Письмо Госкомстата РФ от 14.02.2002 N ОР-09-23/692

"О методологических рекомендациях по проведению обследования по определению степени использования общественного транспорта различными категориями граждан (транспортной подвижности граждан)"

ГОСУДАРСТВЕННЫЙ КОМИТЕТ РОССИЙСКОЙ ФЕДЕРАЦИИ ПО СТАТИСТИКЕ

ПИСЬМО
от 14 февраля 2002 г. N ОР-09-23/692

Госкомстат России направляет Методологические рекомендации по проведению обследования по определению степени использования общественного транспорта различными категориями граждан (транспортной подвижности граждан), утвержденные 19 декабря 2001 года.

Пилотное обследование проводится в соответствии с производственным планом на 2002 г. (работа N 18152021) табличным методом в 16 регионах: в Республиках Бурятия, Ингушетия, Коми, Саха (Якутия), Чувашской; Хабаровском крае, Вологодской, Воронежской, Ивановской, Камчатской, Московской, Омской, Орловской, Томской, Тюменской областях и Ненецком автономном округе.

Заместитель Председателя
О.П.РЫБАК

УТВЕРЖДЕНЫ
Госкомстатом России
19 декабря 2001 года

МЕТОДОЛОГИЧЕСКИЕ РЕКОМЕНДАЦИИ
ПО ПРОВЕДЕНИЮ ОБСЛЕДОВАНИЯ ПО ОПРЕДЕЛЕНИЮ СТЕПЕНИ ИСПОЛЬЗОВАНИЯ ОБЩЕСТВЕННОГО ТРАНСПОРТА РАЗЛИЧНЫМИ КАТЕГОРИЯМИ ГРАЖДАН (ТРАНСПОРТНОЙ ПОДВИЖНОСТИ ГРАЖДАН)

ВВЕДЕНИЕ

Городской и пригородный общественный транспорт имеет важное социально-экономическое значение, обеспечивая вовлечение населения в производственную деятельность и способствуя удовлетворению его культурно-бытовых нужд. Ежедневно всеми видами общественного пассажирского транспорта Российской Федерации в городском и пригородном сообщении перевозится более 124 млн. пассажиров.

Между тем действующий порядок статистического учета объемов перевозок пассажиров и пассажирооборота на автобусном, трамвайном и троллейбусном транспорте не отражает реального положения и приводит к искажению статистической отчетности, соответствующих выводов и управленческих решений по вопросам обеспечения работы общественного транспорта. В Инструкциях по составлению государственной статистической отчетности по автомобильному транспорту (утв. Постановлением Госкомстата России от 21.10.94 N 222) и по трамвайному и троллейбусному транспорту (утв. Постановлением Госкомстата России от 22.08.96 N 105) имеют место расхождения в определении количества поездок для отдельных категорий пассажиров, неоправданное их завышение или занижение в ряде случаев, о чем свидетельствуют многочисленные запросы, поступающие с мест.

В связи с этим необходимо совершенствование существующей системы статистического учета объемов перевозок пассажиров. Совершенствование должно осуществляться путем уточнения методологии учета на основе установления достоверных расчетных нормативов подвижности различных категорий пассажиров. Расчетные нормативы по подвижности могут быть установлены посредством натурных обследований.

В рамках данного исследования разработаны Методологические рекомендации по проведению обследования по определению степени использования общественного транспорта различными категориями граждан (транспортной подвижности граждан). Помимо разделов по организации проведения обследований в Методологических рекомендациях содержатся: Методика расчета нормативных показателей транспортной подвижности различных категорий граждан; Методика статистической оценки объемов перевозок пассажиров.

На следующих этапах работ целесообразно уточнение разработанных Методологических рекомендаций путем проведения пилотных обследований.

I. ОБЩИЕ ПОЛОЖЕНИЯ

1. Настоящие Методологические рекомендации предназначены для методического обеспечения статистических обследований перевозок пассажиров автобусным и наземным городским электрическим транспортом (трамвай, троллейбус) в городском и пригородном сообщениях и степени использования общественного пассажирского транспорта различными категориями граждан.

2. Основной целью статистических обследований с применением настоящих Методологических рекомендаций является повышение достоверности данных об объемах перевозок пассажиров общественным транспортом.

3. Методологические рекомендации содержат:

- рекомендации по организации подготовки статистического обследования перевозок пассажиров;

- методологические рекомендации по выбору объектов, методов и сроков проведения статистических обследований, а также по определению необходимых для этого трудовых, материальных и финансовых ресурсов;

- методику расчета объема репрезентативной выборки для проведения выборочного обследования перевозок пассажиров;

- методологию учета перевозимых пассажиров и обследования транспортной подвижности различных категорий граждан при проведении обследования перевозок пассажиров автобусным и наземным городским электрическим транспортом анкетным, талонным и табличным методами;

- методику определения степени использования общественного транспорта различными категориями граждан (расчета нормативных показателей транспортной подвижности граждан);

- методику статистической оценки объемов перевозок пассажиров и пассажирооборота, выполняемых автобусным транспортом в городском и пригородном сообщениях и наземным городским электротранспортом, с использованием полученных по результатам обследования нормативных показателей;

- рекомендации по организации проведения статистических обследований и обработке его материалов.

4. В целях учета изменений в объемах и структуре поездок различных категорий пассажиров статистические обследования пассажиропотоков на городском и пригородном транспорте целесообразно проводить не реже одного раза в 5 лет по всем городам и поселкам городского типа, имеющим внутригородские (внутрипоселковые) и пригородные маршруты движения общественного пассажирского транспорта.

Проведение обследований в регионе целесообразно осуществлять в населенных пунктах с различной численностью населения, при этом не менее чем по двум из каждой категории населенных пунктов.

Группировка городов (населенных пунктов) по численности населения, тысяч человек:

до 100, от 101 до 250, от 251 до 500, от 501 до 1000, более 1000.

Статистические обследования проводятся по решению или по согласованию с соответствующим местным органом исполнительной власти (по представлению региональных органов государственной статистики и органов управления общественным транспортом).

5. Для участия в проведении статистических обследований привлекаются предприятия автомобильного транспорта (автобусные парки, автоколонны, смешанные АТП и др.), занятые осуществлением перевозок пассажиров на внутригородских и пригородных маршрутах, и предприятия наземного городского электрического транспорта (трамвайные депо, троллейбусные парки, трамвайно-троллейбусные объединения и др.) независимо от их форм собственности.

6. Настоящие Методологические рекомендации используются органами государственной статистики, предприятиями и организациями автомобильного и наземного городского электрического транспорта при подготовке и проведении ими статистических обследований транспортной подвижности различных категорий граждан и перевозок пассажиров общественным транспортом в городском и пригородном сообщениях.

7. На основании данных проведенных обследований определяются:

коэффициенты соотношения льготных и платных поездок пассажиров; среднедневное количество поездок одного пассажира с правом бесплатного проезда в общественном пассажирском транспорте по категориям граждан; среднедневное количество поездок одного пассажира с использованием абонементного билета долговременного пользования. По нормативам статистических коэффициентов и показателей осуществляется оценка объемов перевозок различных категорий пассажиров.

II. ОРГАНИЗАЦИЯ ПОДГОТОВКИ СТАТИСТИЧЕСКОГО ОБСЛЕДОВАНИЯ

Организация статистического обследования транспортной подвижности различных категорий граждан и перевозок пассажиров во внутригородском и пригородном сообщениях включает следующие три этапа:

подготовительный;

проведения обследования;

обработки и анализа материалов обследования.

К основным организационным мероприятиям по подготовке статистического обследования относятся:

1. Принятие решения о проведении обследования

1.1. Решение о проведении статистического обследования перевозок пассажиров на городском и пригородном общественном пассажирском транспорте принимается не менее чем за один месяц до начала обследования соответствующим местным органом исполнительной власти (администрацией) по представлению региональных органов государственной статистики и органов управления общественным транспортом.

Статистические обследования могут осуществляться также и на основании совместного решения региональных органов государственной статистики и органов управления общественным транспортом, согласованного с соответствующим местным органом исполнительной власти (администрацией) и заинтересованными предприятиями и организациями.

1.2. Решением о проведении обследования перевозок пассажиров предусматривается образование возглавляемой заместителем главы местного органа исполнительной власти (администрации города) специальной комиссии (рабочей группы) по проведению обследования пассажиропотоков, в состав которой включаются руководители региональных органов государственной статистики и управления транспортом, предприятий общественного пассажирского транспорта и других организаций. Указанным решением утверждается план основных мероприятий по подготовке и проведению обследования перевозок пассажиров, устанавливаются сроки их выполнения, назначаются должностные лица, ответственные за реализацию мероприятий, определяются объемы бюджетных средств, направляемых на проведение обследования.

Типовой план мероприятий по подготовке проведения статистического обследования перевозок пассажиров на городском и пригородном общественном транспорте представлен в Приложении N 1 к настоящим Методологическим рекомендациям.

1.3. На основании решения местного органа исполнительной власти (администрации города) руководителями органов статистики, предприятий общественного пассажирского транспорта и других организаций, участвующих в проведении обследования, издаются соответствующие приказы, в которых определяется порядок работы по подготовке и проведению обследования, назначаются лица, ответственные за обеспечение сбора, учета и обработки информации и выполнение других мероприятий, связанных с проведением обследования.

2. Определение категорий и групп пассажиров для проведения обследования пассажиропотоков и транспортной подвижности граждан

Для целей проведения обследования пассажирских перевозок на городском и пригородном транспорте рекомендуется использовать действующую классификацию перевозимых пассажиров по категориям и группировку их по определенным признакам.

2.1. Платные пассажиры. К этой категории относятся пассажиры, оплатившие свой проезд за наличный (безналичный) расчет, в том числе путем приобретения:

2.1.1. Разовых билетов.

2.1.2. Абонементных талонов (группа "АТ").

2.1.3. Абонементных билетов долговременного пользования (группа "АБ").

2.2. Пассажиры, пользующиеся правом бесплатного проезда на общественном транспорте. К этим категориям относятся пассажиры, имеющие установленное действующим законодательством право на бесплатный проезд общественным транспортом. Эту категорию пассажиров предлагается подразделить на 5 групп со следующими условными обозначениями (Приложение N 2):

2.2.1. Группа "П" - пенсионеры и ветераны (включая ветеранов труда и боевых действий; участников Великой Отечественной войны; лиц, награжденных орденами и медалями за самоотверженный труд и безупречную воинскую службу в тылу в годы ВОВ, медалью "За оборону Ленинграда" или Знаком "Жителю блокадного Ленинграда"; бывших несовершеннолетних узников фашистских концлагерей в возрасте до 16 лет на момент освобождения; необоснованно репрессированных граждан, получивших официальную полную реабилитацию, и другие категории пенсионеров).

2.2.2. Группа "И" - инвалиды (включая инвалидов войны; лиц, ставших инвалидами вследствие ранения, контузии или увечья, полученных при исполнении обязанностей военной службы (служебных обязанностей) в органах внутренних дел; инвалидов труда; инвалидов с детства, получающих государственные пенсии и пособия; инвалидов-слепых; инвалидов, не имеющих обеих рук или ног, руки или ноги, с параличом двух конечностей; лиц, заболевших лучевой болезнью в результате аварии на Чернобыльской АЭС и при выполнении работ по ее ликвидации; другие категории инвалидов, а также лиц, сопровождающих в поездах инвалидов 1 группы).

2.2.3. Группа "ВС" - военнослужащие (включая военнослужащих Минобороны России, внутренних войск МВД России, МЧС России, Минсвязи России, Минатома России, Федеральной службы безопасности, железнодорожных войск, строительных войск; курсантов военных учебных заведений, лиц из подразделений особого риска и Государственной противопожарной службы; жен военнослужащих, погибших вследствие ранения, контузии или увечья, полученных при исполнении обязанностей военной службы).

2.2.4. Группа "ВУ" - работники органов власти и управления (включая депутатов Госдумы Федерального Собрания Российской Федерации и их помощников; депутатов законодательных органов власти субъектов Российской Федерации и местных законодательных органов власти; судей Российской Федерации, судебных приставов-исполнителей, работников милиции, прокуратуры, таможенных органов налоговой полиции, Российской транспортной инспекции и других органов власти и управления).

2.2.5. Группа "ПР" - прочие категории (включая Героев СССР, Российской Федерации и полных кавалеров ордена Славы; Героев Социалистического труда и полных кавалеров Трудовой Славы; детей-сирот и детей, оставшихся без попечения родителей; детей и их родителей из многодетных семей; школьников, проживающих в сельской местности; участников ликвидации последствий катастрофы на Чернобыльской АЭС; водителей трамваев, троллейбусов и автобусов предприятий общественного пассажирского транспорта; работников дорожных органов, санитарно-эпидемиологической службы, почтальонов, социальных работников и другие категории граждан).

В случае, если пассажир с правом бесплатного проезда по нескольким основаниям может быть отнесен одновременно к двум или более группам, он учитывается только в одной из этих групп.

3. Определение периода для проведения обследования пассажирских перевозок

Наиболее целесообразным для проведения статистического обследования пассажирских перевозок являются периоды с устойчивыми пассажиропотоками, в которых коэффициент их неравномерности равен 1,0 или находится в пределах, наиболее близких к 1,0.

3.1. Выбор месяца года для проведения обследования осуществляется по коэффициенту сезонной неравномерности объемов перевозок пассажиров для i-го месяца года (К_снi), определяемому по формуле:

К_снi = P_мi x n_г , (1)
P_г x n_мi

где:

P_мi, P_г - объемы перевозок пассажиров в i-м месяце и в целом за год, предшествующий периоду проведения обследования;

n_мi, n_г - число календарных дней в i-м месяце и в целом за год, предшествующий периоду проведения обследования.

Пример.

Объем перевозок пассажиров за 2001 год (n_г = 365) на городских и пригородных маршрутах (P_г) составил 20950 млн. пассажиров, в том числе по месяцам:

P_мi n_мi К_снi
январь 1500 31 0,845
февраль 1370 28 0,855
март 1650 31 0,930
апрель 1740 30 1,013
май 1810 31 1,020
июнь 1830 30 1,066
июль 1880 31 1,059
август 1920 31 1,082
сентябрь 1900 30 1,106
октябрь 1850 31 1,043
ноябрь 1800 30 1,048
декабрь 1700 31 0,958.

Поскольку значение К_сн, наиболее близкое к 1,0, находится в апреле (К_сн = 1,013), то этот месяц и выбирается для проведения обследования пассажиропотоков.

3.2. Определение календарных дней выбранного месяца для проведения обследования.

Рекомендуется проводить обследования как минимум в один из будних дней и в один из выходных дней выбранного месяца.

Будний день недели для проведения обследования выбирается по коэффициенту недельной неравномерности пассажиропотоков (К_ннj), определяемому по формуле:

где:

P_днj - объем перевозок пассажиров в j-й день недели i-го месяца, выбранного для проведения обследования пассажиропотоков;

m_j - количество j-х дней недели в i-м месяце.

Пример.

Объем перевозок пассажиров в апреле месяце 2001 г. (n_мi = 30) составил 1740 млн. пассажиров (P_мi), в том числе по дням недели (P_днj):

Дни недели 1-я неделя 2-я неделя 3-я неделя 4-я неделя 5-я неделя m_j К_ннj
Понедельник   65 66 68 69 4 268 1,115
Вторник   62 63 64 65 4 254 1,095
Среда   64 65 66 66 4 261 1,125
Четверг   65 66 67 68 4 266 1,147
Пятница   67 68 69 69 4 273 1,177
Суббота 43 44 45 44 45 5 221 0,762
Воскресенье 38 39 40 39 41 5 197 0,679

Наиболее близкое значение К_ннj к 1,0 имеется во вторник (К_ннj = 1,095), который и целесообразно принять для проведения обследования пассажиропотоков в будние дни.

Таким образом, в данном примере обследование пассажирских перевозок наиболее целесообразно провести в апреле 2002 года во вторник и субботу. При необходимости сроки проведения обследования могут быть увеличены до 3-х дней (2 будних дня - вторник, понедельник (К_ннj = 1,115) и суббота) или до 4-х дней (вторник, понедельник, суббота и воскресенье). Исходя из этого устанавливаются конкретные календарные дни апреля месяца для проведения обследования.

4. Выбор методов обследования перевозок пассажиров

4.1. Обследование пассажирских перевозок и транспортной подвижности населения городов осуществляется с применением различных методов, из которых наибольшее практическое распространение получили анкетный, талонный, табличный и визуальный.

4.2. Анкетный метод обследования перевозок пассажиров основан на заполнении гражданами или специальными учетчиками анкет опроса о количестве поездок, цели и способах передвижения, маршрутах следования, местах пересадки, времени передвижения и для выяснения других вопросов, в зависимости от цели проводимого обследования.

При использовании анкетного метода обследования могут применяться различные формы и способы получения необходимой информации. Обследования анкетным методом могут проводиться путем непосредственного опроса граждан учетчиками по месту жительства (в том числе по телефону), месту работы или учебы, на остановочных пунктах или во время поездки на общественном транспорте, а также путем рассылки анкет по почте, передачи их для заполнения администрации предприятий, организаций и учреждений и другими способами.

Анкетный метод позволяет получать наиболее обширную информацию для изучения не только пассажиропотоков, но и социальной структуры пассажиров, степени удовлетворения спроса населения на транспортные услуги, оценки качества транспортного обслуживания пассажиров, затратах населения на транспорт и иных вопросов.

Основным недостатком анкетного метода обследования является его большая трудоемкость и высокая себестоимость.

4.3. Талонный метод обследования перевозок пассажиров применяется с использованием специальных учетных талонов, которые выдаются каждому пассажиру при входе в транспортное средство.

В учетном талоне отмечается пункт посадки пассажира. Пассажир сохраняет талон до конца поездки и при выходе из транспортного средства в конце поездки возвращает его учетчику, который отмечает на нем пункт высадки. При выдаче пассажиру учетного талона в пункте посадки на нем одновременно со слов пассажира может отмечаться и пункт высадки. В этом случае учетчик в пункте высадки сверяет правильность указанной отметки.

При необходимости обследования пересадочности на другие маршруты или на другие виды транспорта пассажирам, следующим с пересадками, должны выдаваться талоны иной формы, где кроме остановочных пунктов данного маршрута предусмотрена также информация о возможных пересадках.

По учетному талону можно определить расстояние поездки каждого пассажира, а по сумме всех собранных талонов получить необходимые данные о направлении и мощности пассажиропотока на данном маршруте в прямом и обратном направлениях, коэффициенты пересадочности и использования вместимости транспортных средств и ряд других показателей.

Талонный метод обследования позволяет получать достаточно полные данные о пассажиропотоках и межостановочных корреспонденциях пассажиров, однако требует значительных трудовых и финансовых затрат, особенно на обработку первичной информации.

4.4. Табличный метод обследования основан на учете перевозимых пассажиров специальными учетчиками, находящимися или внутри салона транспортного средства, или на остановочных пунктах общественного пассажирского транспорта.

Учет пассажиров производится в специальных таблицах различными способами:

путем опроса пассажиров. Учетчики, находящиеся на остановочных пунктах, опрашивают каждого пассажира о пути его следования, пересадках на другие виды транспорта, регистрируя ответы в соответствующих графах таблиц. Учетчики, находящиеся внутри салона транспортного средства, учитывают число вошедших пассажиров, опрашивают их, до какой остановки они следуют, о пунктах пересадки, и полученные результаты регистрируют в таблицах;

путем подсчета количества пассажиров, входящих в транспортное средство и выходящих из него (без контакта с пассажирами). Подсчет производится учетчиками, которые могут находиться как на остановочных пунктах, так и внутри салонов транспортных средств. Трудоемкость обследования по этому способу может быть значительно снижена за счет применения для подсчета числа входящих и выходящих пассажиров специальных автоматических устройств (датчиков), расположенных непосредственно на каждом транспортном средстве;

табличный метод позволяет получать информацию о количестве перевезенных пассажиров, пассажирообороте остановочных пунктов, направлении и мощности пассажиропотоков, степени использования вместимости транспортных средств. По сравнению с анкетным и талонным методами обследования пассажирских перевозок талонный метод является менее трудоемким и более дешевым.

4.5. Визуальный (глазомерный) метод обследования пассажирских перевозок применяется для оперативного определения степени наполняемости подвижного состава и мощности пассажиропотока на наиболее пассажиронапряженном участке каждого маршрута по часам суток в определенные дни недели.

Визуальную (глазомерную) оценку степени использования вместимости транспортных средств могут осуществлять находящиеся на остановках учетчики, фиксируя ее ориентировочно и подсчитывая количество входящих и выходящих пассажиров, а также водители и кондукторы транспортных средств. Для оценки использования вместимости подвижного состава при этом методе могут применяться балльная шкала и так называемая "силуэтная" форма глазомерного обследования.

При 6-балльной системе оценки каждому баллу соответствует силуэт транспортного средства со следующими уровнями использования его вместимости:

6 баллов - предельная вместимость (более 5 пассажиров на 1 кв. метр свободной площади пола транспортного средства при полностью занятых местах для сидения);

5 баллов - нормативная вместимость (5 пассажиров/кв. м при полностью занятых местах для сидения);

4 балла - около 1/2 нормативной вместимости (2 - 3 пассажира/ кв. м при полностью занятых местах для сидения);

3 балла - 100% заполнение мест для сидения (при отсутствии стоящих пассажиров);

2 балла - заполнение около 2/3 мест для сидения (при отсутствии стоящих пассажиров);

1 балл - заполнение около 1/3 мест для сидения (при отсутствии стоящих пассажиров).

Полученные в результате обследования данные используются для определения количества транспортных средств, необходимых для обслуживания конкретных маршрутов, и составления оптимальных расписаний их движения по этим маршрутам.

4.6. Выбор конкретных методов для обследования перевозок пассажиров производится исходя из цели обследования и решаемых на основе его результатов задач с учетом местных условий, наличия денежных средств и возможностей привлечения трудовых ресурсов для проведения обследования и обработки полученных данных.

Возможно также одновременное комбинированное использование нескольких методов обследования пассажиропотоков на конкретных маршрутах и объектах.

4.7. Для целей статистического обследования перевозок пассажиров и транспортной подвижности различных категорий граждан в настоящих Методологических рекомендациях предлагается применять модифицированные анкетный, талонный и табличный методы обследования.

4.7.1. Анкетный метод рекомендуется применять для обследования транспортной подвижности различных категорий граждан с использованием специальных анкет опроса граждан по форме согласно Приложениям N 3, 4 к настоящим Методологическим рекомендациям. В анкетах содержатся вопросы о количестве поездок на различных видах общественного пассажирского транспорта в городском (автобус, трамвай, троллейбус) и пригородном (автобус) сообщениях в зимний (октябрь - апрель) и в летний (май - сентябрь) сезоны, а также о принадлежности пассажиров к той или иной категории (группе) и степени использования ими абонементных проездных билетов долговременного пользования.

4.7.2. Талонный метод для обследования транспортной подвижности различных категорий граждан рекомендуется применять с использованием специальных учетных талонов 7 серий, образцы которых приведены в Приложении N 5 к настоящим Методологическим рекомендациям. Учетные талоны серий П, И, ВС, ВУ, ПР соответствуют группам и категориям пассажиров с правом бесплатного проезда, перечисленных в Приложении N 1.

Учетные талоны серий АБ и АТ соответствуют группам платных пассажиров, использующих для проезда абонементные билеты долговременного пользования (годовые, квартальные, месячные) и абонементные талоны для разовых поездок на общественном транспорте.

4.7.3. Табличный метод обследования перевозок пассажиров рекомендуется применять с использованием специальных карточек для порейсового учета пассажиров на каждом маршруте. Форма карточки приведена в Приложении N 6 к настоящим Методологическим рекомендациям.

В карточке порейсового учета регистрируются число вошедших в транспортное средство пассажиров с правом бесплатного проезда на общественном транспорте (по группам И, П, ВС, ВУ, ПР), пассажиров с абонементными билетами (группа АБ) и абонементными талонами (группа АТ), а также пассажиров, оплативших свой проезд непосредственно в салоне транспортного средства. Кроме того, подсчитывается общее число вышедших пассажиров на каждом остановочном пункте маршрута. Регистрация вошедших и вышедших пассажиров осуществляется учетчиками-контролерами, находящимися внутри салона транспортного средства у каждой двери. Отнесение каждого пассажира к той или иной группе производится путем опроса его учетчиком-контролером при входе в транспортное средство и проверки наличия у пассажира соответствующего документа, удостоверяющего право бесплатного проезда на общественном транспорте, абонементного билета или абонементного талона. При кондукторном способе обследования пассажиров в бригады учетчиков-контролеров могут включаться и кондукторы.

5. Методика расчета объемов репрезентативной выборки для проведения выборочного обследования

5.1. Обследование перевозок пассажиров и транспортной подвижности различных категорий граждан может осуществляться сплошным и выборочным способом.

При сплошном способе обследование перевозок пассажиров должно проводиться на всех маршрутах и по всем графикам движения общественного транспорта, а при обследовании транспортной подвижности населения - по всем категориям граждан с полным охватом всего населения, пользующегося услугами пассажирского общественного транспорта. В связи с большой трудоемкостью и стоимостью обследований сплошным способом они могут применяться в крайне ограниченных объемах, в основном при обследовании перевозок пассажиров на малодеятельных внутригородских и пригородных маршрутах (обслуживаемых менее чем 5-ю транспортными средствами), а также при анкетном опросе на предприятиях, в организациях и учреждениях с небольшим числом работающих (менее 100 человек). В остальных случаях рекомендуется применение выборочного способа обследования.

При выборочном способе обследованию подвергается лишь определенная часть пассажиропотока, маршрутов и графиков движения транспортных средств, а также часть различных категорий граждан, пользующихся услугами общественного транспорта. При этом выбранная для обследования часть из общего объема перевозок и общей численности населения города должна носить представительский характер, т.е. быть репрезентативной, отражая все характеристики, присущие генеральной совокупности (общему объему перевозок пассажиров и общей численности населения).

5.2. Минимальный объем выборки (P_п), обеспечивающий ее достаточную репрезентативность (соответствие характеристик выборочного наблюдения показателям, характеризующим всю генеральную совокупность) по доле в генеральной совокупности, определяется по формуле:

P_п = t(2) w (1 - w) ,
ДЕЛЬТА(2)

где:

P_п - минимальный объем репрезентативной выборки (объем перевозок пассажиров или численность населения, подлежащие обследованию);

ДЕЛЬТА - предельно допустимая ошибка репрезентативности выборки;

t - кратность ошибки репрезентативности выборки;

w (1 - w) - степень вариации распределения.

Для практических расчетов при обследовании пассажиропотоков и транспортной подвижности населения параметры указанных показателей могут применяться в следующих размерах:

ДЕЛЬТА - предельно допустимая ошибка репрезентативности выборки - в размере от 2 до 5 пунктов. При этом чем больше объем генеральной совокупности, тем выше может быть размер предельно допустимой ошибки;

t - кратность ошибки репрезентативности выборки, зависящая от заданных границ вероятности Ф(t). Значения t в зависимости от Ф(t) определяются по таблице значения интеграла вероятностей. Для практических расчетов Ф(t) применяется в размере 0,95 (95%), которой соответствует значение t, равное 1,96 (т.е. почти двукратная ошибка репрезентативности выборки);

w (1 - w) - степень вариации распределения, где w - выборочная доля распределения исследуемого признака в выборке. В связи с тем, что до начала обследования значение w неизвестно, его можно принять в размере 0,5, что позволяет получить максимально возможную величину степени вариации распределения признака [0,25 = 0,5(1 - 0,5)] и, следовательно, наибольшее значение объема выборки при прочих равных условиях.

5.3. Исходя из указанных в пункте 2 параметров минимальный объем репрезентативной выборки для проведения обследований перевозок пассажиров или транспортной подвижности различных категорий граждан (при данных значениях предельной ошибки репрезентативности выборки) составит (в % от обследуемой генеральной совокупности):

при ДЕЛЬТА = 2,0 P_п = 24,0%;
при ДЕЛЬТА = 2,5 P_п = 15,4%;
при ДЕЛЬТА = 3,0 P_п = 10,7%;
при ДЕЛЬТА = 4,0 P_п = 6,0%;
при ДЕЛЬТА = 5,0 P_п = 3,8%.

5.4. Примеры расчета объема репрезентативной выборки.

5.4.1. Определить объем перевозок пассажиров для проведения выборочного обследования с предельной ошибкой в 5% при 95% доверительности и общем объеме перевозок пассажиров P_о = 20 млн. человек:

P_п = t(2) w (1 - w) x P_о = 1,96(2) x 0,5(1 - 0,5) x 20 =
ДЕЛЬТА(2) 5(2)
= 0,76 млн. человек, или 3,8% ( 0,76 x 100 ).
20

5.4.2. Определить объем репрезентативной выборки с предельной ошибкой в 3% при 95% доверительности для проведения анкетного обследования транспортной подвижности граждан i-й категории (N_i) общей численностью 40 тысяч человек.

P_п = t(2) w (1 - w) x N_i = 1,96(2) x 0,5(1 - 0,5) x 40000 =
ДЕЛЬТА(2) 3(2)
= 4268 человек, или 10,7% ( 4268 x 100 ).
40000

6. Определение объектов обследования перевозок

6.1. Отбор маршрутов городского и пригородного общественного транспорта для проведения обследования.

6.1.1. В республиканских, краевых и областных центрах и крупных городах (с населением 250 тыс. человек и более) обследование пассажирских перевозок должно производиться выборочно на наиболее пассажиронапряженных и представительных внутригородских маршрутах автобусного и наземного городского электрического транспорта, сеть этих маршрутов должна охватывать 20 - 25 процентов от общего числа внутригородских маршрутов.

Отбор маршрутов-представителей осуществляется на основе анализа действующей маршрутной схемы города и сложившихся пассажиропотоков. Отобранные для обследования внутригородские маршруты-представители должны охватывать все районы города, соответствовать по своим параметрам другим равнозначным маршрутам и функционировать не менее 15 - 20 часов в сутки. Кроме маршрутов-представителей в крупных городах обследуются также пассажиропотоки на всех малодеятельных внутригородских маршрутах, обслуживаемых менее чем 5-ю транспортными средствами.

6.1.2. В городах с численностью населения менее 250 тыс. человек и поселках городского типа обследование пассажиропотоков рекомендуется проводить, как правило, на всех маршрутах автобусного и наземного электрического транспорта.

6.1.3. В пригородном сообщении обследование пассажиропотоков осуществляется на всех автобусных маршрутах, связывающих город с пригородной зоной.

6.1.4. Обследование перевозок пассажиров рекомендуется проводить на всех отобранных внутригородских и пригородных маршрутах автобусного транспорта, а также на всех маршрутах, обслуживаемых наземным горэлектротранспортом, в течение суток в установленные графиком будние и выходные дни недели.

6.2. Отбор графиков движения транспортных средств для обследования на выбранных маршрутах.

Выбор графиков движения транспортных средств для обследования пассажиропотоков на отобранных маршрутах осуществляется на основе анализа маршрутных расписаний движения.

На пригородных маршрутах для обследования отбираются графики:

с полуторасменным (12 часов) и двухсменным (15 - 20 часов) режимом работы транспортных средств;

с ранним началом и поздним окончанием работы транспортных средств на маршруте, охватывающих все часы его функционирования в течение календарных суток;

с целодневной работой транспортных средств без сходов с линии (на техническое обслуживание, ремонт или по другим причинам).

Рекомендуемый максимальный интервал движения обследуемых транспортных средств на отобранных внутригородских маршрутах не должен превышать 25 минут. На малодеятельных внутригородских маршрутах (обслуживаемых менее чем 5-ю транспортными средствами) рекомендуется обследовать один-два графика с наибольшим режимом работы.

6.3. Объемы выборочно обследуемых пассажиропотоков на отобранных внутригородских и пригородных маршрутах по отобранным для обследования графикам движения должны соответствовать максимальному объему репрезентативной выборки при заданных параметрах.

7. Подготовка инструкций и маршрутных справочников для учетчиков-контролеров

Порядок работы учетчика-контролера и его обязанности при проведении обследования пассажиропотоков предусматриваются в выдаваемых им инструкциях. Типовая инструкция учетчику-контролеру (Приложение N 7) может быть изменена и дополнена с учетом местных условий обследования пассажиропотоков на конкретных маршрутах.

Учетчикам-контролерам до начала обследования выдаются также маршрутные справочники, в которых дается краткая характеристика маршрута обследования, указываются остановочные пункты и их нумерация. Форма типового маршрутного справочника приведена в Приложении N 8 к настоящим Методологическим рекомендациям.

8. Обучение учетчиков-контролеров, кондукторов и других работников предприятий транспорта, привлекаемых к проведению обследования пассажиропотоков

8.1. Организация проведения инструктивных занятий с работниками предприятий транспорта (контролерами-ревизорами, диспетчерами и др.), привлекаемыми к участию в обследовании пассажиропотоков, в первую очередь с руководителями обследования маршрутов, о порядке их работы приказом руководителя соответствующего предприятия транспорта возлагается на его заместителя по эксплуатации (начальника отдела эксплуатации).

8.2. После набора необходимого числа учетчиков-контролеров за 2 - 3 дня до начала обследования с ними, а также с кондукторами, участвующими в обследовании пассажиропотоков, проводятся инструктивные занятия по ознакомлению их с порядком работы, заполнению форм первичного учета и их обработки, правами и обязанностями в период проведения обследования.

Учетчики-контролеры закрепляются за обследуемыми маршрутами и конкретными графиками движения (транспортными средствами). Инструктивные занятия с учетчиками-контролерами и кондукторами проводят руководители обследования маршрутов, назначаемые приказом по соответствующему предприятию транспорта из числа его работников.

8.3. Руководители обследования маршрутов выдают каждому учетчику-контролеру: временное удостоверение на право проверки у пассажиров проездных документов и документов, удостоверяющих их право на льготный проезд в общественном транспорте; наряд на проведение обследования по закрепленному маршруту; маршрутный справочник с характеристикой маршрута и указанием остановочных пунктов; инструкцию учетчику-контролеру; документацию для первичного учета пассажиров (учетные талоны, порейсовые карточки, анкеты, таблицы); необходимые канцелярские принадлежности; папку для хранения документации.

9. Оформление и выдача нарядов учетчикам-контролерам на проведение обследования пассажиропотоков

Конкретные задания по обследованию пассажиропотоков устанавливаются учетчикам-контролерам в нарядах, выдаваемых им за 1 - 2 дня до начала обследования. В наряде предусматриваются дата проведения обследования на определенном маршруте, транспортном средстве по конкретному графику, место и время начала и окончания работы. Наряд подписывается руководителем обследования маршрута, который в нем и делает отметку о выполнении задания. Типовая форма наряда приводится в Приложении N 9.

Наряд, оформленный в установленном порядке, является основанием для оплаты учетчику-контролеру за выполненную работу по обследованию пассажиропотоков.

10. Оповещение населения о проведении обследования пассажиропотоков осуществляется за неделю до его начала через средства массовой информации (телевидение, радио, периодическая печать). Изготавливаются специальные объявления о проведении обследования, которые до его начала вывешиваются в салонах транспортных средств, обслуживающих внутригородские и пригородные маршруты, а также в местах массового скопления пассажиров (на вокзалах и основных остановочных пунктах, у пригородных билетных касс и др.).

В информациях и объявлениях населению разъясняются цели и задачи обследования пассажиропотоков, а также обязанности каждого пассажира в период проведения обследования.

11. Определение потребности в трудовых, материально-технических и финансовых ресурсах для проведения обследования

Потребность в трудовых, материально-технических и финансовых ресурсах определяется исходя из объемов, сроков, методов и способов проведения обследования пассажиропотоков.

11.1. Определение потребности в трудовых ресурсах и ее обеспечение.

11.1.1. Расчет численности учетчиков-контролеров при талонном методе обследования.

В соответствии с технологией проведения обследования пассажиропотоков талонным методом учет пассажиров в транспортных средствах, обслуживаемых кондукторами, осуществляют учетчики-контролеры и кондукторы, а в транспортных средствах с бескондукторным обслуживанием - только учетчики-контролеры.

Рекомендуемое число учетчиков-контролеров на каждое обследуемое транспортное средство:

Число дверей в транспортном средстве, постоянно используемых для входа (выхода) Численность учетчиков-контролеров при обслуживании транспортного средства
с кондуктором без кондуктора
2 1 2
3 2 3

Общая численность учетчиков-контролеров (N_ут) определяется по формуле:

N_ут = [(n + 2n_2) + 2(n'+ 2n'_2) + 2(m + 2m_2)+ + 3(m'+ 2m')]_2 x 1,05,

где:

n, n_2 - количество 2-дверных транспортных средств с кондукторным обслуживанием, работающих на обследуемых маршрутах соответственно в одну-полторы смены и в две смены;

m, m_2 - количество 3-дверных транспортных средств с кондукторным обслуживанием и с режимом работы соответственно в одну-полторы и в две смены;

n', n'_2 - количество 2-дверных транспортных средств с бескондукторным обслуживанием и с режимом работы соответственно в одну-полторы смены и в две смены;

m', m'_2 - количество 3-дверных транспортных средств с бескондукторным обслуживанием и с режимом работы соответственно в одну-полторы смены и в две смены;

1,05 - 5%-й резерв учетчиков-контролеров.

11.1.2. Расчет потребности в учетчиках-контролерах при табличном методе обследования.

Технологией проведения обследования пассажиропотоков табличным методом предусматривается нахождение учетчика-контролера в салоне транспортного средства у каждой входной (выходной) двери независимо от способа обслуживания (с кондуктором или бескондукторного). Исходя из этого общая численность учетчиков-контролеров (N_утб) определяется по формуле:

N_утб = [2(n + 2n') + 3(m + 2m')] x 1,05,

где:

n, n' - количество 2-дверных транспортных средств, работающих на обследуемых маршрутах соответственно в одну полторы смены и в две смены;

m, m' - количество 3-дверных транспортных средств с режимом работы соответственно в одну-полторы смены и в две смены;

1,05 - 5%-й резерв учетчиков-контролеров.

11.1.3. Для работы в качестве учетчиков-контролеров в период обследования пассажиропотоков привлекаются инженерно-технические работники и служащие предприятий и организаций транспорта, а также студенты вузов и учащиеся средних специальных учебных заведений, слушатели отраслевых учебных комбинатов, старшеклассники. При необходимости с отдельными лицами заключаются трудовые соглашения на участие в проведении обследования пассажиропотоков.

Всем учетчикам-контролерам, принимающим непосредственное участие в обследовании пассажиропотоков на городских и пригородных маршрутах, выдаются временные удостоверения учетчика-контролера с предоставлением права проверки у пассажиров проездных документов и документов, удостоверяющих право проезда в общественном транспорте, а также должностные инструкции, маршрутные справочники и наряды на проведение обследования, типовые формы которых приведены в Приложениях N 2, 3 и 4 к настоящим методическим указаниям.

11.1.4. Расчет численности руководителей обследования маршрутов.

Для осуществления руководства работой учетчиков-контролеров при проведении обследования пассажиропотоков из числа штатных работников контрольно-ревизионной службы, диспетчеров и других инженерно-технических работников предприятий пассажирского транспорта, работников отделений Российской транспортной инспекции и других организаций транспорта назначаются руководители обследования маршрутов. В обязанности руководителей входят инструктаж учетчиков-контролеров, организация их работы в период подготовки и проведения обследования, выдача им необходимых для обследования материалов, оформление нарядов, контроль за соблюдением технологии обследования, прием от учетчиков-контролеров материалов первичного учета и оценка их качества.

Необходимая численность руководителей обследования маршрутов определяется из расчета:

на каждый пассажиронапряженный внутригородской маршрут-представитель - 1 - 2 человека;

на каждые 2 - 5 внутригородских малодеятельных и пригородных маршрутов - 1 человек.

При этом численность учетчиков-контролеров, приходящаяся на одного руководителя обследования маршрутов, не должна превышать 30 человек.

Необходимо также предусмотреть резервную численность руководителей обследования маршрутов в размере 5% от их расчетной потребности.

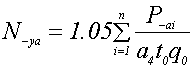
11.1.5. Расчет численности учетчиков для анкетного обследования транспортной подвижности отдельных категорий граждан определяется по формуле:

где:

N_уа - численность учетчиков, необходимая для проведения анкетного обследования;

P_аi - общая численность i-й категории граждан, подлежащих анкетному опросу;

а_ч - среднечасовая производительность учетчика (число граждан, охваченных анкетным опросом в среднем за 1 час);

t_о - среднедневная продолжительность работы учетчика в часах;

q_о - количество дней проведения анкетного опроса;

1,05 - 5%-й резерв учетчиков.

11.2. Расчет потребности в учетной документации.

11.2.1. Учетные талоны для обследования пассажиропотоков изготавливаются по каждому виду транспорта (автобус, трамвай, троллейбус) в 7 сериях (Приложение N 5), соответствующих следующим категориям (группам) пассажиров:

а) пользующихся правом бесплатного проезда на городском и пригородном общественном транспорта:

1. Серия И - инвалиды (группа "И").

2. Серия П - пенсионеры и ветераны (группа "П").

3. Серия ВС - военнослужащие (группа "ВС").

4. Серия ВУ - работники органов власти и управления (группа "ВУ").

5. Серия ПР - работники других организаций и прочие категории граждан (группа "ПР");

б) использующих для проезда абонементные билеты и абонементные талоны:

6. Серия АБ - для учета поездок по абонементным билетам (месячным, квартальным, годовым) и другим проездным документам долговременного пользования (студенческий, ученический) для проезда на одном или нескольких видах транспорта.

7. Серия АТ - для учета поездок по разовым абонементным талонам (в транспортных средствах с бескондукторным обслуживанием).

11.2.2. Расчет потребности в учетных талонах для обследования перевозок пассажиров, пользующихся правом бесплатного проезда на общественном транспорте, производится для каждого вида транспорта и по каждой серии исходя из общей численности контингента в каждой группе (И, П, ВС, ВУ, ПР) и принятой величины репрезентативной выборки с учетом 20% резерва:

где:

Т_i - потребное количество учетных талонов i-й серии для обследования транспортной подвижности i-й категории граждан с правом бесплатного проезда;

N_i - общая численность обследуемой i-й категории (группы) граждан;

P_ni - доля выборочного обследования i-й категории граждан (от N );

q_о - количество календарных дней проведения обследования;

m - число видов транспорта (автобус городской, автобус пригородный);

1,20 - 20%-процентный резерв учетных талонов i-й серии.

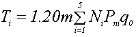
11.2.3. Потребность в талонах для учета поездок по долговременным абонементным билетам (серия АБ) можно определить по формуле:

где:

Т_АБ - общая потребность в учетных талонах серии АБ;

P_nАБ - доля выборочного обследования поездок пассажиров с абонементными билетами (от их общего количества);

q_о - число календарных дней обследования поездок пассажиров;

i - календарный период (год, квартал, месяц);

АБ_i , 2АБ_i , 3АБ_i - количество абонементных проездных билетов, проданных в i-м периоде текущего года (на год, квартал, месяц) соответственно на один вид транспорта, на два вида транспорта и на три вида транспорта;

1,20 - 20%-процентный резерв учетных талонов серии АБ.

11.2.4. Потребность в учетных талонах для учета поездок по разовым абонементным талонам (серии АТ):

где:

Т_АТ - общая потребность в учетных талонах серии АТ;

АТ_i - общее количество проданных за предыдущий месяц абонементных талонов на одну поездку в i-м виде транспорта;

P_nАТ - доля выборочного обследования поездок пассажиров с абонементными талонами (от их общего количества);

m - число видов транспорта.

11.2.5. Необходимое количество бланков, карточек порейсового учета (К ) определяется по форме (Приложение N 6) по формуле:

где:

N_утб - численность учетчиков-контролеров, занятых обследованием перевозок пассажиров табличным методом;

q_о - число календарных дней обследования;

m_i - количество обследуемых графиков движения транспортных средств на обследуемом i-м маршруте;

R_j - количество рейсов прямого направления в обследуемом j-м графике движения на i-м маршруте;

n - количество обследуемых маршрутов;

1,20 - 20%-процентный резерв карточек порейсового учета.

11.2.6. Потребное количество бланков (анкет) для обследования транспортной подвижности определяется по каждой категории граждан (по формуле Приложений N 3, 4) исходя из ее общей численности и размера репрезентативной выборки для проведения выборочного анкетирования по формуле:

где:

А_i - общее количество анкет, необходимое для обследования транспортной подвижности i-й категории (группы) граждан;

N_i - общая численность i-й категории (группы) граждан;

P_ni - доля выборочного анкетирования i-й категории (группы) граждан (от N_i);

n - число категорий (групп) граждан, подлежащих анкетному опросу;

1,20 - 20%-процентный резерв анкет.

11.2.7. Изготовление бланков учетных талонов, карточек порейсового учета, анкет, инструкций, таблиц, рекламных объявлений и другой печатной продукции, необходимой для проведения обследования пассажиропотоков, целесообразно проводить в централизованном порядке. Единый заказчик централизованного изготовления указанной продукции и необходимые для этого средства определяются комиссией (рабочей группой) по проведению обследования перевозок пассажиров.

11.4. Определение потребности в финансовых ресурсах и источников финансирования проведения обследования пассажиропотоков.

11.4.1. Затраты на подготовку, проведение и обработку материалов обследования пассажиропотоков включают расходы на оплату труда персонала, приобретение необходимых материалов, инвентаря и оборудования, рекламу в средствах массовой информации, оплату услуг вычислительного центра, предприятий автотранспорта, связи и других организаций.

11.4.2. Фонд оплаты труда персонала (Ф), привлекаемого для проведения обследования перевозок пассажиров, определяется по формуле:

N_i - численность персонала i-й категории (учетчики, учетчики-контролеры, руководители обследования маршрутов и др.), чел.;

з_i - размер средней заработной платы одного работника i-й категории за одну смену, руб.;

m_i - сменность одного работника i-й категории (одна, полторы или две смены);

q_оi - количество дней, отработанных работником i-й категории на обследовании перевозок пассажиров.

В случае непосредственного участия кондукторов автобусов, трамваев и троллейбусов в проведении обследования перевозок пассажиров талонным методом (наряду с выполнением своих прямых обязанностей) рекомендуется осуществлять доплату или в установленном порядке за совместительство и предусматривать на это необходимые средства при расчете фонда оплаты труда.

11.4.3. Отчисления на социальные нужды принимаются по установленным законодательством нормативам отчислений от фонда оплаты труда персонала.

11.4.4. Затраты на приобретение материалов, инвентаря и оборудования, необходимых для проведения обследования пассажиропотоков, рассчитываются исходя из потребности и действующих рыночных цен (Приложение N 10).

11.4.5. Расходы по обработке и анализу материалов обследования пассажиропотоков, оплате рекламы, услуг связи, автотранспортных и других услуг принимаются в размерах, предусмотренных в договорах и соглашениях с соответствующими организациями и лицами, оказывающими эти услуги.

11.4.6. Смета расходов на проведение статистического обследования пассажиропотоков (Приложение N 11) утверждается комиссией по проведению обследования, образованной решением соответствующего местного органа исполнительной власти.

Финансирование расходов осуществляется за счет средств местного бюджета, предназначенных на компенсацию затрат предприятий транспорта на перевозку пассажиров во внутригородском и пригородном сообщениях.

III. ОРГАНИЗАЦИЯ ПРОВЕДЕНИЯ ОБСЛЕДОВАНИЯ

1. Проведение обследования транспортной подвижности населения и перевозок пассажиров осуществляется в соответствии с утвержденным комиссией (рабочей группой) календарным графиком по закрепленным маршрутам и другим объектам обследования.

2. При обследовании пассажиропотоков талонным и табличным методами учетчики, находящиеся в салоне транспортного средства, объединяются в бригаду. Один из учетчиков назначается бригадиром, контролирует работу бригады и взаимодействует с соответствующим руководителем обследования маршрута.

3. При анкетном методе обследования транспортной подвижности граждан бригады учетчиков формируются с учетом выбранного способа анкетного опроса и конкретных объектов обследования. Для руководства работой 5 - 6 бригад назначается ответственный руководитель обследования, с которым взаимодействуют бригадиры этих бригад.

4. В обязанности руководителей обследования и бригадиров в ходе проведения обследования пассажиропотоков и анкетного опроса граждан входят обеспечение своевременной выдачи всем учетчикам необходимой учетной документации, доставка их к объектам обследования, контроль за выполнением графиков работы, соблюдением технологии проведения обследования, полнотой сбора информации и правильностью ее первичной обработки, обеспечение своевременной сдачи материалов обследования по установленным формам для последующей обработки и анализа.

В случае необходимости руководитель обследования производит подмену выбывающих по какой-либо причине учетчиков из имеющегося в его распоряжении резерва.

5. В дни проведения обследования пассажиропотоков объявления о порядке и сроках его проведения вывешиваются на остановочных пунктах городских и пригородных маршрутов, в местах проведения анкетного опроса граждан, передаются по внутренней связи в салонах транспортных средств.

6. Руководители предприятий пассажирского транспорта в дни обследования пассажиропотоков:

обеспечивают своевременный выпуск на линию всего количества подвижного состава, предусмотренного графиками движения, и усиление контроля за соблюдением расписаний движения автобусов, трамваев и троллейбусов на обследуемых маршрутах;

обеспечивают организацию работы по обследованию перевозок пассажиров на закрепленных за предприятием маршрутах и объектах в соответствии с установленным порядком и технологиями, своевременную доставку на обследуемые маршруты и объекты учетчиков, контролеров и других работников, создания для них нормальных условий труда;

принимают оперативные меры к устранению сбоев и нарушений в работе пассажирского транспорта и бригад учетчиков на обследуемых маршрутах и объектах;

ежедневно обследуют силами и средствами предприятия первичную обработку результатов обследования по закрепленным маршрутам и объектам и передачу в установленном порядке необходимой информации о ходе проведения обследования перевозок пассажиров в комиссию (рабочую группу) по проведению обследования пассажиропотоков.

7. Администрацией города (местным органом исполнительной власти) через уполномоченных членов комиссии (рабочей группы) в дни проведения обследования пассажиропотоков принимаются меры по обеспечению:

оповещения населения о порядке проведения обследования по местному радио, телевидению и через местную печать;

поддержания общественного порядка на обследуемых маршрутах движения городского и пригородного пассажирского транспорта;

содержания в проезжем состоянии улично-дорожной сети на обследуемых внутригородских и пригородных маршрутах общественного транспорта.

IV. МЕТОДОЛОГИЯ ОБСЛЕДОВАНИЯ ПЕРЕВОЗОК ПАССАЖИРОВ И ТРАНСПОРТНОЙ ПОДВИЖНОСТИ РАЗЛИЧНЫХ КАТЕГОРИЙ ГРАЖДАН

1. Обследование транспортной подвижности различных категорий граждан анкетным методом осуществляется по следующей методологии

1.1. Для проведения анкетного опроса граждан, пользующихся услугами общественного пассажирского транспорта, последние целесообразно подразделить на следующие категории:

- граждане, пользующиеся правом бесплатного проезда на городском и пригородном общественном транспорте по своей профессиональной принадлежности. К ним относятся категории групп ВС, ВУ и ПР (Приложение N 1 к настоящим Методологическим рекомендациям);

- граждане, пользующиеся правом бесплатного проезда на городском и пригородном общественном транспорте по своему социальному статусу. К ним относятся категории групп И, П (Приложение N 1);

- граждане, осуществляющие поездки на городском и пригородном общественном транспорте по абонементным билетам долговременного пользования (группа АБ) и абонементным талонам (группа АТ).

1.2. Анкетный опрос граждан с правом бесплатного проезда по профессиональной принадлежности.

1.2.1. Анкетный опрос основных категорий граждан из групп ВС, ВУ, ПР об их транспортной подвижности рекомендуется проводить с выездом учетчиков на соответствующие предприятия, в организации и учреждения, где работают или находятся граждане, пользующиеся правом бесплатного проезда на общественном пассажирском транспорте.

Перечень указанных предприятий, организаций и учреждений должен утверждаться решением местного органа исполнительной власти (администрации), в котором их руководителям предлагается осуществлять практическое содействие проведению анкетного опроса.

1.2.2. Анкетный опрос граждан рекомендуется проводить с использованием анкет по форме согласно Приложению N 3 к настоящим Методологическим рекомендациям.

1.2.3. Заполнение анкет установленной формы может осуществляться различными способами в зависимости от местных условий или путем передачи анкет администрации предприятий, организаций и учреждений для самостоятельной организации их заполнения и возврата уполномоченному лицу, либо путем допуска к обследованию специального учетчика, который должен получить необходимую информацию, в том числе непосредственно опросом работников указанных предприятий и сотрудников организаций и учреждений.

1.3. Анкетный опрос граждан с правом бесплатного проезда по социальному статусу.

1.3.1. Анкетный опрос основных категорий граждан из групп И, П (Приложение N 4) об их транспортной подвижности рекомендуется проводить с использованием формы анкеты согласно Приложению N 3.

1.3.2. Выбор способов получения информации для заполнения анкет определяется комиссией по проведению обследования пассажиропотоков, руководителями предприятий и руководителями анкетного обследования.

1.3.3. Анкетный опрос и заполнение анкет осуществляются учетчиками или ответственными работниками предприятий, организаций и учреждений, в которых сосредоточены обследуемые категории граждан. Анкеты могут заполняться гражданами самостоятельно, для чего организуется их распространение в пунктах получения пенсий и пособий, через общественные организации, по почте. Сбор анкет производится через объекты распространения. Анкетный опрос отдельных категорий граждан может осуществляться учреждениями и по телефону.

1.4. Анкетный опрос граждан, использующих для проезда абонементные билеты и абонементные талоны.

1.4.1. Анкетный опрос граждан, пользующихся абонементными проездными билетами долговременного пользования для проезда на одном, двух и трех видах транспорта (группа АБ) и абонементными проездными талонами на одну поездку (группа АТ), рекомендуется осуществлять с использованием анкеты по форме согласно Приложению N 4.

1.4.2. Анкеты заполняются учетчиками или продавцами абонементных проездных билетов долговременного пользования и абонементных проездных талонов в пунктах их реализации путем опроса граждан, приобретающих указанные проездные документы.

1.5. Выдача анкет руководителями анкетного обследования учетчикам, ответственным представителям предприятий, организаций и учреждений или другим уполномоченным лицам, а также возврат заполненных анкет осуществляется под их роспись в специальном учетном журнале.

1.6. Учетчики, ответственные представители предприятий, организаций и учреждений и другие лица, отвечающие за поведение анкетного опроса, сдают заполненные анкеты по месту их получения руководителям анкетного обследования, которые после проверки анкет и исправления обнаруженных ошибок передают их для обработки в рабочую труппу соответствующего предприятия транспорта или в специальную рабочую группу комиссии по проведению обследования пассажиропотоков.

1.7. Таблица результатов анкетного обследования транспортной подвижности граждан (Приложение N 12) заполняется в рабочей группе по данным анкет опроса по каждой категории (группе) опрошенных граждан, по каждому виду используемого ими общественного транспорта (автобус, трамвай, троллейбус) и по каждому виду сообщения (городское, пригородное). Группировка анкет по группам И, П, ВС, ВУ, ПР, АБ осуществляется по ответам на 2-й вопрос анкеты.

При автоматизированной системе обработки анкет по специальным программам (Приложение N 12) - может не заполняться.

1.8. Итоговые данные первичной обработки анкет (из Приложения N 12) заносятся в сводную таблицу результатов анкетного обследования транспортной подвижности граждан (Приложение N 13), составляемую отдельно по каждой категории опрошенных граждан (по группам И, П, ВС, ВУ, ПР, АБ и АТ), по каждому виду городского (автобус, трамвай, троллейбус) и пригородного (автобус) транспорта.

2. Методология обследования транспортной подвижности различных категорий граждан талонным методом

2.1. Обследование транспортной подвижности различной категории граждан талонным методом проведения с использованием специальных учетных талонов серий И, П, ВС, ВУ, ПР, АБ и АТ, соответствующих аналогичным группам, состав которых приведен в Приложении N 1.

2.2. При обслуживании пассажиров кондукторами для учета поездок граждан используются учетные талоны всех серий, за исключением серии АТ. При продаже разовых билетов кондуктор принимает от пассажиров абонементные талоны в обмен на разовые билеты. Каждому пассажиру с правом бесплатного проезда по предъявлению документа, удостоверяющего это право, учетчик-контролер (кондуктор) выдает один учетный талон серии, соответствующей той группе (категории) лиц с правом бесплатного проезда на общественном транспорте, к которому относится данный пассажир. Если пассажир по имеющимся у него правам может одновременно относиться к двум и более группам (категориям) лиц с правом бесплатного проезда, то он должен учитываться только в одной из них и ему выдается лишь один учетный талон соответствующей серии. Отнесение пассажира к той или иной группе (категории) на основании предъявляемого им документа производится учетчиком-контролером.

Каждому пассажиру, предъявляющему абонементный билет долговременного пользования (единый, проездной на один и более видов транспорта, студенческий и др.), учетчик-контролер (кондуктор) выдает один учетный талон серии АБ.

2.3. При бескондукторном обследовании для учета поездок граждан используются талоны всех 7-ми серий. Учетчики-контролеры, осуществляя проверку наличия проездных документов у пассажиров, выдают им одновременно учетные билеты соответствующих серий, пассажирам с прокомпостированными абонементными талонами на одну поездку - учетные талоны серии АТ;

пассажирам с абонементными билетами долговременного пользования - учетные талоны серии АБ;

пассажирам с правом бесплатного проезда - учетные талоны соответствующих категорий (И, П, ВС, ВУ или ПР), в зависимости от того, к какой группе (категории) лиц, пользующихся льготным проездом на общественном транспорте, они относятся.

2.4. Пассажиры обязаны сохранять учетные талоны до конца поездки и предъявлять их по требованию кондуктора или учетчика-контролера в салоне транспортного средства во избежание возможного двойного учета одних и тех же пассажиров.

2.5. В конце каждого рейса учетчики-контролеры заносят в таблицу результатов обследования (Приложение N 14) число перевезенных пассажиров по каждой категории, определяя их по номерам оторванных и выданных пассажирам учетных талонов каждой серии.

Кондуктор в строке 8 "с проездом по разовым билетам" указывает количество перевезенных пассажиров, определяемое по числу проданных им разовых билетов на одну пассажиро-поездку во внутригородском сообщении и по числу пассажиров, оплативших свой проезд, в пригородном сообщении.

2.6. По окончании каждой смены учетчики-контролеры суммируют по всем рейсам в прямом и обратном направлениях количество учтенных пассажиров по каждой серии учетных билетов и по разовым проездным билетам, проданным кондуктором, и определяют общий объем перевозок пассажиров по обследуемому маршруту за данную смену, в том числе по категориям пассажиров с бесплатным проездом.

2.7. Заполненные таблицы результатов обследования пассажиропотоков талонным методом (Приложение N 14) сдают руководителям обследования маршрутов для проверки и последующей передачи на обработку в рабочую группу предприятия транспорта.

2.8. Рабочая группа предприятия транспорта обрабатывает полученную информацию и сводит результаты обследования пассажиропотоков талонным методом в таблицу по форме (Приложение N 15). Итоговые данные обследования перевозок пассажиров за каждый день сообщаются предприятием транспорта (по форме Приложения N 15) в комиссию по проведению обследования пассажиропотоков для свода в целом по городу и дальнейшей аналитической разработки.

3. Методология обследования перевозок пассажиров табличным методом

3.1. Учет перевозимых пассажиров при табличном методе ведется учетчиками-контролерами, которые располагаются в салоне транспортного средства у каждой входной двери.

3.2. Учетчик-контролер в карточке порейсового учета пассажиров установленной формы (Приложение N 6) регистрирует по каждому рейсу на всех остановочных пунктах общее количество вошедших и вышедших пассажиров через закрепленную за ним дверь (заполняя графы 10 и 11 карточки порейсового учета). Затем в процессе проверки проездных документов и продажи разовых проездных билетов осуществляется распределение вошедших пассажиров по группам (категориям) с заполнением соответствующих граф в карточке порейсового учета (графы 2 - 6, 8 - 9).

Карточка порейсового учета заполняется с двух сторон для прямого и обратного направления.

3.3. При обслуживании пассажиров кондуктором в карточке порейсового учета учетчиком-контролером регистрируются:

- количество вошедших пассажиров с правом бесплатного проезда с отнесением каждого из них в одну из групп: И, П, ВС, ВУ, ПР. Отметка в карточке производится на основании предъявленного пассажиром документа, удостоверяющего его право на бесплатное пользование услугами общественного транспорта. Каждый пассажир с правом бесплатного проезда учитывается только в одной из указанных групп (категорий). Отнесение к той или иной группе пассажира, имеющего право бесплатного проезда по двум и более категориям, производится учетчиком-контролером;

- количество вошедших пассажиров с предъявлением абонементного проездного билета долговременного пользования - по группе АБ.

В конце каждого рейса кондуктор в одной из карточек порейсового учета делает отметку о количестве проданных пассажирам разовых проездных билетов за данный рейс (на пригородных маршрутах - о числе пассажиров, оплативших свой проезд). При этом учитываются также принятые кондуктором от пассажиров абонементные проездные талоны в обмен на разовые проездные билеты.

3.4. При бескондукторном обслуживании в карточках порейсового учета пассажиров учетчиками-контролерами регистрируются:

- количество вошедших пассажиров с правом бесплатного проезда с отнесением каждого из них в одну из групп: И, П, ВС, ВУ, ПР. Регистрация производится по предъявлению пассажирами документов, удостоверяющих их право на бесплатный проезд на общественном транспорте;

- количество вошедших пассажиров с предъявлением абонементного билета долговременного пользования - по группе АБ;

- количество вошедших пассажиров, прокомпостировавших свой абонементный талон на разовую поездку, - по группе АТ.

3.5. Бригада учетчиков-контролеров осуществляет первичную обработку карточек порейсового учета. В связи с тем, что на одно транспортное средство за один рейс приходится несколько карточек (по числу дверей), их данные суммируются и переносятся на чистый бланк (по форме Приложения N 16). При этом необходимо проверить и исправить допущенные ошибки, обратив особое внимание на то, чтобы количество вошедших пассажиров за каждый рейс соответствовало количеству вышедших пассажиров.

Итоговые данные из каждой порейсовой карточки учета заносятся в таблицу результатов обследования (Приложение N 16), которая с приложением всех порейсовых карточек учета сдается бригадиром руководителю обследования маршрутов для проверки и последующей передачи для обработки и анализа в рабочую группу предприятия транспорта.

При автоматизированной системе обработки карточек порейсового учета по специальным программам таблица результатов обследования (Приложение N 16) может не заполняться.

3.6. Рабочая группа предприятия транспорта обобщает полученные результаты обследования перевозок пассажиров табличным методом и сводит их за каждый день обследования в таблицу по форме Приложения N 15. Сводные данные (по форме Приложения N 15) за каждый день обследования представляются предприятием транспорта в комиссию по проведению обследования пассажиропотоков.

V. ОРГАНИЗАЦИЯ ОБРАБОТКИ И АНАЛИЗА МАТЕРИАЛОВ СТАТИСТИЧЕСКОГО ОБСЛЕДОВАНИЯ

1. Организация обработки и анализа материалов статистического обследования перевозок пассажиров и транспортной подвижности населения должны осуществляться по заранее подготовленным программам, в том числе с применением электронно-вычислительной техники, предприятиями пассажирского транспорта, в целом по городу - комиссией (рабочей группой) по проведению обследования пассажиропотоков, образованной решением соответствующего местного органа исполнительной власти (управления).

2. На предприятии пассажирского транспорта порядок обработки и анализа материалов обследования пассажиропотоков устанавливается руководителем предприятия, отвечающим за его своевременное и качественное проведение.

При этом целесообразно предусмотреть создание из работников отделов эксплуатации, экономического, финансового и других подразделений предприятия специальной рабочей группы по обработке и анализу материалов обследования пассажиропотоков на обслуживаемых маршрутах.

3. По окончании каждой смены бригада учетчиков-контролеров обязана сдать руководителю маршрутов обработанные и оформленные в установленном порядке таблицы результатов обследования перевозок пассажиров и транспортной подвижности населения.

При табличном методе обследования - с приложением порейсовых карточек учета пассажиров.

Руководитель обследования маршрутов после проверки качества учета и обработки данных передает указанные таблицы и карточки в рабочую группу предприятия.

4. Рабочая группа предприятия обобщает полученные от всех руководителей обследования маршрутов материалы первичного учета и сводные данные по всем обследованным маршрутам за каждый день обследования пассажиропотоков, подписанные руководителем предприятия пассажирского транспорта, предоставляет в комиссию (рабочую группу) обследования пассажиропотоков, образованную решением местного органа исполнительной власти (управления).

5. При анкетном методе обследования транспортной подвижности отдельных категорий граждан для обработки и анализа полученной информации комиссией (рабочей группой) по проведению обследования пассажиропотоков создается специальная группа из состава работников предприятий общественного пассажирского транспорта, региональных органов государственной статистики и управления транспортом. На одну группу возлагается прием от учетчиков и их руководителей анкет опроса граждан с таблицами результатов их первичной обработки, обобщение и анализ сводных данных анкетного опроса с последующим представлением их в комиссию (рабочую группу) по проведению обследования пассажиропотоков.

6. Комиссия (рабочая группа) обследования пассажиропотоков:

организует обработку и анализ полученных от всех предприятий пассажирского транспорта материалов статистического обследования пассажиропотоков на городских и пригородных маршрутах;

разрабатывает на основании анализа результатов обследования и утверждает статистические нормативы и коэффициенты для определения объемов перевозок пассажиров, в том числе по группам (категориям) лиц, пользующихся правом бесплатного проезда в общественном транспорте, и по абонементным талонам длительного пользования;

доводит утвержденные статистические нормативы и коэффициенты с указанием срока их действия до сведения предприятий пассажирского транспорта, региональных органов управления и других заинтересованных организаций;

подготавливает по материалам обследования пассажиропотоков и вносит на рассмотрение соответствующего местного органа власти (администрации города) предложения по улучшению работы и повышению эффективности использования городского и пригородного общественного транспорта.

VI. МЕТОДИКА РАСЧЕТА НОРМАТИВНЫХ ПОКАЗАТЕЛЕЙ ТРАНСПОРТНОЙ ПОДВИЖНОСТИ РАЗЛИЧНЫХ КАТЕГОРИЙ ГРАЖДАН

1. Расчет нормативов транспортной подвижности граждан по результатам обследования анкетным методом

1.1. По материалам статистического обследования транспортной подвижности различных категорий граждан анкетным методом определяются нормативные показатели, применяемые при составлении статистических отчетов о работе автомобильного и наземного городского электрического транспорта для оценки фактических объемов перевозок пассажиров.

1.2. По данным сводных таблиц результатов анкетного обследования транспортной подвижности граждан (Приложение 13) рассчитываются по каждому городу нормативы среднедневного количества поездок одного пассажира на автобусном, трамвайном и троллейбусном транспорте в городском сообщении и автобусным транспортом в пригородном сообщении по каждой обследуемой группе (категории) граждан в период зимнего сезона (с октября по апрель) и летнего сезона года (с мая по сентябрь) по будним и выходным дням.

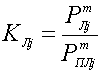
1.3. Расчет норматива среднедневного количества поездок одного пассажира i-й категории граждан на j-м виде общественного транспорта (К_ij) для зимнего и летнего периода года производится по формуле:

где:

- суммарное количество поездок i-й категории граждан за одну неделю на j-м виде общественного транспорта в будние или выходные дни;

- общее количество анкет опроса i-й категории граждан, пользующихся услугами j-го вида транспорта (автобусного, трамвайного, троллейбусного в городском сообщении или автобусного в пригородном сообщении); q_н - количество дней недели (будних или выходных).

По этой формуле рассчитываются нормативы среднедневного количества поездок пассажиров (нормативы транспортной подвижности) по всем категориям граждан, охваченных анкетным опросом, по каждому виду общественного транспорта в городском и пригородном сообщениях, по сезонам года (зимнему и летнему) в будние и выходные дни.

1.4. Система нормативов транспортной подвижности различных категорий граждан (таблица 1), установленная по результатам обследования транспортной подвижности населения анкетным методом, подлежит утверждению комиссией по проведению обследования пассажиропотоков и используется предприятиями пассажирского транспорта и органами государственной статистики для оценки объемов перевозок пассажиров общественным транспортом в течение 3 - 5 лет (до проведения очередного статистического обследования транспортной подвижности населения данного города).

Таблица 1

НОРМАТИВЫ ТРАНСПОРТНОЙ ПОДВИЖНОСТИ РАЗЛИЧНЫХ КАТЕГОРИЙ ГРАЖДАН (УСТАНОВЛЕННЫЕ ПО РЕЗУЛЬТАТАМ АНКЕТНОГО ОБСЛЕДОВАНИЯ)

Вид сообщ., вид тр-та, сезон года, дни / категории (группы) граждан Внутригородское Пригородное
автобусный трамвайный троллейбусный автобусный
зимний летний зимний летний зимний летний зимний летний
будние выход. будние выход. будние выход. будние выход. будние выход. будние выход. будние выход. будние выход.
1. Нормативы трансп. подвижности граждан (ср. дневное кол-во поездок) с правом бесплатного проезда на общ. тр-те:                                
1.1. Группа "И" - инвалиды И И И И И И И И И И И И И И И И
a a a a m m m m t t t t n n n n
зб зв лб лв зб зв лб лв зб зв лб лв зб зв лб лв
1.2. Группа "П" - пенсионеры и ветераны П П П П П П П П П П П П П П П П
a a a a m m m m t t t t n n n n
зб зв лб лв зб зв лб лв зб зв лб лв зб зв лб лв
1.3. Группа "ВС" - военнослужащие ВС ВС ВС ВС ВС ВС ВС ВС ВС ВС ВС ВС ВС ВС ВС ВС
a a a a m m m m t t t t n n n n
зб зв лб лв зб зв лб лв зб зв лб лв зб зв лб лв
1.4. Группа "ВУ" - работники органов власти и управления ВУ ВУ ВУ ВУ ВУ ВУ ВУ ВУ ВУ ВУ ВУ ВУ ВУ ВУ ВУ ВУ
a a a a m m m m t t t t n n n n
зб зв лб лв зб зв лб лв зб зв лб лв зб зв лб лв
1.5. Группа "ПР" - прочие категории ПР ПР ПР ПР ПР ПР ПР ПР ПР ПР ПР ПР ПР ПР ПР ПР
a a a a m m m m t t t t n n n n
зб зв лб лв зб зв лб лв зб зв лб лв зб зв лб лв
2. Нормативы трансп. подв. граждан (ср. дневное количество поездок), использующих для проезда абон. билеты долговрем. пользования (гр. "АБ") для проезда:                                
2.1. На одном виде транспорта АБ АБ АБ АБ АБ АБ АБ АБ АБ АБ АБ АБ АБ АБ АБ АБ
a a a a m m m m t t t t n n n n
зб зв лб лв зб зв лб лв зб зв лб лв зб зв лб лв
2.2. На двух видах транспорта АБ2 АБ2 АБ2 АБ2 АБ2 АБ2 АБ2 АБ2 АБ2 АБ2 АБ2 АБ2        
a a a a m m m m t t t t        
зб зв лб лв зб зв лб лв зб зв лб лв        
2.3. На трех видах транспорта АБ3 АБ3 АБ3 АБ3 АБ3 АБ3 АБ3 АБ3 АБ3 АБ3 АБ3 АБ3        
a a a a m m m m t t t t        
зб зв лб лв зб зв лб лв зб зв лб лв        

2. Расчет нормативов транспортной подвижности различных категорий граждан по результатам обследования пассажиропотоков талонным и табличным методами

2.1. Результаты обследования перевозок пассажиров талонным и табличным методами в целом по городу отражаются в сводной таблице по форме Приложения 15, на основе которых производятся расчеты нормативов транспортной подвижности различных категорий граждан, используемые для статистической оценки объемов перевозок пассажиров общественным транспортом.

2.2. Сводные таблицы результатов обследования пассажиропотоков талонным (или табличным) методом (Приложение 15) составляются отдельно по каждому виду транспорта (автобусный, трамвайный, троллейбусный) во внутригородском и пригородном сообщениях за весь календарный период проведения обследования перевозок пассажиров (с раздельной группировкой по будним и выходным дням обследования).

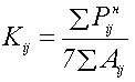
2.3. По указанной сводной таблице по каждому виду транспорта определяются следующие итоговые данные:

- общий объем перевозок пассажиров обследованными рейсами на всех обследованных внутригородских и пригородных (автобус) маршрутах - гр. 15;

- общий объем перевезенных обследованными рейсами пассажиров с правом бесплатного проезда (гр. 9), в том числе с распределением их по группам категорий (И, П, ВС, ВУ, ПР), - гр. 10 - 14;

- объем перевезенных обследованными рейсами пассажиров по абонементным проездным билетам долговременного пользования (годовым, квартальным, месячным) - группа АБ (гр. 8);

- объем перевезенных обследованными рейсами пассажиров во внутригородском сообщении по абонементным талонам на одну поездку - группа АТ (гр. 7);

- общий объем перевезенных обследованными рейсами пассажиров по разовым проездным билетам (включая абонементные талоны на одну поездку) - гр. 6.

2.4. Расчет нормативов транспортной подвижности (среднедневного количества поездок) различных категорий граждан с правом бесплатного проезда на общественном транспорте по результатам обследования пассажиропотоков талонным и табличным методами в общем виде производится по формуле:

где:

К_ij - норматив транспортной подвижности i-й категории граждан с правом бесплатного проезда (среднедневное количество поездок одного пассажира) на j-м виде транспорта во внутригородском или пригородном сообщении;

- общий объем перевозок пассажиров i-й категории граждан с правом бесплатного проезда на j-м виде транспорта во внутригородском или пригородном сообщении на обследованных рейсах за весь период обследования пассажиропотоков;

N_i - общая численность граждан i-й категории с правом бесплатного проезда в данном городе;

P_ni - выборочная доля обследования i-й категории граждан с правом бесплатного проезда;

m - число дней обследования пассажиропотоков (будних или выходных).

2.5. Расчет норматива транспортной подвижности (среднегодового количества поездок) граждан, использующих для проезда абонементные билеты долговременного пользования, производится по формуле:

где:

К_АБj - норматив транспортной подвижности граждан, использующих для проезда на j-м виде транспорта абонементные билеты долговременного пользования (годовые, квартальные, месячные);

- общий объем перевезенных пассажиров по

абонементным билетам долговременного пользования на j-м виде транспорта (во внутригородском или пригородном сообщении) за все дни проведения обследования (будние или выходные);

N_АБj - общее количество абонементных билетов долговременного пользования (годовых, квартальных и месячных) для проезда на j-м виде транспорта (во внутригородском или пригородном сообщении), проданных на начало проведения обследования пассажиропотоков:

N_АБj = (г) N_АБj + (к) N_АБj + (м) N_АБj ,

где:

(г)

N_АБj - количество годовых абонементных билетов для проезда на j-м виде транспорта, проданных на текущий год на начало проведения обследования пассажиропотоков;

(к)

N_АБj - количество квартальных абонементных билетов для проезда на j-м виде транспорта, реализованных на текущий квартал на начало проведения обследования пассажиропотоков;

(м)

N_АБj - количество месячных абонементных билетов на текущий месяц для проезда на j-м виде транспорта, реализованных на начало проведения обследования пассажиропотоков (значение может приниматься по отчету за месяц, предшествующий проведению обследования);

P_nj - выборочная доля обследования пассажиров с проездом по абонементным билетам долговременного пользования;

m - число дней обследования пассажиропотоков (будних или выходных).

2.6. Система нормативов транспортной подвижности различных категорий граждан, устанавливаемая по результатам обследования пассажиропотоков талонным (табличным) методом и используемая для статистической оценки объемов перевозок пассажиров общественным транспортом, представлена в таблице 2.

Таблица 2

НОРМАТИВЫ ТРАНСПОРТНОЙ ПОДВИЖНОСТИ РАЗЛИЧНЫХ КАТЕГОРИЙ ГРАЖДАН (УСТАНОВЛЕННЫЕ ПО РЕЗУЛЬТАТАМ ОБСЛЕДОВАНИЯ ПАССАЖИРОПОТОКОВ ТАЛОННЫМ (ТАБЛИЧНЫМ) МЕТОДОМ)

Вид сообщения, вид транспорта, дни / категории (группы) граждан Внутригородское Пригородное
автобусный трамвайный троллейбусный автобусный
будние выходные будние выходные будние выходные будние выходные
1. Нормативы транспортной подвижности (среднедневное количество поездок) граждан с правом бесплатного проезда на общественном транспорте:                
1.1. Группа "И" - инвалиды б в б в б в б в
a a m m t t n n
И И И И И И И И
1.2. Группа "П" - пенсионеры и ветераны б в б в б в б в
a a m m t t n n
П П П П П П П П
1.3. Группа "ВС" - военнослужащие б в б в б в б в
a a m m t t n n
ВС ВС ВС ВС ВС ВС ВС ВС
1.4. Группа "ВУ" - работники органов власти и управления б в б в б в б в
a a m m t t n n
ВУ ВУ ВУ ВУ ВУ ВУ ВУ ВУ
1.5. Группа "ПР" - прочие категории б в б в б в б в
a a m m t t n n
ПР ПР ПР ПР ПР ПР ПР ПР
2. Нормативы транспортной подвижности граждан, использующих для проезда абонементные билеты долговременного пользования, - группа "АБ"                
               
б в б в б в б в
a a m m t t n n
АБ АБ АБ АБ АБ АБ АБ АБ

3. Расчет укрупненных нормативов транспортной подвижности различных категорий граждан для статистической оценки объемов перевозок пассажиров

3.1. По результатам обследования транспортной подвижности различных категорий граждан и пассажиропотоков могут рассчитываться укрупненные нормативы соотношения льготных (бесплатных) и платных поездок пассажиров для статистической оценки по ним общих объемов перевозок пассажиров наземным горэлектротранспортом и автобусным транспортом.

Указанные нормативы определяются по каждому виду транспорта в городском и пригородном сообщениях по следующей формуле:

где:

К_лj - норматив соотношения льготных и платных поездок пассажиров на j-м виде транспорта (автобус, трамвай, троллейбус - во внутригородском сообщении, автобус - в пригородном сообщении);

P(м)_лj - объем перевозок пассажиров с правом бесплатного проезда на j-м виде транспорта (в городском или пригородном сообщении) за месяц, в котором проводилось обследование;

P(м)_плj - объем перевозок платных пассажиров на j-м виде транспорта (в городском или пригородном сообщении) по отчету за месяц, в котором проводилось обследование.

3.2. По данным анкетного обследования общий объем перевозок пассажиров с правом бесплатного проезда на j-м виде транспорта за

месяц, в котором проводилось обследование (P(м)_лj), определяется по формуле:

где:

К_ij - среднедневное количество поездок одного пассажира i-й категории на j-м виде транспорта:

(см. п. 1.3 настоящего раздела);

N_i - общая численность i-й категории (группы) граждан;

q_м - число календарных дней в месяце проведения анкетного обследования;

n - число категорий (групп) граждан.

3.3. При обследовании талонным и табличным методами общий объем перевозок пассажиров с правом бесплатного проезда на j-м виде транспорта за месяц, в котором проводилось обследование, определяется по следующей формуле:

где:

К_ij - среднедневное количество поездок одного пассажира i-й категории на j-м виде транспорта:

(см. п. 2.4 настоящего раздела);

N_i - общая численность i-й категории граждан;

q_м - число календарных дней в месяце проведения обследования пассажиропотоков;

n - число категорий (групп) граждан.

3.4. Система укрупненных нормативов транспортной подвижности граждан с правом бесплатного проезда на общественном транспорте, определяемых по результатам обследования перевозок пассажиров, представлена в таблице 3.

Таблица 3

НОРМАТИВЫ ТРАНСПОРТНОЙ ПОДВИЖНОСТИ ГРАЖДАН С ПРАВОМ БЕСПЛАТНОГО ПРОЕЗДА НА ОБЩЕСТВЕННОМ ТРАНСПОРТЕ (КОЭФФИЦИЕНТЫ СООТНОШЕНИЯ ПОЕЗДОК ЛЬГОТНЫХ И ПЛАТНЫХ ПАССАЖИРОВ)

Виды транспорта и сообщений Условное обозначение норматива (коэффициента) Расчетная формула
Внутригородское сообщение    
Автобусный
Трамвайный
Троллейбусный
Пригородное сообщение    
Автобусный

VII. МЕТОДИКА СТАТИСТИЧЕСКОЙ ОЦЕНКИ ОБЪЕМОВ ПЕРЕВОЗОК ПАССАЖИРОВ

1. Оценка объемов перевозок пассажиров по категориям (группам) граждан с правом бесплатного проезда на общественном транспорте и проезда по абонементным билетам долговременного пользования производится по каждому виду транспорта (во внутригородском и пригородном сообщениях) с применением системы нормативов транспортной подвижности граждан (таблицы 1, 2, 3), утверждаемых комиссией по проведению обследования пассажиропотоков.

2. Оценка общего объема перевозок пассажиров во внутригородском сообщении по каждому виду транспорта с использованием системы нормативов, указанных в таблицах 1, 2, производится по следующей формуле:

P_о = P_л + [P_АБ + (P_ АТ + P_рб)] ,

где:

P_о - общий объем перевозок пассажиров за отчетный месяц;

P_л - объем перевозок пассажиров с правом бесплатного проезда на городском транспорте за отчетный месяц;

P_АБ - объем перевозок платных пассажиров по абонементным билетам долговременного пользования за отчетный месяц;

P_АТ - объем перевозок платных пассажиров по абонементным талонам на одну поездку за отчетный месяц;

P_рб - объем перевозок платных пассажиров по разовым проездным билетам за отчетный месяц.

2.1. Объем перевозок пассажиров с правом бесплатного проезда на j-м виде общественного транспорта во внутригородском сообщении (автобусный, трамвайный, троллейбусный) за отчетный месяц рассчитывается как сумма объемов, выполняемых по будним и выходным дням отчетного месяца (с использованием системы нормативов транспортной подвижности граждан по таблицам 1, 2):

где:

P(м)_лj - общий объем перевозок пассажиров с правом бесплатного проезда на j-м виде транспорта во внутригородском сообщении за отчетный месяц;

N(м)_i - численность i-й категории (группы граждан с правом бесплатного проезда на городском пассажирском транспорте в отчетном месяце (по данным соответствующих организаций и учреждений города);

n - число категорий (групп) граждан с правом бесплатного проезда;

q(б)_м, q(в)_м - соответственно число будних и выходных дней в данном отчетном месяце;

К(б)_ij, К(в)_ij - нормативы транспортной подвижности i-й категории граждан, пользующихся услугами j-го вида транспорта, соответственно в будние и выходные дни.

Значения нормативов принимаются на уровне утвержденных в установленном порядке (по системе нормативов таблицы 2).

При использовании системы нормативов таблицы 1 оценка общего объема перевозок пассажиров с правом бесплатного проезда за отчетный месяц осуществляется по нормативам транспортной подвижности каждой категории (группы) граждан, установленным на будние и выходные дни месяцев зимнего сезона (октябрь - апрель) и летнего сезона (май - сентябрь) года.

2.2. Объем перевозок платных пассажиров по абонементным проездным билетам долговременного пользования j-м видом транспорта во внутригородском сообщении за отчетный месяц определяется по следующим формулам:

2.2.1. При использовании системы нормативов таблицы 1:

где:

P(м)_АБj - общий объем перевозок пассажиров по абонементным билетам долговременного пользования на j-м виде транспорта за отчетный месяц;

N(м)_АБjs - общее количество проданных абонементных билетов долговременного пользования (годовых, квартальных, месячных) (по состоянию на текущий отчетный месяц) для проезда на j-м виде транспорта, в том числе абонементные билеты на 2 и 3 вида транспорта (S):

(м) N_АБjs = (м) N_АБj1 + (м) N_АБj2 + (м) N_АБj3 ;

К(АБ)_jsб, К(АБ)_jsв - нормативы транспортной подвижности граждан, пользующихся абонементными билетами для проезда на j-м виде транспорта соответственно в будние и выходные дни отчетного месяца (зимнего или летнего сезона), в том числе абонементными билетами для проезда на 2-х и 3-х видах транспорта (S).

2.2.2. При использовании системы нормативов таблицы 2:

(м) P_АБj (м) = N_АБj (б) (б) (К_АБj q_м + (в) (в) К_АБj q_м) ,

где:

P(м)_АБj - общий объем перевозок по абонементным билетам долговременного пользования на j-м виде транспорта за отчетный месяц;

N(м)_АБj - общее количество проданных абонементных билетов долговременного пользования (годовых, квартальных, месячных) для проезда на j-м виде транспорта (в том числе абонементные билеты на 2 и 3 вида транспорта) - по состоянию на текущий отчетный месяц;

К(б)_АБj , К(в)_АБj - нормативы транспортной подвижности граждан, пользующихся для проезда на j-м виде транспорта абонементными билетами соответственно в будние и выходные дни отчетного месяца;

q(б)_м, q(в)_м - число будних и выходных дней в отчетном месяце.

2.3. Объем перевозок платных пассажиров по абонементным талонам и разовым билетам на одну поездку на j-м виде транспорта (P(м)_АТj + P(м)_рбj) определяется за отчетный месяц по включаемым в месячный отчет j-го вида транспорта доходам от продажи абонементных талонов (Д(м)_АТj) и разовых проездных билетов (Д(м)_рбj) и размеру единого тарифа за проезд на j-м виде общественного транспорта во внутригородском сообщении (d_m):

(P(м)_АТj + P(м)_рбj) Д(м)_АТj + Д(м)_рбj
d_m

3. Оценка общего объема перевозок пассажиров автобусным транспортом в пригородном сообщении за отчетный месяц (Р(м) _n) производится по формуле:

P(м)_n = P(м)_nл + P(м)_nАБ + P(м)_nрб ,

где:

P(м)_nл - объем перевозок пассажиров с правом бесплатного проезда в автобусном транспорте в пригородном сообщении за отчетный месяц;

P(м)_nАБ - объем перевозок пассажиров автобусным транспортом в пригородном сообщении по абонементным билетам долговременного пользования за отчетный месяц;

P(м)_nрб - объем перевозок пассажиров автобусным транспортом в пригородном сообщении, оплативших свой проезд по разовым билетам на одну поездку, за отчетный месяц.

3.1. Оценка общего объема перевозок пассажиров с правом бесплатного проезда при использовании системы нормативов по таблицам N 1, 2, объем перевозок пассажиров за отчетный месяц определяется по следующей формуле:

где:

N(м)_i - численность i-й категории граждан с правом бесплатного проезда на автобусном маршруте в пригородном сообщении в отчетном месяце;

К(б)_i, К(в)_i - нормативы транспортной подвижности i-й категории граждан (среднедневное количество поездок в автобусах на пригородных маршрутах) в будние и выходные дни отчетного месяца. При пользовании системой нормативов таблицы N 1 - в будние и выходные дни месяцев зимнего сезона (октябрь - апрель) и летнего сезона (май - сентябрь) года;

q(б)_м, q(в)_м - число будних и выходных дней в отчетном месяце.

3.2. Оценка объема перевозок пассажиров автобусным транспортом в пригородном сообщении по абонементным билетам долговременного пользования за отчетный месяц (P(м)_nАБ) с применением системы нормативов по таблицам N 1, 2:

P(м)_nАБ = N(м)_АБ (К(б)_АБп q(б)_м + К(в)_АБп q(в)_м) ,

где:

N(м)_АБ - общее количество проданных абонементных билетов долговременного пользования (годовых, квартальных, месячных) для проезда в автобусах пригородного сообщения по состоянию на текущий отчетный месяц;

К(б)_АБп, К(в)_АБп - нормативы транспортной подвижности граждан, пользующихся абонементными билетами для проезда на автобусном транспорте в пригородном сообщении, в будние и выходные дни отчетного месяца. При использовании нормативов таблицы N 1 - в будние и выходные дни месяцев зимнего сезона (октябрь - апрель) и летнего сезона (май - сентябрь) года.

3.3. Объем перевозок платных пассажиров на автобусном транспорте в пригородном сообщении по разовым билетам на одну поездку за отчетный месяц (P(м)_nрб) определяется по числу пассажиров, оплативших свой проезд в салоне автобуса или на автовокзале (автостанции).

4. Оценка объемов перевозок пассажиров по укрупненным нормативам транспортной подвижности граждан.

4.1. Оценка объемов перевозок пассажиров с использованием установленных по результатам обследования пассажиропотоков укрупненных нормативов (коэффициентов соотношения поездок льготных и платных пассажиров), приведенных в таблице 3, производится по каждому виду транспорта и виду сообщения.

4.2. Объемы перевозок пассажиров за отчетный месяц во внутригородском сообщении:

автобусным транспортом:

P(м)_a = (1 + К_л) P(м)_пл ;

трамвайным транспортом:

P(м)_m = (1 + К_лm) P(м)_плm ;

троллейбусным транспортом:

P(м)_t = (1 + К_лt) P(м)_плt .

При этом объем перевозок платных пассажиров на каждом виде транспорта (P(м)_пл) определяется за отчетный месяц как сумма объемов перевозок пассажиров по абонементным проездным билетам долговременного пользования (P(м)_АБ), абонементным талонам (P(м)_АТ) и разовым проездным билетам на одну поездку (P(м)_рб):

P(м)_пл = P(м)_АБ + P(м)_АТ + P(м)_рб .

Указанные объемы перевозок платных пассажиров за отчетный месяц определяются по каждому виду транспорта из общей суммы включенных в отчет данного месяца доходов от перевозок и действующего единого тарифа на проезд в городском общественном транспорте:

P(м)_пл= Д(г)_АБ Д(к)_АБ Д(м)_АБ + Д(м)_АТ + Д(м)_рб) 1
12 3 d_т

где:

Д(г)_АБ/12, Д(к)_АБ/3 - доходы от продажи соответственно годовых и квартальных абонементных билетов в расчете на один месяц;

Д(м)_АБ - доходы от продажи месячных абонементных билетов;

Д(м)_АТ, Д(м)_рб - доходы от продажи абонементных талонов и разовых билетов на одну поездку;

d_т - ставка единого тарифа за проезд на городском транспорте.

4.3. Объем перевозок пассажиров автобусным транспортом в пригородном сообщении:

P(м)_n = (1 + К_лn) P(м)_плn .

При этом объем перевозок платных пассажиров за отчетный месяц определяется как сумма объемов перевозок пассажиров по

абонементным билетам долговременного пользования (P(м)_АБn) и числа пассажиров, оплативших свой проезд в салоне автобуса или на автовокзале (автостанции), - P(м)_рбn :

P(м)_n = P(м)_АБn + P(м)_рбn .

5. Статистическая оценка объемов пассажирооборота общественного транспорта.

5.1. Объем пассажирооборота, выполняемый каждым видом общественного транспорта (P_nкм), определяется как произведение объема перевезенных i-й категории пассажиров (P_i) на среднюю дальность поездки одного пассажира i-й категории (l):

5.2. В условиях применения на городском общественном транспорте единых тарифов для оплаты проезда независимо от расстояния поездки и наличия в общем объеме пассажирских перевозок значительной доли пассажиров с правом бесплатного проезда достоверный учет средней дальности поездок пассажиров чрезвычайно затруднен. В связи с этим для определения фактических объемов пассажирооборота на каждом виде городского транспорта в настоящее время используются постоянные величины средней дальности поездки одного пассажира, устанавливаемые на основе периодически проводимых натурных обследований пассажиропотоков на автобусных, трамвайных и троллейбусных маршрутах.

В пригородном сообщении автобусным транспортом средняя дальность поездки одного пассажира определяется путем деления суммы полученной денежной выручки от перевозки пассажиров на пригородных маршрутах на действующий тариф за один пассажиро-километр.

5.3. Для статистической оценки фактических объемов пассажирооборота общественного транспорта при обследовании транспортной подвижности различных категорий граждан анкетным и талонным методами в соответствии с настоящими методологическими указаниями предполагается использование действующих методов и порядка установления средней дальности поездки одного пассажира, изложенных в п. 5.2.

5.4. Обследование пассажиропотоков табличным методом в соответствии с настоящими Методологическими рекомендациями позволяет получить необходимую информацию для определения общего пассажирооборота по каждому виду транспорта в городском и пригородном сообщении. Исходная информация для этого содержится в карточке порейсового учета, где на каждом участке обследуемого маршрута фиксируется число входящих в транспортное средство пассажиров и выходящих из него.

Пример расчета пассажирооборота по данным карточки порейсового учета приведен в таблице N 4.

Таблица N 4

ПРИМЕР РАСЧЕТА ОБЪЕМА ПАССАЖИРООБОРОТА ПО ДАННЫМ ОБСЛЕДОВАНИЯ ПАССАЖИРОПОТОКОВ ТАБЛИЧНЫМ МЕТОДОМ (ИСХОДНЫЕ ДАННЫЕ ИЗ КАРТОЧЕК ПОРЕЙСОВОГО УЧЕТА)

Остановочные пункты Участки маршрута Длина участка марш-та, км Число вошедших на остановке пасс., чел. Число вышедших на остановке пасс., чел. Перевезено пассажиров на участке марш., чел. Пассажирооборот, пасс.-км
Услов. обозн. I J L_j P(1)_i P(0)_i P_j P_j l_i
  A (начальный)   0 5 0 0  
  B A - B 0,5 3 1 5 2,5
  C B - C 0,3 7 3 7 2,1
  D C - D 0,7 9 2 11 7,7
  E D - E 0,6 8 4 18 10,8
  F E - F 0,4 10 5 22 8,8
  G F - G 0,3 6 6 27 8,1
  Н G - H 0,5 7 2 27 13,5
  I H - I 0,4 4 6 32 12,8
  J (конечный) I - J 0,6 0 30 30 18,0
Всего 10 9 4,3 59 59   84,3
  n m -l        

Общее число перевезенных пассажиров за один рейс (P_пас) равняется числу вошедших в транспортное средство на начальной и (1) промежуточных остановках пассажиров (P_i) или числу вышедших из него пассажиров на промежуточных и конечной остановках пассажиров (P(0)_i):

где n - число остановочных пунктов на участке (включая начальный и конечный).

Количество перевезенных пассажиров на каждом участке (P_j) определяется как разность между числом вошедших пассажиров на остановочных пунктах (включая начальный пункт маршрута) и числом вышедших пассажиров на промежуточных остановках:

Пассажирооборот, выполненный на каждом участке маршрута:

P_nкм = P_j l_j .

Общий пассажирооборот на обследуемом маршруте за один рейс:

где m - число участков на маршруте.

5.5. Обработка трех карточек порейсового учета при талонном методе обследования пассажиропотоков позволяет получить значение средней дальности перевозки одного пассажира (l_ср) по всем обследованным рейсам на трех обследованных маршрутах и на основе этих данных установить значения средней дальности перевозки одного пассажира для статистической оценки общего объема пассажирооборота по каждому виду транспорта и виду сообщения.

Приложение N 1

ТИПОВОЙ ПЛАН МЕРОПРИЯТИЙ ПО ПОДГОТОВКЕ И ПРОВЕДЕНИЮ СТАТИСТИЧЕСКОГО ОБСЛЕДОВАНИЯ ПЕРЕВОЗОК ПАССАЖИРОВ НА ГОРОДСКОМ И ПРИГОРОДНОМ ОБЩЕСТВЕННОМ ТРАНСПОРТЕ
В Г. _________________________________________
(наименование города и субъекта Федерации)

N п/п Наименование мероприятий Сроки выполнения Исполнители ______, контроль Примечания
1 2 3 4 5
  I. Подготовка обследования      
1.1 Организация работы комиссии (рабочей группы) по подготовке и проведению статистического обследования перевозок пассажиров на городском и пригородном общественном транспорте      
1.2 Определение масштабов и сроков проведения обследования      
1.3 Выбор методов и способов проведения обследования      
1.4 Отбор для проведения обследования маршрутов и графиков движения городского и пригородного общественного пассажирского транспорта      
1.5 Определение потребности в трудовых, финансовых и материально-технических ресурсах для проведения обследования и источников финансирования      
1.6 Разработка и тиражирование форм учетной документации для проведения обследования      
1.7 Подготовка инструкций и маршрутных справочников для учетчиков-контролеров      
1.8 Привлечение студентов, учащихся и работников других организаций для проведения обследования пассажиропотоков. Заключение с ними трудовых соглашений      
1.9 Закрепление учетчиков-контролеров за обследуемыми маршрутами и назначение руководителей обследования по маршрутам      
1.10 Проведение инструктивных занятий с учетчиками-контролерами и другими работниками предприятий транспорта, участвующими в обследовании пассажиропотоков      
1.11 Составление календарных графиков работы учетчиков, контролеров и других работников на период проведения обследования пассажиропотоков      
1.12 Оформление и выдача нарядов (допусков к обследованию) учетчикам-контролерам      
1.13 Приобретение материалов и инвентаря, необходимых для проведения обследования      
1.14 Предоставление помещений, выделение автотранспорта, средств связи и другого оборудования в распоряжение комиссии (рабочей группы) для оперативного управления проведением обследования      
1.15 Оповещение населения через средства массовой информации и наглядной агитации о проведении обследования пассажиропотоков      
1.16 Организация постов милиции для поддержания порядка на особо пассажиронапряженных остановочных пунктах в период проведения обследования      
  II. Проведение обследования      
2.1 Осуществление контроля за выполнением календарного графика работы учетчиков-контролеров и обеспечением своевременной доставки их к пунктам начала работы      
2.2 Обеспечение своевременной выдачи необходимой учетной документации всем участникам обследования перевозок пассажиров      
2.3 Осуществление контроля за соблюдением технологии проведения обследования пассажиропотоков, своевременным и полным сбором информации по установленным формам      
2.4 Обеспечение полного и своевременного выпуска на линию подвижного состава и соблюдение расписания движения на обследуемых внутригородских и пригородных маршрутах общественного транспорта      
2.5 Поддержание в проезжем состоянии дорог на обследуемых внутригородских и пригородных маршрутах      
  III. Обработка материалов обследования      
3.1 Разработка специальных программ для обработки на ПЭВМ материалов и анализа результатов обследования перевозок пассажиров городским и пригородным общественным транспортом      
3.2 Осуществление первичной обработки данных учетной информации по обследованию перевозок пассажиров по каждому внутригородскому и пригородному маршруту      
3.3 Подготовка данных обследования для обработки на ПЭВМ (кодирование и др.)      
3.4 Обработка материалов обследования на ПЭВМ и распечатка выходной информации по установленным формам и показателям      
3.5 Проведение детального анализа результатов обследования пассажиропотоков      
3.6 Установление нормативов для определения объемов перевозок пассажиров во внутригородском и пригородном сообщении      
3.7 Составление пояснительной записки по результатам обследования с необходимыми выводами и предложениями      

Приложение N 2

ПЕРЕЧЕНЬ
КАТЕГОРИЙ ПАССАЖИРОВ, ИМЕЮЩИХ ПРАВО БЕСПЛАТНОГО ПРОЕЗДА НА ГОРОДСКОМ И ПРИГОРОДНОМ ОБЩЕСТВЕННОМ ПАССАЖИРСКОМ ТРАНСПОРТЕ

N п/п Наименование категорий граждан Нормативные акты, предусматривающие право бесплатного проезда
1 2 3
  Инвалиды (группа "И")  
1 Инвалиды войны Положение о льготах для инвалидов ВОВ и семей погибших военнослужащих, утв. Постановлением СМ СССР от 23 февраля 1981 г. N 209. Федеральный закон "О ветеранах" от 2 января 2000 г. N 40-ФЗ
2 Военнослужащие лица рядового и начальствующего состава органов внутренних дел, ставшие инвалидами вследствие ранения, контузии или увечья, полученных при исполнении обязанностей военной службы (служебных обязанностей) -"-
3 Инвалиды всех других категорий, в том числе: Федеральный закон "О социальной защите инвалидов в РФ" от 24 ноября 1995 г. N 181-ФЗ
3.1 Инвалиды, не имеющие двух конечностей или с параличом двух конечностей Положение о льготах для инвалидов ВОВ и семей погибших военнослужащих, утв. Постановлением СМ СССР от 23 февраля 1981 г. N 209. Постановление ЦК КПСС, СМ СССР и ВЦСПС от 27 марта 1986 г. N 400 "О мерах по дальнейшему улучшению условий жизни инвалидов с детства"
3.2 Дети - инвалиды по зрению Постановление ЦК КПСС, СМ СССР и ВЦСПС "О мерах по дальнейшему улучшению условий жизни инвалидов с детства" от 27 марта 1986 г. N 400
3.3 Дети-инвалиды, лицо, сопровождающее ребенка-инвалида (родители, опекуны, попечители и социальные работники, осуществляющие уход за детьми-инвалидами) Федеральный закон "О социальной защите инвалидов в РФ" от 24 ноября 1995 г. N 181-ФЗ
3.4 Инвалиды вследствие Чернобыльской катастрофы и аварии на ПО "Маяк" Федеральный закон "О социальной защите граждан, подвергшихся воздействию радиации вследствие катастрофы на Чернобыльской АЭС" от 11 декабря 1996 г. N 149-ФЗ. Федеральный закон "О социальной защите граждан РФ, подвергшихся воздействию радиации вследствие аварии в 1957 г. на производственном объединении "Маяк" и сбросов радиоактивных отходов в реку Теча" от 26 ноября 1998 г. N 175-ФЗ
4 Лицо, сопровождающее инвалида войны 1 группы Федеральный закон "О ветеранах" от 02.01.2000 N 40-ФЗ
5 Лица, сопровождающие инвалидов других категорий По решению соответствующих органов власти субъектов РФ
  Пенсионеры и ветераны (группа "П")  
6 Ветераны труда (при выходе на пенсию) Федеральный закон "О ветеранах" от 2 января 2000 г. N 40-ФЗ
7 Участники Великой Отечественной войны -"-
8 Военнослужащие, проходившие военную службу в воинских частях, учреждениях, военноучебных заведениях, не входивших в состав действующей армии, в период с 22 июня 1941 г. по 3 сентября 1945 г. не менее шести месяцев, и военнослужащие, награжденные орденами или медалями СССР за службу в указанный период -"-
9 Лица, работавшие на предприятиях, в учреждениях и организациях города Ленинграда в период блокады с 8 сентября 1941 г. по 27 января 1944 г. и награжденные медалью "За оборону Ленинграда", и лица, награжденные знаком "Житель блокадного Ленинграда" Федеральный закон "О ветеранах" от 2 января 2000 г. N 40-ФЗ
10 Лица, работавшие в период ВОВ на объектах противовоздушной обороны, местной противовоздушной обороны, строительстве оборонительных сооружений, военно-морских баз, аэродромов и других военных объектов в пределах тыловых границ действующих фронтов, операционных зон действующих флотов, на прифронтовых участках железных и автомобильных дорог  
11 Лица, проработавшие в тылу в период с 22 июня 1941 г. по 9 мая 1945 г. не менее шести месяцев, исключая период работы на временно оккупированных территориях СССР, либо награжденные орденами и медалями СССР за самоотверженный труд в период ВОВ Федеральный закон "О ветеранах" от 2 января 2000 г. N 40-ФЗ
12 Ветераны боевых действий -"-
13 Ветераны военной службы и ветераны государственной службы (по достижении возраста, дающего право на пенсию по старости). Родители и супруги погибших (умерших) инвалидов войны, участников ВОВ и ветеранов боевых действий -"-
14 Бывшие несовершеннолетние узники фашизма Указ Президента РФ "О предоставлении льгот бывшим несовершеннолетним узникам концлагерей, гетто и других мест принудительного содержания, созданных фашистами и их союзниками в период второй мировой войны" от 15 октября 1992 г. N 1235
15 Лица, подвергшиеся политическим репрессиям в виде лишения свободы, ссылки, высылки, направления на спецпоселение, привлечения к принудительному труду в условиях ограничения свободы и иным ограничениям прав и свобод, необоснованно помещавшиеся в психиатрические лечебные учреждения и впоследствии реабилитированные, имеющие инвалидность или являющиеся пенсионерами Закон РФ "О реабилитации жертв политических репрессий" от 3 сентября 1993 г. N 5698-1
16 Другие категории пенсионеров По решениям соответствующих органов власти субъектов РФ (за счет средств местных бюджетов)
  Военнослужащие (группа "ВС")  
17 Военнослужащие Минобороны России (офицеры, прапорщики и мичманы, курсанты военных образовательных учреждений, сержанты, старшины, солдаты и матросы, проходящие военную службу по призыву или поступившие на военную службу по контракту) Федеральный закон "О статусе военнослужащих" от 27 мая 1998 г. N 76-ФЗ
18 Военнослужащие МЧС России -"-
19 Военнослужащие Минсвязи России -"-
20 Военнослужащие Минатома России -"-
21 Военнослужащие железнодорожных войск -"-
22 Военнослужащие строительных войск -"-
23 Военнослужащие органов Федеральной службы безопасности Российской Федерации Федеральный закон "Об органах Федеральной службы безопасности в Российской Федерации" от 3 апреля 1995 г. N 40-ФЗ
24 Военнослужащие внутренних войск МВД России Федеральный закон "О внутренних войсках Министерства внутренних дел РФ" от 6 февраля 1997 г. N 27-ФЗ
25 Личный состав Государственной противопожарной службы (при исполнении служебных обязанностей) Федеральный закон "О пожарной безопасности" от 21 декабря 1994 г. N 69-ФЗ
26 Офицеры, прапорщики и мичманы, уволенные с военной службы, имеющие общую продолжительность военной службы 20 лет и более Федеральный закон "О статусе военнослужащих" от 27 мая 1998 г. N 76-ФЗ
27 Граждане из подразделений особого риска Закон РФ "О социальной защите граждан, подвергшихся воздействию радиации вследствие катастрофы на Чернобыльской АЭС" от 18 июня 1992 г. N 3061-1
28 Жены погибших военнослужащих Закон СССР "О неотложных мерах по улучшению пенсионного обеспечения и социального обслуживания населения" от 1 августа 1989 г. N 313-1
  Работники органов власти и управления (группа "ВУ")  
29 Члены Совета Федерации Федерального Собрания РФ Федеральный закон "О статусе члена Совета Федерации Федерального Собрания и статуса депутата Государственной Думы Федерального Собрания РФ" от 5 июля 1999 г. N 133-ФЗ
30 Депутаты Государственной Думы Федерального Собрания РФ -"-
31 Помощники, сопровождающие депутатов Государственной Думы Федерального Собрания РФ -"-
32 Лицо, сопровождающее депутата Государственной Думы Федерального Собрания РФ - инвалида I группы -"-
33 Судьи Конституционного Суда РФ (действующие и ушедшие в отставку) Указы Президента РФ от 14 сентября 1995 г. N 941 "О мерах по обеспечению материальных гарантий независимости судей Конституционного Суда РФ" и от 15 сентября 1995 г. N 947 "Об обеспечении деятельности Конституционного Суда РФ"
34 Судьи (действующие и ушедшие в отставку) Закон Российской Федерации "О статусе судей в РФ" от 26 июня 1992 г. N 3132-1
35 Судебные приставы-исполнители Федеральный закон "О судебных приставах" от 21 июля 1997 г. N 118-ФЗ
36 Мировые судьи Федеральный закон "О мировых судьях в Российской Федерации" от 17 декабря 1998 г. N 188-ФЗ
37 Прокуроры и следователи, научные работники (прокурорские работники) Федеральный закон "О прокуратуре" от 17 ноября 1995 г. N 168-ФЗ (с изменениями и дополнениями от 10 февраля 1999 г. N 31-ФЗ)
38 Должностные лица таможенных органов Федеральный закон "О службе в таможенных органах РФ" от 21 июля 1997 г. N 114-ФЗ
39 Сотрудники оперативных подразделений и подразделений физической защиты федеральных органов налоговой полиции Закон РФ "О федеральных органах налоговой полиции" от 24 июня 1993 г. N 5238-1
40 Сотрудники милиции, следователи органов внутренних дел Закон РФ "О милиции" от 18 апреля 1991 г. N 1026-1
41 Сотрудники федеральной фельдъегерской службы Федеральный закон "О федеральной фельдъегерской связи" от 17 декабря 1994 г. N 67-ФЗ
42 Работники уголовно-исполнительной системы Закон РФ "Об учреждениях и органах, исполняющих уголовные наказания в виде лишения свободы" от 21 июля 1993 г. N 5473-1
43 Работники Российской транспортной инспекции Положение о Российской транспортной инспекции Министерства транспорта РСФСР, утвержденное Постановлением Правительства РСФСР от 26 ноября 1991 г. N 20
44 Депутаты законодательных органов власти субъектов Федерации, городов и районов По решениям соответствующих органов власти субъектов РФ
45 Работники других местных органов власти и управления По решениям соответствующих местных органов власти (за счет средств местных бюджетов)
  Работники других организаций и прочие категории граждан (группа "ПР")  
46 Герои Советского Союза, Герои РФ, полные кавалеры ордена Славы Закон РФ "О статусе Героев Советского Союза, Героев РФ и полных кавалеров ордена Славы" от 15 января 1993 г. N 4301-1
47 Герои Социалистического Труда, полные кавалеры ордена Трудовой славы Федеральный закон "О предоставлении социальных гарантий Героям Социалистического Труда и полным кавалерам ордена Трудовой Славы" от 9 января 1997 г. N 5-ФЗ
48 Граждане, награжденные знаком "Почетный донор России" или "Почетный донор СССР" Закон РФ "О донорстве крови и ее компонентов" от 9 июня 1993 г. N 5142-1
49 Участники ликвидации последствий катастрофы на Чернобыльской АЭС в 1986 - 1987 гг. и аварии на ПО "Маяк" в 1957 - 1958 гг. Закон РФ "О социальной защите граждан, подвергшихся воздействию радиации вследствие катастрофы на Чернобыльской АЭС" от 11 декабря 1996 г. N 149-ФЗ. Федеральный закон "О социальной защите граждан РФ, подвергшихся воздействию радиации вследствие аварии в 1957 г. на производственном объединении "Маяк" и сбросов радиоактивных отходов в реку Теча" от 26 ноября 1998 г. N 175-ФЗ
50 Водители и кондукторы автобусов предприятий транспорта общего пользования Постановление Совета Министров РСФСР от 1 июля 1969 г. N 399. Распоряжение Совета Министров СССР от 30 декабря 1987 г. N 2807
51 Водители троллейбусов и трамваев Распоряжение Совета Министров СССР от 30 декабря 1989 г. N 2289-р
52 Работники дорожных органов Постановление Совета Министров РСФСР от 25 января 1972 г. N 64
53 Работники санитарно-эпидемиологической службы (в пределах обслуживаемых административных территорий) Постановление Правительства РФ от 1 апреля 1993 г. N 264
54 Почтальоны организаций федеральной почтовой связи (при исполнении ими служебных обязанностей) Федеральный закон "О почтовой связи" от 17 июля 1999 г. N 176-ФЗ
55 Социальные работники, занятые в государственном и муниципальном секторах социального обслуживания (если их профессиональная деятельность связана с разъездами) Федеральный закон "О социальном обслуживании граждан пожилого возраста и инвалидов" от 2 августа 1995 г. N 122-ФЗ
56 Члены добровольных народных дружин при исполнении обязанностей по охране общественного порядка Постановление Совета Министров СССР от 20 мая 1974 г. N 379
57 Дети-сироты и дети, оставшиеся без попечения родителей, находящиеся в детских домах, в школах-интернатах, средних профессионально-технических училищах, высших и средних специальных учебных заведениях Постановление ЦК КПСС и Совета Министров СССР от 31 июля 1987 г. N 872 "О мерах по дальнейшему улучшению воспитания, обучения и материального обеспечения детей-сирот и детей, оставшихся без попечения родителей"
58 Дети и их родители из многодетных семей Указ Президента РФ "О мерах по социальной поддержке многодетных семей" от 5 мая 1992 г. N 431
59 Другие категории граждан По решению соответствующих местных органов власти (за счет средств местных бюджетов)

Приложение N 3

АНКЕТА ОБСЛЕДОВАНИЯ ПОЕЗДОК ПАССАЖИРОВ НА ОБЩЕСТВЕННОМ ТРАНСПОРТЕ

Уважаемый житель нашего города!

Если Вы пользуетесь общественным пассажирским транспортом, просим Вас ответить на вопросы настоящей анкеты о своих поездках. Ваша информация будет использована при разработке мер по улучшению транспортного обслуживания населения города. Заполненную анкету просьба передать по месту ее получения.

Администрация города

Оборотная сторона анкеты

Вопросы анкеты:

1. Какое количество поездок <*> в среднем за одну неделю совершаете Вы на общественном транспорте:

<*> Под одной поездкой понимается проезд на одном виде транспорта (городской автобус, трамвай, троллейбус или пригородный автобус) в одну сторону (туда или обратно).

В зимний сезон (октябрь - апрель) В летний сезон (май - сентябрь)
  в будние дни в выходные дни в будние дни в выходные дни
В городе На городском автобусе        
На трамвае        
На троллейбусе        
В пригородной зоне На пригородном автобусе        

2. К какой из нижеследующих групп пассажиров Вы относитесь:

а) с правом бесплатного проезда на трех видах городского общественного транспорта
       
  (указать наименование Вашего документа,
       
  удостоверяющего это право)
б) с правом бесплатного проезда на пригородных автобусах  
       
(указать наименование Вашего документа, удостоверяющего это право)

Приложение N 4

АНКЕТА ОБСЛЕДОВАНИЯ ПОЕЗДОК ПАССАЖИРОВ НА ОБЩЕСТВЕННОМ ТРАНСПОРТЕ

Уважаемый житель нашего города!

Если Вы пользуетесь общественным пассажирским транспортом, просим Вас ответить на вопросы настоящей анкеты о своих поездках. Ваша информация будет использована при разработке мер по улучшению транспортного обслуживания населения города. Заполненную анкету просьба передать по месту ее получения.

Администрация города

Оборотная сторона анкеты

Вопросы анкеты:

1. Какое количество поездок <*> в среднем за одну неделю совершаете Вы на общественном транспорте:

<*> Под одной поездкой понимается проезд на одном виде транспорта (городской автобус, трамвай, троллейбус или пригородный автобус) в одну сторону (туда или обратно).

В зимний сезон (октябрь - апрель) В летний сезон (май - сентябрь)
  в будние дни в выходные дни в будние дни в выходные дни
В городе На городском автобусе        
На трамвае        
На троллейбусе        
В пригородной зоне На пригородном автобусе        

2. Приобретаемые абонементные проездные билеты долговременного пользования Вы используете:

а) для проезда в городе:      
на одном виде транспорта автобус трамвай троллейбус
на двух видах транспорта автобус трамвай троллейбус
  + трамвай + троллейбус + автобус
на трех видах транспорта   Да Нет
б) для проезда на пригородных автобусах Да Нет
(зачеркните ненужные квадратики, оставив лишь квадратики с правильными ответами).

Приложение N 5

ОБРАЗЦЫ УЧЕТНЫХ ТАЛОНОВ ДЛЯ СТАТИСТИЧЕСКОГО ОБСЛЕДОВАНИЯ ПАССАЖИРОПОТОКОВ НА ГОРОДСКОМ И ПРИГОРОДНОМ ОБЩЕСТВЕННОМ ПАССАЖИРСКОМ ТРАНСПОРТЕ

Учетный талон обследования пассажиропотоков серия П N 1000001 АВТОБУС   Учетный талон обследования пассажиропотоков серия И N 1000100 ТРАМВАЙ   Учетный талон обследования пассажиропотоков серия ВС N 1000200 ТРОЛЛЕЙБУС  
                         
                         
Учетный талон обследования пассажиропотоков серия ПР N 1000300 ТРАМВАЙ   Учетный талон обследования пассажиропотоков серия АБ N 1000600 АВТОБУС   Учетный талон обследования пассажиропотоков серия АТ N 1000250 ТРОЛЛЕЙБУС   Учетный талон обследования пассажиропотоков серия ВУ N 1000430 АВТОБУС

Приложение N 6
 

КАРТОЧКА ПОРЕЙСОВОГО УЧЕТА ПАССАЖИРОВ
НА МАРШРУТЕ N ______

Дата "__" _____ 2002 г. Транспортное средство _____________
    (марка, модель,
гос. номер)
       
График N ____ Направление: ПРЯМОЕ / обратное <*> Предприятие
    транспорта  
       
Начало   Вид транспорта /
рейса _____ (ч м.) окончание рейса _____ (ч м. сообщения  

<*> Печать на оборотной стороне.

N п / п Остановочные пункты Пассажиры с правом бесплатного проезда по группам (категориям), человек: Платные пассажиры, человек: Учет по всем категориям пассажиров, человек:
инвалиды (И) пенсионеры (П) военнослужащие (ВС) работники органов власти и управления (ВУ) прочие (ПР) всего пассажиров с правом бесплатного проезда (сумма граф 2 - 6) с абонементными билетами (АБ) с абонементными талонами (АТ) общее число вошедших пассажиров общее число вышедших пассажиров
А 1 2 3 4 5 6 7 8 9 10 11
1                      
2                      
3                      
                       
                       
                       
                       
                       
                       
  Итого                    

ОБРАТНОЕ НАПРАВЛЕНИЕ (карточка порейсового учета пассажиров)

N п / п Остановочные пункты Пассажиры с правом бесплатного проезда по группам (категориям), человек: Платные пассажиры, человек: Учет по всем категориям пассажиров, человек:
инвалиды (И) пенсионеры (П) военнослужащие (ВС) работники органов власти и управления (ВУ) прочие (ПР) всего пассажиров с правом бесплатного проезда (сумма граф 2 - 6) с абонементными билетами (АБ) с абонементными талонами (АТ) общее число вошедших пассажиров общее число вышедших пассажиров
А 1 2 3 4 5 6 7 8 9 10 11
1                      
2                      
3                      
                       
                       
                       
                       
                       
                       
  Итого                    
12. Количество проданных разовых проездных билетов на маршрутах (городских / пригородных)
        шт.
(число пассажиров, оплативших проезд, с учетом принятых абонементных талонов) (заполняет кондуктор)
13. Всего перевезено пассажиров за рейс   человек
      (итог: суммарный по графе 10)
Учетчик-контролер   (Ф.И.О.)    

Приложение N 7

ТИПОВАЯ ИНСТРУКЦИЯ
УЧЕТЧИКУ-КОНТРОЛЕРУ СТАТИСТИЧЕСКОГО ОБСЛЕДОВАНИЯ ПАССАЖИРОПОТОКОВ НА ВНУТРИГОРОДСКИХ И ПРИГОРОДНЫХ МАРШРУТАХ ОБЩЕСТВЕННОГО ПАССАЖИРСКОГО ТРАНСПОРТА

I. Общая часть

1. Основной задачей статистического обследования пассажиропотоков на общественном пассажирском транспорте является получение информации о подвижности (количестве поездок) различных категорий граждан, в том числе пользующихся правом бесплатного проезда и абонементными билетами долговременного пользования для проезда в городском и пригородном сообщениях.

2. Учетчикам-контролерам для проведения обследования пассажиропотоков выдаются:

- временное удостоверение учетчика-контролера, предоставляющее право проверки у пассажиров обследуемого маршрута проездных документов и документов, удовлетворяющих их право на бесплатный проезд в общественном пассажирском транспорте;

- наряд на проведение обследования пассажиропотоков по закрепленному маршруту и графику движения транспортного средства;

- маршрутный справочник с краткой характеристикой обследуемого маршрута;

- настоящая Инструкция;

- таблицы, учетные талоны и карточки для первичного учета перевозимых пассажиров;

- необходимые канцелярские принадлежности и папка для хранения документации.

II. Порядок работы и обязанности учетчика-контролера

1. За 1 - 2 дня до начала обследования пассажиропотоков учетчик-контролер получает от руководителя обследования маршрута временное удостоверение на право проверки проездных документов и наряд на проведение обследования по закрепленному за ним маршруту и графику движения и обязан своевременно явиться в указанное в наряде место к началу работы.

2. Перед началом смены учетчик-контролер по предъявлению временного удостоверения и наряда получает от руководителя обследования маршрута необходимые для обследования материалы и указания о порядке предстоящей работы, заполняет все реквизиты в учетных таблицах и карточках (дата, N маршрута, N графика, гос. N транспортного средства, вид перевозок и др.).

3. В период проведения обследования пассажиропотоков учетчик-контролер обязан строго соблюдать технологический процесс учета пассажиров и обработки первичной документации.

4. При нахождении в автобусе двух и более учетчиков-контролеров каждый из них должен вести регистрацию вошедших пассажиров раздельно по установленному порядку, а обработку результатов обследования производить совместно с другими учетчиками-контролерами и кондуктором.

5. Учетчики-контролеры не имеют права вмешиваться в работу водителей, кондукторов и других линейных работников транспорта, должны быть вежливыми в обращении с пассажирами.

6. О всех случаях происшествий на маршруте, повлекших длительные задержки движения или возврат транспортного средства с линии, невозможность продолжения работы по обследованию пассажиропотоков, учетчики-контролеры обязаны сделать запись в карточке учета пассажиров о времени и причине прекращения работы и незамедлительно проинформировать руководителя обследования маршрута и в дальнейшем действовать по его указанию.

7. В конце смены учетчик-контролер обязан сдать наряд и обработанные материалы обследования по установленным формам руководителю обследования маршрута, который должен сделать отметку в наряде о выполнении учетчиком-контролером сменного задания. Оплата труда учетчиков-контролеров производится в течение 5-ти дней со дня окончания обследования пассажиропотоков по оформленным в установленном порядке нарядам.

8. Учетчики-контролеры несут ответственность за некачественное выполнение своих обязанностей. Работа, признанная браком, оплате не подлежит.

Приложение N 8

                  ТИПОВОЙ МАРШРУТНЫЙ СПРАВОЧНИК
 
    Маршрут N ____________________________________________________
                      (наименование начального и конечного
                               пунктов назначения)
 
                 Краткая характеристика маршрута
 
    Классификация ________________________________________________
                         (внутригородской, пригородный)
 
    Вид транспорта _______________________________________________
                           (автобус, трамвай, троллейбус)
 
    Общая протяженность _______________________________________ км
    Количество остановочных пунктов __________________________ ед.
    Время в пути:
                  в прямом направлении ______________________ мин.
                  в обратном направлении ____________________ мин.
Прямое направление 
Обратное направление 
наименование 
остановочных
пунктов
N 
остановочного
пункта
протяженность 
участка, км
время 
в
пути,
мин.
наименование 
остановочных
пунктов
N 
остановочного
пункта
протяженность 
участка, км
время 
в
пути,
мин.
1 
2 
3 
4 
5 
6 
7 
8 
 
1 
x 
x 
 
N 
x 
x 
 
2 
 
 
 
n - 1 
 
 
 
... 
 
 
 
... 
 
 
 
... 
 
 
 
... 
 
 
 
... 
 
 
 
3 
 
 
 
... 
 
 
 
2 
 
 
 
n 
 
 
 
1 
 
 
 
 
 
 
 
 
 
 

Приложение N 9

                   ТИПОВАЯ ФОРМА НАРЯДА
             УЧЕТЧИКУ-КОНТРОЛЕРУ НА ПРОВЕДЕНИЕ
               ОБСЛЕДОВАНИЯ ПАССАЖИРОПОТОКОВ
 
 по маршруту N ________________________________________________
                     (наименование начального и конечного
                               пунктов маршрута)
 График N _____
 1. Учетчик-контролер _________________________________________
                              (фамилия, имя, отчество)
 2. Дата проведения обследования "__" _________________ 200_ г.
 3. Место явки на работу ______________________________________
                                    (адрес, телефон)
 4. Время явки на работу ______________________________________
                                     (часы, минуты)
 5. Время окончания работы ____________________________________
                                      (часы, минуты)
 6. Место смены (окончания работы) ____________________________
                                         (адрес, телефон)
 7. Транспортное средство _____________________________________
                      (автобус, трамвай или троллейбус, указать
                             марку, модель и гос. регистр. N)
 8. Владелец транспортного средства ___________________________
                             (предприятие транспорта или Ф.И.О.
                               индивидуального предпринимателя)
 9. График движения ___________________________________________
                       (N графика, время начала и окончания
                                 работы на маршруте)
 
 Руководитель обследования
 маршрута ____________________________________________ (Ф.И.О.)
                            (подпись)
 Отметка о выполнении задания по наряду:
 ______________________________________________________________
 ______________________________________________________________
 
 Руководитель обследования
 маршрута ____________________________________________ (Ф.И.О.)
                            (подпись)
 "__" ______________ 200_ г.
 
 
 

Приложение N 10

ПРИМЕРНЫЙ ПЕРЕЧЕНЬ
МАТЕРИАЛОВ, ИНВЕНТАРЯ И ОБОРУДОВАНИЯ, НЕОБХОДИМЫЙ ДЛЯ ПРОВЕДЕНИЯ ОБСЛЕДОВАНИЯ ПАССАЖИРОПОТОКОВ, И ЗАТРАТЫ НА ИХ ПРИОБРЕТЕНИЕ

N п/п Наименование материалов, инвентаря и оборудования Единица измерения, шт. Количество, шт. Стоимость одной единицы, руб. и коп. Сумма затрат на приобретение, руб. и коп.
1 2 3 4 5 6
1 Бланки учетных талонов        
2 Порейсовые карточки учета пассажиров        
3 Таблицы результатов обследования пассажиропотоков по рейсам и маршрутам        
4 Сводные таблицы результатов обследования пассажиропотоков по предприятиям транспорта        
5 Сводные таблицы результатов обследования пассажиропотоков по видам транспорта        
6 Инструкции учетчикам-контролерам        
7 Наряды учетчикам-контролерам на обследование пассажиропотоков        
8 Маршрутные справочники        
9 Временные удостоверения учетчиков-контролеров        
10 Повязки (знаки) для учетчиков-контролеров        
11 Объявления о проведении обследования пассажиропотоков        
12 Бумага        
13 Папки для хранения документации учетчиков-контролеров (в т.ч. секционные для хранения талонов)        
14 Авторучки        
15 Карандаши        
16 Резинки для карандашей        
17 Скрепки канцелярские        
18 Линейки (длиной 30 см)        
19 Столы        
20 Стулья        
21 Телефонные аппараты        
22 Персональные компьютеры        
23 Другие материалы, инвентарь и оборудование        
24 Всего затрат x x x  

Приложение N 11

СМЕТА РАСХОДОВ НА ПРОВЕДЕНИЕ СТАТИСТИЧЕСКОГО ОБСЛЕДОВАНИЯ ПАССАЖИРОПОТОКОВ
В ГОР. ______________________

N п/п Наименование статей расходов Сумма (руб. и коп.)
1 2 3
1 Оплата труда персонала, обеспечивающего проведение обследования  
2 Отчисления на социальные нужды  
3 Материалы, инвентарь и оборудование (по прилагаемому перечню)  
4 Оповещение населения о проведении обследования пассажиропотоков через средства массовой информации  
5 Обработка материалов обследования пассажиропотоков (услуги вычислительного центра, ПЭВМ и др.)  
6 Оплата автотранспортных услуг  
7 Оплата услуг связи  
8 Прочие расходы  
9 Итого  

Приложение N 12

ТАБЛИЦА РЕЗУЛЬТАТОВ АНКЕТНОГО ОБСЛЕДОВАНИЯ ТРАНСПОРТНОЙ ПОДВИЖНОСТИ ГРАЖДАН

Даты проведения гор. __________ Категория
анкетного опроса район _________ (группа пассажиров) __________
     
"__" ______ 2002 г.   Вид
    транспорта ___________________
    (автобус, трамвай, троллейбус)
     
    Вид
    сообщения ____________________
    (городское, пригородное)
N анкет п/п Количество поездок за одну неделю, ед. N анкет п/п Количество поездок за одну неделю, ед.
в зимний сезон (октябрь - апрель) в летний сезон (май - сентябрь) в зимний сезон (октябрь - апрель) в летний сезон (май - сентябрь)
в будние дни в выходные дни в будние дни в выходные дни в будние дни в выходные дни в будние дни в выходные дни
1 2 3 4 5 6 7 8 9 10
1         11        
2         12        
3         13        
4         14        
5         15        
6         16        
7         17        
8         18        
9         19        
10         20        
Всего         Всего        

Составитель таблицы _________________________________ (Ф.И.О.)

Руководитель анкетного обследования ____________________ (Ф.И.О.)

"__" ____________ 2002 г.

Приложение N 13

СВОДНАЯ ТАБЛИЦА РЕЗУЛЬТАТОВ АНКЕТНОГО ОБСЛЕДОВАНИЯ ТРАНСПОРТНОЙ ПОДВИЖНОСТИ РАЗЛИЧНЫХ КАТЕГОРИЙ ГРАЖДАН <*>

<*> Заполняется отдельно по каждой категории граждан и каждому виду общественного транспорта: в городском сообщении - автобус, трамвай, троллейбус; пригородном сообщении - автобус.

Даты проведения гор. __________ Категория
анкетного опроса район _________ (группа пассажиров) __________
     
"__" ______ 2002 г.   Вид
    транспорта ___________________
    (автобус, трамвай, троллейбус)
     
    Вид
    сообщения ____________________
    (городское, пригородное)
N п/п Количество заполненных учетных анкет опроса ______ категории граждан, ед. Суммарное количество поездок ______ категории (группы) граждан за одну неделю, ед.
в зимний сезон (октябрь - апрель) в летний сезон (май - сентябрь)
в будние дни в выходные дни в будние дни в выходные дни
1 2 3 4 5 6
           

Приложение N 14

ТАБЛИЦА РЕЗУЛЬТАТОВ ОБСЛЕДОВАНИЯ ПАССАЖИРОПОТОКОВ ТАЛОННЫМ МЕТОДОМ
НА МАРШРУТЕ N _____

гор. ________ (численность населения ___________ тыс. человек)
Дата "__" ______ 2002 г.       Вид  
        транспорта _________________
        (автобус, трамвай, троллейбус)
График N ___ Направление: ПРЯМОЕ /      
  ОБРАТНОЕ (см. на обороте)      
        Транспортное  
        средство ___________________
        (марка, модель, гос. номер)
Начало работы     Предприятие    
на линии ___ час. ___ мин.   транспорта _____________________
Окончание работы     (наименование ТП)  
на линии ___ час. ___ мин.   Вид сообщения __________________
Количество обследованных   (внутригородское, пригородное)  
рейсов _______ ед.   Способ обслуживания ________________
      (с кондуктором, бескондукторный)
N п/п Группы (категории) пассажиров Серия учетных талонов Количество перевезенных пассажиров по рейсам N: Всего перевезено пассажиров (человек)
1 2 3 4 5 6 7 8 9 10
1 2 3 4 5 6 7 8 9 10 11 12 13 14
  С правом бесплатного проезда                        
1 Инвалиды И                      
2 Пенсионеры и ветераны П                      
3 Военнослужащие ВС                      
4 Работники органов власти и управления ВУ                      
5 Работники других организаций и прочие категории граждан ПР                      
  Итого пассажиров с бесплатным проездом (сумма стр. 1 - 5)   x x x x x x x x x x  
6 С проездом по абонементным билетам АБ                      
7 С проездом по абонементным талонам (при бескондукторном обслуживании) АТ                      
8 С проездом по разовым билетам (заполняет кондуктор)                        
9 Всего (сумма строк 1 - 8)                        

ОБРАТНОЕ НАПРАВЛЕНИЕ

N п/п Группы (категории) пассажиров Серия учетных талонов Количество перевезенных пассажиров по рейсам N: Всего перевезено пассажиров (человек)
1 2 3 4 5 6 7 8 9 10
1 2 3 4 5 6 7 8 9 10 11 12 13 14
  С правом бесплатного проезда                        
1 Инвалиды И                      
2 Пенсионеры и ветераны П                      
3 Военнослужащие ВС                      
4 Работники органов власти и управления ВУ                      
5 Работники других организаций и прочие категории граждан ПР                      
  Итого пассажиров с бесплатным проездом (сумма стр. 1 - 5)   x x x x x x x x x x  
6 С проездом по абонементным билетам АБ                      
7 С проездом по абонементным талонам (при бескондукторном обслуживании) АТ                      
8 С проездом по разовым билетам (заполняет кондуктор)                        
9 Всего (сумма строк 1 - 8)                        
Учетчик-контролер _________ (Ф.И.О.) Кондуктор _______ (Ф.И.О.)
Руководитель обследования маршрутов _________________ (Ф.И.О.)

Приложение N 15

СВОДНАЯ ТАБЛИЦА РЕЗУЛЬТАТОВ ОБСЛЕДОВАНИЯ ПАССАЖИРОПОТОКОВ ТАЛОННЫМ (ТАБЛИЧНЫМ) МЕТОДОМ

город ____________ (численность населения ______ тыс. человек)
       
    Вид транспорта _______________
      (автобус, трамвай,
троллейбус)
Дата проведения    
обследования "__" ____ 2002 г. Вид сообщения ________________
      (внутригородское,
пригородное)
Предприятие транспорта ______________    
  (наименование)    
Виды сообщения (маршруты) N обследованных маршрутов Количество транспортных средств, работающих на маршруте, единиц Количество выполненных рейсов на маршруте, единиц Перевезено пассажиров на обследованных рейсах по разовым билетам (включая абонементные талоны), тыс. чел. Перевезено пассажиров на обследованных рейсах по абонементным билетам, тыс. чел. (АБ) Перевезено пассажиров с правом бесплатного проезда на обследованных рейсах, тыс. человек Всего перевезено пассажиров на обследованных рейсах, тыс. чел. (сумма граф 6, 8, 9)
всего: из них по группам (категориям)
инвалиды (И) пенсионеры (П) военнослужащие (ВС) работники органов власти и управления (ВУ) прочие (ПР)
всего: из них обследовано всего: из них обследовано всего: в т.ч. по разовым абонементным талонам (АТ)
А 1 2 3 4 5 6 7 8 9 10 11 12 13 14 15
1. Внутригородские маршруты:                            
1.1. С кондуктором                              
1.2. Без кондуктора                              
2. Пригородные маршруты (с кондуктором)                              
Всего                              

Руководитель предприятия ____________________________ (Ф.И.О.)

Указания по заполнению таблицы:

1. Сводная таблица заполняется раздельно по каждому виду транспорта (автобус, трамвай, троллейбус) с указанием вида сообщения (внутригородское или пригородное).

2. В графе 1 указываются номера маршрутов, на которых проводилось обследование пассажиропотоков.

3. В графе 2 и гр. 4 - общее количество транспортных средств, работавших на обследуемом маршруте в день обследования, и общее количество выполненных ими рейсов.

4. В гр. 3 и гр. 5 - количество транспортных средств и рейсов, на которых проводилось обследование пассажиропотоков.

5. В гр. 6 - объем перевозок пассажиров по разовым проездным билетам (включая абонементные талоны) на обследованных рейсах, который определяется: на рейсах с кондуктором - по количеству разовых проездных билетов, проданных кондуктором и выданных им пассажирам взамен на абонементные проездные талоны; на бескондукторных рейсах - по количеству учтенных пассажиров, прокомпостировавших абонементные проездные талоны (группа АТ); на пригородных маршрутах - по числу пассажиров, оплативших свой проезд (кондуктору или на автостанции).

6. В гр. 7 - объем перевозок пассажиров по абонементным проездным талонам (группа АТ). На бескондукторных рейсах - данные гр. 7 должны равняться данным гр. 6.

7. В гр. 8 - объем перевезенных на обследованных рейсах пассажиров, учтенных по предъявлению ими абонементных билетов довременного пользования (группа АБ).

8. В гр. 9 - общее количество учтенных при обследовании пассажиров с правом бесплатного проезда. В гр. 10 - 14 - расшифровка этого количества по группам (категориям) лиц, имеющих право бесплатного проезда на общественном транспорте.

9. В гр. 15 - общий объем перевозок пассажиров на трех обследованных рейсах каждого обследованного маршрута (гр. 6 + гр. 8 + гр. 9).

Приложение N 16

ТАБЛИЦА РЕЗУЛЬТАТОВ ОБСЛЕДОВАНИЯ ПАССАЖИРОПОТОКОВ ТАБЛИЧНЫМ МЕТОДОМ
НА МАРШРУТЕ N _______

гор. ________ (численность населения ___________ тыс. человек)
Дата "__" ______ 2002 г.       Вид  
        транспорта _________________
        (автобус, трамвай, троллейбус)
График N ___        
        Транспортное  
        средство ___________________
        (марка, модель, гос. номер)
Начало работы     Предприятие    
на линии ___ час. ___ мин.   транспорта _____________________
      (наименование ТП)  
Направление: ПРЯМОЕ / обратное <*>
Окончание работы        
на линии ___ час. ___ мин.   Вид сообщения __________________
Количество обследованных   (внутригородское, пригородное)  
рейсов _______ ед.   Способ обслуживания ________________
      (с кондуктором, бескондукторный)

<*> Печать на оборотной стороне.

N рейсов Пассажиры с правом бесплатного проезда по группам (категориям), человек: Платные пассажиры, человек: Всего перевезено пассажиров, человек (сумма граф 7 - 10)
инвалиды (И) пенсионеры (П) военнослужащие (ВС) работники органов власти и управления (ВУ) прочие (ПР) всего пассажиров с правом бесплатного проезда (сумма граф 2 - 6) пассажиры с абонементными билетами (АБ) пассажиры с абонементными талонами (АТ) количество проданных разовых билетов (число пассажиров, оплативших проезд)
1 2 3 4 5 6 7 8 9 10 11
1                    
2                    
3                    
                     
                     
                     
                     
                     
                     
Итого:                    

ОБРАТНОЕ НАПРАВЛЕНИЕ (таблица результатов обследования пассажиропотоков)

N рейсов Пассажиры с правом бесплатного проезда по группам (категориям), человек: Платные пассажиры, человек: Всего перевезено пассажиров, человек (сумма граф 7 - 10)
инвалиды (И) пенсионеры (П) военнослужащие (ВС) работники органов власти и управления (ВУ) прочие (ПР) всего пассажиров с правом бесплатного проезда (сумма граф 2 - 6) пассажиры с абонементными билетами (АБ) пассажиры с абонементными талонами (АТ) количество проданных разовых билетов (число пассажиров, оплативших проезд)
1 2 3 4 5 6 7 8 9 10 11
1                    
2                    
3                    
                     
                     
                     
                     
                     
                     
Итого:                    
Бригадир Руководитель
учетчиков-контролеров ______ (Ф.И.О.) обследования
  маршрутов ________ (Ф.И.О.)