Постановление Госгортехнадзора РФ от 09.06.2003 N 77

"Об утверждении Правил организации и проведения акустико-эмиссионного контроля сосудов, аппаратов, котлов и технологических трубопроводов"
Редакция от 09.06.2003 — Документ утратил силу, см. «Постановление Правительства РФ от 06.08.2020 N 1192»

Зарегистрировано в Минюсте РФ 19 июня 2003 г. N 4778


ФЕДЕРАЛЬНЫЙ ГОРНЫЙ И ПРОМЫШЛЕННЫЙ НАДЗОР РОССИИ

ПОСТАНОВЛЕНИЕ
от 9 июня 2003 г. N 77

ОБ УТВЕРЖДЕНИИ ПРАВИЛ ОРГАНИЗАЦИИ И ПРОВЕДЕНИЯ АКУСТИКО-ЭМИССИОННОГО КОНТРОЛЯ СОСУДОВ, АППАРАТОВ, КОТЛОВ И ТЕХНОЛОГИЧЕСКИХ ТРУБОПРОВОДОВ

Госгортехнадзор России постановляет:

1. Утвердить Правила организации и проведения акустико-эмиссионного контроля сосудов, аппаратов, котлов и технологических трубопроводов.

2. Направить Правила организации и проведения акустико-эмиссионного контроля сосудов, аппаратов, котлов и технологических трубопроводов на государственную регистрацию в Министерство юстиции Российской Федерации.

Начальник
Госгортехнадзора России
В.М.КУЛЬЕЧЕВ

УТВЕРЖДЕНЫ
Постановлением
Госгортехнадзора России
от 9 июня 2003 г. N 77

ПРАВИЛА
ОРГАНИЗАЦИИ И ПРОВЕДЕНИЯ АКУСТИКО-ЭМИССИОННОГО КОНТРОЛЯ СОСУДОВ, АППАРАТОВ, КОТЛОВ И ТЕХНОЛОГИЧЕСКИХ ТРУБОПРОВОДОВ

I. Общие положения

1.1. Настоящие Правила организации и проведения акустико-эмиссионного контроля сосудов, аппаратов, котлов и технологических трубопроводов (далее - Правила) устанавливают требования, соблюдение которых обеспечивает промышленную безопасность, и направлены на предупреждение аварий, случаев производственного травматизма на опасных производственных объектах.

1.2. Правила разработаны в соответствии с Федеральным законом от 21.07.1997 N 116-ФЗ "О промышленной безопасности опасных производственных объектов" (Собрание законодательства Российской Федерации, 1997, N 30, ст. 3588), Положением о Федеральном горном и промышленном надзоре России, утвержденным Постановлением Правительства Российской Федерации от 03.12.2001 N 841 (Собрание законодательства Российской Федерации, 2001, N 50, ст. 4742), Общими правилами промышленной безопасности для организаций, осуществляющих деятельность в области промышленной безопасности опасных производственных объектов, утвержденными Постановлением Госгортехнадзора России от 18.10.2002 N 61-А, зарегистрированным Минюстом России 28.11.2002 N 3968 ("Российская газета" N 231 от 05.12.2002), и предназначены для применения всеми организациями независимо от их организационно-правовых форм и форм собственности, осуществляющими деятельность в области промышленной безопасности и поднадзорных Госгортехнадзору России.

1.3. Правила предназначены для применения при проведении акустико-эмиссионного контроля емкостного, колонного, реакторного, теплообменного оборудования химических, нефтехимических и нефтеперерабатывающих производств, изотермических хранилищ, хранилищ сжиженных углеводородных газов под давлением, резервуаров нефтепродуктов и агрессивных жидкостей, оборудования аммиачных холодильных установок, сосудов, котлов, аппаратов, технологических трубопроводов, трубопроводов пара и горячей воды и их элементов.

II. Общие требования

2.1. Назначение и область применения

Настоящие Правила являются методическим и организационно-техническим нормативным документом, в котором содержатся требования, рекомендации и информация, обеспечивающие проведение акустико-эмиссионного (АЭ) контроля объектов, подконтрольных Госгортехнадзору России. Использование настоящего документа для других объектов допускается по согласованию с органами, осуществляющими надзор за их безопасной эксплуатацией.

2.1.1. Основные положения по применению акустико-эмиссионного метода контроля сосудов, котлов, аппаратов и технологических трубопроводов

Метод АЭ основан на регистрации и анализе акустических волн, возникающих в процессе пластической деформации и разрушения (роста трещин) контролируемых объектов. Это позволяет формировать адекватную систему классификации дефектов и критерии оценки состояния объекта, основанные на реальном влиянии дефекта на объект. Другим источником АЭ контроля является истечение рабочего тела (жидкости или газа) через сквозные отверстия в контролируемом объекте.

Характерными особенностями метода АЭ контроля, определяющими его возможности и область применения, являются следующие:

метод АЭ контроля обеспечивает обнаружение и регистрацию только развивающихся дефектов, что позволяет классифицировать дефекты не по размерам, а по степени их опасности;

метод АЭ контроля обладает весьма высокой чувствительностью к растущим дефектам - позволяет выявить в рабочих условиях приращение трещины порядка долей мм. Предельная чувствительность акустико-эмиссионной аппаратуры по теоретическим оценкам составляет порядка 1 x 1E(-6) мм2, что соответствует выявлению скачка трещины протяженностью 1 мкм на величину 1 мкм;

свойство интегральности метода АЭ контроля обеспечивает контроль всего объекта с использованием одного или нескольких преобразователей АЭ контроля, неподвижно установленных на поверхности объекта;

метод АЭ позволяет проводить контроль различных технологических процессов и процессов изменения свойств и состояния материалов;

положение и ориентация объекта не влияет на выявляемость дефектов;

метод АЭ имеет меньше ограничений, связанных со свойствами и структурой материалов;

особенностью метода АЭ, ограничивающей его применение, является в ряде случаев трудность выделения сигналов АЭ из помех. Это объясняется тем, что сигналы АЭ являются шумоподобными, поскольку АЭ есть стохастический импульсный процесс. Поэтому, когда сигналы АЭ малы по амплитуде, выделение полезного сигнала из помех представляет собой сложную задачу.

При развитии дефекта, когда его размеры приближаются к критическому значению, амплитуда сигналов АЭ и темп их генерации резко увеличивается, что приводит к значительному возрастанию вероятности обнаружения такого источника АЭ.

Метод АЭ может быть использован для контроля объектов при их изготовлении, в процессе приемочных испытаний, при периодических технических освидетельствованиях, в процессе эксплуатации.

Целью АЭ контроля является обнаружение, определение координат и слежение (мониторинг) за источниками акустической эмиссии, связанными с несплошностями на поверхности или в объеме стенки объекта контроля, сварного соединения и изготовленных частей и компонентов. Все индикации, вызванные источниками АЭ, должны быть при наличии технической возможности оценены другими методами неразрушающего контроля. АЭ метод может быть использован также для оценки скорости развития дефекта в целях заблаговременного прекращения испытаний и предотвращения разрушения изделия. Регистрация АЭ позволяет определить образование свищей, сквозных трещин, протечек в уплотнениях, заглушках и фланцевых соединениях.

АЭ-контроль технического состояния обследуемых объектов проводится только при создании в конструкции наряженного состояния, инициирующего в материале объекта работу источников АЭ. Для этого объект подвергается нагружению силой, давлением, температурным полем и т.д. Выбор вида нагрузки определяется конструкцией объекта и условиями его работы, характером испытаний и приводится в "Программе работ по АЭ контролю объектов".

2.1.2. Схемы применения акустико-эмиссионного метода контроля

Метод АЭ рекомендуется использовать для контроля промышленных объектов по следующим схемам, представляющим собой, как правило, варианты сочетания с другими методами неразрушающего контроля.

2.1.2.1. Проводят АЭ контроль объекта. В случае выявления источников АЭ в месте их расположения проводят контроль одним из регламентируемых методов неразрушающего контроля (НК): ультразвуковым (УЗК), радиационным, магнитным (МПД), проникающими веществами и другими, предусмотренными нормативно-техническими документами. Данную схему рекомендуется использовать при контроле объектов, находящихся в эксплуатации. При этом сокращается объем применяемых методов неразрушающего контроля, поскольку в случае использования регламентируемых методов необходимо проведение сканирования по всей поверхности (объему) контролируемого объекта.

2.1.2.2. Проводят контроль одним или несколькими методами НК. При обнаружении недопустимых (по нормам регламентируемых методов контроля) дефектов или при возникновении сомнения в достоверности применяемых методов НК проводят контроль объекта с использованием метода АЭ. Окончательное решение о допуске объекта в эксплуатацию или ремонте обнаруженных дефектов принимают по результатам проведенного АЭ контроля.

2.1.2.3. В случае наличия в объекте дефекта, выявленного одним из методов НК, метод АЭ используют для слежения за развитием этого дефекта. При этом может быть использован экономный вариант системы контроля, с применением одноканальной или малоканальной конфигурации акустико-эмиссионной аппаратуры.

2.1.2.4. Метод АЭ в соответствии с требованиями нормативно-технических документов к эксплуатации сосудов, работающих под давлением, применяют при пневмоиспытании объекта в качестве сопровождающего метода, повышающего безопасность проведения испытаний. В этом случае целью применения АЭ контроля служит обеспечение предупреждения возможности катастрофического разрушения. Рекомендуется использовать метод АЭ в качестве сопровождающего метода и при гидроиспытании объектов.

2.1.2.5. Метод АЭ может быть использован для оценки остаточного ресурса и решения вопроса относительно возможности дальнейшей эксплуатации объекта. Оценка ресурса производится с использованием специально разработанных методик, согласованных в установленном порядке. При этом достоверность результатов зависит от объема и качества априорной информации о моделях развития повреждений и состояния материала контролируемого объекта.

2.1.3. Порядок применения метода акустической эмиссии

2.1.3.1. АЭ контроль проводят во всех случаях, когда он предусмотрен нормативно-техническими документами или технической документацией на объект.

2.1.3.2. АЭ контроль проводят во всех случаях, когда нормативно-технической документацией на объект предусмотрено проведение неразрушающего контроля одним из регламентируемых методов, но по техническим или другим причинам проведение такого контроля невозможно.

2.1.3.3. Допускается использование АЭ контроля вместо регламентируемых методов неразрушающего контроля по согласованию в установленном порядке.

III. Требования к организации работ, исполнителям и порядок подготовки к выполнению акустико-эмиссионного контроля

3.1. Организация контроля

Существенным фактором, влияющим на результаты АЭ контроля, являются меры, предшествующие непосредственно его проведению. В подготовке АЭ контроля участвуют как исполнитель, так и заказчик. Выполняются следующие действия.

3.1.1. После получения официальной заявки от заказчика представитель исполнителя проводит предварительное ознакомление с объектом контроля с целью изучения технической возможности проведения контроля. На данной стадии решается вопрос о виде контроля: АЭ контроль объекта может быть разовый, постоянно-периодический с использованием переносных приборов и постоянный с использованием стационарных приборов (мониторинг).

3.1.2. После оформления договора на проведение АЭ контроля заказчик представляет исполнителю всю необходимую для проведения контроля проектную и техническую документацию на объект контроля с фактическими условиями и режимами эксплуатации.

3.1.3. После ознакомления с документацией на объект исполнитель составляет "Программу работ по АЭ контролю объекта". Программа утверждается техническим руководством организации-заказчика.

В Программе работ по АЭ контролю должны быть отражены мероприятия, проводимые организацией-заказчиком по подготовке к выполнению АЭ контроля, порядок проведения работ с определением обязанностей каждого участника работ, как со стороны исполнителя, так и со стороны заказчика. Программа должна включать следующие организационно-технические мероприятия, обеспечивающие успешное выполнение АЭ контроля:

представление помещения для акустико-эмиссионной аппаратуры (при необходимости). Температура в помещении должна быть не ниже 18 град. С, оно должно быть обеспечено электропитанием напряжением 220 В и мощностью не ниже 10 кВт;

обеспечение доступа к местам установки преобразователей АЭ (ПАЭ) на объекте контроля; заказчик при необходимости должен обеспечить подъемные механизмы, установить леса, изготовить и установить заглушки, выделить персонал для вспомогательных работ, включая вырезку окон в теплоизоляции и зачистку поверхности в местах установки ПАЭ (чистота поверхностей должна быть не хуже Rz40); исполнитель должен отвести всех ремонтных рабочих на период АЭ контроля от контролируемого объекта, прекратить работы на близкорасположенных объектах и т.д.;

обеспечение изменения нагрузки на объект согласно графику нагружения, разработанному исполнителем;

обеспечение двусторонней связи между персоналом, выполняющим контроль, и эксплуатационным персоналом, осуществляющим изменение нагрузки;

обеспечение специалистов, проводящих АЭ контроль, индивидуальными средствами защиты, включая страховочные пояса при проведении работ по установке ПАЭ на высоте, и другими средствами индивидуальной безопасности, спецодеждой.

Мероприятия по безопасному ведению работ выполняются предприятием-заказчиком.

3.2. Предварительное изучение объекта контроля

Перед проведением АЭ контроля исполнитель должен тщательно изучить объект контроля с целью получения данных для разработки технологии АЭ контроля данного объекта. Технология контроля должна быть разработана на основании настоящих Правил и данных, полученных при изучении объекта контроля. Технология контроля должна быть приведена в отчетной документации по контролю.

При составлении технологии контроля необходимо иметь следующие данные:

акустические свойства материала и контролируемого объекта, включая необходимые для выполнения АЭ контроля скорости и коэффициенты затухания волн, импедансы материалов;

требуемые для контроля АЭ свойства материала объекта;

параметры объекта как акустического канала.

Акустические и акустико-эмиссионные параметры получают при предварительном изучении объекта контроля либо используют известные из технической и научной литературы данные.

На основании полученных данных разрабатывают методические приемы контроля объекта, а также разрабатывают систему (либо выбирают из уже существующих систем и критериев) классификации источников АЭ и критериев оценки результатов контроля.

3.2.1. Технология контроля объекта согласовывается с заказчиком предварительно до проведения контроля с целью выполнения заказчиком необходимых подготовительных работ. В технологии контроля должна содержаться следующая информация:

материал и конструкция контролируемого объекта, включая размеры и форму, тип хранимого (рабочего) продукта;

данные о параметрах шумов;

тип и параметры преобразователей АЭ, их изготовитель;

метод крепления преобразователей АЭ;

контактная среда;

схема расположения преобразователей АЭ;

тип прибора АЭ, его параметры;

описание системы и результатов калибровки АЭ аппаратуры;

регистрируемые данные и методы регистрации;

система классификации источников АЭ и критерии оценки состояния контролируемого объекта по результатам контроля;

квалификация операторов.

Данные об объекте контроля и основных параметрах контроля заносят в Протокол (приложение 1).

Полностью описывают процедуру гидро- (пневмо)испытания; приводят графики изменения нагрузки и температуры во времени.

3.2.2. Заказчик согласно технологии контроля организует подготовку системы нагружения, создает необходимые запасы испытательной среды (инертного газа, воды и т.д.), решает вопросы подготовки компрессорных устройств, грузоподъемных механизмов и других подготовительных работ, указанных в технологии контроля.

Для объектов, которые предварительно нагружались либо находились под нагрузкой, давление и/или нагрузки должны быть уменьшены до предварительно определенного уровня. Время выдержки при пониженном давлении должно быть установлено на основании предварительно полученных данных.

До проведения испытаний объекта, находящегося в эксплуатации, необходимо в обязательном порядке иметь информацию:

о максимальном действующем (рабочем) давлении или нагрузке в течение последнего года;

об испытательном давлении.

3.2.3. При выполнении работ по контролю заказчик предоставляет в распоряжение исполнителя бригаду сотрудников, обеспечивающих проведение работ.

3.3. Требования к организациям и персоналу, проводящим акустико-эмиссионный контроль

К проведению АЭ контроля допускаются специалисты, аттестованные в установленном порядке, имеющие удостоверения, подтверждающие их квалификацию. АЭ контроль должна проводить бригада, состоящая не менее чем из двух специалистов. Из них, по крайней мере, один специалист должен иметь II или III уровень квалификации. Заключение по результатам контроля имеет право давать специалист, имеющий II или III уровень квалификации.

К организациям, проводящим АЭ контроль, предъявляется ряд требований, которые должны способствовать выполнению работ на высоком уровне.

Организация должна иметь:

калиброванные средства контроля (ПАЭ и акустико-эмиссионную аппаратуру);

аттестованный, квалифицированный персонал.

Рекомендуется иметь пакет документов, подтверждающий профессиональный уровень организации-исполнителя, данные о системе качества, информацию о предыдущих работах по контролю промышленных объектов, список проконтролированных объектов и организаций, которым были оказаны услуги по АЭ контролю.

Необходимым условием готовности исполнителя выполнять работы по АЭ контролю является наличие у него технологии контроля контролируемого объекта.

IV. Требования к аппаратуре и оборудованию

К аппаратуре и оборудованию, используемому при выполнении АЭ контроля, относятся ПАЭ с устройствами крепления и материалами для обеспечения акустической связи с объектом контроля; имитаторы сигналов АЭ; электронные блоки, предназначенные для усиления и обработки сигналов АЭ; вычислительные средства для обработки и представления результатов контроля, включая программное обеспечение; средства, обеспечивающие нагружение контролируемого объекта.

4.1. Преобразователи АЭ

Одним из основных элементов технических средств АЭ контроля являются ПАЭ. Они определяют чувствительность контроля и рабочий частотный диапазон. Рабочую частоту выбирают исходя из условий шумов, акустического затухания в объекте. Для контроля сосудов, котлов и аппаратов рекомендуется использовать диапазон 100 ... 500 кГц. При контроле технологических трубопроводов можно использовать более низкий диапазон частот - 20 ... 60 кГц. При контроле объектов на более низких частотах наблюдается высокий уровень посторонних механических шумов. В диапазоне свыше 500 кГц в большей мере сказывается затухание упругих волн в конструкции.

Используемые ПАЭ должны быть температурно-стабильными в диапазоне температур, в котором производится контроль объектов. Их коэффициент электроакустического преобразования не должен изменяться более чем на 3 дБ в этом диапазоне температур. Разброс коэффициентов преобразования ПАЭ для партии преобразователей, используемых при контроле объекта, не должен превышать 3 дБ. Рекомендуется использовать преимущественно резонансные ПАЭ.

ПАЭ должны быть помехозащищенными, что достигается использованием принятых методов помехозащиты, а также применением дифференциальных схем.

ПАЭ крепят к объекту с использованием механических приспособлений, магнитных держателей либо с помощью клея. Приспособления для установки преобразователей на объекте выбирают с учетом его конструктивных особенностей. Они могут быть съемными (магнитные держатели, струбцины, хомуты и т.п.) или в виде стационарно установленных кронштейнов.

Сигнальный кабель и предварительный усилитель (предусилитель) должны быть зафиксированы. Предусилитель размещают вблизи ПАЭ или непосредственно в его корпусе. Длина сигнального кабеля, соединяющего ПАЭ с предусилителем, как правило, не должна превышать 2 м, кабель должен иметь экран для защиты от электромагнитных помех. Максимальная длина кабеля, соединяющего предусилитель с прибором, как правило, не должна превышать 150 м. Потери сигнала в данном кабеле не должны превышать 1 дБ на 30 м длины, электрическая емкость не должна превышать 30 пФ/м.

Преобразователь АЭ устанавливают либо непосредственно на поверхность объекта, либо с использованием волновода. Рекомендуется использовать ненаправленные преобразователи. При контроле линейных объектов (трубопроводов) либо при контроле определенных зон допускается использовать направленные ПАЭ. Для толстостенных объектов (при условии лямбда << t <= 0,1L, где t - толщина стенки, лямбда - длина волны на рабочей частоте, L - расстояние между ПАЭ) возможно применение пьезопреобразователей поверхностных волн.

При установке ПАЭ на объект контроля акустическая контактная среда должна обеспечивать эффективную акустическую связь ПАЭ с объектом и в то же время не должна оказывать нежелательное воздействие на контролируемый объект. Контактная среда должна обеспечивать надежный акустический контакт в течение всего времени испытаний при температуре контролируемого объекта. Рекомендуется использовать контактную среду с минимальным затуханием. В качестве контактной среды можно использовать эпоксидную смолу без отвердителя, машинное масло, глицерин и другие жидкие среды. Допускается применение волноводов. Поверхность объекта контроля в месте установки ПАЭ зачищают до чистоты не хуже Rz40.

После установки ПАЭ на объект контроля производят проверку их работоспособности с использованием имитаторов АЭ. В качестве имитатора сигналов АЭ используют пьезоэлектрический преобразователь, возбуждаемый электрическими импульсами от генератора. Частотный диапазон имитационного импульса должен соответствовать частотному диапазону системы контроля.

Генератор, возбуждающий преобразователь-имитатор, должен отвечать следующим требованиям:

частота следования импульсов - 1 ... 100 Гц;

амплитуда генерируемых импульсов варьируется и должна обеспечивать изменение амплитуды на выходе преобразователей системы контроля (с учетом затухания) в диапазоне 10 мкВ ... 30 мВ;

длительность возбуждающего электрического импульса не должна превышать 0,1 ... 0,2 мкс.

В качестве имитатора сигналов АЭ также возможно использовать источник Су-Нильсена [излом графитового стержня диаметром 0,3 ... 0,5 мм, твердостью 2Т(2Н)].

При выполнении контроля используемые рабочие ПАЭ должны быть откалиброваны с использованием эталонных преобразователей АЭ.

Определение коэффициента электроакустического преобразования эталонного ПАЭ путем измерения амплитуды динамического смещения поверхности твердого тела и амплитуды импульсной характеристики производят с использованием образцовых средств измерений.

Калибровку рабочих ПАЭ производят независимые специализированные организации с использованием эталонных ПАЭ. Определение основных параметров рабочих ПАЭ осуществляют владельцы ПАЭ с использованием методик в соответствии с требованиями нормативно-технической документации. Калибровка эталонных ПАЭ должна проводиться один раз в год. Определение основных параметров рабочих ПАЭ должна проводиться перед каждым контролем, но не реже одного раза в год. Результаты калибровки заносят в паспорт ПАЭ.

4.2. Акустико-эмиссионная аппаратура

Для регистрации АЭ при испытаниях крупномасштабных объектов следует применять аппаратуру АЭ в виде многоканальных систем, позволяющих определять координаты источников сигналов и характеристики АЭ с одновременной регистрацией параметров нагружения (давления, температуры и т.д.).

Многоканальная АЭ система должна включать:

комплект предварительных усилителей;

кабельные линии;

блоки предварительной обработки и преобразования сигналов акустической эмиссии;

ЭВМ с необходимым математическим обеспечением;

средства отображения информации;

блоки калибровки системы.

АЭ система может быть как стационарной, так и передвижной. Для контроля объектов простой конфигурации или в случаях, когда не требуется определение местоположения дефектов, допускается применение менее сложной аппаратуры, т.е. одноканального прибора (приборов) либо многоканальной системы в режиме зонного контроля.

АЭ система должна обеспечивать как оперативную обработку и отображение информации в режиме реального времени, так и обработку, отображение и вывод на периферийные устройства для документирования накопленных в течение испытания данных после окончания испытания. К такой информации относятся:

номера групп преобразователей АЭ, зарегистрировавших импульс АЭ либо номер ПАЭ;

координаты каждого зарегистрированного импульса АЭ (в режиме зонного контроля это не требуется);

амплитуда импульса АЭ (амплитудное распределение АЭ процесса);

энергия импульсов акустической эмиссии, либо "MARSE" (Measured Area of the Rectified Signal Envelope - Измеренная площадь под огибающей сигнала), либо другой энергетический параметр;

число выбросов (превышений сигналом уровня дискриминации);

временные характеристики сигнала;

параметры нагрузки, при которых зарегистрирован импульс АЭ (давление, деформация или температура);

время регистрации импульса;

значения разницы времен прихода (РВП) сигналов (в режиме зонного контроля это не требуется).

К АЭ системам предъявляются следующие общие технические требования:

рабочий частотный диапазон от 10 до 500 кГц;

неравномерность амплитудно-частотной характеристики в пределах частотного диапазона не более +/- 3 дБ;

ослабление сигнала за пределами рабочего диапазона при расстройке на октаву относительно граничных частот не менее 30 дБ;

эффективное значение напряжения собственных шумов усилительного тракта не более 5 мкВ;

коэффициент усиления предварительного усилителя 20 ... 60 дБ;

коэффициент усиления основного усилителя 0 ... 40 дБ со ступенчатой регулировкой через 1 дБ;

амплитудный динамический диапазон предварительного усилителя не менее 70 дБ; динамический диапазон измерения амплитуды сигналов АЭ не менее 60 дБ.

АЭ система должна обеспечивать возможность выравнивания чувствительности по измерительным каналам в пределах +/- 3 дБ, а также обеспечивать отбраковку ложных событий, реализованную как на аппаратурном, так и на программном уровнях.

Системная часть программы должна обеспечивать удобство общения оператора с ЭВМ, ввод приказом задания и изменения параметров в диалоговом режиме обработки.

Основные параметры АЭ аппаратуры и режимы ее работы заносят в Протокол (приложение 1). При изменении их в ходе испытаний следует указать причину.

V. Проведение контроля

Объекты должны контролироваться в их рабочем положении. После проведения подготовительных работ осуществляются непосредственные работы по контролю, которые начинаются с установки ПАЭ на объект.

5.1. Установка преобразователей акустической эмиссии

Каждый ПАЭ должен быть установлен непосредственно на поверхность объекта либо должен быть использован соответствующий волновод. Следует учитывать, что при наличии окраски и защитных покрытий, а также кривизны и неровностей поверхности объекта в зоне контакта возможно уменьшение амплитуды сигнала АЭ и искажение его формы. Если уменьшение амплитуды сигнала АЭ превышает 6 дБ, поверхность объекта в месте установки ПАЭ должна быть очищена от краски или покрытия в обязательном порядке. Необходимо предусмотреть также крепление сигнального кабеля и предусилителя, чтобы исключить потерю контакта и механическое нагружение ПАЭ.

Размещение ПАЭ и количество антенных групп определяется конфигурацией объекта и максимальным разнесением ПАЭ, связанным с затуханием сигнала, точностью определения координат. Учитывают критические места объекта, сварные швы, зоны высоких напряжений, патрубки, зоны, подвергнутые ремонту и т.д. Необходимо учитывать дополнительное затухание в сварных швах и на участках, где имеет место изменение толщины стенки объекта. Размещение ПАЭ приводят в технологии контроля (картах контроля).

В зависимости от конфигурации объект делят на отдельные элементарные участки: линейные, плоские, цилиндрические, сферические. Для каждого участка выбирают соответствующую схему расположения преобразователей. Кроме основных групп преобразователей, служащих для определения координат, на объекте могут размещаться вспомогательные (блокировочные) группы для пространственной селекции зоны выявленных источников шума.

Размещение ПАЭ должно обеспечивать контроль всей поверхности контролируемого объекта. В ряде случаев по согласованию с заказчиком допускается размещение ПАЭ только в тех областях объекта, которые считаются важными. Если не обеспечивается стопроцентное покрытие зонами контроля всего объекта, то это должно быть отмечено в отчете по контролю с обоснованием использования данной схемы.

Координаты источников акустической эмиссии вычисляют по разнице времени прихода (РВП) сигналов на преобразователи, расположенные на поверхности контролируемого объекта.

В случае многоканальной локации расстояние между ПАЭ выбирают таким образом, чтобы сигнал от имитатора АЭ (излома карандаша), расположенного в любом месте контролируемой зоны, обнаруживался тем минимальным количеством преобразователей, которое требуется для расчета координат.

Для выбора расстояния между ПАЭ производят измерение затухания, при этом выбирают представительную часть объекта без патрубков, проходов и т.п., устанавливают ПАЭ и перемещают (через 0,5 м) имитатор АЭ по линии в направлении от ПАЭ на расстояние до 3 м. В качестве имитатора АЭ рекомендуется использовать излом стержня карандаша (имитатор Су-Нильсена) диаметром 0,3 ... 0,5 мм, твердостью 2Н (2Т), с углом наклона стержня приблизительно 30 град. к поверхности, стержень выдвигают на 2,5 мм.

Расстояние между ПАЭ при использовании зонной локации задают таким образом, чтобы сигнал АЭ от излома карандаша (либо сигнал АЭ от другого имитатора АЭ) регистрировался в любом месте контролируемой зоны хотя бы одним ПАЭ и имел амплитуду не меньше заданной. Как правило, разница амплитуд имитатора АЭ при расположении его вблизи ПАЭ и на краю зоны не должна превышать 20 дБ. Максимальное расстояние между ПАЭ не должно превышать расстояния, которое в 1,5 раза больше порогового. Последнее определяют как расстояние, при котором амплитуда сигнала от имитатора АЭ (излома грифеля карандаша) равна пороговому напряжению.

При контроле объектов с высоким затуханием упругих волн рекомендуется использовать две рабочие частоты: низкую - в диапазоне 20 ... 60 кГц и более высокую - в диапазоне 100 ... 500 кГц. Для контроля трубопроводов рекомендуется использовать частоты 10 ... 40 кГц. Допускается применение двух и более рабочих частот (соответственно двух и более частотных каналов). В этом случае высокочастотные каналы используют для обнаружения и оценки АЭ источников. Низкочастотные каналы следует использовать для выявления тех источников АЭ, которые могут быть пропущены из-за большого затухания сигналов АЭ на высокой частоте. Если выявлена значительная активность на низкой частоте и отсутствует регистрация по высокочастотным каналам, следует переустановить высокочастотные ПАЭ и повторить контроль.

Измерение скорости звука, используемое для расчета координат источников АЭ, производят следующим образом. Имитатор АЭ располагают вне групп ПАЭ на линии, соединяющей ПАЭ, на расстоянии 10 ... 20 см от одного из них. Проведя многократные измерения (не менее пяти) для разных пар ПАЭ, определяют среднее время распространения. По нему и известному расстоянию между ПАЭ вычисляют скорость распространения сигналов АЭ.

5.2. Проверка работоспособности АЭ аппаратуры и калибровка каналов

Проверку работоспособности АЭ системы выполняют тотчас после установки ПАЭ на контролируемый объект, а также после проведения испытаний, путем возбуждения акустического сигнала АЭ имитатором, расположенным на определенном расстоянии от каждого ПАЭ. Отклонение зарегистрированной амплитуды сигнала АЭ не должно превышать 3 дБ от средней величины для всех каналов. В случае превышения указанного значения необходимо устранить причину, в противном случае следует провести повторный контроль.

Уровень чувствительности различных групп ПАЭ может различаться. В этом случае должна быть отметка в протоколе контроля и обоснование в отчете. При оценке результатов контроля необходимо учитывать разброс чувствительности каналов.

Коэффициент усиления каналов и порог амплитудной дискриминации выбирают с учетом ожидаемого диапазона амплитуд сигналов АЭ. При этом следят, чтобы обеспечивалась неискаженная передача сигналов АЭ и частота выбросов помех в канале не превышала в среднем одного в сто секунд. Проверяется значение порога, число выбросов сигнала АЭ, энергия, MARSE, амплитуда и другие необходимые характеристики по технологии, записанной в технологии контроля.

В случае, если проводятся гидроиспытания объектов, все работы по настройке аппаратуры выполняются после заполнения объектов водой.

5.3. Нагружение объекта

После выполнения подготовительных и настроечных работ производится нагружение объекта.

АЭ контроль выполняется в процессе нагружения объекта внутренним давлением до определенной, заранее выбранной величины и в процессе выдержки давления на определенных уровнях.

При нагружении объекта контроля внутренним давлением его максимальное значение - испытательное давление (Рисп) должно превышать разрешенное рабочее давление - эксплуатационную нагрузку (Рраб) не менее чем на 5 ... 10%, но не превышать пробного давления (Рпр), определяемого по формуле:

Рпр = аР [сигма]20 ,
[сигма]t

где Р - расчетное давление сосуда, МПа (кгс/см2);

[сигма]20, [сигма]t - допускаемые напряжения для материала сосуда или его элементов соответственно при 20 град. С и расчетной температуре, МПа (кгс/см2);

а = 1,25 для всех сосудов, кроме литых;

а = 1,5 для литых сосудов (в соответствии с требованиями нормативно-технической документации к устройству и безопасной эксплуатации сосудов, работающих под давлением).

В случае, если максимальное давление испытания равно величине пробного давления, длительность выдержки для объектов, находящихся в эксплуатации, не должна превышать 5 мин. (в соответствии с требованиями нормативно-технической документации к устройству и безопасной эксплуатации сосудов, работающих под давлением), а при испытании вновь изготовленных объектов выбирается в зависимости от толщины стенки объекта (в соответствии с требованиями нормативно-технической документации к устройству и безопасной эксплуатации сосудов, работающих под давлением):

До 50, мм - 10 мин.
Свыше 50 до 100, мм - 20 мин.
Свыше 100, мм - 30 мин.
Для литых и многослойных независимо от толщины стенки - 60 мин.

Если максимальное давление испытания меньше величины пробного давления, длительность выдержки при испытании вновь изготовленных объектов должна быть не менее 10 мин.

При АЭ контроле резервуаров для хранения нефти, нефтепродуктов и других жидких сред используют максимальную величину нагрузки, равную Рисп = 1,05Рраб.

При АЭ контроле объектов, испытуемых под налив, время выдержки их при максимальном допустимом уровне заполнения должно быть не менее двух часов.

При назначении максимального давления испытаний должны учитываться характеристики материала, условия эксплуатации объекта контроля, температура, а также предыстория его нагружения.

Нагружение осуществляется с использованием специального оборудования, обеспечивающего повышение внутреннего (внешнего) давления по заданному графику, определяющему скорость нагружения, время выдержек объекта под нагрузкой и значения нагрузок.

Испытания объекта подразделяют на предварительные и рабочие.

Предварительные испытания имеют целью:

проверку работоспособности всей аппаратуры;

уточнение уровня шумов и корректировку порога аппаратуры;

опрессовку заглушек и сальниковых уплотнений;

выявление источников акустического излучения, связанных с трением в точках подвески (крепления) объектов, опор, конструкционных элементов жесткости и пр.

Предварительные испытания проводят при циклическом нагружении в диапазоне 0 ... 0,25Рраб. Для объектов без плакирующих покрытий и ребер жесткости число циклов нагружения составляет не менее 2, для прочих - не менее 5.

Рекомендуется нагружение при рабочем испытании проводить ступенями, с выдержками давления на уровне 0,5Рраб; 0,75Рраб; 1,0Рисп и Рисп. Время выдержки на промежуточных ступенях должно, как правило, составлять 10 мин.

Пример типового графика нагружения приведен в приложении 2. Допускается отклонение от типового графика нагружения с приведением в отчете необходимого обоснования.

Нагружение объектов должно проводиться плавно со скоростью, при которой не возникают интенсивные помехи. Рекомендуемые скорости повышения давления составляют:

Рисп/60 ... Рисп/20 [МПа/мин.].

Допускается проведение испытаний со скоростью нагружения меньшей минимальной указанной. В этих случаях промежуточные выдержки можно не проводить.

АЭ контроль резервуаров большого объема и хранилищ проводят в режиме мониторинга (непрерывного контроля) либо по специальной программе. Программа нагружения для каждого такого объекта составляется индивидуально и согласовывается со специализированной экспертной организацией.

В качестве нагружающей среды могут быть использованы вода, масло, рабочее тело объекта в виде жидких сред (гидравлические испытания), а также газообразные среды (пневмоиспытание). В случае проведения гидравлических испытаний подача нагружающей жидкости должна производиться через патрубок, расположенный в нижней части сосуда, ниже уровня жидкости, заполняющей сосуд.

Для уменьшения уровня шумов и помех во время проведения контроля должны быть приостановлены все посторонние работы на самом объекте контроля и вблизи него. Должно быть исключено хождение по площадкам обслуживания, передвижение автотранспорта, проведение сварочных и монтажных работ, работа подъемно-транспортных механизмов, расположенных рядом.

При выполнении контроля объектов большой протяженности или крупногабаритных объектов допускается проводить контроль по этапам. Интервал между отдельными этапами должен быть не менее 24 часов. Допускается проведение контроля только части объекта по согласованию с заказчиком.

При испытании вновь изготовленных сосудов, которые не проходили послесварочной термообработки, возможна регистрация АЭ, вызванной выравниванием напряжений и не связанной с развитием дефектов. Поэтому при первом нагружении, как правило, принимают во внимание только сигналы, амплитуда которых превышает уровень порога более чем на 20 дБ, и сигналы, регистрируемые в течение выдержки. Если при первом нагружении были выявлены источники АЭ II или III класса или получены неопределенные результаты, объект должен быть нагружен вторым рабочим циклом нагружения в обязательном порядке с изменением нагрузки от 50 до 100% испытательного давления. Система классификации источников АЭ дана ниже, в разделе VII.

В процессе нагружения допускается изменение чувствительности усилительных трактов с обязательной регистрацией момента и значения внесенных изменений и обоснованием, приведенным в протоколе АЭ контроля.

В процессе нагружения рекомендуется непрерывно наблюдать на экране монитора обзорную картину АЭ излучения испытуемого объекта.

Испытания прекращаются досрочно в случаях, когда регистрируемый источник АЭ достигает класса IV. Объект должен быть разгружен, испытание либо прекращено, либо выяснен источник АЭ и оценена безопасность продолжения испытаний. Быстрое (экспоненциальное) нарастание суммарного счета, амплитуды импульсов, энергии или MARSE может служить показателем ускоренного роста трещины, приводящего к разрушению.

Регистрация давления и температуры (при ее изменении) ведется в течение всего цикла подъема и сброса нагрузки. Давление должно контролироваться непрерывно с погрешностью +/- 2% максимального испытательного давления. Шкала аналогового манометра должна иметь максимальное значение не меньше чем 1,5 и не больше 5-кратного значения испытательного давления. Погрешность цифрового прибора не должна превышать 1% испытательного давления.

5.4. Анализ шумов

Основным фактором, ограничивающим эффективность АЭ контроля, являются шумы. Шумы классифицируются:

в зависимости от источника происхождения разделяются на акустические (механические) и электромагнитные;

в зависимости от вида сигнала шумов они разделяются на импульсные и непрерывные;

в зависимости от места положения источника разделяются на внешние и внутренние.

Основными источниками шумов при АЭ контроле объектов являются:

разбрызгивание жидкости в сосуде при его заполнении;

гидродинамические турбулентные явления при высокой скорости нагружения;

работа насосов, моторов и других механических устройств;

действие электромагнитных наводок;

воздействие окружающей среды (дождя, ветра и т.д.).

Все протечки в контролируемом объекте и системе нагружения должны быть исключены до проведения испытаний.

Минимальный уровень шумов, который определяет чувствительность аппаратуры АЭ, связан с собственными тепловыми шумами преобразователя АЭ и коэффициентом шума входных каскадов усилителя (предусилителя). Собственный тепловой шум ПАЭ с чувствительным элементом, изготовленным из пьезокерамики, в большинстве случаев не превышает 5 мкВ. Коэффициент шума входных каскадов усилителя не должен превышать 6 дБ. Поэтому собственные шумы аппаратуры АЭ не должны превышать 10 мкВ (Uша < 10 мкВ), приведенных ко входу.

Уровень непрерывных акустических или электромагнитных шумов (Uш) не должен превышать Uша + 6 дБ (Uш < Uпор = Uша + 6 дБ). Здесь Uпор - пороговое напряжение. Если это условие не выполняется, то необходимо предпринять все меры (технические и организационные) для уменьшения уровня шумов. При невозможности уменьшения шумов до требуемого значения необходимо прекратить проведение АЭ контроля. Проведение контроля в условиях повышенных шумов (т.е. при выполнении неравенства Uш > Uша + 6 дБ) возможно только при научно-техническом обосновании возможности выявления требуемых источников АЭ. В этом случае значение порогового уровня аппаратуры может превысить значение 20 мкВ, т.е. Uпор > Uш > 20 мкВ.

Ограничения по импульсным шумам (помехам) устанавливаются исходя из условий, при которых проводят испытания. Рекомендуется, чтобы средняя частота регистрации импульсных помех не превышала 0,01 Гц (т.е. Fпом < 0,01 Гц). При невозможности уменьшения частоты регистрации импульсных помех до требуемого значения необходимо прекратить проведение АЭ контроля. Проведение контроля в условиях повышенной частоты регистрации импульсных помех (т.е. при выполнении неравенства Fпом > 0,01) возможно только при научно-техническом обосновании возможности выявления требуемых источников АЭ.

В ряде случаев параметры сигнала шумов используют для выделения полезного сигнала. Шумы, связанные с трением, характеризуются излучением сигналов небольшой амплитуды и большой длительности по сравнению с сигналами АЭ от трещины. Электромагнитные помехи характеризуются малой длительностью и большой амплитудой.

Влияние электромагнитных помех снижается применением экранирования, специальных радиотехнических элементов (дифференциальных датчиков и усилителей, фильтров и т.д.), а также стробированием аппаратуры на время действия помехи.

Все шумы должны быть идентифицированы, минимизированы, должны быть зарегистрированы их параметры. После проведения настройки аппаратуры и до выполнения рабочего испытания в течение 15 мин. проверяется шумовой фон, который должен быть ниже установленного порогового уровня. При регистрации шумов, уровень которых превышает порог, источник шумов должен быть исключен либо должно быть остановлено испытание.

5.5. Определение местоположения источников акустической эмиссии

Местоположение источников АЭ следует определять с заданной точностью либо с использованием многоканальной системы локации, либо с использованием зонного контроля.

Точность многоканальной локации должна быть не меньше величины, равной двум толщинам стенки или 5% расстояния между ПАЭ, в зависимости от того, какая величина больше. Определение координат источников АЭ сигналов производят в режиме планарной локации, т.е. не определяется глубина залегания источника.

Погрешности вычисления координат определяются погрешностями измерения времени поступления сигнала на преобразователи. Источниками погрешностей являются:

погрешность измерения временных интервалов;

отличие реальных путей распространения от теоретически принятых;

наличие анизотропии скорости распространения сигналов;

изменение формы сигнала в результате распространения по конструкции;

наложение по времени сигналов, а также действие нескольких источников;

регистрация преобразователями волн различных типов;

погрешность измерения (задания) скорости звука;

погрешность задания координат ПАЭ.

Величину контролируемой площади при зонном контроле определяют границей поверхности объекта вокруг ПАЭ, для которой затухание сигнала, проходящего от границы до ПАЭ, не превышает 20 дБ.

До нагружения объекта оценивают погрешность определения координат с помощью имитатора. Его устанавливают в выбранной точке объекта и сравнивают показания системы определения координат с реальными координатами имитатора. При этом амплитуда имитационного сигнала варьируется в пределах ожидаемого диапазона, определяемого в результате предварительного изучения объекта испытания. Операцию повторяют для различных зон конструкции объекта. Если погрешность определения координат не удовлетворяет заданному значению, следует произвести корректировку параметров контроля (изменение конфигурации расположения преобразователей, расстояния между преобразователями и т.п.).

VI. Накопление, обработка и анализ данных

В процессе контроля производят оперативное накопление и обработку данных. Система контроля должна обеспечить регистрацию и сигнализацию источника АЭ, соответствующего IV классу (катастрофически активному источнику) в реальном масштабе времени. После выполнения контроля объекта производится последующая обработка и анализ данных в полном объеме.

Накопление данных производят после выделения параметров сигналов АЭ. При наличии цифровых регистраторов используется запоминание сигналов АЭ с целью последующего анализа процесса.

Обработка и анализ данных определяется выбранной системой классификации источников АЭ и критериями оценки результатов контроля. Все зарегистрированные сигналы АЭ относят к источникам АЭ в зависимости от их положения в контролируемом объекте. Классификацию источников производят в зависимости от значений параметров.

Оценку источников производят по этапам в зависимости от режима нагружения и времени, затрачиваемого на контроль. В режиме испытания, в случае, если время контроля не превышает 4 часов, это считают одним этапом. В случае превышения этого времени производят разбивку времени контроля на этапы. Каждый этап не должен превышать четырех часов непрерывного контроля.

Зонный контроль используют в случаях невозможности либо нецелесообразности определения координат источников АЭ. Для использования указанного подхода предварительно подготавливают исходную информацию, необходимую для выбора и применения того или иного критерия, обработку данных следует производить на ЭВМ, входящей в систему АЭ-контроля.

Программа обработки АЭ информации должна определять местоположение источников АЭ сигналов либо по времени прихода сигналов на преобразователь АЭ, либо по амплитуде и отображать их положение в виде индикаций источника АЭ на карте локации (а в процессе контроля - на дисплее). На карте локации выделяют зоны повышенной концентрации (кластеры) индикаций АЭ, которые в совокупности формируют полный образ источника АЭ. Производят сопоставление местоположения полученных зон и технологической топологии объекта с целью отделения возможных источников механических шумов, не связанных с развивающимися дефектами, от источников АЭ.

Информация о зонах концентрации индикаций АЭ регистрируется и обрабатывается с использованием заложенных программ для построения предусмотренных графиков по каждой выделенной зоне и проведения классификации источников АЭ.

VII. Оценка результатов контроля

После обработки принятых сигналов результаты контроля представляют в виде идентифицированных и классифицированных источников АЭ.

При принятии решения по результатам АЭ контроля используют данные, которые должны содержать сведения обо всех источниках АЭ, их классификации и сведения относительно источников АЭ, параметры которых превышают допустимый уровень. Допустимый уровень источника АЭ устанавливает исполнитель при подготовке к АЭ контролю конкретного объекта.

Классификацию источников АЭ выполняют с использованием следующих параметров сигналов: суммарного счета, числа импульсов, амплитуды (амплитудного распределения), энергии (либо энергетического параметра), скорости счета, активности, концентрации источников АЭ. В систему классификации также входят параметры нагружения контролируемого объекта и время.

Выявленные и идентифицированные источники АЭ рекомендуется разделять на четыре класса.

Источник I класса - пассивный источник.

Источник II класса - активный источник.

Источник III класса - критически активный источник.

Источник IV класса - катастрофически активный источник.

Выбор системы классификации источников АЭ и допустимого уровня (класса) источников рекомендуется осуществлять каждый раз при АЭ контроле конкретного объекта, используя данные, приведенные в приложении 3. В некоторых зарубежных нормативно-технических документах приняты другие системы классификации (приложение 3).

Рекомендуемые действия персонала, выполняющего АЭ контроль при выявлении источников АЭ того или иного класса, следующие:

Источник класса (пассивный) I - регистрируют для анализа динамики его последующего развития.
Источник класса (активный) II - 1) регистрируют и следят за развитием ситуации в процессе выполнения данного контроля;
  2) отмечают в отчете и записывают рекомендации по проведению дополнительного контроля с использованием других методов.
Источник класса (критически активный) III - 1) регистрируют и следят за развитием ситуации в процессе выполнения данного контроля;
2) предпринимают меры по подготовке возможного сброса нагрузки.
Источник класса (катастрофически активный) IV - 1) производят немедленное уменьшение нагрузки до 0 либо до величины, при которой класс источника АЭ снизится до уровня II или III класса;
  2) после сброса нагрузки проводят осмотр объекта и при необходимости контроль другими методами.

Каждый более высокий класс источника АЭ предполагает выполнение всех действий, определенных для всех источников более низких классов.

При положительной оценке технического состояния объекта по результатам АЭ контроля или отсутствии зарегистрированных источников АЭ применение дополнительных видов неразрушающего контроля не требуется. Если интерпретация результатов АЭ контроля неопределенна, рекомендуется использовать дополнительные виды неразрушающего контроля.

Окончательная оценка допустимости выявленных источников АЭ и индикаций при использовании дополнительных видов НК осуществляется с использованием измеренных параметров дефектов на основе нормативных методов механики разрушения, методик по расчету конструкций на прочность и других действующих нормативных документов.

VIII. Документальное оформление результатов контроля

Результаты АЭ контроля должны содержаться в отчетных документах - отчете, протоколе и заключении, которые составляются организацией-исполнителем, проводившей АЭ контроль. Протокол и заключение являются частью отчета. Они также могут быть использованы в качестве самостоятельных документов. По результатам испытаний однотипных объектов заказчику может быть представлен единый отчет с указанием регистрационных номеров объектов контроля.

Отчет оформляют по требованию заказчика. Отчетные документы являются конфиденциальными документами, которые передаются только организации-заказчику. Передача отчета либо других материалов, связанных с результатами выполненного АЭ контроля, третьей стороне (юридическому или физическому лицу) может быть допущена только с разрешения заказчика.

Отчет о результатах АЭ контроля должен содержать исчерпывающие данные о подготовке и проведении АЭ контроля, а также информацию, которая позволяет оценить состояние объекта и подтвердить уровень квалификации фирмы и специалистов, проводивших контроль, на основании чего можно судить о достоверности результатов.

Требования к содержанию отчета по результатам АЭ контроля приведены в справочном приложении 4. Формы протокола и заключения приведены в приложениях 1 и 5 соответственно.

Все материалы (рабочие, черновые и т.д.), связанные с АЭ контролем объекта, а также отчетные документы должны храниться у исполнителя не менее 10 лет либо до повторного АЭ контроля объекта. При выполнении повторного АЭ контроля данного объекта другим исполнителем первичные материалы и отчетные документы должны быть переданы ему по требованию заказчика.

IX. Требования безопасности

При выполнении АЭ контроля должны быть обеспечены требования безопасности проведения работ в соответствии с действующими нормативными документами.

При пневмонагружении объекта контроля должны быть предусмотрены соответствующие меры безопасности выполнения работ.

Приложение 1

             ФОРМА ПРОТОКОЛА ПО РЕЗУЛЬТАТАМ КОНТРОЛЯ
 
                            ПРОТОКОЛ
                 АКУСТИКО-ЭМИССИОННОГО КОНТРОЛЯ
       ___________________________________________________
                        (объект контроля)
 
1. Дата проведения контроля: "__" ___________ 200_ г.
 
2. Организация, проводящая контроль:
__________________________________________________________________
 
3. Данные об объекте:
изготовитель
_________________________________________________________________;
номер паспорта ________; дата ввода в эксплуатацию ______________;
 
марка материала __________; ГОСТ (ТУ)
_________________________________________________________________;
 
метод изготовления
_________________________________________________________________;
 
толщина стенки ________ мм; диаметр внутренний ________ мм;
 
размеры контролируемой зоны ________ м;
 
рабочее давление ____________ МПа (_____________________ кгс/см2);
 
рабочая среда
_________________________________________________________________;
 
рабочая температура
_________________________________________________________ град. С;
 
состояние поверхности
_________________________________________________________________;
 
магнитные свойства
_________________________________________________________________;
 
характеристики затухания волн
_________________________________________________________________;
 
эскиз объекта   с   указанием   размеров   и   размещения  ПАЗ  (в
приложении).
 
4. Дополнительные сведения об объекте
__________________________________________________________________
__________________________________________________________________
 
5. Тип и условия испытаний
__________________________________________________________________
 
рабочее тело
__________________________________________________________________
         (гидравлическое или пневматическое) температура
объекта _____________________ град. С и окружающей среды _________
град. С, марка нагружающего оборудования:
__________________________________________________________________
 
испытательное давление _____________ МПа (______________ кгс/см2).
 
6. Параметры графика нагружения:
 
(скорость нагружения ______________, время выдержки _____________,
 
величины нагрузок при выдержках _________________________________)
__________________________________________________________________
        (краткое описание и ссылка на график нагружения)
 
7. Тип  и   характеристика   АЭ   аппаратуры,   включая   название
организации-изготовителя, модель и номер прибора _________________
__________________________________________________________________
 
8. Число и тип преобразователей:
__________________________________________________________________
 
9. Контактная среда:
__________________________________________________________________
 
10. Режимы  работы  аппаратуры  АЭ и проверка ее работоспособности
(до и после испытаний):
    - коэффициент предварительного усиления ______ дБ (______ дБ);
    - коэффициент основного усиления по каналам ______ дБ (_____);
    - уровень порога по каналам _______ дБ (______ мкВ);
    - уровень   собственных   шумов    (приведенных    ко    входу
предусилителя);
_______________________________________ дБ (________________ мкВ);
    - рабочая полоса частот: ________________________________ кГц.
 
11. Изменение параметров аппаратуры в ходе испытаний:
 
12. Перечень приложений:
    - эскиз объекта контроля и схема расстановки ПАЭ;
    - график нагружения;
    - результаты регистрации АЭ.
    - Основные сведения о результатах контроля,  (включая описание
источников,  распределение их по классам: "пассивный", "активный",
"критически активный", "катастрофически активный" и критериям):
 
    -------------------------------
    -------------------------------
           .       .       .
           .       .       .
    -------------------------------
 
Обследование провели:
 
операторы АЭ-контроля
 
II уровня квалификации ___________ (_____________)
                         подпись       фамилия
I уровня квалификации  ___________ (_____________)
                         подпись       фамилия
I уровня квалификации  ___________ (_____________)
                         подпись       фамилия
 

Приложение 2

ТИПОВОЙ ГРАФИК НАГРУЖЕНИЯ

(не приводится)

Приложение 3

СИСТЕМЫ КЛАССИФИКАЦИИ ИСТОЧНИКОВ АКУСТИЧЕСКОЙ ЭМИССИИ И КРИТЕРИИ ОЦЕНКИ ТЕХНИЧЕСКОГО СОСТОЯНИЯ ОБЪЕКТА

Результаты АЭ контроля представляют в виде перечня зарегистрированных источников АЭ, отнесенных к тому или иному классу в зависимости от значения параметров АЭ. Такую оценку производят для каждого источника АЭ сигналов. Оценку технического состояния контролируемого объекта проводят по наличию в нем источников АЭ того или иного класса.

Применение конкретных систем классификации источников АЭ и критериев оценки технического состояния объектов зависит от механических и акустико-эмиссионных свойств материалов контролируемых объектов. Выбор системы классификации и критериев оценки состояния объекта проводят используя перечисленные ниже системы классификации и критерии оценки состояния контролируемого объекта. Допускается применение других систем классификации и критериев оценки (и соответствующих значений параметров сигналов АЭ, определяющих классы источников и критерии оценки) при наличии обоснования их применения.

Выбор системы классификации и критериев оценки производят перед выполнением АЭ контроля и фиксируют в технологии контроля, разработанной на основе данного документа или приведенной в соответствие с ним. После этого исполнитель производит соответствующую настройку аппаратуры и разработку требуемого программного продукта (при необходимости).

П3.1. Амплитудный критерий

Вычисляют среднюю амплитуду Аср не менее трех импульсов с индивидуальной амплитудой Ас для каждого источника АЭ за выбранный интервал наблюдения. Амплитуда корректируется с учетом затухания АЭ сигналов при их распространении в материале.

В предварительных экспериментах определяют граничное значение допустимой амплитуды Аt:

Аt = В1Uпор + В2Ас;

где Unop - значение порога амплитудной дискриминации;

Ас - величина превышения порога АЭ сигналом, соответствующим росту трещины в материале;

В1 и В2 - коэффициенты, определяемые из эксперимента. Значения этих коэффициентов находятся в пределах 0 ... 1.

Классификацию источников производят следующим образом:

источник I класса - источник, для которого не производилось вычисление средней амплитуды импульсов (получено менее трех импульсов за интервал наблюдения);

источник II класса - источник, для которого выполняется неравенство:

Аср < Аt;

источник III класса - источник, для которого выполняется неравенство:

Аср > Аt;

источник IV класса - источник, включающий не менее трех зарегистрированных импульсов, для которых выполняется неравенство:

Аср > Аt.

Конкретные значения At, В1, и В2 зависят от материала контролируемого объекта и определяются в предварительных экспериментах.

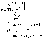
П3.2. Интегральный критерий

Для каждой зоны вычисляют активность источников АЭ сигналов с использованием выражения:

k = 1, 2, 3 ... K

Nk - число событий в k-ом интервале оценки параметров;

Nk+1 - число событий в k+1-ом интервале оценки параметров;

k - номер интервала оценки параметров.

Интервал наблюдения разделяется на k интервалов оценки параметров.

Производят оценку: F << 1;

F = 1;

F > 1.

Вычисляют относительную силу Jk источника АЭ на каждом интервале регистрации:

где AK - средняя амплитуда источника за интервал k;

Ak - средняя амплитуда всех источников АЭ по всему объекту, за исключением анализируемого за интервал k;

W - коэффициент, определяемый в предварительных экспериментах.

Далее производят оценку источника АЭ, используя матрицу:

Jk < 1 Jk > 1 Jk >> 1
F << 1 I II III
F = 1 II II III
F > 1 III III IV

П3.3. Локально-динамический критерий

Оценку производят в реальном масштабе времени с использованием следующих параметров АЭ:

Ni+1 - число выбросов в последующем событии;

Ni - число выбросов в предыдущем событии, либо

Ei+1 - энергия последующего АЭ события;

Ei - энергия предыдущего АЭ события.

Вместо энергии может быть использован параметр (U_m)2 - квадрат амплитуды. Для каждого события вычисляют величины:

Vi+1 = (1 + Рi+1 - Рi )4 - 1,
Рi+1
Wi+1 = Ni+1 , либо Еi+1 ,
Ni Еi

где Рi+1 - значение внешнего параметра в момент регистрации последующего события (если в качестве параметра используют время, тогда это - промежуток времени от начала интервала наблюдения);

Рi - значение внешнего параметра в момент регистрации предыдущего события (если в качестве параметра используют время, тогда это - промежуток времени от начала интервала наблюдения).

Далее производят классификацию источника:

I класс - Wi+1 << Vi+1,

II класс - Wi+1 = Vi+1,

III класс - Wi+1 > Vi+1,

IV класс - Wi+1 >> Vi+1.

П3.4. Интегрально-динамический критерий. (Стандарт NDIS 2412-80, Япония)

П3.4.1 Для каждого источника определяют коэффициент концентрации С:

С = Ni/R(2),

где R - средний радиус источника АЭ.

П3.4.2 Для каждого источника определяют суммарную энергию:

П3.4.3 Согласно пп. П3.4.1 и П3.4.2 оценивают положение точки на плоскости в координатах IgC - IgE (таблица 1). Устанавливается ранг источника. Положение разграничивающих линий определяется предварительными экспериментами.

Таблица 1

(не приводится)

П3.4.4. Формируют величину Р, характеризующую динамику энерговыделения источника на интервале наблюдения:

П3.4.5. Устанавливается тип источника согласно таблице 2.

Таблица 2

Р Тип
Р << 1 1
Р < 1 2
Р = 1 3
Р > 1 4

П3.4.6. Производят классификацию источника согласно таблице 3.

Таблица 3

Тип Ранг
1 2 3 4
1 I I II III
2 I II II III
3 I II III III
4 I III IV IV

П3.5. Критерии Кода ASME

Оценка результатов контроля производится в соответствии с таблицей 4. Конкретные значения параметров зависят от условий контроля, материала контролируемого объекта и его состояния.

Конкретные значения параметров АЭ для ряда объектов (в соответствии с технологией MONPAC) приведены в таблице 5.

Таблица 4

КРИТЕРИИ ОЦЕНКИ ДЛЯ ЗОННОЙ ЛОКАЦИИ <*>

<*> В соответствии с Кодом ASME.

Эмиссия в процессе выдержки нагрузки Скорость счета Число импульсов Число импульсов с большой амплитудой MARSE или амплитуда Активность Порог, дБ
Первое нагружение. Сосуды давления, не прошедшие термообработку после проведения сварочных работ Не более чем Ен импульсов за время Тн Не используется Не используется Не более ЕА импульсов выше заданной амплитуды MARSE или амплитуда импульсов не увеличивается с увеличением нагрузки Активность не увеличивается с увеличением нагрузки VТН
Прочие сосуды давления Не более чем Ен импульсов за время Тн Менее чем NТ выбросов на ПАЕ при заданном увеличении нагрузки Не более ЕТ импульсов выше заданной амплитуды Не более ЕА импульсов выше заданной амплитуды MARSE или амплитуда импульсов не увеличивается с увеличением нагрузки Активность не увеличивается с увеличением нагрузки VТН

Примечания. а) Ен, Nт, Ет и ЕА являются заданными допустимыми значениями параметров АЭ.

б) VТН является заданным порогом.

в) Тн является заданным временем выдержки.

Таблица 5

КРИТЕРИИ ОЦЕНКИ ДЛЯ СИСТЕМ РЕГИСТРАЦИИ АЭ В РЕАЛЬНОМ ВРЕМЕНИ

Эмиссия в процессе выдержки под нагрузкой Скорость счета Число импульсов Импульсы с большой амплитудой Амплитуда импульсов Активность Порог, дБ
1. Новые резервуары              
а) Первое нагружение Примечание. Если данный критерий не срабатывает при первом нагружении, сосуд может быть нагружен повторно и применен критерий b Не более 2 импульсов на каждый ПАЭ в течение 2 минут Не более чем 2000 выбросов на каждый ПАЭ, в процессе превышения эксплуатационного уровня нагрузки на 10% Не более 60 Амплитуда всех импульсов не превышает 65 дБ Амплитуда не растет в процессе роста нагрузки Активность не растет в процессе роста нагрузки 60
b) Повторное нагружение Не более 2 импульсов на каждый ПАЭ в течение 2 минут Не более чем 1000 выбросов на каждый ПАЭ, в процессе превышения эксплуатационного уровня нагрузки на 10% Не более 30 Амплитуда всех импульсов не превышает 65 дБ для углеродистых сталей, титана и циркония или не выше 60 дБ для алюминиесодержащих нержавеющих сталей (300 и 400 серий) Амплитуда не растет в процессе роста нагрузки Активность не растет в процессе роста нагрузки 50
2. Резервуары, находящиеся в эксплуатации Не более 2 импульсов на каждый ПАЭ в течение 2 минут <*> Не более чем 400 выбросов на каждый ПАЭ, в процессе превышения эксплуатационного уровня нагрузки на 5% <*> Не более 60 до уровня эксплуатационной нагрузки и не более 30 на каждые следующие 5% нагрузки <*> Амплитуда не растет в процессе роста нагрузки Активность не растет в процессе роста нагрузки 50 <**>
3. Новые сосуды давления              
а) Первое нагружение Примечание. Если данный критерий не срабатывает при первом нагружении, сосуд может быть нагружен повторно и применен критерий b Не более 2 импульсов на каждый ПАЭ в течение 2 минут Не применяется Не применяется Амплитуда всех импульсов не превышает 65 дБ Амплитуда не растет в процессе роста нагрузки Активность не растет в процессе роста нагрузки 60
b) Повторное нагружение Не более 2 импульсов на каждый ПАЭ в течение 2 минут Не более чем 2000 выбросов всего, в процессе превышения эксплуатационного уровня давления на 10% Не более 60 Амплитуда всех импульсов не превышает 65 дБ для углеродистых сталей, титана и циркония или не выше 60 дБ для алюминиесодержащих нержавеющих сталей (300 и 400 серий) Амплитуда не растет в процессе роста нагрузки Активность не растет в процессе роста нагрузки 50
4. Сосуды давления, находящиеся в эксплуатации Не более 2 импульсов на каждый ПАЭ Не более чем 200 выбросов всего, в процессе превышения эксплуатационного уровня давления на 5% Не более 5 до уровня эксплуатационного давления и не более 20 на каждые следующие 5% давления Амплитуда не растет в процессе роста нагрузки Активность не растет в процессе роста нагрузки 50

<*> Для низкотемпературных резервуаров для хранения аммиака данный критерий трудно применить из-за кипения аммиака и образования льда.

<**> При контроле низкотемпературных резервуаров для хранения аммиака используется 55 дБ.

Примечание. Данная таблица используется в случае применения технологии MONPAC.

П3.6. Система классификации источников АЭ в технологии MONPAC

Источники АЭ разделяются на классы в соответствии со значениями параметров "Силовой индекс" и "Исторический индекс". "Силовой индекс" Sav определяется выражением:

где Soi - сила сигнала i-го события, представляющая собой удвоенную площадь под огибающей импульса АЭ;

Soi/2 = MARSE. Исторический индекс определяется выражением:

После вычисления значений индексов для каждого зарегистрированного импульса АЭ производят классификацию источников в соответствии с таблицей 6, где принята следующая классификация:

Таблица 6

Класс источников АЭ Описание источника АЭ
А - Незначительный источник, регистрируется для учета в будущих испытаниях
В - Источник регистрируется для учета в будущих испытаниях, осматривается поверхность объекта для выявления поверхностных дефектов, вида коррозии, питтинга, трещин и др.
С - Источник свидетельствует о наличии дефекта, требующего последующего анализа данных АЭ контроля, повторного АЭ контроля или контроля с использованием других методов
D - Источник свидетельствует о наличии значительного дефекта, требующего последующего контроля с использованием других методов
E - Источник свидетельствует о наличии большого дефекта, требующего немедленного прекращения нагружения и контроля другими методами

Диаграмма классификации источников АЭ в технологии MONPAC

(не приводится)

П3.7. Критерий непрерывной АЭ

Регистрация непрерывной АЭ, уровень которой превышает пороговый уровень системы контроля, свидетельствует о наличии течи в стенке контролируемого объекта. По критерию непрерывной АЭ ситуация классифицируется следующим образом:

I - отсутствие непрерывной АЭ;

IV - регистрация непрерывной АЭ.

Приложение 4

СОДЕРЖАНИЕ ОТЧЕТА ПО КОНТРОЛЮ

Рекомендуется включать в отчет по выполненному АЭ контролю следующие материалы, помещенные в соответствующих разделах.

1. Содержание

Перечисляются все разделы отчета.

2. Введение

Приводится информация, предваряющая соглашение о проведении АЭ контроля и обосновывающая необходимость выполнения АЭ контроля конкретного объекта.

3. Объект контроля

Приводятся все данные, которые могут повлиять на результаты АЭ контроля. Описывается контролируемый объект, включая материал, метод изготовления, имя изготовителя, краткую историю эксплуатации, включая рабочие и аварийные режимы, а также данные по операциям сброса нагрузки для релаксации перед проведением контроля.

Дается эскиз сосуда или чертеж изготовителя с указанием размеров и положения ПАЭ.

4. Условия контроля

Описываются условия, при которых выполняется АЭ контроль, включая условия окружающей среды, уровень акустических шумов, вибраций, электромагнитных помех. Указываются используемое рабочее тело (испытательная жидкость или газ), температуры рабочего тела, окружающей среды и материала объекта, а также мероприятия по уменьшению уровня помех.

Отмечаются необычные явления и все, что может повлиять на результаты АЭ контроля.

5. Подготовка к проведению АЭ контроля

Описываются все мероприятия, связанные с подготовкой к проведению АЭ контроля. Приводятся все операции по подготовке к контролю, включая подготовку объекта, обоснование выбора числа преобразователей АЭ и схемы расстановки ПАЭ, а также технологические операции по расстановке преобразователей, данные о затухании волн.

6. Система классификации источников АЭ и критерии отбраковки i

Описываются критерии, которые выбраны для АЭ контроля данного объекта. Приводится обоснование выбора конкретного вида критериев и их значения. Приводится классификация источников АЭ и действие операторов iri регистрации источника АЭ того или иного класса.

7. Аппаратура АЭ

Обосновывается выбор аппаратуры и приводятся все существенные параметры выбранной аппаратуры АЭ. Приводится полное описание технических средств АЭ контроля, включая наименование фирмы-изготовителя, номера моделей, тип и число использованных преобразователей, усиление систем, уровень собственных электронных шумов аппаратуры, методику калибров аппаратуры, дату последней калибровки. Описываются преобразователи АЭ включая фирму-изготовитель, тип и параметры ПАЭ, год изготовления и заводской номер, методику калибровки ПАЭ.

Значения коэффициентов усиления и изменения параметров аппаратуры в ходе испытаний помещаются в таблицу.

Таблица

Группа Канал Коэффициент усиления, дБ
_______________ ________________ _______________________________

8. Настройка аппаратуры АЭ

Приводится обоснование по выбору параметров контроля и операции по настройке каналов и всей аппаратуры.

9. Технология контроля

Приводятся конкретные приемы, использованные непосредственно для контроля данного объекта. Отмечаются все отклонения от технологии контроля, составленной перед проведением АЭ контроля, и причины, вызвавшие эти отклонения. В технологию контроля рекомендуется включить данные по пп. 4 ... 10 данного приложения.

10. Проведение АЭ контроля

Описывается процесс АЭ контроля и действия операторов. Анализируются ситуации, возникающие непосредственно при выполнении АЭ контроля.

Приводятся:

график нагружения, который был составлен предварительно, и действительно реализованный график (скорость нагружения, времена выдержки и значения нагрузок); указываются причины отклонений, если они имеются;

корреляция полученных при испытании данных с критериями приемки;

эскиз или чертеж объекта с указанием положения зон, не удовлетворяющих критерию отбраковки;

любые необычные явления или наблюдения при испытаниях.

11. Обработка и представление результатов АЭ контроля

В отчет включаются:

карта градуировки;

карта АЭ контроля;

таблица с описанием АЭ источников;

графический материал, отражающий поведение АЭ источников во время нагружения.

Карта градуировки представляет схему-развертку объекта с указанием положения датчиков, имитаторов АЭ сигналов и результатов градуировки. Она дается в протоколе АЭ контроля.

Карта АЭ контроля представляет схему-развертку объекта, на которой указываются:

положение ПАЭ с соответствующей нумерацией (номер группы/номер преобразователя);

положение основных конструкционных элементов (ребер жесткости, патрубков, сварных швов и пр.);

местоположение дефектов, выявленных другими методами. Графический материал, отражающий динамику процесса АЭ, должен быть представлен в виде графиков зависимостей.

Описываются все выявленные в процессе контроля источники АЭ. Для оценки выявленных источников АЭ следует воспользоваться одним из критериев. Проводится оценка степени их опасности в соответствии с выбранной системой классификации. Выделяются особо все те источники, которые признаны не удовлетворяющими требованиям дальнейшей эксплуатации контролируемого объекта (в соответствии с выбранными признаками и критериями отбраковки).

12. Персонал, занятый АЭ контролем

Перечисляются специалисты, проводившие АЭ контроль. Указываются уровень их квалификации, где и когда получена лицензия, кем выдано удостоверение о квалификации, а также данные об опыте специалистов-контролеров и количестве проконтролированных ими объектов.

13. Заключение по результатам АЭ контроля

Заключение по результатам АЭ контроля выполняется по форме, приведенной в приложении 5. Данные АЭ контроля должны храниться с записями по объекту.

14. Термины, использованные при выполнении контроля и подготовке отчета

15. Приведенные ссылки (техническая литература и НТД)

16. Приложения

В приложения включаются протокол и заключение по результатам проведенного АЭ контроля (формы протокола и заключения приведены в приложениях 1 и 5 данного документа).

На основании заключения по проведенному АЭ контролю в паспорте объекта ответственным за объект лицом делается запись о техническом состоянии контролируемого объекта и сроках проведения следующего контроля.

Приложение 5

            ФОРМА ЗАКЛЮЧЕНИЯ ПО РЕЗУЛЬТАТАМ КОНТРОЛЯ
 
                                                         Утверждаю
                                                          Директор
                                          ________________________
                                            название организации
                                          ________________________
                                              подпись, фамилия
                                               "__" ______ 200_ г.
 
                           ЗАКЛЮЧЕНИЕ
          ПО РЕЗУЛЬТАТАМ АКУСТИКО-ЭМИССИОННОГО КОНТРОЛЯ
 
         Дата проведения контроля: "__" _______ 200_ г.
 
    Место проведения контроля: ___________________________________
 
    Объект контроля: _____________________________________________
 
    Кем проводился контроль: _____________________________________
 
    Детальная информация  о  выполненном  АЭ контроле содержится в
Отчете.
 
    В результате  проведения  акустико-эмиссионного  контроля  при
гидро-  (пневмо)испытании    объекта    были   выявлены   следующие
(пассивные,   активные,   критически   активные,   катастрофически
активные)  источники  акустической  эмиссии,  на  основании   чего
сделано следующее заключение:
__________________________________________________________________
__________________________________________________________________
__________________________________________________________________
 
Выводы и рекомендации: ___________________________________________
__________________________________________________________________
__________________________________________________________________
 
    Заключение составил
    специалист АЭ контроля
    II уровня квалификации ___________ (_____________)
                             подпись       фамилия