Нормы расчета на прочность стационарных котлов и трубопроводов пара и горячей воды. РД 10-249-98

(утв. Постановлением Госгортехнадзора РФ от 25.08.1998 N 50) (раздел 5)
Редакция от 13.07.2001 — Действует

РУКОВОДЯЩИЕ ДОКУМЕНТЫ ГОСГОРТЕХНАДЗОРА РОССИИ

НОРМЫ
РАСЧЕТА НА ПРОЧНОСТЬ СТАЦИОНАРНЫХ КОТЛОВ И ТРУБОПРОВОДОВ ПАРА И ГОРЯЧЕЙ ВОДЫ

РД 10-249-98

(в ред. Изменения N 1, утв. Постановлением Госгортехнадзора России от 13.07.2001 N 31)

Дата введения 2001-09-01

Разделы 1 - 3, 4, 6 - 7, 8, 9, 10 - 12 Норм расчета на прочность стационарных котлов и трубопроводов пара и горячей воды, включены в систему отдельными документами

УТВЕРЖДЕНЫ постановлением Госгортехнадзора России от 25.08.1998 N 50

Редакционная коллегия: В.С.Котельников, Н.А.Хапонен, А.А.Шельпяков (Госгортехнадзор России)

Ю.К.Петреня, Е.Э.Гильде, А.В.Судаков, А.А.Чижик, И.А.Данюшевский, П.В.Белов, А.М.Рейнов (АООТ НПО ЦКТИ им. И.И.Ползунова)

5. МЕТОДИКА ПОВЕРОЧНОГО РАСЧЕТА НА ПРОЧНОСТЬ

5.1. Расчет барабанов, коллекторов и труб поверхностей нагрева на дополнительные нагрузки и малоцикловую усталость

5.7.7. Условные обозначения

5.1.1.1. В формулах раздела приняты условные обозначения, представленные в табл. 5.1.

Таблица 5.1

Символ Название Единица измерения
1 2 3
Q_q Осевое усилие от веса Н
Q_c Осевое усилие от самокомпенсации теплового расширения Н
M_b Изгибающий момент Н·x мм
M_k Крутящий момент Н·x мм
M_bq Изгибающий момент от весовых нагрузок Н·x мм
M_bc Изгибающий момент от самокомпенсации Н·x мм
M_kq Крутящий момент от весовых нагрузок Н·x мм
M_kc Крутящий момент от самокомпенсации Н·x мм
f Площадь поперечного сечения мм2
W Момент сопротивления поперечного сечения, коллектора или трубы (трубопровода) мм2
_bw Коэффициент прочности поперечного сварного соединения при изгибе -
o_ф Среднее окружное напряжение от внутреннего давления МПа
o_z Суммарное среднее осевое напряжение МПа
o_pz Среднее осевое напряжение от внутреннего давления МПа
o_zz Осевое напряжение от осевой силы МПа
o_b Напряжение изгиба МПа
o_pr Среднее радиальное напряжение от внутреннего давления МПа
o1, o2, o3 Главные нормальные напряжения в расчетном сечении детали МПа
o_eq Эквивалентное напряжение от весовых нагрузок и внутреннего давления МПа
o_eqc Эквивалентное напряжение от весовых нагрузок, самокомпенсации и внутреннего давления МПа
т Напряжение кручения МПа

5.1.2. Дополнительные нагрузки

5.1.2.1. Поверочный расчет на прочность от дополнительных нагрузок производится для барабанов, коллекторов и труб поверхности нагрева после выбора основных размеров.

Дополнительные нагрузки - изгибающие моменты, осевые усилия и крутящие моменты от веса и самокомпенсации - определяются отдельными расчетами.

5.1.2.2. Поверочный расчет на прочность барабанов и коллекторов от весовых нагрузок производится с учетом следующих положений:

при определении изгибающего момента M_bq коллектор рассматривается как балка, свободно лежащая на опорах. При незначительных местных нагрузках изгибающий момент вычисляется в предположении равномерного распределения нагрузки по длине барабана и коллектора;

поверку напряжений изгиба в барабанах и коллекторах следует производить в случаях, когда наружный диаметр барабана или коллектора не превышает 800 мм и расстояние между опорами превышает 6 м или когда на барабан или коллектор передаются значительные дополнительные усилия: вес присоединенных к коллектору деталей, реакции трубопроводов и реакции струи при открытии предохранительных клапанов.

5.1.3. Расчетные напряжения

5.1.3.1. Среднее окружное напряжение от внутреннего давления следует определять по формуле

Коэффициент прочности при наличии отверстий или сварных швов должен приниматься с наименьшим значением для каждого расчетного сечения согласно разделу 4.

5.1.3.2. Суммарное среднее осевое напряжение от внутреннего давления, осевой силы и изгибающего момента определяется по формуле

где среднее осевое напряжение от внутреннего давления

среднее осевое напряжение от осевой силы

Коэффициент прочности при наличии отверстий и поперечного сварного соединения принимается равным меньшему значению коэффициента прочности в поперечном направлении или коэффициента прочности поперечного сварного соединения.

Осевое напряжение от изгибающего момента

Для барабанов или коллекторов следует выявить наиболее ослабленное сечение, обусловленное наибольшим изгибающим моментом M_b, наименьшим моментом сопротивления W или наименьшими коэффициентами прочности и _bw.

5.1.3.3. Среднее радиальное напряжение от внутреннего давления определяется по формуле

5.1.3.4. Напряжение кручения определяется по формуле

5.1.3.5. Напряжения определяются по номинальной толщине стенки, выбранной при расчете на внутреннее давление.

5.1.3.6. При определении напряжений от весовых нагрузок в формулы подставляются усилия Q_q и моменты M_bq, M_kq, а при определении напряжений от действия весовых нагрузок и самокомпенсации в формулы подставляются суммарные усилия Q_q + Q_c и моменты M_bq + M_bc, M_kq + M_kc.

5.1.3.7. Для расчетного сечения цилиндрических барабанов, коллекторов и труб вычисляются три главных нормальных напряжения o1, o2, o3 которые представляют собой алгебраическую сумму действующих в одном направлении напряжений от приложенных к расчетному сечению нагрузок.

Главные напряжения вычисляются по следующим формулам:

при наличии крутящего момента

при отсутствии крутящего момента

Для обеспечения условия o1 > o2 > o3 индексы при обозначениях главных напряжений окончательно устанавливаются после определения численных значений напряжений o_ф и o_z.

5.1.3.8. Эквивалентные напряжения o_eq и o_eqc для расчетного сечения цилиндрического барабана, коллектора и трубы принимаются равными:

o_eq = o1 - o3,

где o1 и o3 определены по весовым нагрузкам Qq, Mbq и Mkq;

o_eqc = o1 - o3

где s1 и s3 определены по суммарным нагрузкам Qq + Qc, Mbq + Mbc, Mkq + Mkc

5.1.4. Допускаемое эквивалентное напряжение

5.1.4.1. Величина эквивалентного напряжения в цилиндрических барабанах, коллекторах и трубах от действия внутреннего давления и весовых нагрузок должна удовлетворять условию

.

5.1.4.2. Величина эквивалентного напряжения в трубах от действия внутреннего давления, весовых нагрузок и самокомпенсации тепловых расширений должна удовлетворять условию

.

Для трубопроводов и труб, расчетные температуры которых обусловливают использование для определения допускаемых напряжений кратковременных характеристик пределов прочности и текучести, допускается несоблюдение указанного условия, если поверочный расчет на усталость по п. 5.2 показывает, что заданное число циклов рассчитываемой детали меньше допустимого.

5.1.5. Расчет на малоцикловую усталость

5.1.5.1. Условные обозначения

5.1.5.1.1. В формулах приняты условные обозначения, представленные в таблице 5.2.

Таблица 5.2

Символ Название Единица измерения
1 2 3
o Приведенное напряжение от внутреннего давления МПа
[o] Номинальное допускаемое напряжение МПа
o_c Максимальное местное расчетное напряжение, определенное с учетом ползучести МПа
o_eq, o_eqc Эквивалентные напряжения соответственно от весовых нагрузок и внутреннего давления и суммарное от весовых нагрузок, самокомпенсации и внутреннего давления МПа
Условный предел длительной прочности при растяжении МПа
o_a Расчетная амплитуда напряжений МПа
[o_a] Допускаемая амплитуда напряжений, определенная по расчетным кривым малоцикловой усталости МПа
[o*_a] Допускаемая амплитуда напряжений МПа
o_i Главные условно-упругие напряжения в расчетной точке детали (t = 1, 2, 3) МПа
o_eij Эквивалентные напряжения (i,j = 1, 2, 3) МПа
o_ey Размах эквивалентных напряжений МПа
[o_max], [o_min] Допускаемые напряжения, соответствующие температуре, при которой достигаются максимальные и минимальные эквивалентные напряжения МПа
Et Модуль упругости, соответствующий максимальной температуре цикла МПа
Emax, Emin Модули упругости, соответствующие температуре, при которой достигаются максимальные и минимальные эквивалентные напряжения МПа
N Число циклов нагружения -
Ni Число циклов нагружения данного типа -
[N] Допускаемое число циклов нагружения по расчетным кривым малоцикловой усталости -
[N*] Допускаемое число циклов -
Dc Параметр, характеризующий допускаемое повреждение при совместном действии усталости и ползучести -
m Показатель степени в уравнении длительной прочности -
l Количество различных номинальных режимов -
т_i Длительность работы при данных параметрах, включая время пуска и останова ч
т_0 Расчетный ресурс эксплуатации ч

5.1.5.2. Общие положения

5.1.5.2.1. Расчет на малоцикловую усталость является поверочным и выполняется после выбора основных размеров детали.

5.1.5.2.2. Поверочный расчет производится с учетом всех нагрузок (основных и дополнительных) для всех расчетных режимов работы.

5.1.5.2.3. Расчетные кривые малоцикловой усталости приведены для материалов, допущенных к применению Госгортехнадзором России и перечисленных в табл. 2.2, 2.3, 2.4 раздела 2.

5.1.5.2.4. Методика применима для расчета деталей, работающих при малоцикловой усталости во всем диапазоне изменения расчетных температур. Уровень температур, обусловливающих необходимость учета ползучести, устанавливается согласно разделу 2.

5.1.5.2.5. Поверочный расчет на малоцикловую усталость допускается не производить, если повреждаемость от действия всех видов нагрузок удовлетворяет одновременно двум условиям:

.

При расчете величины [N]i в этом случае амплитуды напряжений принимаются равными:

o_a = 3o - для циклов пуск-останов;

- для циклов колебания давления с размахом p не менее 30% p (исключая пуск-останов);

- для температурных циклов всех видов, где t - перепад температуры по толщине стенки, периметру и длине детали, включая колебания температуры среды во времени.

Суммарное эквивалентное напряжение o_eqc определяется для номинального режима эксплуатации.

5.1.5.2.6. Расчет напряжений в элементах котлов и трубопроводов производится по методикам, изложенным в разделах 6, 7, 8, 9 и 10.

Допускается использование других расчетных методик, а также экспериментальных значений напряжений, определенных в условиях, соответствующих условиям эксплуатации.

5.1.5.3. Переменные нагрузки

5.1.5.3.1. За цикл нагружения принимается повторяющееся изменение нагрузки (как силовой, так и температурной) от первоначального значения до максимального (минимального) и возврат к первоначальной нагрузке. Цикл нагружения характеризуется амплитудой напряжения, числом циклов нагружения и уровнем максимальной температуры цикла.

5.1.5.3.2. При расчете на усталость учитываются следующие нагружающие факторы:

изменение давления при пуске-останове котла;

колебания рабочего давления при эксплуатации (более 15% от номинального значения);

изменение внешних нагрузок при эксплуатации (весовые нагрузки, наддув и т.п.);

температурные перепады при пуске-останове котла, включая компенсационные нагрузки при тепловых расширениях трубопроводов;

дополнительные перепады температур, вызывающие колебания температуры среды или теплового потока при эксплуатации.

5.1.5.4. Переменные напряжения

5.1.5.4.1. Расчет на усталость основывается на условно-упругих напряжениях, действующих в выбранной точке рассчитываемой детали, где ожидаются наибольшие напряжения. Расчет производится для всех основных этапов эксплуатации: пуска, рабочего режима, останова.

5.1.5.4.2. Для каждой выбранной точки детали определяют три главных нормальных напряжения o1, o2, o3 представляющих собой алгебраическую сумму действующих в одном направлении напряжений от всех приложенных в данный момент нагрузок с учетом местных концентраторов напряжений (отверстий, галтелей и т.п.). Значения коэффициентов концентрации следует принимать по расчету напряжений в соответствии с п. 5.1.5.2.6.

Примечание. До разработки соответствующей методики расчета для барабанов и коллекторов коэффициент концентрации окружных напряжений от действия внутреннего давления на кромках цилиндрических отверстий допускается принимать равным 3, для выпуклых днищ 2,2, а коэффициент концентрации окружных и осевых напряжений от действия температурного перепада по толщине стенки для цилиндрических и сферических деталей равным 2,0.

5.1.5.4.3. Для цилиндрических деталей главные нормальные напряжения o_i определяются в соответствии с п. 5.1.

5.1.5.4.4. По значениям главных нормальных напряжений определяют эквивалентные напряжения для расчетных точек детали в заданные моменты времени как алгебраическую разность главных нормальных напряжений:

o_eij = o_i - o_j

5.1.5.4.5. Напряжения, вызываемые технологическими отклонениями при изготовлении детали (разностенность труб, смещение кромок и т.п.), не учитываются, если величина отклонений не превышает нормы, установленной в Правилах госгортехнадзора.

5.1.5.5. Размах и амплитуда переменных напряжений

5.1.5.5.1. Для каждого цикла нагружения существуют режимы, при которых принимают максимальные и минимальные значения величины:

В расчет вводится размах условно-упругих эквивалентных напряжений o_eij равный наибольшему значению:

5.1.5.5.2. Расчетная амплитуда напряжений принимается наибольшей из следующих величин, определяемых по формулам:

5.1.5.5.3. Если деталь подвергается действию циклов разного типа, то величина расчетной амплитуды o_a определяется отдельно для каждого типа цикла.

5.1.5.6. Допускаемая амплитуда переменных напряжений

5.1.5.6.1. Для оценки допускаемой амплитуды переменных напряжений [o*_a] при заданном числе циклов N или допускаемого числа циклов [N*] при заданной амплитуде напряжений o_a используется принцип суммирования повреждений в виде

,

где m определяется согласно п. 2.6.

Значения параметра Dc приведены на рис. 5.1. Рекомендуется принимать

Рис. 5.1. Суммарная повреждаемость как функция от повреждаемости, вызванной ползучестью

5.1.5.6.2. Допускаемая амплитуда переменных напряжений [o_a] для заданного числа циклов N или допускаемое число циклов [N] для заданной амплитуды переменных напряжений o_a без учета влияния повреждения от ползучести определяются по кривым малоцикловой усталости, приведенным на графиках для максимальной температуры цикла (рис. 5.2, 5.3, 5.4).

Рис. 5.2. Расчетные кривые малоцикловой усталости углеродистых сталей

Рис. 5.3. Расчетные кривые малоцикловой усталости низколегированных сталей марок 12Х1МФ, 15Х1М1Ф, 12МХ и 15ХМ

Рис. 5.4. Расчетные кривые малоцикловой усталости аустенитных хромоникелевых сталей

Расчетные кривые откорректированы в целях учета влияния среднего напряжения (асимметрии цикла). Поскольку при испытаниях, по результатам которых построены усталостные кривые, не учитывалось влияние коррозии при нарушениях водного режима и консервации котлов и трубопроводов, влияние этих факторов должно учитываться введением дополнительного коэффициента запаса по напряжениям не менее 4 или по долговечности не менее 50.

5.1.5.6.3. При максимальных температурах металла, отличающихся от приведенных на графиках (см. рис. 5.2, 5.3, 5.4), допускаемая амплитуда напряжений [o_a] или допускаемое число циклов [N] определяются линейной интерполяцией; экстраполяция кривых не допускается.

5.1.5.6.4. Расчетное напряжение при ползучести o_c представляет собой максимальное главное нормальное напряжение, определенное с учетом пластичности и ползучести материала при номинальном режиме эксплуатации.

Примечание. До разработки соответствующей методики расчета барабанов и коллекторов допускается принимать o_c наибольшим из значений, вычисленных по формулам:

где K = 1,4 при

K = 1,5 при .

Значения o_eq и o_eqc следует определять, принимая значения коэффициента ослабления отверстиями = 1.

5.1.5.6.5. Если , то допускается не более 1000 расчетных циклов пуск-останов; если , то повреждаемость от ползучести не учитывается.

5.1.5.6.6. Если в расчетной точке детали имеются сварные швы, то допускаемое число циклов уменьшается в два раза по сравнению с полученным по кривым малоцикловой усталости при отсутствии швов.

5.1.5.6.7. Если деталь подвергается циклам нагружения различного типа при неизменных значениях параметров номинального режима, то для оценки долговечности следует использовать формулу

Если в процессе работы значения температуры и нагрузок при номинальном режиме изменяются, то для оценки долговечности следует использовать формулу

где .

5.1.5.6.8. Если заданное число циклов менее 1000, то расчет рекомендуется производить на 1000 циклов.

5.2. Расчет трубопроводов пара и горячей воды на дополнительные нагрузки и малоцикловую усталость

5.2.1. Общие положения

5.2.1.1. Предполагается, что рабочие параметры транспортируемой среды в течение полного срока службы трубопровода не изменяются.

Для выполнения расчета прочности трубопровода необходимо предварительно определить возникающие в нем внутренние силовые факторы. Применяющиеся для этой цели методики и программы основываются на различных классических и специальных методах раскрытия статической неопределимости.

5.2.1.2. Предусматривается выполнение расчета прочности трубопровода как на статическое, так и на циклическое нагружение. Предусмотрены различные требования к расчетам высокотемпературных и низкотемпературных трубопроводов. К высокотемпературным относятся трубопроводы из углеродистых, низколегированных марганцовистых, хромомолибденовых и хромомолибденованадиевых сталей, эксплуатирующихся при температуре среды в них выше 370 °С, и трубопроводы из аустенитных марок сталей, эксплуатирующихся при температуре среды в них выше 450 °С. Остальные трубопроводы относятся к низкотемпературным.

5.2.1.3. Расчет низкотемпературных трубопроводов на статическое нагружение производится по формулам, полученным по методу предельного состояния (формулы для расчета трубопровода на совместное действие давления, весовой нагрузки и рабочих нагрузок промежуточных опор). Расчет же таких трубопроводов на циклическое нагружение производится по методике, основанной на исследованиях в области малоцикловой усталости и учитывающей результаты экспериментального исследования разрушения элементов трубопровода при циклическом нагружении (формулы для расчета на совместное действие давления, самокомпенсации и усилий сопротивления промежуточных опор).

5.2.1.4. Расчет высокотемпературных трубопроводов на совместное статическое нагружение давлением, весовой нагрузкой и усилиями опор в рабочем состоянии также выполняется по формулам предельного состояния. Для расчета таких трубопроводов на статическое действие всех нагружающих факторов в рабочем состоянии применяется метод максимальных напряжений при учете релаксации напряжений самокомпенсации. Цикличность нагружения высокотемпературных трубопроводов учитывается в расчете недопущением пластических перегрузок в холодном и рабочем состоянии.

5.2.2. Условные обозначения

5.2.2.1. В формулах приняты обозначения, представленные в табл. 5.3

Таблица 5.3

Символ Наименование Единица измерения
1 2 3
Da Номинальный наружный диаметр поперечного сечения трубы мм
s Номинальная толщина стенки трубы мм
r Средний радиус поперечного сечения мм
R Радиус оси криволинейной трубы мм
a Начальная эллиптичность (овальность) поперечного сечения трубы (отношение разности максимального и минимального наружных диаметров сечения к их полусумме) %
F Площадь поперечного сечения трубы мм2
W Момент сопротивления трубы изгибу мм3
Безразмерный геометрический параметр -
Угол между крайними сечениями криволинейной трубы град
t_p Рабочая температура стенки участка трубопровода °С
t_x Температура стенки в холодном состоянии °С
t_н Температура нагрева участка трубопровода (t_н = t_p - t_x) °С
t_pф, t_xф Фиктивные температуры нагрева, принимаемые в расчетах для рабочего и холодного состояния °С
p Рабочее давление в трубопроводе МПа
Mx, My, Mz Изгибающие и крутящие моменты в сечении трубопровода Н·мм
Nz Осевая сила в сечении трубопровода, возникающая под действием весовой нагрузки и самокомпенсации температурных расширений Н
Безразмерный параметр внутреннего давления -
E Модуль упругости материала МПа
Ep Модуль упругости материала при рабочей температуре МПа
Ex То же, в холодном состоянии МПа
k_p Коэффициент податливости криволинейной трубы, учитывающий влияние внутреннего давления (отношение податливости на изгиб криволинейной и прямолинейной труб одинаковых сечений и материала) -
k*_p Коэффициент податливости криволинейной трубы, учитывающий влияние внутреннего давления и сопряжения с прямолинейными трубами -
m Коэффициент интенсификации изгибных поперечных напряжений в криволинейной трубе -
Bm Коэффициент интенсификации изгибных продольных напряжений в криволинейной трубе -
o_пр Приведенное напряжение в стенке трубы от действия внутреннего давления МПа
Продольные напряжения от изгибающего момента и осевой силы МПа
т Напряжение кручения МПа
о_доп Допускаемое напряжение при расчете трубопровода только на действие давления МПа
Коэффициенты прочности продольного и поперечного сварных стыков -
kп Коэффициент перегрузки -
с1 Допуск на утонение стенки трубы мм

5.2.3. Этапы полного расчета трубопровода

5.2.3.1. Для оценки прочности трубопровода, а также для определения передаваемых им усилий на оборудование и перемещений его сечений при нагреве производится полный расчет трубопровода. Он складывается из ряда расчетов (этапов), каждый из которых выполняется на совместное действие определенного частного сочетания нагружающих факторов (табл. 5.4).

Таблица 5.4

Этапы полного расчета трубопровода

Обозначение Содержание этапа Учитываемые нагружающие факторы для трубопроводов Назначение этапа для трубопроводов
низко- температурных высоко- температурных низко- температурных высоко- температурных
1 2 3 4 5 6
I Расчет на действие весовой нагрузки Внутреннее давление; весовая нагрузка; усилия промежуточных опор в рабочем состоянии (рабочие нагрузки опор) Оценка статистической прочности на совместное действие указанных нагружающих факторов
II Расчет для рабочего состояния на совместное действие всех нагружающих факторов Внутреннее давление; весовая нагрузка; усилия промежуточных опор в рабочем состоянии; температурное расширение (самокомпенсация); "собственные" смещения защемленных концевых сечений Оценка статической прочности на совместное действие всех нагружающих факторов
    Монтажная растяжка Саморастяжка или монтажная растяжка Определение усилий воздействия трубопровода на оборудование
III Расчет на действие температурного расширения (на самокомпенсацию) Внутреннее давление; температурное расширение; "собственные" смещения защемленных концевых сечений; усилия сопротивления промежуточных опор Оценка усталой прочности  
        Определение температурных перемещений (т.е. перемещений при переходе трубопровода из холодного состояния в рабочее)
IV Расчет для холодного (нерабочего) состояния на совместное действие всех нагружающих факторов Весовая нагрузка; усилия промежуточных опор (нагрузки опор в холодном состоянии)   Оценка прочности
  Монтажная растяжка Саморастяжка Определение усилий воздействия трубопровода на оборудование

Как видно из табл. 5.4, оценка прочности не требуется:

для высокотемпературного трубопровода в расчете по этапу III;

для низкотемпературного трубопровода в расчетах по этапам II и IV.

5.2.3.2. На этапах I, II, III полного расчета внутреннее давление на участке трубопровода принимается равным максимальному рабочему давлению транспортируемой среды на этом участке.

5.2.3.3. Рабочая температура стенки участка трубопровода t_p принимается равной максимальной рабочей температуре транспортируемой среды в пределах этого участка.

5.2.3.4. В расчете по этапу III в качестве температуры нагрева участка трубопровода принимается разность его температур в рабочем и холодном состоянии, т.е. t_н = t_p - t_x. Значение коэффициента линейного расширения металла в расчете по этапу III принимается в зависимости от рабочей температуры t_p.

5.2.3.5. Расчет по этапу I производится при нулевом значении температуры нагрева трубопровода (или при нулевом значении коэффициента линейного расширения) и нулевых значениях "собственных" смещений концевых защемленных сечений (эти смещения вызываются температурным расширением корпуса оборудования).

5.2.3.6. Расчет низкотемпературных трубопроводов по этапу II производится при введении значений действительной температуры нагрева участков t_н.

При расчете высокотемпературных трубопроводов по этапу II в целях оценки прочности допускается учет саморастяжки, обусловленной релаксацией напряжений самокомпенсации. В этом случае вместо значений действительной температуры нагрева вводятся значения фиктивной (условно заниженной) температуры нагрева, определяемые по формуле

где x - коэффициент усреднения компенсационных напряжений, принимаемый по рис. 5.5 в зависимости от рабочей температуры t_p.

Рис. 5.5. Коэффициент усреднения компенсационных напряжений:
1 - сталь 20; 15ГС; 16ГС; 2 - 12Х1МФ; 15Х1М1Ф; 15ХМ; 12МХ; 3 - Х18Н10Т; Х18Н12Т

При этом вводимые в расчет значения "собственных" смещений концевых сечений также должны быть уменьшены умножением на коэффициент 0,5x.

Во всех случаях расчет по этапу II производится при значениях коэффициента линейного расширения, соответствующих рабочей температуре участков t_p.

5.2.3.7. Расчет по этапу IV низкотемпературных трубопроводов выполняется при нулевом значении температуры нагрева (или нулевом значении коэффициента линейного расширения).

Расчет по этапу IV высокотемпературных трубопроводов производится при введении в качестве значений температуры нагрева участков фиктивной отрицательной температуры, определяемой по формуле

где - коэффициент релаксации компенсационных напряжений принимается по рис. 5.6, а также при введении значений фиктивных "собственных" смещений концевых сечений, получающихся в результате умножения значений действительных смещений на величину со знаком "минус". При этом принимаемые значения коэффициента линейного расширения должны соответствовать рабочей температуре t_p.

Рис. 5.6. Коэффициент релаксации компенсационных напряжений:
1 - сталь 20; 15ГС; 16ГС; 2 - 12Х1МФ; 15Х1М1Ф; 15ХМ; 12МХ; 3 - Х18Н10Т; Х18Н12Т

5.2.3.8. Расчет по этапам I и II производится при модулях упругости материала, соответствующих рабочей температуре t_p, а расчет по этапам III и IV - при модулях упругости, соответствующих температуре холодного состояния t_x. Значение модуля упругости следует принимать согласно приложению.

5.2.3.9. Коэффициент линейного расширения материала следует принимать согласно приложению.

5.2.3.10. Расчеты по этапам I, II, IV выполняются при введении соответствующих значений усилий промежуточных упругих опор (их нагрузок в рабочем и холодном состоянии трубопровода).

Усилия сопротивления промежуточных упругих опор, учитываемые на этапе III полного расчета, возникают в результате деформирования трубопровода при нагреве.

Эти усилия (приращения нагрузок опор) автоматически учитываются, если расчет выполняется по схеме нагреваемого трубопровода, опирающегося на упругие опоры, причем в расчет вводятся фактические жесткости этих опор.

Воздействие на трубопровод опор скольжения и направляющих опор учитывается на всех этапах полного расчета трубопровода; при этом в точках установки опор вводятся жесткие связи, исключающие недопустимые опорой перемещения.

5.2.3.11. Величины сил трения, возникающих при перемещениях трубопровода от нагрева, при определении напряжений в низкотемпературных трубопроводах учитываются на этапе III, в высокотемпературных - на этапе II и при определении усилий на опоры и оборудование - на этапе II для всех трубопроводов.

5.2.3.12. Об учете монтажной растяжки в расчетах по этапам II и IV см. пп. 5.2.8.5-5.2.8.8.

5.2.3.13. Если трубопровод эксплуатируется не в единственном варианте температурного состояния всех его участков, то полный расчет его следует выполнять для того варианта температурного состояния, которому соответствуют наиболее тяжелые условия нагружения. Если такой вариант температурного состояния невозможно установить без полного расчета, то расчет выполняется для различных вариантов состояния.

5.2.3.14. Если трубопровод состоит из низкотемпературных и высокотемпературных участков, допускается расчет его прочности производить с учетом саморастяжки высокотемпературных участков (см. пп. 5.2.3.6 и 5.2.3.7).

5.2.4. Определение усилий воздействия трубопровода на оборудование

5.2.4.1. Усилия воздействия трубопровода на оборудование (нагрузки на оборудование), к которому он присоединен, определяются расчетами по этапам II (для рабочего состояния) и IV (для холодного состояния). Расчетом по этапу III определяются приращения усилий трубопровода при переходе его из холодного состояния в рабочее.

5.2.4.2. Если имеются результаты расчета трубопровода по этапу II с учетом саморастяжки по способу фиктивной температуры нагрева (см. п. 5.2.3.6) и если рабочая температура и материал всех его участков одинаковы, то передаваемые нагрузки на оборудование в рабочем состоянии могут быть определены по формуле

где - какой-либо силовой фактор (вертикальная сила, момент в горизонтальной плоскости и т.д.) из совокупности искомых усилий;

X_II - тот же силовой фактор, определяемый на этапе II расчета при введении коэффициента усреднения x;

X_I - тот же силовой фактор, вычисляемый на этапе I расчета.

В противном случае требуется выполнить специальный расчет высокотемпературного трубопровода по этапу II с введением температуры нагрева t_н.

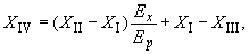
5.2.4.3. Если температура и материал всех участков низкотемпературного трубопровода одинаковы, усилия воздействия его на оборудование в холодном состоянии можно определить без выполнения расчета по этапу IV. При этом используется формула

где X_IV - какой-либо силовой фактор из совокупности искомых усилий;

X_II, X_III - тот же силовой фактор, вычисляемый на этапах II и III расчета.

5.2.4.4. Об учете монтажной растяжки см. пп. 5.2.8.5-5.2.8.9.

5.2.4.5. Допустимые нагрузки на оборудование устанавливаются заводом-изготовителем.

5.2.5. Определение коэффициента податливости криволинейных труб и секторных колен

5.2.5.1. При раскрытии статической неопределимости трубопровода учитывается повышенная податливость на изгиб криволинейных труб и секторных колен, для чего необходимо определять коэффициенты податливости этих элементов.

5.2.5.2. Коэффициент податливости криволинейной трубы k*_p вычисляется как произведение коэффициента податливости k_p, определяемого без учета стесненности деформации ее концов от влияния примыкающих прямолинейных труб, на коэффициент , учитывающий эту стесненность деформации, т.е. .

5.2.5.3. Для определения коэффициента податливости k_p используется формула

(1)

Величина b вычисляется по следующим формулам:

(2)

Параметры и со вычисляются по формулам:

5.2.5.4. Для труб, значения и которых удовлетворяют условиям и , коэффициент k_p можно определять по формуле

5.2.5.5. Коэффициент можно определить по графику на рис.5.8 в зависимости от геометрического параметра трубы , угла между крайними сечениями трубы и отношения радиусов R / r (рис.5.7). Для промежуточных значений угла и отношения R / r коэффициент определяется по методу линейной интерполяции, при этом значение для угла = 0 принимается по формуле

Рис. 5.7. Криволинейная труба

Рис. 5.8. Коэффициент 242

При составлении программы расчета трубопроводов для вычисления коэффициента можно использовать данные табл. 5.5.

Таблица 5.5

Значения коэффициента

Угол
  60° 90° 60° 90°
  R / r = 2 R / r = 4
0,00 0,25 0,42 0,37 0,58
0,40 0,62 0,77 0,73 0,88
0,60 0,73 0,84 0,82 0,91
1,65 1,00 1,00 1,00 1,00
  R / r = 6 R / r = 8
0,00 0,47 0,65 0,55 0,70
0,20 0,67 0,85 0,74 0,88
0,40 0,81 0,93 0,85 0,95
1,65 1,00 1,00 1,00 1,00

5.2.5.6. Для труб с можно принимать = 1.

Для труб, имеющих значение геометрического параметра = 1,65 или значение угла > 90°, принимается =1.

5.2.5.7. Для расчета трубопровода по этапу IV коэффициент податливости следует определять при p = 0.

5.2.5.8. Коэффициент податливости колена, сваренного из прямолинейных секторов (секторного колена), определяется согласно указаниям пп. 5.2.5.2-5.2.5.7. При этом радиус вычисляется по формуле (см. рис. 5.9)

где l_ср - длина сектора по центральной оси;

- угол между его крайними сечениями.

Рис. 5.9. Колено, выполненное сваркой из прямых секторов (секторное колено)

5.2.6. Определение напряжений

5.2.6.1. Напряжения определяются в концевых и промежуточных сечениях трубопровода. Внутренние силовые факторы (изгибающие моменты M_x, M_y крутящий момент M_z и осевая сила N_z), принимаемые для расчета напряжений, определяются расчетом трубопровода по соответствующему этапу.

5.2.6.2. Определение напряжений на этапе I полного расчета

5.2.6.2.1. На этапе I полного расчета трубопровода определяются эффективные напряжения в его поперечных сечениях. Формулы, служащие для вычисления этих напряжений, получены по методу предельного состояния и характеризуют напряженное состояние поперечного сечения в целом.

5.2.6.2.2. Для поперечных сечений прямолинейных и криволинейных труб эффективное напряжение определяется по формуле

(см. также п. 5.2.6.2.3).

Приведенное напряжение от внутреннего давления вычисляется по формуле

(3)

Значение допуска на утонение стенки c1 принимается по техническим условиям на поставку труб, идущих на изготовление трубопровода.

Величина коэффициента прочности при ослаблении сварными соединениями _w принимается в соответствии с данными раздела 4.2 Норм.

Продольное напряжение от изгибающего момента и осевой силы и напряжение кручения вычисляются по формулам:

(4)

Момент сопротивления W и площадь поперечного сечения F определяются по формулам:

Коэффициент прочности поперечного сварного стыка при изгибе _bw принимается в соответствии с разделом 4.2 Норм.

Коэффициент перегрузки k_п принимается по п. 5.2.6.2.4.

5.2.6.2.3. Для криволинейных труб, геометрический параметр которых удовлетворяет условию =< 1,4, дополнительно к расчету по п. 5.2.6.2.2 вычисляется эффективное напряжение по формуле

Значения величин и принимаются по графикам на рис. 5.10 и 5.11. Значение o_пр определяется по формуле (3), а значение [o] - по данным раздела 2 Норм. При >= 0,05 значение можно определять также по формуле

Рис. 5.10. Коэффициент

Рис. 5.11. Коэффициент

Коэффициент перегрузки k_п принимается согласно п.5.2.6.2.4.

5.2.6.2.4. При выполнении расчета трубопровода без существенных упрощений (учтены все ответвления и опоры и т.д.) и при его монтаже по действующим инструкциям коэффициент перегрузки k_п принимается равным 1,4.

Если дополнительно к указанным условиям производится специальная корректировка затяжки пружин промежуточных опор для учета отклонений фактических значений весовой нагрузки, жесткости пружин опор и температурных перемещений от принятых в расчете значений, а также выполняется наладка трубопровода, может быть принято k_п = 1,2.

Для несложных малогабаритных трубопроводов, когда не применяются промежуточные опоры, а напряжения от весовой нагрузки малы (не более 10 МПа), также можно принимать k_п =1,2.

5.2.6.2.5. Для равнопроходного или почти равнопроходного тройникового узла (отношение наружного диаметра к меньшему не более 1,3) вычисляется эффективное напряжение по формуле п.5.2.6.2.3, причем геометрический коэффициент трубы в данном случае определяется как отношение толщины стенки к среднему радиусу поперечного сечения ( = s / r).

Расчет по настоящему пункту выполняется для сечений всех трубопроводных участков, сходящихся в данном тройниковом узле (рис. 5.12).

Рис. 5.12. Расчетные сечения тройникового узла

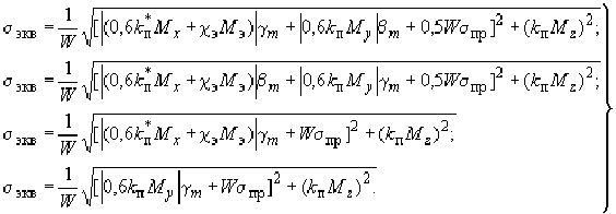
5.2.6.3. Определение напряжений на этапе II полного расчета

5.2.6.3.1. На этапе II полного расчета определяются эквивалентные напряжения, соответствующие наиболее напряженным точкам поперечных сечений трубопровода.

5.2.6.3.2. Для прямолинейных труб и криволинейных труб с >= 1,0 используется формула

Напряжение o_пр и т вычисляются соответственно по формулам (3) и (4), а напряжение o_zMN - по формуле

(5)

Коэффициент перегрузки k_п принимается по п. 5.2.6.2.4, а коэффициент прочности сварного соединения при изгибе _bw - по данным раздела 4.2 Норм.

5.2.6.3.3. Для криволинейных труб (при любом значении ) вычисления производятся по следующим четырем формулам:

(6)

Для оценки прочности берется большее из четырех значений.

Величина Мз определяется по формуле

где a - начальная эллиптичность (овальность) поперечного сечения, %; значение ее принимается согласно п. 5.2.6.8.

Изгибающий момент Mx действует в плоскости оси криволинейной трубы, а момент My - в плоскости, перпендикулярной к плоскости оси трубы (рис. 5.13). Момент Mx считается положительным, если направлен в сторону увеличения кривизны оси трубы.

Рис. 5.13. Изгибающие моменты в сечении криволинейной трубы

Коэффициент x_з используется для учета уменьшения напряжений, обусловленных начальной эллиптичностью сечения, вследствие ползучести. Его можно определять по формуле

x_з = 0,6x,

причем x принимается по рис. 5.5.

Коэффициент k_п принимается согласно п. 5.2.6.2.4, а коэффициент k*_п при Mx > 0 и принимается в остальных случаях k*_п = k_п.

Коэффициенты _m и B_m определяются по п. 5.2.6.6. Напряжение o_пр подсчитывается по формуле (3).

5.2.6.3.4. Для равнопроходного или почти равнопроходного тройникового узла (отношение большего наружного диаметра к меньшему не более 1,3) вычисляется эквивалентное напряжение по формуле

(7)

причем коэффициент _m находится по п.5.2.6.6 в зависимости от геометрического параметра определяемого в данном случае как отношение толщины стенки к среднему радиусу поперечного сечения (), и параметра , определяемого по формуле

Расчет по формуле (7) выполняется для сечений всех трех трубопроводных участков, сходящихся в данном тройниковом узле (эти сечения обозначены на рис. 5.12).

Входящее в формулу (7) значение напряжения o_пр определяется по формуле (3).

Подсчет o_пр, W, F производится по геометрическим размерам, соответствующим расчетным сечениям. Значения силовых факторов принимаются в соответствии с рис. 5.14.

Рис. 5.14. Силовые факторы в поперечном сечении тройникового узла

5.2.6.4. Определение напряжений на этапе III полного расчета

5.2.6.4.1. На этапе III полного расчета определяются эквивалентные максимальные условные напряжения цикла (размахи эквивалентных напряжений, соответствующие переходу трубопровода из холодного состояния в рабочее и обратно).

5.2.6.4.2. Для прямолинейных труб и криволинейных труб с >= 1,0 применяется формула

(8)

Напряжения вычисляются соответственно по формулам (3), (4), (5).

5.2.6.4.3. Для криволинейных труб (при любом значении ) вычисления производятся по следующим формулам:

(8а)

Для оценки прочности принимается наибольшее из значений, получаемых по этим формулам.

При Mx > 0 (см.п. 5.2.6.3.3) и в остальных случаях k*_п = k_п.

Величины определяются так же, как при расчете по формулам (6).

5.2.6.4.4. Для равнопроходного или почти равнопроходного тройникового узла (отношение большего наружного диаметра к меньшему не более 1,3) также производится расчет для сечений всех трех участков, сходящихся в тройниковом узле (рис. 5.12), по формуле

(9)

Определение входящих сюда величин выполняется так же, как при вычислении их по формуле (7).

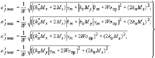
5.2.6.5. Определение напряжений на этапе IV полного расчета

5.2.6.5.1. На этапе IV полного расчета определяются эквивалентные напряжения, соответствующие наиболее напряженным точкам сечений трубопровода.

5.2.6.5.2. Для прямолинейных труб и криволинейных труб с >= 1,0 используется формула

(10)

Значения т и o_zMN определяются по формулам (4) и (5).

5.2.6.5.3. Для криволинейных труб (при любом значении ) вычисления производятся по формулам:

(10а)

Для оценки прочности берется большее из получаемых по этим формулам значений.

Коэффициент x_э1 определяется по формуле

где - коэффициент, принимаемый по рис.5.6.

В случае когда Mx < 0 и , принимается ; в противном случае k*_п = k_п.

Величины, входящие в приведенные формулы, определяются так же, как при расчете по формулам (6). Величина определяется при рабочем давлении.

5.2.6.5.4. Для равнопроходного или почти равнопроходного тройникового узла (отношение большего наружного диаметра к меньшему не более 1,3) определяются также эквивалентные напряжения для сечений всех трех участков, сходящихся в тройниковом узле (см. рис. 5.12), по формуле

(11)

Определение входящих сюда величин выполняется так же, как при вычислении их по формуле (7); см. также п. 5.2.6.7.

5.2.6.6. Коэффициенты интенсификации напряжений _m и Bm определяются по формулам:

Коэффициенты Ai2 вычисляются по следующим формулам:

Величины k_p, a1, a2, a3, a4, b определяются по формулам (1) и (2).

5.2.6.7. Для расчета трубопровода по этапу IV коэффициенты _m и Bm должны определяться при p = 0.

5.2.6.8. В том случае, когда отсутствуют данные о фактической величине начальной эллиптичности сечений криволинейных труб, расчет напряжений в них по пп. 5.2.6.3.3, 5.2.6.4.3, 5.2.6.5.3 производится как при a = 0, так и при возможном наибольшем значении a, принимаемом по техническим условиям на изготовление или по согласованию с заводом-изготовителем.

Если величина начальной эллиптичности a =< 3%, то в расчете напряжений эллиптичность не учитывается (в расчетных формулах применяется a = 0).

Для низкотемпературных трубопроводов значение начальной эллиптичности сечения a следует принимать с увеличением в 1,8 раза.

5.2.6.9. Напряжения в секторных коленах с числом секторов более двух можно определять по приведенным формулам для криволинейных труб. При определении значения геометрического параметра для секторного колена величина радиуса R вычисляется по п. 5.2.5.8.

5.2.7. Критерии прочности

5.2.7.1. Эффективные напряжения, вычисляемые на этапе I полного расчета трубопровода (п.5.2.6.2), должны удовлетворять условию

Напряжение [o] определяется по данным раздела 2 Норм в зависимости от рабочей температуры t_p соответствующего участка трубопровода.

5.2.7.2. Эквивалентные напряжения, вычисляемые на этапах II и IV полного расчета (пп. 5.2.6.3, 5.2.6.5), должны удовлетворять условию:

Величина [o] принимается по данным раздела 2 Норм в зависимости от соответствующей температуры участка трубопровода (t_p - для расчета по этапу II и t_x - для расчета по этапу IV).

5.2.7.3. Эквивалентные максимальные условные напряжения, вычисляемые на этапе III полного расчета (см. п. 5.2.6.4), должны удовлетворять условию

Значение допускаемой амплитуды напряжения [o_a] принимается по рис. 5.15 в зависимости от числа циклов нагружения (пусков) трубопровода за весь период эксплуатации.

Рис. 5.15. Амплитуды допускаемых напряжений:
1 - прямолинейные и криволинейные трубы и секторные колена (при расчете по формуле (8) и тройниковые узлы (при расчете по формуле (9))из углеродистой или легированной (не аустенитной) стали при рабочей температуре до 370 °С;
1a - те же элементы из аустенитной стали при рабочей температуре до 450 °С;
2 - криволинейные трубы и секторные колена (при расчете по формулам (8а)) из углеродистой или легированной (не аустенитной) стали при рабочей температуре до 370 °С;
2a - те же элементы из аустенитной стали при рабочей температуре до 450 °С

Для трубопроводов с рабочей температурой 150-250 °С число циклов нагружения следует принимать с запасом (с превышением над ожидаемым действительным значением) не менее 50%, а при более высокой температуре - с запасом не менее 100%. Если расчетное число циклов нагружения трубопровода менее 3000, то принимается значение [o_a] при 3000 циклах.

Под циклом нагружения трубопровода понимается периодически повторяющийся режим его работы, включающий нагрев, эксплуатацию при постоянной температуре и отключение с полным охлаждением. Следовательно, количество циклов нагружения трубопровода равно числу включений его в работу из холодного состояния или числу отключений его на длительное время.

5.2.8. Применение и учет монтажной растяжки

5.2.8.1. В высокотемпературных трубопроводах монтажная (холодная) растяжка применяется для повышения их прочности и уменьшения передаваемых усилий на оборудование в рабочем состоянии, а в низкотемпературных трубопроводах - для уменьшения нагрузки на оборудование в рабочем состоянии.

5.2.8.2. Применять монтажную растяжку необязательно. Вопрос о целесообразности ее применения, а также о ее величине и месте выполнения следует решать с учетом конкретных особенностей трубопровода.

5.2.8.3. Рекомендуется применять монтажную растяжку в высокотемпературных трубопроводах, обладающих локализаторами ползучести, т.е. элементами, в которых может происходить интенсивное накопление деформации ползучести.

5.2.8.4. Величину монтажной растяжки в низкотемпературных трубопроводах рекомендуется назначать не более 60% от воспринимаемого (компенсируемого) температурного расширения, а в высокотемпературных трубопроводах - не более 100 %, где - коэффициент, представленный графически на рис. 5.6.

5.2.8.5. Учет монтажной растяжки в расчете трубопровода допускается лишь в том случае, когда гарантируется выполнение ее в строгом соответствии с данными проекта. Для низкотемпературного трубопровода монтажная растяжка учитывается на этапах II и IV полного расчета, а для высокотемпературного трубопровода - только на этапе II (исключение см. п. 5.2.8.8).

5.2.8.6. При применении монтажной растяжки с негарантируемым качеством выполнения рекомендуется производить расчет трубопровода без учета монтажной растяжки (ее положительный эффект относится к неучитываемым факторам, повышающим запас надежности). При этом требуется, однако, обосновать положительное значение применяемой монтажной растяжки.

5.2.8.7. Учет монтажной растяжки в расчете высокотемпературного трубопровода по этапу II допускается только при определении передаваемой нагрузки на оборудование. В этом случае расчет должен выполняться в двух вариантах:

с учетом монтажной растяжки и при введении действительной температуры нагрева (расчет для определения усилий воздействия на оборудование);

без учета монтажной растяжки и при введении фиктивной температуры t_р.ф согласно п. 5.2.3.6 (расчет для оценки прочности трубопровода).

При этом требуется обосновать благоприятное воздействие монтажной растяжки на напряженное состояние трубопровода в рабочем состоянии.

5.2.8.8. Если для высокотемпературного трубопровода величина монтажной растяжки превышает величину, указанную в п. 5.2.8.4, то необходимо (независимо от качества выполнения монтажной растяжки) выполнить дополнительный расчет трубопровода по этапу IV с учетом монтажной растяжки, но без учета саморастяжки (т.е. при тех же расчетных условиях, которые принимаются при выполнении расчета низкотемпературного трубопровода по этапу IV).

5.2.8.9. Усилия воздействия низкотемпературного трубопровода на оборудование в холодном состоянии можно определять по формуле п. 5.2.4.3 и при учете монтажной растяжки.

5.2.8.10. Учет монтажной растяжки в расчете трубопровода производится путем введения соответствующих взаимных смещений стыкуемых сечений (т.е. смещений стыкуемых сечений при выполнении растяжки).

Приложение
Справочное

ЗНАЧЕНИЕ КОЭФФИЦИЕНТА ЛИНЕЙНОГО РАСШИРЕНИЯ, КОЭФФИЦИЕНТА ТЕПЛОПРОВОДНОСТИ, МОДУЛЯ УПРУГОСТИ И КОЭФФИЦИЕНТА ТЕМПЕРАТУРОПРОВОДНОСТИ

Марки сталей Температура, °С
20 100 150 200 250 300 350 400 450 500 600
Коэффициент линейного расширения a_t x 10(6), 1/К
Ст3, 10, 20, 20К, 22К, 09Г2С, 15ГС, 16ГС, 12МХ, 15ХМ, 12Х1МФ, 15Х1М1Ф 11,5 11,9 12,2 12,5 12,8 13,1 13,4 13,6 13,8 14,0 14,4
Х18Н10Т, Х18Н12Т, 12Х11В2МФ 16,4 16,6 16,8 17,0 17,2 17,4 17,6 17,8 18,0 18,2 18,5
  Коэффициент теплопроводности _t, Вт/(м·К)
Ст3, 20, 20К, 22К 44,0 44,0 43,0 42,0 40,0 39,0 38,0 36,0 34,0 30,0  
12МХ, 15ХМ, 12Х1МФ 38,0 38,0 37,0 36,5 36,0 35,5 35,0 34,0 33,0 30,0  
  Модуль упругости Et x 10(5), МПа
Ст3, 20, 20К, 22К 2,04 2,01 1,99 1,96 1,94 1,88 1,84 1,79 1,73 1,63 -
09Г2С, 16ГС, 12ХМ, 15ХМ, 12МХ, 12Х1МФ, 15Х1М1Ф 2,14 2,09 2,06 2,04 2,01 1,99 1,94 1,88 1,84 1,79 1,65
Х18Н10Т, Х18Н12Т, 12Х11В2МФ 2,09 2,04 1,99 1,94 1,88 1,84 1,79 1,73 1,99 1,68 1,63
  Коэффициент температуропроводности a_t, мм2/с
Ст3, 20, 20К, 22К 13,0 13,0 13,0 12,0 11,5 11,0 10,0 9,0 8,5 8,0 -
12МХ, 15ХМ, 12Х1МФ, 15Х1М1Ф 11,0 11,0 11,0 10,0 9,5 9,0 8,5 8,0 7,5 7,0 6,0

Приложение
Справочное

СРЕДНИЕ КОЭФФИЦИЕНТЫ ЛИНЕЙНОГО РАСШИРЕНИЯ A x 10(6), 1/°С

Группы сталей Интервал температур, °С
20-50 20-100 20-150 20-200 20-250 20-300 20-350 20-400 20-450 20-500 20-550 20-600 20-650
Углеродистые и низко-легированные 11,5 11,9 12,2 12,5 12,8 13,1 13,4 13,6 13,8 14,0 14,2 14,4 -
Хромистые нержавеющие 10,0 10,3 10,6 10,8 11,0 11,2 11,4 11,5 11,7 11,8 11,9 12,0 -
Аустенитные хромонике-левые 16,4 16,6 16,8 17,0 17,2 17,4 17,6 17,8 18,0 18,2 18,4 18,5 18,7

Приложение
Справочное

МОДУЛЬ УПРУГОСТИ E x·10(-6), МПа

Группы сталей Температура, °С
20 100 200 300 400 500 550 600 650
Углеродистые С<0,25% 2,00 1,95 1,90 1,80 1,70 1,60 - - -
Низколегированные С<0,25% 2,06 2,01 1,96 1,91 1,81 1,71 1,67 1,62 -
Высокохромистые 2,16 2,11 2,06 1,96 1,86 1,76 1,71 1,67 1,57
Аустенитные хромоникелевые 2,01 1,96 1,86 1,76 1,67 1,62 1,60 1,57 1,51

Приложение
Справочное

СРЕДНИЕ ЗНАЧЕНИЯ КОЭФФИЦИЕНТА ТЕПЛОПРОВОДНОСТИ 229_t, Вт/(м·К)

Группы сталей Интервал температур, °С
20-100 20-200 20-300 20-400 20-500 20-600 20-700
Углеродистые С<0,25% 53 51 49 46 43 39 36
Низколегированные С<0,25% 44 43 42 40 37 35 32
Аустенитные хромоникелевые 16 17 19 21 23 25 37

Приложение
Справочное

СРЕДНЕЕ ЗНАЧЕНИЕ КОЭФФИЦИЕНТА ТЕМПЕРАТУРОПРОВОДНОСТИ a1, мм2/с

Группы сталей Температура,°С
20 100 200 300 400 500 600
Углеродистые С<0,25% 13,0 13,0 12,0 11,0 9,0 8,0 -
Низколегированные С<0,25% 11,0 11,0 10,0 9,0 8,0 7,0 6,0