Приказ МЧС РФ N 482, Госгортехнадзора РФ N 175А от 15.08.2003

"Об утверждении Методики определения размера вреда, который может быть причинен жизни, здоровью физических лиц, имуществу физических и юридических лиц в результате аварии гидротехнического сооружения"
Редакция от 15.08.2003 — Документ не действует

МИНИСТЕРСТВО РОССИЙСКОЙ ФЕДЕРАЦИИ ПО ДЕЛАМ ГРАЖДАНСКОЙ ОБОРОНЫ, ЧРЕЗВЫЧАЙНЫМ СИТУАЦИЯМ И ЛИКВИДАЦИИ ПОСЛЕДСТВИЙ СТИХИЙНЫХ БЕДСТВИЙ
N 482

ФЕДЕРАЛЬНЫЙ ГОРНЫЙ И ПРОМЫШЛЕННЫЙ НАДЗОР РОССИИ
N 175а

ПРИКАЗ
от 15 августа 2003 года

ОБ УТВЕРЖДЕНИИ МЕТОДИКИ ОПРЕДЕЛЕНИЯ РАЗМЕРА ВРЕДА, КОТОРЫЙ МОЖЕТ БЫТЬ ПРИЧИНЕН ЖИЗНИ, ЗДОРОВЬЮ ФИЗИЧЕСКИХ ЛИЦ, ИМУЩЕСТВУ ФИЗИЧЕСКИХ И ЮРИДИЧЕСКИХ ЛИЦ В РЕЗУЛЬТАТЕ АВАРИИ ГИДРОТЕХНИЧЕСКОГО СООРУЖЕНИЯ

В соответствии с пунктом 2 Постановления Правительства Российской Федерации от 18 декабря 2001 года N 876 "Об утверждении Правил определения величины финансового обеспечения гражданской ответственности за вред, причиненный в результате аварии гидротехнического сооружения" приказываем:

Утвердить согласованную с Минэкономразвития России Методику определения размера вреда, который может быть причинен жизни, здоровью физических лиц, имуществу физических и юридических лиц в результате аварии гидротехнического сооружения (приложение).

Министр
Российской Федерации
по делам гражданской обороны,
чрезвычайным ситуациям
и ликвидации последствий
стихийных бедствий
С.К.ШОЙГУ

Начальник
Федерального горного
и промышленного надзора России
В.М.КУЛЬЕЧЕВ

Приложение
к Приказу МЧС России,
Госгортехнадзора России
от 15.08.2003 N 482/175а

СОГЛАСОВАНО
Минэкономразвития России
письмо
от 14.03.2003 N МЦ-234/23

МЕТОДИКА
ОПРЕДЕЛЕНИЯ РАЗМЕРА ВРЕДА, КОТОРЫЙ МОЖЕТ БЫТЬ ПРИЧИНЕН ЖИЗНИ, ЗДОРОВЬЮ ФИЗИЧЕСКИХ ЛИЦ, ИМУЩЕСТВУ ФИЗИЧЕСКИХ И ЮРИДИЧЕСКИХ ЛИЦ В РЕЗУЛЬТАТЕ АВАРИИ ГИДРОТЕХНИЧЕСКОГО СООРУЖЕНИЯ

"Методика определения размера вреда, который может быть причинен жизни, здоровью физических лиц, имуществу физических и юридических лиц в результате аварии гидротехнического сооружения" разработана Госгортехнадзором России и МЧС России при участии специалистов ЗАО "Экоцентр-Агрохимбезопасность" в соответствии с Постановлением Правительства Российской Федерации от 18 декабря 2001 года N 876.

I. ВВЕДЕНИЕ

1.1. Настоящая Методика определения размера вреда, который может быть причинен жизни, здоровью физических лиц, имуществу физических и юридических лиц в результате аварии гидротехнического сооружения организаций, производств и объектов, поднадзорных Госгортехнадзору России (далее - Методика), разработана в соответствии с Федеральным законом от 21 июля 1997 г. N 117-ФЗ "О безопасности гидротехнических сооружений", Постановлением Правительства Российской Федерации от 18 декабря 2001 г. N 876 "Об утверждении Правил определения величины финансового обеспечения гражданской ответственности за вред, причиненный в результате аварии гидротехнического сооружения" (далее - Правила) и Порядком определения размера вреда, который может быть причинен жизни, здоровью физических лиц, имуществу физических и юридических лиц в результате аварии гидротехнического сооружения, утвержденным по согласованию с Минэкономразвития России (письмо от 04.03.2002 N МД-312/23) совместным Приказом МЧС России, Минэнерго России, МПР России, Минтранса России и Госгортехнадзора России (далее - Порядок) от 18 мая 2002 г. N 243/150/270/68/89, зарегистрированным Минюстом России 3 июня 2002 г., регистрационный N 3493.

1.2. В Методике учтены особенности гидротехнических сооружений (далее - ГТС) хранилищ жидких отходов промышленных организаций, производств и объектов, поднадзорных Госгортехнадзору России.

1.3. При разработке Методики использованы другие законодательные акты и постановления Правительства Российской Федерации, в частности, Положение о декларировании безопасности гидротехнических сооружений, утвержденное Постановлением Правительства Российской Федерации от 06.11.98 N 1303; нормативные документы Госгортехнадзора России, в частности, Дополнительные требования к содержанию декларации безопасности и методика ее составления, учитывающие особенности декларирования безопасности гидротехнических сооружений на поднадзорных Госгортехнадзору России организациях, производствах и объектах (РД 03-404-01), утвержденные Постановлением Госгортехнадзора России от 09.04.2001 N 11, Методика расчета зон затопления при гидродинамических авариях на хранилищах производственных отходов химических предприятий (РД 09-391-00), утвержденная Постановлением Госгортехнадзора России от 04.11.2000 N 65; руководящие и методические документы других государственных органов и организаций, осуществляющих надзор за безопасностью ГТС в соответствии с Постановлением Правительства Российской Федерации от 16.10.97 N 1320 "Об организации государственного надзора за безопасностью гидротехнических сооружений".

II. ОБЛАСТЬ ПРИМЕНЕНИЯ

2.1. Правила, Порядок и настоящая Методика регламентируют процедуру расчета и определения вероятного вреда в результате аварии ГТС.

2.2. Методику следует использовать для расчета размера вреда, который может быть причинен жизни, здоровью физических лиц, имуществу физических и юридических лиц в результате аварии гидротехнического сооружения в целях определения величины финансового обеспечения гражданской ответственности за вред, причиненный в результате аварии гидротехнического сооружения.

2.3. Методика может быть использована при декларировании безопасности ГТС, проектировании ГТС, классификации чрезвычайных ситуаций, связанных с авариями ГТС, разработке мероприятий по обеспечению готовности ГТС к локализации и ликвидации опасных повреждений и аварийных ситуаций и других видах работ, связанных с обеспечением безопасности ГТС.

2.4. Методика предназначена для работников Госгортехнадзора России, МЧС России, специалистов в области безопасности ГТС проектных и экспертных организаций, работников эксплуатирующих организаций и собственников ГТС.

III. ТЕРМИНЫ И ОПРЕДЕЛЕНИЯ

3.1. Гидротехнические сооружения - плотины, сооружения (дамбы), ограждающие хранилища жидких отходов промышленных организаций, водосбросные, водоспускные и водовыпускные сооружения, туннели, каналы, насосные станции, устройства от размывов на каналах, а также другие сооружения, предназначенные для предотвращения вредного воздействия вод и жидких отходов на окружающую природную среду [4].

3.2. Чрезвычайная ситуация (ЧС) - обстановка на определенной территории, сложившаяся в результате аварии на ГТС, которая может повлечь или повлекла за собой человеческие жертвы, ущерб здоровью людей или ущерб окружающей природной среде, значительные материальные потери и нарушение условий жизнедеятельности людей [4].

Согласно [27] ЧС определяется как обстановка на определенной территории или акватории, сложившаяся в результате аварии, опасного природного явления, катастрофы, стихийного или иного бедствия, которые могут повлечь или повлекли за собой человеческие жертвы, ущерб здоровью людей или окружающей природной среде, значительные материальные потери и нарушение условий жизнедеятельности людей.

3.3. Окружающая среда - совокупность компонентов природной среды, природных и природно-антропогенных объектов, а также антропогенных объектов [6].

3.4. Природная среда - совокупность компонентов природной среды природных и природно-антропогенных объектов [6].

3.5. Компоненты природной среды - земля, недра, почвы, поверхностные и подземные воды, атмосферный воздух, растительный, животный мир и иные организмы, а также озоновый слой атмосферы и околоземное космическое пространство, обеспечивающие в совокупности благоприятные условия для существования жизни на Земле [6].

3.6. Авария гидротехнического сооружения - опасное техногенное происшествие, создающее угрозу жизни и здоровью людей, приводящее к разрушению зданий, сооружений, оборудования и коммуникаций, нарушению производственных и транспортных процессов, нанесению ущерба окружающей природной среде [22].

3.7. Эксплуатирующая организация - государственное или муниципальное унитарное предприятие либо организация другой организационно-правовой формы, на балансе которой находится гидротехническое сооружение [4].

3.8. Собственник гидротехнического сооружения - Российская Федерация, субъект Российской Федерации, муниципальное образование, физическое лицо или юридическое лицо независимо от его организационно-правовой формы, имеющие права владения, пользования и распоряжения гидротехническим сооружением [4].

3.9. Опасные отходы - отходы, которые содержат вредные вещества, обладающие опасными свойствами (токсичностью, взрывоопасностью, пожароопасностью, высокой реакционной способностью) или содержащие возбудителей инфекционных болезней, либо которые могут представлять непосредственную или потенциальную опасность для окружающей природной среды и здоровья человека самостоятельно или при вступлении в контакт с другими веществами [8].

3.10. Остаточная стоимость - стоимость основных фондов, еще не перенесенная на продукт: на вновь введенных в эксплуатацию объектах совпадает с первоначальной стоимостью, на действующих - меньше на величину износа [13].

3.11. Стоимость замещения - сумма затрат на создание объекта, аналогичного объекту оценки, в рыночных ценах, существующих на дату проведения оценки, с учетом износа объекта оценки [13].

3.12. Восстановительная стоимость - стоимость воспроизводства основных фондов в условиях данного года; определяется путем периодической переоценки основных фондов с учетом их физического состояния и морального износа и действующих на момент переоценки оптовых цен, тарифов и сметных норм, расценок на строительно-монтажные работы [13].

3.13. Водозабор - забор воды из водоема, водотока или подземного водоисточника [26].

3.14. Хранилище - искусственная или естественная емкость - включает в себя комплекс сооружений, обустроенных и эксплуатируемых в соответствии с проектами и предназначенных для размещения хвостов обогащения полезных ископаемых, осадков сточных вод, шламов, шлаков, зол, сточных вод, вод производственного назначения и других жидких, пастообразных или твердых отходов [25].

3.15. Хранилище бесплотинное - хранилище, исключающее возведение как плотин, так и первичных дамб [25].

3.16. Зона затопления - зона, в пределах которой происходит движение потока, образующегося при разрушении дамбы (плотины) [24].

3.17. Катастрофическое затопление - территория, на которой затопление имеет глубину 1,5 м и более и может повлечь за собой разрушение зданий и сооружений, гибель людей, выход из строя оборудования предприятий [24, 28].

3.18. Ликвидация чрезвычайных ситуаций - это аварийно-спасательные и другие неотложные работы, проводимые при возникновении чрезвычайных ситуаций и направленные на спасение и сохранение здоровья людей, снижение размеров ущерба окружающей природной среде и материальных потерь, а также на локализацию зон чрезвычайных ситуаций, прекращения действия характерных для них опасных факторов [51].

3.19. Вероятный вред - оцененный в рублях размер максимального вреда, который может быть причинен жизни, здоровью физических лиц, имуществу физических и юридических лиц в результате аварии гидротехнического сооружения [12].

IV. ОБЩИЕ ПОЛОЖЕНИЯ

4.1. Исходными данными для определения размера вероятного вреда в общем виде являются:

перечень прогнозируемых сценариев аварий ГТС, в т.ч. гидродинамических аварий (при гидродинамической аварии происходит разрушение ограждающих дамб и разлив содержимого хранилищ, вызывающий: затопление окружающих территорий, в том числе мест временного или постоянного присутствия человека, мест размещения зданий и сооружений; распространение вредных веществ, которое приводит к загрязнению почв и земель, грунтовых вод, поверхностных водоемов, источников питьевого водоснабжения), с указанием возможных зон воздействия аварии;

значения величин негативных воздействий аварии ГТС;

сведения о вероятности каждого сценария возникновения аварии.

4.2. Информация по определению вероятного вреда, как правило, содержится в соответствующих разделах декларации безопасности ГТС, заключении экспертизы декларации безопасности.

В случае недостатка информации, содержащейся в декларации безопасности ГТС, или отсутствии декларации безопасности ГТС, для получения исходных данных используются результаты проектных, изыскательских, научно-исследовательских работ, эксплуатационные материалы и результаты обследований, оценок технического состояния ГТС.

4.3. Перечень и вероятность сценариев, значения негативных воздействий аварии ГТС, необходимые для определения размера вероятного вреда, устанавливаются на основании:

анализа возможных причин возникновения и характера опасных повреждений ГТС, способных вызвать аварийные ситуации и гидродинамические аварии (выявляются с учетом конструктивных особенностей и состояния сооружений, природно-климатических, геологических и других условий эксплуатации и расположения ГТС, режимов эксплуатации и состояния механического оборудования, уровня технического контроля за сооружениями, квалификации эксплуатационного персонала);

определения показателей риска аварий ГТС;

расчета границ зон возможного затопления и границ зон вредного воздействия на окружающую среду (природные и природно-антропогенные объекты, а также антропогенные объекты);

оценки возможного числа погибших, пострадавших и численности населения, у которых могут быть нарушены условия жизнедеятельности (с учетом воздействия вторичных поражающих факторов);

оценки степени разрушения зданий и сооружений в зонах возможного затопления (с учетом воздействия вторичных поражающих факторов).

Для получения исходных данных в первую очередь применяются утвержденные (согласованные) МЧС России и (или) Госгортехнадзором России требования, методики, рекомендации и другие руководящие документы по определению исходных данных, используемых для расчета вероятного вреда на дату определения владельцем ГТС документа "Расчет вероятного вреда", предусмотренного в главе III Порядка определения размера вреда, который может быть причинен жизни, здоровью физических лиц, имуществу физических и юридических лиц в результате аварии гидротехнического сооружения, утвержденного совместным Приказом МЧС России, Минэнерго России, МПР России, Минтранса России и Госгортехнадзора России от 18 мая 2002 г. N 243/150/270/68/89.

4.4. Определение вероятного вреда проводится для сценария наиболее тяжелой аварии ГТС (аварии с наибольшим значением величины вероятного вреда), а также для сценария наиболее вероятной аварии ГТС.

Вероятный вред определяется в денежном выражении.

При наличии у владельца ГТС двух и более ГТС величина вероятного вреда принимается равной максимальному значению вероятного вреда, определенному для каждого ГТС.

4.5. Хранилища жидких отходов следует подразделять на различные типы, в т.ч. по максимальному объему и составу жидких отходов. Выделяются мелкие с объемом до 100 тыс. м3; средние с объемом от 100 тыс. м3 до 1 млн. м3; крупные хранилища жидких отходов с объемом более 1 млн. м3 [25]. Выделяются хранилища, предназначенные для размещения опасных жидких отходов с загрязняющими веществами, и объекты, предназначенные для аккумуляции природных вод, например, в целях организации производственного водоснабжения и т.п.

4.6. Для хранилищ жидких отходов промышленных предприятий, имеющих в своем составе плотины (дамбы), максимальный вред, который может быть причинен жизни, здоровью физических лиц, имуществу физических и юридических лиц в результате аварии ГТС, как правило, связан с гидродинамическими авариями.

4.7. Для мелких по объему хранилищ жидких отходов вероятный вред в результате аварии в основном связан с ущербом здоровью людей, загрязнением следующих компонентов природной среды: почв, грунтовых вод (подземных вод первого водоносного горизонта от поверхности земли), поверхностных водоемов.

4.8. Для средних по объему хранилищ жидких отходов вероятный вред в результате аварии, как правило, связан с ущербом здоровью людей; разрушением производственных зданий и сооружений, хозяйственных построек, дорог, расположенных в непосредственной близости от хранилища; ущербом сельскому хозяйству и загрязнением компонентов природной среды, указанным в пункте 4.7; выходом из строя водозаборных сооружений.

4.9. Как правило, для крупных по объему хранилищ жидких отходов вероятный вред связан с возможными человеческими жертвами, ущербом здоровью людей, разрушением производственных зданий и сооружений, жилых построек, дорог и других объектов, ущербом сельскому хозяйству, загрязнением компонентов природной среды, указанным в пункте 4.7; выходом из строя водозаборных сооружений.

4.10. Для крупных хранилищ (как правило, с объемом несколько млн. м3), предназначенных для аккумуляции природных вод, вероятный вред в основном связан с возможными человеческими жертвами, ущербом здоровью людей, с разрушением производственных зданий, жилых построек, дорог и других объектов, с ущербом сельскому и лесному хозяйству; выходом из строя водозаборных сооружений, в том числе производственного назначения.

4.11. Для бесплотинных хранилищ жидких отходов промышленных предприятий максимальный вред в основном связан с фильтрацией загрязненных вод через основание и борта хранилища. При фильтрационных утечках происходит загрязнение природных вод (подземных, грунтовых и поверхностных), источников питьевого водоснабжения.

4.12. Для хранилищ жидких отходов характерны как аварии с достаточно высокой вероятностью и несущественными последствиями аварии (например, аварии водопроводов оборотной воды), так и аварии с малой степенью вероятности и значительными последствиями аварий (например, гидродинамические аварии).

4.13. Для оценки вероятного вреда в денежном выражении применяются положения, изложенные в разделе V настоящей Методики.

При недостатке фактических данных, невозможности получить достоверные фактические данные, для отдельных составляющих вероятного вреда допускается применение положений метода укрупненных показателей для определения вероятного вреда, причиняемого гидродинамическими авариями ГТС (см. приложение 3 к настоящей Методике).

4.14. При определении вероятного вреда допускается:

использовать метод аналогий;

для составляющих по определению вероятного вреда, вклад которых в итоговый результат незначителен, использовать укрупненные показатели (см. приложение 3 к настоящей Методике);

вероятные затраты на возмещение имущественного и других ущербов оценивать методом экспертных оценок.

4.15. При определении вероятного вреда следует более подробно рассматривать и учитывать составляющие, вносящие наибольший вклад в итоговый результат.

4.16. Общим требованием для оценки вероятного вреда в денежном выражении является исключение двойного счета, когда оценка одного и того же фактора включается в оценку различных последствий.

4.17. Для определения вероятного вреда рекомендуется формировать рабочие группы или комиссии, куда должны входить:

заинтересованные и компетентные службы собственника и (или) эксплуатирующей ГТС организации, как правило, службы по капитальному строительству, гражданской обороне и чрезвычайным ситуациям, охране окружающей среды, эксплуатации и мониторингу безопасности ГТС;

организации, определенные МЧС России и Госгортехнадзором России, осуществляющие экспертизу декларации безопасности ГТС в соответствии с Положением о декларировании безопасности гидротехнических сооружений, утвержденным Постановлением Правительства Российской Федерации от 6 ноября 1998 года N 1303.

К работе комиссий или рабочих групп могут привлекаться другие организации (например, проектные организации) и отдельные специалисты (например, профессиональные оценщики).

V. ОПРЕДЕЛЕНИЕ РАЗМЕРА ВЕРОЯТНОГО ВРЕДА

5.1. Определение размера вероятного вреда в результате аварии ГТС для сценария наиболее тяжелой аварии и сценария наиболее вероятной аварии проводится поэтапно.

5.1.1. На первом, предварительном, этапе:

составляется перечень возможных сценариев аварий на ГТС, обосновываются (выбираются) и описываются возможные сценарии наиболее тяжелой аварии (при соответствующем обосновании допускается определение одного сценария наиболее тяжелой аварии) и сценарий наиболее вероятной аварии;

по выбранным сценариям аварий ГТС определяются зоны вредного воздействия, количественные (натуральные) показатели вреда в результате аварии (количество пострадавших людей, степень загрязнения компонентов природной среды и т.п.);

для гидродинамических аварий определяются зоны затопления и показатели последствий силового воздействия волны прорыва на человека, здания и сооружения, показатели последствий аварии по воздействию на окружающую среду;

определяются возможные сценарии наиболее тяжелой аварии ГТС по максимальным значениям и сочетаниям натуральных показателей различных составляющих вероятного вреда, затем по этим сценариям определяется вероятный вред в денежном выражении и выделяется сценарий с максимальным значением вероятного вреда в денежном выражении.

5.1.2. На втором этапе:

денежные оценки вероятного вреда по сценарию наиболее вероятной аварии и полученному сценарию наиболее тяжелой аварии группируются согласно показателям социально-экономических последствий аварий ГТС;

составляется документ "Расчет вероятного вреда".

Определение вероятного вреда выполняется со ссылкой на используемые методические указания, нормы оценки размера ущерба, с обоснованием их использования при определении вероятного вреда. Денежные оценки составляются с перечнем использованных документов, которые устанавливают количественные и качественные характеристики аварий ГТС, чрезвычайных ситуаций и их последствий, перечнем использованных при определении вероятного вреда данных с указанием источников их получения, указанием принятых при определении вероятного вреда допущениях.

Расчет вероятного вреда может также содержать иные сведения, являющиеся существенными при оценке размера такого вреда.

5.2. Порядок обоснования сценария наиболее тяжелой аварии и сценария наиболее вероятной аварии для определения вероятного вреда в денежном выражении приведен в приложении 2 к настоящей Методике.

5.3. Денежные выражения расчета убытков в результате аварии ГТС группируются для каждого сценария аварии ГТС по показателям, характеризующим социально-экономические последствия аварий ГТС.

В общем виде вероятный вред от аварии на ГТС (по основным составляющим) определяется как сумма:

Иобщ = Ил + Ио + И2 + Итжэ + И5, (5.1)

где:

Иобщ - полные убытки (полный ущерб) от аварии ГТС;

Ил - затраты, понесенные в результате гибели, пропажи без вести и травматизма людей;

Ио - ущерб основным и оборотным фондам предприятий, кроме основных и оборотных фондов владельца ГТС;

И2 - ущерб готовой продукции предприятий, кроме продукции владельца ГТС;

Итжэ - ущерб элементам транспорта и связи, жилому фонду, имуществу граждан, сельскохозяйственному производству, лесному фонду от потери леса как сырья по рыночным ценам, от затопления и гибели лесов по фактическим затратам на восстановление леса, от сброса опасных веществ (отходов) в окружающую среду, а также ущерба, вызванного нарушением водоснабжения из-за аварий водозаборных сооружений;

И5 - расходы на ликвидацию последствий аварии.

В состав общего ущерба (Иобщ) могут включаться прочие виды ущерба, не входящие в основные составляющие по определению вероятного вреда.

В этом случае:

Иобщ = Ил + Ио + И2 + Итжэ + И5 + И10, (5.2)

где:

И10 - прочие виды ущерба.

5.4. Затраты, понесенные в результате гибели, пропажи без вести и травматизма людей, определяются как сумма:

Ил = Ил1 + Ил2 + Ил3 + Ил4, (5.3)

где:

Ил1 - затраты, понесенные в результате гибели, пропажи без вести людей, кроме лиц, являющихся работниками ГТС, при исполнении ими служебных обязанностей на территории ГТС;

Ил2 - затраты, понесенные в результате травматизма и госпитализации людей, кроме физических лиц, являющихся работниками ГТС, при исполнении ими служебных обязанностей;

Ил3 - затраты, понесенные в результате гибели, пропажи без вести людей, являющихся работниками ГТС, при исполнении ими служебных обязанностей на территории ГТС;

Ил4 - затраты, понесенные в результате травматизма и госпитализации людей, кроме физических лиц, являющихся работниками ГТС, при исполнении ими служебных обязанностей.

При этом при гидродинамической аварии число погибших и пострадавших в результате аварии рекомендуется определять с учетом положений, изложенных в пункте 3.5 приложения 3 к настоящей Методике.

5.4.1. Для Ил1 и Ил3 затраты, понесенные в результате гибели, пропажи без вести людей, как правило, определяются как сумма:

Ил1 (Ил3) = Sпог + Sпк, (5.4)

где:

Sпог - расходы по выплате пособий на погребение погибших, руб.;

Sпк - расходы на выплату пособий в случае смерти кормильца, руб.

Расходы по выплате пособий на погребение погибших определяются исходя из существующих в данной местности расходов на ритуальные услуги на дату расчета.

Перечень лиц, имеющих право на получение пособий в случае смерти кормильца, определяется законодательными актами Российской Федерации.

Размер выплат следует определять из среднемесячного заработка, получаемых при жизни пенсий, пожизненного содержания и пр.

При определении затрат, понесенных в результате гибели, пропажи без вести людей, могут учитываться возмещение морального вреда как пострадавших, так и их родственников, потери от выбытия трудовых ресурсов.

Допускается определять затраты, понесенные в результате гибели, пропажи без вести людей, как произведение:

Ил1 (Ил3) = N1 x Sп, (5.4.1)

где:

N1 - прогнозируемое число погибших и пропавших без вести;

Sп - средние ориентировочные затраты, отнесенные на одного погибшего и пропавшего без вести, принимаемые в размере 2000 МРОТ (МРОТ - минимальный размер оплаты труда, установленный в соответствии с законодательством Российской Федерации), руб.

5.4.2. Для Ил2 и Ил4 затраты, понесенные в результате травматизма и госпитализации людей, как правило, определяются как сумма:

Ил2 (Ил4) = Sв + Sип + Sм, (5.5)

где:

Sв - расходы на выплату пособий по временной нетрудоспособности, руб.;

Sип - расходы на выплату пенсий лицам, ставшим инвалидами, руб.;

Sм - расходы, связанные с повреждением здоровья пострадавшего, его медицинскую, социальную и профессиональную реабилитацию, руб.

Размеры выплат определяются законодательством Российской Федерации, источником информации могут служить материалы расследования аварий, листы временной нетрудоспособности, заявления пострадавших и членов их семей, заключения ВТЭК, приказы о выплате компенсаций и пособий, решения суда, данные страховых компаний.

Допускается определять затраты, понесенные в результате травматизма и госпитализации людей, как произведение:

Ил2 (Ил4) = N2 x Sпостр, (5.5.1)

где:

N2 - прогнозируемое число травмированных и госпитализированных людей;

Sпостр - средние ориентировочные затраты, отнесенные на одного травмированного и госпитализированного, принимаемые в размере 2000 МРОТ (МРОТ - минимальный размер оплаты труда, установленный в соответствии с законодательством Российской Федерации), руб.

5.5. Ущерб основным и оборотным фондам предприятий, кроме основных и оборотных фондов владельца ГТС, определяется как сумма:

Ио = И1 + Иоб, (5.6)

где:

И1 - ущерб основным производственным фондам, кроме основных оборотных фондов владельца ГТС;

Иоб - ущерб оборотным производственным фондам, кроме оборотных фондов владельца ГТС.

5.5.1. Ущерб основным производственным фондам определяется как сумма:

И1 = Пофу + Пофп, (5.7)

где:

Пофу - потери в результате уничтожения основных производственных фондов;

Пофп - потери в результате повреждения основных производственных фондов.

При гидродинамических авариях степень разрушения зданий и сооружений (степень утраты остаточной стоимости) может определяться исходя из параметров гидродинамической аварии в зоне затопления (силового воздействия волны прорыва на здания и сооружения) в соответствии с табл. П3.1 приложения 3.

5.5.1.1. Пофу рекомендуется рассчитывать по формуле:

где:

Soi - стоимость замещения (при затруднительности ее определения - остаточная стоимость) i-го вида уничтоженных основных фондов, руб.;

Smi - стоимость материальных ценностей, годных для дальнейшего использования, i-го вида уничтоженных основных фондов, руб.;

Syi - утилизационная стоимость i-го вида уничтоженных основных фондов, руб.;

n - число видов уничтоженных основных фондов.

Для оборудования, машин, транспортных средств, инвентаря стоимость замещения можно определять исходя из суммы, необходимой для приобретения предмета, аналогичного уничтоженному, за вычетом износа, включая расходы по перевозке и монтажу, таможенные пошлины и прочие сборы.

Для зданий и сооружений стоимость замещения можно определять исходя из проектной стоимости строительства для данной местности объекта, аналогичного уничтоженному по своим проектным характеристикам и качеству строительных материалов, с учетом его износа и эксплуатационно-технического состояния.

В случае, если стоимость замещения отдельных видов уничтоженных основных фондов затруднительно определить ввиду их уникальных характеристик, либо в силу иных причин, Sо можно определять по остаточной стоимости по следующей формуле:

Soi = Sпоi x (1 - Ha x Тэ/100), (5.9)

где:

Sпоi - первоначальная стоимость основных фондов данного вида, руб.;

На - норма амортизационных отчислений по основным фондам, определяемая согласно амортизационным отчислениям по основным фондам, %;

Тэ - продолжительность эксплуатации основных фондов (на момент аварии), лет.

Величина Sо может также определяться на основании индексов изменения стоимости основных фондов, путем умножения Sпо на коэффициент, зависящий от вида и времени приобретения фондов (коэффициент пересчета для определения восстановительной стоимости), рекомендуемый Госкомстатом России.

Следует отметить, что если по основным непроизводственным фондам не начисляются амортизационные отчисления, то остаточную стоимость можно принимать равной первоначальной (Ha = О).

5.5.1.2. При частичном повреждении имущества стоимость ущерба (Пофп) рекомендуется определять в размере расходов по его восстановлению до состояния, в котором он находился непосредственно перед наступлением аварии, при этом рекомендуется учитывать:

расходы на материалы и запасные части для ремонта, руб.;

расходы на оплату услуг сторонних организаций по ремонту, руб.;

стоимость электрической и иной энергии, необходимой для восстановления, руб.;

расходы по доставке материалов к месту ремонта и другие расходы, необходимые для восстановления объекта в том состоянии, в котором он находился непосредственно перед наступлением аварии, руб.;

надбавки к заработной плате за сверхурочную работу, работу в ночное время, в официальные праздники, руб.

Из суммы восстановительных расходов производятся вычеты на износ заменяемых в процессе ремонта частей, узлов, агрегатов и деталей. Размер вычетов рассчитывается исходя из действительной стоимости этих частей и их стоимости в новом состоянии непосредственно перед наступлением аварии.

Восстановительные расходы, как правило, не включают в себя:

дополнительные расходы, вызванные изменениями или улучшениями пострадавшего объекта;

расходы по переборке, восстановительному ремонту и обслуживанию, равно как и иные расходы, которые были необходимы вне зависимости от факта наступления аварии;

другие расходы, произведенные сверх необходимых.

Для оценки потерь в результате уничтожения аварией основных фондов могут быть применены методы, используемые при оценке имущества.

5.5.2. Ущерб оборотным производственным фондам (Иоб) рекомендуется определять по сумме потерь каждого вида ценностей - товарам, приобретенным предприятием, сырью, запасным деталям, запасам топлива, тары и т.п.:

где:

Побi - стоимость ущерба, причиненного i-му виду товаров, приобретенных предприятием, сырью и пр., руб.;

n - число видов ценностей.

Побi рекомендуется определять исходя из стоимости, по ценам, необходимым для их повторной закупки, но не выше цен, по которым они могли бы быть проданы на дату аварии, а также затрат на их транспортировку и упаковку, таможенных пошлин и прочих сборов.

При соответствующем обосновании допускается Иоб принимать в размере 5% от ущерба основным производственным фондам [34].

5.6. Ущерб готовой продукции предприятий определяется как сумма потерь каждого вида продукции:

где:

Птi - стоимость ущерба, причиненного i-му виду готовой продукции предприятия, руб.;

n - число видов готовой продукции.

Птi рекомендуется определять исходя из издержек производства, необходимых для их повторного изготовления, но не выше их продажной цены.

При соответствующем обосновании допускается определять И2 согласно пункту 3.2 приложения 3 к настоящей Методике.

5.7. Ущерб элементам транспорта и связи, жилому фонду, имуществу граждан, сельскохозяйственному производству, лесному фонду от потери леса как сырья по рыночным ценам, от затопления и гибели лесов по фактическим затратам на восстановление леса, от сброса опасных веществ (отходов) в окружающую среду, а также ущерба, вызванного нарушением водоснабжения из-за аварий водозаборных сооружений, определяется как сумма:

Итжэ = И3 + И4 + И6 + И7 + И8 + И9, (5.12)

где:

И3 - ущерб элементам транспорта и связи;

И4 - ущерб жилому фонду и имуществу граждан;

И6 - ущерб сельскохозяйственному производству;

И7 - ущерб лесному хозяйству;

И8 - ущерб от сброса опасных веществ (отходов) в окружающую среду;

И9 - ущерб, вызванный нарушением водоснабжения из-за аварий водозаборных сооружений.

5.7.1. Ущерб элементам транспорта и связи (И3) рекомендуется определять аналогично определению ущерба основным производственным фондам (И1).

При гидродинамических авариях степень разрушения элементов транспорта и связи определяется исходя из параметров гидродинамической аварии в зоне затопления (см. приложение 1, табл. П3.2 приложения 3 к настоящей Методике).

5.7.2. Ущерб жилому фонду и имуществу граждан (И4) рекомендуется определять аналогично определению ущерба основным производственным фондам (И1) и (или) с учетом данных страховых компаний (в случае застрахованного имущества).

При гидродинамических авариях степень разрушения объектов жилого фонда и имущества граждан определяется исходя из параметров гидродинамической аварии в зоне затопления (см. приложение 1, табл. П3.2 приложения 3 к настоящей Методике).

При определении ущерба к жилому фонду следует относить оздоровительные учреждения, дома престарелых и интернаты, охотничьи и рыболовные хозяйства, прочие учреждения кратковременного или сезонного пребывания, а также непроизводственные здания и сооружения, находящиеся в федеральной и муниципальной собственности.

5.7.3. Ущерб сельскохозяйственному производству определяется как сумма:

И6 = Икз + Ивг, (5.13)

где:

Икз - потери от ухудшения качества земли;

Ивг - ущерб от неполучения (недополучения) сельскохозяйственной продукции.

Потери от ухудшения качества земель определяются как сумма потерь от ухудшения качества различных видов земель.

где:

Пкз - потери от ухудшения качества i-го вида земель, руб.;

n - число видов земель.

Ущерб от неполучения (недополучения) сельскохозяйственной продукции определяется как сумма потерь от неполучения (недополучения) различных видов сельскохозяйственной продукции.

где:

Пвг - стоимость ущерба от неполучения (недополучения) i-го вида сельскохозяйственной продукции, руб.

n - число видов неполученной (недополученной) сельскохозяйственной продукции.

Допускается (как правило, для крупных хранилищ) принимать ущерб сельскохозяйственному производству в результате гидродинамических аварий в размере 50% от стоимости земли по действующим нормам восстановления. Площадь нарушений принимается равной 40% от общей площади затопленных сельскохозяйственных угодий. При этом под площадью затопления понимается площадь затопления с отметкой затопления, соответствующей паводку 5% обеспеченности [34] (при соответствующем обосновании допускается устанавливать другие количественные критерии).

И6 = 0,5 x Sсл x Кнорм.с. x 0,4, (5.16)

где:

Scл - площадь сельскохозяйственных угодий, расположенных в зоне затопления (га);

Кнорм.с. - средний по субъекту Российской Федерации норматив стоимости освоения новых земель взамен изымаемых сельскохозяйственных угодий.

5.7.4. Ущерб лесному хозяйству может определяться как сумма:

И7 = Илп + Илд, (5.17)

где:

Илп - потери от снижения продуктивности лесных пород или уничтожения деревьев (потери леса) в результате аварии;

Илд - потери от других направлений хозяйственного использования леса.

Как правило, Илп и Илд определяются экспертным методом, методом аналогий. При невозможности получить корректные данные И7 рекомендуется определять только для гидродинамических аварий.

Для гидродинамических аварий (как правило, для крупных хранилищ) допускается определять ущерб лесному хозяйству как сумму:

И7 = И7с + И7э, (5.18)

где:

И7с - ущерб от потери леса как сырья;

И7э - ущерб от затопления лесов.

Ущерб от потери леса как сырья для лесоперерабатывающей промышленности следует определять с использованием формулы [34]:

И7с = 0,15 x Р x Sл x М, (5.19)

где:

Р - стоимость одного м3 корневого запаса, руб./м3 (минимальные ставки платы за древесину, отпускаемую на корню (например, утвержденные Постановлением Правительства Российской Федерации от 19.09.97 N 1199), с учетом деноминации);

Sл - площадь лесов в зоне затопления, га.

При этом под площадью затопления понимается площадь с отметкой затопления, соответствующей паводку 5% обеспеченности (при соответствующем обосновании допускается устанавливать другие количественные критерии);

М - средний корневой запас товарной древесины, м3/га.

Определяется по данным регионального органа лесного хозяйства; при невозможности получить точные данные рекомендуется применять следующие значения:

для таежных районов - М = 130 м3/га;

для районов со смешанными лесами - М = 90 м3/га;

для прочих районов - М = 50 м3/га.

Ущерб от затопления лесов следует определять по формуле [34]:

И7э = альфа1 x Sл x Кнорм.л x альфа2, (5.20)

где:

Sл - площадь лесов в зоне катастрофического затопления, га;

Кнорм.л - средний норматив платы за перевод лесных земель в нелесные, установленный в субъекте Российской Федерации, с учетом особенностей лесов в зоне затопления;

альфа2 = 0,4 - доля лесных земель в зоне затопления, подверженных нарушению;

альфа1 = 0,15 - доля утраченных лесных земель из подверженных затоплению.

5.7.5. Ущерб от сброса опасных веществ (отходов) в окружающую среду И8 определяется исходя из прогнозируемых затрат на восстановление нарушенного состояния окружающей среды, с учетом прогнозируемых убытков, в том числе упущенной выгоды, а также в соответствии с проектами рекультивации и иных восстановительных работ, при их отсутствии в соответствии с таксами и методиками исчисления размера вреда окружающей среде, утвержденными органами исполнительной власти, осуществляющими государственное управление в области охраны окружающей среды.

Ущерб от сброса опасных веществ (отходов) рекомендуется определять как сумму ущерба по объектам и компонентам природной среды.

И8 = Ив + Ип + Иа + Иг + Иб, (5.21)

где:

Ив - ущерб, нанесенный поверхностным водам (водотокам, водоемам);

Ип - ущерб, нанесенный почвам, земле недрам;

Иа - ущерб, нанесенный атмосферному воздуху;

Иг - ущерб, нанесенный подземным (в т.ч. грунтовым) водам;

Иб - ущерб, нанесенный природным и природно-антропогенным объектам, растительному, животному миру и иным организмам и прочим компонентам природной среды.

Ущерб, нанесенный поверхностным водам (Ив), может определяться исходя из массы поступающих в них загрязняющих веществ, как соответствующая плата за сброс загрязняющих веществ, с учетом экологической ситуации в регионе и договора водопользования.

Ущерб, нанесенный почвам (Ип), может определяться как плата за несанкционированный сброс загрязняющего вещества, например шлама, и загрязнение почв, исходя из норматива платы за отход соответствующего класса токсичности с учетом экологической ситуации.

Ущерб, нанесенный атмосферному воздуху (Иа), может определяться исходя из массы загрязняющих веществ, рассеивающихся в атмосфере.

Ущерб, нанесенный подземным водам (Иг), может определяться, исходя из массы поступающих в них загрязняющих веществ, и рассчитываться в соответствии с методиками исчисления размера ущерба от загрязнения подземных вод (например, в соответствии с положениями Методики исчисления размера ущерба от загрязнения подземных вод, утвержденной Приказом Государственного Комитета Российской Федерации по охране окружающей среды от 11.02.98 N 81 [33]).

Ущерб, нанесенный природным и природно-антропогенным объектам, растительному, животному миру и иным организмам и прочим компонентам природной среды (Иб) может включать в себя потери от снижения биопродуктивности водного объекта. Размер потерь при этом определяется на основе экспертной оценки стоимости снижения биологической продуктивности с учетом положений соответствующих нормативно-методических документов и рекомендаций.

Масса загрязняющих веществ (опасных отходов), поступающих в атмосферу, поверхностные воды и другие компоненты природной среды и природные объекты, размер потерь находятся расчетным (например, по соответствующим методикам - [10, 14, 15, 29, 30 - 32, 35 - 38, 41] или экспертным путем.

5.7.6. Ущерб, вызванный нарушением водоснабжения из-за аварий водозаборных сооружений (И9), определяется необходимыми затратами на восстановление водоснабжения, прерванного из-за отказа или выхода из строя водозаборных сооружений.

Оценку ущерба, вызванного нарушением хозяйственно-питьевого водоснабжения населения, можно проводить по нормам, установленным для аварийного водоснабжения населения в зоне чрезвычайной ситуации:

где:

И9 - ущерб, вызванный нарушением водоснабжения из-за аварии водозаборных сооружений;

Ni - количество жителей, снабжавшихся водой из i-го водозабора (для них необходимо организовать аварийное водоснабжение - не более 0,6 м3/сут.);

ti - число дней аварийного водоснабжения (по i-му водозабору);

Цi - суточные затраты на организацию аварийного водоснабжения на одного жителя (снабжавшегося водой из i-го водозабора);

n - число водозаборов.

5.8. В общем случае расходы, связанные с ликвидацией последствий аварии (И5), определяются по формуле:

И5 = Пл + Пр, (5.23)

где:

Пл - расходы, связанные с локализацией и ликвидацией аварии;

Пр - расходы, связанные с расследованием аварии.

В расходы, связанные с локализацией и ликвидацией аварии (Пл), рекомендуется включать следующие затраты:

непредусмотренные выплаты заработной платы (премии) персоналу при ликвидации (и локализации) аварии;

стоимость электрической (и иной) энергии;

стоимость материалов, израсходованных при ликвидации аварии;

стоимость услуг специализированных организаций по ликвидации последствий аварии.

В расходы на расследование (Пр) рекомендуется включать:

оплату труда членов комиссии по расследованию аварии (в т.ч. командировочные расходы);

затраты на научно-исследовательские работы и мероприятия, связанные с рассмотрением причин аварии;

стоимость услуг экспертов, привлекаемых для расследования причин аварии.

Источниками информации для определения потерь могут служить: материалы расследования причин аварий; счета сторонних организаций; данные ликвидации ЧС, связанных с авариями ГТС; данные страховых компаний и др.

Для ликвидации последствий гидродинамических аварий, как правило, должны быть предусмотрены следующие меры:

эвакуация людей из зоны бедствия;

разборка завалов и обрушившихся строений;

восстановление электроснабжения, теплоснабжения и пр. по временной схеме;

единовременная выплата населению;

прочие расходы, связанные с обеспечением необходимых условий проживания населения, затронутого гидродинамической аварией.

Для сценариев гидродинамических аварий допускается определять расходы на ликвидацию последствий аварии в размере 20% от суммы ущербов И1, Иоб, И2, И3, И4 на территории населенных пунктов и промышленных объектов [34].

И5 = 0,2 x (И1 + Иоб + И2 + И3 + И4) (5.24)

5.9. Прочие виды ущерба (И10) определяются экспертным путем или методом аналогий.

Для гидродинамических аварий И10 допускается рассчитывать по аналогии с вычислением непредвиденных расходов при осуществлении инвестиционных проектов водохозяйственного строительства.

И10 рекомендуется принимать в размере 10% от суммы ущербов И1, Иоб, И2, И3, И4, И5, И7с, И8, И9 [34].

И10 = 0,1 x (И1 + Иоб + И2 + И3 + И4 + И5 + И7с + И8 + И9) (5.25)

НОРМАТИВНЫЕ ССЫЛКИ, ЛИТЕРАТУРА

1. Гражданский кодекс Российской Федерации, 1997 (с изменениями и дополнениями).

2. Водный кодекс Российской Федерации, 1995.

3. Земельный кодекс РСФСР, 1991.

4. Федеральный закон "О безопасности гидротехнических сооружений" от 21.07.97 N 117-ФЗ.

5. Федеральный закон "О защите населения и территорий от чрезвычайных ситуаций природного и техногенного характера" от 21.12.94 N 68-ФЗ.

6. Федеральный закон "Об охране окружающей природной среды" от 10.01.2002 N 7-ФЗ.

7. Федеральный закон "Об обязательном социальном страховании от несчастных случаев на производстве и профессиональных заболеваний" от 24.07.98 N 125-ФЗ (с изменениями).

8. Федеральный закон "Об отходах производства и потребления" от 24.06.98 N 89-ФЗ.

9. Постановление Правительства Российской Федерации от 6 ноября 1998 года N 1303 "Об утверждении положения о декларировании безопасности гидротехнических сооружений".

10. Постановление Правительства Российской Федерации от 23 февраля 1994 года N 140 "О рекультивации земель, снятии, сохранении и о рациональном использовании плодородного слоя почвы".

11. Постановление Правительства Российской Федерации от 23 февраля 1994 года "О порядке выделения средств из резервного фонда Правительства Российской Федерации по предупреждению и ликвидации чрезвычайных ситуаций и последствий стихийных бедствий".

12. Правила определения величины финансового обеспечения гражданской ответственности за вред, причиненный в результате аварии гидротехнического сооружения. Утверждены Постановлением Правительства Российской Федерации от 18 декабря 2001 года N 876.

13. Стандарты оценки, обязательные к применению субъектами оценочной деятельности. Утверждены Постановлением Правительства Российской Федерации от 06.07.2001 N 519.

14. Об утверждении порядка определения платы и ее предельных размеров за загрязнение окружающей природной среды, размещение отходов, другие виды вредного воздействия. Утвержден Постановлением Правительства Российской Федерации от 28.08.92 N 632 (с изменениями).

15. Об утверждении такс для исчисления размера взыскания за ущерб, причиненный уничтожением, незаконным выловом или добычей объектов водных биологических ресурсов. Утверждены Постановлением Правительства Российской Федерации от 25.05.94 N 515 (с изменениями).

16. Минимальные и максимальные ставки платы за пользование водными объектами по бассейнам рек, озерам, морям и экономическим районам. Утверждены Постановлением Правительства РФ от 22.07.1998 N 818.

17. Нормативы стоимости освоения новых земель взамен изымаемых сельскохозяйственных угодий для несельскохозяйственных нужд. Утверждены положением Правительства Российской Федерации от 27.11.1995 N 1176.

18. Об утверждении такс для исчисления размера взысканий за ущерб, причиненный лесному фонду и не входящим в лесной фонд лесам, нарушение лесного законодательства Российской Федерации. Утверждены Постановлением Правительства Российской Федерации от 21.05.2001 N 388.

19. Порядок определения размера вреда, который может быть причинен жизни, здоровью физических лиц, имуществу физических и юридических лиц в результате аварии гидротехнического сооружения. Утвержден совместным Приказом МЧС России, Минэнерго России, МПР России, Минтранса России и Госгортехнадзора России от 18.05.2002 N 243/150/270/68/89, зарегистрированным Минюстом России 03.06.2002, N 3493.

20. Совместный Приказ МПР России и Роскомзема от 22.12.95 N 525/67 "Об утверждении основных положений о рекультивации земель, снятии, сохранении и рациональном использовании плодородного слоя почвы".

21. ПБ 03-438-02. Правила безопасности гидротехнических сооружений накопителей жидких промышленных отходов. Утверждены Постановлением Госгортехнадзора России от 28.01.2002 N 6, зарегистрированным Минюстом России 16.04.2002, N 3372.

22. РД 03-443-02. Инструкция о порядке определения критериев безопасности и оценки состояния гидротехнических сооружений накопителей жидких промышленных отходов на поднадзорных Госгортехнадзору России производствах, объектах и в организациях. Утверждена Постановлением Госгортехнадзора России от 04.02.2002 N 10, зарегистрированным Минюстом России 18.05.2002, N 3449.

23. РД 03-404-01. Дополнительные требования к содержанию декларации безопасности и методике ее составления, учитывающие особенности декларирования безопасности гидротехнических сооружений на поднадзорных Госгортехнадзору России организациях, производствах и объектах. Утверждены Постановлением Госгортехнадзора России от 09.04.2001 N 11, зарегистрированным Минюстом России 27.04.2001, N 2685.

24. РД 09-391-99. Методика расчета зон затопления при гидродинамических авариях на хранилищах производственных отходов химических предприятий.

25. РД 09-255-99. Методические рекомендации по оценке технического состояния и безопасности хранилищ производственных отходов и стоков предприятий химического комплекса.

26. ГОСТ 19185-73. Гидротехника. Основные понятия. Термины и определения.

27. ГОСТ Р 22.0.02-94. Безопасность в чрезвычайных ситуациях. Термины и определения основных понятий (с изменением N 1, введенным в действие Постановлением Госстандарта России от 31.05.2000 N 148-ст).

28. СНиП II-89-80*. Генеральные планы промышленных предприятий.

29. Методика расчета выбросов от источника горения при разливе нефти и нефтепродуктов. Приказ Государственного комитета по охране окружающей среды от 05.03.97 N 90.

30. Методические указания по оценке и возмещению вреда, нанесенного окружающей природной среде в результате экологических правонарушений. Утверждены Приказом Госкомэкологии России от 06.09.99.

31. Методика оценки вреда и исчисления размера ущерба от уничтожения объектов животного мира и нарушения их среды обитания. Утверждена Приказом Госкомэкологии России от 28.04.2000.

32. Об утверждении методик расчета выбросов загрязняющих веществ в атмосферу. Приказы Госкомэкологии России от 08.04.98 N 199, от 12.11.97 N 497, от 05.03.97 N 90, от 14.04.97 N 158.

33. Методика исчисления размера ущерба от загрязнения подземных вод. Утверждена Приказом Государственного Комитета Российской Федерации по охране окружающей среды от 11.02.98 N 81.

34. Временная методика оценки ущерба, возможного вследствие аварии гидротехнических сооружений. М., 2000 г. Утверждена Минэнерго России, согласована МЧС России 26.01.2000 N 33-224-9.

35. Методика подсчета ущерба, нанесенного рыбному хозяйству в результате сброса в рыбохозяйственные водоемы сточных вод и других отходов. Утверждена Минрыбхозом СССР от 16.08.67 N 30-1-11.

36. Инструктивно-методические указания по взиманию платы за загрязнение окружающей природной среды. Министерство охраны окружающей среды и природных ресурсов Российской Федерации. 1993 (с изменениями).

37. Базовые нормативы платы за выбросы, сбросы загрязняющих веществ в окружающую природную среду и размещение отходов. Минприроды Российской Федерации, 1992 (с изменениями).

38. Методика расчета выбросов вредных веществ в атмосферу при свободном горении нефти и нефтепродуктов. Согласована Минприроды Российской Федерации 09.08.96.

39. Распоряжение мэра Москвы от 27.07.2000 "Об утверждении методики исчисления размера ущерба, вызываемого захламлением, загрязнением и деградацией земель на территории г. Москвы".

40. Определение экономических потерь от пожаров. Методические рекомендации. М.: ВНИИПО МВД СССР, 1990. - 40 с.

41. Методические указания по оценке ущербов в зоне затопления. Гидропроект, 1980.

42. Рекомендации по расчету охранных зон хвостохранилищ. Механобр, Л., 1984.

43. Временные методические рекомендации по расчету зон при внезапном прорыве ограждающих дамб хвостохранилищ. ВИОГЕМ, Белгород, 1981.

44. Организация экстремальной медицинской помощи населению при стихийных бедствиях и других чрезвычайных ситуациях. Под ред. В.В. Мешкова. - М., 1992.

45. А.М. Прудовский. Образование прорана при прорыве земляной плотины. Безопасность гидротехнических сооружений (БЭС). Вып. 2-3. - М.: НИИЭС, 1998.

46. Киселев П.Г. (ред.) Справочник по гидравлическим расчетам. Изд. "Энергия", М.

47. Исследование и расчет волны прорыва из хвостохранилища Михайловского ГОКа, ВНИИ ВОДГЕО, М., 1978.

48. Мальцев В.А. Методики оценки обстановки на промышленном предприятии при чрезвычайных ситуациях. ИПК Госслужбы, М., 1993.

Приложение 1

ХАРАКТЕР РАЗРУШЕНИЙ ИНЖЕНЕРНО-ТЕХНИЧЕСКОГО КОМПЛЕКСА ПРОМОБЪЕКТА ПРИ ВОЗДЕЙСТВИИ ВОЛНЫ ПРОРЫВА [24, 48]

Элементы инженерно-технического комплекса Параметры волны прорыва, вызывающие виды разрушений на объекте:
легкие слабые средние сильные
h, м U, м/с h, м U, м/с h, м U, м/с h, м U, м/с
Промышленные здания с легким металлическим каркасом 1,5 0,5 2,0 1,0 4,0 2,0 5,0 2,5
Промышленные здания бескаркасные 1,5 0,5 2,0 1,0 4,0 2,0 5,0 2,5
Кирпичные административные и вспомогательные здания 1,5 0,5 2,0 1,0 3,0 1,5 4,0 2,0
Деревянные здания в 1 - 2 этажа 1,0 0,5 1,0 1,0 2,5 1,0 3,5 1,50
Сборные и легкие деревянные здания 1,5 0,5 2,0 1,0 2,5 1,5 3,5 1,5
Емкости, трубопроводы на опорах 1,0 0,5 1,0 1,0 2,0 2,0 4,0 4,0
Сооружения на подвижных опорах 1,5 0,5 2,5 1,0 2,5 1,5 3,5 2,5
Мосты, эстакады         0,5 <*> 1,0, 1 - 2 <*> 1,5 - 2,5
Дороги с твердым покрытием             1,0 1,8 - 2,5
Автомобильный и железнодорожный транспорт         1,0 1 - 1,5 1,5 2,0

<*> Высота потока выше проезжей части сооружения.

Примечание. h и U, соответственно, высота (глубина) и скорость движения потока.

Приложение 2

ОБОСНОВАНИЕ СЦЕНАРИЕВ АВАРИЙ ДЛЯ РАСЧЕТА ВЕРОЯТНОГО ВРЕДА

2.1. В перечень возможных сценариев аварий на ГТС, как правило, следует включать сценарии возникновения и развития аварий, связанных с нарушением фильтрационного режима ГТС и гидродинамических аварий.

При соответствующем обосновании в перечень возможных сценариев аварий ГТС, исходя из особенностей эксплуатации сооружений, состава жидких отходов, могут включаться сценарии других аварий, например аварий, связанных с испарением, возгоранием жидких отходов, пылением и т.д.

2.2. Перечень сценариев возможных аварий составляется исходя из особенностей конструкции, условий эксплуатации, оценки риска аварий, предварительной оценки потенциальных зон затопления и вредного воздействия, последствий аварий.

Из перечня сценариев аварий выделяются возможные сценарии аварий с наиболее тяжелыми последствиями (при соответствующем обосновании допускается выбор одного сценария наиболее тяжелой аварии), выделяется сценарий наиболее вероятной аварии.

Под наиболее вероятной аварией в настоящей методике (в целях исключения аварий с высокой вероятностью возникновения и незначительными последствиями) понимаются аварии с наибольшим риском аварии.

2.3. Для выделенных сценариев аварий выполняются определение зон затопления и вредного воздействия, оценка натуральных показателей последствий аварии.

В общем случае в перечень данных по выбранным сценариям аварии включаются: сведения по объему, составу и состоянию жидких отходов, размещенных в хранилище; сведения по объему, составу и состоянию вредных веществ, которые могут попасть в окружающую среду в результате аварии (в том числе в результате фильтрационных утечек); для гидродинамической аварии - результаты расчетов максимальных параметров потока (максимальная высота, скорость волны прорыва и др.); сведения о численности работников ГТС и промышленных предприятий в зоне вредного воздействия, в т.ч. в зоне токсического поражения людей; сведения о зданиях и сооружениях, расположенных в зоне вредного воздействия; сведения о размещении населения, землях, компонентах природной среды, природно-антропогенных объектах и др. объектах, размещенных в зонах вредного воздействия.

2.4. Показатели последствий силового воздействия волны прорыва, при гидродинамической аварии, на человека, здания и сооружения (гибель, нанесение ущерба здоровью и нарушение условий жизнедеятельности людей, разрушение и повреждение зданий и сооружений) определяются для территории в пределах зоны затопления, в границах которой воздействие волны опасно для жизни или здоровья человека, может вызвать разрушение и повреждение зданий и сооружений [24].

2.4.1. Показатель последствий силового воздействия волны прорыва на человека (Z_N) определяется количеством людей, постоянно (N_1) или временно (N_2) оказавшихся в зоне воздействия волны прорыва, значения параметров которой (скорость, глубина потока и пр.) равны или превышают критические значения для жизни и здоровья человека:

Z_N = N_1 + N_2 x P(B)_Ч (чел.), (2.1)

где:

P(B)_Ч - вероятность пребывания человека в зоне силового воздействия волны прорыва в течение суток.

Например, если в зоне затопления люди присутствуют круглосуточно, P(B)_Ч = 1, если в зоне затопления люди присутствуют неполные сутки, например, 8 час. - P(B)_Ч = 0,33.

При этом границы зоны катастрофического затопления (зоны, в которой параметры волны прорыва равны или превышают критические значения для жизни и здоровья человека) рекомендуется устанавливать от участка зоны затопления со значением максимальной высоты волны прорыва 1,5 м и более (или другим обоснованным показателям волны прорыва).

При расчете для наиболее тяжелых аварий вероятность пребывания человека в зоне силового воздействия принимается P(B)_Ч = 1.

2.4.2. Показатель силового воздействия волны прорыва ZC на здания и сооружения определяется прочностными характеристиками зданий и сооружений, а также параметрами волны прорыва:

Если фиС (i) >= фиLIM (i), то фиС (i) = 1. Если фиС (i) < фиLIM (i), то фиС (i) = 0,
фиLIM(i) фиLIM (i)

где:

фиС (i) - значение параметра гидродинамической волны прорыва;

фиLIM (i) - предельное значение параметра волны прорыва для данного вида i-го здания или сооружения (для различных степеней разрушения зданий устанавливаются свои предельные значения параметра волны прорыва) (см. приложение 1 к настоящей Методике);

n - количество зданий и сооружений, оказавшихся в зоне затопления.

Показатель ZC численно равен количеству зданий и сооружений, подвергшихся повреждению или разрушению.

2.5. Показатели последствий аварии по воздействию на природную среду при фильтрационных утечках из хранилищ и при гидродинамических авариях, как правило, определяется:

объемами сбросов загрязняющих веществ и опасных отходов в окружающую среду;

соотношением концентраций загрязняющих веществ, в т.ч.: в почве (С(П)_i), грунтовых водах (С(ГВ)_i) в водоемах (С(B)_i) и соответствующих предельно-допустимых концентраций (СПДК) [24].

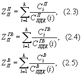
2.5.1. Рассчитав показатель для отдельных вредных веществ как Zi = Сi / Спдк (i), выбираются несколько веществ, имеющих наибольшее значение Zi, и определяется суммарный показатель последствий (ZП).

Показатели определяются по каждому из выделенных компонентов окружающей природной среды - почва, грунтовые воды, поверхностные водоемы:

где:

k - количество суммируемых вредных веществ.

2.5.2. Для оценки показателей последствий аварии и параметров загрязнения почвы, грунтовых вод и поверхностных водоемов вредными веществами, содержащимися в отходах, при гидродинамических авариях рекомендуются следующие допущения:

инфильтрация жидкой фазы на площади затопления через почву и грунт - свободная, т.е. фильтрация происходит без подпора со стороны грунтовых вод;

не учитывается вода, остающаяся в почвенно-растительном слое и в естественных впадинах и понижениях рельефа;

не учитывается дифференциация загрязнения по мощности и площади почв, грунтового потока, акватории водоемов.

2.5.3. При определении степени загрязнения почвы рекомендуется принимать, что вся масса вредных веществ из профильтровавшейся с поверхности жидкости остается в почвенном слое и распределяется равномерно по глубине слоя и площади затопления. При расчете не учитывается, что часть вредных веществ из профильтровавшихся стоков, не задерживаясь в почвенном слое, попадает в грунтовые воды.

2.5.4. При определении степени загрязнения грунтовых вод рекомендуется принимать, что вся масса вредных веществ из профильтровавшейся с поверхности зоны затопления или из хранилища жидкости попадает в грунтовые воды и распределяется равномерно по мощности грунтового потока и (для гидродинамической аварии) по площади затопления. При расчете не учитывается, что часть вредных веществ из профильтровавшихся стоков останется в почве.

2.5.5. При определении параметров загрязнения поверхностных водоемов рекомендуется принимать, что вся масса вредных веществ, содержащихся в вытекшей или профильтровавшейся из хранилища жидкости, распределяется равномерно:

для замкнутых поверхностных водоемов - по всему объему водоема;

для проточных поверхностных водоемов - по сечению водоема.

При расчете не учитывается, что часть вредных веществ из профильтровавшихся в грунтовые воды стоков задержится в почве и грунтах.

2.5.6. Расчет параметров загрязнения почвы.

Объем профильтровавшейся с поверхности почвы жидкости VФ (м3) определяется по формуле:

VФ = КФ x J x FФ x ТФ, (2.6)

где:

FФ - площадь фильтрации (м2), FФ = FЗ, где FЗ - площадь затопления при максимальных значениях параметров волны от хранилища до водной преграды (реки, озера, водоотводящего канала);

J - градиент инфильтрационного потока;

КФ - коэффициент фильтрации почвенного слоя (м/сутки), определяется по данным изысканий;

ТФ - время фильтрации жидкости (сутки).

Значение VФ не должно превышать общего объема V вытекшей из хранилища жидкости.

Для каждого i-того вредного вещества, содержащегося в жидких отходах, вычисляется концентрация вредного вещества в почве С(П)_i (мг/кг) на площади FФ:

С(П)_i = С_i x + С(П)_Фi, (2.7)
F_Ф x M_П x ро(П)_d

где:

С_i - концентрация i-того вредного вещества в жидких отходах, мг/л;

М_П - мощность почвенного слоя, м;

ро(П)_d - плотность сухого почвенно-грунтового слоя, т/м3;

С(П)_Фi - фоновая концентрация i-того вещества в почве, мг/кг.

Параметры М_П и ро(П)_d определяются по данным изысканий.

Полученная концентрация сравнивается с ПДК данного вещества в почве (см. приложение 4).

При отсутствии конкретных исходных данных для ориентировочных оценок рекомендуется пользоваться следующими значениями параметров:

М_П = 0,5 - 1,0 (м);

ро(П)_d = 1,4 - 1,6 (г/см3);

С(П)_Фi = 0.

2.5.7. Расчет параметров загрязнения грунтовых вод.

Для каждого i-того вредного вещества, содержащегося в жидких отходах, вычисляется концентрация вещества в грунтовых водах (С(ГВ)_i) (мг/кг) в зоне затопления:

С(ГВ)_i = V_Ф x С_i + F_Ф x m(ГВ) x n(Г) x С(ГВ)_Фi , (2.8)
V_Ф + F_Ф x m(ГВ) x n(Г)

где:

(С(ГВ)_Фi) - концентрация вещества в грунтовых водах до гидродинамической аварии (фоновая концентрация),

m(ГВ) - мощность грунтового потока,

n(Г) - пористость водоносных грунтов.

Параметры (С(ГВ)_i) , m(ГВ) и n(Г) определяются по данным изысканий.

Полученная концентрация сравнивается с ПДК данного вещества в воде (см. приложение 5).

2.5.8. Расчет степени загрязнения поверхностных водоемов.

Следует различать два случая:

Непроточная водная преграда (замкнутый водоем).

Проточная водная преграда.

Объем жидких отходов VВ, попадающих в замкнутый водоем, принимаем равным объему жидкости, вылившейся из хранилища:

VВ = V.

Для каждого из вредных веществ, содержащихся в жидких отходах, вычисляется концентрация в воде замкнутого водоема С(В)_i (мг/л):

С(В)_i = V_В x С_i + V_З x С(В)_Фi , (2.9)
V_В + V_З

где: V_З - объем замкнутого водоема (м3).

Полученная концентрация сравнивается с ПДК данного вещества в воде (см. Приложение 2).

Для проточного водоема удельное содержание вредного вещества в воде проточного водоема С(В)_i (мг/л) составит:

С(В)_i = Q_MAX x С_i + Q_П x С(В)_Фi , (2.10)
Q_MAX + Q_П

где:

Q_П - расход проточного водоема (м3/сутки),

Q_MAX - максимальный расход изливающегося из хранилища потока (м3/сутки).

Полученная концентрация сравнивается с ПДК данного вещества в воде.

2.5.9. При наличии соответствующих исходных данных возможно районирование площади фильтрации стоков по значениям К_Ф, J, ТФ, МП, ро(П)_d, С(П)_Фi, nг. В этих случаях при определении параметров загрязнения почвы и грунтовых вод для каждого выделенного района (r) рассчитывают величины Vф(r), С(П)_i (r).

2.5.10. Учет сорбции, ионного обмена, окислительно-восстановительных, других физико-химических и биохимических процессов, которые могут происходить с вредными веществами при фильтрации стоков через почвенный слой и грунты, приведет к снижению параметров загрязнения.

2.5.11. По результатам оценок параметров загрязнения и последствий аварий определяются:

сценарии аварий с максимальным размером вреда по натуральным показателям воздействия на каждый компонент природной среды (почвы, грунтовые воды, поверхностные водоемы);

определяются приоритетные, наиболее значимые для определения вероятного вреда в стоимостном выражении, натуральные показатели вреда, по которым при соответствующем обосновании могут проводиться более точные расчеты, в частности, может уточняться количество загрязняющих веществ профильтровавшихся в грунтовые воды, попавших в поверхностные (воды) водоемы и пр.

2.6. По результатам оценки показателей последствий аварии ГТС по силовому воздействию, по воздействию на компоненты окружающей природной среды и пр. определяются сценарии аварий (сценарий аварии) с наиболее тяжелыми последствиями.

Приложение 3

МЕТОД
УКРУПНЕННЫХ ПОКАЗАТЕЛЕЙ ДЛЯ ОПРЕДЕЛЕНИЯ ВЕРОЯТНОГО ВРЕДА, ПРИЧИНЯЕМОГО ГИДРОДИНАМИЧЕСКИМИ АВАРИЯМИ ГИДРОТЕХНИЧЕСКИХ СООРУЖЕНИЙ

3.1. Ущерб основным фондам.

3.1.1. Критерии разделения зоны затопления на зоны сильных, средних и слабых разрушений для основных фондов допускается принимать по таблице П3.1. Отнесение территории к той или иной зоне разрушений следует осуществлять из условия, что значение хотя бы одного из показателей превосходит указанные в таблице П3.1 значения [34, 41].

Таблица П3.1

(Н - глубина затопления, V - скорость течения, Т - продолжительность затопления)

Тип зданий Сильные разрушения Средние разрушения Слабые разрушения
Н, м V, м/с Т, час. Н, м V, м/с Т, час. Н, м V, м/с Т, час.
Кирпичные малоэтажные здания (1 - 3) этажи 4 2,5 170 3 2 100 2 1 50
Промышленные здания с легким металлическим каркасом 5 2,5 170 3,5 2 100 2 1,5 50
Кирпичные и панельные дома средней этажности (4 этажа и более) 6 3 240 4 2,5 170 2,5 1,5 100
Промышленные здания с тяжелым металлическим или железобетонным каркасом (стены из карамзитобетонных панелей) 7,5 4 240 6 3 170 3 1,5 100
Бетонные и железобетонные здания антисейсмической конструкции 12 4   9 3 240 4 1,5 170

Степень разрушения (утраты остаточной балансовой стоимости) по зонам принята следующая:

зона сильных разрушений - К1 = 0,7;

зона средних разрушений - K2 = 0,3;

зона слабых разрушений - К3 = 0,1.

3.1.2. Расчет ущербов основным фондам по укрупненным показателям следует производить по формуле:

И1 = И1(фон) x (S1 x К1 x П1 + S2 x К2 x П2 + S3 x К3 x ПЗ), (3.1)

где:

И1 - ущерб основным производственным фондам;

И1(фон) - общая балансовая стоимость основных производственных фондов субъекта Российской Федерации, отнесенная к единице его территории;

И1(фон) = С1 ,
S

где: С1 - общая балансовая стоимость основных производственных фондов субъекта Федерации без объектов транспорта и связи; при невозможности определить С1 на момент выполнения расчетов рекомендуется пользоваться формулой:

С1 = С x (1,015)(n),

где:

С - общая балансовая стоимость основных производственных фондов по данным Госкомстата России (определяется по Российскому статистическому ежегоднику, как правило, года издания, предшествующего году выполнения расчета);

1,015 - осредненный ежегодный темп роста основных фондов;

n - число лет между годом оценки Госкомстатом России и годом выполнения расчетов;

S - площадь территории субъекта Российской Федерации;

S1; S2; S3 - площадь соответственно зон сильных, средних и слабых разрушений;

K1; К2; К3 - степень разрушения в зонах сильных, средних и слабых разрушений;

П1; П2; П3 - коэффициент концентрации основных фондов на территории зон соответственно сильных, средних и слабых разрушений;

Пi = Рi ,
Рфон

Pi - плотность населения в зонах соответственно сильных (i = 1), средних (i = 2) и слабых (i = 3) разрушений;

Рфон - средняя плотность населения по субъектам Российской Федерации.

В случае, когда П1 = П2 = П3, формула (3.1) приобретает вид:

И1 = И1(фон) x П x (S1 x K1 + S2 x K2 x S3 x K3). (3.1а)

В целях настоящей методики принимается, что объект основных фондов подвержен полному разрушению (полная утрата остаточной балансовой стоимости, степень разрушения равна 1,0), если значения двух любых показателей затопления превосходят значения, соответствующие сильным разрушениям (см. табл. П3.1).

3.2. Ущербы готовой продукции предприятий.

Оценку ущерба готовой продукции, произведенной на предприятии и хранящейся на затрагиваемой аварией территории по укрупненным показателям, следует производить по формуле [34]:

И2 = И2(фон) x n x (S1 x K1 x П1 + S2 x К2 + П2 + S3 x К3 x П3), (3.2)

где:

И2 - ущерб готовой продукции;

И2фон - общий валовый национальный продукт, произведенный за рабочий день в субъекте Российской Федерации и отнесенный к единице его территории;

И2фон = Р1 ,
S x Nр

где: P1 - валовый национальный продукт за год; при невозможности определить Р1 на момент выполнения расчетов рекомендуется пользоваться формулой:

Р1 = Р x Е(n),

где: Р - валовый национальный продукт, произведенный в субъекте Российской Федерации, по данным Госкомстата России (определяется по Российскому статистическому ежегоднику, как правило, года издания, предшествующего году выполнения расчета);

Е = 1,025 - осредненный ежегодный темп роста ВНП;

n - число лет между годом оценки Госкомстатом России и годом выполнения расчетов;

Np = 250 - число рабочих дней в году;

n - срок хранения готовой продукции на предприятии (принимается n = 7).

Остальные обозначения те же, что и для формулы 3.1.

3.3. Ущербы элементам транспорта и связи.

3.3.1. Критерии разделения зоны затопления (максимальные значения параметров гидродинамической аварии) на зоны сильных, средних и слабых разрушений для объектов транспорта и линий связи допускается принимать по таблице П3.2. При этом отнесение территории к той или иной зоне разрушений следует производить, если значение хотя бы одного из показателей превосходит указанные в таблице П3.2 значения [34, 41].

Таблица П3.2

(Н - глубина затопления, V - скорость течения, Т - продолжительность затопления)

Типы элементов транспортных магистралей Сильные разрушения Средние разрушения Слабые разрушения
Н, м V, м/с Т, час. Н, м V, м/с Т, час. Н, м V, м/с Т, час.
Деревянные мосты 1 2   1 1,5   0,5 0,5  
Железобетонные мосты 2 3 50 1 2 30 0,5 0,5 10
Металлические мосты и путепроводы с пролетом 30 - 100 м, ЛЭП, линии связи 2 3 50 1 2 30 0,5 0,5 10
Металлические мосты и путепроводы с пролетом более 100 м 2 2 50 1 1 30 0,5 0,5 10
Железнодорожные пути 2 2 100 1 1,5 50 0,5 0,5 30
Дороги с гравийным (щебеночным) покрытием 2,5 2 100 1 1,5 50 0,5 0,5 30
Шоссейные дороги с асфальтовым покрытием 4 3 240 2 1,5 170 1 1 100

Степень разрушения (утраты остаточной балансовой стоимости) по зонам принимается следующей:

зона сильных разрушений - K1 = 0,8;

зона средних разрушений - К2 = 0,4;

зона слабых разрушений - К3 = 0,1.

В целях настоящей методики принимается, что объект транспорта и связи подвержен полному разрушению (полная утрата остаточной балансовой стоимости, степень разрушения равна 1,0), если значения двух любых показателей затопления превосходят значения, соответствующие сильным разрушениям (см. таблицу П3.2).

3.3.2. Расчет ущербов элементам транспорта и связи по укрупненным показателям производится по формуле:

И3 = И3(фон) x (L1 x K1 + L2 x K2 + L3 x КЗ), (3.3)

где:

И3 - ущерб элементам транспорта и связи;

И3(фон) - общая стоимость основных фондов элементов транспорта и связи в субъекте Российской Федерации, отнесенная к единице длины автодорог;

И3(фон) = D1 ,
L

где:

D1 - общая балансовая стоимость элементов транспорта и связи; при невозможности определить D1 на момент выполнения расчетов рекомендуется пользоваться формулой:

D1 = D x E(n),

где: D - общая балансовая стоимость объектов транспорта и связи по данным Госкомстата России (определяется по Российскому статистическому ежегоднику, как правило, года издания, предшествующего году выполнения расчета);

Е = 1,015 - осредненный ежегодный темп роста основных фондов;

n - число лет между годом оценки Госкомстатом России и годом выполнения расчетов;

L - протяженность автомобильных дорог в субъекте Российской Федерации;

L1; L2; L3 - протяженность автодорог соответственно в зонах сильных, средних и слабых разрушений;

К1; К2; К3 - степень разрушения в зонах сильных, средних и слабых разрушений.

3.4. Ущербы жилому фонду и имуществу граждан

3.4.1. Критерии разделения зоны затопления на зоны сильных, средних и слабых разрушений для объектов жилого фонда и имущества граждан допускается принимать по таблице П3.3. При этом отнесение территории к той или иной зоне разрушений следует производить, если значение хотя бы одного из показателей превосходит указанные в таблице П3.3 значения [34, 41].

Степень разрушения (утраты остаточной балансовой стоимости) по зонам принята следующая:

зона сильных разрушений - К1 = 0,7;

зона средних разрушений - К2 = 0,3;

зона слабых разрушений - К3 = 0,1.

В целях настоящей методики принимается, что объект транспорта и связи подвержен полному разрушению (полная утрата остаточной балансовой стоимости, степень разрушения равна 1,0), если значения двух любых показателей затопления превосходят значения, соответствующие сильным разрушениям (см. таблицу П3.3).

Таблица П3.3

(Н - глубина затопления, V - скорость течения, Т - продолжительность затопления)

Типы объектов жилого фонда Сильные разрушения Средние разрушения Слабые разрушения
Н, м V, м/с Т, час. Н, м V, м/с Т, час. Н, м V, м/с Т, час.
Сборные деревянные жилые дома 3 2 48 2,5 1,5 24 1 1 12
Деревянные дома (1 - 2 этажа) 3,5 2 48 2,5 1,5 24 1   12
Легкие 1 - 2этажные бескаркасные постройки 3,5 2 72 2,5 1,5 48 1 1 24
Кирпичные дома малой этажности (1 - 3 этажа) 4 2,5 50 3 2 100 2 1 50
Кирпичные и блочные дома повышенной этажности (4 и более) 6 3 240 4 2,5 170 2,5 1,5 100

3.4.2. Расчет ущерба жилому фонду по укрупненным показателям следует производить по формуле:

И4 = бета1 x Сс.п. x (N1 x Ki + N2 x K2 + N3 x K3) + + бета2 x Сг.п. x (М1 x K1 + М2 x К2 + М3 x K3), (3.4)

где:

И4 - ущерб жилому фонду;

Сс.п. - осредненная стоимость жилого фонда и имущества на одного сельского жителя;

N1; N2; N3 - количество сельских жителей, проживающих в зонах сильного, среднего и слабого разрушений;

К1; К2; К3 - степень разрушения по зонам;

Сг.п. - осредненная стоимость жилого фонда и имущества на одного городского жителя;

M1; М2; М3 - количество городских жителей, проживающих соответственно в зонах сильного, среднего и слабого разрушений;

бета1 = 1,1 и бета2 = 1,3 - коэффициенты, учитывающие ущерб элементам сельского и городского благоустройства.

Рекомендуемые исходные данные для расчета ущербов:

Сельские населенные пункты - стоимость жилья, имущества и земельного участка на 1 чел. - Сс.п. = 46,7 тыс. руб.

Городские населенные пункты - стоимость жилья и имущества на 1 чел. - Сг.п. = 122 тыс. руб.

Указанные исходные данные могут уточняться (в т.ч. с учетом инфляционных процессов) и корректироваться в ходе составления расчетов по конкретным объектам, если существует возможность получить более точную информацию.

3.5. Определение числа погибших и пострадавших при возникновении гидродинамической аварии.

Оценка возможных потерь (гибель) людей и пострадавших при гидродинамической аварии выполняется с учетом положений [44, 34].

Отнесение территории к той или иной зоне воздействия допускается производить по критериям, используемым для объектов жилого фонда и имущества граждан (таблица П3.3). При этом в зоне сильных воздействий должна быть выделена ближайшая к створу зона катастрофических воздействий. Размеры этой зоны определяются обязательным сочетанием двух следующих факторов:

зона располагается в пределах одного часа "добегания" волны до створа;

глубина затопления должна быть более 3 метров.

Оценку возможных потерь следует производить в процентах от численности населения, проживающего в различных зонах. Необходимые для расчета данные помещены в таблице П3.4.

Таблица П3.4

Зона воздействия Общие потери (%) Из общего числа потерь
днем ночью Безвозвратные (%) Возвратные (%)
Днем Ночью Днем Ночью
1-я зона - катастрофическая 60 90 40 75 60 25
2-я зона - зона сильного воздействия 13 25 10 20 90 80
3-я зона - зона среднего воздействия 5 15 7 15 93 85
4-я зона - зона слабого воздействия 2 10 5 10 95 90

Приложение 4

ПРЕДЕЛЬНО ДОПУСТИМЫЕ КОНЦЕНТРАЦИИ В ПОЧВЕ (ПДКп) НЕКОТОРЫХ ХИМИЧЕСКИХ ВЕЩЕСТВ, ХАРАКТЕРНЫХ ДЛЯ ХРАНИЛИЩ ЖИДКИХ ОТХОДОВ ПРЕДПРИЯТИЙ ХИМИЧЕСКОГО КОМПЛЕКСА

(из Перечня ПДК и ОДК химических веществ в почве, М., 1993)

N п/п Наименование вещества ПДКп, мг/кг Лимитирующий признак вредности
1 Бензол 0,3 воздушно-миграционный
2 Мышьяк 2,0 транслокационный
3 Нитраты 130 воздушно-миграционный
4 Ртуть 2,1 транслокационный
5 Свинец 32,0 общесанитарный
6 Серная кислота <а> 160 общесанитарный
7 Толуол 0,3 воздушно-миграционный
8 Формальдегид 7,0 воздушно-миграционный
9 Хлористый калий <б> 560 водно-миграционный
10 Медь 3,0 <*> общесанитарный
11 Цинк 23,0 <*> транслокационный
12 Хром 6,0 <*> общесанитарный
13 Никель 4,0 <*> общесанитарный
14 Сероводород 0,4 воздушно-миграционный
15 Фтор 2,8 <*> транслокационный
16 Сероводород 0,4 воздушно-миграционный
17 Фтор 10,0 <**> транслокационный
18 Бензин <в> 0,1 воздушно-миграционный

<а> ПДК серной кислоты может быть использована для оценки загрязнения почвы сульфат-ионом;

<б> ПДК хлористого калия может быть использована для оценки загрязнения почвы хлорид-ионом;

<в> ПДК бензина может быть использована для ориентировочной оценки загрязнения почвы нефтепродуктами с низкой температурой кипения (до 200 град. С).

<*> Подвижная форма элемента, извлекаемая из почвы ацетатно-аммонийным буферным раствором рН4,8.

<**> Водорастворимая форма.

Лимитирующие признаки вредности в почве:

воздушно-миграционный - характеризует переход вещества из почвы в атмосферу;

транслокационный - характеризует переход вещества из почвы через корневую систему в зеленую массу и плоды растений;

общесанитарный - показатель, характеризующий влияние химического вещества на самоочищающую способность почвы.

Приложение 5

ПРЕДЕЛЬНО ДОПУСТИМЫЕ КОНЦЕНТРАЦИИ В ВОДЕ (ПДК) НЕКОТОРЫХ ХИМИЧЕСКИХ ВЕЩЕСТВ, ХАРАКТЕРНЫХ ДЛЯ ХРАНИЛИЩ ЖИДКИХ ОТХОДОВ ПРЕДПРИЯТИЙ ХИМИЧЕСКОГО КОМПЛЕКСА

(из ГН 2.1.5.689-98 "ПДК химических веществ в воде водных объектов хозяйственно-питьевого и культурно-бытового водопользования" и "Перечня ПДК вредных веществ для воды рыбохозяйственных водоемов", М., 1999)

N п/п Наименование вещества ПДК в воде, мг/л
водных объектов хозяйственно-питьевого и культурно-бытового водопользования водоемов рыбохозяйственного назначения
1 Аммиак (по азоту) 2,0 (с-т) <*> 0,05 (токс)
2 Бензол 0,5 (с-т) 0,5 (токс)
3 Железо 0,3 <а> (орг - окр) 0,1 (токс)
4 Метанол 3,0 (с-т) 0,1 (с-т)
5 Мышьяк 0,05 <а> (с-т) 0,05 (токс)
6 Натрий 200 (с-т) 120 (с-т)
7 Нитриты 3,3 (с-т) 0,08 (токс)
8 Нитраты 45 (с-т) 40 (с-т)
9 Ртуть 0,0005 <в> отсутствие
10 Свинец 0,03 (с-т) 0,1 (токс)
11 Сульфаты 500 (орг - привк) 100 (токс)
12 Толуол 0,5 (орг - зап) 0,5 (орг)
13 Фенол 0,001 <б> (орг. зап.) 0,001 (рыб. хоз.)
14 Формальдегид 0,05 (с-т) 0,1 (токс)
15 Хлориды 350 (орг - привк) 300 (с-т)
16 ХПК <**> 15; 30 <з>  
17 Цинк 1,0 (общ) 0,01 (токс)
18 Нефтепродукты 0,3 (орг - пленка) 0,05 (рыб. хоз.)
19 Полифосфаты 3,5 <в> (орг) 2,0 <г> (токс)
20 Цианид-ион 0,035 <д> (с-т) 0,05 (токс)
21 Фторид-ион 0,7 - 1,5 <ж> (с-т) 0,05 <е> (токс)

<а> с учетом валового содержания всех форм;

<б> эта ПДК для суммы летучих фенолов при условии применения хлора для обеззараживания воды, в иных случаях ПДК = 0,1 мг/л;

<в> по РО4;

<г> по Р;

<д> цианиды простые и комплексные (за исключением цианоферратов) в расчете на цианид-ион;

<е> в дополнение к фоновому, но не выше их суммарного содержания 0,75 мг/л;

<ж> для климатических районов I - II - 1,5 мг/л; III - 1,2 мг/л; IV - 0,7 мг/л;

<з> для хозяйственно-питьевого водоснабжения - 15 мг О2/л; для культурно-бытового - 30 мг О2/л.

<*> В скобках приведен лимитирующий признак вредности:

с-т - санитарно-токсикологический (характеризует влияние химического вещества в воде на здоровье человека);

общ - общесанитарный (характеризует влияние химического вещества на самоочищение воды в водоемах: процессы биохимического окисления, сапрофитную микрофлору и т.п.);

орг - органолептический (привкус, запах, окраска);

токс - токсикологический.

<**> Химическая потребность в кислороде (ХПК) - интегральный показатель загрязнения органическими веществами.