технологические цели, включая расходы на компенсацию следующих нормативных технологически необходимых затрат и технически неизбежных потерь ресурсов:

тепловые потери через изоляцию трубопроводов тепловых сетей и с потерями теплоносителей;

потери (в том числе с утечками) теплоносителей (пар, конденсат, горячая вода) - без тепловой энергии, содержащейся в каждом из них;

затраты электроэнергии на привод насосов (подкачивающих, смесительных, циркуляционных, дренажных и т.п.), а также другого оборудования, обеспечивающего технологический процесс передачи и распределения тепловой энергии. (в ред. Постановления ФЭК РФ от 14.05.2003 N 37-э/1)

66.4. Расходы на компенсацию указанных в подпункте 66.3 потерь и затрат ресурсов определяются по действующим тарифам и ценам на каждый из видов ресурсов, получаемых по договорам с поставщиками (производителями), или по расходам на их производство в тех случаях, когда ЭСО, наряду с оказанием услуг по передаче тепловой энергии и теплоносителя, осуществляет производство данных ресурсов с последующим их потреблением в процессе передачи тепловой энергии. Количественные значения приведенных выше технологических затрат и потерь ресурсов определяются по утвержденным в установленном порядке эксплуатационным показателям (энергетическим характеристикам) тепловых сетей в соответствии с Приложением N 3 к Методическим указаниям. (в ред. Постановления ФЭК РФ от 14.05.2003 N 37-э/1)

67. Для расчета тарифов (цен) используются следующие материалы:

- структура полезного отпуска тепловой энергии (мощности) по группам потребителей (Таблица П1.8);

- смета расходов (Таблица П1.15);

- расчет расходов на оплату труда (Таблица П1.16);

- расчет амортизационных отчислений на восстановление основных производственных фондов (Таблица П1.17);

- калькуляция расходов по передаче тепловой энергии (Таблица П1.19.2);

- расчет источников финансирования капитальных вложений (таблица П1.20);

- справка о финансировании и освоении капитальных вложений в теплосетевое строительство (передача теплоэнергии) (таблица П1.20.4);

- расчет балансовой прибыли, принимаемой при установлении тарифов на передачу тепловой энергии (Таблица П1.21.4);

- расчет платы за услуги по содержанию тепловых сетей (Таблица П1.24.1);

- расчет ставки по оплате технологического расхода (потерь) тепловой энергии на ее передачу (Таблица П1.25.1);

- бухгалтерская и статистическая отчетность на последнюю отчетную дату.

XI. Порядок расчета тарифов по группам потребителей электрической энергии на потребительском рынке

68. Процедура расчета тарифов предусматривает двухставочные тарифы (на принципах раздельного учета затрат между электрической энергией и мощностью) в качестве базы для расчета тарифов на электроэнергию для всех групп потребителей (как для потребителей, применяющих двухставочные тарифы, так и для потребителей, применяющих одноставочные и зонные тарифы).

При этом, при расчетах за покупную энергию по двухставочным тарифам, в расчет условно - постоянных расходов энергоснабжающей организации включаются расходы на покупку мощности (по ставке тарифа за мощность) и в расчет переменных составляющих расходов включаются расходы на покупку энергии (по ставке тарифа на электрическую энергию). В случае расчетов за покупную энергию по одноставочному или зонным тарифам 40% стоимости покупки относится к условно - постоянным расходам, 60% - к условно - переменным расходам.

69. Регулируемый тариф (цена) покупки электрической энергии (мощности), поставляемой потребителям и покупателям - субъектам розничного рынка (кроме населения), устанавливаются одновременно в 3-х вариантах (тарифное меню):

- одноставочные тарифы;

- двухставочные тарифы;

- тарифы, дифференцированные по зонам суток (зонные тарифы).

Для населения могут устанавливаться только одноставочные и зонные тарифы, дифференцированные по суточным зонам графика электрической нагрузки.

Одноставочный тариф рассчитывается исходя из ставок за электрическую энергию и мощность и дифференцируется в зависимости от числа часов использования заявленной мощности. (в ред. Постановления ФЭК РФ от 14.05.2003 N 37-э/1)

Дифференциация устанавливается для следующих диапазонов годового числа часов использования заявленной мощности: (в ред. Постановления ФЭК РФ от 14.05.2003 N 37-э/1)

от 6000 до 7000 часов; (в ред. Постановления ФЭК РФ от 14.05.2003 N 37-э/1)

от 5000 до 6000 часов; (в ред. Постановления ФЭК РФ от 14.05.2003 N 37-э/1)

от 4000 до 5000 часов; (в ред. Постановления ФЭК РФ от 14.05.2003 N 37-э/1)

от 3000 до 4000 часов; (в ред. Постановления ФЭК РФ от 14.05.2003 N 37-э/1)

от 2000 до 3000 часов. (в ред. Постановления ФЭК РФ от 14.05.2003 N 37-э/1)

70. Расчет тарифов (цены) на электрическую энергию (мощность), поставляемую ПЭ потребителям, производится раздельно для потребителей группы 1 и потребителей групп 2, 3 и 4.

71. Тарифы (цены) на электрическую энергию (мощность) для потребителей группы 1 определяются, исходя из средневзвешенных цен (тарифов) на базовые части полезного отпуска и заявленной мощности и оставшуюся их часть в следующей последовательности.

Определяется доля полезного отпуска электрической энергии потребителей 1 группы в полезном отпуске всем потребителям ЭСО по формуле:

К1 = Эпол1 ,   (77)
ЭполЭСО  

где:

Эпол1, ЭполЭСО - полезный отпуск электрической энергии соответственно потребителям группы 1 и всем потребителям ЭСО (группы 1 - 4).

Определяется базовая часть полезного отпуска электрической энергии Эбаз1И заявленной мощности Nбаз1 потребителям группы 1 по формулам:

Эбаз1 = К1 х Эпол1 (78)

Nбаз1 = К1 х Nзаявл1 (79)

где:

Nзаявл1 - суммарная заявленная мощность потребителей группы 1.

Базовая часть тарифов на электрическую энергию и мощность рассчитываются по тарифным ставкам за электрическую энергию и мощность той из s-х ПЭ, заключивших с ЭСО договора купли - продажи (поставки) электрической энергии (мощности), которая имеет наименьший одноставочный тариф на электрическую энергию, по формулам:

где:

sm - индекс, фиксирующий из s-x ПЭ ту ПЭ, которая имеет минимальный одноставочный тариф продажи электроэнергии;

- необходимые sm-ой ПЭ валовые выручки соответственно за электрическую энергию и мощность, определяемые в соответствии с главой VIII настоящих Методических указаний;

Эотпsм, Nзаявлsм - объемы соответственно отпуска с шин от sm-ой ПЭ (согласно главе VIII настоящих Методических указаний), определяемого на основании планового баланса электрической энергии ЭСО, утвержденного в установленном порядке, и заявленных мощностей всех потребителей, приходящихся на sm-ую ПЭ, определяемых на основании планового баланса мощностей ЭСО, утверждаемого в установленном порядке.

Оставшиеся части тарифов (цен) на электрическую энергию и мощность вырабатываемые всеми s-ми ПЭ и отпускаемые потребителям группы 1, определяются по формулам:

Эотпбаз1 = Эбаз1вн + Эбаз1сн    
(1 - альфавн ) (1 - альфавн ) х (1 - альфасн )   (84)
  100   100 100    

(в ред. Постановления ФЭК РФ от 14.05.2003 N 37-э/1)

где:

- суммарные по всем s-м ПЭ необходимые валовые выручки, отнесенные соответственно на электрическую энергию и мощность;

Эотп.баз.1 - отпуск электрической энергии с шин sm-ой ПЭ для потребителей группы 1; Эбаз1вн и Эбаз1сн - базовая часть полезного отпуска электрической энергии с шин sm-й ПЭ потребителям группы 1 соответственно на высоком и среднем уровнях напряжения;

- тарифные выручки, получаемые sm-ой ПЭ от потребителей групп 1 соответственно за полезный отпуск им электрической энергии в размере Эбаз1 и мощности в размере

Nбаз1; Эоптs и Nзаявлs - соответственно отпуск электроэнергии с шин s-й ПЭ и заявленная мощность всех потребителей, приходящаяся на s-ю ПЭ.

Средневзвешенные тарифы (цены) на электрическую энергию

мощность для потребителей группы 1 определяются по формулам:

(в ред. Постановления ФЭК РФ от 14.05.2003 N 37-э/1)

Тарифные выручки, полученные всеми s-ми ПЭ от потребителей

группы 1 за отпуск электрической энергии и мощности определяются по формулам:

(в ред. Постановления ФЭК РФ от 14.05.2003 N 37-э/1)

Средние тарифы (цены) на электрическую энергию

отпускаемые потребителям групп 2 - 4, определяются по формулам:

где: Эотп1 - отпуск электрической энергии от s-x ПЭ для потребителей группы 1, рассчитываемый по формуле:

Эотп1 = Эпол1вн + Эпол1сн   ,   (93)
(1 - альфавн ) (1 - альфавн ) х (1 - альфасн )  
  100   100 100    

где:

Эпол1вн и Эпол1сн - полезный отпуск электрической энергии потребителям группы 1 соответственно на высоком и среднем уровнях напряжения.

Тарифные выручки, полученные всеми s-ми ПЭ от потребителей групп 2 - 4 за отпуск электрической энергии и мощности , определяются по формулам:

(в ред. Постановления ФЭК РФ от 14.05.2003 N 37-э/1)

Если отпуск электрической энергии от sm-ой ПЭ больше базовой части отпуска электроэнергии для потребителей группы 1, то тарифы на электрическую энергию и мощность для потребителей групп 1 и 2 - 4 определяются по формулам (87), (88) и (91), (92).

В противном случае аналогичные расчеты повторяются в указанной выше последовательности, где за sm-ую ПЭ принимают ПЭ с наименьшим после рассмотренного выше (см. формулы (80) и (81)) одноставочным тарифом на электрическую энергию.

72. Ставка за заявленную мощность тарифа на услуги по передаче электрической энергии по сетям для j-го потребителя определяется по формуле:

где s1 и i - индексы, фиксирующие соответственно ставку по i-м уровням напряжения в s1-x ЭСО;

- ставка (тариф) j-го потребителя за содержание электрических сетей i-го уровня напряжения s1-й ЭСО (определяется по формулам (31), (32) и (33) раздел IX настоящих Методических указаний).

Ставка за электрическую энергию тарифа за услуги по передаче электрической энергии по сетям для j-го потребителя определяется по формуле:

где:

- ставка (тариф) j-го потребителя за оплату потерь

(технологического расхода) электрической энергии на ее передачу по сетям i-го уровня напряжения s1-й ЭСО (определяется по формулам (37), (39) и (40) раздел IX настоящих Методических указаний).

73. Расчет абонентной платы за услуги по организации функционирования и развитию Единой энергетической системы России производится в соответствии с Методическими документами, утвержденными Комиссией, и отражается в смете расходов на передачу электрической энергии. (в ред. Постановления ФЭК РФ от 14.05.2003 N 37-э/1)

74. С учетом расходов на производство, передачу и распределение электроэнергии j-й потребитель оплачивает ставку (тариф) на заявленную мощность и ставку (тариф) за полезный отпуск электроэнергии

Ставки (тарифы) j-го потребителя, относящегося к группе 1, определяются по формулам:

Ставки (тарифы) j-го потребителя, относящегося к группам 2 - 4, определяются по формулам:

75. Расчет оплачиваемой потребителями (покупателями) электрической энергии (мощности) регулируемым организациям тарифной выручки за продажу, поставку электрической энергии (мощности) и оказание им иных услуг.

Оплачиваемая j-м потребителем (покупателем) регулируемым организациям и суммарная тарифная выручка определяется по формуле:

где:

- оплачиваемая j-м потребителем тарифная выручка соответственно за производство электрической энергии (мощности) и передачу электрической энергии (мощности).

Тарифные выручки определяются по формулам:

где:

- тариф на мощность, определяемый соответственно по формуле (88) для потребителей группы 1 и по формуле (92) - для потребителей групп 2 - 4;

- потери электрической энергии в региональных электрических сетях, определяемых в соответствии с разделом IX настоящих Методических указаний;

- ставка (тариф) на оплату потерь электрической энергии при ее передаче по сетям, определяемая в зависимости от уровня напряжения по формулам (37), (39) и (40);

- ставка (тариф) за содержание электрических сетей, определяемая в зависимости от уровня напряжения по формулам (31), (32) и (33).

Сумма тарифных выручек , полученных всеми s-ми ПЭ от всех j-x потребителей (покупателей), должна равняться НВВ всех s-x ПЭ, устанавливаемых региональной комиссией.

Сумма тарифных выручек , полученных всеми s1-ми региональными электрическими сетями (ЭСО) от всех j-x потребителей (покупателей), должна равняться НВВ всех s1-x региональных электрических сетей (ЭСО), утверждаемых Комиссией.

76. Расчет заявленной мощности потребителей, оплачивающих электроэнергию по одноставочным тарифам, осуществляется ЭСО и производится в следующей последовательности:

а) по каждой группе потребителей определяется состав представительной выборки. По каждому потребителю, вошедшему в выборку, рассматривается следующая информация:

- наименование предприятия (организации);

- вид выпускаемой продукции (для промышленных предприятий);

- коэффициент сменности (для промышленных предприятий);

- основные направления использования электроэнергии;

- суточные графики электрической нагрузки в режимные дни (если суточные графики по какой-либо тарифной группе отсутствуют, то организуются выборочные замеры нагрузки в часы утреннего и вечернего максимумов нагрузки ОЭС);

- годовой объем электропотребления;

б) по каждому потребителю в суточном графике каждого режимного дня определяется нагрузка в отчетные часы утреннего и вечернего пика (максимума) ОЭС и рассчитывается суммарный совмещенный максимум для утреннего и вечернего пиков нагрузки;

в) по утренним и вечерним совмещенным максимумам учитываемых режимных дней определяются среднегодовые значения совмещенных максимумов нагрузки. В дальнейших расчетах используется один (утренний или вечерний) наибольший суммарный совмещенный максимум нагрузки рассматриваемой группы потребителей;

г) посредством деления суммарного годового электропотребления всех абонентов, вошедших в выборку, на их совмещенный максимум нагрузки определяется среднегодовое число часов использования максимума нагрузки рассматриваемой группы потребителей.

77. Для потребителей, применяющих одноставочные тарифы на электроэнергию, рассчитанные согласно настоящим Методическим указаниям, двухставочные тарифы преобразуются в одноставочные по формуле:

где h_maxj - годовое число часов использования заявленной мощности. Для диапазонов годового числа часов использования заявленной мощности применяются следующие расчетные значения h_maxj:

от 6000 до 7000 часов - 6500;

от 5000 до 6000 часов - 5500;

от 4000 до 5000 часов - 4500;

от 3000 до 4000 часов - 3500;

от 2000 до 3000 часов - 2500. (в ред. Постановления ФЭК РФ от 14.05.2003 N 37-э/1)

78. Дифференцированный по зонам суток тариф на электроэнергию для потребителей рассчитывается на основе среднего одноставочного тарифа покупки от ПЭ.

Интервалы тарифных зон суток по энергозонам (ОЭС) России устанавливаются Комиссией на основании запрашиваемой в ОАО "СО - ЦДУ ЕЭС" информации. (в ред. Постановления ФЭК РФ от 14.05.2003 N 37-э/1)

Расчет тарифных ставок на электроэнергию, дифференцированных по зонам суток (пик, полупик, ночь) на основе среднего одноставочного тарифа продажи электрической энергии от ПЭ, осуществляется, исходя из следующего уравнения:

где:

- утвержденный одноставочный тариф на электрическую энергию по ПЭ (руб./тыс. кВт.ч);

Тп, Тпп, Тн - тарифы за электроэнергию соответственно в пиковой, полупиковой и ночной зонах суточного графика нагрузки (руб./тыс. кВт.ч);

Эп, Эпп, Эн - объем покупки электроэнергии потребителем ПЭ, рассчитывающимся по зонным тарифам, соответственно в пиковой, полупиковой и ночной зонах графика нагрузки. При этом численные значения объема покупки электроэнергии по зонам могут задаваться как в абсолютных единицах (тыс. кВт.ч), так и в долях от суммарного объема покупки электроэнергии;

Эпол - полезный отпуск электроэнергии потребителю.

Величина тарифа в ночной зоне Тн устанавливается на уровне, обеспечивающем ПЭ возмещение сумма расходов на топливо на производство электроэнергии, поставляемой в ночной зоне графика нагрузки: (в ред. Постановления ФЭК РФ от 14.05.2003 N 37-э/1)

где:

- сумма расходов на топливо по ПЭ в ночной зоне графика нагрузки.

(в ред. Постановления ФЭК РФ от 14.05.2003 N 37-э/1)

могут быть расходы на переменную составляющую покупной электроэнергии.

Тариф за электроэнергию, поставляемую в полупиковой зоне графика нагрузки Тпп, приравнивается к утвержденному для ПЭ одноставочному тарифу:

Определение численного значения тарифа за электроэнергию в пиковой зоне Тп, исходя из уравнения (106), производится по следующей формуле:

Дифференцированный по зонам суток тариф на электрическую энергию для потребителей рассчитывается как сумма дифференцированного по зонам суток тарифа покупки от ПЭ и одинаковых по всем зонам суток тарифа на передачу электрической энергии и платы за услуги по организации функционирования и развитию ЕЭС России.

Тарифы (цены) на электроэнергию, поставляемую потребителям (покупателям), рассчитываются в соответствии с Таблицей П1.29.

Допускается производить дифференциацию тарифов на электрическую энергию по двум зонам суток - "день" и "ночь". При расчете данных тарифов используют следующие соотношения: (в ред. Постановления ФЭК РФ от 14.05.2003 N 37-э/1)

Тэгк(ср) = Тдень Эдень + ТнЭн , (109.1)
Эпол

(в ред. Постановления ФЭК РФ от 14.05.2003 N 37-э/1)

где: (в ред. Постановления ФЭК РФ от 14.05.2003 N 37-э/1)

Тцень, Тн - тарифные ставки продажи электроэнергии соответственно в дневной и ночной зонах суточного графика нагрузок; (в ред. Постановления ФЭК РФ от 14.05.2003 N 37-э/1)

Эдень, Эн - объемы потребления электроэнергии соответственно в дневной и ночной периоды. (в ред. Постановления ФЭК РФ от 14.05.2003 N 37-э/1)

Тарифная ставка продажи электроэнергии в ночной зоне определяется по выражению (107). (в ред. Постановления ФЭК РФ от 14.05.2003 N 37-э/1)

Тарифная ставка продажи электроэнергии в дневной зоне суточного графика нагрузок определяется по выражению: (в ред. Постановления ФЭК РФ от 14.05.2003 N 37-э/1)

Тдень = Тэгк(ср) Эпол + ТнЭн (109.2)
Эдень

(в ред. Постановления ФЭК РФ от 14.05.2003 N 37-э/1)

79. С учетом расходов на производство, передачу и распределение тепловой энергии j-й потребитель оплачивает тариф на тепловую энергию , определяемый по формуле:

где:

- средний тариф покупки тепловой энергии от ПЭ,определяемый согласно разделу VIII настоящих Методических указаний по формуле (9);

ставки платы за передачу тепловой энергии для потребителя соответственно пара и горячей воды, определяемые согласно разделу Х настоящих Методических указаний по формулам (75) и (76).

80. Расчет оплачиваемой потребителями (покупателями) тепловой энергии регулируемым организациям тарифной выручки за продажу и поставку тепловой энергии.

Оплачиваемая j-м потребителем (покупателем) регулируемым

Оплачиваемая j-м потребителем (покупателем) регулируемым организациям суммарная тарифная выручка определяется по формуле:

где:

- оплачиваемые j-м потребителем тарифные выручки соответственно за производство и передачу тепловой энергии.

Тарифные выручки определяются по формуле:

где:

- тарифы за тепловую энергию, определяемые для потребителей пара и горячей воды соответственно по формулам (26) и (27);

- полезный отпуск потребителям пара и горячей воды тепловой энергии соответственно в виде пара и горячей воды;

- ставка (тариф) на оплату потерь тепловой энергии при ее передаче по сетям, определяемая в зависимости от поставки пара и горячей воды соответственно по формулам (73) и (72);

- потери тепловой энергии в региональных тепловых сетях,определяемые в соответствии с разделом Х настоящих Методических указаний;

- ставка (тариф) за содержание тепловых сетей,определяемая для потребителей пара и горячей воды соответственно по формулам (70) и (71). ГТ

Сумма тарифных выручек , полученных всеми ПЭ, отпускающими тепловую энергию, от всех j-х потребителей (покупателей), должна равняться НВВ всех ПЭ. ПТ

Сумма тарифных выручек , полученных всеми региональными тепловыми сетями (ЭСО) от всех j-x потребителей (покупателей), должна равняться НВВ всех региональных тепловых сетей (ЭСО).

81. Особенности расчета тарифов на электрическую (тепловую) энергию (мощность) для отдельных групп потребителей.

81.1. Тарифы на электрическую (тепловую) энергию (мощность) для бюджетных потребителей рассчитываются в соответствии с законодательством Российской Федерации и вводятся в действие с 1 января последующего года. Срок действия указанных тарифов - один год. (в ред. Постановления ФЭК РФ от 14.05.2003 N 37-э/1)

Расчет тарифов на энергию (мощность), отпускаемую бюджетным потребителям, производится на общих основаниях в соответствии с их экономически обоснованным уровнем согласно пунктам 71 - 80 настоящих Методических указаний.

Установленные с 1 января последующего года тарифы на электроэнергию (мощность), отпускаемую j-му бюджетному

б потребителю Т , определяются по формуле:

где:

- рассчитанный в соответствии с пунктами 71 - 80 настоящих Методических указаний ценам (тарифам) на продукцию (услуги), потребляемые регулируемыми организациями, сложившимся на дату установления региональной комиссией тарифа тариф на энергию (мощность), отпускаемую j-му бюджетному потребителю; (в ред. Постановления ФЭК РФ от 14.05.2003 N 37-э/1)

средний прогнозный индекс - дефлятор изменения оптовых цен производителей промышленной продукции на оставшийся период текущего года; (в ред. Постановления ФЭК РФ от 14.05.2003 N 37-э/1)

- средний прогнозный индекс - дефлятор изменения оптовых цен производителей промышленной продукции на период регулирования (с 1 января последующего года до 1 января следующего за ним года). (в ред. Постановления ФЭК РФ от 14.05.2003 N 37-э/1)

В соответствии с законодательством Российской Федерации государственное регулирование тарифов может производиться отдельно в отношении электрической энергии, поставляемой населению, в пределах социальной нормы потребления и сверх социальной нормы потребления. (в ред. Постановления ФЭК РФ от 14.05.2003 N 37-э/1)

81.2. Тарифы на электрическую энергию, отпускаемую населению, устанавливаются на экономически обоснованном уровне согласно пунктам 71 - 80 настоящих Методических указаний.

В соответствии с пунктом 2 Постановления Правительства Российской Федерации от 7 декабря 1998 г. N 1444 "Об основах ценообразования в отношении электрической энергии, потребляемой населением" для населения, проживающего в сельских населенных пунктах, а также в городских населенных пунктах в домах, оборудованных в установленном порядке стационарными электроплитами и электроотопительными установками, применяется понижающий коэффициент 0,7.

При утверждении тарифов на электрическую энергию, потребляемую населением, в зависимости от уровней электропотребления дифференциация тарифов производится в рамках их предельных уровней.

XII. Тарифы по прямым договорам купли - продажи (поставки) энергии

82. Объемы электрической энергии (мощности), реализуемые потребителям по прямым договорам, учитываются в расчетах экономически обоснованных тарифов в соответствующих им группах:

- необходимая валовая выручка, участвующая при расчете тарифа для всех групп потребителей, не сокращается на выручку, получаемую от реализации электрической энергии (мощности) по прямым договорам;

- объем электрической энергии (мощности), участвующей в расчете экономически обоснованных тарифов для каждой группы потребителей, включает в себя объем электрической энергии (мощности), реализуемый по прямым договорам, выделяемый в отдельную строку.

83. При расчете тарифов (цен) на электрическую энергию (мощность) по прямым договорам за базу принимается экономически обоснованный тариф для соответствующей группы потребителей. Указанный тариф является предельным (максимальным).

В соответствии с пунктом 3 Правил регулирования при заключении прямых договоров купли - продажи (поставки) электрической и тепловой энергии регулирующие органы могут в соответствии со своей компетенцией и с согласия организации, осуществляющей регулируемую деятельность, и потребителей (покупателей) электрической энергии устанавливать тарифы (цены) на электрическую энергию и услуги по ее передаче со сроком действия два и более лет. Если регулирующими органами установлены предельные тарифы (цены), то при расчетах за реализуемую продукцию (услуги) могут применяться свободные (договорные) тарифы (цены) в рамках установленных предельных тарифов (цен).

При заключении прямого договора предельный одноставочный уровень тарифа на электрическую энергию (мощность) ТЭдог, рассчитывается по формуле:

где:

ТЭО - экономически обоснованный тариф для соответствующей группы потребителей;

дог

k - средний прогнозный индекс - дефлятор изменения оптовых

рег цен производителей промышленной продукции (без учета легкой и пищевой промышленности) на срок действия договора;

kдог - договорной коэффициент, учитывающий прогнозную потребность ПЭ в финансовых средствах и определяемый сторонами прямого договора.

84. При расчете тарифов не производится перераспределение дополнительной выручки регулируемой организации, полученной от потребителей по прямым договорам, на покрытие финансовой потребности регулируемой организации при осуществлении поставки энергии иным потребителям.

85. При наличии выпадающих доходов регулируемой организации, вызванных реализацией энергии (мощности) по прямым договорам, отнесение их на иные группы потребителей не производится.

Приложение 1

ПЕРЕЧЕНЬ
ТАБЛИЦ ДЛЯ РАСЧЕТА ЭКОНОМИЧЕСКИ ОБОСНОВАННЫХ ТАРИФОВ НА ЭЛЕКТРИЧЕСКУЮ (ТЕПЛОВУЮ) ЭНЕРГИЮ

(в ред. Постановления ФЭК РФ от 14.05.2003 N 37-э/1)

Таблица N П1.1

Баланс электроэнергии и мощности ЭСО (ПЭ)

п.п. Показатели Единица измерения Базовый период Период регулирования
1 2 3 4 5
1. Электроэнергии (ресурсов), всего, в том числе: млн. кВт.ч    
1.1. Выработка электростанциями ЭСО (ПЭ), из них:      
  - ТЭС      
  - ГЭС      
1.2. Получение электроэнергии ЭСО, всего, в том числе:      
  - с оптового рынка      
  - от блокстанций и прочих поставщиков, всего      
  в том числе      
  ...      
2. Передача электроэнергии ЭСО на оптовый рынок (ПЭ в сеть ЭСО)      
3. Общая потребность ЭСО (ПЭ) в электроэнергии      
4. Установленная мощность эл. станций ЭСО (ПЭ) на начало периода тыс. кВт    
4.1. Установленная мощность демонтированного оборудования за период      
4.2. Установленная мощность вводов за период      
4.3. Изменение установленной мощности за счет перемаркировки за период      
5. Рабочая мощность ЭСО (ПЭ)      
5.1. Нормативные, согласованные с ОРГРЭС ограничения мощности      
5.2. Прочие ограничения      
5.3. Снижение мощности из-за вывода оборудования в реконструкцию и во все виды ремонтов      
5.4. Нормативное снижение мощности в межремонтный период      
5.5. Снижение мощности из-за вывода оборудования в консервацию      
6. Средний максимум нагрузки потребителей ЭСО (ПЭ)      
7. Резерв мощности ЭСО (ПЭ)      
8. Передача мощности ЭСО на оптовый рынок (ПЭ в сеть ЭСО)      
9. Прием мощности ЭСО (ПЭ) с оптового рынка      
10. Прием мощности ЭСО (ПЭ) от блокстанций и прочих поставщиков      
11. Максимум нагрузки потребителей ЭСО (ПЭ)      
12. Располагаемая мощность ЭСО (ПЭ)      
13. Число часов использования среднего максимума нагрузки ЭСО (ПЭ) час    
14. Число часов использования среднегодовой установленной мощности ЭСО (ПЭ)      

Таблица N П1.2

Расчет полезного отпуска электрической энергии по ЭСО (ПЭ) <*>

<*> По ПЭ заполняются п. п. 1 - 6.

млн. кВт.ч

п.п. Показатели Базовый период Период регулирования
1 2 3 4
1. Выработка электроэнергии ЭСО (ПЭ), всего    
  в том числе: ТЭС    
  ...    
  ГЭС    
  ...    
2. Расход электроэнергии на собственные нужды    
  в том числе: на ТЭС    
  из них: - на производство электроэнергии    
  то же в %    
  - на производство теплоэнергии    
  то же в кВт.ч/Гкал    
  на ГЭС    
  то же в %    
3. Отпуск электроэнергии с шин (п. 1 - п. 2), всего    
  в том числе: ТЭС    
  ГЭС    
4. Отпуск электроэнергии на производственные и хозяйственные нужды ПЭ    
5. Потери электроэнергии в пристанционных узлах    
6. Отпуск электроэнергии с шин за минусом потерь, производственных и хозяйственных нужд (полезный отпуск ПЭ),    
  в том числе: по прямым договорам в общую сеть    
7. Покупная электроэнергия    
7.1. с оптового рынка    
7.2. от блок - станций    
7.3. от других поставщиков    
8. Отпуск электроэнергии в сеть ЭСО (п. 6 + п. 7)    
9. Потери электроэнергии в сетях    
  то же в % к отпуску в сеть    
10. Расход электроэнергии на производственные и хозяйственные нужды ЭСО    
  в том числе: для закачки воды ГАЭС    
  для электробойлерных    
  для котельных    
11. Полезный отпуск электроэнергии ЭСО (п. 8 - п. 9 - п. 10), всего    
  в том числе:    
11.1. Передача электроэнергии на оптовый рынок    
11.2. Отпуск электроэнергии по прямым договорам    
11.3. Полезный отпуск электроэнергии в общую сеть    

Таблица N П1.3

Расчет технологического расхода электрической энергии (потерь) в электрических сетях ЭСО (региональных электрических сетях)

(в ред. Постановления ФЭК РФ от 14.05.2003 N 37-э/1)

N п/п Показатели Ед. изм. Базовый период Период регулирования
ВН СН1 СН1 НН Всего ВН СН1 СН1 НН Всего
1 2 3 4 5 6 7 8 9 10 11 12 13
1 Технические потери млн. кВт.ч                    
1.1. Потери холостого хода в трансформаторах (а x б x в) млн. кВт.ч                    
а Норматив потерь кВт/МВА                    
б Суммарная мощность трансформаторов МВА                    
в Продолжительность периода час                    
1.2. Потери в БСК и СТК (а x б) млн. кВт.ч                    
а Норматив потерь тыс. кВт.ч в год/шт                  
б Количество БСК и СТК шт.                    
1.3. Потери в шунтирующих реакторах (а x б) млн. кВт.ч                    
а Норматив потерь тыс. кВт.ч в год/шт                  
б Количество реакторов шт.                    
1.4. Потери в СК и генераторах, работающих в режиме СК, всего млн. кВт.ч                    
1.4.1 Потери в СК номинальной мощностью ________ Мвар (а x б) млн. кВт.ч                    
а Норматив потерь тыс. кВт.ч в год/шт.                    
б Количество СК шт.                    
1.4.2 Потери в СК номинальной мощностью ________ Мвар (а x б) млн. кВт.ч                    
а Норматив потерь                      
б Количество СК                      
1.4.3 ...                      
1.5. Потери на корону, всего млн. кВт.ч                    
1.5.1 Потери на корону в линиях напряжением ______ кВ (а x б) млн. кВт.ч                    
а Норматив потерь млн. кВт.ч в год/км                  
б Протяженность линий км                    
1.5.2 ...                      
1.6. Нагрузочные потери, всего млн. кВт.ч                    
1.6.1 Нагрузочные потери в сетях ВН, СН1 и СН2 (а x б) млн. кВт.ч                    
а Норматив потерь %                    
б Отпуск в сеть млн. кВт.ч                    
1.6.2 Нагрузочные потери в сети НН (а x б) млн. кВт.ч                    
а Норматив потерь тыс. кВт.ч в год/км                    
б Протяженность линий НН км                    
2 Расход электроэнергии на собственные нужды подстанций млн. кВт.ч                    
3 Потери, обусловленные погрешностями приборов учета электроэнергии млн. кВт.ч                    
  ИТОГО млн. кВт.ч                    

Таблица N П1.4

Баланс электрической энергии в сети ВН, СН и НН (ЭСО, региональные электрические сети)

(в ред. Постановления ФЭК РФ от 14.05.2003 N 37-э/1)

(млн. кВт.ч)

N п/п Показатели Базовый период Период регулирования
1 2 3 4
1 Отпуск эл. энергии в сеть ВН, ВСЕГО    
в т.ч. от электростанций ЭСО    
от других поставщиков (в т.ч. с оптового рынка)    
от других организаций (сальдо-переток)    
1.1. Потери электроэнергии в сети ВН    
то же в %    
1.2. Отпуск из сети ВН    
1.2.1 Потребителям сети ВН    
в т.ч. собственным потребителям ЭСО    
потребителям, рассчитывающимся по прямым договорам    
1.2.2 Сальдо-переток в другие организации    
1.2.3 В сеть СН    
в т.ч. СН1    
в т.ч. СН11    
2 Отпуск эл. энергии в сеть СН, ВСЕГО    
в т.ч. СН1    
в т.ч. СН11    
в т.ч. из сети ВН    
от электростанций ЭСО    
от других поставщиков (в т.ч. с оптового рынка)    
от других организаций (сальдо-переток)    
2.1 Потери электроэнергии в сети СН    
в т.ч. СН1    
в т.ч. СН11    
то же в %    
2.2 Отпуск из сети СН    
в т.ч. СН1    
в т.ч. СН11    
2.2.1 Потребителям сети СН    
в т.ч. СН1    
из них: собственным потребителям ЭСО    
потребителям, рассчитывающимся по прямым договорам    
в т.ч. СН11    
из них: собственным потребителям ЭСО    
потребителям, рассчитывающимся по прямым договорам    
2.2.2 Сальдо-переток в другие организации    
2.2.3 В сеть НН    
3 Отпуск эл. энергии в сеть НН, ВСЕГО    
в т.ч. из сети СН    
в т.ч. СН1    
в т.ч. СН11    
от электростанций ЭСО    
от других поставщиков (в т.ч. с оптового рынка)    
от других организаций (сальдо-переток)    
3.1 Потери электроэнергии в сети НН    
то же в %    
3.2 Отпуск из сети НН    
3.2.1 Потребителям сети НН    
в т.ч. собственным потребителям ЭСО    
потребителям, рассчитывающимся по прямым договорам    
3.2.2 Сальдо-переток в другие организации    

Таблица N П1.5

Электрическая мощность по диапазонам напряжения ЭСО (региональные электрические сети)

(в ред. Постановления ФЭК РФ от 14.05.2003 N 37-э/1)

(тыс. кВт)

N п/п Показатели Базовый период Период регулирования
1 2 3 4
  Среднемесячная за период суммарная заявленная (расчетная) мощность потребителей, пользующихся региональными электрическими сетями, в максимум нагрузки    
1. ОЭС    
1.1. в сети ВН    
1.2. в сети СН    
в т.ч. СН1    
в т.ч. СН11    
1.3. в сети НН    

Таблица N П1.6

Структура полезного отпуска электрической энергии (мощности) по группам потребителей ЭСО

(в ред. Постановления ФЭК РФ от 14.05.2003 N 37-э/1)

N п/п Группа потребителей Объем полезного отпуска электроэнергии, млн. кВт.ч Заявленная (расчетная) мощность, тыс. кВт Число часов использования, час Доля потребления на разных диапазонах напряжений, %
Всего ВН СН1 СН11 НН Всего ВН СН1 СН11 НН Всего ВН СН1 СН11 НН
1 2 3 4 5 6 7 8 9 10 11 12 13 14 15 16 17 18
Базовый период
1. Базовые потребители                                
Потребитель 1                                
Потребитель 2                                
...                                
2. Бюджетные потребители                                
3. Население                                
4. Прочие потребители                                
5. Итого                                
Период регулирования
1. Базовые потребители                                
Потребитель 1                                
Потребитель 2                                
...                                
2. Бюджетные потребители                                
3. Население                                
4. Прочие потребители                                
5. Итого                                

Таблица N П1.7

Расчет полезного отпуска тепловой энергии ЭСО (ПЭ)

(в ред. Постановления ФЭК РФ от 14.05.2003 N 37-э/1)

тыс. Гкал

п.п.   Базовый период Период регулирования
всего в том числе всего в том числе
горячая вода отборный пар в том числе горячая вода отборный пар в том числе
1,2 - 2,5 кг/см2 2,5 - 7,0 кг/см2 7,0 - 13,0 кг/см2 > 13 кг/см2 острый и редуцированный 1,2 - 2,5 кг/см2 2,5 - 7,0 кг/см2 7,0 - 13,0 кг/см2 > 13 кг/см2 острый и редуцированный
1 2 3 4 5 6 7 8 9 10 11 12 13 14 15 16 17 18
1. Отпуск теплоэнергии, всего                                
  в том числе: - с коллекторов ТЭС                                
  - от котельных                                
  - от электробойлерных                                
2. Покупная теплоэнергия                                
  в том числе:                                
  ...                                
3. Отпуск теплоэнергии в сеть ЭСО (п. 1 + п. 2)                                
4. Потери теплоэнергии в сети ЭСО                                
  То же в % к отпуску в сеть                                
5. Полезный отпуск теплоэнергии ЭСО (п. 3 - п. 4), всего                                

Примечание. Заполняется всего и отдельно по СЦТ. (в ред. Постановления ФЭК РФ от 14.05.2003 N 37-э/1)

Таблица N П1.8

Структура полезного отпуска тепловой энергии (мощности) по группам потребителей ЭСО

(в ред. Постановления ФЭК РФ от 14.05.2003 N 37-э/1)

N Потребители Базовый период Период регулирования
Мощность, Гкал/ час. Энергия, тыс. Гкал Число часов использ. мощности, час. Мощность, Гкал/ час. Энергия, тыс. Гкал Число часов использ. мощности, час.
1 2 3 4 5 6 7 8
1. Всего отпущено потребителям            
  Горячая вода            
  Отборный пар            
  - от 1,2 до 2,5 кг/кв. см            
  - от 2,5 до 7,0 кг/кв. см            
  - от 7,0 до 13,0 кг/кв. см            
  - свыше 13,0 кг/ кв. см            
  Острый и редуцированный            
1.1. Бюджетные потребители            
  Горячая вода            
  Отборный пар            
  - от 1,2 до 2,5 кг/кв. см            
  - от 2,5 до 7,0 кг/кв. см            
  - от 7,0 до 13,0 кг/кв. см            
  - свыше 13,0 кг/ кв. см            
  Острый и редуцированный            
1.2. Прочие потребители            
  Горячая вода            
  Отборный пар            
  - от 1,2 до 2,5 кг/кв. см            
  - от 2,5 до 7,0 кг/кв. см            
  - от 7,0 до 13,0 кг/кв. см            
  - свыше 13,0 кг/ кв. см            
  Острый и редуцированный            

Примечание. Заполняется всего и отдельно по СЦТ. (в ред. Постановления ФЭК РФ от 14.05.2003 N 37-э/1)

Таблица N П1.9

Расчет расхода топлива по электростанциям (котельным) ЭСО (ПЭ)

п/п Предприятие Электрическая энергия Тепловая энергия Расход условного топлива всего, тыс. тут
Выработка электроэнергии, млн. кВт.ч Расход электроэнергии на собственные нужды всего, млн. кВт.ч То же в % в том числе на электроэнергию То же в % Отпуск с шин, млн. кВт.ч Удельный расход условного топлива, г/ кВт.ч Расход условного топлива, тыс. тут Отпуск теплоэнергии, тыс. Гкал Собственные (производственные) нужды, кВт.ч/ Гкал Удельный расход условного топлива, г/ кВт.ч Расход условного топлива, тыс. тут
1 2 3 4 5 6 7 8 9 10 11 12 13 14 15
Базовый период
1. ТЭС                          
1.1. ...                          
2. Котельная                          
2.1. ...                          
3. Всего по ЭСО (ПЭ)                          
  в т.ч.                          
3.1. ТЭС                          
3.2 Котельные                          
Период регулирования
1. ТЭС                          
1.1. ...                          
2. Котельная                          
2.1. ...                          
3. Всего по ЭСО (ПЭ)                          
  в т.ч.                          
3.1. ТЭС                          
3.2 Котельные                          

Таблица N П1.10

Расчет баланса топлива по ЭСО (ПЭ)

Электростанция (котельная) Вид топлива Остаток на начало периода Приход натурального топлива <*> Расход натурального топлива Остаток на конец периода
Всего, тыс. т.н.т. Цена, руб./ т.н.т. Стоимость, тыс. руб. Всего, т.н.т. Цена франко станция отправления, руб./ т.н.т. Дальность перевозки Тариф на перевозку Норматив потерь при перевозке Цена франко станция назначения, руб./ т.н.т. Стоимость, тыс. руб. Всего, т.н.т. Цена, руб./ т.н.т. Стоимость, тыс. руб. Всего, тыс. т.н.т. Цена, руб./ т.н.т. Стоимость, тыс. руб.
1 2 3 4 5 6 7 8 9 10 11 12 13 14 15 16 17 18
        3 х 4           (7 + 8 х 9) х (1 + 10) 6 х 11   (5 + 12) / (3 + 6) 13 х 14 3 + 6 - 13 14 5 + 12 - 15
Базовый период
ТЭС 1 Уголь...                                
  Уголь...                                
  Мазут                                
  Торф                                
  Прочие                                
  ...                                
и т.д. ...                                
                                   
Всего ЭСО (ПЭ) Уголь...                                
  Уголь...                                
  Мазут                                
  Торф                                
  Прочие                                
Период регулирования
ТЭС 1 Уголь...                                
  Уголь...                                
  Мазут                                
  Торф                                
  Прочие                                
  ...                                
и т.д. ...                                
                                   
                                   
Всего ЭСО (ПЭ) Уголь...                                
  Уголь...                                
  Мазут                                
  Торф                                
  Прочие                                

<*> К таблице прилагается расшифровка по поставщикам топлива с указанием объемов поставок и согласованных (договорных) цен.

Таблица N П1.11

Расчет расходов на топливо для выработки электрической и тепловой энергии по ЭСО (ПЭ)

Наименование электростанции (котельной) Вид топлива Расход топлива Переводной коэффициент Цена топлива Стоимость топлива
тыс. тут тыс. т.н.т. (млн. м3) руб./ т.н.т. руб./ тут тыс. руб.
Всего Электроэнергия Теплоэнергия Всего Электроэнергия Теплоэнергия Всего Электроэнергия Теплоэнергия
1 2 3 4 5 6 7 8 9 10 11 12 13 14
Базовый период
ТЭС 1 Газ                        
  Мазут                        
  Уголь                        
  Торф                        
  Прочие                        
  ...                        
и т.д. ...                        
Всего ЭСО (ПЭ) Газ                        
  Мазут                        
  Уголь                        
  Торф                        
  Прочие                        
  ...                        
Период регулирования
ТЭС 1 Газ                        
  Мазут                        
  Уголь                        
  Торф                        
  Прочие                        
  ...                        
и т.д. ...                        
Всего ЭСО (ПЭ) Газ                        
  Мазут                        
  Уголь                        
  Торф                        
  Прочие                        
  ...                        

Таблица N П1.12

Расчет стоимости покупной энергии на технологические цели ЭСО (ПЭ)

п.п. Наименование поставщика Объем покупной энергии, млн. кВт.ч Расчетная мощность, тыс. кВт Тариф Затраты на покупку, тыс. руб.
Одноставочный Двухставочный
энергии мощности всего
Ставка за мощность Ставка за энергию
руб./т. кВт.ч руб./кВт руб./т. кВт.ч
1 2 3 4 5 6 7 8 9 10
Базовый период
  Электроэнергия                
1. Всего                
  в том числе                
1.1. оптовый рынок                
1.2. поставщик 1                
1.3. ...                
...                  
                   
  Теплоэнергия                
1. Всего                
  в том числе                
1.1. поставщик 1                
1.2. поставщик 2                
1.3. ...                
...                  
                   
3. Итого                
Период регулирования
  Электроэнергия                
1. Всего                
  в том числе                
1.1. оптовый рынок                
1.2. поставщик 1                
1.3. ...                
...                  
                   
  Теплоэнергия                
1. Всего                
  в том числе                
1.1. поставщик 1                
1.2. поставщик 2                
1.3. ...                
...                  
                   
3. Итого                

Примечание.

При покупке энергии по зонным тарифам столбцы 3, 5 и 10 заполняются по конкретному поставщику по периодам: пик, полупик, ночь.

При использовании одноставочного тарифа столбцы 4, 6, 7, 8 и 9 не заполняются.

Таблица N П1.13

Расчет суммы платы за услуги по организации функционирования и развитию ЕЭС России (до утверждения Правительством РФ перечня соответствующих услуг)

п.п. Наименование показателей Объем электроэнергии, млн. кВт.ч Размер платы за услуги, руб./ тыс. кВт.ч Сумма платы за услуги, тыс. руб.
1 2 3 4 5
  Базовый период      
         
         
         
  Период регулирования      
         
         
         

Таблица N П1.14

Расчет суммы платы за пользование водными объектами предприятиями гидроэнергетики (водный налог) ЭСО (ПЭ)

п.п. Наименование показателей Выработка электроэнергии, млн. кВт.ч Ставка водного налога коп./кВт.ч Сумма платы, тыс. руб.
1 2 3 4 5
  Базовый период      
1. ГЭС ПЭ (энергоснабжающей организации)      
         
  Период регулирования      
2. ГЭС ПЭ (энергоснабжающей организации)      
         

Таблица N П1.15

Смета расходов <*>

<*> Заполняется в целом и отдельно по: производству электрической энергии, производству тепловой энергии, передаче электрической энергии, передаче тепловой энергии.

тыс. руб.

п.п. Наименование показателя Базовый период Период регулирования
1 2 3 4
1. Сырье, основные материалы    
2. Вспомогательные материалы    
  из них на ремонт    
3. Работы и услуги производственного характера    
  из них на ремонт    
4. Топливо на технологические цели    
5. Энергия    
5.1. Энергия на технологические цели (покупная энергия Таблица N П1.12)    
5.2. Энергия на хозяйственные нужды    
6. Затраты на оплату труда    
  из них на ремонт    
7. Отчисления на социальные нужды    
  из них на ремонт    
8. Амортизация основных средств    
9. Прочие затраты всего, в том числе:    
9.1. Целевые средства на НИОКР    
9.2. Средства на страхование    
9.3. Плата за предельно допустимые выбросы (сбросы)    
9.4. Абонентная плата РАО "ЕЭС России" (до утверждения перечня соответствующих услуг) (Таблица N П1.13)    
9.5. Отчисления в ремонтный фонд (в случае его формирования)    
9.6. Водный налог (ГЭС)    
9.7. Непроизводственные расходы (налоги и другие обязательные платежи и сборы)    
9.7.1. Налог на землю    
9.7.2. Налог на пользователей автодорог    
9.8. Другие затраты, относимые на себестоимость продукции, всего    
  в т.ч.    
9.8.1. Арендная плата    
10. Итого расходов    
  из них на ремонт    
11. Недополученный по независящим причинам доход    
12. Избыток средств, полученный в предыдущем периоде регулирования    
13. Расчетные расходы по производству продукции (услуг)    
  в том числе:    
13.1. - электрическая энергия    
13.1.1. производство электроэнергии    
13.1.2. покупная электроэнергия    
13.1.3. передача электроэнергии    
13.2. - тепловая энергия    
13.2.1. производство теплоэнергии    
13.2.2. покупная теплоэнергия    
13.2.3. передача теплоэнергии    
13.3. - прочая продукция    

Таблица N П1.16

Расчет расходов на оплату труда <*>

<*> Заполняется в целом и отдельно по: производству электрической энергии, производству тепловой энергии, передаче электрической энергии, передаче тепловой энергии.

N Показатели Ед. изм. Базовый период Период регулирования
1 2 3 4 5
1. Численность      
  Численность ППП чел.    
2. Средняя оплата труда      
2.1. Тарифная ставка рабочего 1 разряда руб.    
2.2. Дефлятор по заработной плате      
2.3. Тарифная ставка рабочего 1 разряда с учетом дефлятора руб.    
2.4. Средняя ступень оплаты      
2.5. Тарифный коэффициент, соответствующий ступени по оплате труда руб.    
2.6. Среднемесячная тарифная ставка ППП - " -    
2.7. Выплаты, связанные с режимом работы с условиями труда 1 работника      
2.7.1. процент выплаты %    
2.7.2. сумма выплат руб.    
2.8. Текущее премирование      
2.8.1. процент выплаты %    
2.8.2. сумма выплат руб.    
2.9. Вознаграждение за выслугу лет      
2.9.1. процент выплаты %    
2.9.2. сумма выплат руб.    
2.10. Выплаты по итогам года      
2.10.1. процент выплаты %    
2.10.2. сумма выплат руб.    
2.11. Выплаты по районному коэффициенту и северные надбавки      
2.11.1. процент выплаты %    
2.11.2. сумма выплат руб.    
2.12. Итого среднемесячная оплата труда на 1 работника руб.    
3. Расчет средств на оплату труда ППП (включенного в себестоимость)      
3.1. Льготный проезд к месту отдыха тыс. руб.    
3.2. По Постановлению от 03.11.94 N 1206 - " -    
3.3. Итого средства на оплату труда ППП - " -    
4. Расчет средств на оплату труда непромышленного персонала (включенного в балансовую прибыль)      
4.1. Численность, принятая для расчета (базовый период - фактическая) чел.    
4.2. Среднемесячная оплата труда на 1 работника руб.    
4.3. Льготный проезд к месту отдыха тыс. руб.    
4.4. По Постановлению от 03.11.94 N 1206 тыс. руб.    
4.5. Итого средства на оплату труда непромышленного персонала тыс. руб.    
5. Расчет по денежным выплатам      
5.1. Численность всего, принятая для расчета (базовый период - фактическая) чел.    
5.2. Денежные выплаты на 1 работника руб.    
5.3. Итого по денежным выплатам тыс. руб.    
6. Итого средства на потребление тыс. руб.    
7. Среднемесячный доход на 1 работника руб.    

Таблица N П1.17

Расчет амортизационных отчислений на восстановление основных производственных фондов <*>

<*> Заполняется в целом и отдельно по: производству электрической энергии, производству тепловой энергии, передаче электрической энергии, по передаче тепловой энергии.

(тыс. руб.)

п/п Показатели Базовый период Период регулирования
1. Балансовая стоимость основных производственных фондов на начало периода регулирования    
2. Ввод основных производственных фондов    
3. Выбытие основных производственных фондов    
4. Средняя стоимость основных производственных фондов    
5. Средняя норма амортизации    
6. Сумма амортизационных отчислений    

Таблица N П1.18

Калькуляция расходов, связанных с производством и передачей электрической энергии

(тыс. руб.)

п.п. Калькуляционные статьи затрат Базовый период Период регулирования
1 2 3 4
1. Топливо на технологические цели    
2. Вода на технологические цели    
3. Основная оплата труда производственных рабочих    
4. Дополнительная оплата труда производственных рабочих    
5. Отчисления на соц. нужды с оплаты производственных рабочих    
6. Расходы по содержанию и эксплуатации оборудования, в том числе:    
6.1. амортизация производственного оборудования    
6.2. отчисления в ремонтный фонд    
6.4. другие расходы по содержанию и эксплуатации оборудования    
7. Расходы по подготовке и освоению производства (пусковые работы)    
8. Цеховые расходы    
9. Общехозяйственные расходы, всего, в том числе:    
9.1. Целевые средства на НИОКР    
9.2. Средства на страхование    
9.3. Плата за предельно допустимые выбросы (сбросы) загрязняющих веществ    
9.4. Абонентная плата РАО "ЕЭС России" (до утверждения перечня соответствующих услуг) (Таблица N П1.13)    
9.5. Отчисления в ремонтный фонд в случае его формирования    
9.6. Непроизводственные расходы (налоги и другие обязательные платежи и сборы) всего, в том числе:    
  - налог на землю    
  - налог на пользователей автодорог    
9.7. Другие затраты, относимые на себестоимость продукции, всего, в том числе:    
9.7.1. Арендная плата    
10. Водный налог (ГЭС)    
11. Покупная электроэнергия    
11.1. Относимая на условно - постоянные расходы    
11.2. Относимая на переменные расходы    
12. Недополученный по независящим причинам доход    
13. Избыток средств, полученный в предыдущем периоде регулирования    
14. Итого производственные расходы    
15. Полезный отпуск электроэнергии, млн. кВт.ч    
16. Удельные расходы, руб./тыс. кВт.ч    
  из них:    
  переменная составляющая    
  в том числе:    
  - топливная составляющая    
  - водный налог    
  - покупная электроэнергия    
17. Условно - постоянные расходы, в том числе:    
17.1. По источникам энергии    
17.2. По сетям    
17.3. Сумма общехозяйственных расходов    

Таблица N П1.18.1

Калькуляция расходов, связанных с производством электрической энергии ЭСО (ПЭ)

(тыс. руб.)

п.п. Калькуляционные статьи затрат Базовый период Период регулирования
1 2 3 4
1. Топливо на технологические цели    
2. Вода на технологические цели    
3. Основная оплата труда производственных рабочих    
4. Дополнительная оплата труда производственных рабочих    
5. Отчисления на соц. нужды с оплаты производственных рабочих    
6. Расходы по содержанию и эксплуатации оборудования, в том числе:    
6.1. амортизация производственного оборудования    
6.2. отчисления в ремонтный фонд в случае его формирования    
6.4. другие расходы по содержанию и эксплуатации оборудования    
7. Расходы по подготовке и освоению производства (пусковые работы)    
8. Цеховые расходы    
9. Общехозяйственные расходы, всего, в том числе:    
9.1. Целевые средства на НИОКР    
9.2. Средства на страхование    
9.3. Плата за предельно допустимые выбросы (сбросы) загрязняющих веществ    
9.4. Отчисления в ремонтный фонд    
9.5. Непроизводственные расходы (налоги и другие обязательные платежи и сборы) всего, в том числе:    
  - налог на землю    
  - налог на пользователей автодорог    
9.6. Другие затраты, относимые на себестоимость продукции, всего, в том числе:    
9.6.1. Арендная плата    
10. Водный налог (ГЭС)    
11. Недополученный по независящим причинам доход    
12. Избыток средств, полученный в предыдущем периоде регулирования    
13. Итого производственные расходы    
14. Отпуск электроэнергии с шин, млн. кВт.ч    
15. Удельные расходы, руб./тыс. кВт.ч,    
  из них:    
  переменная составляющая,    
  в том числе:    
  - топливная составляющая    
  - водный налог    
16. Условно - постоянные расходы, в том числе:    
16.1. Сумма общехозяйственных расходов    

Таблица N П1.18.2

Калькуляция расходов, связанных с передачей электрической энергии по ЭСО (по региональным электрическим сетям)

(в ред. Постановления ФЭК РФ от 14.05.2003 N 37-э/1)

(тыс. руб.)

п.п. Калькуляционные статьи затрат Базовый период Период регулирования
всего из них расходы на сбыт всего из них расходы на сбыт
1 2 3 4 5 6
1. Основная оплата труда производственных рабочих        
2. Дополнительная оплата труда производственных рабочих        
3. Отчисления на соц. нужды с оплаты производственных рабочих        
4. Расходы по содержанию и эксплуатации оборудования, в том числе:        
4.1. амортизация производственного оборудования        
4.2. отчисления в ремонтный фонд        
4.3. другие расходы по содержанию и эксплуатации оборудования        
5. Расходы по подготовке и освоению производства (пусковые работы)        
6. Цеховые расходы        
7. Общехозяйственные расходы, всего, в том числе:        
7.1. Целевые средства на НИОКР        
7.2. Средства на страхование        
7.3. Плата за предельно допустимые выбросы (сбросы) загрязняющих веществ        
7.4. Отчисления в ремонтный фонд в случае его формирования        
7.5. Непроизводственные расходы (налоги и другие обязательные платежи и сборы) всего, в том числе:        
  - налог на землю        
  - налог на пользователей автодорог        
7.6. Другие затраты, относимые на себестоимость продукции, всего, в том числе:        
7.6.1. Арендная плата        
8. Исключена.        
(в ред. Постановления ФЭК РФ от 14.05.2003 N 37-э/1)
9. Недополученный по независящим причинам доход        
10. Избыток средств, полученный в предыдущем периоде регулирования        
11. Итого производственные расходы        
12. Полезный отпуск электроэнергии, млн. кВт.ч        
13. Удельные расходы, руб./тыс. кВт.ч        
14. Условно - постоянные затраты, в том числе:        
14.1. Сумма общехозяйственных расходов        
15. Абонентная плата РАО "ЕЭС России".        
(в ред. Постановления ФЭК РФ от 14.05.2003 N 37-э/1)

Таблица N П1.19

Калькуляция расходов, связанных с производством и передачей тепловой энергии

(тыс. руб.)

п.п. Калькуляционные статьи затрат Базовый период Период регулирования
1 2 3 4
1. Топливо на технологические цели    
2. Вода на технологические цели    
3. Основная оплата труда производственных рабочих    
4. Дополнительная оплата труда производственных рабочих    
5. Отчисления на соц. нужды с оплаты производственных рабочих    
6. Расходы по содержанию и эксплуатации оборудования, в том числе:    
6.1. амортизация производственного оборудования    
6.2. отчисления в ремонтный фонд    
6.4. другие расходы по содержанию и эксплуатации оборудования    
7. Расходы по подготовке и освоению производства (пусковые работы)    
8. Цеховые расходы    
9. Общехозяйственные расходы, всего, в том числе:    
9.1. Целевые средства на НИОКР    
9.2. Средства на страхование    
9.3. Плата за предельно допустимые выбросы (сбросы) загрязняющих веществ    
9.4. Отчисления в ремонтный фонд в случае его формирования    
9.5. Непроизводственные расходы (налоги и другие обязательные платежи и сборы) всего, в том числе:    
  - налог на землю    
  - налог на пользователей автодорог    
9.6. Другие затраты, относимые на себестоимость продукции, всего, в том числе:    
9.6.1. Арендная плата    
10. Покупная теплоэнергия    
10.1. Относимая на условно - постоянные расходы    
10.2. Относимая на переменные расходы    
11. Недополученный по независящим причинам доход    
12. Избыток средств, полученный в предыдущем периоде регулирования    
13. Итого производственные расходы    
14. Полезный отпуск теплоэнергии, тыс. Гкал    
15. Удельные расходы, руб./Гкал,    
  из них:    
  переменная составляющая,    
  в том числе:    
  - топливная составляющая    
  - покупная теплоэнергия    
16. Условно - постоянные расходы, в том числе:    
16.1. По источникам энергии    
16.2. По сетям    
16.3. Сумма общехозяйственных расходов    

Таблица N П1.19.1

Калькуляция расходов, связанных с производством тепловой энергии ЭСО (ПЭ)

(тыс. руб.)

п.п. Калькуляционные статьи затрат Базовый период Период регулирования
1 2 3 4
1. Топливо на технологические цели, всего:    
2. Вода на технологические цели    
3. Основная оплата труда производственных рабочих    
4. Дополнительная оплата труда производственных рабочих    
5. Отчисления на соц. нужды с оплаты производственных рабочих    
6. Расходы по содержанию и эксплуатации оборудования, в том числе:    
6.1. амортизация производственного оборудования    
6.2. отчисления в ремонтный фонд    
6.4. другие расходы по содержанию и эксплуатации оборудования    
7. Расходы по подготовке и освоению производства (пусковые работы)    
8. Цеховые расходы    
9. Общехозяйственные расходы, всего, в том числе:    
9.1. Целевые средства на НИОКР    
9.2. Средства на страхование    
9.3. Плата за предельно допустимые выбросы (сбросы) загрязняющих веществ    
9.4. Отчислениям в ремонтный фонд в случае его формирования    
9.5. Непроизводственные расходы (налоги и другие обязательные платежи и сборы) всего, в том числе:    
  - налог на землю    
  - налог на пользователей автодорог    
9.6. Другие затраты, относимые на себестоимость продукции, всего, в том числе:    
9.6.1. Арендная плата    
10. Недополученный по независящим причинам доход    
11. Избыток средств, полученный в предыдущем периоде регулирования    
12. Итого производственные расходы    
13. Отпуск теплоэнергии, тыс. Гкал    
14. Удельные расходы, руб./Гкал,    
  в том числе:    
  - топливная составляющая    
15. Условно - постоянные расходы, в том числе:    
15.1. Сумма общехозяйственных расходов    

Таблица N П1.19.2

Калькуляция расходов, связанных с передачей тепловой энергии по ЭСО (по региональным тепловым сетям)

(тыс. руб.)

п.п. Калькуляционные статьи затрат Базовый период Период регулирования
всего из них расходы на сбыт всего из них расходы на сбыт
1 2 3 4 5 6
1. Вода на технологические цели        
2. Основная оплата труда производственных рабочих        
3. Дополнительная оплата труда производственных рабочих        
4. Отчисления на соц. нужды с оплаты производственных рабочих        
5. Расходы по содержанию и эксплуатации оборудования, в том числе:        
5.1. амортизация производственного оборудования        
5.2. отчисления в ремонтный фонд        
5.3. другие расходы по содержанию и эксплуатации оборудования        
6. Расходы по подготовке и освоению производства (пусковые работы)        
7. Цеховые расходы        
8. Общехозяйственные расходы, всего, в том числе:        
8.1. Целевые средства на НИОКР        
8.2. Средства на страхование        
8.3. Плата за предельно допустимые выбросы (сбросы) загрязняющих веществ        
8.4. Отчисления в ремонтный фонд в случае его формирования        
8.5. Непроизводственные расходы (налоги и другие обязательные платежи и сборы) всего, в том числе:        
  - налог на землю        
  - налог на пользователей автодорог        
8.6. Другие затраты, относимые на себестоимость продукции, всего, в том числе:        
8.6.1. Арендная плата        
9. Недополученный по независящим причинам доход        
10. Избыток средств, полученный в предыдущем периоде регулирования        
11. Итого производственные расходы        
12. Полезный отпуск тепловой энергии, тыс. Гкал        
13. Удельные расходы, руб./Гкал        
14. Условно - постоянные расходы, в том числе:        
14.1. Сумма общехозяйственных расходов        

Таблица N П1.20

Расчет источников финансирования капитальных вложений

(в ред. Постановления ФЭК РФ от 14.05.2003 N 37-э/1)

(тыс. руб.)

п.п. Наименование Базовый период Период регулирования
1 2 3 4
1. Объем капитальных вложений - всего    
  в том числе:    
  - на производственное и научно - техническое развитие    
  - на непроизводственное развитие    
2. Финансирование капитальных вложений из средств - всего    
2.1. Амортизационных отчислений на полное восстановление основных фондов (100%)    
2.2. Неиспользованных средств на начало года    
2.3. Федерального бюджета    
2.4. Местного бюджета    
(в ред. Постановления ФЭК РФ от 14.05.2003 N 37-э/1)
2.5. Регионального (республиканского, краевого, областного) бюджета    
2.6. Прочих    
2.7. Средства, полученные от реализации ценных бумаг    
2.8. Кредитные средства    
2.9. Итого по пп. 2.1 - 2.8    
2.10. Прибыль (п. 1 - п. 2.9):    
  - отнесенная на производство электрической энергии    
  - отнесенная на передачу электрической энергии    
  - отнесенная на производство тепловой энергии    
  - отнесенная на передачу тепловой энергии    

Таблица N П1.20.1

Справка о финансировании и освоении капитальных вложений по источникам электроэнергии (производство электроэнергии) по ЭСО (ПЭ)

(тыс. руб.)

Наименование строек Утверждено на базовый период В течение базового периода Остаток финансирования План на период регулирования Источник финансирования
Освоено фактически Профинансировано
1 2 3 4 5 6 7
Всего            
в т.ч.            
             
             
             
             

Таблица N П1.20.2

Справка о финансировании и освоении капитальных вложений по источникам теплоэнергии (производство теплоэнергии) по ЭСО (ПЭ)

(тыс. руб.)

Наименование строек Утверждено на базовый период В течение базового периода Остаток финансирования План на период регулирования Источник финансирования
Освоено фактически Профинансировано
1 2 3 4 5 6 7
Всего            
в т.ч.            
             
             
             
             

Таблица N П1.20.3

Справка о финансировании и освоении капитальных вложений в электросетевое строительство (передача электроэнергии) по ЭСО (по региональным электрическим сетям)

(тыс. руб.)

Наименование строек Утверждено на базовый период В течение базового периода Остаток финансирования План на период регулирования Источник финансирования
Освоено фактически Профинансировано
1 2 3 4 5 6 7
Всего            
в т.ч.            
             
             
             
             

Таблица N П1.20.4

Справка о финансировании и освоении капитальных вложений в теплосетевое строительство (передача теплоэнергии) по ЭСО (по региональным тепловым сетям)

(тыс. руб.)

Наименование строек Утверждено на базовый период В течение базового периода Остаток финансирования План на период регулирования Источник финансирования
Освоено фактически Профинансировано
1 2 3 4 5 6 7
Всего            
в т.ч.            
             
             
             
             

Таблица N П1.21

Расчет балансовой прибыли, принимаемой при установлении тарифов на электрическую и тепловую энергию

(тыс. руб.)

п.п. Наименование Базовый период Период регулирования
1 2 3 4
1. Прибыль на развитие производства    
  в том числе:    
  - капитальные вложения    
2. Прибыль на социальное развитие    
  в том числе:    
  - капитальные вложения    
3. Прибыль на поощрение    
4. Дивиденды по акциям    
5. Прибыль на прочие цели    
  - % за пользование кредитом    
  - услуги банка    
  - другие (с расшифровкой)    
6. Прибыль, облагаемая налогом    
7. Налоги, сборы, платежи - всего    
  в том числе:    
  - на прибыль    
  - на имущество    
  - плата за выбросы загрязняющих веществ    
  - другие налоги и обязательные сборы и платежи (с расшифровкой)    
8. Прибыль от товарной продукции    
8.1. За счет реализации электрической энергии    
8.1.1. - производство электрической энергии    
8.1.2. - передача электрической энергии    
8.2. За счет реализации тепловой энергии    
8.2.1. - производство тепловой энергии    
8.2.2. - передача тепловой энергии    

Таблица N П1.21.1

Расчет балансовой прибыли, принимаемой при установлении тарифов на производство электрической энергии ЭСО (ПЭ)

(тыс. руб.)

п.п. Наименование Базовый период Период регулирования
1 2 3 4
1. Прибыль на развитие производства    
в том числе:    
- капитальные вложения    
2. Прибыль на социальное развитие    
в том числе:    
- капитальные вложения    
3. Прибыль на поощрение    
4. Дивиденды по акциям    
5. Прибыль на прочие цели    
  - % за пользование кредитом    
  - услуги банка    
  - другие (с расшифровкой)    
6. Прибыль, облагаемая налогом    
7. Налоги, сборы, платежи - всего    
  в том числе:    
  - на прибыль    
  - на имущество    
  - плата за выбросы загрязняющих веществ    
  - другие налоги и обязательные сборы и платежи (с расшифровкой)    
8. Прибыль от товарной продукции    

Таблица N П1.21.2

Расчет балансовой прибыли, принимаемой при установлении тарифов на производство тепловой энергии ЭСО (ПЭ)

(тыс. руб.)

п.п. Наименование Базовый период Период регулирования
1 2 3 4
1. Прибыль на развитие производства    
в том числе:    
- капитальные вложения    
2. Прибыль на социальное развитие    
в том числе:    
- капитальные вложения    
3. Прибыль на поощрение    
4. Дивиденды по акциям    
5. Прибыль на прочие цели    
  - % за пользование кредитом    
  - услуги банка    
  - другие (с расшифровкой)    
6. Прибыль, облагаемая налогом    
7. Налоги, сборы, платежи - всего    
  в том числе:    
  - на прибыль    
  - на имущество    
  - плата за выбросы загрязняющих веществ    
- другие налоги и обязательные сборы и платежи (с расшифровкой)    
8. Прибыль от товарной продукции    

Таблица N П1.21.3

Расчет балансовой прибыли, принимаемой при установлении тарифов на передачу электрической энергии ЭСО (региональные электрические сети)

(тыс. руб.)

п.п. Наименование Базовый период Период регулирования
1 2 3 4
1. Прибыль на развитие производства    
в том числе:    
- капитальные вложения    
2. Прибыль на социальное развитие    
в том числе:    
- капитальные вложения    
3. Прибыль на поощрение    
4. Дивиденды по акциям    
5. Прибыль на прочие цели    
  - % за пользование кредитом    
  - услуги банка    
  - другие (с расшифровкой)    
6. Прибыль, облагаемая налогом    
7. Налоги, сборы, платежи - всего    
  в том числе:    
  - на прибыль    
  - на имущество    
  - плата за выбросы загрязняющих веществ    
- другие налоги и обязательные сборы и платежи (с расшифровкой)    
8. Прибыль от товарной продукции, в том числе:    
8.1. отнесенная на сбытовую деятельность    

Таблица N П1.21.4

Расчет балансовой прибыли, принимаемой при установлении тарифов на передачу тепловой энергии ЭСО (региональные тепловые сети)

(тыс. руб.)

п.п. Наименование Базовый период Период регулирования
1 2 3 4
1. Прибыль на развитие производства    
  в том числе:    
  - капитальные вложения    
2. Прибыль на социальное развитие    
  в том числе:    
  - капитальные вложения    
3. Прибыль на поощрение    
4. Дивиденды по акциям    
5. Прибыль на прочие цели    
  - % за пользование кредитом    
  - услуги банка    
  - другие (с расшифровкой)    
6. Прибыль, облагаемая налогом    
7. Налоги, сборы, платежи - всего    
  в том числе:    
  - на прибыль    
  - на имущество    
  - плата за выбросы загрязняющих веществ    
- другие налоги и обязательные сборы и платежи (с расшифровкой)    
8. Прибыль от товарной продукции, в том числе:    
8.1. отнесенная на сбытовую деятельность    

Таблица N П1.22

Расчет экономически обоснованного тарифа продажи ЭСО (ПЭ)

(в ред. Постановления ФЭК РФ от 14.05.2003 N 37-э/1)

п.п. Показатели Ед. изм. Электроэнергия Теплоэнергия Всего
Узел теплоснабжения N 1 Узел теплоснабжения N 2 Узел теплоснабжения N ... Всего:
1 2 3 4 5 6 7 8 9
1. Условно - переменные расходы тыс. руб.            
1.1. Электростанции ЭСО - всего            
  в т.ч. по источникам            
1.2. С оптового рынка            
1.3. ПЭ1 - всего            
  в т.ч. по источникам            
... ...            
2. Условно - постоянные расходы тыс. руб.            
2.1. Электростанции ЭСО - всего            
  в т. ч. по источникам            
2.2. С оптового рынка            
2.3. ПЭ1 - всего            
  в т.ч. по источникам            
... ...            
3. Расходы всего (п. 1 + п. 2) тыс. руб.            
3.1. Электростанции ЭСО - всего            
3.2. в т.ч. по источникам            
3.3. С оптового рынка            
  ПЭ1 - всего            
  в т.ч. по источникам            
... ...            
4. Прибыль тыс. руб.            
4.1. Исключена.            
(в ред. Постановления ФЭК РФ от 14.05.2003 N 37-э/1)
4.2. Исключена.              
(в ред. Постановления ФЭК РФ от 14.05.2003 N 37-э/1)
4.3. Исключена.              
(в ред. Постановления ФЭК РФ от 14.05.2003 N 37-э/1)
5. Рентабельность (п. 4 / п. 3 х 100%) %            
5.1. Электростанции ЭСО - всего            
  в т.ч. по источникам            
5.2. С оптового рынка            
5.3. ПЭ1 - всего            
  в т.ч. по источникам            
... ...            
6. Необходимая валовая выручка тыс. руб.            
6.1. Электростанции ЭСО - всего            
  в т.ч. по источникам            
6.2. С оптового рынка            
6.3. ПЭ1 - всего            
  в т.ч. по источникам            
... ...            
7. Установленная мощность, тыс. кВт тыс. кВт (Гкал/ час)            
7.1. Электростанции ЭСО - всего            
  в т.ч. по источникам            
7.2. С оптового рынка            
7.3. ПЭ1 - всего            
  в т.ч. по источникам            
... ...            
8. Отпуск энергии млн. кВт.ч (тыс. Гкал)            
8.1. Электростанции ЭСО - всего            
  в т.ч. по источникам            
8.2. С оптового рынка            
8.3. ПЭ1 - всего            
  в т.ч. по источникам            
... ...            
9. Средний одноставочный тариф продажи Т(гк(ср)) руб./ тыс. кВт.ч (руб./ Гкал)            
9.1. Электростанции ЭСО - всего            
  в т.ч. по источникам            
9.2. С оптового рынка            
9.3. ПЭ1 - всего            
  в т.ч. по источникам (расчетный)            
... ...            
10. Ставка за мощность руб./ тыс. кВт (руб./ Гкал/ час.)            
10.1. Электростанции ЭСО - всего            
  в т.ч. по источникам            
10.2. С оптового рынка            
10.3. ПЭ1 - всего            
  в т.ч. по источникам (расчетный)            
... ...            
11. Ставка за энергию руб./ тыс. кВт.ч (руб./ Гкал/)            
11.1. Электростанции ЭСО - всего            
  в т.ч. по источникам            
11.2. С оптового рынка            
11.3. ПЭ1 - всего            
  в т.ч. по источникам (расчетный)            
... ...            

Таблица N П1.23

Расчет экономически обоснованного тарифа покупки электроэнергии потребителями ЭСО

п.п.   Единицы измерения Базовый период Период регулирования
1 2 4 5 6
1. Полезный отпуск электрической энергии потребителям, всего млн. кВт.ч    
  в т.ч.      
1.1. Потребителям группы 1 млн. кВт.ч    
1.1.1. в том числе по базовой части тарифа (п. 1.1 х п. 3) млн. кВт.ч    
1.2. Потребителям групп 2 - 4 млн. кВт.ч    
2. Заявленная (расчетная) мощность потребителей, всего МВт. мес    
  в т.ч.      
2.1. Потребителям группы 1 МВт. мес    
2.1.1. в том числе по базовой части тарифа (п. 2.1 х п. 3) МВт. мес    
2.2. Потребителям групп 2 - 4 МВт. мес    
3. Доля полезного отпуска потребителей группы 1 в общем полезном отпуске потребителям К1 = п. 1.1 / п. 1      
4. Базовая часть тарифа группы 1 (п. 4.1 х п. 1.1.1 + п. 4.2 х п. 2.1.1 х М) / п. 1.1.1 руб./ МВт.ч    
4.1. ставка на энергию руб./ МВт.ч    
4.2. ставка на мощность руб./ МВт    
5. Оставшаяся часть тарифа группы 1 (п. 5.1 х (п. 1.1 - п. 1.1.1) + п. 5.2 х (п. 2.1 - п. 2.1.1) х М) / (п. 1.1 - п. 1.1.1) руб./ МВт.ч    
5.1. ставка на энергию руб./ МВт.ч    
5.2. ставка на мощность руб./ МВт    
6. Тариф покупки электроэнергии потребителями группы 1 руб./ МВт.ч    
6.1. ставка на энергию (п. 4.1 х п. 1.1.1 + п. 5.1 х (п. 1.1 - п. 1.1.1)) / п. 1.1 руб./ МВт.ч    
6.2. ставка на мощность (п. 4.2 х п. 2.1.1 + п. 5.2 х (п. 2.1 - п. 2.1.1)) / п. 2.1 руб./ МВт    
7. Тариф покупки электроэнергии потребителями групп 2 - 4 (п. 1.2 х п. 7.1 + п. 2.2 х п. 7.2 х М) / п. 1.2 руб./ МВт.ч    
7.1. ставка на энергию руб./ МВт.ч    
7.2. ставка на мощность руб./ МВт    

Таблица N П1.24

Расчет платы за услуги по содержанию электрических сетей ЭСО (региональные электрические сети)

(в ред. Постановления ФЭК РФ от 14.05.2003 N 37-э/1)

N п/п   Единицы измерения Базовый период Период регулирования
всего из них на сбыт всего из них на сбыт
1 2 3 4 5 6 7
1 Расходы, отнесенные на передачу электрической энергии (п. 11 табл. П. 1.18.2) тыс. руб.        
1.1 ВН          
1.2 СН          
в т.ч. СН1          
в т.ч. СН11          
1.3 НН          
2 Прибыль, отнесенная на передачу электрической энергии (п. 8 табл. П1.21.3) тыс. руб.        
2.1 ВН          
2.2 СН          
в т.ч. СН1          
в т.ч. СН11          
2.3 НН          
3 Рентабельность (п. 2/п. 1 x 100%) %        
3 Необходимая валовая выручка, отнесенная на передачу электрической энергии (п. 1 + п. 2) тыс. руб.        
3.1 ВН          
3.2 СН          
в т.ч. СН1          
в т.ч. СН11          
3.3 НН          
4 Среднемесячная за период суммарная заявленная (расчетная) мощность потребителей в максимум нагрузки ОЭС МВт. мес        
4.1 Суммарная по ВН, СН и НН (п. 1.1 + п. 1.2 + п. 1.3 табл. П1.5)          
4.2 Суммарная по СН и НН (п. 1.2 + п. 1.3 табл. П1.5)          
4.3 В сети НН (п. 1.3 табл. П1.5)          
5 Плата за услуги на содержание электрических сетей по диапазонам напряжения в расчете на 1 МВт согласно формулам (31) - (33) руб./МВт мес.        
5.1 ВН          
5.2 СН          
в т.ч. СН1          
в т.ч. СН11          
5.3 НН          
6 Плата за услуги на содержание электрических сетей по диапазонам напряжения в расчете на 1 МВтч согласно формулам (34) - (36) руб./ МВт.ч        
6.1 ВН          
6.2 СН          
в т.ч. СН1          
в т.ч. СН11          
6.3 НН          

Таблица N П1.24.1

Расчет платы за услуги по содержанию тепловых сетей ЭСО (региональные тепловые сети)

п.п.   Единицы измерения Базовый период Период регулирования
1 2 3 4 5
1. Затраты, отнесенные на передачу тепловой энергии (п. 11 табл. П.1.19.2), в т.ч. тыс. руб.    
Вода на технологические цели тыс. руб.    
Покупная энергия на производственные и хозяйственные нужды тыс. руб.    
1.1. водяные тепловые сети тыс. руб.    
1.2. паровые тепловые сети тыс. руб.    
2. Прибыль, отнесенная на передачу тепловой энергии (п. 8 табл. П.1.21.4) тыс. руб.    
2.1. водяные тепловые сети тыс. руб.    
2.2. паровые тепловые сети тыс. руб.    
3. Рентабельность (п. 2 / п. 1 х 100%) %    
4. Необходимая валовая выручка, отнесенная на передачу тепловой энергии (п. 1 + п. 2) тыс. руб.    
4.1. водяные тепловые сети тыс. руб.    
4.2. паровые тепловые сети тыс. руб.    
5. Полезный отпуск тепловой энергии собственным потребителям тыс. Гкал    
5.1. в горячей воде тыс. Гкал    
5.2. в паре тыс. Гкал    
6. Плата за услуги на содержание тепловых сетей согласно формулам (72) - (73) руб./ Гкал    
6.1. водяных тепловых сетей руб./ Гкал    
6.2. паровых тепловых сетей руб./ Гкал    

Таблица N П1.25

Расчет ставки по оплате технологического расхода (потерь) электрической энергии на ее передачу по сетям ЭСО (региональных электрических сетей)

(в ред. Постановления ФЭК РФ от 14.05.2003 N 37-э/1)

N п/п   Единицы измерения Базовый период Период регулирования
1 2 3 4 5
1. Ставка за электроэнергию тарифа покупки руб./ МВт.ч    
2. Отпуск электрической энергии в сеть с учетом величины сальдо-перетока электроэнергии млн. кВт.ч    
2.1. ВН      
2.2. СН      
в т.ч. СН1      
в т.ч. СН11      
2.3. НН      
3. Потери электрической энергии %    
3.1 ВН      
3.2. СН      
в т.ч. СН1      
в т.ч. СН11      
3.3. НН      
4. Полезный отпуск электрической энергии млн. кВт.ч    
4.1. ВН      
4.2. СН      
в т.ч. СН1      
в т.ч. СН11      
4.3. НН      
5. Расходы на компенсацию потерь тыс. руб.    
5.1. ВН      
5.2. СН      
в т.ч. СН1      
в т.ч. СН11      
5.3. НН      
4. Ставка на оплату технологического расхода (потерь) электрической энергии на ее передачу по сетям руб./ МВт.ч    
4.1. ВН      
4.2. СН      
в т.ч. СН1      
в т.ч. СН11      
4.3. НН      

Таблица N П1.25.1

Расчет ставки по оплате технологического расхода (потерь) тепловой энергии на ее передачу по сетям ЭСО (региональных тепловых сетей)

п.п.   Единицы измерения Базовый период Период регулирования
1 2 4 5 6
1. Тариф покупки тепловой энергии руб./ Гкал    
1.1. Бюджетные потребители руб./ Гкал    
1.2. Прочие потребители руб./ Гкал    
2. Отпуск тепловой энергии с коллекторов ЭСО (ГК) тыс. Гкал    
2.1. в виде горячей воды тыс. Гкал    
2.2. в виде пара тыс. Гкал    
3. Потери тепловой энергии %    
3.1. в водяных тепловых сетях      
3.2. в паровых тепловых сетях      
4. Расходы на компенсацию потерь тыс. руб.    
4.1. в водяных тепловых сетях тыс. руб.    
4.2. в паровых тепловых сетях тыс. руб.    
5. Ставка на оплату технологического расхода (потерь) тепловой энергии на ее передачу по сетям руб./ Гкал    
5.1. водяным тепловым сетям руб./ Гкал    
5.2. паровым тепловым сетям руб./ Гкал    

Таблица N П1.26

Расчет дифференцированных по времени суток ставок платы за электроэнергию по ЭСО (ПЭ)

(в ред. Постановления ФЭК РФ от 14.05.2003 N 37-э/1)

  Единицы измерения Базовый период Период регулирования
1 2 3 4 5
1. Полезный отпуск электроэнергии ПЭ (энергоснабжающей организации), всего, в т.ч.: млн. кВт.ч    
1.1. - в период ночных провалов графика нагрузки;      
1.2. - в часы максимальных (пиковых) нагрузок; млн. кВт.ч    
1.3. - в остальное время суток (полупик) млн. кВт.ч    
4. Условно - переменные расходы электроэнергии, отпущенной ПЭ (энергоснабжающей организацией) в период ночных провалов графика нагрузки тыс. руб.    
5. Средний одноставочный тариф на электроэнергию по ПЭ (энергоснабжающей организации) руб./ тыс. кВт.ч    
6. Тарифная ставка за электроэнергию в ночной зоне - тариф ночь (п. 4/п. 1.1) руб./ тыс. кВт.ч    
(в ред. Постановления ФЭК РФ от 14.05.2003 N 37-э/1)
7. Тарифная ставка за электроэнергию в полупиковой зоне - тариф полупик (п. 5/п. 1. руб./ тыс. кВт.ч    
(в ред. Постановления ФЭК РФ от 14.05.2003 N 37-э/1)
8. Тарифная ставка за электроэнергию в пиковой зоне - тариф пик (п. 5 x п. 1 - п. 6 x п. 1.1 - п. 7 x п. 1.3)/п. 1.2) руб./ тыс. кВт.ч    
(в ред. Постановления ФЭК РФ от 14.05.2003 N 37-э/1)

Таблица N П1.27

Экономически обоснованные тарифы на электрическую энергию (мощность) по группам потребителей ЭСО

(в ред. Постановления ФЭК РФ от 14.05.2003 N 37-э/1)

N Группа потребителей Ед. изм. Базовые потребители В том числе Бюджетные потребители
Потребитель 1
Всего ВН СН НН Всего ВН СН НН Всего ВН СН НН
1 2   3 4 5 6 7 8 9 10 10 11 12 13
1. Объем полезного отпуска млн. кВт.ч                        
2. Заявленная мощность МВт                        
3. Тариф на покупку электрической энергии руб./ МВт.ч                        
3.1. Ставка за мощность руб./ МВт.мес                        
3.2. Ставка за энергию руб./ МВт.ч                        
4. Стоимость единицы услуг руб./ МВт.ч                        
4.1. Плата за услуги по передаче электрической энергии руб./ МВт.ч                        
4.1.1. Ставка на содержание электросетей руб./ МВт.мес                        
4.1.2. Ставка по оплате потерь руб./ МВт.ч                        
4.2. Плата за иные услуги руб./ МВт.мес                        
5. Средний одноставочный тариф п. 3 + п. 4 руб./ МВт.ч                        
5.1. Плата за мощность п. 3.1 + п. 4.1.1 + п. 4.2 руб./ МВт.мес                        
5.2. Плата за энергию п. 3.2 + п. 4.1.2 руб./ МВт.ч                        
6. Товарная продукция всего п. 5 х п.1 тыс. руб.                        
  в том числе                          
6.1. - за электроэнергию (мощность) п. 3 х п. 1 тыс. руб.                        
6.2. - за услуги п. 4 х п. 1 + тыс. руб.                        
(в ред. Постановления ФЭК РФ от 14.05.2003 N 37-э/1)
То же п. 6                          
6.1. - за мощность п. 5.1 х п. 2 х М тыс. руб.                        
6.2. - за электрическую энергию п. 5.2 х п. 1 тыс. руб.                        

Продолжение Таблицы N П1.27

N Группа потребителей Ед. изм. Население Прочие Всего
Всего ВН СН НН Всего ВН СН НН Всего ВН СН НН
1 2   3 4 5 6 7 8 9 10 10 11 12 13
1. Объем полезного отпуска млн. кВт.ч                        
2. Заявленная мощность МВт                        
3. Тариф на покупку электрической энергии руб./ МВт.ч                        
3.1. Ставка за мощность руб./ МВт. мес                        
3.2. Ставка за энергию руб./ МВт.ч                        
4. Стоимость единицы услуг руб./ МВт.ч                        
4.1. Плата за услуги по передаче электрической энергии руб./ МВт.ч                        
4.1.1. Ставка на содержание электросетей руб./ МВт. мес                        
4.1.2. Ставка по оплате потерь руб./ МВт.ч                        
4.2. Плата за иные услуги руб./ МВт. мес                        
5. Средний одноставочный тариф п. 3 + п. 4 руб./ МВт.ч                        
5.1. Плата за мощность п. 3.1 + п. 4.1.1 + п. 4.2 руб./ МВт. мес                        
5.2. Плата за энергию п. 3.2 + п. 4.1.2 руб./ МВт.ч                        
6. Товарная продукция всего п. 5 х п. 1 тыс. руб.                        
6.1. - за электроэнергию (мощность) п. 3 х п. 1 тыс. руб.                        
6.2. - за услуги п. 4 х п. 1 тыс. руб.                        
То же п. 6                          
6.1. - за мощность п. 5.1 х п. 2 х М тыс. руб.                        
6.2. - за электрическую энергию п. 5.2 х п. 1 тыс. руб.                        

Таблица N П1.28

Расчет одноставочных экономически обоснованных тарифов на тепловую энергию по СЦТ ЭСО (ПЭ)

(в ред. Постановления ФЭК РФ от 14.05.2003 N 37-э/1)

Потребители Энергия, тыс. Гкал Число часов использ. максим. мощности, час. Ставка за мощность, руб./ Гкал/ час. Ставка за энергию, руб./ Гкал Одноставочный тариф, руб./ Гкал Сумма реализации, тыс. руб.
1 2 3 4 5 6 7 8
1. Потребитель, получающий тепловую энергию непосредственно с коллекторов ТЭЦ и котельных            
  - горячая вода            
  - пар от 1,2 до 2,5 кгс/см2            
  - пар от 2,5 до 7,0 кгс/см2            
  - пар от 7,0 до 13,0 кгс/см2            
  - пар свыше 13,0 кгс/см2            
  - острый и редуцированный пар            

Таблица N П1.28.1

Расчет ставок платы за тепловую мощность для потребителей пара и горячей воды по СЦТ ЭСО (ПЭ)

(в ред. Постановления ФЭК РФ от 14.05.2003 N 37-э/1)

  Единицы измерения Базовый период Период регулир.
1 2 3 4 5
1 Общая составляющая постоянных расходов и прибыли энергоснабжающей организации тыс. руб.    
2 Средняя за период регулирования тепловая нагрузка (в виде пара и горячей воды) всех потребителей Гкал/ час.    
3 Общая ставка платы за тепловую мощность руб./ Гкал/ час.    

Таблица N П1.28.2

Расчет дифференцированных ставок за теплоэнергию для потребителей пара различных параметров и горячей воды по СЦТ ЭСО (ПЭ)

(в ред. Постановления ФЭК РФ от 14.05.2003 N 37-э/1)

  Единицы измерения Базовый период Период регулир.
1 2 3 4 5
1 Приведенный удельный расход топлива на 1 Гкал теплоэнергии, отпущенной с коллекторов ТЭС кг/Гкал    
2 Тарифные ставки за энергию для потребителей пара руб./ Гкал    
  - отборный пар от 1,2 до 2,5 кгс/см2 руб./ Гкал    
  - отборный пар от 2,5 до 7,0 кгс/см2 руб./ Гкал    
  - отборный пар от 7,0 до 13,0 кгс/см2 руб./ Гкал    
  - отборный пар свыше 13,0 кгс/ см2 руб./ Гкал    
  - острый и редуцированный пар руб./ Гкал    
3 Тарифная ставка за энергию для потребителей горячей воды с коллекторов ТЭС руб./ Гкал    
4 Удельный расход топлива на 1 Гкал теплоэнергии, отпущенной в виде горячей воды кг/Гкал    
6 Тарифные ставки за энергию для потребителей горячей воды руб./ Гкал    

Таблица N П1.28.3

Расчет экономически обоснованных тарифов на тепловую энергию (мощность) по группам потребителей ЭСО

N Группа потребителей Ед. изм. Всего Бюджетные потребители Прочие потребители
горячая вода отборный пар в том числе горячая вода отборный пар в том числе
1,2 - 2,5 кг/см2 2,5 - 7,0 кг/см2 7,0 - 13,0 кг/см2 > 13 кг/см2 острый и редуцированный 1,2 - 2,5 кг/см2 2,5 - 7,0 кг/см2 7,0 - 13,0 кг/см2 > 13 кг/см2 острый и редуцированный
1 2 3 4 5 6 7 8 9 10 11 12 13 14 15 16 17 18
1. Объем полезного отпуска тыс. Гкал                              
2. Расчетная мощность Гкал/ час.                              
3. Тариф на покупку тепловой энергии руб./ Гкал                              
3.1. Ставка за мощность руб./ Гкал/ час.                              
3.2. Ставка за энергию руб./ Гкал                              
4. Плата за услуги по передаче тепловой энергии руб./ Гкал                              
4.1. Ставка на содержание тепловых сетей руб./ Гкал                              
4.2. Ставка по оплате потерь руб./ Гкал                              
5. Средний одноставочный тариф п. 3 + п. 4 руб./ Гкал                              
6. Товарная продукция всего п. 5 х п. 1 тыс. руб.                              
  в том числе                                
6.1. - за тепловую энергию п. 3 х п. 1 тыс. руб.                              
6.2. - за услуги п. 4 х п. 1 тыс. руб.                              

Таблица N П1.29

Укрупненная структура тарифа на электроэнергию для конечных потребителей

(в ред. Постановления ФЭК РФ от 14.05.2003 N 37-э/1)

N п/п Показатель Ед. изм. Стоимость покупки единицы электроэнергии Ставка абонентной платы Диапазоны напряжения Зонные тарифы
ВН СН1 СН11 НН Ночная зона Полупиковая зона Пиковая зона
1 2 3 4 5 6 7 8 9 10 11 12
1. Базовые потребители                    
                       
1.1. Потребитель 1                    
Одноставочный тариф руб./тыс. кВт.ч                  
Двухставочный тариф                    
Ставка за мощность руб./МВт. мес                  
Ставка за энергию руб./тыс. кВт.ч                  
1.2. Потребитель 2                    
Одноставочный тариф руб./тыс. кВт.ч                  
Двухставочный тариф                    
Ставка за мощность руб./МВт. мес                  
Ставка за энергию руб./тыс. кВт.ч                  
1.3. ...                    
2. Бюджетные потребители                    
Одноставочный тариф руб./тыс. кВт.ч                  
Двухставочный тариф                    
Ставка за мощность руб./МВт. мес                  
Ставка за энергию руб./тыс. кВт.ч                  
3. Население                    
Одноставочный тариф руб./тыс. кВт.ч                  
4. Прочие потребители                    
Одноставочный тариф руб./тыс. кВт.ч                  
Двухставочный тариф                    
Ставка за мощность руб./МВт. мес                  
Ставка за энергию руб./тыс. кВт.ч                  

Приложение 2

РАСЧЕТ УСЛОВНЫХ ЕДИНИЦ
ДЛЯ РАСПРЕДЕЛЕНИЯ ОБЩЕЙ НЕОБХОДИМОЙ ВАЛОВОЙ ВЫРУЧКИ НА СОДЕРЖАНИЕ ЭЛЕКТРИЧЕСКИХ СЕТЕЙ ПО УРОВНЯМ НАПРЯЖЕНИЯ

(в ред. Постановления ФЭК РФ от 14.05.2003 N 37-э/1)

Таблица N П2.1

Система условных единиц для распределения общей суммы тарифной выручки по классам напряжения

Объем воздушных линий электропередач (ВЛЭП) и кабельных линий электропередач (КЛЭП) в условных единицах в зависимости от протяженности, напряжения, конструктивного использования и материала опор

(в ред. Постановления ФЭК РФ от 14.05.2003 N 37-э/1)

Напряжение, кВ Количество цепей на опоре Материал опор Количество условных единиц (у) на 100 км трассы ЛЭП Протяженность Объем условных единиц
у/100 км км у
1 2 3 4 5 6 7 = 5 x 6/100
(в ред. Постановления ФЭК РФ от 14.05.2003 N 37-э/1)
ВЛЭП 1150   металл 800    
750 1 металл 600    
400 - 500 1 металл 400    
ж/бетон 300    
330 1 металл 230    
ж/бетон 170    
2 металл 290    
ж/бетон 210    
220 1 дерево 260    
металл 210    
ж/бетон 140    
2 металл 270    
ж/бетон 180    
110 - 150 1 дерево 180    
металл 160    
ж/бетон 130    
2 металл 190    
ж/бетон 160    
КЛЭП 220     3000    
110     2300    
ВН, всего  
ВЛЭП 35 1 дерево 170    
металл 140    
ж/бетон 120    
2 металл 180    
ж/бетон 150    
1 - 20   дерево 160    
дерево на ж/б пасынках 140    
ж/бетон, металл 110    
КЛЭП 20 - 35     470    
3 - 10     350    
СН, всего  
ВЛЭП 0,4 кВ   дерево 260    
дерево на ж/б пасынках 220    
ж/бетон, металл 150    
КЛЭП до 1 кВ     270    
НН, всего

Примечание.

При расчете условных единиц протяженность ВЛЭП - 0,4 кВ от линии до ввода в здании не учитывается.

Условные единицы по ВЛЭП - 0,4 кВ учитывают трудозатраты на обслуживание и ремонт:

а) воздушных линий в здании и

б) линий с совместной подвеской проводов.

Условные единицы по ВЛЭП 0,4 - 20 кВ учитывают трудозатраты оперативного персонала распределительных сетей 0,4 - 20 кВ.

Кабельные вводы учтены в условных единицах КЛЭП напряжением до 1 кВ.

Таблица N П2.2

Объем подстанций 35 - 1150 кВ, трансформаторных подстанций (ТП), комплексных трансформаторных подстанций (КТП) и распределительных пунктов (РП) 0,4 - 20 кВ в условных единицах

(в ред. Постановления ФЭК РФ от 14.05.2003 N 37-э/1)

п/п Наименование Единица измерения Напряжение, кВ Количество условных единиц (у) на единицу измерения Количество единиц измерения Объем условных единиц
у/ед. изм. ед. изм. у
1 2 3 4 5 6 7 = 5 х 6
1 Подстанция П/ст 1150 1000    
750 600    
400 - 500 500    
330 250    
220 210    
110 - 150 105    
35 75    
2 Силовой трансформатор или реактор (одно- или трехфазный), или вольтодобавочный трансформатор Единица оборудования 1150 60    
750 43    
400 - 500 28    
330 18    
220 14    
110 - 150 7,8    
35 2,1    
1 - 20 1,0    
3 Воздушный выключатель 3 фазы 1150 180    
750 130    
400 - 500 88    
330 66    
220 43    
110 - 150 26    
35 11    
1 - 20 5,5    
4 Масляный выключатель - " - 220 23    
110 - 150 14    
35 6,4    
1 - 20 3,1    
5 Отделитель с короткозамыкателем Единица оборудования 400 - 500 35    
330 24    
220 19    
110 - 150 9,5    
35 4,7    
6 Выключатель нагрузки - " - 1 - 20 2,3    
7 Синхронный компенсатор мощн. 50 Мвар - " - 1 - 20 26    
8 То же, 50 Мвар и более - " - 1 - 20 48    
9 Статические конденсаторы 100 конд. 35 2,4    
1 - 20 2,4    
10 Мачтовая (столбовая) ТП ТП 1 - 20 2,5    
11 Однотрансформаторная ТП, КТП ТП, КТП 1 - 20 2,3    
12 Двухтрансформаторная ТП, КТП ТП, КТП 1 - 20 3    
13 Однотрансформаторная подстанция 34 / 0,4 кВ п/ст 35 3,5    
14 Итого ВН        
СН        
НН        

Примечание.

В п. 1 учтены трудозатраты оперативного персонала подстанций напряжением 35 - 1150 кВ.

Условные единицы по п. п. 2 - 9 учитывают трудозатраты по обслуживанию и ремонту оборудования, не включенного в номенклатуру условных единиц (трансформаторы напряжения, аккумуляторные батареи, сборные шины и т.д.), резервного оборудования.

Условные единицы по п. 2 "Силовые трансформаторы 1 - 20 кВ" определяются только для трансформаторов, используемых для собственных нужд подстанций 35 - 1150 кВ.

По п. п. 3 - 6 учтены дополнительные трудозатраты на обслуживание и ремонт устройств релейной защиты и автоматики, а для воздушных выключателей (п. 3) - дополнительно трудозатраты по обслуживанию и ремонту компрессорных установок.

Значение условных единиц п. п. 4 и 6 "Масляные выключатели 1 - 20 кВ" и "Выключатели нагрузки 1 - 20 кВ" относятся к коммутационным аппаратам, установленным в распределительных устройствах 1 - 20 кВ подстанций 35 - 1150 кВ, ТП, КТП и РП 1 - 20 кВ, а также к секционирующим коммутационным аппаратам на линиях 1 - 20 кВ.

Объем РП 1 - 20 кВ в условных единицах определяется по количеству установленных масляных выключателей (п. 4) и выключателей нагрузки (п. 6). При установке в РП трансформаторов 1 - 20 / 0,4 кВ дополнительные объемы обслуживания определяются по п. 11 или 12.

По п. п. 10 - 12 дополнительно учтены трудозатраты оперативного персонала распределительных сетей 0,4 - 20 кВ.

По п. п. 1, 2 условные единицы относятся на уровень напряжения, соответствующий первичному напряжению. (в ред. Постановления ФЭК РФ от 14.05.2003 N 37-э/1)

Условные единицы электрооборудования понизительных подстанций относятся на уровень высшего напряжения подстанций. (в ред. Постановления ФЭК РФ от 14.05.2003 N 37-э/1)

Приложение 3

ОПРЕДЕЛЕНИЕ ЭКСПЛУАТАЦИОННЫХ ТЕХНОЛОГИЧЕСКИХ ЗАТРАТ (ПОТЕРЬ) РЕСУРСОВ, УЧИТЫВАЕМЫХ ПРИ РАСЧЕТЕ УСЛУГ ПО ПЕРЕДАЧЕ ТЕПЛОВОЙ ЭНЕРГИИ И ТЕПЛОНОСИТЕЛЕЙ

(в ред. Постановления ФЭК РФ от 14.05.2003 N 37-э/1)

К эксплуатационным технологическим затратам ресурсов относятся затраты и потери тепловой энергии и теплоносителей, обусловленные примененными техническими решениями и техническим состоянием оборудования, обеспечивающими надежное теплоснабжение потребителей и безопасные условия эксплуатации систем транспорта, находящихся на балансе организации, осуществляющей передачу тепловой энергии и теплоносителей.

К эксплуатационным технологическим затратам и потерям относятся:

- затраты и потери теплоносителя (сетевой воды, пара) в пределах установленных норм;

- потери тепловой энергии с затратами и потерями теплоносителя и через теплоизоляционные конструкции;

- затраты электрической энергии на привод насосного и другого оборудования, обеспечивающего функционирование систем транспорта тепловой энергии и теплоносителей, находящихся на балансе организации, осуществляющей передачу тепловой энергии и теплоносителей.

1. ОПРЕДЕЛЕНИЕ НОРМАТИВНЫХ ЭКСПЛУАТАЦИОННЫХ ТЕХНОЛОГИЧЕСКИХ ЗАТРАТ И ПОТЕРЬ ТЕПЛОНОСИТЕЛЕЙ

1.1. Теплоноситель "вода"

1.1.1. К технологическим затратам сетевой воды относятся:

- затраты теплоносителя на заполнение трубопроводов тепловых сетей перед пуском после плановых ремонтов, а также при подключении новых участков тепловых сетей;

- технологические сливы теплоносителя средствами автоматического регулирования тепловой нагрузки и защиты;

- технически обусловленные затраты теплоносителя на плановые эксплуатационные испытания.

1.1.2. К утечке теплоносителя относятся технически неизбежные в процессе передачи и распределения тепловой энергии потери теплоносителя через неплотности в арматуре и трубопроводах тепловых сетей в регламентированных в [4] пределах.

1.1.3. Потери теплоносителя при авариях и других нарушениях нормального режима эксплуатации, а также превышающие нормативные значения показателей, приведенных выше, в утечку не включаются и являются непроизводительными потерями.

1.1.4. Технологические затраты теплоносителя, связанные с вводом в эксплуатацию трубопроводов тепловых сетей, как новых, так и после планового ремонта или реконструкции, принимаются условно в размере 1,5-кратной емкости тепловой сети, находящейся на балансе организации, осуществляющей передачу тепловой энергии и теплоносителей [5], [6].

1.1.5. Технологические затраты теплоносителя, обусловленные его сливом приборами автоматики и защиты тепловых сетей и систем теплопотребления, определены конструкцией и технологией обеспечения нормального функционирования этих приборов.

Размеры затрат устанавливаются на основе паспортной информации или технических условий на указанные приборы и уточняются в результате их регулировки. Значения годовых потерь теплоносителя в результате слива из этих приборов определяются по формуле:

Gа,н = SUM(m x N x n), м3, (1)

где:

m - технически обоснованный расход теплоносителя, сливаемого каждым из установленных средств автоматики или защиты, м3/ч;

N - количество функционирующих средств автоматики и защиты одного типа, шт.;

n - продолжительность функционирования однотипных средств автоматики и защиты в течение года, ч.

1.1.6. Технологические затраты теплоносителя при плановых эксплуатационных испытаниях тепловых сетей включают потери теплоносителя при выполнении подготовительных работ, отключении участков трубопроводов, их опорожнении и последующем заполнении. Нормирование этих затрат теплоносителя производится с учетом регламентируемой нормативными документами периодичности проведения упомянутых работ, а также эксплуатационных норм затрат, утвержденных в установленном порядке, для каждого вида работ в тепловых сетях и системах теплопотребления, находящихся на балансе организации, осуществляющей передачу тепловой энергии и теплоносителя.

1.1.7. Нормативные значения годовых потерь теплоносителя, обусловленных утечкой теплоносителя, определяются по формуле:

Gут.н = альфа x Vср.год x nгод = му.год.н x nгод, м3,   (2)  
100    

где:

альфа - норма среднегодовой утечки теплоносителя, (м3/чм3), установленная [4], в пределах 0,25% среднегодовой емкости трубопроводов тепловой сети в час;

Vcp.год - среднегодовая емкость тепловой сети и систем теплопотребления, м3;

nгод - продолжительность функционирования тепловой сети в течение года, ч;

му.год.н - среднечасовая норма потерь теплоносителя, обусловленных утечкой, м3/ч.

Значение среднегодовой емкости тепловых сетей определяется по формуле:

Vгод = Vот x nот + Vл x nл = Vот x nот + Vл x nл м3   (3)
nот + nл nгод  

где:

Vот и Vл - емкость трубопроводов тепловой сети соответственно в отопительном и неотопительном периодах, м3;

nот и nл - продолжительность функционирования тепловой сети соответственно в отопительном и неотопительном периодах, ч.

При определении емкости трубопроводов тепловых сетей рекомендуется пользоваться информацией, приведенной в [7], [8].

1.1.8. При необходимости разделение затрат системы теплоснабжения по сезонам работы осуществляется в соответствии с [7], [8].

1.2. Теплоноситель "пар"

1.2.1. Потери теплоносителя - пара - могут не учитываться, если доля отпуска тепловой энергии с паром в общем количестве отпускаемого тепла составляет менее 20%.

1.2.2. При преобладающей доле паровой нагрузки в общем балансе тепловой нагрузки системы теплоснабжения, а также при необходимости учета потерь теплоты с потерями пара, нормируемые потери пара могут быть определены по нормам для водяных тепловых по формуле:

где:

ро_пар - плотность пара при средних давлении и температуре по магистралям от источника тепла до потребителя, кг/м3;

- среднегодовой объем паровых сетей на находящихся балансе организации, осуществляющей передачу тепловой энергии и теплоносителя, м3, определяемый по формуле (3);

n - среднегодовое число часов работы паровых сетей, ч.

1.2.3. Среднее давление пара в паровых сетях определяется по формуле:

где:

Рн, Рк - соответственно, начальное и конечное давления пара на источнике теплоты и у потребителей по каждой паровой магистрали по периодам работы nconst (ч), с относительно постоянными значениями давлений, кгс/см2;

nгод - число часов работы каждой паровой магистрали в течение года, ч;

k - количество паровых магистралей.

Средняя температура пара определяется по формуле:

где:

Т_н, Т_к - соответственно, начальная и конечная температуры пара на источнике теплоты и у потребителей по каждой паровой магистрали по периодам работы n_const (ч), с относительно постоянными значениями давлений.

1.2.4. Потери конденсата учитываются по норме для водяных тепловых сетей в размере 0,0025 от среднегодового объема конденсатопроводов , м3, при соответствующей плотности воды (конденсата) ро_конд, по формуле:

При этом не учитывается "невозврат" конденсата (при его использовании или потере) потребителем.

2. ОПРЕДЕЛЕНИЕ НОРМАТИВНЫХ ЭКСПЛУАТАЦИОННЫХ ТЕХНОЛОГИЧЕСКИХ ЗАТРАТ И ПОТЕРЬ ТЕПЛОВОЙ ЭНЕРГИИ

Нормативные затраты и потери тепловой энергии определяются двумя составляющими:

- затратами и потерями тепловой энергии с потерями теплоносителя;

- потерями тепловой энергии через теплоизоляционные конструкции трубопроводов и оборудование систем транспорта.

2.1. Определение нормативных эксплуатационных технологических затрат и потерь тепловой энергии с потерями теплоносителя "вода".

Потери тепловой энергии определяются по отдельным составляющим затрат и потерь сетевой воды в соответствии с разделом 1.1 настоящего Приложения с последующим суммированием.

2.1.1. Нормативные значения годовых технологических тепловых потерь с утечкой теплоносителя из трубопроводов тепловых сетей определяются по формуле:

Qy.н = my.н.год x рогод x с x [b x t1год + (1-b) x t2год - tх.год] x nгод x 1E(-6), Гкал (ГДж) (8)

где:

рогод - среднегодовая плотность теплоносителя при среднем значении температуры теплоносителя в подающем и обратном трубопроводах тепловой сети, кг/м3;

t1год, t2год - среднегодовые значения температуры соответственно теплоносителя в подающем и обратном трубопроводах тепловой сети, град. С;

tх.год - среднегодовое значение температуры холодной воды, подаваемой на источник теплоснабжения и используемой затем для подпитки тепловой сети, град. С;

с - удельная теплоемкость теплоносителя (сетевой воды), ккал/кг x град. С;

b - доля массового расхода теплоносителя, теряемого подающим трубопроводом (при отсутствии данных принимается равной 0,75).

Среднегодовые значения температуры теплоносителя в подающем и обратном трубопроводах тепловой сети определяются как средние из ожидаемых среднемесячных значений температуры теплоносителя по применяемому в системе теплоснабжения графику регулирования тепловой нагрузки, соответствующих ожидаемым среднемесячным значениям температуры наружного воздуха на всем протяжении функционирования тепловой сети в течение года.

Ожидаемые среднемесячные значения температуры наружного воздуха определяются как средние из соответствующих статистических значений по информации метеорологической станции за последние 5 лет (при отсутствии таковой - по климатологическому справочнику или соответствующей главе СНиП).

Среднегодовое значение температуры холодной воды, подаваемой на источник теплоснабжения для подпитки тепловой сети, определяется по формуле:

tx.год = tх.от x nот + tх.л x nл , град. С   (9)
nот + nл  

где:

tx.от, tх.л - значения температуры холодной воды, поступающей на источник теплоснабжения соответственно в отопительном и неотопительном периодах, град. С (при отсутствии достоверной информации tx.от = 5 град. C, tх.л = 15 град. C).

2.1.2. Нормативные технологические затраты тепловой энергии на заполнение трубопроводов после проведения планового ремонта и пуск в эксплуатацию новых сетей определяются по формуле:

Qзап = 1,5 x Vтр x с x ро x (tзап - tx) x 1E(-6), Гкал (ГДж) (10)

где:

1,5 x Vтр - затраты сетевой воды на заполнение трубопроводов и оборудования, находящегося на балансе организации, осуществляющей передачу тепловой энергии, м3;

tзап, tx - соответственно температуры сетевой воды при заполнении и холодной воды в этот период, град. С.

2.1.3. Нормативные технологические затраты тепловой энергии со сливами из средств авторегулирования и защиты (САРЗ) определяются по формуле:

Qa.н = Ga.н x c x ро x (tсл - tx) x 1E(-6), Гкал (ГДж) (11)

где:

Ga.н - затраты сетевой воды со сливами из САРЗ, определяемые в соответствии с п. 1.1.5, м3;

tсл, tx - соответственно температура сетевой воды, определяемая в зависимости от места установка САРЗ, и температура холодной воды за этот же период, град. С.

2.1.4. Если установлены нормативы затрат сетевой воды на проведение плановых эксплуатационных испытаний (см. п. 1.1.6), то определяются потери тепловой энергии и с этой составляющей потерь сетевой воды по аналогичным формулам.

2.2. Определение нормативных эксплуатационных технологических потерь тепловой энергии с потерями теплоносителя "пар".

2.2.1. Нормативные потери тепловой энергии с потерями пара определяются по формуле:

Qпп = Gпп x c x ро x (iп - ix) x 1E(-6), Гкал (ГДж) (12)

где:

Gпп - годовые потери пара, определяемые по формуле (4), м3;

iп - энтальпия пара при средних давлениях и температурах пара по магистралям на источнике теплоты и у потребителей, ккал/кг;

ix - энтальпия холодной воды, ккал/кг (град. С).

2.2.2. Нормативные потери тепловой энергии с потерями конденсата определяются по формуле:

Qконд = Gпк x c x ро x (tк - tx) x 1E(-6), Гкал (ГДж) (13)

где:

Gпк - годовые потери конденсата, определяемые по формуле (7), м3;

tк, tx - соответственно средние за период работы паропроводов температуры конденсата и холодной воды, град. С.

2.3. Определение нормативных технологических потерь тепловой энергии через теплоизоляционные конструкции.

2.3.1. Эксплуатационные тепловые потери через теплоизоляционные конструкции трубопроводов тепловых сетей для средних за год условий функционирования нормируются на год, следующий после проведения тепловых испытаний, и являются нормативной базой для нормирования тепловых потерь согласно [7], [8].

2.3.2. Нормирование эксплуатационных тепловых потерь через изоляционные конструкции на расчетный период производится исходя из значений часовых тепловых потерь при среднегодовых условиях функционирования тепловой сети.

2.3.3. Нормирование эксплуатационных часовых тепловых потерь производится в следующем порядке:

- для всех участков тепловой сети, на основе сведений о конструктивных особенностях тепловой сети на участках (типы прокладки, виды тепловой изоляции, диаметр трубопроводов, длина участков) и норм тепловых потерь [1] (если изоляция трубопроводов соответствует этим нормам) или [2], [3] (если изоляция соответствует СНиП 2.04.14-88), пересчетом табличных значений на среднегодовые условия функционирования, определяются значения часовых тепловых потерь через изоляционные конструкции;

- для участков тепловой сети, характерных для нее по типам прокладки и видам теплоизоляционных конструкций и подвергавшихся тепловым испытаниям согласно [7 - 9], в качестве нормативных принимаются полученные в результате испытаний значения действительных (фактических) часовых тепловых потерь, пересчитанные на среднегодовые условия функционирования тепловой сети;

- для участков тепловой сети, аналогичных подвергавшимся тепловым испытаниям по типам прокладки, видам теплоизоляционных конструкций и условиям эксплуатации, в качестве нормативных принимаются значения часовых тепловых потерь, определенные по нормам [1] или [2], [3] с введением поправочных коэффициентов, определенных по результатам тепловых испытаний;

- для участков тепловой сети, не имеющих аналогов среди участков, подвергавшихся тепловым испытаниям по [7 - 9], в качестве нормативных принимаются значения часовых тепловых потерь, определенные теплотехническим расчетом для среднегодовых условий функционирования тепловой сети с учетом технического состояния [7];

- для участков тепловой сети, вводимых в эксплуатацию после монтажа, реконструкции или капитального ремонта, с изменением типа или конструкции прокладки и теплоизоляционного слоя, как нормативные принимаются значения часовых тепловых потерь при среднегодовых условиях функционирования тепловой сети, определенные теплотехническим расчетом (7) на основе исполнительной технической документации.

2.3.4. Значения часовых тепловых потерь в тепловой сети в целом при среднегодовых условиях функционирования определяются суммированием значений часовых тепловых потерь в трубопроводах на отдельных ее участках.

2.3.5. Определение нормативных значений часовых тепловых потерь для среднегодовых условий функционирования тепловой сети, сооруженной в соответствии с [1], производится в соответствии [7] по формулам:

- для теплопроводов подземной прокладки, по подающим и обратным трубопроводам вместе:

л  
Qиз.н.год = SUM (qиз.н x L x бета) x 1E(-6), Гкал/ч (ГДж/ч) (14)
  1  

- для теплопроводов надземной прокладки по подающим и обратным трубопроводам раздельно:

k  
Qиз.н.год.п = SUM (qиз.н.п x L x бета) x 1E(-6), Гкал/ч (ГДж/ч) (15)
  1  
k  
Qиз.н.год.о = SUM (qиз.н.о x L x бета) x 1E(-6), Гкал/ч (ГДж/ч) (15а)
  1  

где:

qиз.н, qиз.н.п и qиз.н.о - удельные часовые тепловые потери трубопроводов каждого диаметра, определенные пересчетом табличных значений норм удельных часовых тепловых потерь на среднегодовые условия функционирования тепловой сети, подающих и обратных трубопроводов подземной прокладки - вместе, надземной - раздельно, ккал/м. ч (кДж/м. ч);

L - длина трубопроводов участка тепловой сети подземной прокладки в двухтрубном исчислении, надземной - в однотрубном, м;

бета - коэффициент местных тепловых потерь, учитывающий потери запорной арматурой, компенсаторами, опорами (принимается 1, 2 при диаметре трубопроводов до 150 мм и 1,15 - при диаметре 150 мм и более, а также при всех диаметрах трубопроводов бесканальной прокладки);

k - количество участков трубопроводов различного диаметра.

2.3.6. Значения нормативных удельных часовых тепловых потерь при среднегодовых значениях разности температуры теплоносителя и окружающей среды (грунта или воздуха), отличающихся от значений, приведенных в [1], определяются линейной интерполяцией (или экстраполяцией).

2.3.7. Среднегодовые значения температуры теплоносителя в подающем и обратном трубопроводах тепловой сети tп год и tо год определяются как средние из ожидаемых среднемесячных значений температуры теплоносителя по действующему в системе теплоснабжения температурному графику регулирования тепловой нагрузки, соответствующих ожидаемым значениям температуры наружного воздуха.

2.3.8. Ожидаемые среднемесячные значения температуры наружного воздуха и грунта определяются как средние за последние 5 лет (по информации местной гидрометеорологической станции о статистических климатологических значениях) температуры наружного воздуха и грунта на глубине заложения трубопроводов тепловых сетей).

2.3.9. Определение значений нормативных часовых тепловых потерь трубопроводами тепловых сетей, изоляционные конструкции которых соответствуют [2], [3], [7], производится аналогично п. 2.3.5.

2.3.10. Значения нормативных часовых тепловых потерь участков тепловой сети, аналогичных участкам, подвергавшимся тепловым испытаниям по типам прокладки, видам изоляционных конструкций и условиям эксплуатации, определяются для трубопроводов подземной и надземной прокладки отдельно, по формулам:

- для теплопроводов подземной прокладки, по подающим и обратным трубопроводам вместе:

k  
Qиз.н.год = SUM (kи x qиз.н x L x бета) х 1E(-6), Гкал/ч (ГДж/ч) (16)
  1  

- для теплопроводов надземной прокладки по подающим и обратным трубопроводам раздельно:

k  
Qиз.н.годюп = SUM (kи.п x qиз.н.п x L x бета) х 1E(-6), Гкал/ч (ГДж/ч) (17)
  1  
k  
Qиз.н.год.о = SUM (kи.о x qиз.н.о x L x бета) х 1E(-6), Гкал/ч (ГДж/ч) (17а)
  1  

где:

kи, kи.п и kи.о - поправочные коэффициенты для определения нормативных часовых тепловых потерь, полученные по результатам тепловых испытаний.

2.3.11. Поправочные коэффициенты для участков тепловой сети, аналогичных подвергавшимся тепловым испытаниям по типам прокладки, видам теплоизоляционных конструкций и условиям эксплуатации, определяются по формулам:

- при подземной прокладке, подающие и обратные трубопроводы вместе:

kи = Qиз.год.и ,   (18)
Qиз.год.н  

где:

Qиз.год.и и Qиз.год.н - соответственно тепловые потери, определенные тепловыми испытаниями, пересчитанные на среднегодовые условия функционирования каждого испытанного участка тепловой сети, и потери, определенные по [1] или [2] для тех же участков, ккал/ч (кДж/ч);

- при надземной прокладке и раздельном расположении подающих и обратных трубопроводов:

kи.п = Qиз.год.п.и ,   (19)
Qиз.год.п.н  
kи.о = Qиз.год.о.и ,   (19а)
Qиз.год.о.н  

где:

Qиз.год.п.и и Qиз.год.о.и - соответственно тепловые потери, определенные тепловыми испытаниями и пересчитанные на среднегодовые условия функционирования каждого испытанного участка тепловой сети, для подающих и обратных трубопроводов, ккал/ч (кДж/ч);

Qиз.год.п.н и Qиз.год.о.н - тепловые потери, определенные по [1] или [2] для тех же участков, ккал/ч (кДж/ч).

Максимальные значения поправочных коэффициентов к нормативным значениям по [1] не должны быть больше значений, приведенных в [7].

2.3.12. Нормативные значения эксплуатационных тепловых потерь через изоляционные конструкции трубопроводов (Гкал (ГДж)), участков тепловой сети, введенных в эксплуатацию после строительства, капитального ремонта или реконструкции, определяются по формулам (14) - (15а) с использованием значений удельных тепловых потерь, найденных в результате теплотехнических расчетов для соответствующих участков.

2.3.13. Нормативные значения эксплуатационных тепловых потерь через изоляционные конструкции трубопроводов по периодам функционирования (отопительный и неотопительный) и за год в целом определяются в соответствии с [7 - 8], как суммы нормативных значений эксплуатационных тепловых потерь за соответствующие месяцы.

2.4. Определение нормативных технологических потерь тепловой энергии через теплоизоляционную конструкцию при теплоносителе "пар".

Определение нормативных технологических потерь тепловой энергии через теплоизоляционные конструкции при теплоносителе "пар" принципиально не отличается от определения потерь тепловой энергии при теплоносителе "вода" и в общем виде определяются вышеприведенными положениями и формулами. Для учета отдельных особенностей пара, как теплоносителя, следует руководствоваться [9] в части, касающейся паровых сетей.

2.5. Определение нормативных технологических затрат электрической энергии на услуги по передаче тепловой энергии и теплоносителей.

2.5.1. Нормативные технологические затраты электрической энергии определяются затратами на привод насосного и другого оборудования, находящегося на балансе организации, осуществляющей передачу тепловой энергии и теплоносителя. К ним относятся:

- подкачивающие насосы на подающем и обратном трубопроводах тепловой сети;

- подмешивающие насосы на тепловой сети;

- дренажные насосы;

- насосы зарядки-разрядки баков-аккумуляторов;

- насосы отопления и горячего водоснабжения и насосы подпитки II контура отопления центральных тепловых пунктов (ЦТП);

- привод электрифицированной запорно-регулирующей арматуры.

2.5.2. Затраты электрической энергии определяются раздельно по каждому виду насосного оборудования по формуле:

k          
Энас = SUM ( GрHрnн ) x 1E(-3), кВт. ч   (20)
367этану
  1        

где:

Gp - нормативный расход теплоносителя, перекачиваемого насосами, (м3/ч), определяемый в зависимости от их назначения;

Нр - располагаемый напор, развиваемый насосами при нормативном расходе, (м);

nн - число часов работы насосов при нормативных расходах и напорах;

этану - КПД насосной установки (насосов и электродвигателей);

k - количество групп насосов.

Нормативные расходы теплоносителя, перекачиваемого насосными установками, определяются в соответствии с [7 - 8]. При этом располагаемые напоры принимаются согласно расчетному гидравлическому режиму функционирования системы теплоснабжения.

2.5.3. Если насосная группа состоит из насосов одного типа, расход теплоносителя, перекачиваемого одним из этих насосов, определяется делением среднего за час суммарного значения расхода теплоносителя на количество рабочих насосов.

2.5.4. Если насосная группа состоит из насосов различных типов (или диаметры рабочих колес однотипных насосов различны), для определения расхода теплоносителя, перекачиваемого каждым из установленных насосов, необходимо построить результирующую характеристику насосов, при помощи которой можно определить расход теплоносителя, перекачиваемого каждым из насосов, при известном суммарном расходе перекачиваемого теплоносителя.

2.5.5. При дросселировании напора, развиваемого насосом (в клапане, задвижке или дроссельной диафрагме), значения напора, развиваемого насосом, и КПД насоса при определенном значении расхода перекачиваемого теплоносителя могут быть определены по результатам испытания насоса или его паспортной характеристике.

2.5.6. В случае регулирования напора и производительности насосов путем изменения частоты вращения их рабочих колес результирующая характеристика насосов насосной группы определяется по результатам гидравлического расчета тепловой сети следующим образом. Определяется расход теплоносителя для насосной группы и требуемый напор насосов, измененный по сравнению с паспортной характеристикой при полученном значении расхода теплоносителя. Найденные значения расхода теплоносителя для каждого из включенных в работу насосов и развиваемого ими при этом напора позволяют определить требуемую частоту вращения рабочих колес насосов по формуле:

где:

Н1 и Н2 - соответственно напоры, развиваемые насосом при частотах вращения соответственно n1 и n2, м;

G1 и G2 - соответственно расходы теплоносителя при частотах вращения n1 и n2, м3/ч.

2.5.7. Мощность электродвигателей (кВт), требуемая для перекачки теплоносителя центробежными насосами, при измененной (по сравнению с номинальной) частоте вращения их рабочих колес, определяется по формуле (20) с подстановкой значений расхода перекачиваемого теплоносителя, напора, развиваемого насосом, и КПД преобразователя частоты (последний - в знаменатель формулы), соответствующих расчетной частоте вращения рабочих колес.

2.5.8. При определении нормативного расхода электрической энергии значение расхода горячей воды, перекачиваемой циркуляционными насосами системы горячего водоснабжения, определяется по средней часовой за неделю тепловой нагрузке горячего водоснабжения и постоянно на протяжении сезона (отопительного или неотопительного периодов).

2.5.9. При определении нормативного расхода электрической энергии подпиточных и циркуляционных насосов отопительных систем, подключенных к тепловой сети через теплообменники, значения расхода теплоносителя, перекачиваемого этими насосами, определяются емкостью этих систем и их теплопотреблением для каждого из характерных значений температуры наружного воздуха.

2.5.10. При определении нормативного расхода электрической энергии подкачивающих и подмешивающих насосов на ЦТП значения расхода теплоносителя, перекачиваемого этими насосами, и развиваемый ими напор определяются принципиальной схемой коммутации ЦТП, а также принципами их автоматизации.

2.5.11. Расходы сетевой воды, располагаемые напоры и продолжительность работы насосов зарядки-разрядки баков-аккумуляторов, если они не учтены в затратах на выработку энергии на источниках теплоты, определяются разработанными режимами работы баков-аккумуляторов в зависимости от режима водопотребления на горячее водоснабжение и мощности подпиточных устройств источников теплоты.

2.5.12. Затраты электрической энергии на привод запорно-регулирующей арматуры и средств автоматического регулирования и защиты определяются в зависимости от установленной мощности электродвигателей, назначения и числа часов работы оборудования, КПД привода по формуле:

k          
Эпр = SUM ( mпрNпрnгод ),   (22)
этапр
  1        

где:

mпр - количество однотипных приводов электрифицированного оборудования, шт.;

Nпр - установленная мощность электроприводов, кВт;

этапр - КПД электроприводов;

nгод - годовое число часов работы электроприводов каждого вида оборудования, ч;

k - количество групп электрооборудования.

Приложение 4

АЛГОРИТМ ВЫЧИСЛЕНИЯ
РАСХОДА ХОЛОДНОЙ ВОДЫ НА ПОДПИТКУ СИСТЕМ ГВС И МОЩНОСТИ НАСОСНОГО ОБОРУДОВАНИЯ НС, ТП И ЦТП

Расход холодной воды Gn определяется по расчетному среднему расходу воды на подпитку закрытой системы горячего водоснабжения и потерям в системе ГВС:

= 1,2 G + 0,0025Vг, м3/ч, (1)

где:

1,2 - коэффициент, выбранный исходя из расчетного среднего расхода воды на горячее водоснабжение с учетом потерь тепла трубопроводами ГВС;

0,0025 - коэффициент утечек горячей воды из системы ГВС;

Vг - удельный расход горячей воды на единицу тепловой мощности, рассчитывается по формуле:

Vг = 34,8 х Qг (м3/ч), (1.1)

где:

34,8 - коэффициент расчетного среднего расхода воды на горячее водоснабжение с учетом потерь тепла трубопроводами ГВС.

При параллельной схеме присоединения водонагревателей величина расчетного среднего расхода воды на подпитку закрытой системы горячего водоснабжения определяется по следующей формуле:

где:

Qг - средний тепловой поток на горячее водоснабжение;

- температура воды в подающем трубопроводе тепловой сети в 1 точке излома графика температуры воды, град. С;

- температура воды после параллельно включенного водоподогревателя горячего водоснабжения в точке излома графика температуры воды, град. С (рекомендуется принимать тау3 = 30 град. С).

При двухступенчатых схемах присоединения водонагревателей величина расчетного среднего расхода воды на подпитку закрытой системы горячего водоснабжения определяется по следующей формуле:

где:

0,2 - коэффициент потерь тепла трубопроводами ГВС;

55 - средняя температура в системе ГВС;

t' - температура воды после первой ступени подогрева;

tс - температура холодной (водопроводной) воды в отопительный период, град. С (при отсутствии данных принимается равной 5 град. С);

т' - температура воды в обратном трубопроводе тепловой сети, 2 град. С.

Средний тепловой поток на горячее водоснабжение Qг вычисляется по формуле:

где:

- средний тепловой поток на горячее водоснабжение жилых зданий в отопительный период, вычисляется как сумма тепловых потоков для каждого здания, вычисляемых по формуле:

где: m - число человек, проживающих в здании;

а - норма расхода воды на горячее водоснабжение при температуре 55 град. С на одного человека в сутки (рекомендуется - 85 л/сут. на человека);

1,2 - коэффициент расчетного среднего расхода воды на горячее водоснабжение с учетом потерь тепла трубопроводами ГВС;

1/24 - коэффициент перевода нормы расхода воды на горячее водоснабжение на одного человека из л/сут. в л/час;

tс - температура холодной (водопроводной) воды в отопительный период, град. С (при отсутствии данных принимается равной 5 град. С);

c - удельная теплоемкость теплоносителя, Ккал/кг град. С.

- средний тепловой поток на горячее водоснабжение общественных зданий в отопительный период, вычисляется как сумма тепловых потоков для каждого здания

где:

где:

m - число человек, проживающих в здании;

b - норма расхода воды на горячее водоснабжение, потребляемое в общественных зданиях при температуре 55 град. С на одного человека в сутки (рекомендуется - 25 л/сут. на человека);

с - удельная теплоемкость теплоносителя, Ккал/кг град. С;

tc - температура холодной (водопроводной) воды в отопительный период, град. С (при отсутствии данных принимается равной 5 град. С).

- средний тепловой поток на горячее водоснабжение жилых зданий в неотопительный период, вычисляется как сумма тепловых потоков для каждого здания, (18.3):

где:

- температура холодной (водопроводной) воды в c неотопительный период, град. С (при отсутствии данных принимается равной 15 град. С);

бета - коэффициент, учитывающий изменение среднего расхода воды на горячее водоснабжение в неотопительный период по отношению к отопительному периоду (при отсутствии данных принимается для жилищно - коммунального сектора 0,8, для курортов 1,2 - 1,5, для предприятий - 1,0);

с - удельная теплоемкость теплоносителя, Ккал/кг град. С.

- средний тепловой поток на горячее водоснабжение

где:

m - число человек, проживающих в здании;

b - норма расхода воды на горячее водоснабжение, потребляемое в общественных зданиях при температуре 55 град. С на одного человека в сутки (рекомендуется - 25 л/сут. на человека);

бета - коэффициент, учитывающий изменение среднего расхода воды на горячее водоснабжение в неотопительный период по отношению к отопительному периоду (при отсутствии данных принимается для жилищно - коммунального сектора 0,8, для курортов 1,2 - 1,5, для предприятий - 1,0).

2. Мощности насосного оборудования НС, ТП и ЦТП определяются по следующим формулам:

2.1. Мощность сетевых насосов для закрытых систем горячего водоснабжения Nr.B.c. определяется по формуле:

Nгвс = Нг х Gг / (360 х эта), кВт, (7)

где:

Нг - суммарные потери напора в сетях ГВС, м (из проектной документации на строительство соответствующей тепловой сети);

Gг - расход сетевой воды на ГВС, м3/ч;

эта - средневзвешенный КПД насосов.

2.2. Мощность подкачивающих насосов Nподк рассчитывается по формуле:

Nподк = Н х Оподк / (360 х эта), кВт, (8)

где:

Н - напор насосов, (м), вычисляется по формуле:

Н = дельтаР/гамма, (8.1)

где

дельтаР - перепад давлений, кПа;

гамма - удельный вес теплоносителя, кгс/м3;

Gподк - часовой объем сетевой воды, прокачиваемой подкачивающими насосами, т/ч.

Перепад давления DP, расход сетевой воды Gnдодк определяются по максимальному расходу данного участка сети в отопительный период. При практических расчетах следует принимать 10 кПа (1000 кгс/м2), что соответствует напору 1 м.

2.3. Мощность смесительных насосов Nсм определяется по формуле:

Nсм = дельтаР х Gподм / (360 эта х гамма), кВт, (9)

где:

дельтаРсм - перепад давлений на перемычке (из проектной документации на строительство соответствующей тепловой сети определяется по наибольшему возможному перепаду давлений между подающим и обратным трубопроводами в месте установки насоса);

Gподм - определяется по формулам:

для смесительного насоса на перемычке

Gподм = 1,3Gpup, (9.1)

где:

1,3 - коэффициент, выбранный из условий оптимального режима работы насоса, обеспечивающего только смесительные функции;

Gр - расчетный расход сетевой воды на систему отопления;

uр - коэффициент смешения; для смесительного насоса за подмешивающей перемычкой

Gподм = 1,2Gp(1 + Up), (9.2)

где:

1,2 - коэффициент, выбранный из условий оптимального режима работы насоса, обеспечивающего смесительно - подкачивающие функции.