Регистр систем качества. Порядок проведения сертификации систем качества и сертификации производств. ГОСТ р 40.003-2000

(утв. Постановлением Госстандарта РФ от 13.04.2000 N 108-СТ)
Редакция от 13.04.2000 — Документ утратил силу, см. «Приказ Ростехрегулирования от 19.11.2004 N 82-СТ»

ГОСУДАРСТВЕННЫЙ СТАНДАРТ РОССИЙСКОЙ ФЕДЕРАЦИИ

СИСТЕМА СЕРТИФИКАЦИИ ГОСТ Р

РЕГИСТР СИСТЕМ КАЧЕСТВА

ПОРЯДОК ПРОВЕДЕНИЯ СЕРТИФИКАЦИИ СИСТЕМ КАЧЕСТВА И СЕРТИФИКАЦИИ ПРОИЗВОДСТВ

GOST R certification system. Quality systems register. Procedure of quality systems certification and of productions certification

ГОСТ Р 40.003-2000

ОКС 03.120

ОКСТУ 0004

Дата введения 2000-10-01

Предисловие

1 РАЗРАБОТАН Всероссийским научно-исследовательским институтом сертификации (ВНИИС) при участии Всероссийского научно-исследовательского института стандартизации и сертификации в машиностроении (ВНИИНМАШ)

ВНЕСЕН Управлением по сертификации Госстандарта России

2 ПРИНЯТ И ВВЕДЕН В ДЕЙСТВИЕ Постановлением Госстандарта России от 13 апреля 2000 г. N 108-ст

3 В настоящем стандарте реализованы:

- нормы закона Российской Федерации "О сертификации продукции и услуг" (с изменениями и дополнениями, внесенными федеральными законами от 27.12.95 г. N 211-ФЗ, от 02.03.98 N 30-ФЗ, от 31.07.98 N 154-ФЗ);

- положения Руководства ИСО/МЭК 62 "Общие требования к органам, осуществляющим оценку и сертификацию/ регистрацию систем качества"

4 ВЗАМЕН ГОСТ Р 40.003-96 и ГОСТ Р 40.004-96

Введение

Настоящий стандарт устанавливает порядок сертификации систем качества и сертификации производств:

- взаимодействие органов по сертификации систем качества и заявителей в предсертификационный период;

- проведение проверки и оценки системы качества (производства);

- принятие решений о сертификации систем качества (сертификации производств);

- оформление сертификатов соответствия систем качества (сертификатов производств).

Настоящий стандарт разработан с цель упорядочения деятельности по сертификации систем качества (сертификации производств), определения ответственности и полномочий участников процессов сертификации.

Требования стандарта гармонизированы с международными нормами и правилами в области сертификации систем качества, установленными в стандартах семейства ИСО 9000 [2]-[6], Руководстве ИСО/МЭК 2 [7], Руководстве ИСО/МЭК 62 [8].

1. Область применения

Настоящий стандарт устанавливает цели, порядок и процедуры сертификации систем качества и сертификации производств* в Регистре систем качества** (далее - Регистр).

* Далее - сертификация систем качества. В тех случаях, когда вопрос касается только производств и сертификации производств, будет соответственно употребляться термин "производство".

** Регистр систем качества представляет собой систему сертификации систем качества и сертификации производств в Системе сертификации ГОСТ Р.

Стандарт предназначен для применения:

- организациями-заявителями;

- участниками Регистра.

Примечание - Если имеются международные системы сертификации систем качества для конкретных видов продукции, к которым Российская Федерация присоединилась, то действуют правила и процедуры сертификации, принятые в этих системах.

2. Нормативные ссылки

В настоящем стандарте использованы ссылки на следующие стандарты:

ГОСТ 3.1109-82 Единая система технологической документации. Термины и определения основных понятий

ГОСТ 27.004-85 Надежность в технике. Системы технологические. Термины и определения

ГОСТ Р 1.12-99 Государственная система стандартизации Российской Федерации. Стандартизация и смежные виды деятельности. Термины и определения

ГОСТ Р 40.002-2000 Система сертификации ГОСТ Р. Регистр систем качества. Основные положения

ГОСТ Р 40.005-2000 Система сертификации ГОСТ Р. Регистр систем качества. Инспекционный контроль сертифицированных систем качества и производств

ГОСТ Р ИСО/МЭК 62-2000 Общие требования к органам, осуществляющим оценку и сертификацию систем качества

ГОСТ Р ИСО 9001-96 Системы качества. Модель обеспечения качества при проектировании, разработке, производстве, монтаже и обслуживании

ГОСТ Р ИСО 9002-96 Системы качества. Модель обеспечения качества при производстве, монтаже и обслуживании

ГОСТ Р ИСО 9003-96 Системы качества. Модель обеспечения качества при окончательном контроле и испытаниях

ГОСТ Р ИСО 10011-1-93 Руководящие указания по проверке систем качества. Часть 1. Проверка

ГОСТ Р ИСО 10011-2-93 Руководящие указания по проверке систем качества. Часть 2. Квалификационные критерии для экспертов-аудиторов

ГОСТ Р ИСО 10011-3-93 Руководящие указания по проверке систем качества. Часть 3. Руководство программой проверок

ГОСТ Р ИСО 14001-98 Системы управления окружающей средой. Требования и руководство по применению

МК (ИСО 3166) 004-97 Межгосударственный классификатор стран мира

3. Определения

В настоящем стандарте используются термины с соответствующими определениями по ГОСТ Р 1.12, ГОСТ Р 40.002, ГОСТ Р ИСО 10011-1, ИСО 8402 [1] и Руководству ИСО/МЭК 62 [8], а также приведенные ниже:

3.1 проверка системы качества: Систематический и независимый анализ, позволяющий определить соответствие деятельности и результатов в области качества запланированным мероприятиям, а также эффективность внедрения мероприятий и их пригодность поставленным целям.

3.2 элементы системы качества: Комплекс требований, предъявляемых к определенному виду деятельности в системе качества заявителя в соответствии с одним из пунктов раздела 4 ГОСТ Р ИСО 9001 - ГОСТ Р ИСО 9003.

Примечание - Подэлемент системы качества является составной частью элемента системы качества.

3.3 производство (производственная система): Совокупность технологических систем и систем обеспечения их функционирования (технического обслуживания и ремонта, метрологического обеспечения и т.п.), предназначенная для изготовления продукции определенного наименования (вида).

3.4 средства технологического оснащения: По ГОСТ 3.1109.

3.5 технологическая система: По ГОСТ 27.004.

3.6 эксперт по сертификации систем качества (сертификации производств): Специалист, имеющий квалификацию для проведения проверки системы качества (производства) и получивший в Регистре персонала Системы сертификации ГОСТ Р сертификат на право проведения работ.

Примечания

1 Чтобы осуществить проверку и оценку системы качества (производства), эксперт должен получить официальное назначение для проведения данной конкретной проверки.

2 Эксперт, назначенный руководителем проверки системы качества (производства), называется председателем комиссии.

3 Председатель комиссии должен иметь опыт участия не менее чем в трех полных проверках (не менее 15 дней) в качестве эксперта и обладать навыками, необходимыми для обеспечения эффективного руководства комиссией в процессе проверки.

3.7 технический эксперт: Специалист в конкретной области экономической деятельности.

3.8 наблюдение: Констатация факта, сделанная в ходе проверки и основанная на объективном доказательстве.

3.9 объективное доказательство: Информация о качестве или количестве (зарегистрированные данные, заявления, имеющие отношение к качеству изделия или услуги, либо наличию и применению какого-либо элемента системы качества), полученная путем наблюдения, измерения или испытаний и которая может быть проверена.

3.10 заключение: Изложение факта, сделанное как часть процесса проверки систем качества и подтвержденное объективными данными.

3.11 соответствие: Выполнение установленных требований.

3.12 несоответствие: Невыполнение установленного требования.

Примечание - Настоящее определение подразумевает отсутствие одной или нескольких характеристик качества или элементов системы качества или их отклонение от установленных требований.

3.13 значительное несоответствие: Отсутствие или полное нарушение какого-либо элемента или подэлемента системы качества.

Примечание - Примеры значительных несоответствий:

1) политика организации в области качества и процедуры деятельности по элементам системы качества не определены и не оформлены документально в необходимом объеме, позволяющем использовать их в качестве основы для внедрения и функционирования системы качества;

2) разработанная система качества не соответствует политике в области качества;

3) отсутствует необходимый элемент системы качества или процедура;

4) отсутствует система испытаний, обеспечивающая прямо или косвенно контроль всех характеристик продукции на соответствие требованиям, предусмотренным обязательной сертификацией этой продукции;

5) требования документированных процедур не выполняются в необходимом объеме;

6) зарегистрированные данные по качеству продукции и деятельности по обеспечению качества не дают представления об эффективности функционирования системы качества.

3.14 малозначительное несоответствие: Наблюдаемое упущение в функционировании системы качества или в документации, которое может отрицательно повлиять на качество.

Примечание - Примеры малозначительных несоответствий:

1) несоответствия относят к малозначительным, если соответствующий элемент (где обнаружено несоответствие) системы качества разработан и внедрен, есть доказательства его функционирования, но необходимо провести небольшие улучшения; если обнаружены примеры отклонений, указывающие на отсутствие исполнительской дисциплины в применении документированных процедур. В последнем случае нельзя давать категорию "малозначительное несоответствие", если это касается процедуры, которая была недавно внедрена, и на момент проверки не были получены доказательства ее удовлетворительного действия. Такое несоответствие характеризуется как "значительное";

2) малозначительное несоответствие представляет собой небольшую ошибку или недочет, не повлиявшие к моменту проверки на качество;

3) малозначительные несоответствия, относящиеся к одному и тому же элементу, но отмеченные многократно, могут быть охарактеризованы как значительное несоответствие.

3.15 уведомление: Результат наблюдения, сделанного экспертом в целях предотвращения появления возможного несоответствия.

3.16 специальный процесс: Процесс, результаты которого нельзя в полной мере проверить последующим контролем и испытаниями продукции и недостатки которого могут быть выявлены только в ходе использования продукции.

Примечание - К специальным процессам могут быть отнесены, например, литье, сварка, пайка, термическая обработка, приготовление бетона, приготовление теста, грунтование, окраска и др.

3.17 особо ответственный технологический процесс (операция): Технологический процесс (операция), оказывающий решающее влияние на качество изготовляемой продукции.

3.18 дефектоносный технологический процесс (операция): Технологический процесс (операция), при выполнении которого имеет место наибольшая вероятность появлений дефектной продукции.

3.19 третья сторона: Лицо или орган, признаваемые независимыми от участвующих сторон в рассматриваемом вопросе.

Примечание - участвующие стороны представляют, как правило, интересы поставщиков (первая сторона) и покупателей (вторая сторона).

4. Цели и условия проведения сертификации систем качества

4.1 Основными целями проведения сертификации систем качества являются:

- подтверждение соответствия системы качества требованиям, установленным ГОСТ Р ИСО 9001 - ГОСТ Р ИСО 9003 или иными документами на системы качества;

- подтверждение заявленных поставщиками возможностей стабильно выпускать продукцию (услуги) запланированного качества в установленные контрактами (договорами) сроки и в запланированных объемах*;

* Данная цель является приоритетной при самостоятельной сертификации производства.

- создание объективных оснований для принятия соответствующих решений по сертификации продукции;

- создание уверенности у потребителей продукции (услуг), руководства поставщиков и других заинтересованных сторон в возможности поставщиков обеспечить продукцией (услугами), соответствующей установленным требованиям.

4.2 При наличии сертификации соответствия системы качества контроль стабильности функционирования системы качества, в том числе характеристик продукции, осуществляется путем инспекционного контроля сертифицированной системы качества.

4.3 Работы по сертификации систем качества проводят аккредитованные органы по сертификации систем качества и эксперты по сертификации.

4.4 Если сертификация систем качества предусмотрена в международной системе сертификации, она проводится по правилам этой системы.

5. Объекты проверки

5.1 Объектами проверки и оценки системы качества являются:

- деятельность по обеспечению качества;

- состояние производства (производственной системы);

- качество продукции (услуги).

5.1.1 Проверка и оценка деятельности по обеспечению качества

Деятельность по обеспечению качества заявителя проверяют и оценивают поэлементно на соответствие требованиям ГОСТ Р ИСО 9001-ГОСТ Р ИСО 9003 согласно заявленной модели.

Сертификация может быть проведена на соответствие иному заявленному документу при условии, что орган по сертификации систем качества аккредитован на право проведения таких работ (например, QS-9000 [9], ГОСТ Р ИСО 14001 и др.).

5.1.2 Проверка и оценка состояния производства (производственной системы)

Состояние производства (производственной системы) оценивают:

- согласно требованиям к элементам производства по ГОСТ Р ИСО 9001 (4.8-4.16; 4.20) и отраслевых нормативов и правил;

- по качеству изготовления продукции на соответствие показателям, принятым в организациях (коэффициенты дефектности или сортности, сдача продукции с первого предъявления, рекламации и пр.).

Примечание - В зависимости от вида продукции и пожеланий заявителя к проверке и оценке систем качества, в том числе производств, могут быть предъявлены дополнительные специфические требования, соответствующие нормам Госгортехнадзора России, Госатомнадзора России, Минздрава России, ASME, API, DIN, МЭК или др.*

* ASME - Американское общество инженеров-механиков.

API - Американский институт нефти.

DIN - Немецкий институт стандартов.

МЭК - Международная электротехническая комиссия.

5.1.3 Проверка и оценка качества продукции (услуги)

Качество продукции (услуги) оценивают на основе:

- данных о контроле и испытаниях продукции в процессе производства;

- данных о качестве, полученных от потребителей, обществ потребителей, торговых организаций;

- данных о качестве, полученных от территориальных органов Госстандарта России, Минздрава России и других организаций, осуществляющих контроль.

Если в соответствии с действующим в Российской Федерации законодательством к продукции (услуге) предъявляют обязательные для соблюдения требования, установленные государственными стандартами или другими нормативными документами, то при сертификации систем качества проверяют способность организации обеспечивать соблюдение этих требований.

Сертификация систем качества не предусматривает специально запланированных испытаний, анализов или измерений показателей качества продукции. Если у членов комиссии возникают сомнения в качестве продукции или достоверности проводимых испытаний, эксперты могут участвовать в испытаниях продукции, проводимых проверяемой организацией.

6. Участники проверки

6.1 Проверку системы качества осуществляет комиссия, состоящая из одного или нескольких экспертов, в зависимости от масштаба проверяемой организации или других условий (например, сложности технологических процессов, сложности продукции, базового образования экспертов и др.).

С целью обеспечения квалифицированной оценки, связанной со спецификой производства или особенностями элементов системы качества, в комиссию должен быть включен эксперт (технический эксперт), обладающий базовыми знаниями по виду продукции, нормативным требованиям к ней и технологии производства*.

* При самостоятельной сертификации производств эксперт по сертификации производств должен иметь соответствующую специализацию.

В комиссию могут быть включены эксперты по сертификации продукции, эксперты по сертификации производства, эксперты по сертификации услуг, технические эксперты в области метрологии, испытаний и др., эксперты-стажеры.

Состав комиссии должен быть утвержден органом по сертификации и согласован с проверяемой организацией.

Комиссию формируют таким образом, чтобы ее участники в совокупности обладали базовыми знаниями по виду продукции, нормативным требованиям к ней и технологии производства.

В состав комиссии не могут быть включены представители заявителя, а также представители организаций, заинтересованных в результатах сертификации.

Руководитель органа по сертификации (или его заместитель) назначает председателя комиссии, ответственного за все этапы и результаты проверки.

Заявитель вправе отклонить с убедительным обоснованием кандидатуру любого члена комиссии. В этом случае в состав комиссии включают другого специалиста.

6.2 Эксперты

6.2.1 Ответственность эксперта

Эксперт несет ответственность за:

- выполнение требований проводимой проверки;

- изложение и объяснение требований к проверкам;

- квалифицированное и эффективное осуществление возложенных на него обязанностей;

- документальное изложение результатов наблюдений;

- проверку эффективности корректирующих или предупреждающих действий, предпринятых по результатам проверки (по требованию органа по сертификации);

- поддержание в порядке и сохранности документов, имеющих отношение к проверке;

- представление документов проверки по требованию председателя комиссии;

- обеспечение конфиденциальности информации и документов, полученных и обобщенных в результате проверки;

- сотрудничество с председателем комиссии и оказание ему поддержки.

6.2.2 Обязанности эксперта

Эксперт должен:

- проводить работу в рамках области проверки, определенной программой проверки;

- проводить экспертизу объективно;

- собирать и анализировать факты, которые имеют непосредственное отношение к проверке и являются достаточными для того, чтобы сделать выводы относительно состояния проверяемой системы качества или ее элементов;

- быть предельно точным при оценке любых полученных в ходе проверки данных, которые могут повлиять на результаты проверки и, возможно, потребуют более обширной проверки;

- быть взвешенным и адекватным в своих выводах;

- соблюдать требования ГОСТ Р ИСО 10011-1 в части требований к проведению проверки;

- отвечать требованиям ГОСТ Р ИСО 10011-2 в части требований к экспертам.

6.2.3 Ответственность председателя комиссии

Председатель комиссии несет полную ответственность за все этапы проверки.

Председатель комиссии должен быть компетентным и опытным в области общего руководства качеством и наделяться полномочиями принимать окончательные решения по проведению проверки и любых наблюдений при проверке.

6.2.4 Обязанности председателя комиссии

Председатель комиссии должен:

- формировать комиссию (группу экспертов и консультантов);

- разрабатывать программу проверки;

- устанавливать требования к каждому заданию программы проверки, включая требования к квалификации экспертов;

- представлять комиссию руководству проверяемой организации;

- руководить подготовкой рабочих документов;

- обеспечивать постоянное руководство экспертами в процессе проверки системы качества;

- сообщать проверяемой организации о всех значительных и малозначительных несоответствиях и уведомлениях;

- сообщать руководству проверяемой организации и органу по сертификации о любых серьезных препятствиях, с которыми комиссия столкнулась при проведении проверки;

- излагать результаты проверки ясно, убедительно и кратко;

- в установленные сроки представлять акты о результатах проверки и оценки системы качества;

- соблюдать требования ГОСТ Р ИСО 10011-1 и ГОСТ Р ИСО 10011-3 в части требований к проведению проверки и обеспечения руководства программой проверок соответственно;

- отвечать требованиям ГОСТ Р ИСО 10011-2 в части требований к главному эксперту.

6.2.5 Независимость экспертов

Эксперты должны быть беспристрастны и объективны.

Руководство органа по сертификации обеспечивает поддержку независимости экспертов.

6.3 Технические эксперты

Технические эксперты должны:

- осуществлять оценку объективно;

- быть предельно точными при оценке любых полученных в ходе проверки данных, которые могут повлиять на результаты проверки;

- информировать группу экспертов обо всех своих наблюдениях относительно несоответствий или возможных несоответствий, касающихся качества продукции, технологических процессов, методов контроля и испытаний, соблюдения требований нормативных документов и т.д.

6.4 Обязанности заявителя

Заявитель:

- определяет стандарт или иной документ на систему качества, на соответствие которому должна проводиться сертификация;

- определяет область сертификации;

- оформляет и подает заявку в орган по сертификации на проведение сертификации системы качества;

- информирует персонал своей организации о целях и области сертификации;

- представляет в орган по сертификации комплект заполненных исходных форм документов и документы, необходимые для предварительной оценки системы качества;

- согласовывает программу проведения проверки;

- назначает своего представителя, полномочного решать все вопросы, связанные с организацией и проведением проверки;

- назначает ответственных лиц для сопровождения экспертов;

- обеспечивает все необходимые условия для проведения оценки системы качества, включая доступ во все подразделения организации, к документации системы качества, регистрируемым данным, в том числе, к актам о внутренних проверках, оборудованию и персоналу;

- предоставляет органу по сертификации доказательства того, что обеспечивается выполнение требований заявленного на сертификацию стандарта или иного документа;

- сотрудничает с членами комиссии для достижения целей проверки;

- уважает и не посягает на независимость экспертов;

- осуществляет корректирующие и предупреждающие действия на основании акта о проверке;

- своевременно оплачивает расходы, связанные с проведением сертификации системы качества, независимо от результатов.

6.5 Обязанности органа по сертификации - по ГОСТ Р ИСО/МЭК 62.

6.6 Обязанности держателя сертификата - по 7.1.7 ГОСТ Р 40.002.

7. Проведение сертификации систем качества (сертификации производств)

7.1 Сертификация систем качества включает в себя организацию работ (предсертификационный этап) и три этапа сертификации:

I - предварительная оценка системы качества;

II - проверка и оценка системы качества в организации;

III - инспекционный контроль сертифицированной системы качества.

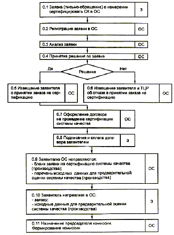
Последовательность проведения процедур сертификации систем качества (сертификации производств) приведена в приложении А.

7.2 Организация работ (предсертификационный этап)

7.2.1 Регистрация заявки (письма-обращения)

Заявка на официальном бланке (приложение Б или приложение В) или письмо-обращение в произвольной форме направляется организацией-заявителем в орган по сертификации.

Орган по сертификации регистрирует заявку (письмо-обращение) и извещает организацию о принятии заказа.

Орган по сертификации проводит анализ заявки для того, чтобы убедиться, что он может предоставить услугу по сертификации, исходя из:

- заявленной области сертификации и соответственно области аккредитации органа;

- имеющихся у органа по сертификации ресурсов на выполнение заявки;

- месторасположения заявителя и любых других требований заявителя (например, сроки, принцип оплаты работы, рабочий язык и т.п.).

Отказ в сертификации системы качества не должен носить дискриминационный характер и может быть обусловлен только объективными причинами.

При положительном решении о принятии заказа орган по сертификации регистрирует заявку (письмо-обращение) и извещает об этом организацию. При отрицательном решении орган по сертификации передает заявку в Технический центр Регистра и уведомляет об этом заявителя.

Орган по сертификации официально извещает заявителя о принятии (отказе в принятии) заказа. Форма извещения о результатах рассмотрения заявки приводится в приложении Г.

Заявитель после получения извещения о принятии заказа от органа по сертификации оплачивает органу по сертификации регистрационный взнос.

7.2.2 Договор на проведение сертификации системы качества

При положительном решении между органом по сертификации и заявителем заключается договор на проведение сертификации системы качества.

Возможно оформление договора в два этапа: 1-й этап - предварительная оценка системы качества; 2-й этап - проверка и оценка системы качества в организации. В договоре определяют цель, объем и сроки проводимых работ, ответственность сторон, а также порядок оплаты работ по проверке и оценке системы качества.

В договоре предусматривается предварительное поступление на счет органа по сертификации всей (или поэтапной) суммы оплаты до начала работ.

Примечание - Работы органа по сертификации оплачиваются в полном объеме независимо от результатов проверки и оценки.

7.2.3 После оплаты работ по договору заявителю направляется комплект материалов, необходимых для проведения предварительной оценки системы качества (производства).

Комплект материалов для проведения предварительной оценки системы качества (производства) включает:

- бланк заявки на проведение сертификации системы качества (производства), в случае получения органом по сертификации письма-обращения;

- перечень исходных данных для предварительной оценки системы качества (производства) (приложение Д);

Примечания

1 Заявка и исходные документы и материалы должны быть на русском языке или языке, применяемом заявителем и согласованном с органом по сертификации.

2 Состав исходных данных для предварительной оценки системы качества различных видов услуг разрабатывается органом по сертификации в зависимости от специфики этих услуг.

7.2.4 Комплект документов, представляемых заявителем для предварительной оценки системы качества (производства), включает:

- заявку на проведение сертификации системы качества (производства) (1 экз.);

- исходные данные для предварительной оценки системы качества (производства) в соответствии с перечнем (приложение Д).

Орган по сертификации вправе затребовать от проверяемой организации любые документы системы качества (другие дополнительные сведения), необходимые для правильного понимания деятельности в области обеспечения качества.

Один из экземпляров каждого документа, присланного в двух экземплярах, остается в органе по сертификации в качестве контрольного. Вторые экземпляры документов возвращаются заявителю с замечаниями органа.

7.2.5 Формирование комиссии

После представления заявителем исходных документов распоряжением руководителя органа по сертификации назначается председатель комиссии, который формирует и представляет на утверждение комиссию экспертов.

Требование к составу комиссии - по 5.1.3 ГОСТ Р 40.002.

Распределение обязанностей между членами комиссии проводит председатель комиссии при согласовании с заинтересованными членами комиссии (экспертами, техническими экспертами).

Заявителю должны быть сообщены фамилии назначенных членов комиссии, и он должен быть уведомлен о том, что может представить возражения против назначения конкретных экспертов по сертификации или технических экспертов.

7.3 Предварительная оценка системы качества - 1-й этап

7.3.1 Цель предварительной оценки

Предварительная оценка системы качества осуществляется с целью определения степени готовности проверяемой организации к сертификации системы качества.

7.3.2 Предварительная оценка

На этапе предварительной оценки комиссия в месячный период проводит экспертизу документов системы качества заявителя на соответствие требованиям заявленной модели.

При необходимости, по согласованию с заявителем, орган по сертификации может командировать своего представителя для проведения на месте предварительного ознакомления с системой качества (элементами системы качества) заявителя или решения неясных (спорных) вопросов. Оплата такой командировки оговаривается в особых условиях договора или дополнительным соглашением.

Одновременно с анализом исходных документов и материалов, поступивших от заявителя, комиссия может организовать сбор и анализ дополнительных сведений о качестве продукции, применительно к которой сертифицируется система качества, из независимых источников (органов государственного надзора и контроля, территориальных органов Госстандарта России, обществ потребителей, гарантийных мастерских и др.).

Этап предварительной оценки системы качества завершается оформлением письменного заключения, в котором наряду с замечаниями по системе качества формулируется вывод о возможности или невозможности проведения второго этапа сертификации системы качества.

Заключение по результатам предварительной оценки системы качества, подписанное председателем комиссии и экспертами, проводившими экспертизу, направляется органом по сертификации заявителю.

При отрицательном решении заявителю направляют заключение, в котором указывают недостатки, после устранения которых заявитель может повторно направить материалы, необходимые для оценки системы качества.

В случае оформления договора на второй этап заявителю одновременно с заключением направляют проект договора на проведение проверки и оценки системы качества в организации.

7.4 Проверка и оценка системы качества в организации - 2-й этап

7.4.1 Подготовка к проверке и оценке системы качества

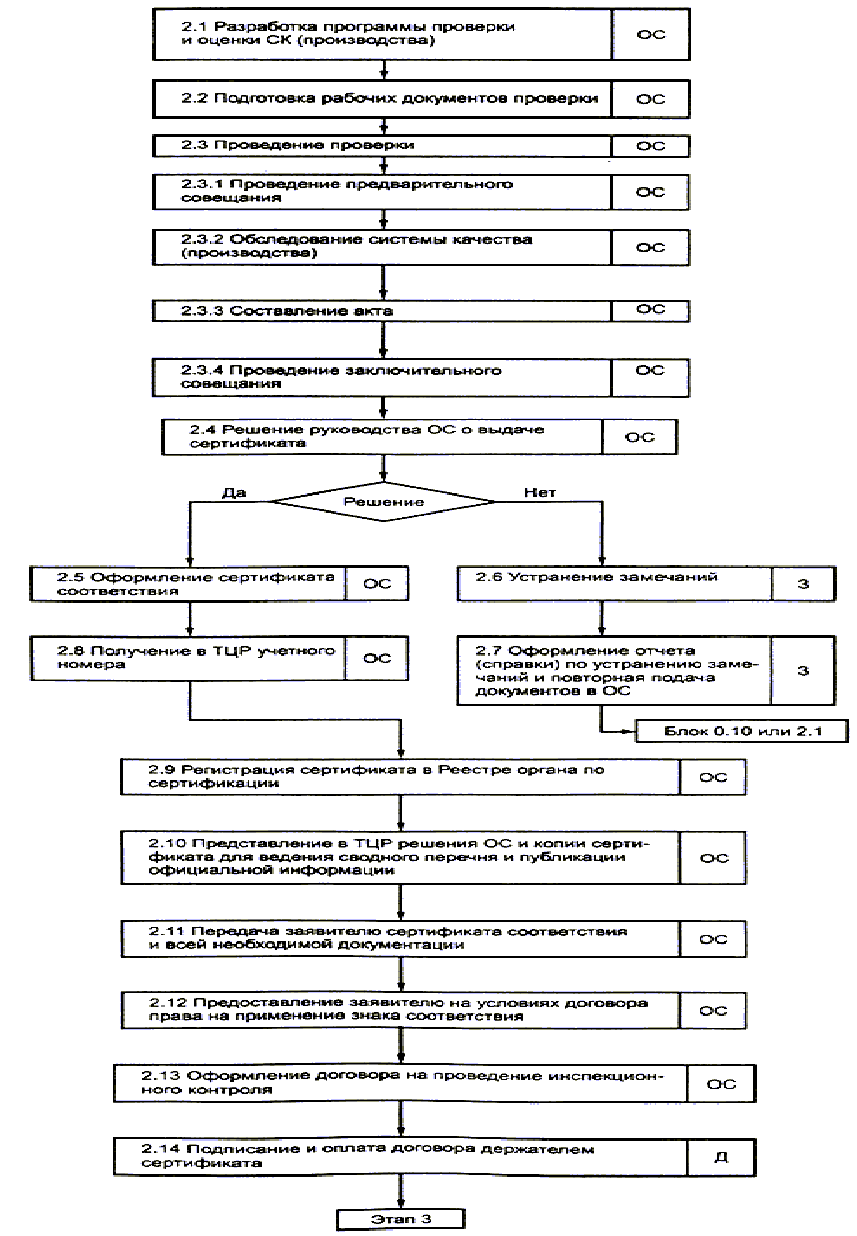
При подготовке к проверке и оценке системы качества выполняют следующие работы:

- составляют программы проверки и оценки системы качества (далее - программа проверки);

- осуществляют распределение обязанностей между членами комиссии в соответствии с программой проверки;

- подготавливают рабочие документы;

- согласовывают программы проверки с проверяемой организацией.

7.4.2 Программа проверки

Программу проверки разрабатывает председатель комиссии. Для разработки программы проверки председатель комиссии может привлекать экспертов и технических экспертов комиссии. С программой проверки должны быть ознакомлены эксперты и технические эксперты комиссии.

Программа направляется на согласование заявителю.

Возражения заявителя против каких-либо пунктов программы проверки должны быть доведены до сведения главного эксперта. Разногласия разрешаются до начала проведения проверки между председателем комиссии и представителем заявителя, имеющим соответствующие полномочия.

Конкретные детали программы проверки следует сообщать заявителю только в ходе проверки.

Программа проверки должна содержать следующие данные:

- наименование организации-заявителя, место проведения проверки;

- цели и область проверки;

- наименование продукции, на которую распространяется система качества;

- время проведения проверки;

- состав комиссии;

- перечень ссылочных документов (стандарт, на соответствие которому проверяется система качества, руководство по качеству проверяемой организации и др.);

- проверяемые элементы по ГОСТ Р ИСО 9001 (ГОСТ Р ИСО 9002, ГОСТ Р ИСО 9003);

- проверяемые подразделения;

- закрепление экспертов и представителей организации-заявителя по объектам проверки;

- дату утверждения программы;

- место проведения проверки;

- требования конфиденциальности;

- указание рабочего языка проверки (при необходимости).

Примечание - Объектом проверки в обязательном порядке должна быть система испытаний, обеспечивающая прямо или косвенно контроль всех характеристик продукции на соответствие требованиям, предусмотренным обязательной сертификацией этой продукции.

Программа проверки утверждается руководством органа по сертификации.

Программа доводится до заявителя и согласовывается с ним. Дата проведения проверки согласовывается с заявителем.

Программа проверки должна быть гибкой, допускать изменения в приоритетности проверяемых элементов системы качества в зависимости от информации, полученной в ходе проверки.

Форма программы проверки и оценки системы качества (производства) приведена в приложении Е.

7.4.3 Распределение обязанностей между членами комиссии

При проведении проверки каждому эксперту выделяются конкретные функциональные подразделения проверяемой организации и конкретные элементы системы качества.

Обязанности распределяет председатель комиссии при согласовании с членами комиссии.

7.4.4 Рабочие документы

Рабочие документы применяют для упорядочения и повышения эффективности проверки и документального оформления акта о результатах проверки и оценки системы качества (далее - акта).

Подготовку рабочих документов ведут эксперты под руководством председателя комиссии. При подготовке к проверке могут использоваться также типовые формы, имеющиеся в органе по сертификации.

В число рабочих документов входят:

- перечни контрольных вопросов для проверки и оценки элементов системы качества (обычно готовят эксперты в соответствии с распределением обязанностей, с учетом отраслевой или другой специфики проверяемой организации);

- формы для документирования вспомогательных данных, подтверждающих заключения экспертов, и др.

Орган по сертификации обеспечивает надежную сохранность рабочих документов, содержащих конфиденциальную информацию или информацию, являющуюся собственностью проверяемой организации или самого органа по сертификации. По окончании проверки и подготовки акта все рабочие документы передают председателю комиссии, который, в свою очередь, предъявляет их уполномоченному представителю проверяемой организации или, по согласованию с ним, уничтожает их.

7.4.5 Проведение проверки

Проверка включает следующие процедуры:

- предварительное совещание;

- обследование проверяемой организации;

- оценка соответствия системы качества нормативным требованиям;

- составление акта;

- заключительное совещание.

7.4.5.1 Предварительное совещание

Участниками предварительного совещания являются члены комиссии, руководитель проверяемой организации и (или) его представитель, руководители структурных подразделений, подлежащих обследованию согласно программе проверки, главные и ведущие специалисты проверяемой организации.

Целями предварительного совещания являются:

- представление членов комиссии представителям проверяемой организации;

- сообщение о цели, области и программе проверки;

- краткое изложение методов и процедур, используемых при проверке;

- установление официальных процедур взаимодействия между членами комиссии и сотрудниками проверяемой организации;

- обсуждение и уточнение отдельных деталей программы проверки;

- уточнение даты проведения заключительного совещания и, при необходимости, назначение дат промежуточных совещаний комиссии и руководства проверяемой организации.

7.4.5.2 Обследование проверяемой организации

Обследование проверяемой организации осуществляется путем сбора и анализа фактических данных и регистрации наблюдений в ходе проверки.

Сбор фактических данных осуществляется путем:

- опроса персонала проверяемой организации;

- анализа и оценки нормативных документов, действующих в проверяемой организации;

- анализа документации, регистрирующей процессы производства, управления и данные о качестве;

- собственных наблюдений экспертов и технических экспертов фактической деятельности в рамках системы качества.

Если к продукции (услуге) предъявляют обязательные для соблюдения требования, установленные государственными стандартами или другими нормативными документами, то при проверке и оценке системы качества и ее отдельных элементов, включая систему испытаний, проверяют способность организации обеспечивать соблюдение этих требований путем анализа:

- конструкторской документации;

- технологической документации;

- нормативных документов (ГОСТ, ТУ, СТП и др.);

- методических документов (методики проведения работ, инструкции и пр.);

- рабочей и аналитической документации (протоколы и отчеты испытаний, планы контроля, рабочие журналы, формы регистрации наблюдений и пр.);

- соответствия и состояния средств технологического оснащения;

- соответствия и состояния средств контроля и измерений параметров процессов и продукции;

- соответствия персонала и др.

Все наблюдения должны быть документированы и иметь четкое и конкретное подтверждение объективными данными.

Данные, указывающие на наличие несоответствий, должны фиксироваться, даже если они не входят в перечень контрольных вопросов.

Информация, полученная в результате опроса, должна быть сопоставлена с информацией, полученной из других независимых источников, таких как физические наблюдения, измерения, зарегистрированные данные.

В процессе проверки председатель комиссии по согласованию с представителем проверяемой организации может вносить изменения в программу проверки и распределение обязанностей между членами комиссии, если это необходимо для оптимального достижения целей проверки.

Если цель проверки не будет достигнута, то причины этого председатель комиссии должен сообщить руководству проверяемой организации.

После обследования объектов проверки члены комиссии под руководством председателя комиссии рассматривают результаты своих наблюдений, чтобы их классифицировать в качестве несоответствий различных категорий и уведомлений.

Несоответствия определяются применительно к конкретным требованиям стандарта или иных документов, на соответствие которым проводится проверка.

Результаты наблюдений рассматривают председатель комиссии и представитель руководства проверяемой организации. Обо всех наблюдениях, свидетельствующих о наличии несоответствий, ставят в известность руководство проверяемой организации.

Все наблюдения, свидетельствующие о несоответствиях и подтвержденные объективными данными, должны быть обоснованы и представлены проверяемой организации.

7.4.5.3 Оценка соответствия системы качества нормативным требованиям

7.4.5.3.1 Дифференциация наблюдений, сделанных в ходе проверки, и их регистрация

Дифференциация наблюдений, сделанных в ходе проверки, осуществляется с целью:

- определения степени соответствия системы качества (элементов системы качества) нормативным требованиям;

- принятия органом по сертификации решения о сертификации системы качества (отказе в сертификации).

Наблюдения, сделанные в ходе проверки, дифференцируются по видам:

- "несоответствие" (см. 3.12);

- "уведомление" (см. 3.15).

Несоответствия подразделяются на:

- значительные - категория 1;

- малозначительные - категория 2.

Обнаруженные несоответствия и уведомления регистрируются в специальных бланках (приложения Ж и И), где в обязательном порядке заполняются все графы. Исправления в бланках не допускаются.

Примечание - Обозначения, применяемые в бланке (приложение Ж): НС - несоответствие; УД - оценка "удовлетворительно", Н/УД - "неудовлетворительно".

Обнаруженные отклонения от требований стандарта должны быть тщательно рассмотрены комиссией, проводящей проверку, перед тем, как охарактеризовать их как несоответствия и отнести к той или иной категории. Окончательное решение принимает председатель комиссии.

Зарегистрированные несоответствия (уведомления) официально представляют руководству проверяемой организации. Председатель комиссии дает соответствующие пояснения по каждому несоответствию (уведомлению). Каждое несоответствие должно быть подтверждено объективными доказательствами.

Уполномоченный представитель руководства проверяемой организации ставит свою подпись на бланках с несоответствиями (уведомлениями), чем подтверждает принятие данного несоответствия (уведомления).

Примечание - При разногласиях с уполномоченным представителем проверяемой организации председатель комиссии решает вопросы с высшим руководством организации.

Председатель комиссии снимает несоответствие в следующих случаях:

- в ходе обсуждения со стороны проверяемой организации представлены дополнительные доказательства того, что обнаруженное несоответствие не является обоснованным, при этом оформленный бланк регистрации несоответствия аннулируется;

- обнаруженное несоответствие устраняется в ходе проверки.

В этом случае в бланке регистрации несоответствий делается отметка об устранении несоответствия. Факт наличия устраненного несоответствия фиксируют в акте.

Несоответствие может быть переведено из значительного (категория 1) в малозначительное (категория 2) в случае представления проверяемой организацией объективных доказательств.

Несоответствие может быть переведено из категории "малозначительное" в категорию "значительное" в случае неустранения малозначительного несоответствия в установленный срок.

7.4.5.3.2 Критерии принятия решения о сертификации системы качества

Систему качества признают соответствующей стандарту при отсутствии значительных несоответствий или при наличии не более 10 малозначительных несоответствий.

Систему качества признают несоответствующей стандарту при наличии одного значительного несоответствия или более 10 малозначительных несоответствий.

Несоответствия, снятые председателем комиссии в ходе проверки (если организация представила дополнительные доказательства), считаются отсутствующими.

Несоответствия, устраненные в ходе проверки, не включают в общее количество несоответствий, но указывают в акте.

Несоответствие, переведенное в ходе проверки из категории "значительное" в категорию "малозначительное" при подсчете учитывают в группе малозначительных несоответствий.

Наличие уведомлений не влияет на решение о сертификации системы качества.

7.4.5.4 Составление акта

Результаты проверки, выводы и рекомендации комиссия оформляет в виде акта (приложение К).

В разделе 6 акта должны быть представлены результаты обследования объектов проверки, включая заключение о наличии системы испытаний, обеспечивающей прямо или косвенно контроль всех характеристик продукции на соответствие требованиям, предусмотренным обязательной сертификацией этой продукции.

В разделе 7 акта комиссия делает выводы о соответствии или несоответствии проверенной системы качества заявленному стандарту или иным документам, дает рекомендацию органу по сертификации о выдаче (отказе в выдаче) сертификата соответствия и об устранении в согласованные сроки выявленных малозначительных несоответствий и уведомлений, если они имеются.

Акт подписывают члены комиссии, председатель комиссии и представляют для ознакомления руководителю проверяемой организации или его представителю. Акт печатают в двух экземплярах.

К акту прилагают:

- программу проверки;

- листы со сведениями о несоответствиях;

- листы со сведениями об уведомлениях.

Один экземпляр акта передают проверяемой организации, другой - органу по сертификации.

7.4.5.5 Заключительное совещание

Основная цель заключительного совещания - представить руководству и специалистам проверяемой организации результаты проверки и оценки системы качества.

Председатель комиссии представляет:

- замечания комиссии в порядке их значимости;

- заключение комиссии о соответствии или несоответствии проверенной системы качества требованиям заявленного стандарта или иного документа;

- рекомендации комиссии органу по сертификации о выдаче (отказе в выдаче) сертификата соответствия системы качества.

7.4.6 Принятие решения о сертификации системы качества и оформление результатов сертификации

7.4.6.1 Результатом проверки и оценки системы качества может быть один из следующих вариантов:

- система качества полностью соответствует заявленному стандарту и/или иным документам, на соответствие которым осуществлялась проверка (1-й вариант);

- система качества в целом соответствует заявленному стандарту и/или иным документам, на соответствие которым осуществлялась проверка, но обнаружены отдельные малозначительные несоответствия (2-й вариант);

- система качества содержит значительные несоответствия заявленному стандарту (3-й вариант).

7.4.6.2 При необходимости орган по сертификации сообщает заявителю о проведении на договорной основе повторной проверки в полном или частичном объеме или рассматривает письменный отчет (справку) заявителя о проведенных корректирующих мероприятиях, выполнение которых будет впоследствии подтверждено в ходе инспекционного контроля.

7.4.6.3 Решение о выдаче или отказе в выдаче сертификата соответствия системы качества принимает руководство органа (руководитель или его заместитель) на основании акта в соответствии с 7.4.5.3. Лица, принимающие решение, не должны принимать участие в проверке.

Форма решения о выдаче сертификата системы качества дана в приложении Л.

7.4.6.4 По решению руководителя органа по сертификации в случае несогласия заявителя с результатами сертификации или необходимости уточнения результатов сертификации, а также наличия форс-мажорных обстоятельств, комиссия составляет обоснование решения, которое является приложением к акту о результатах проверки и оценки системы качества.

7.4.6.5 При положительном решении орган по сертификации оформляет сертификат соответствия системы качества установленного образца. Сертификат регистрируют в реестре органа по сертификации. На сертификате проставляют регистрационный номер.

Регистрационный номер сертификата формируется по структуре:

РОСС ХХ. ХХХХ. Х ХХХХХ  
                    Порядковый номер от 00001 до 99999 в реестре каждого органа по сертификации. Нумерация ведется отдельно для систем качества и производств
                   
                    Код типа сертифицированного объекта (К, Р)
                   
                    Код органа по сертификации, проводившего работы (четыре последних символа регистрационного номера ОС - номера аттестата аккредитации)
                   
                    Код страны расположения организации, сертифицировавшей систему качества (производство)
                   
                    Принадлежность к Российской Федерации
                   

Примечания

1 Код типа сертифицированного объекта:

К - сертифицированная система качества;

Р - сертифицированное производство.

2 Код страны расположения организации, сертифицировавшей систему качества (производство), определяется межгосударственным классификатором стран мира МК (ИСО 3166) 004.

Регистрационный номер сертификата приведен на образце заполнения сертификата соответствия системы качества в приложении Д ГОСТ Р 40.002.

Руководитель органа по сертификации (или его заместитель) и эксперт (председатель комиссии) подписывают сертификат. На сертификате ставят печать органа по сертификации. Выдачу учетного номера сертификата осуществляет Технический центр Регистра по запросу органа по сертификации, в котором указывают наименование организации, ее юридический адрес, модель системы качества, область сертификации. Запрос и выдачу учетного номера осуществляют по электронной почте, факсу, телетайпу. Учетный номер проставляют под нижней рамкой сертификата. Учетный номер представляет собой порядковый номер сертификата из пяти знаков в сводном перечне Регистра.

Срок действия сертификата соответствия системы качества три года.

7.4.6.6 В случае отказа в выдаче сертификата заявитель имеет право в месячный срок направить в комиссию по апелляциям заявление о несогласии с заключением комиссии.

По результатам рассмотрения апелляции может быть назначена новая проверка другим составом экспертов.

7.4.6.7 Одновременно с оформлением сертификата орган по сертификации и организация-заявитель заключают договор на проведение инспекционного контроля на срок действия сертификата.

7.4.6.8 Орган по сертификации вручает решение, сертификат и проект договора на проведение инспекционного контроля.

7.4.6.9 Орган по сертификации направляет копию решения органа и копию сертификата в Технический центр Регистра для ведения сводного перечня и публикации официальной информации.

7.4.6.10 Орган по сертификации на условиях договора с заявителем представляет ему право на применение знака соответствия.

7.4.7 Хранение документов по сертификации систем качества

Копия сертификата соответствия хранится в органе по сертификации.

Орган по сертификации обеспечивает сохранность документов по сертификации систем качества, а также содержащуюся в них конфиденциальную информацию в течение пяти лет после окончания срока действия сертификата соответствия, а в случае отрицательного решения по результатам проверки системы качества - в течение пяти лет после сертификации системы качества.

Документы по сертификации систем качества хранят в органе по сертификации в соответствии с правилами, установленными в соответствующих документах органа по сертификации.

7.5 Инспекционный контроль сертифицированных систем качества - 3-й этап

7.5.1 Правила и порядок проведения инспекционного контроля - по ГОСТ Р 40.005.

8. Порядок проведения сертификации систем качества малых предприятий

8.1 Сертификация систем качества субъектов малого предпринимательства (далее - малых предприятий) на соответствие требованиям ГОСТ Р ИСО 9001 - ГОСТ Р ИСО 9003 должна осуществляться независимо от их размера по всему комплексу требований соответствующего стандарта. Определение субъектов малого предпринимательства приведено в приложении М.

8.2 Специфика сертификации систем качества малых предприятий заключается в сокращении:

- объема представляемой заявителем на сертификацию документации;

- количества процедур при сертификации;

- количества экспертов в комиссии.

8.3 Функции участников проверки, рабочий язык, требования к конфиденциальности информации - в соответствии с разделами 7, 10, 11 ГОСТ Р 40.002; объекты проверки и порядок проведения сертификации систем качества - в соответствии с разделами 5 и 7 настоящего стандарта с учетом требований настоящего раздела.

8.4 Сертификация систем качества малых предприятий включает:

- предсертификационный этап;

- проверку и оценку системы качества, содержащие оценку описания системы и проверку в организации;

- инспекционный контроль сертифицированной системы качества в течение срока действия сертификата (не реже одного раза в год).

Последовательность и содержание процедур при сертификации системы качества малого предприятия - по приложению А с учетом нижеследующих требований:

8.4.1 Предсертификационный этап

8.4.1.1 Орган по сертификации после оплаты работ по договору направляет заявителю:

- форму заявки о проведении сертификации системы качества (приложение Б);

- перечень исходных данных для предварительной оценки системы качества (приложение Д).

8.4.1.2 Заявитель представляет в орган по сертификации:

- заявку (заполненный бланк);

- исходные данные для предварительной оценки системы качества в соответствии с приложением Д.

8.4.1.3 Описание процедур системы качества может быть представлено в виде разделов Руководства по качеству.

8.4.2 Проверка и оценка системы качества

8.4.2.1 Первый (предварительная оценка системы качества) и второй (проверка и оценка системы качества в организации) этапы сертификации выполняются одновременно в процессе проверки системы качества организации.

На весь комплекс сертификационных работ оформляют единый договор.

8.4.2.2 Сертификация систем качества может осуществляться одним экспертом (председателем комиссии), имеющим квалификацию в заявленной области сертификации. Если председатель комиссии не имеет профессионального образования в заявленной организацией области сертификации, то в состав комиссии включается эксперт (технический эксперт), являющийся специалистом в этой области.

8.4.2.3 Результаты проверки оформляются в виде акта (приложение К).

8.4.3 Инспекционный контроль сертифицированных систем качества - по ГОСТ Р 40.005.

9. Порядок проведения работ по сертификации систем качества организаций, имеющих филиалы с различным местонахождением

9.1 Если организация-заявитель имеет сеть филиалов, в которых осуществляется аналогичный вид деятельности, то возможно проведение единой сертификации систем качества всех филиалов на основе проверки части из них, определенной порядком, установленным в Системе ГОСТ Р. При этом органом по сертификации осуществляется представительная выборка из филиалов, указанных в заявке, на этапах сертификации системы качества, инспекционного контроля и ресертификации без обязательного посещения всех филиалов на каждом этапе.

Примечание - Для зарубежных организаций в объем выборки в первую очередь включаются филиалы, являющиеся основными поставщиками продукции в Россию.

9.2 Сертификация сети филиалов может иметь место при выполнении нижеследующих условий:

а) каждый филиал должен производить идентичную по типу и качеству продукцию (услугу);

б) централизованно выполняются следующие элементы и виды деятельности системы качества:

- управление документацией и данными системы качества, в том числе порядок изменения документов,

- оценка корректирующих и предупреждающих действий,

- анализ со стороны руководства,

- управление регистрацией данных о качестве,

- планирование внутренних проверок качества и анализ результатов;

в) если требования к анализу документов, сертификации, инспекционному контролю и ресертификации систем качества отдельных филиалов такие же, как при проверке единой организации;

г) если система качества централизованно координируется и внутренние проверки качества регулярно проводятся во всех филиалах;

д) если внутренние проверки качества проводятся во всех филиалах до начала сертификации системы качества и сведения об этом представляются в орган по сертификации.

Примечания

1 Если деятельность по проектированию сосредоточена не в одном месте и не управляется центральной организацией, то возможна сертификация только на соответствие ГОСТ Р ИСО 9002.

2 Допускаются некоторые различия в рабочих инструкциях, которые учитывают различные условия производства.

3 Решение о том, какие именно филиалы включить в проверку, определяет методом выборки орган по сертификации систем качества.

9.3 Этапы проверки

I этап - предварительная оценка системы качества

Осуществляется экспертиза документов заявителя, описывающих структуру и функционирование системы качества организации в целом, а также документов, подтверждающих действие этой системы в филиалах, выбранных для оценки.

При положительных результатах экспертизы разрабатывается программа проверки организации в целом с определением перечня филиалов, подлежащих проверке.

II этап - проверка и оценка системы качества организации

Проводятся проверка и оценка системы качества головной организации и филиалов в соответствии с утвержденной программой проверки.

По результатам проверки оформляют акты о результатах проверки и оценки системы качества каждого филиала и сводный акт на организацию в целом. В сводный акт включают сведения о проверке системы качества каждого филиала, рекомендации о выдаче (отказе в выдаче) сертификата соответствия системы качества организации в целом и сроке его действия, предложения о порядке проведения инспекционного контроля сертифицированной системы качества организации (состав проверяемых филиалов организации в последующие периоды, последовательность и периодичность проверок).

В случае положительных результатов сертификации системы качества заявителю выдают сертификат соответствия системы качества по форме, установленной ГОСТ Р 40.002.

При этом выдают один сертификат, содержащий перечень филиалов, на которые распространяется его действие. Перечень подписывает руководитель органа по сертификации и эксперт (председатель комиссии).

В акте должно быть сделано заключение, что во всех выбранных филиалах внедрена идентичная система качества.

Значительное несоответствие, обнаруженное при сертификации системы качества в одном из филиалов, является основанием для отказа в выдаче сертификата всей совокупности филиалов. Однако филиалам, подтвердившим свое соответствие требованиям ГОСТ Р ИСО 9001, или ГОСТ Р ИСО 9002, или ГОСТ Р ИСО 9003, сертификаты могут быть выданы индивидуально.

При обнаружении значительного несоответствия во время инспекционного контроля единый сертификат соответствия системы качества аннулируется, а каждому филиалу, подтвердившему при проверке свое соответствие, может быть выдан индивидуальный сертификат на срок, предусмотренный единой сертификацией филиалов.

III этап - инспекционный контроль сертифицированной системы качества

План инспекционного контроля разрабатывается на основании рекомендаций комиссии, проводившей работу на II этапе. При этом предусматривается, что в течение срока действия сертификата соответствия системы качества организации в целом проверке будут последовательно подвергнуты все филиалы, указанные в заявке. В первую очередь инспекционный контроль должен проводиться в филиалах, которые не проверялись на II этапе сертификации системы качества.

10. Порядок ресертификации систем качества (производств)

10.1 Ресертификация системы качества состоит из следующих этапов:

- организация работ;

- предварительная оценка системы качества (производства);

- проверка и оценка системы качества (производства) в организации;

- инспекционный контроль ресертифицированной системы качества (ресертифицированного производства).

10.2 Комплект материалов, направляемый заявителю органом по сертификации для предварительной оценки системы качества (производства), - по 7.2.3 настоящего стандарта.

10.3 Для предварительной оценки системы качества заявитель представляет документы и материалы в соответствии с Д.1, Д.2, Д.8-Д.15 приложения Д.

10.4 Для предварительной оценки производства заявитель представляет документы и материалы в соответствии с Д.8-Д.15 приложения Д.

10.5 Заявка от организации, желающей ресертифицировать систему качества (производство), направляется в орган по сертификации за три месяца до окончания срока сертификации.

Регистрация заявки - по 7.2.1 настоящего стандарта.

10.6 Состав представляемых заявителем документов и материалов может быть уменьшен или увеличен по усмотрению органа по сертификации.

10.7 Функции участников проверки, рабочий язык, требования к конфиденциальности информации - в соответствии с разделами 7, 10, 11 ГОСТ Р 40.002; объекты проверки и порядок проведения сертификации - в соответствии с разделами 5 и 7 настоящего стандарта; правила и порядок проведения инспекционного контроля - по ГОСТ Р 40.005.

10.8 В форс-мажорных ситуациях держатель сертификата может обратиться в орган по сертификации о продлении срока действия сертификата на период не более трех месяцев. Орган по сертификации, рассмотрев просьбу организации о продлении срока действия сертификата, принимает решение о продлении срока действия сертификата (об отказе в продлении) с учетом результатов по инспекционному контролю и направляет его в адрес держателя сертификата.

11. Расширение (сужение) области сертификации

11.1 Расширение области сертификации

11.1.1 Расширение области сертификации проводится:

1) в рамках группы однородной продукции, применительно к которой была сертифицирована система качества;

2) для иной продукции, выпускаемой организацией.

11.1.1.1 Держатель сертификата, желающий расширить область сертификации, направляет письмо-обращение в орган по сертификации.

В случае обращения держателя сертификата о расширении области сертификации в рамках группы однородной продукции орган по сертификации после оплаты держателем сертификата договора проводит проверку и оценку дополнительных процедур системы качества применительно к вновь заявленной продукции (например, условий производства, контроля технических характеристик, проведения испытаний и т.д.).

Проверка и оценка дополнительных процедур системы качества, проводимая при расширении области сертификации в рамках группы однородной продукции, принятие решения о сертификации системы качества, выдача сертификата с расширенной областью сертификации осуществляются в соответствии с порядком, указанным в разделе 7.

11.1.1.2 В случае обращения в орган по сертификации держателя сертификата о расширении области сертификации для иной продукции, выпускаемой организацией, процедура сертификации системы качества осуществляется в соответствии с разделом 7.

По желанию держателя сертификата для иной продукции могут быть выданы в установленном порядке:

1) отдельный сертификат;

2) сертификат с расширенной областью сертификации. В данном случае действие предыдущего сертификата отменяется. Держатель сертификата направляет аннулированный сертификат в орган по сертификации.

11.1.1.3 На основании акта орган по сертификации оформляет решение о расширении области сертификации по форме приложения Н. В случае необходимости орган по сертификации принимает решение об отмене действия предыдущего сертификата. Решение органа по сертификации и копия сертификата (сертификатов) направляются органом по сертификации в Технический центр Регистра для ведения сводного перечня сертифицированных систем качества и публикации официальной информации.

11.2 Сужение области сертификации

11.2.1 Сужение области сертификации проводится по инициативе:

- держателя сертификата;

- органа по сертификации (по результатам инспекционного контроля, ресертификации), либо при получении информации об изменениях в системе качества организации, которые могут повлиять на выполнение требований, предъявляемых при сертификации.

11.2.1.1 В случае сужения области сертификации по инициативе держателя сертификата в орган по сертификации направляется письмо-обращение с указанием исключаемого вида продукции.

На основании письма-обращения держателя сертификата орган по сертификации принимает решение о сужении области сертификации (приложение П). Руководитель органа по сертификации (или его заместитель) подписывает сертификат, ставит печать и регистрационный номер.

Решение органа по сертификации и копия сертификата направляются в Технический центр Регистра для ведения сводного перечня и публикации официальной информации.

Действие предыдущего сертификата отменяется в соответствии с порядком, установленным ГОСТ Р 40.005. При этом держатель сертификата направляет аннулированный сертификат в орган по сертификации.

11.2.1.2 В случае сужения области сертификации по результатам инспекционного контроля или ресертификации системы качества в акте приводят рекомендации о ее сужении.

Орган по сертификации принимает решение о сужении области сертификации, оформляет его по форме приложения П и направляет вместе с копией сертификата в Технический центр Регистра для ведения сводного перечня и публикации официальной информации. При этом действие предыдущего сертификата отменяется.

Держатель сертификата направляет отмененный сертификат в орган по сертификации.

12. Оплата работ

12.1 Оплата работ по сертификации систем качества (сертификации производств) является договорной и зависит от масштаба организации, модели системы качества, а также сложности продукции и производственного процесса.

12.2 В случае получения заявки на сертификацию системы качества от организации, имеющей сертификат на производство в Системе ГОСТ Р, стоимость работ устанавливается с учетом затрат на сертификацию производства.

13. Рабочий язык

Все документы, используемые, регистрируемые и выдаваемые в рамках Регистра, а также переписку, оформляют на русском языке. По желанию заявителя по отдельному договору сертификаты соответствия и другие документы могут быть выданы органом по сертификации на английском, французском и немецком языках.

14. Конфиденциальность информации

Все участники проверки в ходе сертификации должны обеспечивать конфиденциальность информации в соответствии с требованиями ГОСТ Р 40.002.

ПРИЛОЖЕНИЕ А
(обязательное)

ПОСЛЕДОВАТЕЛЬНОСТЬ ПРОВЕДЕНИЯ ПРОЦЕДУР СЕРТИФИКАЦИИ СИСТЕМ КАЧЕСТВА (СЕРТИФИКАЦИИ ПРОИЗВОДСТВ)*

* В зависимости от конкретного объекта сертификации все соответствующие документы, где дается двойное название - "сертификация системы качества (сертификация производства)", оформляются на один конкретный объект, то есть либо на сертификацию системы качества, либо на сертификацию производства.

Условные обозначения:

З - заявитель
Д - держатель сертификата ОС - орган по сертификации
ТЦР - Технический центр Регистра СК - система качества

Этап 0 Организация работ. Предсертификационный этап

Этап 1 Предварительная оценка системы качества

Этап 2 Проверка и оценка системы качества в организации

Этап 3 Инспекционный контроль - по ГОСТ Р 40.005

ПРИЛОЖЕНИЕ Б
(обязательное)

_____________________________________
наименование органа по сертификации 
_____________________________________
                адрес 

                               ЗАЯВКА
                     НА ПРОВЕДЕНИЕ СЕРТИФИКАЦИИ
             СИСТЕМЫ КАЧЕСТВА В СИСТЕМЕ СЕРТИФИКАЦИИ ГОСТ Р 
 
__________________________________________________________________
              наименование организации-заявителя
__________________________________________________________________
                          код ОКПО
Юридический адрес ________________________________________________
Телефон ___________ Факс ____________ Телекс _____________________
Банковские реквизиты _____________________________________________
__________________________________________________________________
в лице ___________________________________________________________
                   фамилия, имя, отчество руководителя
просит  провести  сертификацию  системы  качества  применительно к
продукции (услуге) _______________________________________________
                           наименование продукции (услуги),
__________________________________________________________________
          код (OK 005-93* или ОК 018-95 и др.**)
на соответствие требованиям стандарта ____________________________
                                       наименование и обозначение
                                                 стандарта 
 
Данные о внедрении системы качества ______________________________
                                             номер и дата
                                      распорядительного документа
 
Данные о сертификате соответствия системы качества***_____________
__________________________________________________________________
               наименование системы сертификации,
__________________________________________________________________
      наименование органа по сертификации систем качества,
__________________________________________________________________
                 номер и дата выдачи сертификата, 
__________________________________________________________________
      обозначение документации изготовителя (исполнителя), 
__________________________________________________________________
              по которой выпускается продукция (услуга)
                     (стандарты, ТУ, КД и др.)
 
Данные о сертификате соответствия производства*** ________________
__________________________________________________________________
               наименование системы сертификации,
__________________________________________________________________
              наименование органа по сертификации,
__________________________________________________________________
                 номер и дата выдачи сертификата 
 
Общие сведения об организации ____________________________________
                               общая численность работающих,
 
__________________________________________________________________
   численность работающих на производстве продукции, на которую
                  распространяется заявка 
 
Заявитель обязуется выполнять правила сертификации.
Дополнительные сведения __________________________________________
__________________________________________________________________
 
Приложения:
1 Перечень организаций - основных потребителей продукции (услуг).
2 Данные организации - разработчика продукции.
 
__________________________________________________________________
                 наименование организации-разработчика
Руководитель организации______________  
подпись
 _______________________ 
инициалы, фамилия
Главный бухгалтер ____________________  
подпись
 ________________________ 
инициалы, фамилия
  М.П. 
Дата 


* Для продукции.
** Для услуг. 
*** Заполняют при наличии ранее выданного сертификата.
 
 
 

ПРИЛОЖЕНИЕ В
(обязательное)

   Форма заявки на проведение сертификации производства
 
_____________________________________
наименование органа по сертификации 
_____________________________________
                адрес 

                            ЗАЯВКА
        НА ПРОВЕДЕНИЕ СЕРТИФИКАЦИИ ПРОИЗВОДСТВА В СИСТЕМЕ
                   СЕРТИФИКАЦИИ ГОСТ Р 
 
__________________________________________________________________
               наименование организации-заявителя 
__________________________________________________________________
                           код ОКПО
Юридический адрес ________________________________________________
__________________________________________________________________
Телефон __________ Факс ___________Телекс ________________________
Банковские реквизиты _____________________________________________
__________________________________________________________________
в лице ___________________________________________________________
фамилия, имя, отчество руководителя 
просит провести сертификацию производства продукции ______________
                                                     наименование 
__________________________________________________________________
                            продукции 
__________________________________________________________________
                       код ОКП (ОК 005-93),
__________________________________________________________________
   обозначения стандартов и ТУ, по которым выпускается продукция 
на  соответствие  элементам  системы  качества  ГОСТ Р ИСО 9001-96
(4.8 - 4.16 и 4.20).
Данные о сертификате соответствия производства* __________________
__________________________________________________________________
                  наименование системы сертификации,
__________________________________________________________________
                 наименование органа по сертификации,
__________________________________________________________________
                  номер и дата выдачи сертификата 
Общие сведения об организации ____________________________________
__________________________________________________________________
                  общая численность работающих
__________________________________________________________________
   численность работающих на производстве продукции, на которую 
__________________________________________________________________
                    распространяется данная заявка 
 
Заявитель обязуется выполнять правила сертификации. 
Дополнительные сведения __________________________________________
_
__________________________________________________________________
Руководитель организации______________  
подпись
 _______________________ 
инициалы, фамилия
Главный бухгалтер ____________________  
подпись
 ________________________ 
инициалы, фамилия
  М.П. 
Дата 
 


* Заполняют при наличии ранее выданного сертификата.
 
 
 

ПРИЛОЖЕНИЕ Г
(обязательное)

Форма извещения о результатах рассмотрения заявки на сертификацию
           системы качества (сертификацию производства)
 
 
                            Директору ____________________________
                            ______________________________________
                               наименование организации-заявителя 
                            ______________________________________
                                        инициалы, фамилия 
 
                              ИЗВЕЩЕНИЕ
О РЕЗУЛЬТАТАХ РАССМОТРЕНИЯ ЗАЯВКИ НА СЕРТИФИКАЦИЮ СИСТЕМЫ КАЧЕСТВА
                     (СЕРТИФИКАЦИЮ ПРОИЗВОДСТВА)
 
__________________________________________________________________
               наименование организации-заявителя 
Орган по сертификации ____________________________________________
               наименование органа по сертификации 
рассмотрел заявку и представленные документы _____________________
_
__________________________________________________________________
              наименование организации-заявителя 
 
на сертификацию системы качества (производства) в соответствии с
требованиями стандарта____________________________________________
                                 обозначение стандарта 
и принял решение _________________________________________________
                              принять или не принять заявку 
Основание для отрицательного решения _____________________________
                                            заполняется при 
__________________________________________________________________
                       отрицательном решении 
 
Приложение - Проект договора на проведение сертификации
Руководитель органа по сертификации
 
 
 
 
 
  наименование органа по 
сертификации
 
 подпись
 
     инициалы, фамилия
 
 
 
 
Дата

 
 

ПРИЛОЖЕНИЕ Д
(обязательное)

Содержание перечня исходных данных, представляемых в орган по сертификации для предварительной оценки системы качества (производства)

ПЕРЕЧЕНЬ
ИСХОДНЫХ ДАННЫХ, ПРЕДСТАВЛЯЕМЫХ В ОРГАН ПО СЕРТИФИКАЦИИ, ДЛЯ ПРЕДВАРИТЕЛЬНОЙ ОЦЕНКИ СИСТЕМЫ
КАЧЕСТВА (ПРОИЗВОДСТВА)

Д.1 Политика в области качества (если она выполнена как отдельный документ и не включена в Руководство по качеству) (2 экз.)*.

Д.2 Руководство по качеству (2 экз.)*.

Д.3 Структурная схема организации с указанием административных и инженерных служб, основных и вспомогательных подразделений (цехов и участков).

Д.4 Структурная схема службы качества организации-заявителя*.

Д.5 Перечень документов системы качества*.

Д.6 Стандарты организации (документированные процедуры) по следующим элементам системы качества (выборочно, по запросу органа по сертификации):

- анализ контракта*;

- управление проектированием (представляется в случае, если заявляется модель по ГОСТ Р ИСО 9001)*;

- управление документацией и данными*;

- закупки*;

- контроль и испытания;

- управление контрольным, измерительным и испытательным оборудованием;

- управление несоответствующей продукцией;

- корректирующие и предупреждающие действия;

- погрузочно-разгрузочные работы, хранение, упаковывание, консервация и поставка продукции;

- управление регистрацией данных о качестве;

- внутренние проверки качества*;

- подготовка кадров*;

- обслуживание*;

- статистические методы.

Д.7 Комплект документов по двум последним внутренним проверкам качества организации*.

* Документы предоставляются только при сертификации системы качества организации.

Д.8 Перечень основных потребителей продукции (отечественных и зарубежных):

- наименование организации;

- почтовый адрес;

- должность руководителя;

- фамилия, имя, отчество руководителя (полностью);

- поставляемая продукция (общее наименование).

Д.9 Перечень выпускаемой продукции, применительно к которой сертифицируется система качества или производство, с указанием ГОСТ, ТУ и других нормативных документов. ТУ на изделие (продукцию) - типопредставитель по каждой группе однородной продукции, применительно к которой сертифицируется система качества или производство (по согласованию с органом по сертификации).

Д. 10 Перечень методик и программ испытаний готовой продукции (периодических, приемо-сдаточных и т.д.). Методики и программы испытаний на изделие (продукцию) - типопредставитель по каждой группе однородной продукции.

Д. 11 Копии справок (отчетов) о качестве выпускаемой продукции (за 1-3 года), в том числе:

- обобщенные сведения о качестве изготовления продукции по результатам приемочного контроля за год (по показателям, принятым в организации);

- перечень выявленных дефектов не менее чем за год с классификацией их по значимости (критические, значительные, незначительные);

- обобщенные сведения о дефектах продукции, выявленных у потребителей (по данным контрольно-надзорных органов, рекламаций и жалоб потребителей).

Д. 12 Сведения о проверках продукции специальными государственными контрольно-надзорными органами.

Д. 13 Сведения о подразделении (организации), проводящем приемо-сдаточные и периодические испытания продукции, в том числе сведения о его аккредитации в Системе сертификации ГОСТ Р.

Д. 14 Перечень специальных процессов.

Д. 15 Перечень дефектоносных технологических процессов и операций.

Примечания

1 Все документы, кроме специально отмеченных в перечне, передаются в орган по сертификации в одном экземпляре.

2 Состав необходимых документов и материалов, представляемых организацией в орган по сертификации, уточняется в каждом конкретном случае и определяется органом по сертификации.

3 По согласованию с органом по сертификации часть документов и материалов перечня может быть передана комиссии по сертификации по прибытии в организацию.

4 Орган по сертификации вправе затребовать от проверяемой организации любые дополнительные нормативные документы организации, необходимые для правильного понимания деятельности в области обеспечения качества.

ПРИЛОЖЕНИЕ Е
(обязательное)

Форма программы проверки и оценки системы качества (производства) 
 
 
                                УТВЕРЖДАЮ
 
Руководитель органа по сертификации 
____________________________________
наименование органа по сертификации
 
____________    ____________________
  подпись        инициалы, фамилия
 
                                   " __" _______________ ______ г.
 
                                ПРОГРАММА
ПРОВЕРКИ И ОЦЕНКИ СИСТЕМЫ КАЧЕСТВА (ПРОИЗВОДСТВА), ДЕЙСТВУЮЩЕЙ НА
__________________________________________________________________
                 наименование организации-заявителя 
 
1 ЦЕЛЬ И ОБЛАСТЬ ПРОВЕРКИ 
Проверка и оценка системы качества (производства) ________________
__________________________________________________________________
                наименование организации-заявителя 
 
на соответствие требованиям ______________________________________
__________________________________________________________________
                   наименование нормативных документов 
 
применительно к продукции ________________________________________
2 ВРЕМЯ ПРОВЕДЕНИЯ ПРОВЕРКИ ______________________________________
3 СОСТАВ КОМИССИИ ________________________________________________
__________________________________________________________________
__________________________________________________________________
__________________________________________________________________
 
4 ОБЪЕКТЫ ПРОВЕРКИ
 
Порядковый 
номер
Проверяемые 
подразделения
организации-
заявителя
Проверяемые 
элементы по
ГОСТ Р
ИСО900*__-96
Дата 
проверки
Эксперт
Представитель 
проверяемой
организации
     1 
       2 
     3 
   4 
  5 
      6 


* Номер стандарта указывают при заполнении.   5 ТРЕБОВАНИЯ КОНФИДЕНЦИАЛЬНОСТИ Комиссия (пункт 3 настоящей программы) обязуется не разглашать конфиденциальную информацию, полученную в ходе проверки и оценки системы качества (производства) _________________________________ наименование организации-заявителя и не передавать материалы оценки третьим лицам без согласия сторон, участвующих в сертификации.   СОГЛАСОВАНО  
Представитель руководства  
 
Председатель комиссии 
 
 
 
 
 
наименование организации-заявителя
 
наименование органа по сертификации
 
_________     __________________
 
____________  _________________
 
подпись       инициалы, фамилия 
 
 подпись      инициалы, фамилия 
 
                                          Дата ___________________
                                          Город __________________
 
 
 

ПРИЛОЖЕНИЕ Ж
(обязательное)

ФОРМА РЕГИСТРАЦИИ НЕСООТВЕТСТВИЙ

СИСТЕМА СЕРТИФИКАЦИИ ГОСТ Р.РЕГИСТР СИСТЕМ КАЧЕСТВА

РЕГИСТРАЦИЯ НЕСООТВЕТСТВИЯ
Наименование органа по сертификации систем качества
 
Наименование
проверяемой
организации
Акт N
Дата
НС N Категория Область проверки: ГОСТ Р ИСО 900*__-96 Раздел
 
Описание несоответствия:
Председатель комиссии       Эксперт    
Ф.И.О.   подпись   Ф.И.О.   подпись    
               
                 
Предлагаемые корректирующие действия:
  Подпись представителя
Срок выполнения   проверяемой организации
Выполнение корректирующих действий должно быть представлено в ОС не позднее установленного срока.
Анализ корректирующих действий (проводит ОС с оценкой: Уд; Н/уд)
Оценка Дата Председатель комиссии
Проверка внедрения корректирующего действия (проводит ОС с оценкой: Уд; Н/уд)
Оценка Дата Председатель комиссии

* Номер стандарта указывают при заполнении.

ПРИЛОЖЕНИЕ И
(обязательное)

ФОРМА РЕГИСТРАЦИИ УВЕДОМЛЕНИЙ

СИСТЕМА СЕРТИФИКАЦИИ ГОСТ Р РЕГИСТР СИСТЕМ КАЧЕСТВА

РЕГИСТРАЦИЯ УВЕДОМЛЕНИЙ
Наименование органа по сертификации систем качества
Наименование
проверяемой
организации
Акт N
Дата
Порядковый номер Описание уведомлений Раздел ГОСТ Р ИСО 900*__-96 Подтверждение корректирующих действий
Председатель комиссии Эксперт Представитель проверяемой организации

ПРИЛОЖЕНИЕ К
(обязательное)

Форма акта   о результатах  проверки  и  оценки  системы  качества
                            (производства)
 
                                АКТ
О РЕЗУЛЬТАТАХ ПРОВЕРКИ И ОЦЕНКИ СИСТЕМЫ КАЧЕСТВА (ПРОИЗВОДСТВА) НА
        СООТВЕТСТВИЕ ТРЕБОВАНИЯМ ГОСТ Р ИСО 900*__ -96 
__________________________________________________________________
             наименование организации-заявителя 
 
1 ЦЕЛЬ И ОБЛАСТЬ ПРОВЕРКИ 
Сертификация системы качества (производства) _____________________
                                наименование организации-заявителя
 
на соответствие требованиям ГОСТ Р ИСО 900*__ - 96
применительно к продукции: _______________________________________
                                 наименование продукции 
 
2 ОСНОВАНИЕ_______________________________________________________
                              заявка, договор и пр.
3 ВРЕМЯ ПРОВЕДЕНИЯ ПРОВЕРКИ ______________________________________
4 СОСТАВ КОМИССИИ: _______________________________________________
__________________________________________________________________
__________________________________________________________________
__________________________________________________________________
__________________________________________________________________
5 БАЗА ПРОВЕРКИ**_________________________________________________
6 РЕЗУЛЬТАТЫ ПРОВЕРКИ ____________________________________________
__________________________________________________________________
7 ВЫВОДЫ КОМИССИИ ________________________________________________
__________________________________________________________________
 

* Номер стандарта указывают при заполнении. ** Приводится перечень документов, на соответствие которым проводятся проверки (ГОСТ Р ИСО 9001, ГОСТ Р ИСО 9002 или ГОСТ Р ИСО 9003) и в соответствии с которыми проводятся проверки (ГОСТ Р ИСО 10011-1, ГОСТ Р ИСО 10011-2, ГОСТ Р ИСО 10011-3, настоящий стандарт, ГОСТ Р 40.005, а также документы системы качества проверяемой организации). 8 АДРЕСА РАССЫЛКИ ________________________________________________ __________________________________________________________________ __________________________________________________________________ Председатель комиссии  
_____________________________ 
наименование органа по
сертификации
___________ 
подпись
_________________ 
инициалы, фамилия
 
 
 
Члены комиссии:
 
 
 
___________ 
подпись
_________________ 
инициалы, фамилия
 
 
 
 
___________
_________________
 
___________
_________________
 
С актом ознакомлен представитель руководства
 
 
 
 
        организация-заявитель
 
подпись
 
 инициалы, фамилия
 
 
 
 
Дата ________________
 
 
 
 
Город _______________
 
Примечание - К акту должны прилагаться:
- приложение 1 - Программа проверки и оценки системы качества;
- приложения 2, 3 и т.д. - Заполненные бланки регистрации несоответствий и уведомлений.
 
 

ПРИЛОЖЕНИЕ Л
(обязательное)

Форма решения о выдаче сертификата соответствия системы качества
                          (производства)
 
                            РЕШЕНИЕ 
 О ВЫДАЧЕ СЕРТИФИКАТА СООТВЕТСТВИЯ СИСТЕМЫ КАЧЕСТВА (ПРОИЗВОДСТВА)
 
Орган по сертификации систем качества ____________________________
                               наименование органа по сертификации
 
рассмотрел акт о  результатах  проверки и оценки  системы качества
(производства) от ________________________________________________
__________________________________________________________________
дата утверждения акта, наименование организации-заявителя, город 
 
на соответствие требованиям ГОСТ Р ИСО 900*__ -96
применительно к продукции (услугам) ______________________________
                                   наименование продукции (услуг)
и принял решение: ________________________________________________
                       выдать (не выдать) сертификат соответствия
 
Основание для отрицательного решения _____________________________
заполняется при отрицательном решении
__________________________________________________________________
__________________________________________________________________
__________________________________________________________________
 
Руководитель органа по 
сертификации систем качества
______________ 
подпись
___________________ 
инициалы, фамилия
 
Дата
 
М.П.

* Номер стандарта указывают при заполнении.      

ПРИЛОЖЕНИЕ М
(справочное)

СУБЪЕКТЫ МАЛОГО ПРЕДПРИНИМАТЕЛЬСТВА

(из Закона "О государственной поддержке малого предпринимательства в Российской Федерации" [1])

М.1 Субъекты малого предпринимательства (малые предприятия) - коммерческие организации, в уставном капитале которых доля участия Российской Федерации, субъектов Российской Федерации, общественных и религиозных организаций (объединений), благотворительных и иных фондов не превышает 25 процентов, доля, принадлежащая одному или нескольким юридическим лицам, не являющимся субъектами малого предпринимательства, не превышает 25 процентов и в которых средняя численность работников за отчетный период не превышает следующих предельных уровней:

- в промышленности - 100 человек,

- в строительстве - 100 человек,

- на транспорте - 100 человек,

- в сельском хозяйстве - 60 человек,

- в научно-технической сфере - 60 человек,

- в оптовой торговле - 50 человек,

- в розничной торговле и бытовом обслуживании населения - 30 человек,

- в остальных отраслях и при осуществлении других видов деятельности - 50 человек.

Средняя численность работников предприятия определяется с учетом всех его работников, в том числе работающих по договорам гражданско-правового характера и по совместительству с учетом реально отработанного времени, а также работников представительств, филиалов и других обособленных подразделений.

М.2 Под субъектами малого предпринимательства понимаются также физические лица, занимающиеся предпринимательской деятельностью без образования юридического лица.

М.3 Малые предприятия, осуществляющие несколько видов деятельности (многопрофильные), относятся к таковым по критериям того вида деятельности, доля которого является наибольшей в годовом объеме оборота или годовом объеме прибыли.

ПРИЛОЖЕНИЕ Н
(обязательное)

Форма решения о расширении области сертификации 
 
                               РЕШЕНИЕ
                О РАСШИРЕНИИ ОБЛАСТИ СЕРТИФИКАЦИИ 
 
Орган по сертификации систем качества ____________________________
наименование органа по сертификации 
рассмотрел акт о результатах проверки и оценки системы качества,
от _______________________________________________________________
                     дата утверждения акта
__________________________________________________________________
      наименование организации - держателя сертификата, город
 
на соответствие требованиям ГОСТ Р ИСО 900*__ -96 
применительно к продукции (услугам) ______________________________
                                   наименование продукции (услуг)
и принял решение _________________________________________________
                       выдать (не выдать) сертификат соответствия,
__________________________________________________________________
                          область сертификации 
Основание для отрицательного решения _____________________________
__________________________________________________________________
заполняется при отрицательном решении 
__________________________________________________________________
__________________________________________________________________
 
Руководитель органа по 
сертификации систем качества
______________ 
подпись
___________________ 
инициалы, фамилия
 
 
Дата
 
М.П.

* Номер стандарта указывают при заполнении.      

ПРИЛОЖЕНИЕ П
(обязательное)

             Форма решения о сужении области сертификации 
 
                                     РЕШЕНИЕ 
                        О СУЖЕНИИ ОБЛАСТИ СЕРТИФИКАЦИИ 
 
Орган по сертификации систем качества ____________________________
                               наименование органа по сертификации
 
рассмотрел  письмо-обращение   (акт  о результатах  инспекционного
контроля, номер и дата утверждения акта)
__________________________________________________________________
    наименование организации - держателя сертификата, город 
 
с указанием исключаемой продукции (услуги) _______________________
__________________________________________________________________
           наименование исключаемой продукции (услуги)
 
и принял решение _________________________________________________
                выдать (не выдать) сертификат соответствия,
__________________________________________________________________
                       область сертификации
 
Руководитель органа по 
сертификации систем качества
______________ 
подпись
___________________ 
инициалы, фамилия
 
 
Дата
 
М.П.
 
 
 

ПРИЛОЖЕНИЕ Р
(справочное)

БИБЛИОГРАФИЯ

[1] ИСО 8402-94* (E/F/R) Управление качеством и обеспечение качества. Словарь

[2] ИСО 9000-1-94* Общее руководство качеством и стандарты по обеспечению качества. Часть 1. Руководящие указания по выбору и применению

[3] ИСО 9001-94* Системы качества. Модель для обеспечения качества при проектировании, разработке, производстве, монтаже и обслуживании

[4] ИСО 9002-94* Системы качества. Модель для обеспечения качества при производстве, монтаже и обслуживании

[5] ИСО 9003-94* Системы качества. Модель для обеспечения качества при окончательном контроле и испытаниях

[6] ИСО 9004-1-94* Управление качеством и элементы системы качества. Часть 1. Руководящие указания

[7] Руководство ИСО/МЭК 2-96* Стандартизация и смежные виды деятельности - Общий словарь

[8] Руководство ИСО/МЭК 62-96* Общие требования к органам, осуществляющим оценку и сертификацию/регистрацию систем качества

[9] Требования к системе качества "QS - 9000", ВНИИС, второе издание, М., 1997 г.

* Международные стандарты - во ВНИИКИ Госстандарта России.