Приказ Минздрава РФ от 26.05.2003 N 220

"Об утверждении отраслевого стандарта "Правила проведения внутрилабораторного контроля качества количественных методов клинических лабораторных исследований с использованием контрольных материалов"
Редакция от 26.05.2003 — Действует

МИНИСТЕРСТВО ЗДРАВООХРАНЕНИЯ РОССИЙСКОЙ ФЕДЕРАЦИИ

ПРИКАЗ
от 26 мая 2003 г. N 220

ОБ УТВЕРЖДЕНИИ ОТРАСЛЕВОГО СТАНДАРТА "ПРАВИЛА ПРОВЕДЕНИЯ ВНУТРИЛАБОРАТОРНОГО КОНТРОЛЯ КАЧЕСТВА КОЛИЧЕСТВЕННЫХ МЕТОДОВ КЛИНИЧЕСКИХ ЛАБОРАТОРНЫХ ИССЛЕДОВАНИЙ С ИСПОЛЬЗОВАНИЕМ КОНТРОЛЬНЫХ МАТЕРИАЛОВ"

В целях развития системы стандартизации в здравоохранении Российской Федерации и управления качеством медицинской помощи приказываю:

Утвердить отраслевой стандарт "Правила проведения внутрилабораторного контроля качества количественных методов клинических лабораторных исследований с использованием контрольных материалов" ОСТ 91500.13.0001-2003 (приложение).

Министр
Ю.Л. ШЕВЧЕНКО

Приложение

УТВЕРЖДЕНО
Приказом Минздрава России
от 26.05.2003 г. N 220

ОТРАСЛЕВОЙ СТАНДАРТ

СИСТЕМА СТАНДАРТИЗАЦИИ В ЗДРАВООХРАНЕНИИ РОССИЙСКОЙ ФЕДЕРАЦИИ

ПРАВИЛА
ПРОВЕДЕНИЯ ВНУТРИЛАБОРАТОРНОГО КОНТРОЛЯ КАЧЕСТВА КОЛИЧЕСТВЕННЫХ МЕТОДОВ КЛИНИЧЕСКИХ ЛАБОРАТОРНЫХ ИССЛЕДОВАНИЙ С ИСПОЛЬЗОВАНИЕМ КОНТРОЛЬНЫХ МАТЕРИАЛОВ
ОСТ 91500.13.0001-2003

1. ОБЛАСТЬ ПРИМЕНЕНИЯ

Отраслевой стандарт "Правила проведения внутрилабораторного контроля качества количественных методов клинических лабораторных исследований с использованием контрольных материалов" устанавливает единый порядок внутрилабораторного контроля качества количественных исследований, выполняемых в клинико-диагностических лабораториях, медицинских организациях, в составе которых действуют указанные лаборатории.

2. ВЕДЕНИЕ ОСТ

Ведение ОСТ осуществляется Московской медицинской академии им. И.М. Сеченова Минздрава России.

3. НОРМАТИВНЫЕ ССЫЛКИ

В настоящем стандарте использованы ссылки на следующий документы:

- Постановление Правительства Российской Федерации от 05.11.97 N 1387 "О мерах по стабилизации и развитию здравоохранения и медицинской науки в Российской Федерации" (Собрание законодательства Российской Федерации, 1997, N 46, ст. 5312).

- Постановление Правительства Российской Федерации от 26.10.99 N 1194 "О Программе государственных гарантий обеспечения граждан Российской Федерации бесплатной медицинской помощью" (Собрание законодательства Российской Федерации, 1999, N 44, ст. 5322).

- Постановление Правительства Российской Федерации от 04.07.2002 N 499 "Об утверждении Положения о лицензировании медицинской деятельности" (Собрание законодательства Российской Федерации, 2002, N 27, ст. 2710; N 41, ст. 3983).

4. СОКРАЩЕНИЯ

В тексте отраслевого стандарта использованы следующие сокращения: ОСТ - Отраслевой стандарт

5. ВНУТРИЛАБОРАТОРНЫЙ КОНТРОЛЬ КАЧЕСТВА КЛИНИЧЕСКИХ ЛАБОРАТОРНЫХ ИССЛЕДОВАНИЙ

5.1. Введение

Одним из важных направлений в совершенствовании управления качеством медицинской помощи населению Российской Федерации является разработка системы мер по повышению надежности результатов клинических лабораторных исследований.

Комплексная система нормативного обеспечения - разработка отраслевых стандартов, регламентирующих преданалитический, аналитический и постаналитический этапы количественных, качественных и других методов исследования лабораторных показателей-позволит в значительной степени повысить достоверность результатов лабораторных исследований.

Отраслевой стандарт "Правила проведения внутрилабораторного контроля качества количественных методов клинических лабораторных исследований с использованием контрольных материалов" создан с целью нормативного обеспечения повседневных внутрилабораторных процедур контроля качества, направленных на выявление недопустимых случайных и систематических погрешностей на аналитическом этапе клинических лабораторных исследований, выполняемых количественными методами. Случайной погрешностью измерения является составляющая погрешности результата измерения, изменяющаяся случайным образом (по знаку и значению) при повторных измерениях, проведенных с одинаковой тщательностью, одной и той же физической величины. Систематической погрешностью измерения является составляющая погрешности результата измерения, остающаяся постоянной или закономерно изменяющаяся при повторных измерениях одной и той же физической величины.

5.2. Внутрилабораторный контроль в системе управления качеством медицинской помощи

Контроль качества клинических лабораторных исследований является неотъемлемой составной частью системы взаимосвязанных мер по управлению качеством медицинской помощи, включающих планирование качества путем установления норм точности, обеспечение качества путем экспертизы методов исследования, лабораторного оборудования и расходных материалов, допускаемых к применению в клинико-диагностических лабораториях медицинских организаций и установление правил получения, хранения и транспортировки образцов биоматериалов от пациента в клинико-диагностических лабораториях.

Контроль качества клинических лабораторных исследований существует в двух взаимосвязанных формах: внутрилабораторного контроля качества и внешней оценки качества. Внешняя оценка качества лабораторных исследований в медицинских организациях Российской Федерации регламентируется соответствующими нормативными документами. Внутрилабораторный контроль качества клинических лабораторных исследований осуществляется сотрудниками каждой клинико-диагностической лаборатории с целью поддержания стабильности аналитической системы и регламентируется нормативными документами медицинской организации.

Настоящим отраслевым стандартом вводятся предельные допускаемые значения характеристик погрешностей. Единые требования к аналитическому качеству количественных методов разработаны для измерения показателей крови, сыворотки крови и мочи. Предельные допускаемые значения установлены путем экспертной оценки на основе сведений о биологической вариации компонентов биологических жидкостей и данных об аналитической вариации, полученных в результате деятельности (приложение 1 к настоящему отраслевому стандарту).

5.3. Общие принципы организации и проведения внутрилабораторного контроля качества в КДЛ

- Организация и обеспечение внутрилабораторного контроля качества количественных методов клинических лабораторных исследований является обязанностью сотрудника, уполномоченного обеспечивать качество проводимых исследований.

- Внутрилабораторный контроль качества обязателен в отношении всех видов количественных исследований, выполняемых в клинико-диагностической лаборатории, для которых разработаны контрольные материалы.

- Порядок и технология проведения внутрилабораторного контроля качества измерений лабораторных показателей должны выполняться по правилам настоящего ОСТа.

- Допускается использование клинико-диагностической лабораторией компьютерных программ для выполнения внутрилабораторного контроля качества, аттестованных и разрешенных к использованию в клинико-диагностических лабораториях Министерством здравоохранения Российской Федерации.

- Отчетные формы проведения внутрилабораторного контроля качества оформляются в виде контрольных карт (согласно п. 6.3), таблиц, журналов или на электронных носителях и архивируются на срок не менее 3 лет.

Результаты внутрилабораторного контроля качества должны быть отражены в формах отчетности, которые приведены в приложениях к данному отраслевому стандарту:

регистрационная форма "Оценка сходимости результатов измерения" (приложение 2 к настоящему отраслевому стандарту);

регистрационная форма "Результаты установочных серий измерений показателя в контрольных материалах" (приложение 3 к настоящему -; отраслевому стандарту);

журнал "Регистрация отбракованных результатов внутрилабораторного контроля качества" (приложение 4 к настоящему отраслевому стандарту).

Наличие системы внутрилабораторного контроля качества является одним из критериев аккредитации лаборатории и учитывается при лицензировании медицинской деятельности.

Проверка наличия системы внутрилабораторного контроля качества в клинико-диагностических лабораториях осуществляется территориальными органами управления здравоохранением.

6. ПРАВИЛА ПРОВЕДЕНИЯ ВНУТРИЛАБОРАТОРНОГО КОНТРОЛЯ КАЧЕСТВА КОЛИЧЕСТВЕННЫХ МЕТОДОВ КЛИНИЧЕСКИХ ЛАБОРАТОРНЫХ ИССЛЕДОВАНИЙ С ИСПОЛЬЗОВАНИЕМ КОНТРОЛЬНЫХ МАТЕРИАЛОВ

Настоящие правила устанавливают средства, способы и порядок проведения внутрилабораторного контроля качества количественных методов клинических лабораторных исследований, предусматривающие использование контрольных материалов и направленные на выявление недопустимых случайных и систематических погрешностей на аналитическом этапе лабораторного исследования.

Аналитический этап лабораторного исследования включает в себя: хранение и подготовку пробы к измерению, калибровку аналитической системы, измерение лабораторного показателя в аналитической серии, в пробах пациентов и контрольных материалах, оценку приемлемости полученных результатов. Аналитической системой является полная совокупность измерительных приборов и другого оборудования, объединенных для выполнения специальных измерений, которая включает в себя также химические и биологические вещества и другие материалы. Аналитической серией является совокупность измерений лабораторного показателя, выполненных в одних и тех же условиях без перенастройки и калибровки аналитической системы, при которых характеристики аналитической системы остаются стабильными.

Цель проведения внутрилабораторного контроля качества - достижение стабильности аналитической системы.

6.1. Контрольные материалы

Контрольным материалом является натуральный или искусственный однородный материал, содержащий те же компоненты, что и пробы пациентов. Результат измерения контрольного материала используется для оценки погрешности измерения лабораторного показателя в пробах пациентов.

Контрольные материалы, используемые в клинико-диагностических лабораториях для проведения внутрилабораторного контроля качества количественных методов клинических лабораторных исследований, должны быть рекомендованы к применению Министерством здравоохранения Российской Федерации.

При внутрилабораторном контроле используются контрольные материалы с аттестованными и неаттестованными значениями контролируемых показателей. Аттестованным значением является значение измеряемой характеристики контрольного материала (концентрации вещества, ферментативной активности и т.п.), установленное при его аттестации и приводимое в паспорте и других документах на контрольный материал. Для одного и того же показателя в документах на контрольный материал может быть указано несколько значений отдельно по каждому методу измерения.

Контрольные материалы с аттестованными значениями показателей используются для контроля правильности и воспроизводимости результатов лабораторного анализа, с неаттестованными значениями - только для контроля воспроизводимости.

Контрольный материал нельзя использовать одновременно в качестве калибровочного материала.

6.2. Требования к контрольным материалам

Контрольные материалы должны соответствовать следующим требованиям:

- Матрица, т.е. состав и свойства биологического материала, в котором находится измеряемый компонент (сыворотка крови, плазма, цельная кровь, моча или другой биологический материал), предпочтительнее человеческого происхождения; использование контрольного материала животного или смешанного происхождения допускается, за исключением некоторых аналитических методов (ограничения указываются в инструкции производителя).

- Уровни исследуемых компонентов в контрольном материале должны соответствовать значениям показателей в нормальном и патологическом диапазоне; за нормальный принимается диапазон значений лабораторного показателя, соответствующий состоянию здоровья обследуемого, за патологический - диапазон, соответствующий состоянию болезни пациента.

- Перечень компонентов в паспорте закупаемого контрольного материала должен соответствовать исследуемым в лаборатории показателям.

- Методы определения показателей в контрольном материале должны соответствовать методам, применяемым в конкретной лаборатории

- Срок годности контрольного материала:

после изготовления контрольного материала:

- при хранении лиофилизированных форм (при 2 - 8°С) более 1 года - для аттестованных, более 2 лет - для неаттестованных контрольных материалов;

- для жидких контрольных материалов (готовых к употреблению) при 2 - 8°С - не менее 3 месяцев;

после вскрытия флакона или реконструкции лиофилизированных форм:

4 - 8 часов при 20 - 25°С; время реконструкции лиофилизированных форм - не более 30 минут при 20 - 25°С.

6.3. Использование контрольных материалов

Количество закупаемого контрольного материала одной партии должно быть достаточным для проведения оперативного контроля качества в течение длительного времени (от 3 месяцев до 3 лет, в зависимости от стабильности контрольного материала); расчет количества необходимого контрольного материала проводится исходя из количества исследований, подлежащих контролю в данной лаборатории.

Подготовка контрольного материала к исследованию проводится в соответствии с инструкцией производителя. Контрольные материалы должны исследоваться так же, как пробы пациентов, т.е. в тех же аналитических сериях и условиях.

При реконструкции лиофилизированных форм для уменьшения величины погрешности дозирования необходимо использовать одно и тоже поверенное дозирующее устройство.

Допускается однократное замораживание и оттаивание реконструированного контрольного материала. Однократное оттаивание замороженного контрольного материала следует проводить при комнатной температуре в водной среде при 20 - 25°С. Методика замораживания и оттаивания должна быть стандартизована для всех исследуемых показателей в соответствии с инструкцией производителя.

Для экономного использования реконструированного контрольного материала допускается разлить содержимое флакона на аликвоты. Объем аликвот (не менее 0,5 мл) должен помещаться в пробирки или флаконы соответствующего объема с герметичными крышками, которые хранятся при -20°С и более низких температурах для дальнейшего использования.

Материал, из которого изготовлены пробирки, не должен адсорбировать компоненты контрольного материала (кальций, альбумин и др.,).

При использовании реактивов и калибраторов одного производителя рекомендуется применять аттестованные контрольные материалы другого производителя.

6.4. Статистические основы оценки погрешностей количественных методов исследования с применением контрольных материалов

Статистической основой оценки погрешностей при внутрилабораторном контроле качества количественных методов лабораторных исследований является допущение о том, что частотные распределения результатов многократного измерения одного и того же контрольного материала одним и тем же аналитическим методом имеют вид нормального распределения. Для оценки случайных и систематических погрешностей измерения используются следующие статистические характеристики:

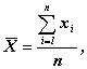
- среднее арифметическое значение (среднее арифметическое):

(1)

где хi - результат i-го измерения из n выполненных, n - число измерений,

-сумма результатов измерений x1,x2,......,xn

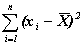
- среднее квадратическое отклонение (S):

(2)

где сумма квадратов отклонений результатов измерений x1,x2,...,xn от среднего

арифметического

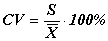
- коэффициент вариации (CV):

(3)

Приведенные статистические характеристики используются для оценки сходимости, воспроизводимости и правильности измерений лабораторных показателей в контрольном материале и пробах пациентов.

Среднее квадратическое отклонение (S) и коэффициент вариации (СV) служат характеристикой случайных погрешностей и используются для оценки сходимости и воспроизводимости измерений. Сходимостью результатов измерений является близость друг к другу результатов измерений одной и той же величины, выполненных повторно одними и теми же средствами, одним и тем же методом в одинаковых условиях и с одинаковой тщательностью. Воспроизводимостью результатов измерений является близость результатов измерений одной и той же величины, полученных в разных местах, разными методами, разными средствами, разными операторами, в разное время, но

Среднее арифметическое значение () используется при расчете относительного смещения (В), которое характеризует правильность измерений. Правильность измерений отражает близость к нулю систематических погрешностей в их результатах. Смещение (В) определяется близостью среднего арифметического значения результатов повторных измерений контрольного материала () к аттестованному значению (АЗ) измеряемой величины (см. пункт 6.1.1) и может быть выражено в абсолютных и/или относительных величинах. Относительная систематическая погрешность или смещение (В) рассчитывается по формуле:

(4)

В полученном результате обязательно указывается знак числа (+ или -).

В приложении 1 приведены ПДЗ характеристик погрешностей: относительного смещения (В) и коэффициента вариации (CV) определения лабораторных показателей в контрольном материале.

6.5. Порядок проведения внутрилабораторного контроля качества

Порядок проведения внутрилабораторного контроля качества состоит из трех последовательных стадий:

Стадия 1. Оценка сходимости результатов измерения.

Стадия 2: первый, второй и третий этапы. Оценка воспроизводимости и правильности результатов измерений (установочные серии), построение контрольных карт.

Стадия 3. Проведение оперативного контроля качества результатов лабораторных исследований в каждой аналитической серии.

Предварительная оценка сходимости, воспроизводимости и правильности измерений лабораторного показателя (1 и 2 стадии внутрилабораторного контроля качества) выполняется при внедрении в работу лаборатории каждой новой методики. В случае внесения существенных изменений в аналитическую систему, а именно, при изменении аналитических принципов измерения (приборов, реактивов, калибровочных средств, контрольных материалов, технологической процедуры и др.) 1 и 2 стадии внутрилабораторного контроля качества следует повторить. Выполнение во 2 стадии 20 измерений лабораторного показателя в контрольных материалах называются установочными сериями измерений, по результатам которых рассчитывается среднее квадратическое отклонение (S) и контрольные пределы.

Принятые обозначения в тексте. Результаты измерений лабораторного показателя, получаемые в лаборатории, оцениваются по значениям коэффициента вариации и относительного смещения, в тексте ОСТа обозначаются следующими символами:

- сходимость ();

- воспроизводимость (, - соответственно в 10 и 20 аналитических сериях);

- правильность (, - соответственно 10 и 20 аналитических сериях).

Формулы расчета (1-4) приведены выше.

6.5.1. Стадия 1: оценка сходимости результатов измерений

Цель: проверка соответствия сходимости результатов измерения установленным нормам.

Исследуемый материал: контрольный материал или проба пациента со значением определяемого показателя в нормальном диапазоне.

Последовательность выполнения:

- Провести 10 измерений в одном и том же материале в одной аналитической серии.

- Результаты измерений внести в регистрационную форму "Оценка сходимости результатов измерения" (приложение 2 к настоящему отраслевому стандарту).

- По формулам 1-3 рассчитать значение коэффициента вариации сходимости .

- Проверить, что полученное значение не превышает половины значения (приложение 1):

< (5)

- Если значение превышает , необходимо выяснить источники недопустимо больших случайных погрешностей и провести работу по их устранению.Затем следует повторить стадию 1.

- При соответствии сходимости установленным нормам переходят к следующей стадии.

6.5.2. Стадия 2: оценка воспроизводимости и правильности результатов измерений (установочные серии), построение контрольных карт

ПЕРВЫЙ ЭТАП

Цель: предварительная оценка соответствия значений коэффициента вариации и относительного смещения установленным нормам.

Исследуемый материал: измерение определяемого показателя проводят в двух аттестованных контрольных материалах <*> - для оценки значений коэффициента вариации и относительного смещения методики . Значения определяемых показателей в выбранных аттестованных контрольных материалах должны соответствовать "нормальному" и "патологическому" диапазону. Эти же контрольные материалы используются в третьей стадии для проведения оперативного контроля качества.

<*> Возможно, в качестве исследуемого материала во 2-ой стадии использовать два аттестованных и два неаттестованных контрольных материала. Два аттестованных контрольных материалах - для оценки значений относительного смещения и ; два неаттестованных контрольных материалах - для проведения установочных серий измерений и для оценки значений коэффициента вариации и .

Последовательность выполнения:

- Провести измерение показателя в 10 аналитических сериях; в каждой серии по одному измерению одновременно в двух контрольных материалах;

- Результаты внести в регистрационную форму "Результаты установочных серий измерений показателя в контрольных материалах" (приложение 3 к настоящему отраслевому стандарту);

- Указанные серии выполнять по одной в день (при необходимости допускается проведение по 2-3 серии в день, например, из-за ограниченного срока годности реактивов);

- Из полученных для каждого из контрольных материалов 10 результатов с использованием формул 1-4 рассчитать значения коэффициента вариации и величину относительного смещения ;

- Проверить, что полученные значения и не превышают предельные допускаемые значения для данного показателя и (приложение 1).

- Если одно из полученных значений или превышают значения соответствующих и выявить источники недопустимо больших случайных и систематических погрешностей и провести работу по их устранению. После чего первый этап выполняется заново.

- Если значения коэффициента вариации () и относительного смещения () не превышают установленных норм, переходят ко второму этапу.

ВТОРОЙ ЭТАП

Цель: окончательная оценка соответствия значений коэффициента вариации () и относительного

смещения () установленным нормам.

Исследуемые материалы: те же, что и при выполнении первого этапа.

Последовательность выполнения:

- Провести измерение показателя в 10 дополнительных аналитических сериях (см. стадию 2, первый этап).

- Результаты внести во вторую часть регистрационной формы (приложение 3).

- Рассчитать значения коэффициента вариации и величину относительного смещения по формулам 1-4.

- Проверить, что полученные значения и не превышают предельные допускаемые значения измерений и (приложение 1 к настоящему отраслевому стандарту).

- Если одно из полученных значений или превышают значения соответствующих и , выявить источники недопустимо больших случайных и систематических погрешностей и провести работу по их устранению. После чего второй этап выполняется заново.

- Если значения коэффициента вариации и относительного смещения не превышают установленных норм, делается окончательный вывод о возможности использования рассматриваемой методики для целей лабораторной диагностики и переходят к следующему этапу - построению контрольных карт.

ТРЕТИЙ ЭТАП

Цель: построение контрольных карт.

Последовательность выполнения:

- Из полученных в установочной серии 20 результатов измерений определяемого показателя для каждого контрольного материала по формулам 1-2 рассчитывают: среднюю арифметическую величину , среднее квадратическое отклонение S, контрольные пределы: , и .

- Если в ряду результатов, полученных для одного из контрольных материалов, есть значение, выходящее за пределы , то его отбрасывают; для этого материала проводят еще одну аналитическую серию измерений, после чего снова подсчитывают значения и S.

- Контрольная карта, построенная по установочной серии измерений, представляет собой график, на оси абсцисс которого откладывается номер аналитической серии (или дата ее выполнения), а на оси ординат - значения определяемого показателя в контрольном материале (рис. 1).

- Через середину оси ординат проводится линия, соответствующая средней арифметической величине , и параллельно этой линии отмечаются линии, соответствующие контрольным пределам:

- контрольный предел "1 среднее квадратическое отклонение";

- контрольный предел "2 средних квадратических отклонения";

- контрольный предел "3 средних квадратических отклонения".

- Контрольные карты строятся для каждого лабораторного показателя и для каждого контрольного материала, предназначенного для оперативного контроля качества.

- Ширина контрольных пределов определяется величиной среднего квадратического отклонения (S). Чем шире контрольные пределы, тем ниже вероятность обнаружения погрешностей при ежедневном оперативном контроле качества. Узкие контрольные пределы повышают вероятность ложного отбрасывания аналитической серии.

- Контрольные карты оформляются и архивируются: в виде графиков, таблиц, в том числе и на электронных носителях.

Рис. 1. Пример контрольной карты.

6.5.3. Стадия 3: проведение оперативного внутрилабораторного контроля качества

Проведение оперативного контроля качества количественных методов лабораторных исследований предполагает ежесерийное измерение показателя в контрольных материалов и оценку приемлемости результатов исследования проб пациентов. Приемлемость результатов измерений проб пациентов каждой аналитической серии оценивают по результатам исследования контрольных материалов, с помощью контрольных правил.

Цель: подтверждение стабильности аналитической системы по результатам исследования контрольных материалов в каждой аналитической серии.

Исследуемый материал: для оперативного контроля качества лаборатория должна использовать два аттестованных контрольных материала в двух диапазонах определяемых показателей, возможно использование двух неаттестованных контрольных материалов в двух диапазонах определяемых показателей.

Последовательность выполнения:

- Провести калибровку аналитической системы в соответствии с методикой.

- Образцы контрольных материалов равномерно распределить среди анализируемых проб пациентов.

- Провести в каждой аналитической серии однократное измерение показателя в контрольных материалах и образцах пациентов (число измерений в аналитической серии не ограничивается)

- Нанести точки, соответствующие результатам контрольных измерений, на соответствующие контрольные карты.

- При отклонении результатов контрольных измерений за контрольный предел, ограниченный контрольным правилом, оценить приемлемость результатов проб пациентов в данной аналитической серии по резулътатам измерения контрольных материалов с использованием контрольных правил <*>:

<*> Контрольное правило включает в себя контрольный предел (, , ) и число контрольных измерений в аналитической серии. Контрольные правила обозначаются символами типа , где А - число контрольных результатов, L - контрольный предел.

- Проверить присутствие на обеих контрольных картах правила;

- Если один из результатов анализа контрольных материалов выходит за пределы , последовательно проверить наличие контрольных правил , , , , и ; аналитическая серия признается неудовлетворительной при наличии одного из них:

- одно из контрольных измерений выходит за пределы .

- два последних контрольных измерения превышают предел или лежат ниже предела.

- два контрольных измерения в рассматриваемой аналитической серии расположены по разные стороны от коридора ;

- четыре последних контрольных измерения превышают или лежат ниже предела.

- десять последних контрольных измерений располагаются по одну сторону от линии, соответствующей .

- Если кроме признака обнаруживается хотя бы один из указанных признаков: , , , , или , все результаты, полученные в данной аналитической серии, следует считать неприемлемыми (рис.2).

Рис. 2. Схема последовательного применения контрольных правил

- Контрольные признаки , , следует проверять на одной контрольной карте и/или на обеих контрольных картах (рис.3).

Рис. 3. Примеры нарушения контрольных правил в случае двух контрольных материалов.

- Проведение анализа приостановить, выявить и устранить причины возникновения повышенных погрешностей. се пробы, проанализированные в этой серии (и пациентов, и контрольные), исследовать повторно.

- Результаты измерения контрольных материалов в серии, признанной неприемлемой не должны использоваться при оценке по контрольным правилам повторной и последующих серий.

- В случае если ни один из перечисленных выше признаков не обнаруживается ни на одной контрольной карте, проведение исследований следует продолжить.

- Решение о приемлемости результатов измерения лабораторного показателя в биологическом материале пациентов принимается сотрудником, отвечающим за качество исследований. Если результаты аналитической серии признаются неприемлемыми, делается соответствующая запись в журнале "Регистрация отбракованных результатов внутрилабораторного контроля качества" (приложение 4 к настоящему отраслевому стандарту).

Контрольный признак является предупредительным, появление его не должно приводить к отбрасыванию результатов аналитической серии и повторному исследованию проб. Появление контрольных признаков: - свидетельствует о наличии грубой погрешности, - об увеличении случайных ошибок, а признаки , , и - об увеличении систематической ошибки методики.

Для оценки стабильности аналитической системы необходимо периодически проводить пересчет контрольных пределов через каждые 30 измерений, включая предыдущие измерения, за исключением значений контрольного материала тех серий, которые отбрасывались. После этого рассчитываются новые контрольные пределы и строится новая контрольная карта.

В лаборатории допускается выбор других алгоритмов применения контрольных правил, разрешенных к использованию в клинико-диагностических лабораториях, в порядке, установленном соответствующими нормативными документами. Выявление контрольных признаков в повседневной работе клинико-диагностической лаборатории может выполняться "вручную" или с помощью специальных компьютерных программ. Пример контрольных карт для двух контрольных материалов, на которых представлены серии, являющиеся неудовлетворительными ввиду нарушения разных контрольных правил, приведен на рис. 3.

6.5.4. Смена контрольного материала

Для сохранения непрерывности внутрилабораторного контроля в период, когда используемого контрольного материала остается только на 20 аналитических серий, необходим переход на новый контрольный материал путем проведения так называемого "перекрывания".

Перекрывание состоит в том, что в течение 20 серий (периода перекрывания) клинико-диагностическая лаборатория исследует одновременно заканчивающийся материал ("используемый"), по которому продолжается осуществление текущего контроля, и материал, который его заменяет ("вводимый"). При этом пробы вводимого контрольного материала располагают в положениях, отстоящих на две или более позиции от положений, в которых расположены пробы используемого контрольного материала. Например, если пробы используемого контрольного материала находятся в положениях 07, 36, то пробы вводимого контрольного материала можно разместить в положениях 4, 33.

По результатам, полученным для вводимого контрольного материала, рассчитывают среднее арифметическое значение и среднее квадратическое отклонение, по которым строится новая контрольная карта.

Приложение N 1
к отраслевому стандарту
"Правила проведения внутрилабораторного
контроля качества количественных методов
клинических лабораторных исследований
с использованием контрольных материалов"
 

ПРЕДЕЛЬНЫЕ ДОПУСКАЕМЫЕ ЗНАЧЕНИЯ СМЕЩЕНИЯ (В) И КОЭФФИЦИЕНТА ВАРИАЦИИ (СУ) ОПРЕДЕЛЕНИЯ ЛАБОРАТОРНЫХ ПОКАЗАТЕЛЕЙ В КОНТРОЛЬНОМ МАТЕРИАЛЕ

Исследование биологических жидкостей Код ОК-ПМУ , % , % , % , %
1 Исследование уровня аланинтрансаминазы <*> в крови 09.05.042 ±17 16 ±15 15
2. Исследование уровня альбумина в крови 09.05.011 +5 4 ±4 4
3. Исследование уровня амилазы <*>в крови 09.05.045 ±16 11 ±15 10
4. Исследование уровня аспартатрансаминазы <*> в крови 09.05.041 ±11 И ±10 10
5. Исследование уровня общего белка в крови 09.05.010 ±5 3 ±5 3
6. Исследование уровня общего билирубина в крови 09.05.021 ±17 16 ±15 15
7. Исследование уровня гаммаглутаминтрансферазы<*> в крови 09.05.044 ±16 11 ±15 10
8. Исследование уровня глюкозы в крови 09.05.023 ±6 5 ±5 5
9. Исследование уровня железа в крови 09.05.007 ±12 17 ±10 16
10. Исследование уровня калия в крови 09.05.031 ±5 4 ±4 4
11. Исследование уровня кальция в крови 09.05.032 ±3,4 3,3 ±3,0 3,0
12. Исследование уровня креатинина в крови 09.05.020 ±11 8 ±10 7
13. Исследование уровня креатинкиназы <*> в крови 09.05.043 +23 22 ±20 20
14. Исследование уровня лактатдегидрогеназы <*> и ее изоферментов в крови 09.05.039 ±11 11 ±10 10
15. Исследование уровня магния в крови 09.05.132 ±7 7 ±6 6
16. Исследование уровня мочевой кислоты в крови 09.05.018 ±11 8 ±10 7
17. Исследование уровня мочевины в крови 09.05.017 ±11 11 ±10 10
18. Исследование уровня натрия в крови 09.05.030 ±1,8 2,2 ±1,5 2,0
19. Исследование уровня ней-тральных жиров и триглицеридов плазмы крови 09.05.025 ±17 16 +15 15
20. Исследование уровня фосфатов(неорганических) в крови 09.05.033 ±8 8 ±7 7
21. Исследование уровня хлоридов в крови 09.05.034 ±3,4 3,3 ±3,0 3,0
22. Исследование уровня холестерина в крови 09.05.026 ±9 8 ±8 7
23. Исследование уровня щелочной фосфатазы <*> в крови 09.05.046 ±16 11 ±15 10
24. Определение белка в мочи 09.28.003 ±24 27 ±20 25
25. Исследование уровня глюкозы в моче 09.28.011 ±22 16 ±20 15
26. Исследование уровня общего гемоглобина в крови 09.05.003 ±5 4 ±4 4
27. Исследование уровня эритроцитов в крови 08.05.003 ±1 4 ±6 4

Примечание. <*> - для данных показателей под исследованием уровня подразумевается измерение активности ферментов.

Приложение N 2
к отраслевому стандарту
"Правила проведения внутрилабораторного
контроля качества количественных методов
клинических лабораторных исследований
с использованием контрольных материалов"
 

РЕГИСТРАЦИОННАЯ ФОРМА "ОЦЕНКА СХОДИМОСТИ РЕЗУЛЬТАТОВ ИЗМЕРЕНИЯ"

Лаборатория: Показатель:
Отдел:  
Дата измерения: Исследуемый материал (нужное подчеркнуть): проба пациента, контрольный материал
Методика измерения: Контрольный материал (название, диапазон значений):
Исполнитель: Производитель контрольного материала: N партии контрольного материала: Срок годности контрольного материала:
         
         
Порядковый номер измерения Результат измерения показателя
1      
2      
3      
4      
5      
6      
7      
8      
9      
10      
число результатов (п)=10 10 результатов измерений =
= 0,5 = Сходимость приемлема: да нет

- знак суммы результатов.

По формулам 1-2 рассчитывают среднее квадратическое отклонение и значение коэффициента вариации которое вносят в регистрационную форму и сравнивают со значением 0,5 (приложение 1 к настоящему отраслевому стандарту).

Заведующий клинико-диагностической лабораторией.................... подпись

Приложение N 3
к отраслевому стандарту
"Правила проведения внутрилабораторного
контроля качества количественных методов
клинических лабораторных исследований
с использованием контрольных материалов"
 

РЕГИСТРАЦИОННАЯ ФОРМА "РЕЗУЛЬТАТЫ УСТАНОВОЧНЫХ СЕРИЙ ИЗМЕРЕНИЙ ПОКАЗАТЕЛЯ В КОНТРОЛЬНЫХ МАТЕРИАЛАХ"

 

Лаборатория:
Отдел:
Показатель: Дата проведения измерений
с по
Исполнитель:
Контрольные материалы: (названия) Срок годности: Производители: N партии Паспортные значения (диапазон значений):
1. 1. 1. 1. 1.
2 2. 2. 2. 2.
Прибор: Методика измерения: Реактивы:
Число серий Контрольный материал 1 Контрольный материал 2
Результат измерения Результат измерения
1            
2            
3            
4            
5            
6            
7            
8            
9            
10            
п=10    
=
=
=
=
=
=
Воспроизводимость в 10 сериях
приемлема: да нет
Воспроизводимость в 10 сериях
приемлема: да нет
Правильность по 10 сериям
приемлема: да нет
Правильность по 10 сериям
приемлема: да нет
Число дополнит. серий Контрольный материал 1 Контрольный материал 2
11 Результат измерения
Результат измерения
12            
13            
14            
15            
16            
17            
18            
19            
20            
п=20    
=
=
=
=
=
=
Воспроизводимость в 20 сериях
приемлема: да нет
Воспроизводимость в 20 сериях
приемлема: да нет
Правильность по 20 сериям
приемлема: да нет
Правильность по 20 сериям
приемлема: да нет

Заведующий клинико-диагностической лабораторией.................. .(подпись)

Данная форма заполняется для каждого лабораторного показателя, исследуемого в лаборатории.

Приложение N 4
к отраслевому стандарту
"Правила проведения внутрилабораторного
контроля качества количественных методов
клинических лабораторных исследований
с использованием контрольных материалов"
 

ЖУРНАЛ
"РЕГИСТРАЦИЯ ОТБРАКОВАННЫХ РЕЗУЛЬТАТОВ ВНУТРИЛАБОРАТОРНОГО КОНТРОЛЯ КАЧЕСТВА

Лаборатория: Показатель: Методика выполнения измерений:
Отдел:    
Прибор: Реактивы: Контрольный материал (название, диапазон значений):
    Производитель: N партии: Срок годности:
         
         
День Запись<*> Подпись
     
     
     
         
         
Дата: Обзор результатов за месяц: комментарии, дейcтвия, решения:

Подпись заведующего лабораторией

Примечание. <*> - При выбраковке результатов сотрудник делает запись о произведенных действиях: проверка калибровки, инструментов, дозирования, повторное измерение результатов отбракованной аналитической серии. В конце каждого месяца заведующий лабораторией просматривает регистрационные листы и делает выводы с соответствующими комментариями по поводу предпринятых действий и решений.