Информационное письмо ФЭК РФ от 03.06.2003 N КГ-1891/11

"О разъяснениях к п. 18 Методических указаний по расчету тарифов и цен на электрическую (тепловую) энергию на розничном (потребительском) рынке"

ФЕДЕРАЛЬНАЯ ЭНЕРГЕТИЧЕСКАЯ КОМИССИЯ РОССИЙСКОЙ ФЕДЕРАЦИИ

ИНФОРМАЦИОННОЕ ПИСЬМО
от 3 июня 2003 г. N КГ-1891/11

О РАЗЪЯСНЕНИЯХ К П. 18 МЕТОДИЧЕСКИХ УКАЗАНИЙ ПО РАСЧЕТУ ТАРИФОВ И ЦЕН НА ЭЛЕКТРИЧЕСКУЮ (ТЕПЛОВУЮ) ЭНЕРГИЮ НА РОЗНИЧНОМ (ПОТРЕБИТЕЛЬСКОМ) РЫНКЕ

В связи с участившимися обращениями региональных энергетических комиссий и субъектов регулирования по вопросам применения пункта 18 Методических указаний по расчету регулируемых тарифов и цен на электрическую (тепловую) энергию на розничном (потребительском) рынке ФЭК России дает следующие разъяснения (прилагаются).

Г.КУТОВОЙ

РАЗЪЯСНЕНИЯ

К пункту 18 Методических указаний по расчету регулируемых тарифов и цен на электрическую (тепловую) энергию на розничном (потребительском) рынке

В регионе (на территории субъекта Российской Федерации) имеются две энергоснабжающие организации: АО-энерго и другая организация, осуществляющая покупку у АО-энерго электрической энергии и мощности для последующей их перепродажи потребителям (ЭСО).

Нормативы технологического расхода электрической энергии по сетям АО-энерго и ЭСО: ВН - 4%, СН - 8%, НН - 12%.

Состав потребителей и объемы их электропотребления представлены в таблице 1 (из сетей АО-энерго получают электрическую энергию базовый потребитель, население, бюджетный потребитель, прочий потребитель и ЭСО, а из сетей ЭСО - население, бюджетный потребитель и прочий потребитель).

Таблица 1

Состав потребителей и объемы их электропотребления на расчетный период регулирования

Показатели Потребители АО-энерго Потребители ЭСО
1. Базовый потребитель    
1.1 Полезный отпуск электроэнергии, млн. кВт.ч 1800  
1.2 Заявленная мощность, МВт 250  
1.3 Присоединение к уровню напряжения ВН  
1.4 Выбранный из тарифного меню вариант расчетов двухставочный  
2. Население    
2.1 Полезный отпуск электроэнергии, млн. кВт.ч 200 364,32
2.2 Заявленная мощность, МВт 50 91,08
2.3 Присоединение к уровню напряжения НН НН
2.4 Выбранный из тарифного меню вариант расчетов одноставочный одноставочный
3. Бюджетный потребитель    
3.1 Полезный отпуск электроэнергии, млн. кВт.ч 300 368
3.2 Заявленная мощность, МВт 75 92
3.3 Присоединение к уровню напряжения СН СН
3.4 Выбранный из тарифного меню вариант расчетов одноставочный одноставочный
4. Прочий потребитель    
4.1 Полезный отпуск электроэнергии, млн. кВт.ч 1000 468
4.2 Заявленная мощность, МВт 200 93,6
4.3 Присоединение к уровню напряжения СН СН
4.4 Выбранный из тарифного меню вариант расчетов двухставочный двухставочный
5. ЭСО    
5.1 Полезный отпуск электроэнергии, млн. кВт.ч 1200  
5.2 Заявленная мощность, МВт 276,68  
5.3 Присоединение к уровню напряжения СН  
5.4 Выбранный из тарифного меню вариант расчетов В соответствие с выбранным собственными потребителями вариантом  

С учетом технологических потерь электроэнергии отпуск электроэнергии в сети АО-энерго и ЭСО представлен в таблице 2 (в сеть АО-энерго электроэнергия поступает по высокому напряжению, а в сеть ЭСО - по среднему напряжению).

Таблица 2

Отпуск электроэнергии в сети АО-энерго и ЭСО

Показатели АО-энерго ЭСО
Отпуск электроэнергии в сеть всего (млн. кВт.ч), 5142,64 1358,7
в т.ч. в сеть:    
ВН 5142,64  
СН 3133,93 1358,7
НН 227,27 414

Электрическая энергия, поставляемая потребителем, вырабатывается на собственных электростанциях АО-энерго и покупается на оптовом рынке.

Структура расходов на производство электроэнергии представлена в таблице 3.

Таблица 3

Структура расходов на производство электроэнергии

Показатели Всего Собственная генерация Покупка с ФОРЭМ
НВВ всего (млн. рублей), в т.ч.: 1885,92 992,59 893,33
НВВ, относимая на электроэнергию; 962,88 595,55 367,33
НВВ, относимая на мощность 923,04 397,04 526
Отпуск в сеть электроэнергии (млн. кВт.ч) 5142,64 2057,06 3085,58
Заявленная мощность, МВт 851,68 340,67 511,01

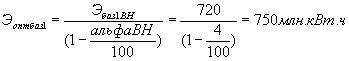
Определяем долю полезного отпуска электрической энергии потребителем 1 группы в полезном отпуске всем потребителям ЭСО К1 по формуле (77):

К1 = Эпол1 = 1800 = 0,4.
ЭполЭСО 4500

Определяем базовую часть полезного отпуска электрической энергии Эбаз1 и заявленной мощности Nбаз1 потребителям группы 1 по формулам (78) и (79):

Эбаз1 = К1 x Эпол1 = 0,4 x 1800 = 720 млн. кВт.ч

Nбаз1 = К1 x Nзаявл1 = 0,4 x 250 = 100 МВт.

Рассчитываем базовую часть тарифов на электрическую энергию и мощность по тарифным ставкам за электрическую энергию и мощность ПЭ, имеющего наименьший одноставочный тариф на электрическую энергию (в нашем случае - это покупка с ФОРЭМ) по формулам (80) и (81):

Оставшиеся части тарифов (цен) на электрическую энергию и мощность , отпускаемые потребителю группы 1, определяем по формулам (82) - (86):

x Эотп.баз1 = 367,33 x 750 = 89,286 млн.руб.
3085,58
526 x 100 = 102,933 млн.руб.
511,01
367,33 + 595,55 - 89,286 = 0,198877 руб./кВт.ч
2057,06 + 3085,58 - 750
529 + 397,04 - 102,9334 = 1,095022 млн. руб./МВт.
340,67 + 511,01 - 100

Средневзвешенные тарифы (цены) на электрическую энергию и мощность для потребителей группы 1 определяем по формулам (87) и (88):

= 0,119047 x 750 + 0,198877 x (1875 - 750) = 0,166945 руб./кВт.ч
1875

1,02933 x 100 + 1,095022 x (250 - 100) = 1,06875 млн. руб./МВт
250

Определяем тарифные выручки, полученные всеми ПЭ от потребителей группы 1 за отпуск электрической энергии и мощности по формулам (89) и (90):

= 0,166945 x 1875 = 313,02 млн. рублей

= 1,06875 x 250 = 267,187 млн. рублей.

Средние тарифы (цены) на электрическую энергию и , отпускаемую потребителям групп 2 - 4, определяем по формулам (91) и (92):

595,55 + 367,33 - 313,0219 = 0,198877 руб./кВт.ч
2057,06 + 3085,58 - 1875
397,04 + 526 - 267,187 = 1,090037 млн. руб./МВт.
340,67 + 511,01 - 250

Тарифные выручки, полученные всеми ПЭ от потребителей групп 2 - 4 за отпуск электрической энергии ТВ и мощности Т, определяем по формулам (94) и (95):

= 0,198877 x (5142,64 - 1875) = 649,8584 млн. руб.

= 1,09003656 x (851,68 - 250) = 655,853 млн. руб.

Объемы технических потерь электроэнергии в сетях АО-энерго и ЭСО, оплачиваемые потребителями и рассчитываемые по формулам (37) - (40), представлены в таблице 4.

Таблица 4

Технические потери электроэнергии в сетях АО-энерго и ЭСО, млн. кВт.ч

Потребители Потери электроэнергии в сетях
АО-энерго ЭСО
ВН СН НН СН НН
1. Потребители АО-энерго:          
- базовый потребитель; 12,52        
- население; 2,05 3,93 5,42    
- бюджетный потребитель; 2,7 5,19      
- прочий потребитель; 9,01 17,29      
- ЭСО 12,24 23,5      
2. Потребители ЭСО:          
- население; 4,05 7,78   7,16 9,88
- бюджетный потребитель; 3,6 6,92   6,36  
- прочий потребитель 4,58 8,8   8,09  

Объемы тарифных выручек, получаемые ПЭ от потребителей энергии, представлены в таблице 5.

Таблица 5

Тарифные выручки, получаемые ПЭ от потребителей энергии, млн. руб.

Потребители Тарифная выручка
Всего за мощность за энергию в т.ч. потери электроэнергии
1. Потребители АО-энерго:        
- базовый потребитель; 580,21 267,19 313,02 12,52
- население; 105,68 54,5 51,18 11,4
- бюджетный потребитель; 149,3 81,75 67,55 7,89
- прочий потребитель; 443,19 218,01 225,18 26,3
- ЭСО 571,8 301,59 305,95 35,73
2. Потребители ЭСО:        
- население; 200,61 99,28 101,33 28,87
- бюджетный потребитель; 190,35 100,28 90,07 16,88
- прочий потребитель 216,58 102,03 114,55 21,47

Структура расходов на содержание электрических сетей АО-энерго и ЭСО представлена в таблице 6.

Таблица 6

Структура расходов на содержание электрических сетей, млн. руб.

Показатели Всего АО-энерго ЭСО
НВВ всего, 1800 1400 400
в т. ч. относимая на:      
ВН 800 800  
СН 800 500 300
НН 200 100 100

Расчет ставок платы за содержание электрических сетей по уровням напряжения, производимый по формулам (31) - (33), представлен в таблице 7.

Таблица 7

Ставки платы за содержание электрических сетей, млн. руб. в мес./МВт

Показатели АО-энерго ЭСО
Ставка платы за содержание электрических сетей:    
ВН 0,078276661  
СН 0,147527204 0,090357091
НН 0,314193871 0,181851748

Расчет тарифных выручек, полученных АО-энерго и ЭСО от потребителей электроэнергии за содержание электрических сетей, представлен в таблице 8.

Таблица 8

Тарифные выручки, получаемые АО-энерго и ЭСО от потребителей электроэнергии за содержание электрических сетей

Потребители Тарифная выручка
Всего АО-энерго ЭСО
1. Потребители АО-энерго:      
- базовый потребитель; 234,83 234,83  
- население; 188,52 188,52  
- бюджетный потребитель; 132,77 132,77  
- прочий потребитель; 354,07 354,07  
- ЭСО 489,81 489,81  
2. Потребители ЭСО:      
- население; 360 161,24 198,76
- бюджетный потребитель; 262,62 162,87 99,75
- прочий потребитель 267,19 165,70 101,49

Тарифы на электрическую энергию определяются в зависимости от выбора региональной комиссией того или иного подхода, изложенного в п. 18 настоящих Методических указаний.

1. Для случая применения абзаца 1 п. 18 настоящих Методических указаний расчет тарифных ставок и тарифной выручки для потребителей электроэнергии представлен в таблицах 9 и 10.

Таблица 9

Тарифные ставки для потребителей электроэнергии

Потребители Тарифные ставки
за электроэнергию, коп./кВт.ч за мощность, тыс. руб в мес./МВт одноставочный коп./кВт.ч
1. Потребители АО-энерго:      
- базовый потребитель; 17,39 167,34  
- население; 25,59 405,033 147,1
- бюджетный потребитель; 22,5167 238,3556 94,0233
- прочий потребитель; 22,518 238,366  
- ЭСО 22,518 238,362 84,1259 <*>
2. Потребители ЭСО:      
- население; 27,81346 420,2167 153,8785
- бюджетный потребитель; 24,4755 328,7138 123,0897
- прочий потребитель 24,4765 328,7215  

<*> В части электроэнергии, потребляемой населением и бюджетным потребителем ((22,518 x 850 + 238,362 x 12 x 0,001 x 100 x 183,08) / 850 = 84,1259 коп./кВт.ч).

Для потребителей электрической энергии, рассчитывающихся по одноставочным тарифам, пересчет двухставочных тарифов в одноставочные производится по формуле (105).

Таблица 10

Тарифные выручки, получаемые АО-энерго и ЭСО от потребителей электроэнергии, млн. руб.

Потребители Тарифная выручка
за энергию за мощность сумма товарной выручки
1. Потребители АО-энерго:      
- базовый потребитель; 313,02 502,02 815,04
- население; 51,18 243,02 294,2
- бюджетный потребитель; 67,55 214,52 282,07
- прочий потребитель; 225,18 572,08 797,26
- ЭСО 305,95 791,4 1097,35
2. Потребители ЭСО:      
- население; 101,33 459,28 560,61
- бюджетный потребитель; 90,07 362,9 452,97
- прочий потребитель 114,55 369,22 483,77

2. В случае применения абзаца 2 п. 18 настоящих Методических указаний расчет тарифных ставок и тарифной выручки для потребителей электроэнергии определяется следующим образом.

2.1. Суммируются:

- тарифные выручки, получаемые АО-энерго и ЭСО за содержание электрических сетей отдельно от всего населения ( и ) и всех бюджетных потребителей ( и );

- величины заявленных мощностей всего населения и всех бюджетных потребителей .

= 548,52 млн. руб.

= 132,77 + 262,62 = 395,39 млн. руб.

= 50 + 91,08 = 141,08 МВт

= 75 + 92 = 167 МВт.

2.2. Определяются соответствующие:

- ставки платы для населения и бюджетных потребителей , за содержание электрических сетей путем деления соответствующих суммарных тарифных выручек на соответствующие суммарные заявленные мощности;

- тарифные выручки, получаемые за содержание электрических сетей АО-энерго от населения и бюджетного потребителя путем умножения ставок платы ( и ) на заявленные мощности населения и бюджетного потребителя, присоединенных непосредственно к сетям АО-энерго ( и ).

= 548,52 / (141,08 x 12) = 0,324 млн. руб в мес./МВт

= 395,39 / (167 x 12) = 0,1973 млн. руб. в мес./МВт

= 0,324 x 50 x 12 = 194,4 млн. руб.

= 0,1973 x 75 x 12 = 177,57 млн. руб.

2.3. Определяется дополнительный доход АО-энерго от увеличения тарифной выручки, получаемой за содержание электрических сетей от населения и бюджетного потребителя , вызванный использованием единых для АО-энерго и ЭСО ставок платы за содержание электрических сетей для населения и бюджетных потребителей .

194,4 + 177,57 - 188,52 - 132,77 = 50,68 млн. руб.

2.4. На величину дополнительного дохода АО-энерго делается скидка к плате за содержание электрических сетей АО-энерго, взимаемой с ЭСО , которая распространяется на присоединенных к сетям ЭСО население и бюджетного потребителя.

= 50,68 / (276,68 x 12) = 0,01526 млн. руб. в мес./МВт.

2.5. Суммируются:

- тарифные выручки, получаемые АО-энерго и ЭСО по ставкам платы за электрическую энергию, отпускаемую всему населению ( и ) и всем бюджетным потребителям ( и );

- величины полезных отпусков электрической энергии всего населения и всех бюджетных потребителей .

= 51,18 + 101,33 == 152,51 млн. руб.

= 67,55 + 90,07 = 157,62 млн. руб.

= 200 + 364,32 = 564,32 МВт

= 300 + 368 = 668 МВт.

2.6. Определяются соответствующие:

- ставки платы для населения и бюджетных потребителей за электрическую энергию путем деления соответствующих суммарных тарифных выручек на соответствующие суммарные полезные отпуски электрической энергии;

- тарифные выручки, получаемые за электрическую энергию от населения и бюджетного потребителя путем умножения ставок платы ( и ) на полезный отпуск электрической энергии населению и бюджетному потребителю, присоединенных непосредственно к сетям АО-энерго ( и ).

= 152,51 / 564,32 = 27,025447 коп./кВт.ч

= 157,62 / 668 = 23,59581 коп./кВт.ч

= 27,025447 x 100 x 200 = 54,0509 млн. руб.

= 23,59581 x 100 x 300 = 70,78743 млн. руб.

2.7. Определяется дополнительный доход АО-энерго от увеличения тарифной выручки, получаемой за электрическую энергию от населения и бюджетного потребителя , вызванный использованием единых для АО-энерго и ЭСО ставок платы за электрическую энергию для населения и бюджетных потребителей .

= 54,0509 + 70,79 - 51,18 - 67,55 = 6,10833 млн. руб.

2.8. На величину дополнительного дохода АО-энерго делается скидка к плате за электрическую энергию, взимаемая с ЭСО , которая распространяется на присоединенных к сетям ЭСО население и бюджетного потребителя.

= 6,10833 / 1358,7 = 0,44957 коп./кВт.ч.

Расчет тарифных ставок и тарифной выручки для потребителей электроэнергии представлен в таблицах 11 и 12.

Таблица 11

Тарифные ставки для потребителей электроэнергии

Потребители Тарифные ставки
за электроэнергию, коп./кВт.ч за мощность, тыс. руб. в мес./МВт одноставочный коп./кВт.ч
1. Потребители АО-энерго:      
- базовый потребитель; 17,39 167,34 151,47545
- население; 27,025447 414,84 110,0367
- бюджетный потребитель; 23,59581 288,13  
- прочий потребитель; 22,518 238,366  
- ЭСО 22,06843 223,0957 79,731057 <*>
2. Потребители ЭСО:      
- население; 27,025447 414,84 151,476
- бюджетный потребитель; 23,59581 288,13 110,036
- прочий потребитель 24,4765 328,7215  

<*> (22,06843 x 850 + 223,0957 x 12 x 0,001 x 100 x 183,08) / 850 = 79,731057

Таблица 12

Тарифные выручки, получаемые АО-энерго и ЭСО от потребителей электроэнергии, млн. руб.

Потребители Тарифная выручка
за энергию за мощность сумма товарной выручки
1. Потребители АО-энерго:      
- базовый потребитель; 313,02 502,02 815,04
- население; 54,0509 248,9 302,95
- бюджетный потребитель; 70,79 259,32 330,11
- прочий потребитель; 225,18 572,08 797,26
- ЭСО 299,84 740,72 1040,56
2. Потребители ЭСО:      
- население; 98,45919 453,4 551,86
- бюджетный потребитель; 86,83258 318,1 404,93
- прочий потребитель 114,55 369,22 483,77