Нормы расчета на прочность стационарных котлов и трубопроводов пара и горячей воды. РД 10-249-98

(утв. Постановлением Госгортехнадзора РФ от 25.08.1998 N 50) (раздел 4)
Редакция от 13.07.2001 — Действует

РУКОВОДЯЩИЕ ДОКУМЕНТЫ ГОСГОРТЕХНАДЗОРА РОССИИ

НОРМЫ
РАСЧЕТА НА ПРОЧНОСТЬ СТАЦИОНАРНЫХ КОТЛОВ И ТРУБОПРОВОДОВ ПАРА И ГОРЯЧЕЙ ВОДЫ

РД 10-249-98

(в ред. Изменения N 1, утв. Постановлением Госгортехнадзора России от 13.07.2001 N 31)

Дата введения 2001-09-01

Разделы 1 - 3, 5, 6 - 7, 8, 9, 10 - 12 Норм расчета на прочность стационарных котлов и трубопроводов пара и горячей воды, включены в систему отдельными документами

УТВЕРЖДЕНЫ постановлением Госгортехнадзора России от 25.08.1998 N 50

Редакционная коллегия: В.С.Котельников, Н.А.Хапонен, А.А.Шельпяков (Госгортехнадзор России)

Ю.К.Петреня, Е.Э.Гильде, А.В.Судаков, А.А.Чижик, И.А.Данюшевский, П.В.Белов, А.М.Рейнов (АООТ НПО ЦКТИ им. И.И.Ползунова)

4. ОПРЕДЕЛЕНИЕ КОЭФФИЦИЕНТОВ ПРОЧНОСТИ

4.1. Общие положения

4.1.1. Условные обозначения

4.1.1.1. В формулах приняты следующие обозначения, представленные в табл.4.1.

Таблица 4.1

Символ Название Единица измерения
1 2 3
D_m Средний диаметр детали мм
d Диаметр отверстия мм
d_1 Диаметр гнезда под штуцер или крышку лючка в детали мм
t, t_1 Расстояние между центрами соседних отверстий в продольном (для выпуклых днищ в любом направлении) и поперечном направлениях, принимаемое по средней окружности мм
h Глубина гнезда под штуцер или крышку лючка мм
l_w Расстояние от кромки отверстий до центра сварного шва мм
Расчетный коэффициент прочности детали  
_w Коэффициент прочности сварных соединений при a_w = 0  
_d Коэффициент прочности деталей, ослабленных неукрепленными отверстиями  
_c Коэффициент прочности деталей, ослабленных отверстиями с учетом укрепления  
0d > 0c Коэффициенты прочности одиночного неукрепленного и укрепленного отверстия соответственно  
z Коэффициент, определяющий отношение диаметра отверстия к зоне его влияния  
Сумма компенсирующих площадей укрепляющих деталей мм2
l Протяженность зоны влияния отверстия по сечению расчетной детали, учитываемая в укреплении мм
ls Протяженность зоны влияния отверстия по сечению штуцера, учитываемая в укреплении мм
min >max Минимальный и максимальный коэффициенты прочности при разных расстояниях между отверстиями ряда  
D_a Наружный диаметр расчетной детали мм
D Внутренний диаметр расчетной детали мм
s Номинальная толщина стенки мм
s_f Фактическая толщина стенки мм
c Суммарная прибавка к толщине стенки мм
c_2 Эксплуатационная прибавка к толщине стенки мм
[o] Номинальное допускаемое напряжение МПа
p Расчетное давление МПа
d_a Наружный диаметр штуцера или трубы (ответвления) мм
ds Внутренний диаметр штуцера или трубы (ответвления) мм
d_y Условный диаметр отверстия, используемый в расчетах при различных диаметрах расточки отверстия по толщине стенки мм
d_e Эквивалентный диаметр отверстия, используемый в расчетах при отбортованных кромках отверстия внутрь или наружу расчетной детали мм
s_0 Минимальная толщина стенки без учета прибавок и ослаблений отверстиями или сварными соединениями мм
a_w Угол между направлением сварного шва и расчетным направлением, т.е. продольным направлением для цилиндрических деталей при расчете на внутреннее давление и поперечным направлением при расчете на осевое усилие (0 =< a_w =< 90) град
a_d Угол между расчетным (продольным) направлением и направлением между центрами рассматриваемых соседних отверстий (0 =< a_d =< 90) град
F_0 Площадь металла между кромками отверстий мм2
F_t Полная площадь между центрами отверстий мм2

4.1.1.2. В случае необходимости приведенные в п. 4.1.1.1 обозначения следует дополнить индексами c, n и b, относящимися соответственно к штуцерам, накладкам и воротникам, а также к вытянутым горловинам.

4.1.1.3. Все значения используемых в расчетах величин следует принимать номинальными без учета допускаемых отклонений.

4.1.2. Средний диаметр цилиндрической детали или выпуклого днища

4.1.2.1. Если номинальным диаметром детали является наружный диаметр, то средний диаметр следует определять по формуле Dm = Da - c.

4.1.2.2. Если номинальным диаметром детали является внутренний диаметр, то средний диаметр следует определять по формуле Dm = Da + c..

4.1.3. Расчетный коэффициент прочности

4.1.3.1. Расчетный коэффициент прочности представляет собой относительную величину, используемую в формулах для определения толщины стенки расчетной детали и учитывающую ослабление отверстиями и сварными соединениями.

4.1.3.2. Коэффициент прочности сварных соединений _w представляет собой отношение предельной нагрузки, действующей в направлении, перпендикулярном к направлению сварного соединения (т.е. при a_w = 0), к предельной нагрузке бесшовной детали.

4.1.3.3. Коэффициент прочности детали _d или _c, учитывающий отверстия, представляет собой отношение предельной нагрузки детали с отверстиями к предельной нагрузке детали без отверстий.

Указанное отношение нагрузок допускается заменять отношением среднего напряжения в детали без отверстий к среднему напряжению детали с отверстиями или отношением соответствующих площадей тех же самых сечений (см. п. 4.3.3.10). При этом рассматриваются напряжения или сечения между отверстиями или по отверстию, перпендикулярные направлению действия расчетной нагрузки или приведенные к этому направлению.

4.1.3.4. Расчетный коэффициент прочности детали принимается равным либо минимальному из значений коэффициентов прочности сварных соединений _w и отверстий _d, либо их произведению в зависимости от расстояния между кромкой ближайшего к сварному шву отверстия и центром сварного шва l_w.

4.1.3.5. Если расстояние l_w равно или менее , или менее 50 мм, или кромка отверстия пересекает (полностью или частично) сварной шов (рис. 4.1), то расчетный коэффициент прочности следует определять по формуле

Рис. 4.1: I - I - расчетное направление (для цилиндрической детали при расчете на внутреннее давление - продольная ось); II - II - средняя линия сварного соединения; III - III - направление расчетной нагрузки

В остальных случаях для расчетного коэффициента прочности должно выполняться условие

При наличии укрепленных отверстий в формулах следует принимать _c взамен _d.

4.1.3.6. Для бесшовных деталей расчетный коэффициент прочности следует принимать равным коэффициенту прочности деталей, ослабленных отверстиями _d или _c.

4.1.3.7. Для деталей, не имеющих отверстий, или с одиночным отверстием, размеры которого должны удовлетворять условию , или с рядами полностью укрепленных отверстий (_c = 1), расчетный коэффициент прочности следует принимать равным коэффициенту прочности сварного соединения .

4.1.3.8. Во всех случаях коэффициенты прочности , а также не должны приниматься более единицы.

Сварные соединения с коэффициентом прочности _w менее 0,5 не допускаются.

4.1.3.9. Линейным рядом отверстий (который для упрощения называется рядом отверстий) являются отверстия в количестве двух и более, расположенные в одном направлении (по одной линии) на поверхности детали. Отверстия, центры которых отстоят от указанного направления на 15° и менее, могут считаться входящими в ряд отверстий (рис.4.2).

Отверстие А в направлении слева направо входит в ряд отверстий, так как угол a <15°, и расчет допускается производить без учета угла как для продольного ряда.

Отверстие А в направлении справа налево не входит в продольный ряд отверстий, так как угол y >15°, и расчет производят как для косого ряда.

Рис. 4.2

4.1.3.10. Рядом одиночных отверстий называется ряд отверстий, расстояния между кромками которых составляют не менее

2

4.2. Коэффициенты прочности сварных соединений

4.2.1. Коэффициенты прочности стыковых соединений

4.2.1.1. Коэффициент прочности стыковых сварных соединений, выполненных любым допущенным способом (автоматической, полуавтоматической или ручной дуговой сваркой), обеспечивающим полный провар по всей длине стыкуемых элементов, при проведении контроля качества шва радиографией или ультразвуком по всей длине шва для продольного шва под давлением и поперечного шва при растяжении должен приниматься следующим:

для углеродистой, низколегированной марганцовистой, хромомолибденовой (в том числе 10СrМо910) и аустенитной сталей _w = 1,0;

для хромомолибденованадиевой и высокохромистой сталей при ресурсе до 2·x 10(5) ч:

при электрошлаковой сварке _w = 1,0;

при ручной дуговой сварке, контактной стыковой сварке, автоматической стыковой сварке под флюсом:

для расчетной температуры 510 °С и менее _w = 1,0;

для расчетной температуры 530 °С и более _w = 0,7;

при электронно-лучевой сварке:

для расчетной температуры 510 °С и менее _w = 1,0;

для расчетной температуры 530 °С и более _w = 0,9;

При расчетной температуре от 510 до 530 °С значение коэффициента прочности сварного соединения _w определяется линейным интерполированием между указанными значениями коэффициента прочности.

4.2.1.2. Коэффициент прочности стыкового сварного соединения, контроль качества которого УЗД или радиографией допускается производить не по всей длине каждого шва, следует принимать равным значению, приведенному в п. 4.2.1.1 и умноженному на величину: 0,8 - при выборочном контроле не менее 10% длины данного шва; 0,7 - при отсутствии контроля или при выборочном контроле менее 10%.

4.2.1.3. При наличии смещения кромок сварных труб коэффициент прочности сварного соединения, определенный в соответствии с пп. 4.2.1.1 и 4.2.1.2, должен быть уменьшен пропорционально смещению кромок, например, при смещении кромок на 15% значение коэффициента должно быть умножено на 0,85.

4.2.1.4. Если направление нагрузки совпадает с направлением сварного шва или отличается от него на угол не более 15° (90° - a_w =< 15°), то коэффициент прочности сварного соединения при расчете на данную нагрузку не учитывается. Так, при расчете на внутреннее давление цилиндрических деталей не учитывается поперечный шов, а при расчете на осевое усилие не учитывается продольный шов.

4.2.1.5. Усиление сварного шва при определении коэффициента прочности не учитывается.

4.2.1.6. Если сварное соединение нагружено изгибающими нагрузками, то при определении изгибных напряжений, действующих в поперечном направлении сварного соединения, должны применяться коэффициенты прочности сварного соединения при изгибе _bw, значения которых для катаных и кованосверленых или центробежнолитых труб с механически обработанной внутренней поверхностью должны приниматься не более приведенных в табл. 4.2.

Таблица 4.2

Значения коэффициента _bw

Сталь Трубы
катаные механически обработанные
Аустенитная хромоникелевая и высокохромистая 0,6 0,7
     
Хромомолибденованадиевая при расчетной температуре:    
  0,9 1,0
530 °С и более 0,6 0,7
     
Углеродистая, марганцовистая и хромомолибденовая 0,9 1,0
     

Примечание. При расчетной температуре от 510 до 530 °С коэффициент прочности сварного соединения при изгибе определяется линейным интерполированием между указанными значениями.

Если расчетная деталь изготовлена из листа, то значения коэффициентов прочности сварного соединения при изгибе допускается принимать по табл. 4.2 как для механически обработанных труб.

При изготовлении деталей из полуфабрикатов с полем допусков толщины стенки более 10% коэффициенты прочности сварного соединения при изгибе следует принимать по табл. 4.2 как для катаных труб.

4.2.1.7. Для хромомолибденованадиевых и высокохромистых сталей при расчетной температуре более 510 °С и ресурсе 3·x 10(5) ч значения коэффициентов прочности должны быть уменьшены на 0,1 и составят 0,6 и 0,8 вместо 0,7 и 0,9 согласно п. 4.2.1.1 и 0,5 и 0,6 вместо 0,6 и 0,7 согласно п. 4.2.1.6. Для ресурса от 2·x 10(5) до 3·x 10(5) ч значения коэффициентов прочности сварного соединения определяются линейным интерполированием между указанными значениями.

4.2.1.8. Для хромомолибденованадиевых и высокохромистых сталей при расчетной температуре более 510 °С и ресурсе 4·x 10(5) ч значения коэффициентов прочности должны быть уменьшены на 0,1 по сравнению со значениями, указанными при ресурсе 3·x 10(5) ч в п. 4.2.1.7. Значения коэффициентов прочности могут уточняться по мере накопления экспериментальных данных.

4.2.2. Коэффициенты прочности угловых сварных соединений и соединений внахлестку

4.2.2.1. При расчете угловых и тавровых сварных соединений на все виды нагрузок (кроме сжатия) коэффициент прочности _w следует принимать не более 0,8 при контроле радиографией или УЗК по всей длине шва и не более 0,6 при выборочном контроле или при отсутствии контроля.

4.2.2.2. При расчете сварных соединений внахлестку на все виды нагрузок коэффициент прочности _w следует принимать не более 0,6.

4.3. Коэффициенты прочности, учитывающие наличие отверстий

4.3.1. Диаметр отверстия

4.3.1.1. При определении коэффициентов прочности _d или _c диаметр отверстия для каждого расчетного сечения следует принимать:

для отверстий, в которых трубы развальцованы или приварены к наружной поверхности детали без расточки гнезда или с углублением для установки штуцера менее 30% толщины стенки или с углублением 30% и более, но с обеспечением полного проплавления толщины стенки штуцера и заполнением гнезда наплавленным металлом, а также для лючковых отверстий - равными диаметру отверстия в соответствии с рис. 4.3;

Рис. 4.3. Типы соединения труб (штуцеров) с расчетной деталью:
a - отверстие с завальцованной трубой (штуцером); б - отверстие с приварным штуцером (трубой) без полного проплавления толщины стенки штуцера (конструктивный зазор); в - отверстие с приварным штуцером (трубой) при полном проплавлении толщины стенки штуцера; г - отверстие с приварным штуцером (трубой) при полном проплавлении толщины стенки расчетной детали

для отверстий, имеющих по толщине стенки расточки с несколькими разными диаметрами, например с тремя диаметрами согласно рис. 4.4, - равными условному диаметру, определенному по формуле

,

где i = 1, 2, 3, ..., n. В случае если штуцер устанавливается в гнезде с полным проплавлением на глубину не менее h3, расчет условного диаметра отверстия (d_y) допускается производить по значениям двух расточек (d1, h1 и d2, h2);

Рис. 4.4. Отверстие с различными диаметрами по толщине стенки

для овальных отверстий - равными размеру отверстия в направлении ряда, рассматриваемого при определении коэффициента прочности;

для соседних отверстий ряда, имеющих разные диаметры, - равными среднеарифметическому значению диаметров;

для цилиндрических деталей и выпуклых днищ с отбортованным внутрь или наружу воротником или с вытянутой горловиной - равными эквивалентному диаметру, определенному по формуле

d_e = d + 0,25r,

где r - радиус закругления воротника или горловины по внутренней поверхности (по отношению к отверстию), мм (рис. 4.5, 4.6); должно быть r >= 5 мм;

Рис. 4.5. Вытянутая горловина

Рис. 4.6. Отбортованный воротник

для отверстий, имеющих резьбу, - равными среднему диаметру резьбы.

4.3.1.2. Снятие фасок или округление кромок с внутренней поверхности детали допускается не учитывать.

4.3.1.3. Если одиночное отверстие в барабане, коллекторе или коническом переходе имеет форму, отличающуюся от круговой с максимальным размером d1, расположенным под углом к продольному направлению, то при расчете коэффициента прочности или укрепления отверстия за расчетный диаметр одиночного отверстия должно приниматься наибольшее из следующих значений:

размера, расположенного в продольном направлении;

размера, приведенного к продольному направлению и определенного по формуле

.

При эллиптической (или близкой к ней овальной) форме отверстия с максимальным размером d1 и с минимальным d2 (рис. 4.7) за расчетный диаметр одиночного отверстия должно приниматься наибольшее из следующих значений, определяемых по формулам:

.

Рис. 4.7

Для одиночных отверстий некруговой формы, расположенных в выпуклых днищах, за расчетный диаметр отверстия следует принимать наибольший размер независимо от его направления.

4.3.2. Коэффициент прочности деталей с одиночным отверстием

4.3.2.1. Одиночным следует считать отверстие, кромка которого удалена от кромки ближайшего отверстия на расстояние не менее 2.

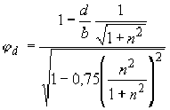
4.3.2.2. Коэффициент прочности цилиндрической детали или выпуклого днища, ослабленных одиночным неукрепленным отверстием, следует определять по формуле

,

где .

4.3.2.3. Коэффициент прочности цилиндрической детали или выпуклого днища, ослабленных одиночным укрепленным отверстием, следует определять по формуле

.

Величину коэффициента _od следует определять согласно п. 4.3.2.2.

Сумму компенсирующих площадей следует определять согласно п. 4.3.6.

4.3.2.4. Если деталь ослаблена рядом одиночных отверстий, то за расчетный коэффициент прочности следует принимать наименьшее из значений коэффициентов прочности для одиночного отверстия согласно пп. 4.3.2.2 и 4.3.2.3, а для ряда отверстий согласно пп. 4.3.3-4.3.7.

4.3.3. Коэффициент прочности цилиндрических деталей, ослабленных неукрепленными отверстиями

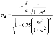
4.3.3.1. Коэффициент прочности деталей, ослабленных продольным рядом или коридорным полем отверстий с одинаковым шагом, следует определять по формуле

.

4.3.3.2. Коэффициент прочности цилиндрической детали, ослабленной поперечным рядом или полем отверстий с одинаковым шагом, следует определять по формуле

.

4.3.3.3. При шахматном равномерном расположении отверстий должны быть вычислены три значения коэффициента прочности:

в продольном направлении (для шага t = 2a) - по п. 4.3.3.1;

в поперечном направлении (для шага t1 = 2b) - по п. 4.3.3.2;

в косом направлении - по формуле

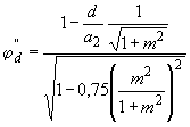
,

где m = b/a.

Окончательным должно приниматься наименьшее из трех найденных значений.

4.3.3.4. Если деталь ослаблена рядом, состоящим из двух неукрепленных отверстий с расстоянием между их кромками менее 2, то коэффициент прочности следует принимать по формуле

.

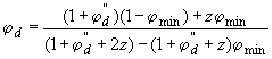
Для ряда из четырех отверстий (рис.4.8), в котором минимальное значение коэффициента прочности _min имеет место у средней пары отверстий, а по обоим направлениям от этих двух отверстий располагаются отверстия на расстояниях, определяемых коэффициентами прочности _1 и _2, значения которых удовлетворяют условию , расчетный коэффициент прочности допускается определять по формуле

.

Рис. 4.8. Ряд из четырех отверстий с неравномерным шагом

Примечание. При разных значениях диаметров соседних отверстий, различной их форме или наличии расточек следует руководствоваться п. 4.3.1.1.

Для ряда из трех отверстий, расположение которых удовлетворяет указанным выше условиям расчетный коэффициент прочности допускается определять по формуле

.

Если условие для коэффициентов прочности _1, _2 или для одного из них не соблюдается, т.е. _1 и _2 < _od, то расчетный коэффициент прочности следует определять по минимальному значению с учетом указаний пп. 4.3.2.4, 4.3.3.1-4.3.3.3, 4.3.3.6, 4.3.3.7.

Коэффициент прочности _min для ряда с тем же шагом следует определять по пп. 4.3.3.1 - 4.3.3.3 соответственно.

4.3.3.5. Для деталей, ослабленных отверстиями с неравномерным шагом, расчетный коэффициент прочности _d должен приниматься равным минимальному значению коэффициента прочности, вычисленному по отверстиям данного ряда.

4.3.3.6. Если деталь из углеродистой стали ослаблена рядом из трех неукрепленных отверстий с неравномерным шагом, то коэффициент прочности допускается принимать равным среднеарифметическому значению из коэффициентов прочности для каждого шага:

.

При косом несимметричном расположении отверстий коэффициенты прочности _min и _max должны вычисляться по формуле, приведенной в п. 4.3.3.3 соответственно при a = a1, и a = a2. Кроме того, должен быть вычислен коэффициент прочности в продольном направлении для шага t = a1 + a2 и должно быть окончательно принято наименьшее из значений для продольного шага или для несимметричного косого ряда.

Приведенный коэффициент прочности для ряда с неравномерным шагом, вычисленный по формуле данного пункта, не должен приниматься больше коэффициента прочности для ряда из двух отверстий, определенного согласно п. 4.3.3.4.

4.3.3.7. Если деталь из углеродистой стали ослаблена рядом с неравномерным периодически повторяющимся шагом, то коэффициент прочности следует определять как наименьшее из двух значений: среднеарифметического коэффициента прочности согласно п.4.3.3.6 для наихудшего сочетания двух соседних шагов и коэффициента прочности для двух смежных отверстий с минимальным шагом согласно п. 4.3.3.4.

4.3.3.8. Если деталь ослаблена рядом отверстий одинакового диаметра, частично укрепленных приваренными штуцерами, то величина коэффициента прочности должна определяться по формуле

.

Величину коэффициента прочности _d следует определять согласно пп. 4.3.3.1 - 4.3.3.5.

Сумму компенсирующих площадей , отнесенную к одному отверстию ряда, следует определять согласно п. 4.3.6.

4.3.3.9. Коэффициенты прочности детали с отверстиями равномерного или неравномерного ряда не должны превышать значения коэффициента прочности, определенного для одиночного отверстия данного ряда.

4.3.3.10. Если между отверстиями в расчетном сечении имеет место расточка или выборка металла, а также изменение толщины стенки за счет скоса внутренней или наружной поверхности, коэффициент прочности следует определять по общему правилу как отношение площади металла в сечении между кромками отверстий F_0 к полной площади между центрами отверстий F_t. В общем случае расчетный коэффициент прочности _d следует определять по формуле

.

4.3.3.11. Коэффициенты прочности цилиндрической детали при различных вариантах расположения отверстий следует определять по табл. 4.3 с учетом требований п. 4.3.3.9.

Таблица 4.3

Вариант Характеристика расположения отверстий Эскизы вариантовослабления детали отверстиями Формулы
1 2 3 4
1 Косой ряд с равными шагами
При m > 5 рекомендуется применять формулу
где n = 1 / m = a / b, m = b / a
2 Ряд отверстий с разными шагами (из углеродистой стали): Наименьшее из двух значений: среднеарифметического для наихудшего сочетания двух соседних шагов:
продольный
для двух смежных отверстий с минимальным шагом продольного, поперечного и косого расположения отверстий:
t` = t_min - минимальный шаг ,
  поперечный где
t`_1 - t_1min - минимальный шаг где
  косой
где
при m > 5 см. вариант 1
 
a_1 = a_min - минимальный шаг  
3 Зубчатый ряд с равномерным расположением отверстий: Наименьшее из трех значений:
для продольного ряда с шагом t (см. п.4.3.3.1)
продольный для косого ряда при m = b / a (см. п.4.3.3.3)
  для двух смежных отверстий (см. п.4.3.3.4)
  поперечный Наименьшее из трех значений:
  для поперечного ряда с шагом t_1 (см. п.4.3.3.2)
  для косого ряда при m = b / a (см. п.4.3.3.3)
  для двух смежных отверстий (см. п.4.3.3.4)
  m = b / a  
4 Зубчатый ряд с неравномерным расположением отверстий (из углеродистой стали): Наименьшее из следующих значений:
наименьшего из определенных для продольных рядов I - I и II - II согласно п.4.3.3.1;
наименьшего из определенных для двух соседних косых шагов:
продольный
  где
   
    наименьшего для двух смежных отверстий:
   
    где _min - наименьшее значение для косого ряда согласно варианту 1
  поперечный Наименьшее из следующих значений:
наименьшего из определенных для поперечных рядов I - I и II - II согласно п.4.3.3.2;
наименьшего из определенных для двух соседних косых шагов:
где
  наименьшего для двух смежных отверстий:
 
  где _min - наименьшее значение для косого ряда согласно варианту 1
5 Коридорное поле с неравномерным расположением отверстий Наименьшее из двух значений
для продольного ряда с разными шагами согласно варианту 2;
для поперечного ряда с разными шагами согласно варианту 2
6 Поле с пилообразным расположением отверстий Наименьшее из следующих значений:
для продольного ряда с шагом согласно п.4.3.3.1;
для поперечного ряда с шагом согласно п.4.3.3.2;
для косого ряда при m = b / a согласно п.4.3.3.3
  m = b / a  

4.3.3.12. Для криволинейных коллекторов расчет расстояний между центрами соседних отверстий как в продольном, так и в поперечном направлении должен производиться по среднему радиусу поперечного сечения коллектора.

4.3.3.13. Для криволинейных коллекторов с кривизной R / D_a =< следует выявить значение расчетного коэффициента прочности, определяющего наименьшую величину номинальной толщины стенки с учетом требований п. 3.3.

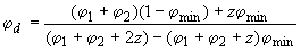
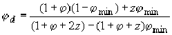
4.3.4. Коэффициент прочности выпуклых днищ

4.3.4.1. Для выпуклых днищ, имеющих кроме лаза другие отверстия, коэффициент прочности допускается определять по диаметру лазового отверстия, если удовлетворяются условия:

расстояние от кромки ближайшего отверстия до кромки лазового отверстия

расстояние между кромками любых других отверстий

где z - коэффициент, вычисляемый для лазового отверстия в выпуклом днище:

;

d1, d2 - диаметры отверстий в днище, кроме отверстия для лаза, мм.

4.3.4.2. Коэффициент прочности эллиптического, торосферического и полусферического днища, ослабленного одним неукрепленным лазовым отверстием, или при наличии других неукрепленных отверстий, если выполняются условия п. 4.3.4.1, следует определять согласно п. 4.3.2.

4.3.4.3. Коэффициент прочности эллиптического, торосферического и полусферического днища без лаза, а также с лазовым отверстием, если не выполняются условия п. 4.3.4.1, ослабленного двумя или несколькими отверстиями, должен определяться так же, как для продольного направления цилиндрической детали, независимо от направления отверстий в днище.

4.3.5. Наибольший допустимый диаметр неукрепленного отверстия

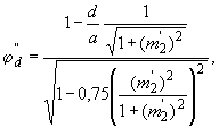
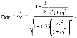
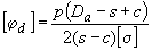
4.3.5.1. Наибольший допустимый диаметр неукрепленного отверстия в цилиндрических деталях и выпуклых днищах следует определять по формуле

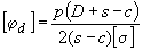
,

где [_d] - минимальное допустимое значение коэффициента прочности детали, ослабленной отверстиями, определяется по соответствующей формуле для вычисления толщины стенки конкретной детали.

Для цилиндрических деталей, у которых номинальным является наружный диаметр:

,

если расчет производится по номинальной толщине стенки;

если расчет производится по фактической толщине стенки.

Для цилиндрических деталей, у которых номинальным является внутренний диаметр:

,

если расчет производится по номинальной толщине стенки;

если расчет производится по фактической толщине стенки.

Для эллиптических, торосферических и полусферических днищ

,

где c, c2 - суммарная и эксплуатационная прибавки, определяемые согласно разделам 1 и 3.

4.3.5.2. Используемое в расчетах значение наибольшего допустимого диаметра неукрепленного отверстия следует принимать (независимо от результатов расчета по формуле п. 4.3.5.1):

для цилиндрической детали - не более внутреннего диаметра с учетом указания п. 4.3.8.7;

для выпуклого днища - не более 0,61 внутреннего диаметра;

для конической детали - не более внутреннего диаметра меньшего основания конического элемента.

4.3.6. Укрепление радиальных отверстий

4.3.6.1. Приводимая методика расчета укрепления отверстий применима, если отклонение оси штуцера от перпендикуляра к поверхности детали не превышает 15°.

4.3.6.2. Если диаметр отверстия превышает наибольший допустимый диаметр неукрепленного отверстия, определенный согласно п. 4.3.5, то должна быть увеличена толщина стенки детали или укреплено отверстие при помощи усиленных штуцеров, накладок, отбортовок или разными способами одновременно.

Неукрепленным следует считать отверстие, не имеющее усиливающих деталей в виде штуцера или трубы с толщиной стенки, превышающей необходимую по расчету на прочность на внутреннее давление, или приварной накладки, вытянутой горловины или отбортованного воротника. Использование других способов укрепления может быть допущено по согласованию со специализированными научно-исследовательскими организациями.

4.3.6.3. Сумма компенсирующих площадей укрепляющих деталей должна удовлетворять условию

,

где f_s - компенсирующая площадь штуцера, мм2;

f_n - компенсирующая площадь накладки, мм2;

f_w - компенсирующая площадь наплавленного металла сварных швов, мм2;

s_0 - минимальная расчетная толщина стенки детали при = 1 и c = 0, мм; определяется по формулам раздела 3.

Для отверстия, укрепленного отбортовкой, в формулах, определяющих сумму укрепляющих площадей вместо компенсирующей площади штуцера f_s следует использовать компенсирующую площадь отбортованного элемента f_b или f_bs.

4.3.6.4. При укреплении одиночного отверстия детали до заданного значения коэффициента прочности _0c сумма компенсирующих площадей укрепляющих деталей должна удовлетворять условию

где _0d - коэффициент прочности детали, ослабленной неукрепленным одиночным отверстием; определяется согласно п. 4.3.2.

4.3.6.5. При укреплении отверстий в ряду с одинаковыми диаметрами до заданного значения коэффициента прочности _c сумма компенсирующих площадей укрепляющих деталей должна удовлетворять условию

,

где _d - коэффициент прочности детали, ослабленной рядом неукрепленных отверстий; определяется согласно пп. 4.3.3 и 4.3.4.

Если из двух соседних отверстий при равных значениях диаметров укрепляется до заданного значения _c только одно отверстие, то сумма компенсирующих площадей должна быть удвоена.

4.3.6.6. Величину компенсирующих площадей укрепляющих деталей следует определять по формулам:

для наружных штуцеров, конструкция которых соответствует рис. 4.9, a:

;

для пропущенных штуцеров, конструкция которых соответствует рис. 4.9, б:

для накладок, конструкция которых соответствует рис. 4.9, в:

для отбортованного внутрь воротника в выпуклом днище, конструкция которого соответствует рис. 4.6:

,

где минимальная расчетная толщина стенки воротника должна быть определена по формуле

;

для отбортованного наружу воротника в выпуклом днище или для вытянутой горловины цилиндрической детали, конструкция которых соответствует рис. 4.9, г:

.

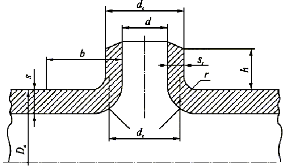
Рис. 4.9. Укрепление отверстий:
a - укрепление наружным штуцером; б - укрепление проходным штуцером; в - укрепление накладкой;
г - укрепление вытянутой горловиной; s_0b = s_0s при одинаковой марке стали

Для сварных швов, присоединяющих штуцера или накладки с укрепляемой деталью, компенсирующая площадь f_w принимается равной сумме площадей выступающих участков наплавленного металла без учета усиления шва в соответствии с рис. 4.10, a, б, в.

Рис. 4.10. Расчетная высота углового шва (_min):
a - шов наружного штуцера; б - шов утопленного штуцера; в - шов проходного штуцера

Компенсирующая площадь шва накладки, удаленного от края отверстия на расстояние, превышающее , не должна учитываться в расчете.

При одновременном использовании двух штуцеров (наружного и вваренного с внутренней стороны) или двух накладок (наружной и внутренней) компенсирующая площадь этих деталей должна суммироваться.

Используемое при расчете значение высоты штуцера h_s должно приниматься равным размеру по чертежу на конкретный штуцер, но не более определенного по формуле

.

При одновременном укреплении отверстия штуцером и накладкой высота укрепленной части штуцера h_s принимается без учета толщины накладки.

Используемое при расчете значение высоты штуцера h_s1 или высоты воротника h_b1 со стороны внутренней поверхности детали должно приниматься равным размеру по чертежу на конкретный штуцер или воротник, но не более определенного по формулам:

;

.

Используемое при расчете значение ширины накладки b_n должно приниматься равным размеру по чертежу на конкретную накладку, но не более определенного по формуле

.

Если металл укрепляющей детали (штуцера или накладки) обладает меньшей прочностью, чем металл укрепляемой детали (барабана, коллектора, трубы, выпуклого днища), то компенсирующая площадь укрепляющей детали должна быть увеличена пропорционально отношению допускаемого напряжения укрепляемой детали к допускаемому напряжению укрепляющей детали.

Более высокая прочность укрепляющей детали в расчет не должна приниматься.

Избыточная толщина штуцера (трубы) может учитываться в компенсирующей площади штуцера f_s только в том случае, если штуцер приваривается швом с полным проваром толщины стенки барабана (коллектора, днища или самого штуцера).

Значения минимальных расчетных толщин штуцеров s_0s при = 1 и c = 0 следует определять по разделу 3.

4.3.6.7. При расчете укрепления двух отверстий, имеющих разные размеры укрепляющих деталей, компенсирующие площади f_s, f_n и f_b следует определять по формулам п.4.3.6.6 для каждой кромки отверстий, причем коэффициент 2 в указанных формулах следует заменить на 1. При определении суммы компенсирующих площадей следует использовать среднеарифметическое значение площадей, вычисленных для каждой кромки.

4.3.6.8. Минимальные размеры сечения сварных швов _min, _1min, _2min (по ГОСТ 2601 - расчетные высоты углового шва), соединяющих приварные штуцера или накладки с расчетными деталями, должны удовлетворять следующим условиям:

для штуцеров в соответствии с рис.4.10, a, б

во всех случаях

высота штуцера h_s - по п.4.3.6.6;

для накладок в соответствии с рис.4.9, в

.

Ширину накладки b_n и ее наружный диаметр D_n следует принимать согласно рис. 4.9, в.

В формулах использованы значения коэффициентов прочности сварных соединений, значения которых указаны в п.4.2.2.

4.3.7. Коэффициент прочности конических деталей

4.3.7.1. Коэффициент прочности конической детали, ослабленной одиночным отверстием, следует определять согласно пп. 4.3.2, 4.3.5 и 4.3.6 при условии, что средний диаметр детали должен приниматься по сечению, по которому проходит продольная ось отверстия или штуцера. Согласно рис. 4.11 условный диаметр конической детали следует определять по формуле

Dm = 2Bk + s,

где Bk - расстояние от точки пересечения продольных осей отверстия или штуцера с осью детали до условной точки пересечения продольной оси отверстия с внутренней образующей детали.

Рис. 4.11. Коническая деталь

4.3.7.2. Коэффициент прочности конической детали, ослабленной поперечным рядом отверстий, следует определять согласно пп. 4.3.3.2, 4.3.3.8 и 4.3.3.9.

4.3.7.3. Коэффициент прочности конической детали, ослабленной продольным или косым рядом отверстий, следует определять согласно пп. 4.3.3.1, 4.3.3.3, 4.3.3.8 и 4.3.3.9 при условии, что во внимание принимаются два соседних отверстия, находящиеся на участке с наибольшими значениями диаметров детали.

4.3.7.4. Наибольший диаметр неукрепленного отверстия конической детали следует определять согласно п. 4.3.5 с учетом п. 4.3.7.1.

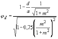
Минимальное допустимое значение коэффициента прочности конической детали должно определяться по формуле

,

где a - угол конусности, равный половине угла у вершины конической детали, град;

Dk - внутренний диаметр наибольшего основания конической детали, мм.

4.3.7.5. Укрепление радиальных отверстий конической детали должно рассчитываться согласно п. 4.3.6 с учетом п. 4.3.7.1.

4.3.8. Требования к конструкции

4.3.8.1. Расчетные детали, имеющие неукрепленные и (или) укрепленные отверстия, а также ответвления и тройниковые соединения трубопроводов, должны удовлетворять требованиям к конструкции детали, обусловленным используемыми методами расчетов и приведенным в разделе 3.

4.3.8.2. Расстояние между центрами двух соседних отверстий одинакового диаметра, измеряемое по поверхности среднего диаметра расчетной детали, должно быть не менее 1,4 диаметра расчетного отверстия или 1,4 полусумм расчетных диаметров отверстий, если диаметры разные.

При расположении отверстий в один продольный или поперечный ряд допускается указанное расстояние уменьшить до 1,3 диаметра. При установке в этом ряду труб газоплотной мембранной панели с приваркой к поверхности коллектора труб и проставок между ними (или плавников) по всей протяженности стыкуемой с коллекторами панели расстояние между отверстиями допускается уменьшить до 1,2 диаметра отверстия.

Рекомендуется выполнять поверочный расчет на прочность с обоснованием ресурса эксплуатации, если расчетное значение коэффициента прочности .

Расстояние между кромками двух соседних отверстий на внутренней поверхности барабана, коллектора или днища должно быть не менее 5 мм.

4.3.8.3. Толщина стенки штуцера или накладки не должна превышать толщины стенки детали. Допускаются двухсторонние накладки.

Допускается применение штуцера или накладки толщиной до двух толщин детали, если это определяется технологией изготовления, но в укреплении отверстия это утолщение не должно учитываться.

4.3.8.4. Для выпуклых днищ расстояние от кромки отверстия до внутренней поверхности цилиндрического борта, измеряемое по проекции, должно быть не менее 0,1D. Допускается уменьшение этого расстояния по согласованию со специализированными научно-исследовательскими организациями.

Требование не распространяется на полусферические днища с радиальными штуцерами.

4.3.8.5. Расстояние от кромки отверстия в днище до начала закругления отбортованного воротника, измеряемое по проекции, должно быть не менее толщины стенки днища.

4.3.8.6. Расстояние от кромки отверстия конической детали до ближайшего цилиндрического основания по поверхности среднего диаметра должно быть не менее , где средний диаметр определяется согласно п. 4.3.7.1.

4.3.8.7. Максимальное значение диаметра отверстия в цилиндрической детали должно удовлетворять условию .

Это ограничение не относится к коллекторам и тройниковым соединениям, у которых отверстие является вытянутой горловиной с высотой выступающей части не менее 10 мм.

Для сварных тройниковых соединений из углеродистых и низколегированных марганцовистых и кремнемарганцовистых сталей, работающих при температурах, при которых допускаемые напряжения не зависят от величины расчетного ресурса (см. табл. 2.2, раздела 2), допускается увеличение диаметра отверстия, определяемого из соотношения

.

При этом следует выполнить поверочный расчет данного элемента на дополнительные нагрузки согласно п. 5.1.

4.4. Учет влияния нерадиальных отверстий

4.4.1. Общие положения

4.4.1.1. Под нерадиальными отверстиями или ответвлениями следует понимать отверстия или штуцера (трубы) расчетной детали, направления продольной оси которых отличаются от радиального направления более чем на 15°.

4.4.1.2. В данном разделе рассматриваются конструкции деталей, у которых угол отклонения продольной оси отверстия (ответвления) от радиального направления y не превышает 45°.

4.4.1.3. Расчетный диаметр отверстия следует принимать согласно п. 4.3.1, т.е. так же, как для радиальных отверстий.

4.4.1.4. Зону укрепления отверстия следует принимать по средней поверхности детали от наружной поверхности штуцера (в любом направлении). Длину указанной зоны b следует определять по формуле

.

4.4.1.5. Зону укрепления отверстия наружным штуцером или наружной частью пропущенного штуцера следует принимать по средней поверхности штуцера от наружной поверхности детали (точнее - от условной линии пересечения указанных поверхностей).

Длину указанной зоны h_s следует определять по формуле

.

4.4.1.6. Зону укрепления отверстия внутренней частью пропущенного штуцера следует принимать по средней поверхности штуцера от внутренней поверхности детали (точнее - от условной линии пересечения указанных поверхностей). Длину указанной зоны h_s1 следует определять по формуле .

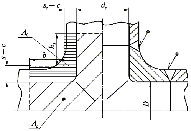
4.4.2. Проверка толщины стенки тройниковых соединений

4.4.2.1. Выбранные размеры тройниковых соединений с нерадиальным ответвлением должны удовлетворять условию

.

Для наклонного штуцера, конструкция которого соответствует рис. 4.12, следует проверить выполнение данного условия для обоих участков детали (левая и правая сторона на рис. 4.12).

Для тангенциального штуцера, конструкция которого соответствует рис. 4.13, достаточно проверить выполнение указанного условия только на одном участке (правая сторона на рис. 4.13).

4.4.2.2. Площадь нагружения Ap и площади сопротивления (A_0 - для детали, As - для штуцера и An - для накладки) следует определять согласно рис. 4.12 и 4.13.

Рис. 4.12. Схема детали с наклонным штуцером

Рис. 4.13. Схема детали с тангенциальным вводом штуцера

Если наклонный штуцер располагается в плоскости под углом к продольной плоскости детали (в которой находится проекция продольной оси штуцера), то следует проверить выполнение условия, приведенного в п. 4.4.2.1, для каждой проекции сечения на продольное и поперечное сечения детали.

4.4.2.3. Для тройниковых соединений, конфигурация которых характеризуется плавными переходами от поверхности детали к ответвлению и которые, как правило, изготовляются ковкой (рис. 4.14) или литьем (рис. 4.15), допускается вычисление площадей сопротивления производить по усредненным площадям прямоугольной конфигурации при условной толщине стенки s - c и ответвления s_c - c.

Рис. 4.14. Схема кованого тройника

Рис. 4.15. Схема литого тройника

4.4.2.4. При укреплении детали наружной накладкой в условии, приведенном в п. 4.4.2.1, следует принимать коэффициент u = 0,7, для внутренней накладки u = 0,3.

4.4.3. Проверка толщины стенки развилок

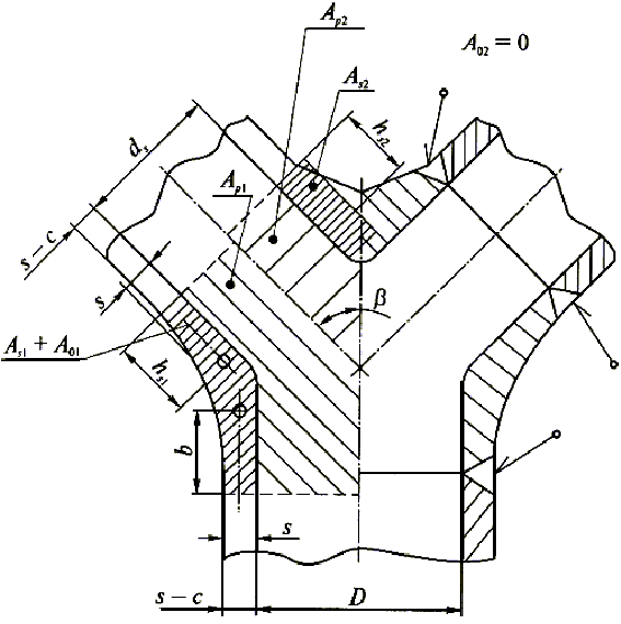
4.4.3.1. Под развилками следует понимать тройниковое соединение Y - образного типа, предназначенное для разделения потока среды в трубе на два симметричных потока, направление которых располагается под углом B к продольному направлению основной трубы.

В настоящем подразделе рассматриваются конструкции развилок с углом .

4.4.3.2. Выбранные размеры развилок, конструкция которых соответствует рис.4.16, должны удовлетворять условию

.

Рис. 4.16. Схема развилки

Условие проверяется отдельно для каждого из указанных на чертежах участков Ap1 и Ap2, As1 и As2, A_01 и A_02.

Длина укрепляющих зон определяется согласно пп. 4.4.1.4, 4.4.1.5, 4.4.2.3.

4.4.3.3. Для сварных развилок толщина стенки по сварному соединению должна превышать толщину стенки основного металла по данному участку (сечению) развилки не менее чем на 20%.