Постановление Кабинета Министров Республики Татарстан от 11.05.2024 N 318

"О внесении изменений в Положение об условиях оплаты труда работников государственных профессиональных образовательных организаций Республики Татарстан, утвержденное постановлением Кабинета Министров Республики Татарстан от 31.05.2018 N 412 "Об условиях оплаты труда работников государственных образовательных организаций Республики Татарстан"
Редакция от 11.05.2024 — Действует с 13.05.2024

КАБИНЕТ МИНИСТРОВ РЕСПУБЛИКИ ТАТАРСТАН

ПОСТАНОВЛЕНИЕ
от 11 мая 2024 г. N 318

О ВНЕСЕНИИ ИЗМЕНЕНИЙ В ПОЛОЖЕНИЕ ОБ УСЛОВИЯХ ОПЛАТЫ ТРУДА РАБОТНИКОВ ГОСУДАРСТВЕННЫХ ПРОФЕССИОНАЛЬНЫХ ОБРАЗОВАТЕЛЬНЫХ ОРГАНИЗАЦИЙ РЕСПУБЛИКИ ТАТАРСТАН, УТВЕРЖДЕННОЕ ПОСТАНОВЛЕНИЕМ КАБИНЕТА МИНИСТРОВ РЕСПУБЛИКИ ТАТАРСТАН ОТ 31.05.2018 N 412 "ОБ УСЛОВИЯХ ОПЛАТЫ ТРУДА РАБОТНИКОВ ГОСУДАРСТВЕННЫХ ОБРАЗОВАТЕЛЬНЫХ ОРГАНИЗАЦИЙ РЕСПУБЛИКИ ТАТАРСТАН"

Кабинет Министров Республики Татарстан постановляет:

1. Внести в Положение об условиях оплаты труда работников государственных профессиональных образовательных организаций Республики Татарстан, утвержденное постановлением Кабинета Министров Республики Татарстан от 31.05.2018 N 412 "Об условиях оплаты труда работников государственных образовательных организаций Республики Татарстан" (с изменениями, внесенными постановлениями Кабинета Министров Республики Татарстан от 31.10.2018 N 965, от 29.12.2018 N 1262, от 06.05.2019 N 380, от 11.07.2019 N 565, от 28.08.2019 N 714, от 02.11.2019 N 1008, от 30.12.2019 N 1278, от 16.04.2020 N 294, от 21.05.2020 N 413, от 01.09.2020 N 772, от 23.10.2020 N 954, от 26.07.2021 N 645, от 06.09.2021 N 821, от 29.10.2021 N 1021, от 30.10.2021 N 1030, от 15.06.2022 N 566, от 22.09.2022 N 1027, от 11.03.2023 N 232, от 19.08.2023 N 989, от 16.10.2023 N 1312, от 31.10.2023 N 1377, от 07.11.2023 N 1431), следующие изменения:

в разделе VI:

в пункте 2:

таблицу 3 дополнить пунктом 3 следующего содержания:

"3. Работа в профессиональных образовательных организациях по программам подготовки специалистов среднего звена спортивной направленности (группах, отделениях) олимпийского резерва тренер-преподаватель - 7,0";

в подпункте 2.3:

абзац первый после слов "государственных наград" дополнить словами "(спортивных званий)";

абзац шестой дополнить словами "(спортивных званий)";

дополнить абзацем следующего содержания:

"Перечень государственных наград (спортивных званий), за наличие которых работникам физической культуры и тренерам-преподавателям предоставляются выплаты в профессиональных образовательных организациях по программам подготовки специалистов среднего звена спортивной направленности (группах, отделениях) олимпийского резерва, приведен в таблице 4 приложения N 2 к настоящему Положению.";

подпункт 2.3.1 изложить в следующей редакции:

"2.3.1. Установление размеров выплат за наличие государственных наград (спортивных званий) производится со дня присвоения государственной награды (спортивного звания). Работникам образования, имеющим две и более государственные награды (два и более спортивных звания), выплата за их наличие устанавливается по одному из оснований по выбору работника образования.";

дополнить подпунктом 2.5 следующего содержания:

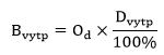
"2.5. Выплаты за обеспечение высококачественного учебно-тренировочного процесса () предоставляются инструкторам-методистам (включая старших) за успешные выступления и достигнутые спортсменами результаты в официальных международных, всероссийских, окружных и республиканских соревнованиях с учетом выполнения индикаторов оценки эффективности деятельности работника и рассчитываются по формуле:

,

где:

- должностной оклад работников физической культуры и спорта профессиональных образовательных организаций;

- размер надбавки за обеспечение высококачественного учебно-тренировочного процесса, который приведен в таблице 5.1.

2.5.1. Выплаты за обеспечение высококачественного учебно-тренировочного процесса устанавливаются на основании выписки из протокола соревнований с момента результата, показанного спортсменом, в течение одного календарного года.

2.5.2. Срок действия выплаты за обеспечение высококачественного учебно-тренировочного процесса устанавливается на один календарный год.

2.5.3. Размер надбавки за обеспечение высококачественного учебно-тренировочного процесса формируется из суммы процентов за один лучший результат в соревнованиях каждого уровня (не более восьми соревнований спортсмена), показанный спортсменом, спортсменом-инструктором в индивидуальном зачете в виде программы, в многоборье, или за результат в командных соревнованиях, если в таковых разыгрываются комплекты медалей.

Таблица 5.1

Размер надбавки за обеспечение высококачественного учебно-тренировочного процесса

(процентов)

Квалификационный уровень Уровень соревнований Занятое место Размер надбавки
олимпийские виды спорта, олимпийские дисциплины неолимпийские виды спорта, неолимпийские дисциплины
1 2 3 4 5
Профессиональная квалификационная группа должностей педагогических работников
Второй Олимпийские игры 1 - 6 4,0 -
чемпионат мира 1 - 6 4,0 3,5
Кубок мира, чемпионат Европы 1 - 6 3,5 3,0
Кубок Европы 1 - 4 3,5 3,0
чемпионат России 1 - 4 3,0 2,5
Кубок России 1 - 4 3,0 2,5
первенство мира, Европы 1 - 6 3,5 3,5
первенство России 1 - 3 2,5 2,5
финал Спартакиады молодежи, учащихся 1 - 3 2,0 2,0
Третий Олимпийские игры 1 - 6 5,0 -
чемпионат мира 1 - 6 5,0 4,0
Кубок мира, чемпионат Европы 1 - 6 4,0 3,5
Кубок Европы 1 - 4 4,0 3,5
чемпионат России 1 - 4 3,5 3,0
Кубок России 1 - 4 3,5 3,0
первенство мира, Европы 1 - 6 3,5 3,5
первенство России 1 - 3 3,0 3,0
финал Спартакиады молодежи, учащихся 1 - 3 2,5 2,5";

подпункт 5.4 пункта 5 признать утратившим силу;

наименование таблицы 4 приложения N 2 к указанному Положению после слов "физической культуры" дополнить словами "и тренерам-преподавателям".

2. Установить, что действие настоящего постановления распространяется на правоотношения, возникшие с 1 января 2024 года.

Премьер-министр
Республики Татарстан
А.В. ПЕСОШИН