Определение категорий помещений, зданий и наружных установок по взрывопожарной и пожарной опасности. НПБ 105-03

(утв. приказом МЧС РФ от 18.06.2003 N 314)
Редакция от 18.06.2003 — Документ не действует

НОРМЫ ПОЖАРНОЙ БЕЗОПАСНОСТИ

ОПРЕДЕЛЕНИЕ КАТЕГОРИЙ ПОМЕЩЕНИЙ, ЗДАНИЙ И НАРУЖНЫХ УСТАНОВОК ПО ВЗРЫВОПОЖАРНОЙ И ПОЖАРНОЙ ОПАСНОСТИ

DETERMINATION OF CATEGORIES OF ROOMS, ВUILDINGS AND EXTERNAL INSTALLATIONS ON EXPLOSION AND FIRE HAZARD

НПБ 105-03

Дата введения 2003-08-01

РАЗРАБОТАНЫ Главным управлением Государственной противопожарной службы Министерства Российской Федерации по делам гражданской обороны, чрезвычайным ситуациям и ликвидации последствий стихийных бедствий (ГУГПС МЧС России) и Федеральным государственным учреждением "Всероссийский ордена "Знак Почета" научно-исследовательский институт противопожарной обороны Министерства Российской Федерации по делам гражданской обороны, чрезвычайным ситуациям и ликвидации последствий стихийных бедствий" (ФГУ ВНИИПО МЧС России).

ВНЕСЕНЫ И ПОДГОТОВЛЕНЫ К УТВЕРЖДЕНИЮ нормативно-техническим отделом Главного управления Государственной противопожарной службы (ГУГПС МЧС России).

Письмом Минюста России от 26.06.2003 г. N 07/6463-ЮД признаны не нуждающимися в государственной регистрации.

УТВЕРЖДЕНЫ приказом МЧС России от 18.06.2003 г. N 314.

Дата введения в действие - с момента опубликования.

ВЗАМЕН НПБ 105-95, НПБ 107-97.

Настоящие нормы устанавливают методику определения категорий помещений и зданий (или частей зданий между противопожарными стенами - пожарных отсеков)* производственного и складского назначения по взрывопожарной и пожарной опасности в зависимости от количества и пожаровзрывоопасных свойств находящихся (обращающихся) в них веществ и материалов с учетом особенностей технологических процессов размещенных в них производств, а также методику определения категорий наружных установок производственного и складского назначения** по пожарной опасности.

* Далее по тексту - помещений и зданий

** Далее по тексту - наружные установки

Методика определения категорий помещений и зданий по взрывопожарной и пожарной опасности должна использоваться в проектно-сметной и эксплуатационной документации на здания, помещения и наружные установки.

Категории помещений и зданий предприятий и учреждений определяются на стадии проектирования зданий и сооружений в соответствии с настоящими нормами и ведомственными нормами технологического проектирования, утвержденными в установленном порядке.

Требования норм к наружным установкам должны учитываться в проектах на строительство, расширение, реконструкцию и техническое перевооружение, при изменениях технологических процессов и при эксплуатации наружных установок. Наряду с настоящими нормами следует также руководствоваться положениями ведомственных норм технологического проектирования, касающихся категорирования наружных установок, утвержденных в установленном порядке.

В области оценки взрывоопасности настоящие нормы выделяют категории взрывопожароопасных помещений и зданий, более детальная классификация которых по взрывоопасности и необходимые защитные мероприятия должны регламентироваться самостоятельными нормативными документами.

Категории помещений и зданий, определенные в соответствии с настоящими нормами, следует применять для установления нормативных требований по обеспечению взрывопожарной и пожарной безопасности указанных помещений и зданий в отношении планировки и застройки, этажности, площадей, размещения помещений, конструктивных решений, инженерного оборудования.

Настоящие нормы не распространяются:

на помещения и здания для производства и хранения взрывчатых веществ (далее - ВВ), средств инициирования ВВ, здания и сооружения, проектируемые по специальным нормам и правилам, утвержденным в установленном порядке;

на наружные установки для производства и хранения ВВ, средств инициирования ВВ, наружные установки, проектируемые по специальным нормам и правилам, утвержденным в установленном порядке, а также на оценку уровня взрывоопасности наружных установок.

Термины и их определения приняты в соответствии с нормативными документами по пожарной безопасности.

Под термином "Наружная установка" в настоящих нормах понимается комплекс аппаратов и технологического оборудования, расположенных вне зданий, с несущими и обслуживающими конструкциями.

1. ОБЩИЕ ПОЛОЖЕНИЯ

1. По взрывопожарной и пожарной опасности помещения подразделяются на категории А, Б, В1-В4, Г и Д, а здания - на категории А, Б, В, Г и Д.

По пожарной опасности наружные установки подразделяются на категории A_H, Б_Н, В_Н, Г_Н и Д_Н.

2. Категории взрывопожарной и пожарной опасности помещений и зданий определяются для наиболее неблагоприятного в отношении пожара или взрыва периода исходя из вида находящихся в аппаратах и помещениях горючих веществ и материалов, их количества и пожароопасных свойств, особенностей технологических процессов.

Категории пожарной опасности наружных установок определяются исходя из вида находящихся в наружных установках горючих веществ и материалов, их количества и пожароопасных свойств, особенностей технологических процессов.

3. Определение пожароопасных свойств веществ и материалов производится на основании результатов испытаний или расчетов по стандартным методикам с учетом параметров состояния (давления, температуры и т.д.).

Допускается использование справочных данных, опубликованных головными научно-исследовательскими организациями в области пожарной безопасности или выданных Государственной службой стандартных справочных данных.

Допускается использование показателей пожарной опасности для смесей веществ и материалов по наиболее опасному компоненту.

2. КАТЕГОРИИ ПОМЕЩЕНИЙ ПО ВЗРЫВОПОЖАРНОЙ И ПОЖАРНОЙ ОПАСНОСТИ

4. Категории помещений по взрывопожарной и пожарной опасности принимаются в соответствии с табл.1.

5. Определение категорий помещений следует осуществлять путем последовательной проверки принадлежности помещения к категориям, приведенным в табл.1, от высшей (А) к низшей (Д).

Таблица 1

Категория помещения Характеристика веществ и материалов, находящихся (обращающихся) в помещении
А взрывопожароопасная Горючие газы, легковоспламеняющиеся жидкости с температурой вспышки не более 28 °С в таком количестве, что могут образовывать взрывоопасные парогазовоздушные смеси, при воспламенении которых развивается расчетное избыточное давление взрыва в помещении, превышающее 5 кПа.
  Вещества и материалы, способные взрываться и гореть при взаимодействии с водой, кислородом воздуха или друг с другом в таком количестве, что расчетное избыточное давление взрыва в помещении превышает 5 кПа
Б взрывопожароопасная Горючие пыли или волокна, легковоспламеняющиеся жидкости с температурой вспышки более 28 °С, горючие жидкости в таком количестве, что могут образовывать взрывоопасные пылевоздушные или паровоздушные смеси, при воспламенении которых развивается расчетное избыточное давление взрыва в помещении, превышающее 5 кПа
В1-В4 пожароопасные Горючие и трудногорючие жидкости, твердые горючие и трудногорючие вещества и материалы (в том числе пыли и волокна), вещества и материалы, способные при взаимодействии с водой, кислородом воздуха или друг с другом только гореть, при условии, что помещения, в которых они имеются в наличии или обращаются, не относятся к категориям А или Б
Г Негорючие вещества и материалы в горячем, раскаленном или расплавленном состоянии, процесс обработки которых сопровождается выделением лучистого тепла, искр и пламени; горючие газы, жидкости и твердые вещества, которые сжигаются или утилизируются в качестве топлива
Д Негорючие вещества и материалы в холодном состоянии

Примечание:

Разделение помещений на категории В1-В4 регламентируется положениями, изложенными в табл.4.

3. МЕТОДЫ РАСЧЕТА КРИТЕРИЕВ ВЗРЫВОПОЖАРНОЙ ОПАСНОСТИ ПОМЕЩЕНИЙ

Выбор и обоснование расчетного варианта

6. При расчете значений критериев взрывопожарной опасности в качестве расчетного следует выбирать наиболее неблагоприятный вариант аварии или период нормальной работы аппаратов, при котором во взрыве участвует наибольшее количество веществ или материалов, наиболее опасных в отношении последствий взрыва.

В случае если использование расчетных методов не представляется возможным, допускается определение значений критериев взрывопожарной опасности на основании результатов соответствующих научно-исследовательских работ, согласованных и утвержденных в установленном порядке.

7. Количество поступивших в помещение веществ, которые могут образовать взрывоопасные газовоздушные или паровоздушные смеси, определяется исходя из следующих предпосылок:

а) происходит расчетная авария одного из аппаратов согласно п.6;

б) все содержимое аппарата поступает в помещение;

в) происходит одновременно утечка веществ из трубопроводов, питающих аппарат, по прямому и обратному потокам в течение времени, необходимого для отключения трубопроводов.

Расчетное время отключения трубопроводов определяется в каждом конкретном случае исходя из реальной обстановки и должно быть минимальным с учетом паспортных данных на запорные устройства, характера технологического процесса и вида расчетной аварии.

Расчетное время отключения трубопроводов следует принимать равным:

времени срабатывания системы автоматики отключения трубопроводов согласно паспортным данным установки, если вероятность отказа системы автоматики не превышает 0,000001 в год или обеспечено резервирование ее элементов;

120 с, если вероятность отказа системы автоматики превышает 0,000001 в год и не обеспечено резервирование ее элементов;

300 с при ручном отключении.

Не допускается использование технических средств для отключения трубопроводов, для которых время отключения превышает приведенные выше значения.

Под "временем срабатывания" и "временем отключения" следует понимать промежуток времени от начала возможного поступления горючего вещества из трубопровода (перфорация, разрыв, изменение номинального давления и т.п.) до полного прекращения поступления газа или жидкости в помещение.

Быстродействующие клапаны-отсекатели должны автоматически перекрывать подачу газа или жидкости при нарушении электроснабжения.

В исключительных случаях в установленном порядке допускается превышение приведенных выше значений времени отключения трубопроводов специальным решением соответствующих федеральных министерств и других федеральных органов исполнительной власти по согласованию с Госгортехнадзором России на подконтрольных ему производствах и предприятиях и МЧС России;

г) происходит испарение с поверхности разлившейся жидкости; площадь испарения при разливе на пол определяется (при отсутствии справочных данных) исходя из расчета, что 1 л смесей и растворов, содержащих 70% и менее (по массе) растворителей, разливается на площади 0,5 м2, а остальных жидкостей - на 1 м2 пола помещения;

д) происходит также испарение жидкости из емкостей, эксплуатируемых с открытым зеркалом жидкости, и со свежеокрашенных поверхностей;

е) длительность испарения жидкости принимается равной времени ее полного испарения, но не более 3600 с.

8. Количество пыли, которое может образовать взрывоопасную смесь, определяется из следующих предпосылок:

а) расчетной аварии предшествовало пыленакопление в производственном помещении, происходящее в условиях нормального режима работы (например, вследствие пылевыделения из негерметичного производственного оборудования);

б) в момент расчетной аварии произошла плановая (ремонтные работы) или внезапная разгерметизация одного из технологических аппаратов, за которой последовал аварийный выброс в помещение всей находившейся в аппарате пыли.

9. Свободный объем помещения определяется как разность между объемом помещения и объемом, занимаемым технологическим оборудованием. Если свободный объем помещения определить невозможно, то его допускается принимать условно равным 80% геометрического объема помещения.

Расчет избыточного давления взрыва для горючих газов, паров легковоспламеняющихся и горючих жидкостей

10. Избыточное давление взрыва дельтаР для индивидуальных горючих веществ, состоящих из атомов С, Н, О, N, CI, Вr, I, F, определяется по формуле

, (1)

где P_max- максимальное давление взрыва стехиометрической газовоздушной или паровоздушной смеси в замкнутом объеме, определяемое экспериментально или по справочным данным в соответствии с требованиями п.3. При отсутствии данных допускается принимать P_max равным 900 кПа; P_0 - начальное давление, кПа (допускается принимать равным 101 кПа); m- масса горючего газа (ГГ) или паров легковоспламеняющихся (ЛВЖ) и горючих жидкостей (ГЖ), вышедших в результате расчетной аварии в помещение, вычисляемая для ГГ по формуле (6), а для паров ЛВЖ и ГЖ по формуле (11), кг; Z - коэффициент участия горючего во взрыве, который может быть рассчитан на основе характера распределения газов и паров в объеме помещения согласно приложению. Допускается принимать значение Z по табл.2; V_св - свободный объем помещения, м3; ро_г,п - плотность газа или пара при расчетной температуре t_p, кг·м(-3), вычисляемая по формуле

, (2)

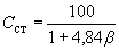
где M - молярная масса, кг·кмоль(-1); V_0 - мольный объем, равный 22,413 м3·кмоль(-1); t_p - расчетная температура, °С. В качестве расчетной температуры следует принимать максимально возможную температуру воздуха в данном помещении в соответствующей климатической зоне или максимально возможную температуру воздуха по технологическому регламенту с учетом возможного повышения температуры в аварийной ситуации. Если такого значения расчетной температуры t_p по каким-либо причинам определить не удается, допускается принимать ее равной 61 °С; С_ст - стехиометрическая концентрация ГГ или паров ЛВЖ и ГЖ, % (об.), вычисляемая по формуле

,(3)

где - стехиометрический коэффициент кислорода в реакции сгорания; n_C, n_H, n_O, n_X - число атомов С, Н, О и галоидов в молекуле горючего; K_H- коэффициент, учитывающий негерметичность помещения и неадиабатичность процесса горения. Допускается принимать K_H равным 3.

Таблица 2

Вид горючего вещества Значение Z
Водород 1,0
Горючие газы (кроме водорода) 0,5
Легковоспламеняющиеся и горючие жидкости, нагретые до температуры вспышки и выше 0,3
Легковоспламеняющиеся и горючие жидкости, нагретые ниже температуры вспышки, при наличии возможности образования аэрозоля 0,3
Легковоспламеняющиеся и горючие жидкости, нагретые ниже температуры вспышки, при отсутствии возможности образования аэрозоля 0

11. Расчет дельтаР для индивидуальных веществ, кроме упомянутых в п.10, а также для смесей может быть выполнен по формуле

, (4)

где H_T- теплота сгорания, Дж·кг(-1); ро_В - плотность воздуха до взрыва при начальной температуре Т_0, кг·м(-3); С_р - теплоемкость воздуха, Дж·кг(-1) К(-1) (допускается принимать равной 1,01·10(3) Дж·кг(-1)К(-1)); Т_0 - начальная температура воздуха, К.

12. В случае обращения в помещении горючих газов, легковоспламеняющихся или горючих жидкостей при определении значения массы m, входящей в формулы (1) и (4), допускается учитывать работу аварийной вентиляции, если она обеспечена резервными вентиляторами, автоматическим пуском при превышении предельно допустимой взрывобезопасной концентрации и электроснабжением по первой категории надежности (ПУЭ), при условии расположения устройств для удаления воздуха из помещения в непосредственной близости от места возможной аварии.

При этом массу m горючих газов или паров легковоспламеняющихся или горючих жидкостей, нагретых до температуры вспышки и выше, поступивших в объем помещения, следует разделить на коэффициент K, определяемый по формуле

K= AT + 1,(5)

где A - кратность воздухообмена, создаваемого аварийной вентиляцией, с(-1); T- продолжительность поступления горючих газов и паров легковоспламеняющихся и горючих жидкостей в объем помещения, с (принимается по п.7).

13. Масса m, кг, поступившего в помещение при расчетной аварии газа определяется по формуле

m= (V_a+ V_т)ро_г,(6)

где V_a- объем газа, вышедшего из аппарата, м3; V_т - объем газа, вышедшего из трубопроводов, м3.

При этом

V_a = 0,01P1V,(7)

где P1 - давление в аппарате, кПа; V - объем аппарата, м3;

V_т = V_1т + V_2т,(8)

где V_1т - объем газа, вышедшего из трубопровода до его отключения, м3; V_2т - объем газа, вышедшего из трубопровода после его отключения, м3;

V_1т = qT,(9)

где q - расход газа, определяемый в соответствии с технологическим регламентом в зависимости от давления в трубопроводе, его диаметра, температуры газовой среды и т.д., м3·c(-1); T - время, определяемое по п.7, с;

, (10)

где P2 - максимальное давление в трубопроводе по технологическому регламенту, кПа; r- внутренний радиус трубопроводов, м; L - длина трубопроводов от аварийного аппарата до задвижек, м.

14. Масса паров жидкости m, поступивших в помещение при наличии нескольких источников испарения (поверхность разлитой жидкости, поверхность со свеженанесенным составом, открытые емкости и т.п.), определяется из выражения

m= m_p + m_вмк + m_св.окр, (11)

где m_p- масса жидкости, испарившейся с поверхности разлива, кг; m_вмк - масса жидкости, испарившейся с поверхностей открытых емкостей, кг; m_св.окр - масса жидкости, испарившейся с поверхностей, на которые нанесен применяемый состав, кг.

При этом каждое из слагаемых в формуле (11) определяется по формуле

M= W(F_и)T,(12)

где W - интенсивность испарения, кг·с(-1)м(-2); F_и - площадь испарения, м2, определяемая в соответствии с п.7 в зависимости от массы жидкости m_п, вышедшей в помещение.

Если аварийная ситуация связана с возможным поступлением жидкости в распыленном состоянии, то она должна быть учтена в формуле (11) введением дополнительного слагаемого, учитывающего общую массу поступившей жидкости от распыляющих устройств, исходя из продолжительности их работ.

15. Масса m_п, кг, вышедшей в помещение жидкости определяется в соответствии с п.7.

16. Интенсивность испарения W определяется по справочным и экспериментальным данным. Для не нагретых выше температуры окружающей среды ЛВЖ при отсутствии данных допускается рассчитывать W по формуле

, (13)

где эта - коэффициент, принимаемый по табл.3 в зависимости от скорости и температуры воздушного потока над поверхностью испарения; Р_н - давление насыщенного пара при расчетной температуре жидкости t_p, определяемое по справочным данным в соответствии с требованиями п.3, кПа.

Таблица 3

Скорость воздушного потока в помещении, м·с(-1) Значение коэффициента эта при температуре t, °C, воздуха в помещении
10 15 20 30 35
0 1,0 1,0 1,0 1,0 1,0
0,1 3,0 2,6 2,4 1,8 1,6
0,2 4,6 3,8 3,5 2,4 2,3
0,5 6,6 5,7 5,4 3,6 3,2
1,0 10,0 8,7 7,7 5,6 4,6

Расчет избыточного давления взрыва для горючих пылей

17. Расчет избыточного давления взрыва дельтаР, кПа, производится по формуле (4), где коэффициент Z участия взвешенной пыли во взрыве рассчитывается по формуле

Z= 0,5F,(14)

где F - массовая доля частиц пыли размером менее критического, с превышением которого аэровзвесь становится взрывобезопасной, т.е. неспособной распространять пламя. В отсутствие возможности получения сведений для оценки величины Z допускается принимать Z=0,5.

18. Расчетная масса взвешенной в объеме помещения пыли m, кг, образовавшейся в результате аварийной ситуации, определяется по формуле

m= m_вз + m_ав,(15)

где m_вз - расчетная масса взвихрившейся пыли, кг; m_ав - расчетная масса пыли, поступившей в помещение в результате аварийной ситуации, кг.

19. Расчетная масса взвихрившейся пыли m_вз определяется по формуле

m_вз = K_взm_n,(16)

где K_вз - доля отложившейся в помещении пыли, способной перейти во взвешенное состояние в результате аварийной ситуации. При отсутствии экспериментальных сведений о величине K_вз допускается полагать K_вз=0,9; m_n - масса отложившейся в помещении пыли к моменту аварии, кг.

20. Расчетная масса пыли, поступившей в помещение в результате аварийной ситуации, m_ав, определяется по формуле

m_ав = (m_аn+ qT)K_n, (17)

где m_аn - масса горючей пыли, выбрасываемой в помещение из аппарата, кг; q - производительность, с которой продолжается поступление пылевидных веществ в аварийный аппарат по трубопроводам до момента их отключения, кг·с(-1); T- время отключения, определяемое по п.7в), с; K_n - коэффициент пыления, представляющий отношение массы взвешенной в воздухе пыли ко всей массе пыли, поступившей из аппарата в помещение. При отсутствии экспериментальных сведений о величине K_n допускается полагать:

для пылей с дисперсностью не менее 350 мкм – K_n=0,5;

для пылей с дисперсностью менее 350 мкм – K_n=1,0.

Величина m_аn принимается в соответствии с пп.6 и 8.

21. Масса отложившейся в помещении пыли к моменту аварии определяется по формуле

,(18)

где K2 - доля горючей пыли в общей массе отложений пыли; m1 - масса пыли, оседающей на труднодоступных для уборки поверхностях в помещении за период времени между генеральными уборками, кг; m2 - масса пыли, оседающей на доступных для уборки поверхностях в помещении за период времени между текущими уборками, кг; K_y - коэффициент эффективности пылеуборки. Принимается при ручной пылеуборке:

сухой - 0,6;

влажной - 0,7.

При механизированной вакуумной уборке:

пол ровный - 0,9;

пол с выбоинами (до 5% площади) - 0,7.

Под труднодоступными для уборки площадями подразумевают такие поверхности в производственных помещениях, очистка которых осуществляется только при генеральных пылеуборках. Доступными для уборки местами являются поверхности, пыль с которых удаляется в процессе текущих пылеуборок (ежесменно, ежесуточно и т.п.).

22. Масса пыли m_i (i=1; 2), оседающей на различных поверхностях в помещении за межуборочный период, определяется по формуле

, (i=1; 2) (19)

где - масса пыли, выделяющаяся в объем помещения за период времени между генеральными пылеуборками, кг; M_1j - масса пыли, выделяемая единицей пылящего оборудования за указанный период, кг; - масса пыли, выделяющаяся в объем помещения за период времени между текущими пылеуборками, кг; M_2j - масса пыли, выделяемая единицей пылящего оборудования за указанный период, кг; альфа - доля выделяющейся в объем помещения пыли, которая удаляется вытяжными вентиляционными системами. При отсутствии экспериментальных сведений о величине альфа полагают альфа=0; бета1, бета2 - доли выделяющейся в объем помещения пыли, оседающей соответственно на труднодоступных и доступных для уборки поверхностях помещения (бета1 + бета2 = 1).

При отсутствии сведений о величине коэффициентов бета1 и бета2 допускается полагать бета1 = 1, бета2 = 0.

23. Величина M_i (i=1; 2) может быть также определена экспериментально (или по аналогии с действующими образцами производств) в период максимальной загрузки оборудования по формуле

, (i=1; 2) (20)

где G_1j, G_2j - интенсивность пылеотложений соответственно на труднодоступных F_1j (м2) и доступных F_2j (м2) площадях, кг·м(-2)с(-1); тау1, тау2 - промежуток времени соответственно между генеральными и текущими пылеуборками, с.

Определение категорий В1-В4 помещений

24. Определение пожароопасной категории помещения осуществляется путем сравнения максимального значения удельной временной пожарной нагрузки (далее по тексту - пожарная нагрузка) на любом из участков с величиной удельной пожарной нагрузки, приведенной в табл.4.

Таблица 4

Категория помещения Удельная пожарная нагрузка g на участке, МДж·м(-2) Способ размещения
В1 Более 2200 Не нормируется
В2 1401-2200 См. п.25
В3 181-1400 То же
В4 1-180 На любом участке пола помещения площадью 10 м2. Способ размещения участков пожарной нагрузки определяется согласно п.25

25. При пожарной нагрузке, включающей в себя различные сочетания (смесь) горючих, трудногорючих жидкостей, твердых горючих и трудногорючих веществ и материалов в пределах пожароопасного участка, пожарная нагрузка Q, МДж, определяется по формуле

,(21)

где G_i- количество i-го материала пожарной нагрузки, кг; Q(p)_нi- низшая теплота сгорания i-го материала пожарной нагрузки, МДж·кг(-1).

Удельная пожарная нагрузка g, МДж·м(-2), определяется из соотношения

G= Q/S,(22)

где S - площадь размещения пожарной нагрузки, м2 (но не менее 10 м2).

В помещениях категорий В1-В4 допускается наличие нескольких участков с пожарной нагрузкой, не превышающей значений, приведенных в табл.4. В помещениях категории В4 расстояния между этими участками должны быть более предельных. В табл.5 приведены рекомендуемые значения предельных расстояний l_np в зависимости от величины критической плотности падающих лучистых потоков q_kp, кВт·м(-2), для пожарной нагрузки, состоящей из твердых горючих и трудногорючих материалов. Значения l_np, приведенные в табл.5, рекомендуются при условии, если H > 11 м; если H < 11 м, то предельное расстояние определяется как l= l_np + (11 - H), где l_np - определяется из табл.5, H - минимальное расстояние от поверхности пожарной нагрузки до нижнего пояса ферм перекрытия (покрытия), м.

Таблица 5

Q_kp, кВт·м(-2) 5 10 15 20 25 30 40 50
L_np, м 12 8 6 5 4 3,8 3,2 2,8

Значения q_kp для некоторых материалов пожарной нагрузки приведены в табл.6.

Таблица 6

Материал Q_kp, кВт·м(-2)
Древесина (сосна влажностью 12%) 13,9
Древесно-стружечные плиты (плотностью 417 кг·м(-3)) 8,3
Торф брикетный 13,2
Торф кусковой 9,8
Хлопок-волокно 7,5
Слоистый пластик 15,4
Стеклопластик 15,3
Пергамин 17,4
Резина 14,8
Уголь 35,0
Рулонная кровля 17,4
Сено, солома (при минимальной влажности до 8%) 7,0

Если пожарная нагрузка состоит из различных материалов, то значение q-kp определяется по материалу с минимальным значением q_kp.

Для материалов пожарной нагрузки с неизвестными значениями q_kp значения предельных расстояний принимаются l_np> = 12 м.

Для пожарной нагрузки, состоящей из ЛВЖ или ГЖ, рекомендуемое расстояние l_np между соседними участками размещения (разлива) пожарной нагрузки рассчитывается по формулам

l_np>=15 м при H>=11, (23)

l_np >= 26 - H при H<11. (24)

Если при определении категорий В2 или В3 количество пожарной нагрузки Q, определенное по формуле 21, отвечает неравенству

Q>=0,64g_тH(2),

то помещение будет относиться к категориям В1 или В2 соответственно. Здесь g_т=2200 МДж·м(-2) при 1401 МДж·м(-2)<=g<= 2200 МДж·м(-2) и g_т=1400 МДж·м(-2) при 181 МДж·м(-2) <= g <= 1400 МДж·м(-2).

Определение избыточного давления взрыва для веществ и материалов, способных взрываться и гореть при взаимодействии с водой, кислородом воздуха или друг с другом

26. Расчетное избыточное давление взрыва дельтаР для веществ и материалов, способных взрываться и гореть при взаимодействии с водой, кислородом воздуха или друг с другом, определяется по приведенной выше методике, полагая Z=1 и принимая в качестве величины Н_т энергию, выделяющуюся при взаимодействии (с учетом сгорания продуктов взаимодействия до конечных соединений), или экспериментально в натурных испытаниях. В случае, когда определить величину дельтаР не представляется возможным, следует принимать ее превышающей 5 кПа.

Определение избыточного давления взрыва для взрывоопасных смесей, содержащих горючие газы (пары) и пыли

27. Расчетное избыточное давление взрыва дельтаР для гибридных взрывоопасных смесей, содержащих горючие газы (пары) и пыли, определяется по формуле

дельтаР = дельтаР1 + дельтаР2, (25)

где дельтаР1 - давление взрыва, вычисленное для горючего газа (пара) в соответствии с пп.10 и 11; дельтаР2 - давление взрыва, вычисленное для горючей пыли в соответствии с п.17.

4. КАТЕГОРИИ ЗДАНИЙ ПО ВЗРЫВОПОЖАРНОЙ И ПОЖАРНОЙ ОПАСНОСТИ

28. Здание относится к категории А, если в нем суммарная площадь помещений категории А превышает 5% площади всех помещений или 200 м2.

Допускается не относить здание к категории А, если суммарная площадь помещений категории А в здании не превышает 25% суммарной площади всех размещенных в нем помещений (но не более 1000 м2) и эти помещения оборудуются установками автоматического пожаротушения.

29. Здание относится к категории Б, если одновременно выполнены два условия:

здание не относится к категории А;

суммарная площадь помещений категорий А и Б превышает 5% суммарной площади всех помещений или 200 м2.

Допускается не относить здание к категории Б, если суммарная площадь помещений категорий А и Б в здании не превышает 25% суммарной площади всех размещенных в нем помещений (но не более 1000 м2) и эти помещения оборудуются установками автоматического пожаротушения.

30. Здание относится к категории В, если одновременно выполнены два условия:

здание не относится к категориям А или Б;

суммарная площадь помещений категорий А, Б и В превышает 5% (10%, если в здании отсутствуют помещения категорий А и Б) суммарной площади всех помещений.

Допускается не относить здание к категории В, если суммарная площадь помещений категорий А, Б и В в здании не превышает 25% суммарной площади всех размещенных в нем помещений (но не более 3500 м2) и эти помещения оборудуются установками автоматического пожаротушения.

31. Здание относится к категории Г, если одновременно выполнены два условия:

здание не относится к категориям А, Б или В;

суммарная площадь помещений категорий А, Б, В и Г превышает 5% суммарной площади всех помещений.

Допускается не относить здание к категории Г, если суммарная площадь помещений категорий А, Б, В и Г в здании не превышает 25% суммарной площади всех размещенных в нем помещений (но не более 5000 м2) и помещения категорий А, Б, В оборудуются установками автоматического пожаротушения.

32. Здание относится к категории Д, если оно не относится к категориям А, Б, В или Г.

5. КАТЕГОРИИ НАРУЖНЫХ УСТАНОВОК ПО ПОЖАРНОЙ ОПАСНОСТИ

33. Категории наружных установок по пожарной опасности принимаются в соответствии с табл.7.

34. Определение категорий наружных установок следует осуществлять путем последовательной проверки их принадлежности к категориям, приведенным в табл.7, от высшей (А_н) к низшей (Д_н).

Таблица 7

Категория наружной установки Критерии отнесения наружной установки к той или иной категории по пожарной опасности
А_н Установка относится к категории А_н, если в ней присутствуют (хранятся, перерабатываются, транспортируются) горючие газы; легковоспламеняющиеся жидкости с температурой вспышки не более 28 °С; вещества и/или материалы, способные гореть при взаимодействии с водой, кислородом воздуха и/или друг с другом; при условии, что величина индивидуального риска при возможном сгорании указанных веществ с образованием волн давления превышает 10(-6) в год на расстоянии 30 м от наружной установки
Б_н Установка относится к категории Б_н, если в ней присутствуют (хранятся, перерабатываются, транспортируются) горючие пыли и/или волокна; легковоспламеняющиеся жидкости с температурой вспышки более 28 °С; горючие жидкости; при условии, что величина индивидуального риска при возможном сгорании пыле- и/или паровоздушных смесей с образованием волн давления превышает 10(-6) в год на расстоянии 30 м от наружной установки
В_н Установка относится к категории В_н, если в ней присутствуют (хранятся, перерабатываются, транспортируются) горючие и/или трудногорючие жидкости; твердые горючие и/или трудногорючие вещества и/или материалы (в том числе пыли и/или волокна); вещества и/или материалы, способные при взаимодействии с водой, кислородом воздуха и/или друг с другом гореть; не реализуются критерии, позволяющие отнести установку к категориям А_н или ; при условии, что величина индивидуального риска при возможном сгорании указанных веществ и/или материалов превышает 10(-6) в год на расстоянии 30 м от наружной установки
Г_н Установка относится к категории Г_н, если в ней присутствуют (хранятся, перерабатываются, транспортируются) негорючие вещества и/или материалы в горячем, раскаленном и/или расплавленном состоянии, процесс обработки которых сопровождается выделением лучистого тепла, искр и/или пламени, а также горючие газы, жидкости и/или твердые вещества, которые сжигаются или утилизируются в качестве топлива
Д_н Установка относится к категории Д_н, если в ней присутствуют (хранятся, перерабатываются, транспортируются) в основном негорючие вещества и/или материалы в холодном состоянии и по перечисленным выше критериям она не относится к категориям А_н, Б_н, В_н, Г_н

35. В случае, если из-за отсутствия данных представляется невозможным оценить величину индивидуального риска, допускается использование вместо нее следующих критериев.

Для категорий А_н и Б_н:

горизонтальный размер зоны, ограничивающей газопаровоздушные смеси с концентрацией горючего выше нижнего концентрационного предела распространения пламени (НКПР), превышает 30 м (данный критерий применяется только для горючих газов и паров) и/или расчетное избыточное давление при сгорании газо-, паро- или пылевоздушной смеси на расстоянии 30 м от наружной установки превышает 5 кПа.

Для категории В_н:

интенсивность теплового излучения от очага пожара веществ и/или материалов, указанных для категории В_н, на расстоянии 30 м от наружной установки превышает 4 кВт·м2.

6. МЕТОДЫ РАСЧЕТА ЗНАЧЕНИЙ КРИТЕРИЕВ ПОЖАРНОЙ ОПАСНОСТИ НАРУЖНЫХ УСТАНОВОК

МЕТОДЫ РАСЧЕТА ЗНАЧЕНИЙ КРИТЕРИЕВ ПОЖАРНОЙ ОПАСНОСТИ ДЛЯ ГОРЮЧИХ ГАЗОВ И ПАРОВ

Выбор и обоснование расчетного варианта

36. Выбор расчетного варианта следует осуществлять с учетом годовой частоты реализации и последствий тех или иных аварийных ситуаций. В качестве расчетного для вычисления критериев пожарной опасности для горючих газов и паров следует принимать вариант аварии, для которого произведение годовой частоты реализации этого варианта Q_w и расчетного избыточного давления дельтаР при сгорании газопаровоздушных смесей в случае реализации указанного варианта максимально, то есть:

G= Q_w x дельтаР = max. (26)

Расчет величины G производится следующим образом:

а) рассматриваются различные варианты аварии и определяются из статистических данных или на основе годовой частоты аварий со сгоранием газопаровоздушных смесей Q_wi для этих вариантов;

б) для каждого из рассматриваемых вариантов определяются по изложенной ниже методике значения расчетного избыточного давления дельтаРi;

в) вычисляются величины Gi = Q_wi x дельтаРi для каждого из рассматриваемых вариантов аварии, среди которых выбирается вариант с наибольшим значением G_i;

г) в качестве расчетного для определения критериев пожарной опасности принимается вариант, в котором величина G_i максимальна. При этом количество горючих газов и паров, вышедших в атмосферу, рассчитывается исходя из рассматриваемого сценария аварии с учетом пунктов 38-43.

37. При невозможности реализации описанного выше метода в качестве расчетного следует выбирать наиболее неблагоприятный вариант аварии или период нормальной работы аппаратов, при котором в образовании горючих газопаровоздушных смесей участвует наибольшее количество газов и паров, наиболее опасных в отношении последствий сгорания этих смесей. В этом случае количество газов и паров, вышедших в атмосферу, рассчитывается в соответствии с пунктами 38-43.

38. Количество поступивших веществ, которые могут образовывать горючие газовоздушные или паровоздушные смеси, определяется исходя из следующих предпосылок:

а) происходит расчетная авария одного из аппаратов согласно п.36 или п.37 (в зависимости от того, какой из подходов к определению расчетного варианта аварии принят за основу);

б) все содержимое аппарата поступает в окружающее пространство;

в) происходит одновременно утечка веществ из трубопроводов, питающих аппарат по прямому и обратному потоку в течение времени, необходимого для отключения трубопроводов.

Расчетное время отключения трубопроводов определяется в каждом конкретном случае исходя из реальной обстановки, и должно быть минимальным с учетом паспортных данных на запорные устройства, характера технологического процесса и вида расчетной аварии.

Расчетное время отключения трубопроводов следует принимать равным:

времени срабатывания систем автоматики отключения трубопроводов согласно паспортным данным установки, если вероятность отказа системы автоматики не превышает 0,000001 в год или обеспечено резервирование ее элементов (но не более 120 с);

120 с, если вероятность отказа системы автоматики превышает 0,000001 в год и не обеспечено резервирование ее элементов;

300 с при ручном отключении.

Не допускается использование технических средств для отключения трубопроводов, для которых время отключения превышает приведенные выше значения.

Под "временем срабатывания" и "временем отключения" следует понимать промежуток времени от начала возможного поступления горючего вещества из трубопровода (перфорация, разрыв, изменение номинального давления и т.п.) до полного прекращения поступления газа или жидкости в окружающее пространство. Быстродействующие клапаны-отсекатели должны автоматически перекрывать подачу газа или жидкости при нарушении электроснабжения.

В исключительных случаях в установленном порядке допускается превышение приведенных выше значений времени отключения трубопроводов специальным решением соответствующих министерств или ведомств по согласованию с Госгортехнадзором России на подконтрольных ему производствах и предприятиях и МЧС России;

г) происходит испарение с поверхности разлившейся жидкости; площадь испарения при разливе на горизонтальную поверхность определяется (при отсутствии справочных или иных экспериментальных данных) исходя из расчета, что 1 л смесей и растворов, содержащих 70% и менее (по массе) растворителей, разливается на площади 0,10 м2, а остальных жидкостей - на 0,15 м2;

д) происходит также испарение жидкостей из емкостей, эксплуатируемых с открытым зеркалом жидкости, и со свежеокрашенных поверхностей;

е) длительность испарения жидкости принимается равной времени ее полного испарения, но не более 3600 с.

39. Масса газа m, кг, поступившего в окружающее пространство при расчетной аварии, определяется по формуле

m= (V_a+ V_т) x ро_г, (27)

где V_a- объем газа, вышедшего из аппарата, м3; V_т - объем газа вышедшего из трубопровода, м3; ро_г - плотность газа, кг·м(-3).

При этом

V_a = 0,01P1 x V,(28)

где P1 - давление в аппарате, кПа; V - объем аппарата, м3;

V_т = V_1т + V_2т,(29)

где V_1т - объем газа, вышедшего из трубопровода до его отключения, м3; V_2т - объем газа, вышедшего из трубопровода после его отключения, м3;

V_1т = q x T,(30)

где q - расход газа, определяемый в соответствии с технологическим регламентом в зависимости от давления в трубопроводе, его диаметра, температуры газовой среды и т.д., м3·с(-1); T - время, определяемое по п.38, с;

,(31)

где P2 - максимальное давление в трубопроводе по технологическому регламенту, кПа; r- внутренний радиус трубопроводов, м; L - длина трубопроводов от аварийного аппарата до задвижек, м.

40. Масса паров жидкости m, кг, поступивших в окружающее пространство при наличии нескольких источников испарения (поверхность разлитой жидкости, поверхность со свеженанесенным составом, открытые емкости и т.п.), определяется из выражения

m= m_p + m_емк + m_св.окр + m_пер.,(32)

где m_p - масса жидкости, испарившейся с поверхности разлива, кг; m_емк - масса жидкости, испарившейся с поверхностей открытых емкостей, кг; m_св.окр - масса жидкости, испарившейся с поверхностей, на которые нанесен применяемый состав, кг; m_пер - масса жидкости, испарившейся в окружающее пространство в случае ее перегрева, кг.

При этом каждое из слагаемых (m_p, m_емк, m_св.окр) в формуле (32) определяют из выражения

m= W x F_и x T,(33)

где W - интенсивность испарения, кг·с(-1) ·м(-2); F_и - площадь испарения, м2, определяемая в соответствии с п.38 в зависимости от массы жидкости m_п, вышедшей в окружающее пространство; T - продолжительность поступления паров легковоспламеняющихся и горючих жидкостей в окружающее пространство согласно п.38, с.

Величину m_пер определяют по формуле (при T_a>T_кип)

, (34)

где m_п - масса вышедшей перегретой жидкости, кг; C_p- удельная теплоемкость жидкости при температуре перегрева жидкости T_a, Дж·кг(-1) К(-1); T_a - температура перегретой жидкости в соответствии с технологическим регламентом в технологическом аппарате или оборудовании, К; T_кип - нормальная температура кипения жидкости, К; L_исп - удельная теплота испарения жидкости при температуре перегрева жидкости T_a, Дж·кг(-1).

Если аварийная ситуация связана с возможным поступлением жидкости в распыленном состоянии, то она должна быть учтена в формуле (32) введением дополнительного слагаемого, учитывающего общую массу поступившей жидкости от распыляющих устройств исходя из продолжительности их работы.

41. Масса m_п вышедшей жидкости, кг, определяется в соответствии с п.38.

42. Интенсивность испарения W определяется по справочным и экспериментальным данным. Для ненагретых ЛВЖ при отсутствии данных допускается рассчитывать W по формуле

,(35)

где M - молярная масса, г·моль(-1); P_н - давление насыщенного пара при расчетной температуре жидкости, определяемое по справочным данным в соответствии с требованиями п.3, кПа.

43. Для сжиженных углеводородных газов (СУГ) при отсутствии данных допускается рассчитывать удельную массу испарившегося СУГ m_суг из пролива, кг·м(-2), по формуле

,(36)

где M - молярная масса СУГ, кг·моль(-1); L_исп - мольная теплота испарения СУГ при начальной температуре СУГ T_ж, Дж·моль(-1); Т_0 - начальная температура материала, на поверхность которого разливается СУГ, К; Т_ж - начальная температура СУГ, К; лямбда_тв - коэффициент теплопроводности материала, на поверхность которого разливается СУГ, Вт·м(-1) К(-1); - коэффициент температуропроводности материала, на поверхность которого разливается СУГ, м2·с(-1); C_тв - теплоемкость материала, на поверхность которого разливается СУГ, Дж·кг(-1) ·К(-1); ро_тв - плотность материала, на поверхность которого разливается СУГ, кг·м(-3); t - текущее время, с, принимаемое равным времени полного испарения СУГ, но не более 3600 с; - число Рейнольдса; U- скорость воздушного потока, м·с(-1); - характерный размер пролива СУГ, м; ню_в - кинематическая вязкость воздуха, м2·с(-1); лямбда_в - коэффициент теплопроводности воздуха, Вт·м(-1) К(-1).

Формула 36 справедлива для СУГ с температурой Т_ж<=Т_кип. При температуре СУГ Т_ж>Т_кип дополнительно рассчитывается масса перегретых СУГ m_пер по формуле 34.

Расчет горизонтальных размеров зон, ограничивающих газо- и паровоздушные смеси с концентрацией горючего выше НКПР, при аварийном поступлении горючих газов и паров ненагретых легковоспламеняющихся жидкостей в открытое пространство

44. Горизонтальные размеры зоны, м, ограничивающие область концентраций, превышающих нижний концентрационный предел распространения пламени (С_нкпр), вычисляют по формулам:

для горючих газов (ГГ):

, (37)

для паров ненагретых легковоспламеняющихся жидкостей (ЛВЖ):

,(38)

,

где m_г - масса поступивших в открытое пространство ГГ при аварийной ситуации, кг; ро_г - плотность ГГ при расчетной температуре и атмосферном давлении, кг·м(-3); m_п - масса паров ЛВЖ, поступивших в открытое пространство за время полного испарения, но не более 3600 с, кг; ро_п - плотность паров ЛВЖ при расчетной температуре и атмосферном давлении, кг·м(-3); Р_н - давление насыщенных паров ЛВЖ при расчетной температуре, кПа; K - коэффициент, принимаемый равным K = T/3600 для ЛВЖ; T - продолжительность поступления паров ЛВЖ в открытое пространство, с; C_нкпр - нижний концентрационный предел распространения пламени ГГ или паров ЛВЖ, % (об.); M - молярная масса, кг·кмоль(-1); V_0 - мольный объем, равный 22,413 м3·кмоль(-1); t_p - расчетная температура, °С. В качестве расчетной температуры следует принимать максимально возможную температуру воздуха в соответствующей климатической зоне или максимальную возможную температуру воздуха по технологическому регламенту с учетом возможного повышения температуры в аварийной ситуации. Если такого значения расчетной температуры t_p по каким-либо причинам определить не удается, допускается принимать ее равной 61 °С.

45. За начало отсчета горизонтального размера зоны принимают внешние габаритные размеры аппаратов, установок, трубопроводов и т.п. Во всех случаях значение R_нкпр должно быть не менее 0,3 м для ГГ и ЛВЖ.

Расчет избыточного давления и импульса волны давления при сгорании смесей горючих газов и паров с воздухом в открытом пространстве

46. Исходя из рассматриваемого сценария аварии, определяется масса m, кг, горючих газов и (или) паров, вышедших в атмосферу из технологического аппарата в соответствии с пунктами 38-43.

47. Величину избыточного давления дельтаР, кПа, развиваемого при сгорании газопаровоздушных смесей, определяют по формуле

,(39)

где P_0 - атмосферное давление, кПа (допускается принимать равным 101 кПа); r- расстояние от геометрического центра газопаровоздушного облака, м; m_пр - приведенная масса газа или пара, кг, вычисляется по формуле

m_пр = (Q_cr/Q_0) x m x Z, (40)

где Q_cr- удельная теплота сгорания газа или пара, Дж·кг(-1); Z- коэффициент участия горючих газов и паров в горении, который допускается принимать равным 0,1; Q_0 - константа, равная 4,52·106* Дж·кг(-1); m - масса горючих газов и (или) паров, поступивших в результате аварии в окружающее пространство, кг.

48. Величину импульса волны давления i, Па·с, вычисляют по формуле

.(41)

МЕТОД РАСЧЕТА ЗНАЧЕНИЙ КРИТЕРИЕВ ПОЖАРНОЙ ОПАСНОСТИ ДЛЯ ГОРЮЧИХ ПЫЛЕЙ

49. В качестве расчетного варианта аварии для определения критериев пожарной опасности для горючих пылей следует выбирать наиболее неблагоприятный вариант аварии или период нормальной работы аппаратов, при котором в горении пылевоздушной смеси участвует наибольшее количество веществ или материалов, наиболее опасных в отношении последствий такого горения.

50. Количество поступивших веществ, которые могут образовывать горючие пылевоздушные смеси, определяется исходя из предпосылки о том, что в момент расчетной аварии произошла плановая (ремонтные работы) или внезапная разгерметизация одного из технологических аппаратов, за которой последовал аварийный выброс в окружающее пространство находившейся в аппарате пыли.

51. Расчетная масса пыли, поступившей в окружающее пространство при расчетной аварии, определяется по формуле

M= M_вз + М_ав,(42)

где M - расчетная масса поступившей в окружающее пространство горючей пыли, кг; M_вз - расчетная масса взвихрившейся пыли, кг; М_ав - расчетная масса пыли, поступившей в результате аварийной ситуации, кг.

52. Величина М_вз определяется по формуле

М_вз = К_r x К_вз х М_п, (43)

где К_r - доля горючей пыли в общей массе отложений пыли; К_вз - доля отложенной вблизи аппарата пыли, способной перейти во взвешенное состояние в результате аварийной ситуации. В отсутствие экспериментальных данных о величине К_вз допускается принимать К_вз=0,9; М_п - масса отложившейся вблизи аппарата пыли к моменту аварии, кг.

53. Величина М_ав определяется по формуле

М_ав = (М_ап + q x T) x К_п, (44)

где М_ап - масса горючей пыли, выбрасываемой в окружающее пространство при разгерметизации технологического аппарата, кг; при отсутствии ограничивающих выброс пыли инженерных устройств следует полагать, что в момент расчетной аварии происходит аварийный выброс в окружающее пространство всей находившейся в аппарате пыли; q - производительность, с которой продолжается поступление пылевидных веществ в аварийный аппарат по трубопроводам до момента их отключения, кг·с(-1); T - расчетное время отключения, с, определяемое в каждом конкретном случае, исходя из реальной обстановки. Следует принимать равным времени срабатывания системы автоматики, если вероятность ее отказа не превышает 0,000001 в год или обеспечено резервирование ее элементов (но не более 120 с); 120 с, если вероятность отказа системы автоматики превышает 0,000001 в год и не обеспечено резервирование ее элементов; 300 с при ручном отключении; К_п - коэффициент пыления, представляющий отношение массы взвешенной в воздухе пыли ко всей массе пыли, поступившей из аппарата. В отсутствие экспериментальных данных о величине К_п допускается принимать: 0,5 - для пылей с дисперсностью не менее 350 мкм; 1,0 - для пылей с дисперсностью менее 350 мкм.

54. Избыточное давление дельтаР для горючих пылей рассчитывается следующим образом:

а) определяют приведенную массу горючей пыли m_пр, кг, по формуле

m_пр = M x Z x H_т/Н_то, (45)

где М - масса горючей пыли, поступившей в результате аварии в окружающее пространство, кг; Z - коэффициент участия пыли в горении, значение которого допускается принимать равным 0,1. В отдельных обоснованных случаях величина Z может быть снижена, но не менее чем до 0,02; Н_т - теплота сгорания пыли, Дж·кг(-1); Н_то - константа, принимаемая равной 4,6·10(6) Дж·кг(-1);

б) вычисляют расчетное избыточное давление дельтаР, кПа, по формуле

, (46)

где r - расстояние от центра пылевоздушного облака, м. Допускается отсчитывать величину r от геометрического центра технологической установки; P_0 - атмосферное давление, кПа.

55. Величину импульса волны давления i, Па·с, вычисляют по формуле

.(47)

МЕТОД РАСЧЕТА ИНТЕНСИВНОСТИ ТЕПЛОВОГО ИЗЛУЧЕНИЯ

56. Интенсивность теплового излучения рассчитывают для двух случаев пожара (или для того из них, который может быть реализован в данной технологической установке):

пожар проливов ЛВЖ, ГЖ или горение твердых горючих материалов (включая горение пыли);

"огненный шар" - крупномасштабное диффузионное горение, реализуемое при разрыве резервуара с горючей жидкостью или газом под давлением с воспламенением содержимого резервуара.

Если возможна реализация обоих случаев, то при оценке значений критерия пожарной опасности учитывается наибольшая из двух величин интенсивности теплового излучения.

57. Интенсивность теплового излучения q, кВт·м(-2), для пожара пролива жидкости или при горении твердых материалов вычисляют по формуле

q= E_f x F_q x тау, (48)

где E_f- среднеповерхностная плотность теплового излучения пламени, кВт·м(-2); F_q - угловой коэффициент облученности; тау - коэффициент пропускания атмосферы.

Значение Е_f принимается на основе имеющихся экспериментальных данных. Для некоторых жидких углеводородных топлив указанные данные приведены в табл.8.

Таблица 8

Среднеповерхностная плотность теплового излучения пламени в зависимости от диаметра очага и удельная массовая скорость выгорания для некоторых жидких углеводородных топлив

Топливо E_f, кВт·м(-2) M, кг·м(-2)·с(-1)
d=10 м d=20 м d=30 м d=40 м D=50 м
СПГ (Метан) 220 180 150 130 120 0,08
СУГ (Пропан-бутан) 80 63 50 43 40 0,10
Бензин 60 47 35 28 25 0,06
Дизельное топливо 40 32 25 21 18 0,04
Нефть 25 19 15 12 10 0,04

Примечание. Для диаметров очагов менее 10 м или более 50 м следует принимать величину E_f такой же, как и для очагов диаметром 10 м и 50 м соответственно.

При отсутствии данных допускается принимать величину E_f равной: 100 кВт·м(-2) для СУГ, 40 кВт·м(-2) для нефтепродуктов, 40 кВт·м(-2) для твердых материалов.

Рассчитывают эффективный диаметр пролива d, м, по формуле

, (49)

где F - площадь пролива, м2.

Вычисляют высоту пламени H, м, по формуле

, (50)

где M - удельная массовая скорость выгорания топлива, кг·м(-2) ·с(-1); ро_в - плотность окружающего воздуха, кг·м(-3); g=9,81 м·с(-2) - ускорение свободного падения.

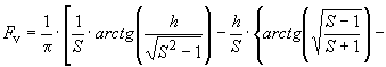
Определяют угловой коэффициент облученности F_q по формулам:

,(51)

где F_v, F_н - факторы облученности для вертикальной и горизонтальной площадок соответственно, определяемые с помощью выражений:

, (52)

, (53)

; (54)

; (55)

S= 2r / d; (56)

h= 2H / d, (57)

где r - расстояние от геометрического центра пролива до облучаемого объекта, м.

Определяют коэффициент пропускания атмосферы по формуле

. (58)

58. Интенсивность теплового излучения q, кВт·м(-2), для "огненного шара" вычисляют по формуле (48).

Величину E_f определяют на основе имеющихся экспериментальных данных. Допускается принимать E_f равным 450 кВт·м(-2).

Значение F_q вычисляют по формуле

, (59)

где H - высота центра "огненного шара", м; D_s- эффективный диаметр "огненного шара", м; r- расстояние от облучаемого объекта до точки на поверхности земли непосредственно под центром "огненного шара", м.

Эффективный диаметр "огненного шара" D_s определяют по формуле

, (60)

где m - масса горючего вещества, кг.

Величину H определяют в ходе специальных исследований. Допускается принимать величину H равной D_s / 2.

Время существования "огненного шара" t_s, с, определяют по формуле

. (61)

Коэффициент пропускания атмосферы тау рассчитывают по формуле

. (62)

7. МЕТОД ОЦЕНКИ ИНДИВИДУАЛЬНОГО РИСКА

59. Настоящий метод применим для расчета величины индивидуального риска (далее по тексту - риска) на наружных установках при возникновении таких поражающих факторов, как избыточное давление, развиваемое при сгорании газо-, паро- или пылевоздушных смесей, и тепловое излучение при сгорании веществ и материалов.

60. Величину индивидуального риска R_B при сгорании газо-, паро- или пылевоздушных смесей рассчитывают по формуле

, (63)

где Q_Bi- годовая частота возникновения i-й аварии с горением газо-, паро- или пылевоздушной смеси на рассматриваемой наружной установке, 1/год; Q_BПi- условная вероятность поражения человека, находящегося на заданном расстоянии от наружной установки, избыточным давлением при реализации указанной аварии i-го типа; n - количество типов рассматриваемых аварий.

Значения Q_Bi определяют из статистических данных или на основе методик, изложенных в нормативных документах, утвержденных в установленном порядке. В формуле (63) допускается учитывать только одну наиболее неблагоприятную аварию, величина Q_B для которой принимается равной годовой частоте возникновения пожара с горением газо-, паро- или пылевоздушных смесей на наружной установке по нормативным документам, утвержденным в установленном порядке, а значение Q_BП вычислять исходя из массы горючих веществ, вышедших в атмосферу, в соответствии с пп.37-43.

61. Величину индивидуального риска R_п при возможном сгорании веществ и материалов, указанных в табл.7 для категории В_н, рассчитывают по формуле

*, (64)

где Q_fi- годовая частота возникновения пожара на рассматриваемой наружной установке в случае аварии i-го типа, 1/год; Q_fПi- условная вероятность поражения человека, находящегося на заданном расстоянии от наружной установки, тепловым излучением при реализации аварии -го типа; n - количество типов рассматриваемых аварий.

Значение Q_fi определяют из статистических данных или на основе методик, изложенных в нормативных документах, утвержденных в установленном порядке.

В формуле (64) допускается учитывать только одну наиболее неблагоприятную аварию, величина Q_f для которой принимается равной годовой частоте возникновения пожара на наружной установке по нормативным документам, утвержденным в установленном порядке, а значение Q_fп вычислять исходя из массы горючих веществ, вышедших в атмосферу, в соответствии с пунктами 37-43.

62. Условную вероятность Q_ВПi поражения человека избыточным давлением при сгорании газо-, паро- или пылевоздушных смесей на расстоянии r от эпицентра определяют следующим образом:

вычисляют избыточное давление дельтаР и импульс i по методам, описанным в разделе 6 (методы расчета значений критериев пожарной опасности для горючих газов и паров или метод расчета значений критериев пожарной опасности для горючих пылей);

исходя из значений дельтаР и i, вычисляют величину "пробит"-функции Pr по формуле

Pr= 5 – 0,26ln(V), (65)

, (66)

где дельтаР - избыточное давление, Па; i - импульс волны давления, Па·с.

С помощью таблицы 9 определяют условную вероятность поражения человека. Например, при значении Pr=2,95 значение Q_вп= 2%=0,02, а при Pr=8,09 значение Q_вп=99,9% =0,999.

Таблица 9

Значения условной вероятности поражения человека в зависимости от величины Pr

Условная вероятность поражения, % Величина Pr
0 1 2 3 4 5 6 7 8 9
0 - 2,67 2,95 3,12 3,25 3,36 3,45 3,52 3,59 3,66
10 3,72 3,77 3,82 3,90 3,92 3,96 4,01 4,05 4,08 4,12
20 4,16 4,19 4,23 4,26 4,29 4,33 4,36 4,39 4,42 4,45
30 4,48 4,50 4,53 4,56 4,59 4,61 4,64 4,67 4,69 4,72
40 4,75 4,77 4,80 4,82 4,85 4,87 4,90 4,92 4,95 4,97
50 5,00 5,03 5,05 5,08 5,10 5,13 5,15 5,18 5,20 5,23
60 5,25 5,28 5,31 5,33 5,36 5,39 5,41 5,44 5,47 5,50
70 5,52 5,55 5,58 5,61 5,64 5,67 5,71 5,74 5,77 5,81
80 5,84 5,88 5,92 5,95 5,99 6,04 6,08 6,13 6,18 6,23
90 6,28 6,34 6,41 6,48 6,55 6,64 6,75 6,88 7,05 7,33
- 0,00 0,10 0,20 0,30 0,40 0,50 0,60 0,70 0,80 0,90
99 7,33 7,37 7,41 7,46 7,51 7,58 7,65 7,75 7,88 8,09

63. Условную вероятность поражения человека тепловым излучением Q_fПi определяют следующим образом:

а) рассчитывают величину Pr по формуле

, (67)

где t - эффективное время экспозиции, с; q - интенсивность теплового излучения, кВт·м(-2), определяемая в соответствии с методом расчета интенсивности теплового излучения (раздел 6).

Величину t находят:

1) для пожаров проливов ЛВЖ, ГЖ и твердых материалов

t= t_0 + x/u, (68)

где t_0 - характерное время обнаружения пожара, с, (допускается принимать t=5 с); x - расстояние от места расположения человека до зоны, где интенсивность теплового излучения не превышает 4 кВт·м(-2), м; u - скорость движения человека, м·c(-1) (допускается принимать u= 5 м·c(-1));

2) для воздействия "огненного шара" - в соответствии с методом расчета интенсивности теплового излучения (раздел 6);

б) с помощью табл.9 определяют условную вероятность Q_Пi поражения человека тепловым излучением.

64. Если для рассматриваемой технологической установки возможен как пожар пролива, так и "огненный шар", в формуле (64) должны быть учтены оба указанных выше типа аварии.

ПРИЛОЖЕНИЕ
Рекомендуемое

РАСЧЕТНОЕ ОПРЕДЕЛЕНИЕ ЗНАЧЕНИЯ КОЭФФИЦИЕНТА Z УЧАСТИЯ ГОРЮЧИХ ГАЗОВ И ПАРОВ НЕНАГРЕТЫХ ЛЕГКОВОСПЛАМЕНЯЮЩИХСЯ ЖИДКОСТЕЙ ВО ВЗРЫВЕ

Материалы настоящего приложения применяются для случая 100m/(ро_г,п V_св)<0,5C_нкпр, где С_нкпр - нижний концентрационный предел распространения пламени газа или пара, % (об.), и для помещений в форме прямоугольного параллелепипеда с отношением длины к ширине не более 5.

1. Коэффициент Z участия горючих газов и паров легковоспламеняющихся жидкостей во взрыве при заданном уровне значимости рассчитывается по формулам:

при X_нкпр<=1/2L и Y_нкпр<=1/2S

, (1)

при X_нкпр>1/2L и Y_нкпр>1/2S

, (2)

где C_0 - предэкспоненциальный множитель, % (об.), равный:

при отсутствии подвижности воздушной среды для горючих газов

, (3)

при подвижности воздушной среды для горючих газов

, (4)

при отсутствии подвижности воздушной среды для паров легковоспламеняющихся жидкостей

, (5)

при подвижности воздушной среды для паров легковоспламеняющихся жидкостей

, (6)

где m - масса газа или паров ЛВЖ, поступающих в объем помещения в соответствии с разделом 3, кг;. Дельта - допустимые отклонения концентрации при задаваемом уровне значимости , приведенные в таблице П1; X_нкпр, Y_нкпр, Z_нкпр - расстояния по осям X, Yи Z от источника поступления газа или пара, ограниченные нижним концентрационным пределом распространения пламени соответственно, м; рассчитываются по формулам (10-12) приложения; L, S - длина и ширина помещения соответственно, м; F - площадь пола помещения, м2; U- подвижность воздушной среды, м·с(-1); C_н - концентрация насыщенных паров при расчетной температуре t_p, °С, воздуха в помещении, % (об.).

Таблица П1

Характер распределения концентраций Дельта
Для горючих газов при отсутствии подвижности воздушной среды 0,1 1,29
0,05 1,38
0,01 1,53
0,003 1,63
0,001 1,70
0,000001 2,04
Для горючих газов при подвижности воздушной среды 0,1 1,29
0,05 1,37
0,01 1,52
0,003 1,62
0,001 1,70
0,000001 2,03
Для паров легковоспламеняющихся жидкостей при отсутствии подвижности воздушной среды 0,1 1,19
0,05 1,25
0,01 1,35
0,003 1,41
0,001 1,46
0,000001 1,68
Для паров легковоспламеняющихся жидкостей при подвижности воздушной среды 0,1 1,21
0,05 1,27
0,01 1,38
0,003 1,45
0,001 1,51
0,000001 1,75

Концентрация С_н может быть найдена по формуле

С_н = 100(Р_н/Р_0), (7)

где Р_н - давление насыщенных паров при расчетной температуре (находится из справочной литературы), кПа; Р_0 - атмосферное давление, равное 101 кПа.

Величина уровня значимости выбирается исходя из особенностей технологического процесса. Допускается принимать равным 0,05.

2. Величина коэффициента Z участия паров легковоспламеняющихся жидкостей во взрыве может быть определена по графику, приведенному на рисунке.

Значения X определяются по формуле

(8)

где C* - величина, задаваемая соотношением

, (9)

где фи - эффективный коэффициент избытка горючего, принимаемый равным 1,9.

3. Расстояния X_нкпр, Y_нкпр и Z_нкпр рассчитываются по формулам:

; (10)

; (11)

, (12)

где K1 - коэффициент, принимаемый равным 1,1314 для горючих газов и 1,1958 для легковоспламеняющихся жидкостей; K2 - коэффициент, принимаемый равным 1 для горючих газов и K2 = T/3600 для легковоспламеняющихся жидкостей; K3 - коэффициент, принимаемый равным 0,0253 для горючих газов при отсутствии подвижности воздушной среды; 0,02828 для горючих газов при подвижности воздушной среды; 0,04714 для легковоспламеняющихся жидкостей при отсутствии подвижности воздушной среды и 0,3536 для легковоспламеняющихся жидкостей при подвижности воздушной среды; H- высота помещения, м.

При отрицательных значениях логарифмов расстояния X_нкпр, Y_нкпр и Z_нкпр принимаются равными 0.