Нормы расчета на прочность стационарных котлов и трубопроводов пара и горячей воды. РД 10-249-98

(утв. Постановлением Госгортехнадзора РФ от 25.08.1998 N 50) (раздел 9)
Редакция от 13.07.2001 — Действует

РУКОВОДЯЩИЕ ДОКУМЕНТЫ ГОСГОРТЕХНАДЗОРА РОССИИ

НОРМЫ
РАСЧЕТА НА ПРОЧНОСТЬ СТАЦИОНАРНЫХ КОТЛОВ И ТРУБОПРОВОДОВ ПАРА И ГОРЯЧЕЙ ВОДЫ

РД 10-249-98

(в ред. Изменения N 1, утв. Постановлением Госгортехнадзора России от 13.07.2001 N 31)

Дата введения 2001-09-01

Разделы 1 - 3, 4, 5, 6 - 7, 8, 10 - 12 Норм расчета на прочность стационарных котлов и трубопроводов пара и горячей воды, включены в систему отдельными документами

УТВЕРЖДЕНЫ постановлением Госгортехнадзора России от 25.08.1998 N 50

Редакционная коллегия: В.С.Котельников, Н.А.Хапонен, А.А.Шельпяков (Госгортехнадзор России)

Ю.К.Петреня, Е.Э.Гильде, А.В.Судаков, А.А.Чижик, И.А.Данюшевский, П.В.Белов, А.М.Рейнов (АООТ НПО ЦКТИ им. И.И.Ползунова)

9. МЕТОДИКА РАСЧЕТА НА ПРОЧНОСТЬ ЦЕЛЬНОСВАРНЫХ ГАЗОПЛОТНЫХ КОНСТРУКЦИЙ

9.1. Основные понятия и определения

9.1.1. Цельносварная газоплотная конструкция (рис. 9.1) образована мембранными экранами, представляющими собой сваренные друг с другом плавниковые трубы или гладкие трубы с проставками (рис. 9.2). Конструкция может быть как опертой, так и подвесной и в соответствии с компоновкой котла иметь П-, Т-, Г-образную или башенную конфигурацию.

Рис. 9.1: 1 - жесткий диск каркаса; 2 - тарельчатые пружины; 3 - хребтовая балка; 4 - подвески; 5 - потолок котла; 6 - фестон; 7 - пояса жесткости; 8 - площадка обслуживания; 9 - переходный газоход; 10 - конвективная шахта; 11 - трубы вертикальные; 12 - горелки; 13 - колонна каркаса; 14 - холодная воронка

Рис. 9.2: а - мембранный экран из плавниковых труб; б - мембранный экран из гладких труб; в - схема приложения усилий и моментов к оребренной трубе

Под термином ''оребренная труба'' в дальнейшем понимается либо плавниковая труба, т.е. труба, изготовленная металлургическим способом вместе с плавниками как единое целое, либо гладкая труба с приваренными к ней ребрами.

Условные обозначения представлены в табл. 9.1.

Таблица 9.1

Символ Наименование Единица измерения
1 2 3
d_a Наружный диаметр трубы мм
d Внутренний диаметр трубы мм
s Номинальная толщина стенки оребренной трубы мм
t_at Шаг оребренной трубы мм
h Высота ребра мм
s1 Толщина ребра в корне мм
s2 Толщина ребра в вершине мм
Угол рад
Отношение наружного диаметра трубы к внутреннему  
2A Ширина фронтового (заднего) экрана мм
2B Ширина фронтового экрана мм
2L Расстояние между поясами жесткости мм
x = (A; B) Расчетная ширина экрана мм
Воспринятый тепловой поток при одностороннем и двухстороннем обогревах экрана Вт/м2
a_t Коэффициент линейного расширения при расчетной температуре 1/°С
_t Коэффициент теплопроводности при расчетной температуре Вт/(м·К)
a2 Коэффициент теплоотдачи Вт/(м·К)
a_t Коэффициент температуропроводности при расчетной температуре мм2/с
T1(i = 1 - 6) Температура в расчетной точке °С
t_m Температура среды °С
u Коэффициент Пуассона  
Et Модуль упругости при расчетной температуре МПа
p Внутреннее давление в трубах МПа
p_a Величина аварийного разрежения в топке (газоходе) МПа
p_t Расчетное давление в топке (газоходе) при хлопке МПа
X, Y, Z Прямоугольные координаты  
r, Полярные координаты  
Px, Py, Pz Усилия на оребренную трубу, действующие по осям X,Y,Z Н
Px, Py Погонные усилия на ребра оребренной трубы по осям X, Y Н·мм
Mzy, Mxy Погонные изгибающие моменты в мембранной стенке, отнесенные к единице длины Н
Q Поперечная сила, сила сдвига Н
o_m Общие мембранные напряжения МПа
o_mL Локальные мембранные напряжения МПа
o_b Общие изгибные напряжения МПа
o_b Общие изгибные напряжения МПа
o_bL Локальные изгибные напряжения МПа
[o] Допускаемые напряжения МПа
o1, o2, o3 Главные напряжения МПа
Окружные напряжения МПа
o_z Осевые напряжения МПа
o_r Радиальные напряжения МПа
o_X Поперечные напряжения МПа
Касательные напряжения МПа
o_e Эквивалентные напряжения МПа
o_sm Напряжения смятия МПа
т_sr Напряжения среза МПа
[N] Допускаемое число циклов  
[o_a] Допускаемая амплитуда напряжений МПа
Коэффициенты прочности сварных соединений  
Критерий Био  

9.2. Общие положения

9.2.1. В основу расчета положен принцип оценки прочности конструкции по несущей способности, которая определяется предельным состоянием перехода наиболее нагруженного сечения из упругого состояния в пластическое. При этом напряженное состояние определяется по гипотезе Треска-Сен-Венана наибольшими касательными напряжениями. Характеристики пластичности сталей, применяемых при изготовлении оребренных труб, позволяют проводить оценку прочности по упругопластическим напряжениям, т.е. выполнять расчет по упругой схеме.

Обычно под расчетом на прочность понимается поверочный расчет, служащий для проверки выполнения условий прочности при заданных основных размерах конструкции и расчетных нагрузках.

9.2.2. Допускается использование других методов расчета на прочность цельносварных мембранных конструкций при условии согласования метода расчета с разработчиком и при обеспечении нормативных запасов прочности.

9.2.3.Последовательность выполнения расчетов на прочность

Расчет на прочность мембранных конструкций выполняется после выбора основных размеров. Исходя из сложившейся практики проектирования и расчетов котлов, а также из-за необходимости последовательного учета основных видов нагрузок, определяющих надежность эксплуатации, в основу методики положен принцип разделения поверочного расчета прочности мембранных конструкций на два этапа: расчет на статическую прочность и расчет на циклическую прочность.

Для опертых мембранных конструкций выполняется расчет на устойчивость.

Выполняется расчет на статическую прочность от воздействия механических нагрузок, причем на этом этапе должны быть учтены не только статические нагрузки, но и максимальные значения нагрузок от хлопка, аварийного разрежения и сейсмики, одноразовое воздействие которых может привести к недопустимым пластическим деформациям или к разрушению всей мембранной конструкции.

В результате расчета определяются условно-упругие мембранные напряжения в стенках труб и в ребрах (проставках), а также изгибные напряжения, условно приведенные к мембранным, с учетом соотношения между упругим и пластическим моментом сопротивления и производится проверка условий прочности для расчетных сечений 1-2, 3-4, 5-6 оребренных труб (см. рис. 9.2).

Расчет на циклическую прочность предназначен для оценки усталостной прочности при механических и температурных воздействиях. В результате расчета определяются амплитуды знакопеременных условно-упругих напряжений в расчетных точках 1, 2, 3, 4 и 5 (см. рис. 9.2) оребренных труб и производится проверка условий прочности. На основании поверочного расчета определяется расчетный ресурс мембранных поверхностей нагрева котла в соответствии с заданным числом пусков из холодного и горячего состояний. При проведении поверочного расчета на прочность мембранных экранов необходимо учитывать допуски на изготовление, а также утонение стенок труб от коррозионно-эрозионного износа и влияние внутренних отложений в трубах.

9.2.4. Расчетные режимы

Основным расчетным режимом при оценке статической прочности (этап 1) является стационарный режим при номинальной производительности и параметрах пара котла.

Дополнительные режимы: работа при повышенной теплопроизводительности котла до 110%, с выключенными подогревателями высокого давления (ПВД), на скользящем давлении.

Расчетными режимами при оценке циклической прочности (этап 2) являются нестационарные режимы, вызванные циклическими изменениями расчетных параметров в период работы котла, в том числе пусками из холодного, горячего и промежуточных состояний и остановками, включая аварийные.

9.2.5. Расчетные зоны и узлы

Расчетными зонами являются наиболее напряженные зоны топки (газохода): зоны стыковых сварных соединений, разъемы экранов, сопряжения панелей с разной температурой среды, места расположения и размеры отверстий под горелки, лазы, смотровые лючки, обдувочные аппараты, зоны опорных и подкрепляющих элементов (включая антисейсмические), места расположения подвесок, а также другие конструктивные особенности.

Проверке подлежат сечения с наибольшими весовыми нагрузками: верхний ярус горелок, разъемы экранов, места крепления подвесок, сечения с максимальными тепловыми потоками, а также сечения на уровнях антисейсмического раскрепления котла. Расчетные сечения, как правило, принимаются на уровне пояса жесткости и посредине между поясами.

При использовании ЭВМ расчет выполняется для всей конструкции с автоматическим контролем напряжений в наиболее нагруженных элементах и с последующим уточнением результатов для отдельных зон.

9.2.6. Расчетные температуры

На первом этапе расчета на прочность для оребренной трубы вводятся три расчетных сечения (1-2, 3-4 и 5-6 на рис. 9.2). Под расчетной температурой в каждом сечении следует понимать среднюю температуру, по которой определяется допускаемое напряжение, а также принимаются характеристики металла a_t, Et, _t, a2 для оребренной трубы.

На втором этапе рассматриваются напряжения в расчетных точках 1, 2, 3, 4 и 5 оребренной трубы (указанных трех расчетных сечений). Под расчетной температурой в каждой точке следует понимать максимальную температуру в каждом расчетном цикле, при которой производится расчет на циклическую прочность.

Значения расчетных температур определяются на основании тепловых расчетов или по результатам испытаний с учетом повышения этих температур за счет внутренних отложений в межпромывочный период.

Под допустимой температурой металла следует понимать наибольшее значение температуры, для которой допустимо применение в оребренной трубе данной марки стали.

Для металла труб допустимая температура установлена в разделе 1 Норм.

Для металла ребра (проставки) допустимая температура указана в табл. 9.2.

Таблица 9.2

Марки сталей ВСт3сп, ВСт3пс 10, 15, 20 12МХ, 12ХМ 15ХМ 12Х1МФ
Температура, °С 420 500 540 560 600

В случае выполнения оребрения вваркой проставки электродуговой сваркой или токами высокой частоты допускается использование для трубы и ребра стали разных марок одной группы.

9.2.7. Расчетные нагрузки

9.2.7.1. Под расчетными нагрузками, действующими на оребренную трубу, понимают внутренние усилия (силы и моменты) в мембранных экранах, возникающие в результате действия на мембранную конструкцию силовых и температурных нагружающих факторов.

К основным нагружающим факторам относятся:

внутреннее давление в трубах;

весовые нагрузки (с учетом присоединенного оборудования);

избыточное давление или разрежение в топке (газоходе);

температурные воздействия.

Кроме указанных могут иметь место дополнительные нагружающие факторы, возникающие при нарушении нормальных условий эксплуатации и учитываемые отдельно: хлопок, аварийное разрежение, вибрация, ветер, сейсмическое воздействие.

В зависимости от характера воздействия и конструктивных особенностей расчетные нагрузки подразделяются на общие, действующие по всему поперечному сечению и (или) по всей длине труб мембранной конструкции, и на локальные, действующие на ограниченном участке.

Неравномерное распределение температуры по площади мембранной конструкции приводит к возникновению общих нагрузок в плоскости экранов, а температурный градиент между лобовой и тыльной поверхностями экрана - к возникновению общих изгибных нагрузок. Неравномерное распределение температуры по сечению оребренной трубы приводит к возникновению локальных нагрузок в плоскости трубы и локальных изгибных нагрузок.

В зависимости от характера изменения нагружающих факторов расчетные нагрузки могут иметь статический или циклический характер.

К статическим относятся нагрузки, изменения которых в процессе эксплуатации не превосходят 15% средних значений; к циклическим относятся нагрузки, размах колебаний которых превышает 15%.

При поверочном расчете принимается такое сочетание одновременно действующих нагрузок, при котором возникают наибольшие суммарные напряжения.

9.2.7.2. В зависимости от работы котла - под избыточным давлением (наддувом) или под разрежением - следует проверить мембранную конструкцию на заданное избыточное давление или разрежение. Эти расчеты проводятся для основного расчетного режима при расчетных температурах, соответствующих номинальной теплопроизводительности котла.

Если величина в топке (газоходе) не более 5·x 10(4) МПа, то расчет мембранной конструкции на разрежение допускается не производить.

При работе котла под разрежением расчетное давление в топке (газоходе) принимается как для хлопка.

При работе котла под избыточным давлением расчетное давление в топке (газоходе) для хлопка принимается увеличенным по сравнению с максимальным рабочим давлением на величину, указанную в табл.9.3.

Таблица 9.3

Поперечное сечение топки или газохода 2A x 2B, м2 Расчетное давление при хлопке p1 x 10(3), МПа
Менее 2 10
От 2 до 10 От 10 до 7
От 10 до 50 От 7 до 5
От 50 до 100 От 5 до 3
Свыше 100 3

В обоих случаях проверка прочности мембранной конструкции при хлопке производится на базе расчетной температуры, равной температуре среды при номинальной теплопроизводительности котла.

Величина аварийного разрежения, возникающего в топке (газоходе) при аварийном останове котла 300, 500, 800 и 1200 МВт в момент отключения горелок, принимается равной:

для газомазутных котлов P_a =6,5·x 10(-3) МПа;

для пылеугольных котлов P_a =5,0·x 10(-3) МПа.

9.3. Напряжения в мембранной конструкции

9.3.1. Классификация напряжений

Для мембранной конструкции используется декартовая система координат X, Y, Z (см. рис. 9.1). Компоненты напряжений обозначаются в соответствии с принятыми индексами координатных осей.

При проведении расчетов на прочность используются категории общих (мембранных и изгибных) и локальных (мембранных и изгибных) напряжений, т.е. соответственно напряжений, распределенных по всему сечению экрана, и напряжений, сосредоточенных в некоторой ограниченной зоне экрана и перераспределяющихся в случае перегрузки на внешнюю его область, окружающую данную локальную зону.

Под мембранными понимаются напряжения в расчетном сечении мембранной конструкции, равномерно распределенные (средние) по толщине стенки оребренной трубы.

Под общими мембранными напряжениями o_m понимаются напряжения, действующие по всему сечению и (или) по всей высоте мембранного экрана и равные средним напряжениям по сечению мембранной конструкции. Например, напряжения, возникающие в углу топки от хлопка, относятся к категории общих, так как действуют по всей высоте конструкции; напряжения, возникающие в разъемах экранов, относятся к категории общих, так как действуют по всей ширине экрана.

Под локальными мембранными напряжениями o_ml понимаются напряжения, действующие в локальной области: в одной или нескольких оребренных трубах или на некотором ограниченном участке по длине труб мембранной конструкции. Локальными считаются напряжения, возникающие в оребренных трубах, расположенных в зонах приложения локальных нагрузок или в зонах возникновения местных реактивных усилий, а также в зонах неравномерного действия механических нагружающих факторов, если их максимальные (минимальные) значения отличаются от средних по всему сечению долее чем на 15% (на основании практики проведения расчетов). Так, например, к категории локальных относятся напряжения, возникающие в экранах в зоне крепления подвесок, в районах приварки косынок, поясов жесткости, опорных элементов и др.

Под изгибными общими o_b и локальными o_bl напряжениями следует понимать соответственно напряжения, возникающие во всем сечении экрана в результате общего и (или) локального изгиба. Изгибные напряжения в рассматриваемом расчетном сечении оребренной трубы изменяются от максимального положительного значения до минимального отрицательного.

Расчет напряжений от усилий должен производиться с учетом коэффициентов прочности сварных соединений, которые принимаются согласно п. 9.3.3.

9.3.2. Допускаемые напряжения

9.3.2.1. Основным допускаемым напряжением, которое используется для оценки прочности трубы при статическом нагружении, является номинальное допускаемое напряжение [o]т, значения которого принимаются по характеристикам прочности с соответствующим запасом прочности согласно разделу 2 Норм.

9.3.2.2. При расчете мембранных стенок, выполненных из гладких труб со вставками из стали разных марок, допускаемые напряжения следует принимать отдельно для трубы и ребра (проставки).

Номинальные допускаемые напряжения для ребра (проставки) [o]p для расчетного срока службы 10(5) ч принимаются по табл. 9.4.

Таблица 9.4

Tст °С Номинальные допускаемые напряжения [o]p для сталей, МПа
ВСт3сп, ВСт3пс 20 09Г2С 12МХ, 12ХМ 15ХМ 12Х1МФ
1 2 3 4 5 6 7
300 96,0 Табл. 2.2 и 2.3 раздела 2
320 90,0          
340 85,0          
350 82,0          
360 79,0          
380 74,0          
400 68,0          
420 62,0          
450     62,0      
460     55,0      
470     48,0      
480     41,0      
490     35,0      
500     28,0      
530       54,0 56,0 81,0
540       44,0 45,0 73,0
550       34,0 35,0 66,0
560       26,0 27,0 59,0
570       20,0 21,0 53,0
580         18,0 47,0
590           41,0
600           37,0
610           33,0
620           28,0

Коэффициент запаса устойчивости n_y при расчете мембранной конструкции на устойчивость по нижним критическим напряжением в пределах упругости следует принимать равным 2,4 для рабочих условий.

9.3.3. Коэффициенты прочности сварных соединений

На первом этапе поверочного расчета при определении напряжений в расчетных сечениях 3-4 и 5-6 оребренной трубы и в поперечных сварных швах принимаются следующие значения коэффициентов прочности сварных соединений _w:

для сталей ВСт3сп, ВСт3пс, 10, 20, 12XМ, 12МХ, 15ХМ, хролой:

при определении напряжений от внутреннего давления, а также усилий Pz, Px, _w = 1;

при определении напряжений от изгибающих моментов Mzy, Mxy, _w = 0,9;

для стали 12Х1МФ:

при определении напряжений от внутреннего давления, а также от усилия Pz для расчетных температур до 510 °С _w = 1, для расчетной температуры 530 °С и выше _w = 0,7;

при определении напряжений от усилия Px для расчетной температуры до 510 °С _w = 1, для расчетной температуры 530 °С и выше _w = 0,8;

при определении напряжений от изгибающих моментов Mzy, Mxy для расчетной температуры до 510 °С _w = 0,9, для расчетной температуры 530 °С и выше _w = 0,6.

В интервале температур между 510 и 530 °С коэффициенты прочности определяются линейной интерполяцией между указанными значениями.

На втором этапе поверочного расчета коэффициенты прочности 2w сварных соединений при определении напряжений o_(o_x) в расчетных точках 3, 4 и 5 оребренной трубы и поперечных сварных швах принимаются согласно табл.9.5.

Таблица 9.5

Сталь Без отпуска После отпуска
Углеродистая 0,8 1,0
Теплоустойчивая 0,6 0,8

9.4. Выбор основных размеров

9.4.1. Оребренная труба

9.4.1.1. Номинальная толщина стенки оребренной трубы определяется согласно разделу Норм из заданных значений расчетного внутреннего давления и номинального допускаемого напряжения. В качестве номинальной толщины стенки принимается максимальное из двух значений, соответствующих расчетным сечениям 1-1 и 3-4 оребренной трубы.

9.4.1.2. Допустимая высота [h] ребра (проставки) при одностороннем и двухстороннем обогревах экрана должна определяться по номограмме (рис.9.3). На чертеже приняты следующие обозначения:

Рис. 9.3

9.4.2. Пояса жесткости

9.4.2.1. Пояса жесткости воспринимают изгибную нагрузку, возникающую в мембранном экране от действия избыточного давления или разрежения в топке (газоходе).

9.4.2.2. Расстояние между поясами жесткости 2L при их расположении перпендикулярно направлению экранных труб должно приниматься по наименьшему из двух значений:

в середине экрана для расчетного сечения 1-2 оребренной трубы

в углу топки (газохода) для расчетного сечения 5-6 оребренной трубы

где - коэффициенты, определяемые по рис. 9.4 и 9.5;

- среднее окружное напряжение от внутреннего давления в трубе, МПа.

Рис.9.4

Рис. 9.5

Профиль и размеры балок поясов жесткости определяются из условия прочности допустимого прогиба.

9.4.2.3. Максимальные изгибные напряжения o_b в балке жесткости мембранного экрана определяются по формуле

,

где - максимальный изгибающий момент в балке при шарнирных связях в углу топки, Н·мм;

- максимальный изгибающий момент в бандаже (в жестко связанных между собой балках жесткости), Н·мм;

- коэффициент;

l_A, l_B - момент инерции балок жесткости по ширине экрана A и B, мм4.

По условиям прочности изгибные напряжения должны быть:

при нормальных условиях эксплуатации o_b =< 1,7[o];

при хлопке и аварийном разрежении o_b =< 2,2[o].

9.4.2.4. Касательные напряжения в балке жесткости определяются по формуле

,

где b - ширина сечения балки, мм.

Для двутавровых балок жесткости максимальные касательные напряжения в стенке определяются по формуле

,

где - поперечная сила, Н;

b - ширина полки, мм;

h1 - высота балки, мм;

h2 - высота стенки, мм;

t2 - толщина стенки, мм.

Условие прочности по касательным напряжениям:

при нормальных условиях эксплуатации т =< 0,7[o];

при хлопке и аварийном разрежении т =< [o].

Если балка жесткости находится под изоляцией, то температура стенки принимается равной температуре среды t_m, а если вынесена за изоляцию, то температура стенки принимается равной 20 °С.

9.4.2.5. Максимальный относительный прогиб w_b / 2x балки жесткости при шарнирных связях в углу топки не должен превышать:

w_b = 1 ,
2x 200

где

В случае использования бандажей проверка величины относительного прогиба может не производиться. При применении бандажей необходимо выполнение конструктивных решений, позволяющих компенсировать разницу температурных расширений балки и мембранного экрана.

9.4.2.6. Устойчивость плоской формы изгиба двутавровых балок жестко обеспечивается при выполнении условия

,

где - критическое усилие, Н;

- геометрический фактор жесткости при чистом кручении, мм;

b - ширина полки, мм;

t1 - средняя толщина полки, мм;

h2 - высота стенки, мм;

t2 - толщина стенки, мм.

Для котлов сверхкритического давления допускается использование ферм в качестве поясов жесткости. В этом случае относительные прогибы поясов жесткости и максимальные напряжения в элементах определяются расчетными методами; кроме того, производится проверка устойчивости сжатых элементов.

Располагать поперечные сварные соединения труб под поясом жесткости не допускается. Расстояние между сварным стыком панелей и средним сечением пояса жесткости рекомендуется принимать не менее 1 м. Расстояние от потолочного экрана или пода до ближайшего пояса жесткости должно быть не больше расстояния между поясами жесткости, вычисленного по приведенным формулам.

9.4.2.7. Растягивающая погонная нагрузка от избыточного давления (хлопка), а также сжимающая от разрежения передаются на экраны, при этом должно выполняться условие

Px = xp_T =< [p_x] = 1,5ys[o],

где y коэффициент, определяемый из уравнения

Приведенное трансцедентное уравнение решается методом последовательного приближения заданием величины [p_x]i с погрешностью

s = [p_x]i - 1,5y_is[o] =< 0,05,

где y_i - минимальное значение положительного корня квадратного уравнения при [p_x]i

Первым приближением [p_x]_i = 1 может служить значение [p_x], соответствующее решению квадратного уравнения без учета внутреннего давления (p = 0)

Если указанное условие не выполняется, то погонная нагрузка должна передаваться на стягивающую полосу, необходимое сечение которой определяется по формуле

F = 2xp_iL ,
[o_p]

где [o_p] - номинальное допускаемое напряжение для стали полосы, МПа; принимается согласно табл.9.4 при расчетной температуре стенки, равной максимальной температуре среды в экране.

9.4.2.8. В прямоточных котлах имеют место разверки температур, вызванные многоходовым движением среды. Разность температур среды в соседних трубах в любом из расчетных сечений мембранной конструкции регламентируется расчетом суммарных напряжений, определяемых по этапу 2 поверочного расчета.

При выборе основных размеров принимается, что указанная разность не должна превышать 70 °С при номинальной теплопроизводительности котла и 90 °С при теплопроизводительности от 70% и ниже. Разности температур, превышающие приведенные значения, должны быть обоснованы расчетом на циклическую прочность, выполняемым на этапе технического проектирования.

9.5. Требования к этапу 1 поверочного расчета на прочность

9.5.1. Определяются условно-упругие напряжения от расчетных нагрузок в расчетных сечениях стенки трубы (сечения 1-2 и 3-4 на рис.9.2) и ребра (сечение 5-6). Расчет производится для основного расчетного режима на ресурс 10(5) ч.

9.5.2. Напряжения для выбранных зон конструкций определяются в зависимости от нагружающих факторов с учетом коэффициента неравномерности и суммируются по основным направлениям:

для трубы - по окружному , осевому Z и радиальному r;

для ребра - по поперечному X и осевому Z.

9.5.3. Значения коэффициентов неравномерности в каждом конкретном случае зависят от конструктивных особенностей рассматриваемых узлов и определяются расчетными или экспериментальными методами.

Коэффициент неравномерности осевых напряжений от действия нагрузок от массы на кромках отверстий горелок в экранах мощных котлов принимается равным Kн = 3,0.

Коэффициент неравномерности осевых напряжений от действия нагрузок от массы в разъеме экрана принимается:

при двухступенчатой схеме Kн = 2,01

при трехступенчатой схеме Kн = 1,5

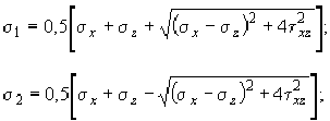
9.5.4. По суммарным напряжениям в расчетных сечениях оребренной трубы определяются главные напряжения o1, o2, o3.

9.5.5. Для расчетных сечений 1-2 и 3-4 с учетом радиального напряжения o_r в трубе главные напряжения определяются по формулам:

при наличии усилий сдвига

o3 = o4

при отсутствии усилий сдвига

9.5.6. Для расчетного сечения 5-6 ребра главные напряжения определяются по формулам:

при наличии усилий сдвига

o3 = 0

при отсутствии усилий сдвига

9.5.7. Эквивалентные напряжения o_e, сопоставляемые с допускаемыми по соответствующей категории напряжений, определяются по главным напряжениям. Для каждой категории напряжений следует найти наибольшее значение эквивалентного напряжения при возможных сочетаниях изгибных напряжений с учетом знаков:

o_e = o1 - o3.

9.5.8. Условия прочности для рассматриваемого этапа расчета в зависимости от нагружающих факторов и расчетных сечений 1-2, 3-4 и 5-6 оребренной трубы представлены в табл.9.6.

Таблица 9.6

Последовательность оценки статической прочности для расчетных сечений 1-2 и 3-4 оребренной трубы

Последовательность проверки Нагружающие факторы Нагрузки Условия по общим напряжениям Условия по локальным напряжениям
Оценка по мембранным напряжениям Внутреннее давление+нагрузка от массы+наддув (разрежение)+реакция опоры (o)_1 =< 1,1[o] (o)_1L =< 1,5[o]
  То же+сейсмическая нагрузка или аварийное разрежение (o)_1s =< 1,5[o] (o)_1sL =< 2,0[o]
  Внутреннее давление+нагрузка от массы+наддув (разрежение)+реакция опоры+ветровая нагрузка (o)2 =< 1,5[o] (o)_21 =< 2,0[o]
Оценка по мембранным и изгибным напряжениям Внутреннее давление+весовая нагрузка+хлопок (o)2 =< 1,5[o] -
  Внутреннее давление+нагрузка от массы+наддув (разрежение)+реакция опоры+сейсмическая нагрузка или аварийное разрежение (o)_2s =< 2,0[o] -

9.5.9. На каждой стадии оценки статической прочности в соответствии с табл. 9.6 и 9.7 проводится проверка условия по общим напряжениям, а затем при наличии локальных напряжений - проверка условия по локальным напряжениям.

Таблица 9.7

Последовательность оценки статической прочности для расчетного сечения 5-6 оребренной трубы

Последовательность проверки Нагружающие факторы Нагрузки Условия по общим напряжениям Условия по локальным напряжениям
Оценка по мембранным напряжениям Нагрузка от массы+ наддув (разрежение)+реакция опоры Pzq, Pxq (o)1 =< 1,2[o] (o)_1L =< 1,6[o]
  То же+сейсмическая нагрузка или аварийное разрежение (o)_1s =< 1,6[o] (o)1sL =< 2,2[o]
  Нагрузка от массы+наддув (разрежение)+реакция опоры+ветровая нагрузка (o)2 =< 1,6[o] (o)_2L =< 2,2[o]
Оценка по мембранным и изгибным напряжениям Нагрузка от массы+реакция опоры+хлопок (o)2 =< 1,6[o] -
Нагрузка от массы+наддув (разрежение)+реакция опоры+сейсмическая нагрузка или аварийное разрежение (o)_2s =< 2,2[o] -

9.5.10. Котлы, сооружаемые в сейсмических районах, должны быть дополнительно рассчитаны с учетом воздействия сейсмических нагрузок. Расчет проводится на статическое нагружение при совместном действии внутреннего давления в трубах, нагрузок от массы, избыточного давления или разрежения в топке (газоходе) и сейсмических сил.

Расчет мембранных конструкций от ветровых и сейсмических сил производится раздельно (см. табл. 9.6. и 9.7).

9.5.11. Для деталей опорно-подвесной системы котла и элементов крепления мембранной конструкции, а также каркаса, которые не нагружены непосредственно внутренним давлением и температура которых превышает 50 °С, расчет на прочность допускается выполнять только по этапу 1.

Условия прочности для этих деталей должны выполняться в соответствии с табл. 9.6 с увеличением коэффициента при номинальном допускаемом напряжении на 10% и с округлением в меньшую сторону.

При проверке деталей на смятие средние напряжения не должны превышать:

для подвижных шарниров, катков o_sm =< 1,5[o];

для неподвижных шарниров, катков o_sm =< 2,5[o].

При проверке деталей на срез от действия нагрузок в шарнирах, сварных швах, болтах и пр. средние касательные напряжения не должны превышать .

При расчете указанных деталей с учетом сейсмических нагрузок разрешается увеличение допускаемых напряжений: смятие на 50% и срез на 20%.

9.6. Требования к этапу 2 поверочного расчета на прочность

9.6.1. При поверочном расчете на циклическую прочность (малоцикловую усталость) определяются местные условно-упругие напряжения в расчетных точках 1, 2, 3, 5 оребренной трубы (см. рис. 9.2).

Напряжения могут определяться либо численными методами, либо с использованием приближенных зависимостей согласно рекомендуемым приложениям.

Расчет должен проводиться с учетом всех расчетных нагрузок и температурных полей для всех расчетных режимов.

9.6.2. При расчете на малоцикловую усталость должны учитываться следующие нагружающие факторы:

изменение внутреннего давления в трубах при пуске-останове котла;

колебания внутреннего давления в трубах при изменении эксплуатационных режимов;

изменение избыточного давления, включая хлопки, или разрежения в топке и газоходе при пуске-останове котла;

колебания избыточного давления или разрежения в топке и газоходах при изменении эксплуатационных режимов;

изменение нагрузки от массы на трубы от влияния подвесок и при зашлаковке пылеугольных котлов;

температурные изменения при пуске-останове, включая колебания при изменении эксплуатационных режимов;

температурные колебания при пульсации факела, шлаковании экранов и водяной очистке экранов;

вибрация мембранной конструкции.

9.6.3. Расчетные напряжения вычисляются в зависимости от нагружающих факторов и суммируются по основным направлениям. Главные напряжения o1, 02, o3 следует определять в расчетных точках оребренной трубы. По вычисленным главным напряжениям определяются эквивалентные напряжения в заданные моменты времени для каждого расчетного режима согласно разделу 5 Норм.

9.6.4. Составляющие главных напряжений o1, 02, o3 в расчетных точках оребренной трубы определяются с учетом местных концентраторов. Значения коэффициентов концентрации в каждом конкретном случае зависят от конструктивных особенностей рассматриваемых оребренных труб и узлов и определяются расчетными или экспериментальными методами.

9.6.5. Расчет на малоцикловую усталость производится по амплитудам условных напряжений согласно разделу 5 Норм.

9.6.6. Если температура металла в расчетных точках оребренной трубы ниже температуры начала интенсивной ползучести металла (для углеродистых сталей до t =< 400 °С и теплоустойчивых сталей до 480 °С), допустимая амплитуда напряжений определяется по графикам (рис. 5.2 и 5.3 раздела 5 Норм).

Если температура металла в расчетных точках оребренной трубы выше температуры начала интенсивной ползучести металла, оценку долговечности следует производить по формуле, учитывающей ползучесть согласно разделу 5 Норм.

9.6.7. Если в процессе эксплуатации при изменении каких-либо нагружающих факторов, перечисленных в п.9.6.2, возникают дополнительные колебания, частота которых больше частоты рассматриваемого цикла, то оценку долговечности следует производить согласно разделу 12 Норм.

9.6.8. Цельносварная топка котла должна быть рассчитана на общее количество [N] пусков и остановов за весь срок службы, которое не должно быть меньше значений, указанных в табл.9.8, если в техническом задании на проектирование не установлено другое количество циклов.

Таблица 9.8

Условия пуска-остановка котла Количество пусков и остановов котла в зависимости от мощности и режима работы, не менее
500 МВт и более 300 МВт и менее
базисный полупиковый базисный полупиковый
Из холодного и неостывшего состояний 700 1500 1100 1500
Из горячего состояния 300 6000 900 6000
Разгрузки до нижнего предела регулировочного диапазона нагрузок 2·x 10(4) 10(4) 2·x 10(4) 10(4)

Примечания: 1. Для содорегенерационных котлов (СРК) и котлов для сжигания твердых бытовых отходов (ТБО) за весь срок службы принимается:

при пуске из холодного и неостывшего состояний - 800 пусков-остановов;

разгрузки до нижнего предела регулировочного диапазона нагрузок - 1000 циклов.

2. Для котлов охладителей конверторных газов (ОКГ) за срок службы принимается:

для подъемного и опускного газоходов - 80·x 10(3) плавок;

для кессона - 40·x 10(3) плавок при 40 плавках в сутки.

3. Цельносварная топка и газоходы должны быть рассчитаны на 1500 хлопков за весь срок службы, если в техническом задании на проектирование не установлено другое количество хлопков.

4. Под числом пусков-остановов из неостывшего и горячего состояний понимается число пусков-остановов после остановки котла на нерабочие дни (24-55 ч) и на ночь (5-8 ч) соответственно при последующем пуске без расхолаживания оборудования.

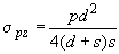
9.6.9. Допускаемая амплитуда напряжений для расчетной точки 3 (см. рис.9.2) в случае вварки вставок между гладкими трубами и для точки 5 для плавниковых труб определяется по формуле

Приложение 1
Рекомендуемое

РАСЧЕТ УСЛОВНО-УПРУГИХ НАПРЯЖЕНИЙ В ОРЕБРЕННОЙ ТРУБЕ ОТ СИЛОВЫХ ВОЗДЕЙСТВИЙ

1. Обозначения

1.1. Условные обозначения, принятые в формулах приложения, приведены в таблице.

Символ Наименование Единица измерения
f_at Площадь поперечного сечения оребренной трубы мм2
l_at Момент инерции оребренной трубы относительно оси X мм4
Суммарная нагрузка, действующая на мембранный экран в расчетном сечении топки (газохода) Н
m Количество оребренных труб в экране шт.
m1 Количество труб, воспринимающих локальную нагрузку шт.

2. Расчетные напряжения для этапа 1 поверочного расчета

2.1. Средние осевые, окружные и радиальные напряжения в трубе определяются согласно разделу 5 Норм.

2.2. Напряжения от действия усилия Pz в расчетных сечениях 1-2, 3-4 и 5-6 на рис.9.2 оребренной трубы определяются по формулам:

2.3. Напряжения от действия момента Mzy определяются по формулам:

в расчетном сечении 1-2 оребренной трубы

в расчетном сечении 3-4 оребренной трубы

где

2.4. Напряжения от действия момента Mxy определяются по формулам:

в расчетном сечении 1-2 оребренной трубы

в расчетном сечении 3-4 оребренной трубы

в расчетном сечении 5-6 оребренной трубы

2.5. Напряжения от действия усилия Px(Py) определяются по формулам:

в расчетном сечении 1-2 оребренной трубы

в расчетном сечении 3-4 оребренной трубы

в расчетном сечении 5-6 оребренной трубы

2.6. Знаки в выражениях для мембранных составляющих напряжений соответствуют положительному направлению усилий и моментов, указанных на рис.9.2.

3. Расчетные напряжения для этапа 2 поверочного расчета

3.1. Напряжения, возникающие в расчетных точках прямой трубы при изменении внутреннего давления при пуске-останове котла, следует определять по формулам:

окружные в точках 1 и 3:

окружные в точках 2 и 4:

осевые в точках 1, 2, 3:

радиальные в точках 2 и 4: o_r = -p

радиальные в точках 1 и 3: o_r = 0

При учете колебания внутреннего давления в трубах при изменении эксплуатационных режимов напряжения в расчетных точках оребренной трубы определяются по тем же формулам с заменой p на p. В случае если колебания p не превосходят 10% номинального, расчет допускается не проводить.

3.2. Осевые напряжения в расчетных точках 1, 2, 3 и 5 оребренной трубы от усилия p_z определяются по формуле

3.3. Осевые и окружные напряжения в расчетных точках оребренной трубы от действия момента Mzy определяются по формулам:

в точке 1
в точке 2
в точке 3
в точке 4
в точке 5

3.4. Окружные и осевые напряжения в расчетных точках оребренной трубы от действия момента Mxy определяются по формулам:

в точке 1
в точке 2
в точке 3
в точке 4
в точке 5

3.5. Окружные и осевые напряжения в расчетных точках оребренной трубы от усилия Px определяются по формулам:

в точке 1
в точке 2
в точке 3
в точке 4
в точке 5

Коэффициенты вычисляются по формулам:

Приложение 2
Рекомендуемое

РАСЧЕТ УСЛОВНО-УПРУГИХ НАПРЯЖЕНИЙ В ОРЕБРЕННОЙ ТРУБЕ МЕМБРАННОГО ЭКРАНА ОТ ВЕСОВЫХ НАГРУЗОК

1. Обозначения

1.1. Условные обозначения, принятые в формулах приложения, приведены в таблице.

Символ Наименование Единица измерения
Da Наружный диаметр коллектора мм
s Толщина стенки коллектора мм
f_at Площадь поперечного сечения оребренной трубы мм2
f_p Площадь поперечного сечения уплотнительного ребра мм2
m Количество оребренных труб в экране шт.
m1 Количество труб, воспринимающих локальную нагрузку шт.
m_p Количество пластин шт.
Pz Суммарная нагрузка Н
k_n Коэффициент неравномерности  

2. Расчет напряжений от весовых нагрузок

2.1. Для рассматриваемого сечения топки (газохода) должен быть определен суммарный вес экранов с водой, изоляцией, поясами жесткости, горелками, шлаком и т.д., а также нагрузка от действия избыточного давления на под топки Pz. Усилие Pz следует принимать равномерно распределенным по поперечному сечению труб экрана топки (газохода). В оребренных трубах от этой нагрузки возникают осевые растягивающие напряжения o_m, относящиеся к категории общих мембранных.

При расчете местных напряжений необходимо учитывать неравномерность распределения весовых нагрузок. От действия локальных нагрузок P_zL в отдельных оребренных трубах возникают осевые напряжения o_zL, относящиеся к категории местных мембранных напряжений.

2.2. Осевые напряжения в расчетных сечениях 1-2, 3-4 и 5-6 оребренных труб экрана определяются по формулам:

2.3. Осевые напряжения в расчетных сечениях 1-2, 3-4 и 5-6 оребренных труб в разъеме экранов определяются по формуле

где принимается: 2 при двухступенчатой схеме разъема; 1,5 при трехступенчатой схеме разъема.

Напряжения среза в вертикальных несущих сварных швах определяются по формуле

где f_w = 0,7 kl_w - площадь сечения сварного шва, мм ;

здесь k - катет сварного шва, мм;

l_w - длина сварного шва, мм.

2.4. Осевые напряжения в зоне крепления подвесок должны определяться в зависимости от способа крепления подвесок к поверхностям нагрева.

В случае крепления за коллектор максимальные осевые напряжения возникают в месте стыковки гладкой трубы с коллектором. При этом напряжения в сечении 1-2 определяются по формуле

где P_zL = k t_mQ - максимальная нагрузка на одну трубу, Н;
Da - 2s

k - коэффициент, принимаемый по табл.2.

Таблица 2

Da / s Коэффициент k
9 0,50
13 0,40
20 0,35
35 0,30

Расстояние между подвесками должно быть

В случае крепления подвесок за экран осевые напряжения в расчетных сечениях 1-2, 3-4 и 5-6 оребренной трубы определяются по формуле

где k_n - коэффициент неравномерности, определяемый по табл. 3.

Таблица 3

m_p k_n
2 1,2
4 1,3
6 и более 1,4

Приложение 3
Рекомендуемое

РАСЧЕТ УСЛОВНО-УПРУГИХ НАПРЯЖЕНИЙ ОТ ДЕЙСТВИЯ ИЗБЫТОЧНОГО ДАВЛЕНИЯ (ХЛОПКА) В МЕМБРАННЫХ ЭКРАНАХ ТОПКИ (ГАЗОХОДА)

1. Обозначения

1.1. Условные обозначения, принятые в формулах данного приложения, приведены в таблице.

Символ Наименование
Отношение толщины стенки в вершине ребра к толщине в корне
ch(x) Гиперболический косинус
th(x) Гиперболический тангенс

2. Расчет напряжений от избыточного давления (хлопка) и разрежения в топке (газоходе)

2.1. В мембранных экранах топки (газохода) от избыточного давления и разрежения возникают:

изгибающий момент Mzy, который приводит к изгибу оребренной трубы и возникновению осевых напряжений o_m, относящихся к категории общих мембранных;

изгибающий момент Mxy, приводящий к образованию в расчетных сечениях оребренной трубы общих напряжений o_m, o_b, наибольшие значения которых приходятся на ребра в углу топки;

поперечные растягивающие (или сжимающие) усилия Px, Py, которые приводят к возникновению в расчетных сечениях оребренной трубы напряжений, относящихся к категории общих.

2.2. Максимальные значения изгибающего момента Mxy в середине экрана определяются по формуле

.

Если

Здесь

Максимальный прогиб между поясами жесткости в середине экрана

При расчете от избыточного давления (хлопка) следует иметь в виду, что изгибающий момент Mxy будет отрицательным под поясом жесткости и положительным между поясами жесткости. При расчете от разрежения изгибающий момент будет иметь направление, обратное изгибающему моменту от избыточного давления.

2.3. Изгибающий момент Mxy в углу топки между поясами жесткости определяется по формуле

При

Если связь пояса жесткости с экраном осуществляется на отдельных его участках, равномерно распределенных по ширине экрана, то следует учесть дополнительный изгибающий момент Mxy.

При действии в топке (газоходе) избыточного давления (хлопка) максимальные изгибающие моменты на опорах под поясом жесткости, а также в углу будут иметь отрицательное значение. При действии разрежения знаки меняются на противоположные.

Приложение 4
Рекомендуемое

РАСЧЕТ УСЛОВНО-УПРУГИХ НАПРЯЖЕНИЙ В ОРЕБРЕННОЙ ТРУБЕ ОТ ТЕМПЕРАТУРНЫХ ВОЗДЕЙСТВИЙ

1. Обозначения

1.1. Условные обозначения, принятые в формулах данного приложения, приведены в таблице.

Символ Наименование Единица измерения
1 2 3
f_at Площадь поперечного сечения оребренной трубы мм2
f_t Площадь поперечного сечения трубы мм2
f_r Площадь поперечного сечения ребра мм2
Tat Средняя интегральная температура оребренной трубы °С
Средняя температура по лобовой стороне трубы °С
Tp Средняя температура ребра в сечении 5-6 °С
T1, T2, T5 Температура в расчетных точках оребренной трубы °С
v Скорость изменения температуры среды °С/с
Отношение толщины ребра в вершине к толщине ребра в корне  
Коэффициент  
_1 Коэффициент  
_2 Коэффициент  
_3 Коэффициент  
_4 Коэффициент  
_5 Коэффициент  
_6 Коэффициент  
_7 Коэффициент  

2. Расчет температурных напряжений в оребренной трубе экрана от действия теплового потока

2.1. Средние радиальные, окружные и осевые напряжения в расчетных сечениях оребренной трубы определяются по формулам:

сечение 1-2:

сечение 5-6:

2.2. Окружные и осевые напряжения в прямолинейной трубе от действия одностороннего теплового потока T(r, ) определяются по формулам:

точка 1:

точка 2:

точка 5:

2.3. Если по условиям закрепления экрана оребренные трубы имеют возможность деформироваться, то напряжения, определенные в п. 2.1, уменьшаются на величину, определяемую термоупругим моментом:

Напряжения от действия термоупругого момента Mxy в расчетных точках оребренной трубы определяются согласно приложению 1.

2.4. Термоупругий момент на вершинах ребер труб, сваренных в мембранный экран, определяется по формуле

,

где v - угол взаимного поворота вершин ребер от действия теплового потока; определяется по формуле

- угол взаимного поворота вершин ребер от действия единичного момента; определяется по формуле

, - определяются по рисунку.

Номограмма для определения коэффициентов ,

Напряжения от действия термоупругого момента Mxy на вершинах ребер в расчетных точках оребренной трубы находятся согласно приложению 1.

2.5. Осевые напряжения в оребренной трубе, возникающие от разности среднеинтегральных температур трубы Т*т и ребра Т*р, определяются по формуле

где

Знак "минус" принимается для ребра и знак "плюс" для трубы.

3. Расчет температурных напряжений от разности температур среды между сопрягаемыми панелями или трубами

3.1. Максимальные осевые напряжения в расчетных точках 1, 2, 3 и 5 оребренной трубы определяются по формуле

где Т1m - температура среды в панели I, °С;

T2m - температура среды в панели II, °С (T2m > T1m).

Знак "минус" принимается для "горячей" панели с температурой среды T2m и знак "плюс" для "холодной", где температура среды T1m.

Если площадь поперечного сечения "горячих" и "холодных" панелей неодинакова, то вместо коэффициента 0,5 в формуле следует подставить отношение площадей поперечного сечения панелей оребренных труб:

f1 / (f1 + f2) - для "горячих" панелей, площадь поперечного сечения которых равна f2;

f1 / (f1 + f2) - для "холодных" панелей, площадь поперечного сечения которых равна f1.

При одинаковых типоразмерах оребренных труб площади поперечного сечения f1 и f2 могут быть соответственно заменены шириной панелей.

Максимальное усилие Px в зоне стыка панелей определяется по формуле

где

T = T2m - T1m.

Знак "плюс" принимается для "горячей" панели и знак "минус" для "холодной" панели. Расчет напряжений от усилия Px в расчетных точках оребренной трубы должен производиться согласно приложению 1.

4. Расчет температурных напряжений от неравномерного распределения теплового потока по ширине экрана

4.1. Максимальные напряжения в расчетных точках 1, 2, 3 и 5 оребренной трубы определяются по формуле

,

где T*at1, T*at2 - средняя интегральная температура металла оребренной трубы в середине экрана и в углу топки, вычисленная по q_max и q_min соответственно.

Знак "плюс" принимается для напряжений в углу топки и знак "минус" - в середине экрана. Максимальное сжимающее усилие Px в середине экрана определяется по формуле

.

4.2. Напряжения в расчетных точках оребренной трубы от усилия Px определяются по формулам приложения 1.

5. Расчет температурных напряжений при шлаковании экранов

5.1. В пылеугольных котлах с течением времени происходит шлакование экранов с последующим срывом шлака. В этом случае температура металла экранных труб колеблется во времени от температуры в расчетных точках T1, T3, T5 до температуры среды Tm, при этом возникают тепловые удары.

Осевые и окружные (поперечные) напряжения в оребренной трубе определяются по формуле

где

6. Расчет температурных напряжений при повышении или снижении нагрузки котла

6.1. При включении и выключении горелок и поясов горелок, а также при повышении и снижении нагрузки котла в районе горелок возникают температурные напряжения. Осевые и окружные (поперечные) напряжения в расчетных точках оребренной трубы определяются по формуле

где

Здесь - разницы температур в расчетных точках; определяются по разности тепловых потоков , т.е. до и после изменения нагрузки.

7. Расчет температурных напряжений при водяной очистке мембранных экранов

7.1. Осевые и окружные (поперечные) напряжения в расчетных точках 1, 3, 5 оребренной трубы определяются по формуле

где t_max - максимальная разность температур по толщине стенки; при скорости горизонтальной развертки 0,42 рад/с принимается равной: 350 °С - для диаметра сопла 10-20 мм; 100 °С - для диаметра сопла 8 мм. При скорости горизонтальной развертки 0,84 рад/с максимальная разность температур уменьшается вдвое.