ФЕДЕРАЛЬНАЯ ЭНЕРГЕТИЧЕСКАЯ КОМИССИЯ РОССИЙСКОЙ ФЕДЕРАЦИИ
ИНФОРМАЦИОННОЕ ПИСЬМО
от 18 сентября 2003 г. N КГ-3395/11
О РАЗЪЯСНЕНИЯХ К П. 55 - 57 МЕТОДИЧЕСКИХ УКАЗАНИЙ ПО РАСЧЕТУ ТАРИФОВ И ЦЕН НА ЭЛЕКТРИЧЕСКУЮ (ТЕПЛОВУЮ) ЭНЕРГИЮ НА РОЗНИЧНОМ (ПОТРЕБИТЕЛЬСКОМ) РЫНКЕ
В связи с участившимися обращениями региональных энергетических комиссий и субъектов регулирования по вопросам расчета тарифов на услуги по передаче электрической энергии в соответствии с пунктами 55 - 57 методических указаний по расчету регулируемых тарифов и цен на электрическую (тепловую) энергию на розничном (потребительском) рынке ФЭК России представляет иллюстративный пример расчета тарифов по четырем уровням напряжения (прилагается).
Г.П.КУТОВОЙ
Приложение
ПРИМЕР РАСЧЕТА ТАРИФОВ НА УСЛУГИ ПО ПЕРЕДАЧЕ ЭЛЕКТРИЧЕСКОЙ ЭНЕРГИИ ПО ЭЛЕКТРИЧЕСКИМ СЕТЯМ, ДИФФЕРЕНЦИРОВАННЫХ ПО ДИАПАЗОНАМ (УРОВНЯМ) НАПРЯЖЕНИЯ, СОГЛАСНО ПОЛОЖЕНИЯМ ПУНКТОВ 55 - 57 "МЕТОДИЧЕСКИХ УКАЗАНИЙ ПО РАСЧЕТУ РЕГУЛИРУЕМЫХ ТАРИФОВ И ЦЕН НА ЭЛЕКТРИЧЕСКУЮ (ТЕПЛОВУЮ) ЭНЕРГИЮ НА РОЗНИЧНОМ (ПОТРЕБИТЕЛЬСКОМ) РЫНКЕ"
При расчете тарифов приняты следующие исходные положения и допущения:
- расчет тарифных ставок на содержание сетей и на оплату технологических потерь электроэнергии выполнен при условии дифференциации ставок по четырем диапазонам (уровням) напряжения;
- с высокого напряжения (110 кВ) мощность и энергия могут трансформироваться как на среднее напряжение первого уровня (35 кВ), так и на среднее напряжение второго уровня (20-1 кВ);
- суммарная необходимая валовая выручка (НВВ) распределена по диапазонам (уровням) напряжения пропорционально условным единицам;
- мощность и электроэнергия от производителей энергии могут поступать как в сеть высокого напряжения, так и в сеть среднего напряжения как первого, так и второго уровня.
Распределение мощности и электроэнергии и технологических потерь электроэнергии по диапазонам напряжения представлено в таблице N 1.
Таблица N 1
Распределение мощности, электроэнергии и технологических потерь электроэнергии по диапазонам напряжения
| Показатели | ВН | СН1 | СН11 | НН | Всего |
| 1. Мощность в МВт | | | | | |
| отпуск в сеть | 533,2 | 308,2 | 311,8 | 100 | 653,2 <*> |
| в том числе: | | | | | |
| от генерации | 533,2 | 75 | 45 | - | 653,2 |
| из смежной сети | - | 233,2 | 266,8 | 100 | - |
| всего, | | | | | |
| в том числе из сети: | | | | | |
| ВН | - | 233,2 | 84 | - | - |
| СН1 | - | - | 182,8 | - | - |
| СН11 | - | - | - | 100 | - |
| Полезный отпуск | 200 | 110 | 190 | 80 | 580 |
| 2. Электроэнергия в млн. кВт.ч | | | | | |
| отпуск в сеть всего, | 2652 | 1491,8 | 1397,85 | 400 | 3352 |
| в том числе: | | | | | |
| от генерации | 2652 | 450 | 250 | - | 3352 |
| из смежной сети всего, | - | 1041,8 | 1147,85 | 400 | - |
| в том числе из сети: | | | | | |
| ВН | - | 1041,8 | 330,65 | - | - |
| СН1 | - | - | 817,2 | - | - |
| СН11 | - | - | - | 400 | - |
| Полезный отпуск | 1200 | 600 | 900 | 320 | 3020 |
| 3. Потери мощности | | | | | |
| в МВт | 16,0 | 15,4 | 21,8 | 20 | 73,2 |
| в процентах от отпуска в сеть | 3 | 5 | 7 | 20 | 11,21 <**> |
| 4. Потери электроэнергии | | | | | |
| в млн. кВт.ч | 79,55 | 74,6 | 97,85 | 80 | 332 |
| в процентах от отпуска | 3 | 5 | 7 | 20 | 9,9 <***> |
<*> 533,2 + 75 + 45 = 653,2
<**> (73,2 x 100) : 653,2 = 11,21
<***> (332 x 100) : 3352 = 9,9
Распределение НВВ, заявленной мощности, полезного отпуска электроэнергии, годового числа часов использования заявленной мощности по уровням напряжения представлено в таблице N 2.
Таблица N 2
Распределение НВВ, заявленной мощности, полезного отпуска электроэнергии, годового числа часов использования заявленной мощности по уровням напряжения
| Показатели | Уровни напряжения |
| ВН | СН1 | СН11 | НН | Всего |
| НВВ, в млн. руб. | 150 | 120 | 180 | 125 | 575 |
| НВВ, в процентах | 26,1 | 20,9 | 31,3 | 21,7 | 100 |
| Заявленная мощность, в МВт | 200 | 110 | 190 | 80 | 580 |
| в процентах | 34,5 | 19,0 | 32,7 | 13,8 | 100 |
| Полезный отпуск | | | | | |
| в млн. кВт.ч | 1200 | 600 | 900 | 320 | 3020 |
| в процентах | 39,7 | 19,9 | 29,8 | 10,6 | 100 |
| Годовое число часов использования заявленной мощности | 6000 | 5455 | 4737 | 4000 | 5207 |
Схемы распределения потоков электрической мощности и энергии по уровням напряжения представлены на рисунках 1 и 2.
Рис. 1. Схема потоков мощности для расчета тарифов на содержание сетей

Рис. 2. Схема потоков энергии для расчета тарифов на оплату потерь в сетях

Примечание. Электроэнергия указана в млн. кВт.ч; Тарифы - в коп./кВт.ч. Суммарные потери Э = (2652 + 250 + 420) - (1200 + + 600 + 300 + 320) = 332 млн. кВт.ч, или 9,9%
| ЭС | = | 2652 x 30 | 450 x 36 | 250 x 42 | = 31,7 коп./кВт.ч |
| Т | | 2652 | 450 | 250 |
| З | | = 31,7 x 332 x 1Е6 x 1Е(-2) = 125,244 x 1Е6 |
| пот | |
РАСЧЕТ ДИФФЕРЕНЦИРОВАННЫХ ТАРИФНЫХ СТАВОК НА СОДЕРЖАНИЕ ЭЛЕКТРИЧЕСКИХ СЕТЕЙ
Высокое напряжение 110 (60) кВ

| сн | | | | сод | | по | |
| Дельта НВВ | | = НВВ | | - Т | | x N | | = 150 x 1E6 - 290021 x 200 = 91,9958 x 1E6 руб. |
| вн | вн | | вн | | вн | |
в том числе:


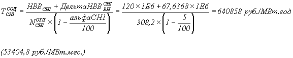
Среднее напряжение первого уровня 35 кВ

| СН11 | | | СН1 | | СОД | | ПО | |
| ДельтаНВВ | | = НВВ | | + ДельтаНВВ | | - Т | | x N | | = 120 x 1E6 + 67,6368 x 1E6 - 640858 x |
| СН1 | СН1 | ВН | | СН1 | | СН1 | |
x 110 = 117,1424 x 1E6 руб.
Среднее напряжение второго уровня 20-1 кВ

| НН | | | СН11 | СН11 | СОД | ПО | |
| ДельтаНВВ | | = НВВ | | + ДельтаНВВ | | + ДельтаНВВ | | - Т | | x N | | = (75 + 105 + 24,3632 + |
| СН11 | СН11 | ВН | СН1 | СН11 | СН11 | |
+ 117,1423) x 1E6 -
Низкое напряжение 0,4 кВ

Проверка сходимости распределения НВВ_сети и сбора товарной выручки ТВ_сети
| сод | сод | | | | |
| ТВ | | = Т | | x N | | = 290021 x 200 x 1E(-6) = 58,0042 млн. руб. | |
| вн | вн | вн | | |
| сод | сод | | | | |
| ТВ | | = Т | | x N | | = 640858 x 110 x 1E(-6) = 70,4944 млн. руб. | |
| сн1 | сн1 | сн1 | | |
| сод | сод | | | | |
| ТВ | | = Т | | x N | | = 1108739 x 190 x 1E(-6) = 210,6604 млн. руб. | |
| сн11 | сн11 | сн11 | | |
| сод | сод | | | | |
| ТВ | | = Т | | x N | | = 1108739 x 190 x 1E(-6) = 210,6604 млн. руб. | |
| нн | нн | нн | | |
| Таким образом, ТВ | | = НВВ | | = 575 млн. руб. |
| сети | сети | |
| сод | | | |
| При этом Т | = | 575 x 1E6 | = 82615 руб./МВт.мес. |
| ср | 580 x 12 |
| | | | |
| сод.э | | | |
| Т | = | 575 x 1E6 x 1E2 | = 19,04 коп./кВт.ч |
| ср | 3020 x 1E6 |
| | | | |
Средние тарифы на содержание сетей в расчете на 1 кВт.ч
| | | сод | | | |
| сод.э | | ТВ | | | | |
| Т | = | вн | = | 58,0042 x 1E6 x 1E2 | = 4,834 коп./кВт.ч |
| вн | по | 1200 x 1E6 |
| | | Э | | | | |
| | | | вн | | | |
| | | сод | | | |
| | сод.э | | ТВ | | | | |
| Т | = | сн1 | = | 70,494 x 1E6 x 1E2 | = 11,749 коп./кВт.ч |
| сн1 | по | 600 x 1E6 |
| | | Э | | | | |
| | | | сн1 | | | |
| | | сод | | | |
| | сод.э | | ТВ | | | | |
| Т | = | сн11 | = | 210,660 x 1E6 x 1E2 | = 24,407 коп./кВт.ч |
| сн11 | по | 900 x 1E6 |
| | | Э | | | | |
| | | | сн11 | | | |
| | | сод | | | |
| | сод.э | | ТВ | | | | |
| Т | = | нн | = | 235,845 x 1E6 x 1E2 | = 73,702 коп./кВт.ч |
| нн | по | 320 x 1E6 |
| | | Э | | | | |
| | | | нн | | | |
РАСЧЕТ ДИФФЕРЕНЦИРОВАННЫХ ТАРИФНЫХ СТАВОК НА ОПЛАТУ ПОТЕРЬ ЭЛЕКТРОЭНЕРГИИ
Высокое напряжение

| ПОТ | | | | | | ОТП | | альфа | | |
| Э | = | Т | ЭС | x | Э | x | ВН | = 31,7 x 2652 x 0,03 x 1E(-2) = 25,22 x 1E6 руб. |
| ВН | | ВН | 100 |
| | | | | | | | | | |
Среднее 35 кВ

| | | | | | | | | | | | | | |
| | ПОТ | | | | | | ОТП | | альфа | | | | | СН1 | |
| Э | = | Т | ЭС | x | Э | x | СН1 | + | Дельта | Э | = 31,7 x 1491,8 x 1E(-2) x 0,05 x 1E6 + 10,214 x |
| СН1 | | СН1 | 100 | ВН |
| | | | | | | | | | | | | |
x 1E6 = 33,859 x 1E6 руб.
| | | | | | | | | | | СН1 | ПОСТ | | | |
| | СН1 | | ПОТ | | ПОТ | | ПО | | | | Э | | - Э | | | | |
| ДельтаЭ | = (Э | - Т | x Э | ) x | | | ВН | СН1 | | | = (25,22 x 1E6 - 0,98 x |
| ВН | ВН | ВН | ВН | СН1 | СН11 | ПОСТ | ПОСТ |
| | | | | | Э | | + Э | | - Э | | - Э | | |
| | | | | | | | | | ВН | ВН | СН1 | СН11 | |
| x 1200 x 1E6 x 1E(-2)) x | 1491,8 - 450 | = 10,214 x 1E6 руб. |
| 1491,8 + 580,65 - 450 - 250 |
Среднее 20-1 кВ

| ОТП | | , | | ,, | |
| Э | = Э | + Э | = (580,65 + 817,2) x 1E6 = 1397,85 x x 1E6 руб. |
| СН11 | СН11 | СН11 |
| | | | |
| ПОТ | | ПОТ | | ПОТ | | ПО | | СН1 | | ПОТ | | ПОТ | | ПО | |
| ДельтаЗ | | = [(З | | - Т | | x Э | | ) - ДельтаЗ | | ] + (З | | - Т | | x Э | | ) = |
| | | | ВН | | ВН | | ВН | | ВН | | СН1 | | СН1 | | СН1 | |
= (25,22 -0,98 x 1E(-2) x 1200 - 10,214) x 1E6 +(33,859 - 2,389 x 1E(-2) x 600) x 1E6 = 22,771 x 10 руб.
Низкое напряжение 0,4 кВ
| | | ПОТ | | | |
| сод | | З | | | | |
| Т | = | НН | = | 41,907 x 1E2 x 1E6 | = 13,096 коп./кВт.ч |
| НН | ПО | 320 x 1E6 |
| | | Э | | | | |
| | | | НН | | | |
| ПОТ | | ЭС | | ОТП | | НН | | НН | | |
| З | = Т | x Э | x | альфа | | + ДельтаЗ | = | 31,7 x 1E(-2) x 400 x 1E6 x 0,2 + 16,547 x 1E6 = |
| НН | | НН | 100 | СН11 |
| | | | | | | | | | |
= 41,907 х 1E6 руб.
| НН | | ПОТ | | ПОТ | | ПО | |
| ДельтаЗ | | = З | | - Т | | x Э | | = 53,789 x 1E6 - 4,138 x 1E(-2) x 900 x 1E6 = 16,547 x 1E6 руб. |
| СН11 | | СН11 | | СН11 | | СН11 | |
| пот | пот | |
| Проверка сходимости распределения затрат на оплату потерь З | | и сбора товарной выручки ТВ | | |
| сети | сети | |
| пот | пот | по | |
| ТВ | | = Т | | x Э | | = 0,98 x 1E(-2) x 1200 x 1E6 = 11,761 x 1E6 руб. |
| вн | вн | вн | |
| пот | пот | по | |
| ТВ | | = Т | | x Э | | = 2,389 x 1E(-2) x 600 x 1E6 = 14,334 x 1E6 руб. |
| сн1 | сн1 | сн1 | |
| пот | пот | по | |
| ТВ | | = Т | | x Э | | = 4,138 x 1E(-2) x 900 x 1E6 = 37,242 x 1E6 руб. |
| сн11 | сн11 | сн11 | |
| пот | пот | по | |
| ТВ | | = Т | | x Э | | = 13,096 x 1E(-2) x 320 x 1E6 = 41,907 x 1E6 руб. |
| нн | нн | нн | |
| | |
| ПОТ | |
| ТВ | = 105,244 х 1E6 руб. |
| Сигма | |
| пот | | пот | |
| Таким образом, З | = ТВ | = 105,244 x 1E6 руб. |
| сети | сети | |
| пот | | | |
| При этом Т | = | 105,244 x 1E6 x 1E2 | = 3,485 коп./кВт.ч |
| ср | 3020 x 1E6 |
| | | | |
СВОДНАЯ ТАБЛИЦА РЕЗУЛЬТАТОВ
| | ВН | СН1 | СН11 | НН | В среднем |
| | сод | | | | | | |
| Т | , в руб./МВт. | | | | | |
| мес. | | 24168,6 | 53404,8 | 92395 | 245672 | 82615 |
| То же в отн. ед. | 1 | 2,2 | 3,8 | 10,2 | 3,4 |
| | сод.э | | | | | | |
| Т | , в коп./кВт.ч | 4,834 | 11,749 | 24,407 | 73,702 | 19,04 |
| То же в отн. ед. | 1 | 2,4 | 5,0 | 15,2 | 3,9 |
| | пот | | | | | | |
| Т | , в коп./кВт.ч | 0,98 | 2,389 | 4,138 | 13,096 | 3,485 |
| То же в отн. ед. | 1 | 2,4 | 4,2 | 13,4 | 3,6 |
| Т | передачи | , в коп./кВт.ч | | | | | |
| | | 5,814 | 14,138 | 28,545 | 86,798 | 22,525 |
| То же в отн. ед. | 1 | 2,4 | 4,9 | 14,9 | 3,9 |