Нормы расчета на прочность стационарных котлов и трубопроводов пара и горячей воды. РД 10-249-98

(утв. Постановлением Госгортехнадзора РФ от 25.08.1998 N 50) (разделы 10 - 12)
Редакция от 13.07.2001 — Действует

РУКОВОДЯЩИЕ ДОКУМЕНТЫ ГОСГОРТЕХНАДЗОРА РОССИИ

НОРМЫ
РАСЧЕТА НА ПРОЧНОСТЬ СТАЦИОНАРНЫХ КОТЛОВ И ТРУБОПРОВОДОВ ПАРА И ГОРЯЧЕЙ ВОДЫ

РД 10-249-98

(в ред. Изменения N 1, утв. Постановлением Госгортехнадзора России от 13.07.2001 N 31)

Дата введения 2001-09-01

Разделы 1 - 3, 4, 5, 6 - 7, 8, 9 Норм расчета на прочность стационарных котлов и трубопроводов пара и горячей воды, включены в систему отдельными документами

УТВЕРЖДЕНЫ постановлением Госгортехнадзора России от 25.08.1998 N 50

Редакционная коллегия: В.С.Котельников, Н.А.Хапонен, А.А.Шельпяков (Госгортехнадзор России)

Ю.К.Петреня, Е.Э.Гильде, А.В.Судаков, А.А.Чижик, И.А.Данюшевский, П.В.Белов, А.М.Рейнов (АООТ НПО ЦКТИ им. И.И.Ползунова)

10. РАСЧЕТ НА ПРОЧНОСТЬ ЭЛЕМЕНТОВ ПОДВЕСНОЙ СИСТЕМЫ КОТЛОВ

10.1. Условные обозначения

В разделе приняты следующие обозначения, представленные в табл. 10.1.

Таблица 10.1

Символ Название Единица измерения
1 2 3
A Ширина котла вдоль главных хребтовых балок мм
2a, 2b Расчетные размеры опорной плиты в плане (стороны с размерами 2b всегда опираются на жесткие балки каркаса) мм
2r Диаметр отверстия в опорной плите или шайбе мм
2R Наружный диаметр шайбы мм
Qq Усилие, действующее на подвеску Н
Коэффициент прочности сварных соединений  
2t Шаг между отверстиями двух соседних отверстий в опорной плите мм
2lb Длина тяги мм
n_pl Количество пластин шт.
n_тп Количество тарельчатых пружин в комплекте шт.
f_сд Прогиб балки от сдвига мм
2b Смещение концов тяги мм
da, d Наружный и внутренний диаметры тяги мм
das, ds Наружный и внутренний диаметры резьбы тяги мм
Dвт Внутренний диаметр втулки пружинного блока мм
l_d Длина втулки пружинного блока мм
Mbq Изгибающий момент, действующий на тягу Н·мм
Msq Изгибающий момент в резьбе Н·мм
Fb Площадь сечения тяги мм2
l_b Момент инерции сечения тяги мм4
l_s Момент инерции сечения резьбовой части мм4
Wb, Wk Момент сопротивления изгиба и кручения тяги мм3
L Расстояние между колоннами каркаса вдоль главных хребтовых балок мм
sh(kl), ch(kl) Гиперболический синус и косинус  
h Номинальная высота шайбы мм
s_pl Толщина пластины мм
s_ap Толщина опорной плиты мм
s_hp Наименьшая толщина проушин, сминаемых в одном направлении мм
l_pl Длина пластины мм
e_pl Ширина пластины мм
Dh Диаметр отверстия в щеках (проушинах) мм
Da Диаметр валика шарнирного соединения мм
e_b Ширина щеки (проушины) мм
Ebh Длина отверстия мм
[o] Допускаемое напряжение при расчетной температуре МПа
o1, o2, o3 Главные номинальные напряжения в расчетном сечении детали МПа
o_eq Эквивалентное напряжение МПа
т_к Напряжение от кручения МПа
o_ch Напряжение от смятия МПа
т_ch Напряжение от среза МПа
Наружный диаметр тарельчатой пружины мм
Внутренний диаметр тарельчатой пружины мм
sn Толщина стенки тарельчатой пружины мм
f3 Максимальный прогиб тарельчатой пружины мм
P3 Максимальное усилие тарельчатой пружины H
Et Модуль упругости при расчетной температуре МПа
P_M, P_Э, Ps Монтажная, эксплуатационная, сейсмическая нагрузки Н

10.2. Общие положения

10.2.1. Подвески стационарного котла (рис. 10.1) - это несущие элементы, воспринимающие нагрузку от массы котла, временные и особые нагрузки и работающие при высоких температурах.

Рис. 10.1. Подвески стационарного котла

В зависимости от мощности и типа котла (газомазутный или пылеугольный) применяются два варианта крепления подвесок к поверхностям нагрева: за коллектор и за экран. Вариант крепления выбирается конструктором в каждом конкретном случае индивидуально, исходя из сложившейся практики и с учетом конструкторских особенностей. Напряжения в зонах крепления подвесок, возникающие в трубах экранов и коллекторах, следует определять согласно разделу 7 Норм.

10.2.2. Подвеска стационарного котла состоит из следующих основных элементов: тяги и шарнирного соединения (одного или двух - в зависимости от общей длины подвески), состоящего из проушин. Подвески разделяются на "холодные" и "горячие". Тяги "холодных" подвесок представляют собой сплошные прутки, а тяги "горячих" подвесок изготовляются из труб и относятся к обогреваемым элементам.

10.2.3. Для изготовления элементов подвесок следует применять материалы, перечисленные в Правилах устройства и безопасной эксплуатации паровых и водогрейных котлов. Для изготовления элементов подвесок, не работающих под давлением и не примыкающих непосредственно к этим элементам котла, допускается использовать любые материалы.

10.2.4. Основной нагрузкой, действующей на подвеску, является вес. Кроме того, при тепловых перемещениях в процессе эксплуатации в тяге возникает изгибающий момент, достигающий своих максимальных значений на концах тяги.

10.2.5. Количество подвесок по периметру котла определяется максимально допустимыми уровнями напряжений в узлах сопряжения подвески с поверхностями нагрева. Расстояние между подвесками (500-800 мм) должно обеспечивать равномерное распределение весовой нагрузки по периметру котла (при этом следует учитывать работу потолочного перекрытия, возможность перераспределения усилий на подвески в процессе эксплуатации).

В отдельных случаях, когда определяемые поверочным расчетом напряжения в подвесках существенно ниже допускаемых, а уменьшение диаметров тяг нецелесообразно, расстояние между подвесками может быть принято больше 800 мм.

10.2.6. В зависимости от весовой нагрузки, приходящейся на подвеску, следует использовать тарельчатые пружины по ГОСТ 3057 (максимальное восприятие до 71·x 10(4) Н) и винтовые пружины по ГОСТ 13773 (максимальное восприятие до 10(5) Н). Установка тарельчатых пружин может быть последовательной и параллельной.

10.2.7. Для группы подвесок, не связанных с основными поверхностями нагрева (мембранными стенами котла), допускается установка жестких подвесок (без пружинных блоков), если отсутствует перераспределение нагрузок на подвески от прогибов несущих балок.

В группу объединяются связанные с одной поверхностью нагрева (элементом котла) подвески, нагрузки на которые отличаются друг от друга не более чем на 20%.

10.2.8. Расчет на прочность подвесок производится в два этапа:

выбор основных размеров;

расчет на статическую прочность.

Выбор основных размеров элементов подвесок проводится отдельно для каждой группы подвесок на основании полученных расчетных нагрузок. Марка стали элементов должна соответствовать температуре, при которой работает подвеска.

После выбора основных размеров элементов подвесок должен быть произведен расчет на статическую прочность в целях уточнения принятых размеров с учетом всех действующих нагрузок и действительного прогиба балок потолочного перекрытия.

10.2.9. Наружный диаметр тяги выбирается наибольшим из двух расчетных: в сечении с максимальным уровнем напряжений и в сечении с максимальными расчетными температурами. Выбор размеров элементов шарнирного соединения производится с учетом максимальных температур (в "теплом ящике").

Под расчетной температурой металла детали подвески следует понимать температуру, по которой принимается значение допускаемого напряжения.

10.2.10. Проверка прочности газоплотных экранов при неодинаковой прочности мембранных стен котла производится по программе расчета на прочность цельносварных газоплотных конструкций на основании результатов расчета потолочного перекрытия.

10.3. Критерии прочности и допускаемое напряжение

10.3.1. Последовательность оценки статической прочности деталей подвесок представлена в табл.10.2.

Таблица 10.2

Обозначение этапа Нагружающий фактор Обозначение усилий Условие прочности Категория определяемых напряжений
1 Весовая нагрузка Qq o_eq =< 1,2[o] Общие мембранные
Весовая нагрузка+внутреннее давление Qq + p o_eq =< 1,1[o]
2 Весовая нагрузка+изгиб+кручение Qq + Mbq + Mk o_eq =< 1,65[o] Общие мембранные и изгибные, кручение
Весовая нагрузка+изгиб+кручение+внутреннее давление Qq + Mbq + Mk + p o_eq =< 1,5[o]

10.3.2. Средние напряжения растяжения по сечению резьбовой части в тягах подвесок весовых нагрузок должны удовлетворять условию o_eq =< 1,1[o]

Приведенные напряжения, определяемые по суммам составляющих средних напряжений растяжения, изгиба и кручения в резьбовой части подвесок, должны удовлетворять условию o_eq =< 1,5[o] Средние касательные напряжения, вызванные действием срезывающих весовых нагрузок в резьбе тяг и шарниров, а также в сварных швах, должны удовлетворять условию т_sh =< 0,7[o].

10.3.3. Средние напряжения смятия не должны превышать следующих значений:

для подвижных шарниров o_ch =< 1,5[o]

для неподвижных шарниров o_ch =< 2,5[o]

10.3.4. Основным допускаемым напряжением, которое используется для оценки прочности при статическом нагружении, является номинальное допускаемое напряжение [o], значения которого приведены в разделе 2 Норм.

В табл. 10.3 указаны номинальные допускаемые напряжения при расчетном ресурсе 10(5) ч для различных марок стали.

Таблица 10.3

t, °С ВСт5сп 25 30 35 40 35Х 40Х 30ХМА,35ХМ 25ХМФ (ЭИ10)
20 154 161 172 185 198 275 288 356 402
100 143 150 161 174 187 255 272 335 389
200 134 141 147 161 174 234 248 308 368
250 127 134 141 147 161 221 234 295 362
300 117 124 134 134 147 208 221 281 348
350 - 114 117 121 134 194 201 268 328
375 - 107 111 114 121 188 194 248 308
400 - - 101 104 107 174 181 221 275
425 - - - - - - - 194 241
450 - - - - - - - - 201
475 - - - - - - - - 174

Если в техническом задании на разработку не оговорены другие условия, номинальное допускаемое напряжение согласно разделу 2 Норм принимается исходя из расчетного ресурса 10(5) ч.

10.4. Коэффициент прочности сварных соединений

10.4.1. Значения коэффициента прочности сварных соединений в зависимости от типа сварного соединения, вида нагрузки, метода и объема контроля сварного соединения приведены в табл. 10.4.

Таблица 10.4

Тип соединения Вид нагрузки Схема нагрузки Метод контроля Объем контроля _w.
1 2 3 4 5 6
        100% 1,0
        >= 10% 0,8
Стыковое Растяжение, изгиб   < 10% 0,7
        100% 1,0
        >= 10% 0,9
  Срез Визуальный осмотр, УЗД < 10% 0,8
        100% 0,9
        10% 0,8
Угловое и тавровое (с полным проваром)     10% 0,7
  Растяжение, изгиб, срез     100% 0,8
        >= 10% 0,7
Угловое и тавровое (без полного провара)     < 10% 0,6
      Визуальный осмотр 100% 0,8
        >= 10% 0,7
Нахлесточное     < 10% 0,6

10.4.2. К стыковым сварным соединениям (рис. 10.2) относятся швы, у которых в поперечном сечении отношение диаметра к толщине пластины (или отношение большего диаметра к меньшему) не превышает 3/1. При отношениях, превышающих 3/1, швы считаются угловыми.

Рис.10.2. Варианты сварных соединений:
a, б - стыковые; в, г - угловые

10.4.3. Допускаемое напряжение сварного соединения следует принимать по металлу свариваемых деталей. Если деталь изготовляется из разных марок сталей, то расчет должен производиться по детали с наименьшей расчетной характеристикой прочности.

10.4.4. Для деталей из углеродистой, марганцевой (кремнемарганцевой) и хромомолибденовой стали значения коэффициента прочности, приведенные в табл. 10.4, применимы для всего диапазона расчетных температур стенки и для всех допустимых способов сварки.

10.4.5. Для деталей из хромомолибденовой и высокохромистой стали значения коэффициента прочности, приведенные в табл.10.4, применимы до температур 510 °С. При расчетной температуре выше 510 °С коэффициент прочности определяется как произведение коэффициентов прочности согласно п. 10.4 и разделу 4 Норм.

10.5. Выбор основных размеров элементов и рекомендации по проектированию подвесок

10.5.1. Для каждой группы подвесок по величине средней расчетной эксплуатационной нагрузки Qq по рис.10.3 в зависимости от величины Qq / (10(3)[o]) и максимального относительного смещения тяги подвески b / lb определяется наружный диаметр тяги. Расчетная длина тяги 2lb включает также длину изгибаемой части пластины соединения подвески с экраном.

Рис.10.3. Номограмма для определения наружного диаметра тяги:
a - тяги малого диаметра; б - тяги большого диаметра

По наружному диаметру тяги принимается диаметр резьбы. В целях уменьшения изгибающего момента в резьбе при проектировании пружинного блока следует стремиться к тому, чтобы разница между внутренним диаметром втулки и диаметром тяги не превышала 5% диаметра тяги.

Если подвески в группе имеют разную длину, выбор диаметров тяги для таких подвесок производится с учетом их длин и реальных нагрузок, воспринимаемых этими подвесками.

10.5.2. Размеры элементов шарнирного соединения принимаются по номограмме (рис. 10.4). В зависимости от величины Qq / (10(3)[o]) определяются: диаметр Da - из условия прочности на срез; толщина средней пластины s_hp - из условия прочности на разрыв и смятие; размеры m1 и m2 - из условия прочности на разрыв и срез.

Рис. 10.4. Номограмма для определения размеров элементов шарнирного соединения

В целях унификации размеров пластин, входящих в шарнирные соединения разных групп подвесок, допускается увеличение или уменьшение размеров m1 и m2 по сравнению с определенными по номограмме (см. рис.10.4) с последующей проверкой расчетом.

10.5.3. Размеры пластин в узле соединения подвески с экраном принимаются в зависимости от конструктивного исполнения (рис.10.5, a, б) по величине Qq / (10(2)n_pl[o]). Максимальное количество пластин не должно превышать n_pl = 6, а толщина пластины не должна превышать 6-8 мм.

Увеличение длины изгибаемой части пластины l_pl (см. рис.10.5) способствует уменьшению напряжений в экранах при температурных расширениях. Длина сварного шва должна находиться в пределах 250-300 мм.

Рис.10.5. Номограмма для определения размеров пластин:
a - односторонняя приварка; б - двухсторонняя приварка;
_____ - s = 6 мм; ---- - s = 8 мм

10.5.4. По ГОСТ 3057 при деформации 0,8f3 в зависимости от максимальной эксплуатационной нагрузки , умноженной на коэффициент перегрузки 1,2 (при нормальных условиях эксплуатации), выбирается тарельчатая пружина II класса, типа 2-й и 3-й группы (II-2-3).

Если в i-й группе расчетные нагрузки на отдельные подвески различны (за счет крепления к ним элементов котла на разных высотных отметках), пружины для этой группы выбираются по средней расчетной эксплуатационной нагрузке; при этом разность между максимальной и минимальной нагрузками не должна превышать 20% средней.

10.5.5. Количество тарельчатых пружин в комплекте определяется исходя из относительного прогиба балок потолочного перекрытия, равного 1/500, и допускаемой перегрузки подвески на 20% по сравнению со средней расчетной по формуле n_тп = 4f*b / f3, где f*b - максимальная разность просадок пружин для групп подвесок, определяемая по рис.10.6:

для газомазутных котлов (монтажные прогибы) f*b = ;

для пылеугольных котлов (эксплуатационные прогибы) f*b = ;

для пылеугольных котлов в случае выравнивания весовых нагрузок после монтажа

Рис.10.6. Номограмма для определения максимальной разности
просадок пружин: ____ - при нормальных условиях эксплуатации (1/500);
-- -- - при сейсмическом воздействии (1/400)

На рис.10.6 размер A - ширина цельносварного блока при монтаже (при определении ) или ширина экрана (при определении ). Если L > A (L - расстояние между опорами балки потолочного перекрытия), то при расчете следует принимать L = A).

Минимально необходимое количество пружин уточняется на основании фактических прогибов балок потолочного перекрытия при проведении поверочного расчета.

10.5.6. Выбор витых пружин производится по ГОСТ 13769 и ГОСТ 13773, расчет затяжки - по НТД.

10.6. Расчет на статическую прочность

10.6.1. Общие положения

10.6.1.1. При расчете на статическую прочность определяются напряжения от всех нагрузок, действующих на подвеску, с учетом коэффициентов прочности сварных соединений. Проверка условий прочности производится последовательно в зависимости от нагружающих факторов в соответствии с п. 10.3.1.

10.6.2. Определение нагрузок на подвески

10.6.2.1. С учетом выбранных размеров балок потолочного перекрытия определяются их прогибы от монтажной, эксплуатационной и сейсмической нагрузки. Определение прогибов балок потолочного перекрытия необходимо для установления величины перераспределения нагрузок между подвесками котла.

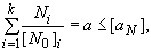
10.6.2.2. По действительному прогибу хребтовой или межхребтовой балки при расчетной нагрузке (монтажной, эксплуатационной и сейсмической) определяется разность просадок пружин крайних и средних подвесок fnn, при этом коэффициент неравномерности (перегрузки) K вычисляется по формуле

,

где принимается согласно п.10.5.5. При нормальных условиях эксплуатации , при сейсмическом воздействии .

Если при монтаже проводится выравнивание нагрузок на подвески с помощью гидродомкрата, то fn определяется по прогибу балки от разности Рэ - Рм.

При сейсмическом воздействии расчет производится для или в случае выравнивания нагрузок для . Коэффициент неравномерности не должен превышать 1,4.

10.6.2.3. Для наиболее нагруженных подвесок производится проверка прочности с учетом найденного коэффициента неравномерности K.

10.6.3. Расчет на прочность тяг подвесок

10.6.3.1. Общие мембранные напряжения от растяжения силой Qq определяются по формуле

,

где - для сплошного круглого сечения;

- для полого круглого сечения (d1 = da(ds));

67 - принимается согласно п.10.4.1 при наличии стыкового шва.

10.6.3.2. Средние напряжения от внутреннего давления в полом круглом сечении (в подвесной трубе) тяги определяются согласно разделу 3 Норм.

10.6.3.3. Максимальный изгибающий момент, действующий на тягу, определяется по формуле

,

где - параметр;

- для сплошного круглого сечения;

- для полого круглого сечения тяги.

Если kl >= 3, то .

10.6.3.4. Общие изгибные напряжения, возникающие от момента Mbq, определяются по формуле

,

где - для сплошного круглого сечения;

- для полого круглого сечения.

10.6.3.5. Изгибающий момент m_sq, воспринимаемый резьбой, зависит от длины втулки l_вт и разницы между внутренним диаметром втулки и диаметром тяги 2s = Dвт - da:

,

где

- для сплошного круглого сечения;

- для полого круглого сечения тяги.

Если полученное значение Msq превосходит значение Mbq, следует принимать Msq = Mbq.

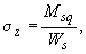
10.6.3.6. Изгибные напряжения, возникающие в резьбе от момента Msq, определяются по формуле

где - для сплошного круглого сечения;

- для полого круглого сечения.

10.6.3.7. Напряжение кручения в резьбе при затяге гайки определяется по формуле

где - для сплошного круглого сечения;

- для полого круглого сечения;

- крутящий момент, действующий на подвеску;

Qq - усилие при затяге гайки;

- коэффициент, зависящий от трения в резьбе; определяется по табл.10.5.

Таблица 10.5

Коэффициент Качество поверхности
0,10 Чисто обработанные поверхности при наличии смазки
0,13 Чисто обработанные поверхности без смазки и грубо обработанные поверхности при наличии смазки
0,18 Грубо обработанные поверхности без смазки

При использовании гидродомкрата в целях выравнивания нагрузок на подвески Mк = 0. Не допускается затяг гаек тарельчатых пружин под нагрузкой.

10.6.3.8. В соответствии с разделом 5 Норм для расчетных сечений вычисляются три главных нормальных напряжения o1, o2, o3, которые представляют собой алгебраическую сумму действующих в одном направлении напряжений от приложенных к расчетному сечению нагрузок.

10.6.3.9. Проверка условий прочности производится последовательно в соответствии с табл. 10.2 в зависимости от нагружающих факторов и приложенных усилий.

10.6.3.10. Напряжение среза в резьбе определяется по формуле

где hs - высота рабочей части резьбы, мм.

Проверка условия прочности производится согласно п.10.3.1.

10.6.4. Расчет на прочность шарнирных соединений

10.6.4.1. Напряжение смятия в шарнирах определяется по формуле

Формула справедлива при условии 1,0 =< D_h / Da =< 1,1.

10.6.4.2. Средние касательные напряжения, вызванные действием срезывающих усилий в валике, определяются по формуле

10.6.4.3. Напряжение смятия в шарнирах с овальным отверстием (см. рис. 10.1) определяется по формуле

10.6.4.4. Общие мембранные напряжения в проушине с круглым отверстием от растягивающего усилия определяются по формуле

10.6.4.5. Общие мембранные напряжения в проушине с овальным отверстием от растягивающего усилия определяются по формуле

где E_0h - длина отверстия, мм.

10.6.4.6. Общие мембранные напряжения в проушине с овальным отверстием от растягивающего усилия определяются по формуле

где E_0h - длина отверстия, мм.

10.6.4.7. Проверка условия прочности производится согласно п.10.3.

10.6.5. Расчет на прочность пластин

10.6.5.1. Максимальная локальная нагрузка в пластине (см. рис.10.1) узла соединения подвески с экраном определяется по формуле

Q_L = KQq / n_pl,

где n_pl - число пластин, шт.;

K - коэффициент неравномерности; определяется по табл.10.6.

Таблица 10.6

Число пластин n_pl Коэффициент неравномерности K
1 1,0
2 1,2
4 1,3
6 1,4

Рис. 10.7. Типы опорных плит

10.6.5.2. Общие мембранные напряжения в пластине от усилия Q_L определяются по формуле

где Fpl = e_pl s_pl - площадь поперечного сечения пластины, мм ;

- коэффициент прочности, определяемый согласно п.10.4.1 (при наличии стыкового шва).

10.6.5.3. Общие изгибные напряжения в пластине от смещения определяются по формуле

где l_pl - смещение пластины, мм:

10.6.5.4. Проверка условия прочности производится согласно п.10.3.

10.6.6. Расчет на прочность опорных плит

10.6.6.1. Эквивалентное напряжение в прямоугольной опорной пластине (рис.10.8) с рядом отверстий от усилия Q определяется по формуле, справедливой для любых размеров плиты в плане:

где c* - коэффициент, принимаемый в зависимости от способа опирания плиты и вариантов нагружения по табл.10.7.

Таблица 10.7

Параметр B c11 c12 c21 c22
Параметр a
2 4 6 2 4 6 2 4 6 2 4 6
2 1,0 1,7 2,2 0,6 1,3 1,9 2,4 4,7 6,0 1,8 3,9 4,9
4 1,0 1,2 1,4 0,6 0,9 1,2 1,5 2,8 3,8 1,2 2,2 3,1
6 1,0 1,1 1,2 0,6 0,8 1,0 1,2 2,2 3,0 1,0 1,9 2,7

Примечания: 1. Для промежуточных значений коэффициенты определяются линейной интерполяцией ближайших значений с округлением до 0,1 в большую сторону.

2. При a < 2 коэффициенты определяются линейной экстраполяцией с округлением до 0,1 в большую сторону.

Рис. 10.8. Варианты нагружения:
a - нагружение по контуру отверстия; б - нагружение по ширине кольца

Для плиты, защемленной по опорным кромкам (тип I на рис. 10.8), c* = c11, если нагрузка распределена по контуру отверстия, и c* = c12, если нагрузка распределена по ширине кольца.

Для плиты, свободно опертой по опорным кромкам (тип I), c* = c21, если нагрузка распределена по контуру отверстия, и c* = c22, если нагрузка распределена по ширине кольца.

Коэффициенты c12 и c22 соответствуют передаче нагрузки через гайку, внутренний диаметр которой равен диаметру отверстия в опорной плите (рис.10.9).

Параметр a определяется как отношение расстояния между опорными кромками к диаметру отверстия:

a = a / r,

где расстояние a принимается равным расстоянию между стенками опорных балок

Параметр определяется как отношение расстояния между центрами отверстий к диаметру отверстий:

= t / r

10.6.6.2. Эквивалентное напряжение в прямоугольной опорной плите с единичным отверстием (см. рис.10.8) от усилия Qq определятся по формуле, справедливой для любых размеров плиты в плане:

где c* - коэффициент, принимаемый в зависимости от способа опирания плиты и варианта нагружения по табл.10.8.

Таблица 10.8

Параметр Y c31 c32 c41 c42 c51 c62
Параметр a
2 4 6 2 4 6 2 4 6 2 4 6 2 4 6 2 4 6
2 1,0 1,9 2,6 0,6 1,5 2,1 2,6 5,5 7,3 1,9 4,2 5,4 0,7 1,0 1,0 0,9 1,5 1,5
4 1,0 1,3 1,6 0,6 1,0 1,4 1,6 3,1 4,2 1,2 2,4 3,4 1,0 1,1 1,2 1,5 1,8 2,0
6 1,0 1,2 1,4 0,6 0,9 1,2 1,3 2,3 3,2 1,0 2,0 2,9 1,0 1,2 1,4 1,5 2,0 2,1

Примечания: 1. Для промежуточных значений коэффициенты определяются линейной интерполяцией ближайших значений с округлением до 0,1 в большую сторону.

2. При a < 2 коэффициенты определяются линейной экстраполяцией с округлением до 0,1 в большую сторону.

Для плиты, у которой две противоположные кромки защемлены, а две другие свободны (тип II), c* = c31, если нагрузка распределена по контуру отверстия, и c* = c32, если нагрузка распределена по ширине кольца.

Для плиты, у которой две противоположные кромки свободно оперты, а две другие свободны (тип II), c* = c41, если нагрузка распределена по контуру отверстия, и c* = c42, если нагрузка распределена по ширине кольца.

Для плиты, защемленной по контуру, при нагрузке, распределений по контуру отверстия (тип III), c* = c51.

Для плиты, свободно опертой по всему контуру, при нагрузке, распределенной по ширине кольца (тип III), c* = c62.

Параметр a определяется как отношение расстояния между опорными кромками к диаметру отверстия:

a = a / r.

Параметр y определяется как отношение длины опорных кромок к диаметру отверстия:

y = b / r.

10.6.6.3. Полученные значения эквивалентного напряжения не должны превышать 1,5[o] согласно п. 10.3.

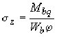
10.6.7. Расчет на прочность шайб

10.6.7.1. Если радиус приложения нагрузки (радиус линии контакта r_к) не превосходит среднего радиуса шайбы, т.е. r_к =< r + R, то эквивалентное напряжение в конической шайбе от нагрузки при любом угле конусности определяется по формуле

10.6.7.2. Полученное значение эквивалентного напряжения не должно превышать 1,2[o] согласно п.10.3.

10.6.7.3. Напряжения от среза в опорном бурте конической шайбы

,

где r_b - наружный радиус бурта.

10.6.7.4. За счет большой длины зоны контакта сферической и конической шайб напряжения смятия в этой зоне оказываются значительно меньше допускаемых, поэтому проверка на смятие не производится.

11. МЕТОДИКА РАСЧЕТА НА ПРОЧНОСТЬ ПРИ СЕЙСМИЧЕСКОМ ВОЗДЕЙСТВИИ

Настоящий раздел устанавливает требования к расчету сейсмических нагрузок на паровые стационарные котлы, их элементы и трубопроводы горячей воды и пара. С помощью расчетов проводится оценка сейсмостойкости оборудования, а также определяются мероприятия по обеспечению сейсмостойкости на стадии проектирования и в процессе эксплуатации.

11.1. Условные обозначения

11.1.1. В разделе приняты следующие условные обозначения, представленные в табл. 11.1.

Таблица 11.1

Символ Название Единица измерения
1 2 3
o_ms Общие мембранные напряжения с учетом сейсмического воздействия МПа
o_mms Местные мембранные напряжения, возникающие от неравномерного распределения нагрузок, с учетом сейсмического воздействия МПа
o_bs Общие изгибные напряжения с учетом сейсмического воздействия МПа
o_cms Напряжение смятия МПа
т Напряжение среза МПа
k Относительное демпфирование (в долях от критического коэффициента демпфирования)  
N Число степеней свободы расчетной модели  
g Нормальное ускорение свободного падения м/с2
a(t) Зависимость ускорения основания от времени  
[M] Матрица коэффициентов инерции  
[C] Матрица коэффициентов жесткости  
p(f) Частота собственных колебаний рад/с (Гц)
НУЭ Нормальные условия эксплуатации  
ПЗ Проектное землетрясение  
СА Синтезированная акселерограмма  
ЛСМ Линейно-спектральный метод  
МДА Метод динамического анализа  
MSK-64 12-балльная шкала интенсивности землетрясений 1964 г., разработанная С.Медведевым, В.Шпонхоером и В.Карником  

11.2. Общие положения

11.2.1. Расчет на сейсмостойкость является обязательным этапом поверочного расчета и служит для определения возможности использования оборудования в районах с повышенной сейсмической активностью.

11.2.2. Целью поверочного расчета на сейсмостойкость является:

проверка прочности элементов оборудования;

оценка взаимных смещений, соударений элементов конструкций;

разработка мероприятий, направленных на снижение расчетных динамических нагрузок в случаях, когда расчет не подтверждает обеспечение требований сейсмостойкости.

11.2.3. Основные критерии сейсмостойкости оборудования базируются на таких факторах, как:

необходимость обеспечения безопасности оперативного персонала станции;

важность компонент технологического оборудования и систем, необходимых для выработки электроэнергии и тепла;

анализ начальной стоимости и объема потенциальных затрат на ремонт или замену оборудования, поврежденного в результате сейсмического воздействия;

возможность использования альтернативных частей и систем оборудования;

оценка поведения и взаимодействия отдельных систем при землетрясении;

анализ возможных потерь от простоев блока вследствие повреждения оборудования при сейсмическом воздействии.

Основной критерий сейсмостойкости ТЭС и ТЭЦ можно сформулировать следующим образом: станция должна противостоять с минимальными структурными повреждениями и непродолжительным прекращением выработки электроэнергии и тепла землетрясению, которое вызывает ускорение грунта только с низкой (около 10%) вероятностью превышения в течение проектного срока службы станции.

11.2.4. Поверочный расчет необходимо проводить с учетом действия эксплуатационных и сейсмических нагрузок.

Ветровые нагрузки при расчете на сейсмостойкость не учитываются.

Проектное сейсмическое воздействие задается в соответствии с общей концепцией сейсмостойкости объектов теплоэнергетики в виде аналоговых акселерограмм для площадки строительства станции, имеющей максимальные пиковые ускорения, соответствующие повторяемости один раз за срок службы станции. При этом пиковые ускорения должны иметь не более чем 10%-ную вероятность их превышения за принятый период повторяемости.

В процедуру определения интенсивности ПЗ в общем случае должны входить следующие этапы:

определение региональной сейсмической активности и вероятности возникновения землетрясений различной интенсивности на основании анализа исторических и инструментальных данных;

установление и классификация всех геологических разломов в зоне 80-100 км;

определение максимально возможных землетрясений, которые могут инициироваться каждым из разломов, и установление повторяемости для каждого события землетрясения;

расчет пиковых значений ускорений грунта на площадке, вызванных движениями отдельных разломов;

определение параметров ПЗ (проектного спектра, акселерограмм и проектного максимального пикового ускорения грунта) для принятой проектной повторяемости землетрясения.

11.2.5. В соответствии с общей концепций и критериями сейсмостойкости принцип сейсмозащиты станции заключается в ее безопасном останове при ПЗ и последующем пуске через короткий промежуток времени при ограниченном объеме восстановительных работ. Для обеспечения этой задачи все технологическое оборудование и системы станции должны быть разделены на две категории сейсмостойкости.

Категория Is. Системы и оборудование, для которых выполняется обоснование сейсмостойкости (прочности и (или) работоспособности):

системы и оборудование, обеспечивающие аварийный останов блока;

системы и оборудование, которые могут являться потенциальным источником пожара в результате сейсмического воздействия;

средства пожаротушения;

основное и дорогостоящее оборудование, которое не может быть восстановлено и заменено в ограниченный период времени и повреждение которого приведет к значительному экологическому или финансовому ущербу (например, котел, турбина, деаэратор, питательный насос, дымосос, силовые трансформаторы, дутьевые вентиляторы, мельницы, баки мазута, воды и т.д.);

основные трубопроводы пара и питательной воды.

Категория IIs. Все прочие системы и оборудование, важные с точки зрения обеспечения работоспособности станции и не вошедшие в категорию Is, должны иметь практическую возможность быть восстановленными в ограниченный период времени после землетрясения, определяемый государственными, регулирующими и надзорными органами. Для этих систем выполняется упрощенная оценка ожидаемых повреждений в результате ПЗ.

Кроме того, необходимо уделять особое внимание конструкциям, системам и элементам оборудования, которые в результате сейсмического воздействия могут повредить системы и оборудование, отнесенное к категории Is, и, таким образом, нарушить функции обеспечения безопасности станции либо привести к большим материальным потерям. Должны быть предприняты меры по предотвращению возникновения указанных ситуаций.

11.2.6. Расчет на сейсмостойкость проводится для оборудования и трубопроводов станций, устанавливаемых в районах сейсмичностью 7 баллов и выше.

11.2.7. Интенсивность ПЗ (максимальный уровень ускорения на грунте) при отсутствии специального сейсмологического обоснования устанавливается в соответствии с картами сейсмического районирования для 1 категории повторяемости, в соответствии со СНИП 1.2.-4-98.

11.2.8. Максимальный уровень ускорения аналоговых и синтезированных акселерограмм, принимаемых в качестве характеристик ПЗ, должен соответствовать п. 11.2.7 или может быть принят в соответствии с табл. 11.2.

Таблица 11.2

Максимальный уровень ускорений ПЗ

Сейсмичность площадки, в баллах 7 8 9 10
Максимальный уровень ускорения, в долях g 0,1 0,2 0,4 0,8

11.2.9. При повышении или понижении установленной интенсивности ПЗ на 1 балл максимальный уровень ускорения заданных акселерограмм и (или) спектров ответа должен соответственно увеличиваться или уменьшаться в два раза.

11.2.10. За правильность проведения расчета на сейсмостойкость ответственность несет предприятие или организация, выполнявшие расчет.

11.2.11. Термины и определения, принятые в данном разделе, приведены в справочном приложении.

11.3. Требования к расчету

11.3.1. Исходными данными для расчета на сейсмостойкость являются:

балльность ПЗ и максимальные уровни ускорений расчетных акселерограмм;

воздействия ПЗ в виде акселерограмм и (или) огибающих спектров ответа для мест установки котлов по трем взаимно перпендикулярным направлениям (вертикального и двух горизонтальных);

напряжения или внутренние усилия при нормальных условиях эксплуатации.

11.3.2. Оценка сейсмостойкости производится при действии двух горизонтальных и вертикального направлений сейсмического воздействия, при этом величины сейсмических нагрузок в указанных направлениях допускается определять раздельно.

11.3.3. Горизонтальные расчетные сейсмические нагрузки следует принимать действующими в направлениях продольной и поперечной осей конструкции.

11.3.4. При отсутствии конкретной информации о пиковом ускорении вертикальной составляющей колебаний грунта целесообразно применение определенного соотношения между пиковыми ускорениями в вертикальном и горизонтальном направлениях. Это соотношение, как правило, варьируется от 0,5 до 1,0 и может быть максимальным на участках, прилегающих к очагу землетрясения. Указанное соотношение зависит от характеристик очага, самой площадки, ее удаленности от эпицентра, а также от других факторов. При отсутствии специального обоснования рекомендуется брать 2 / 3 от пикового ускорения в горизонтальном направлении.

11.3.5. Внутренние усилия в элементах конструкции определяются из условия одновременного сейсмического воздействия по всем учитываемым направлениям.

Если расчет производится отдельно по каждому из направлений, расчетные внутренние усилия (силы и моменты относительно главных осей сечения и относительные перемещения) определяются по формуле:

где Nk - расчетное усилие в k-м сечении;

NkX, NkY, NkZ - расчетное усилие определенного вида в k -м сечении при сейсмическом воздействии соответственно вдоль осей X, Y, Z (две горизонтальные и вертикальная составляющие).

11.3.6. Сейсмический анализ должен проводиться либо по одному из методов динамического анализа, либо, если доказана возможность использования, по методу эквивалентной статической нагрузки. Эти методы, как правило, основаны на линейно-упругом анализе систем при уровне допускаемых напряжений, близком к пределу текучести материала. Однако для специальных случаев может быть использован также нелинейный анализ систем и их опор с учетом пластических характеристик материала.

11.3.7. При выполнении поверочного расчета на сейсмостойкость должен быть использован один из методов динамического анализа, например, метод расчета по спектрам ответа (ЛСМ) или метод расчета по акселерограммам сейсмического воздействия (МДА). При применении методов динамического анализа должны быть выполнены следующие условия.

1. Обеспечен правильный выбор метода динамического анализа (по спектрам ответа или по акселерограммам) исходя из особенностей анализируемой системы и задач анализа.

2. Должно быть обеспечено получение всей необходимой информации по напряженно-деформированному состоянию системы и ее опорно-подвесной системы с учетом всех возможных смещений, поворотов и опрокидывания конструкции, а также взаимодействия с соседним оборудованием и системами. Как правило, для достижения этой цели должны быть использованы программы расчета, основанные на методе конечного элемента.

3. Расчетная динамическая модель должна состоять из достаточного количества степеней свободы (масс). Количество степеней свободы считается достаточным, когда увеличение их числа не приводит к изменению реакции системы более чем на десять процентов. В качестве другого критерия достаточности учитываемого числа степеней свободы может быть использован следующий: количество степеней свободы системы должно по крайней мере в два раза превосходить количество учитываемых собственных форм колебаний при определении реакции системы.

4. В случае если расчет на сейсмостойкость выполняется с учетом ограниченного числа форм колебаний, например, только до частоты 33 Гц, при определении сейсмических нагрузок должны использоваться методы, учитывающие влияние высших форм колебаний. Если специальные методы учета высших форм колебаний не используются, число учитываемых форм должно быть увеличено. Число учитываемых форм считается достаточным, когда изменение их числа не приводит к изменению реакции на опоры более чем на 10%.

5. Должны быть учтены относительные смещения точек опирания системы трубопроводов и различное динамическое воздействие на опоры трубопровода при сейсмическом воздействии. Такой учет обеспечивается следующими расчетами:

методом модального анализа по спектрам ответа на многоопорное воздействие;

методом модального анализа по огибающей спектров ответа;

методом интегрирования уравнений движения по времени с использованием синтезированной акселерограммы, построенной по огибающей спектров ответа.

Во всех случаях требуется дополнительный учет взаимного смещения опор трубопровода в наиболее неблагоприятном сочетании.

6. Должны быть адекватно учтены важные эффекты поведения системы при сейсмической нагрузке такие, как удары и взаимодействие с другим оборудованием и трубопроводами, влияние раскрепления специальными опорами, включая различные типы демпферов, механические и гидравлические амортизаторы, гидродинамические нагрузки, нелинейная реакция системы.

7. Вместо спектрального метода анализа может быть применен метод расчета по акселерограммам, который дает более реалистичную картину поведения анализируемой системы при сейсмическом воздействии, но вместе с тем требует значительных затрат времени на расчет. Ввиду этого данный метод используется обычно для расчета особо важных систем или систем с существенной нелинейностью.

11.3.8. Компоненты оборудования, имеющие многочисленные точки опирания

В ряде случаев оборудование и компоненты систем опираются на различные точки одного сооружения или конструкции или на две раздельные конструкции. При этом перемещения рассматриваемого оборудования или компонент систем в каждой точке опирания могут существенно различаться.

Для расчета многоопорных систем с различным воздействием в точках опирания может применяться консервативный подход, заключающийся в использовании верхнего огибающего спектра по всем индивидуальным опорным спектрам, который позволяет получить максимальную инерционную нагрузку многоопорной системы. В дополнение к этому учитываются относительные сейсмические смещения опорных точек системы в рамках обычного статического расчета системы.

Максимальные относительные смещения опорных точек могут быть получены из расчета здания (опорной конструкции) либо, как консервативное допущение, из поэтажных спектров ответа. Для последнего случая максимальное смещение каждой опоры рассчитывается по формуле:

Sd = Sag / w2.

где Sa - спектральное ускорение (в g) на высокочастотном конце спектра (максимальное ускорение отметки);

w - собственная частота колебаний основной конструкции, рад/с.

Определенное таким образом перемещение задается каждой опоре в наиболее неблагоприятном сочетании. Реакции системы, обусловленные инерционными эффектами и относительными смещениями опор, должны быть скомбинированы по методу абсолютного суммирования.

Для уменьшения консерватизма расчета на многоопорное воздействие рекомендуется использовать альтернативный метод, основанный на использовании при расчете на сейсмостойкость спектров ответа для каждой группы опор, размещенных на одной отметке или имеющих одинаковые характеристики сейсмического воздействия. При выполнении расчета на многоопорное сейсмическое воздействие также необходимо учитывать относительные смещения опор в наиболее неблагоприятном сочетании, используя обычные методы статического расчета.

11.3.9. Статический метод используется для предварительной оценки уровня сейсмических нагрузок на начальных стадиях проектирования. Если первая частота колебаний больше 20 Гц, расчет также допускается выполнять статическим методом с умножением ускорений, полученных по спектру ответа, на коэффициент 1,3 для частоты в диапазоне 20-33 Гц и на коэффициент 1,0 для частоты больше 33 Гц.

11.3.10. Линейно-спектральный метод следует использовать только для расчета линейно-упругих систем. Метод динамического анализа не имеет ограничений по применению.

При расчете по МДА необходимо учитывать рассеяние энергии, а в необходимых случаях нелинейные характеристики системы.

11.3.11. Метод сейсмической квалификации оборудования. Метод "обхода на месте"

Метод "обхода на месте" используется при оценке сейсмостойкости оборудования действующих станций. Этот метод основан на использовании следующих данных:

опыта проектирования оборудования для сейсмоопасных районов;

опыта эксплуатации и поведения оборудования на станциях, подвергавшихся сейсмическим воздействиям;

обработки результатов экспериментальных исследований сейсмостойкости оборудования и его элементов.

На базе перечисленных выше данных формулируются требования, выполнение которых гарантирует сейсмостойкость определенного типа оборудования. Основная задача метода "обхода на месте" заключается в том, что специалист, имеющий определенную квалификацию, при инспекции оборудования на станции определяет, выполнены или нет при проектировании и на монтаже те требования, которые устанавливаются для того или иного оборудования в целях обеспечения его сейсмостойкости. Так, например, при инспекции оборудования, для которого предусмотрены мероприятия по обеспечению сейсмостойкости, в первую очередь проводится проверка правильности выполнения этих мероприятий.

Вспомогательные трубопроводы и системы воздуховодов могут быть квалифицированы как сейсмостойкие по анализу характера расположения и типу опор. Насосы, электродвигатели и компактные теплообменники, как правило, оцениваются по качеству и типу закрепления на фундаменте.

Важным моментом при сейсмической квалификации оборудования является оценка возможного динамического взаимодействия (ударов) между отдельными элементами оборудования, а также между оборудованием и строительными конструкциями при сейсмическом воздействии. Например, не допускается соударение приводов арматур с элементами оборудования и строительными конструкциями.

При выполнении инспекций по сейсмической квалификации оборудования на каждый тип оборудования оформляются обходные листы, в которых перечислены все требования, предъявляемые к определенному типу оборудования. Специалист, выполняющий инспекцию, заполняет листы, отмечая выполнение тех или иных требований по сейсмостойкости.

11.4. Оценка сейсмостойкости

11.4.1. Оценку сейсмостойкости элементов оборудования и трубопроводов следует выполнять по допускаемым напряжениям, по допускаемым перемещениям, по критериям циклической прочности и устойчивости.

11.4.2. При оценке сейсмостойкости по допускаемым напряжениям должны учитываться только те эксплуатационные нагрузки или внутренние усилия, которые не релаксируются при возникновении в элементах местной или общей пластической деформации (весовые нагрузки, внутреннее или наружное давление, наддув, нагрузки от присоединительных коммуникаций).

11.4.3. Уровень допускаемых напряжений при оценке сейсмостойкости назначается в зависимости от категорий напряжений. Действие ПЗ приравнивается к случаю нарушения нормальных условий эксплуатации.

11.4.4. Допускаемые напряжения [o] определяются в соответствии с положениями раздела 2 Норм.

11.4.5. Оценка прочности элементов котлов, находящихся под давлением, производится по допускаемым напряжениям, приведенным в табл.11.3.

Таблица 11.3

Сочетание нагрузок и допускаемые напряжения для элементов котлов

Сочетание нагрузок Расчетная группа категорий напряжений Допускаемые напряжения
НУЭ+ПЗ o_ms 1,3[o]
НУЭ+ПЗ [o_ms или o_mms ] + o_bs 1,8[o]

11.4.6. Для деталей котлов, не находящихся под давлением, в зависимости от категорий напряжений (см. табл.11.3), где коэффициент при допускаемых напряжениях должен умножаться на 1,1 с округлением в сторону меньшей величины.

11.4.7. Средние напряжения смятия не должны превышать:

для подвижных шарниров o_cms = 2[o],

для неподвижных шарниров o_cms = 3[o].

11.4.8. Средние касательные напряжения, вызванные срезывающими нагрузками, в шарнирах подвесок, сварных швах и т.п. не должны превышать т = 0,8[o].

11.4.9. Средние напряжения растяжения по сечению резьбовой части подвесок, вызванные действием весовых и сейсмических нагрузок, не должны превышать величины 0,95[o].

Приведенные напряжения, определенные по суммам составляющих средних напряжений растяжения, изгиба и кручения в резьбовой части подвесок при сейсмических воздействиях, не должны превышать величины 1,65[o].

Средние касательные напряжения, вызванные действием весовых и сейсмических нагрузок в резьбе подвесок, не должны превышать т = 0,8[o].

11.4.10. Расчет на циклическую прочность проводится в соответствии с требованиями подраздела 5.4. При этом максимальная амплитуда напряжений определяется с учетом действия ПЗ и число циклов нагружения принимается равным 50.

Расчет на циклическую прочность не проводится, если повреждаемость от всех видов нагрузок на элементы котла не превышает 0,8.

11.4.11. Величины допускаемых перемещений (прогиб, смещение и т.п.) следует задавать в зависимости от условий эксплуатации и требований к жесткости элементов конструкции (предотвращение выбора зазора и соударения элементов, недопустимые перекосы и т.п.).

11.4.12. Оценка прочности элементов опор котлов и трубопроводов выполняется по соответствующим СНиП и по всем относящимся к ним нормативным документам с учетом сейсмических нагрузок, полученных расчетом на сейсмостойкость по настоящим Нормам.

11.5. Общие принципы построения динамических моделей

11.5.1. Динамическая модель оборудования или трубопровода при анализе сейсмостойкости - это динамическая система с конечным числом степеней свободы, достаточно полно отражающая основные динамические свойства рассматриваемой конструкции, по реакции которой на заданное сейсмическое воздействие оценивается сейсмостойкость реальной конструкции.

11.5.2. Оборудование и трубопроводы могут быть представлены пространственными или плоскими динамическими моделями.

11.5.3. Плоская динамическая модель - это динамическая система, движение точек которой происходит в одной плоскости, а ее упругие связи работают при плоском деформированном состоянии.

11.5.4. Плоскую динамическую модель допускается использовать в тех случаях, когда конструкция имеет плоскость симметрии. В других случаях необходимо специальное обоснование возможности использования плоской модели.

11.5.5. Масса конструкции, создающая при колебаниях инерционные нагрузки, сосредоточивается в узловых точках (узлах) динамической модели.

11.5.6. Общие принципы построения расчетных моделей

11.5.6.1. Основная задача построения динамической модели при анализе сейсмостойкости состоит в определении рационального уровня идеализации конструкции, обеспечивающего необходимую точность оценки динамической реакции системы.

11.5.6.2. Динамические характеристики котла определяются инерционными, упругими и диссипативными параметрами конструктивных элементов.

11.5.6.3. Построение динамической модели проводится в такой последовательности:

предварительная разбивка системы на составные элементы;

назначение узловых точек;

назначение обобщенных координат;

определение инерционных и упругих характеристик;

анализ собственных частот отдельных структурных подсистем;

оптимизация параметров динамической модели.

11.5.6.4. При построении упругой схемы динамической модели в первую очередь руководствуются требованиями, предъявляемыми к расчетным моделям при оценке статической прочности. Дополнительно учитываются особенности элементов конструкции, динамическая работа которых отличается от статической (подвески, соединения с зазорами, демпфирующие устройства и т.п.).

Разбивка системы на элементы приводит ее к дискретному виду, учитывающему динамические особенности взаимодействия отдельных элементов и их влияние на динамическую реакцию системы.

11.5.6.5. Разбивка системы на элементы производится с таким расчетом, чтобы узлы динамической модели располагались в местах наибольшей концентрации массы и наибольшей податливости конструкции, а также в точках, движение которых определяет взаимодействие элементов системы при колебаниях (места разветвления, присоединения к конструкции связей, демпферов и т.п.).

11.5.6.6. Для назначения обобщенных координат могут быть применены два подхода: формальный и аналитический.

При формальном подходе узловые точки назначаются в каждом граничном сечении составных элементов динамической модели. Каждый узел имеет от 3 до 6 степеней свободы, и анализ парциальных систем в этом случае не производится.

Аналитический подход предполагает анализ динамической модели, на основании которого исходя из заранее установленного уровня высшей собственной частоты расчетной динамической модели производится уточнение параметров динамической модели.

11.5.6.7. Так как сейсмическое воздействие представляет собой относительно низкочастотный процесс, характеризуемый частотным спектром от 0,1 до 30 Гц, при анализе сейсмостойкости линейно упругих систем рекомендуется расчетные модели строить таким образом, чтобы значения парциальных частот не превышали 120-150 Гц.

Для нелинейных систем граничный частотный уровень принимается с учетом условий динамической работы элементов с нелинейными характеристиками.

11.5.6.8. При определении инерционных параметров рекомендуется использовать следующее:

в протяженных системах с равномерно распределенной массой и погонной изгибной жесткостью (трубопроводы, балки и т.п.) инерционные параметры в узлах принимаются равными значению половины массы примыкающих к ним участков, заключенных между соседними узлами;

для элементов конструкции, которые можно представить жестким телом, в узел, расположенный в центре масс, приводится вся масса тела;

массовые моменты инерции для жесткого тела, соответствующие угловым обобщенным координатам, определяются относительно осей, проходящих через его центр масс.

11.5.6.9. Жесткостные характеристики упругих элементов динамической модели определяются на основании анализа работы элементов конструкции при всех возможных перемещениях узлов по направлению заданных обобщенных координат.

При этом в общем случае учитывается деформация изгиба, растяжения-сжатия, сдвига и кручения.

11.5.6.10. При расчете котлов подвесного типа в динамической модели необходимо учитывать жесткости присоединительных коммуникаций (газоходов, воздуховодов и трубопроводов).

Для оценки сейсмостойкости опорно-подвесной системы котлов подвесного типа динамическая модель котла должна быть построена таким образом, чтобы учесть все возможные перемещения элементов системы, влияющие на изменение нагрузки на подвески.

11.5.6.11. Учет влияния параметров диссипации в конструкции оборудования и трубопроводов при колебаниях производится введением в расчет относительного демпфирования, рекомендуемые значения которого для различных конструкций приведены в табл. 11.4.

Таблица 11.4

Значение относительного демпфирования k (в долях от критического)

Элементы конструкции Значение относительного демпфирования
Трубопроводы большого диаметра (Dy > 100 мм) и оборудование (теплообменники и т.п.) 0,02
Трубопроводы малого диаметра (Dy < 100 мм) и внутренние элементы котла (ширмы, ПП, ЭК и т.п.) 0,01
Газоходы и воздуховоды котлов подвесного типа 0,1
Металлоконструкции котла:
сварные 0,02
на болтах 0,04
Бетонные конструкции:
предварительно напряженные 0,02
армированные 0,04

Примечание. При расчете котлов подвесного типа по ЛСМ значение относительного демпфирования для системы котел-здание (каркас) принимается k = 0,05.

11.6. Методы расчета на сейсмостойкость

11.6.1. Статический метод

11.6.1.1. Величины сосредоточенной сейсмической нагрузки, действующей независимо в двух горизонтальных и вертикальном направлениях на k -ю точку опорной конструкции или корпуса котла (кроме корпусов подвесных котлов), определяются по следующей зависимости:

где Mk - сосредоточенная масса конструкции котла, кг;

Kb - коэффициент балльности, значение которого определяется по табл.11.6;

Таблица 11.6*

Значения коэффициента Kb

Балльность 7 8 9
Kb 0,25 0,5 1,0

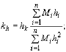
k_h - коэффициент высоты размещения элемента конструкции

здесь n - число сосредоточенных масс;

hk - высота отметки расположения k-массы, м.

11.6.1.2. При определении сейсмической нагрузки, действующей на котел в вертикальном направлении, значение k_b по п.11.6.1.1 уменьшается в два раза, а k_h принимается равным 0.

11.6.1.3. При расчете котлов подвесного типа горизонтальная сейсмическая нагрузка, действующая на корпус котла, определяется по зависимости

Qk = 0,8Mk k_b k_i g,

где k_i - коэффициент интенсивности колебаний корпуса, принимаемый равным значению собственной частоты колебаний корпуса (в Гц), но не более 2.

Вертикальная сейсмическая нагрузка на корпус подвесного котла определяется по зависимости

Qk = 0,8Mk k_b k_i g

В этом случае при определении значения k_i учитывается суммарная вертикальная жесткость подвесок и k_b умножается на 2 / 3.

11.6.1.4. Сейсмические нагрузки на отдельные элементы котлов и оборудование, установленное на котле, определяются по зависимости

Qok = Mo Qk k_oi,
Mk

где Mo - масса отдельного оборудования, кг;

k_oi - коэффициент интенсивности колебаний оборудования, принимаемый равным значению низшей собственной частоты оборудования (в Гц), но не более 3.

Для оборудования, жестко закрепленного на котле, k_oi = 1.

11.6.2. Линейно-спектральный метод

11.6.2.1. Для использования ЛСМ определяют собственные значения и векторы рассматриваемой динамической системы.

Значения собственных частот определяются численным решением задачи о собственных значениях:

где - круговая частота n-й формы собственных колебаний;

{Фn} - собственный вектор для n-й формы;

[K] - матрица жесткости;

[M] - матрица масс.

11.6.2.2. Определяется вектор инерционных сейсмических нагрузок, действующих в направлении обобщенных координат системы при колебаниях по каждой форме:

[Fn] = [M]{Фn}Cn an,

где [Fn] - вектор сил для n-й формы собственных колебаний;

Cn - фактор "участия" массы для n-й формы собственных колебаний:

a_n - спектральное ускорение, определенное по частоте для n-й формы.

Для оборудования и трубопроводов, расположенных на различных отметках строительных конструкций, рекомендуется проводить расчет на многоопорное воздействие, при котором учитываются особенности поэтажных спектров ответа на каждой отметке закрепления.

11.6.2.3. Определение расчетных внутренних усилий (напряжений) в каждом рассматриваемом сечении системы производится с использованием следующих правил процедур:

суммирования по формам и направлениям - корень квадратный из суммы квадратов

суммирования по группам поэтажных спектров - по абсолютной величине

[F] = [F1] + [F2] + [F3] + ...;

учета высших форм колебаний.

11.6.3. Метод динамического анализа

11.6.3.1. Для анализа динамического поведения системы рассматривается следующее уравнение движения:

(1)

где M - диагональная матрица масс;

C - матрица демпфирования;

K - матрица жесткости;

r - вектор направляющих косинусов между сейсмическим воздействием и обобщенными координатами;

X"g(t) - сейсмическое воздействие, определенное в терминах ускорения грунта (основания);

Fe - вектор реактивных сил, возникающих от дополнительных, в том числе от нелинейных, связей системы;

X - вектор узловых перемещений;

X` - вектор узловых скоростей;

X" - вектор узловых ускорений.

Для решения уравнения (1) выполняется модальное преобразование:

X = Ф x Y , (2)

где Ф - матрица, состоящая из n столбцов форм собственных колебаний системы;

Y - новые модальные обобщенные координаты.

После подстановки (2) в (1) и домножения всего уравнения слева на получим:

(3)

Учитывая свойства ортогональности матриц масс, жесткости и демпфирования, можно записать:

(4)

* (5)

(6)

где I - единичная матрица;

- диагональная матрица модального демпфирования;

- диагональная матрица модальной жесткости;

- n-я собственная частота колебаний системы;

- коэффициент модального демпфирования, соответствующий n -й собственной частоте.

После указанных преобразований уравнение (3) принимает вид:

(7)

где

(8)

Вектор Bn, представленный в правой части уравнения (7), может трактоваться как модальный вектор внешних и реактивных нагрузок. Следует отметить, что если размерность исходной системы уравнений (1) соответствует общему числу степеней свободы, представленных в расчете (поступательные и вращательные перемещения расчетных сечений системы), то размерность уравнения (7) соответствует числу форм собственных колебаний, учитываемых в расчете.

В рамках метода динамического анализа уравнение движения системы (7) решается прямым пошаговым интегрированием этих уравнений с применением центрально-разностной схемы. Начальные условия (перемещения, скорости и ускорения точек системы в нулевой момент времени) предполагаются нулевыми. Может быть применена следующая конечно-разностная аппроксимация для текущих значений скоростей и ускорений:

(9)

(10)

Подставляя соотношения (9) и (10) в (7), получим выражение для :

(11)

(12)

Приложение
Справочное

ТЕРМИНЫ И ОПРЕДЕЛЕНИЯ

Землетрясение (сейсмическое воздействие) - колебания земли, вызываемые прохождением сейсмических волн, излученных из какого-либо очага упругой энергии.

Интенсивность землетрясения - мера величины сотрясения грунта, определяемая параметрами движения грунта, степенью разрушения сооружений и зданий, характером изменений земной поверхности и данными об испытанных людьми ощущениях.

Сейсмичность площадки строительства - интенсивность возможных сейсмических воздействий на площадке строительства с соответствующими категориями повторяемости за нормативный срок. Сейсмичность устанавливается в соответствии с картами сейсмического районирования и (или) микрорайонирования площадки строительства. Она измеряется в баллах по шкале МSК-64.

Сейсмостойкость энергетического оборудования - способность конструкции сохранять в определенной степени прочность, устойчивость, герметичность и работоспособность при землетрясении.

Акселерограмма землетрясения - зависимость от времени абсолютного ускорения грунта (основания) для определенного направления в виде графика или в табличной форме (оцифровка).

Аналоговая акселерограмма - запись реального землетрясения, используемая для расчета на сейсмостойкость.

Синтезированная акселерограмма - акселерограмма, полученная аналитическим путем на основе обработки и статистического анализа ряда аналоговых акселерограмм.

Ответная акселерограмма - акселерограмма точки конструкции, определяемая из расчета вынужденных колебаний при сейсмическом воздействии.

Поэтажная акселерограмма - ответная акселерограмма отдельных высотных отметок сооружения, на которых установлено оборудование.

Спектр ответа (реакций) - совокупность абсолютных значений максимальных ответных ускорений линейно-упругой системы с одной степенью свободы (осциллятора) при воздействии, заданном акселерограммой; эти значения определяются в зависимости от собственной частоты и значения относительного демпфирования осциллятора.

Расширенный спектр ответа - спектр, полученный путем расширения пиков спектра ответа в целях повышения надежности выполняемых расчетов на сейсмостойкость.

Огибающий спектр ответа - спектр, полученный по результатам обработки спектров ответа, для набора аналоговых и (или) синтезированных акселерограмм.

Спектр коэффициентов динамичности - безразмерный спектр, полученный делением значений спектра ответа на максимальное пиковое значение ускорения соответствующей акселерограммы.

Статический метод расчета на сейсмостойкость - упрощенный метод, согласно которому распределение сейсмических нагрузок, действующих на конструкцию, принимается подобным распределению массы, а величины этих нагрузок определяются при помощи набора коэффициентов.

Линейно-спектральный метод расчета на сейсмостойкость - метод, в котором величины сейсмических нагрузок определяются по спектрам ответа в зависимости от частот и форм собственных колебаний конструкции.

Метод динамического анализа сейсмостойкости - метод численного интегрирования уравнений движения, применяемых для анализа вынужденных колебаний конструкции при сейсмическом воздействии, заданном акселерограммами землетрясений.

Проектное землетрясение - землетрясение со средней повторяемостью один раз за срок службы станции.

Нормальные условия эксплуатации - стационарный режим работы оборудования при номинальной производительности.

12. КОНТРОЛЬ ВИБРОПРОЧНОСТИ ТРУБОПРОВОДОВ И ТРУБНЫХ ЭЛЕМЕНТОВ ОБОРУДОВАНИЯ И КОТЛОВ

12.1. Общие положения

В разделе рассмотрены основные требования к контролю вибропрочности для трубопроводов и оборудования, подвергающихся вибрационному нагружению при установившейся и неустановившейся вибрации. Приведены критерии для оценки допустимого уровня вибрации и рекомендации по снижению вибрации (при необходимости).

Расчет на вибропрочность и контроль вибропрочности проводятся применительно к элементам конструкций энергооборудования и трубопроводов, подвергающихся вибрационному нагружению.

Установившаяся вибрация. Повторяющаяся вибрация, которая имеет место за относительно длительный период времени в течение нормальной эксплуатации.

Неустановившаяся вибрация. Вибрация, которая имеет место в относительно короткий период времени.

Примеры источников неустановившейся вибрации: запуск и выключение насосов, быстрое открытие и закрытие клапанов, срабатывание предохранительных клапанов.

12.2. Классификация оборудования при контроле вибропрочности

При контроле на вибропрочность оборудование и трубопроводы разделяются на группы.

Группа 1. Трубопроводы I и II категории в соответствии с Правилами устройства и безопасной эксплуатации трубопроводов горячей воды и пара (далее Правила); основные элементы котла и трубопроводы в пределах котла, влияющие на выработку пара.

Группа 2. Трубопроводы с двухфазной средой.

Группа 3. Трубопроводы III и IV категории в соответствии с Правилами; второстепенные элементы котла.

12.3. Основные методы контроля вибропрочности

12.3.1. Расчетный контроль вибропрочности на стадии проектирования оборудования

Проводится для оборудования, относящегося к 1 группе, и заключается в определении собственных частот для проверки отстройки их от частот детерминированного возбуждения.

В качестве детерминированных частот возбуждения рекомендуется принимать основные частоты вращающихся механизмов, частоту электромагнитных сил и частоту гидродинамических сил, связанную с образованием вихрей. Условия отстройки собственных частот для первых трех форм колебаний в каждой плоскости записываются в виде

fi >= 1,3 или fi >= 0,7,
f f

где fi - низшая собственная частота колебаний ( 1, 2, 3);

f - частота возбуждения.

12.3.2. Методы контроля вибропрочности в процессе пусконаладочных работ и эксплуатации

12.3.2.1. Визуальный метод

Применим для оборудования и трубопроводов, относящихся к группе 2 и 3.

Цель данного метода - определение максимальных амплитуд и мест возможных соударений. Место или места наибольших отклонений могут быть установлены визуально. Амплитуда виброперемещений может быть установлена с помощью простых измерительных устройств.

Если выявлен приемлемый уровень вибрации, никаких дальнейших измерений или оценок не требуется. Наблюдатель должен нести ответственность за собственную оценку того, является ли данный уровень вибрации приемлемым.

Основанием для подобного решения может быть только оценка всех следующих факторов с точки зрения их влияния на напряжения в трубопроводе:

амплитуда вибрации и ее месторасположение;

близость к "чувствительному оборудованию";

режим работы присоединенных ветвей трубопровода;

характеристики опор ближайших компонентов.

Любые особенности работы системы должны быть учтены при оценке.

Если невозможно дать приемлемую оценку отклонениям по результатам наблюдений, необходимо прибегнуть к измерениям (в соответствии с п. 12.3.2.2).

Для исключения возможных соударений произвольных элементов, расположенных с зазором , должно быть выполнено условие

|A1| + |A2| < ,

где A1, A2 - амплитуды виброперемещений соответствующих элементов.

12.3.2.2. Инструментальные методы

Применимы для всех групп оборудования. Контроль проводится на основании замеров параметров вибрации в процессе работы оборудования.

С помощью соответствующей аппаратуры замеряются значения перемещений или виброскоростей в характерных точках.

12.3.2.2.1. Метод перемещений

Предельные вибрационные отклонения трубопроводной системы зависят от большого числа предположений относительно геометрических характеристик системы и свойств материала со многими комбинациями переменных. Необходимо разбивать трубопроводные системы на более мелкие подсистемы, которые могут быть физически определены и смоделированы. Консервативная оценка приемлемости измеренных вибрационных отклонений может быть проведена путем их сравнения с допускаемыми предельными отклонениями, вычисленными для подсистем.

Измерения производятся по длине трубопровода для определения точек с максимальными отклонениями и для установления узловых точек с минимальным отклонением. Узловые точки определяют длины пролетов (границы подсистем). Узловые точки (точки с нулевыми отклонениями) обычно совпадают с точками закрепления, но на длинных участках трубопровода могут располагаться между опорами.

Предельные отклонения для характерных участков трубопроводов (подсистем) могут быть определены по формуле

где [o_a] - допускаемая амплитуда напряжений, определенная по расчетным кривым малоцикловой усталости и равная минимальному значению при максимальном числе циклов;

i - коэффициент интенсификации или коэффициент местных напряжений;

E - модуль упругости материала с учетом температуры;

L - длина характерного участка;

D_0 - наружный диаметр трубы;

K - коэффициент конфигурации (таблица).

Разбиение трубопровода на соответствующие элементы (подсистемы), которые необходимы для определения допускаемых отклонений, рекомендуется проводить на основании результатов измерений перемещений.

Тип подсистемы K
Одиночный пролет (шарнирное опирание на опорах) 9,86
Одиночный пролет (одна опора, шарнирное опирание, вторая заделка) 25,60
Одиночный пролет (заделка на обеих опорах) 16,60
Консольный пролет  

Элементы трубопроводов более широко можно разделить на две категории по признаку их закрепления: 1) один конец закреплен, другой свободен; 2) оба конца закреплены. Эти категории затем подразделяются на более мелкие, основанные на различных комбинациях одиночных пролетов и двух пролетов, соединенных под 90°. Отклонения измеряются в плоскости колена и из плоскости колена. Предполагается, что вращательные связи в точках закрепления зафиксированы для более консервативного определения допускаемого предела отклонений. Перечень основных типов подсистем трубопровода приведен выше.

12.3.2.2.2. Метод скоростей

Метод требует консервативного измерения скоростей в различных точках трубопроводной системы для определения точки с максимальной виброскоростью. Когда местоположение этих точек установлено, в них производятся окончательные измерения максимальных скоростей v_max, и затем они сравниваются с пиковыми значениями виброскорости [v]. Критерий v_max =< [v].

При значениях [v] до 15 мм/с не требуется проверки вибропрочности.

При значениях [v] =15-25 мм/с требуется расчетная проверка на основании подробных измерений (с определением спектров виброскоростей).

При значениях [v] свыше 25 мм/с принимаются меры для снижения вибрации.

Величину [v] также можно определить аналитически, разделив значение [] на частоту собственных колебаний подсистемы.

12.3.2.2.3. Расчет на циклическую прочность с учетом вибронапряжений

Расчет на циклическую прочность с учетом высокочастотного нагружения проводится в тех случаях, когда низкочастотные циклические напряжения, связанные с пуском, остановкой, изменением мощности, срабатыванием аварийной защиты или с другими режимами, сопровождаются наложением высокочастотных напряжений, вызванных, например, вибрацией или пульсацией температур при перемешивании потоков теплоносителя с различной температурой.

Исходные данные о высокочастотном нагружении получаются при анализе результатов измерений при эксплуатации элемента конструкции или их расчетом.

Условие прочности при наличии различных циклических нагрузок проверяется по формуле

где Ni - число циклов i-го типа за время эксплуатации;

k - общее число типов циклов;

(N_0)i - допускаемое число циклов i -го типа;

a - накопленное усталостное повреждение, предельное значение которого (a_N) = 1.

В общем случае

a = a1 + a2 + a3 < [a_N],

где a1 - повреждение от эксплуатационных циклов нагружения, на которые не наложены высокочастотные напряжения;

a2 - повреждения от высокочастотных напряжений при постоянных эксплуатационных напряжениях (стационарные режимы);

a3 - сумма повреждений от высокочастотных напряжений в течение циклов переменных напряжений на переходных эксплуатационных режимах a*3 и при прохождении резонансных частот a**3 в тех же циклах.

При расчете повреждения a2 в случае узкополостного спектра используются максимальная среднеквадратическая амплитуда высокочастотных местных напряжений и соответствующая ей частота.

При широкополостном спектре значение a2 определяется как сумма повреждений для тех амплитуд местных напряжений и соответствующих им частот, которые вызывают повреждения более 10% максимального повреждения на одном из сочетаний амплитуды - частоты из всего спектра. Асимметрия цикла определяется с учетом среднего напряжения, принимаемого равным постоянному местному напряжению от механических и тепловых нагрузок с включением остаточных напряжений растяжения.

Повреждение a*3 определяется с учетом максимальных амплитуд высокочастотных напряжений без учета концентрации и соответствующих им частот для каждого типа цикла переменного напряжения на переходных режимах.

Повреждение a**3 определяется с учетом максимальной амплитуды высокочастотного напряжения при прохождении резонанса. Число циклов определяется с учетом времени эксплуатации в условиях резонанса. Асимметрия цикла высокочастотного нагружения определяется местным напряжением от механических и тепловых нагрузок при эксплуатации с учетом остаточных напряжений растяжения для середины интервала времени, соответствующего резонансу.

12.3.2.3. Экспериментально-расчетный метод

Основной задачей этой проверки является получение точной оценки вибронапряжений в трубопроводной системе исходя из измеренного вибрационного поведения.

12.3.2.3.1. Метод ответа по формам

Этот метод требует, чтобы перемещения по формам и собственные частоты системы были определены из экспериментальных данных. Метод также требует, чтобы был выполнен расчет на собственные значения, результатами которого являются аналитически определенные собственные частоты и формы, а также вектор модальных напряжений (напряжения в каждой точке по каждой форме) или изгибающих моментов, соответствующих собственным векторам. Полученные аналитически и измеренные собственные частоты и формы трубопроводной системы сопоставляются и затем с помощью вектора модальных напряжений определяются истинные напряжения в трубопроводе.

Для определения собственных частот и модальных перемещений система должна быть оснащена большим количеством датчиков, которые могут измерять скорость, перемещение или ускорение. Места установки датчиков должны выбираться как можно ближе к точкам, включенным в расчетную модель системы.

Запись измерений должна быть продолжительной.

Обработка данных при установившейся вибрации должна сводиться к получению амплитуды перемещений по каждой доминирующей форме системы.

Измеренные модальные перемещения и сопоставленные с ними аналитические должны использоваться для получения точной оценки вибронапряжений (или моментов) в трубопроводной системе. Полученные напряжения не должны превышать допускаемых значений [o_a].

12.3.2.3.2. Метод измерения напряжений

Для прямого измерения напряжений при установившейся и неустановившейся вибрации можно использовать тензодатчики.

Трубопроводная система должна быть оснащена достаточно большим количеством тензодатчиков в районе точек, где появление максимальных напряжений наиболее вероятно. Тензодатчики должны располагаться как можно ближе к местам концентрации напряжений.

Экспериментально полученные напряжения не должны превышать допускаемых значений.

12.4. Мероприятия по устранению вибрации

Если вибрация трубопровода превышает уровень, при дальнейшей оценке рекомендуется выяснить, надо ли предпринять меры для снижения вибрации. Возможные корректирующие действия включают идентификацию и снижение или устранение вызывающей вибрацию нагрузки, отстройку от резонансных частот посредством модификации, изменения в режиме эксплуатации для устранения причин вибрации или установку демпфирующих устройств.

После проведения мероприятий по снижению вибрации необходимы повторные измерения для определения эффективности проведенных мероприятий.

Если для снижения вибрации требуется введение дополнительных связей или модификация системы, то при необходимости расчет трубопроводной системы должен быть повторен с учетом этих изменений.

Приложение
Рекомендуемое

ДЕТЕРМИНИРОВАННЫЕ ЧАСТОТЫ ВОЗМУЩЕНИЯ

В качестве детерминированных частот возмущения принимают:

1) основную частоту вращения вала насоса:

где n - частота вращения вала, мин(-1);

2) частоту электромагнитных сил, вызванную наличием пазов в статоре и роторе приводных электродвигателей насосов:

где z_p - число пазов ротора;

3) частоту гидродинамических сил, определяемую количеством лопаток z рабочего колеса насоса:

.