Надежность в технике. Основные понятия. Термины и определения. ГОСТ 27.002-89

(утв. Постановлением Госстандарта СССР от 15.11.89 N 3375)
Редакция от 15.11.1989 — Документ не действует

ГОСУДАРСТВЕННЫЙ СТАНДАРТ СОЮЗА ССР

НАДЕЖНОСТЬ В ТЕХНИКЕ
ОСНОВНЫЕ ПОНЯТИЯ. ТЕРМИНЫ И ОПРЕДЕЛЕНИЯ

Industrial product dependability. General concepts Terms and definitions

ГОСТ 27.002-89

ОКСТУ 0027

Дата введения 01.07.90

ИНФОРМАЦИОННЫЕ ДАННЫЕ

1. РАЗРАБОТАН И ВНЕСЕН Институтом машиноведения АН СССР, Межотраслевым научно-техническим комплексом "Надежность машин" и Государственным Комитетом СССР по управлению качеством продукции и стандартам

РАЗРАБОТЧИКИ

В. В. Болотин, чл.-корр. АН СССР (руководитель); П. П. Пархоменко, чл.-корр. АН СССР; А. Ф. Селихов, чл.-корр. АН СССР; И. А. Ушаков, д-р техн. наук; Л. В. Коновалов, д-р техн. наук; Р. В. Кугель, д-р техн. наук; Л. П. Глазунов,. д-р техн. наук; И. Д. Грудев, д-р техн. наук; И. А. Биргер,, д-р техн. наук; В. П. Когаев, д-р техн. наук; Б. Ф. Хазов, д-р техн. наук; А. Я. Резиновский, канд. техн. наук; Ф. И. Фишбейн, канд. техн. наук; Э. В. Дзиркал, канд. техн. наук; В. А. Гречин, канд. техн. наук; И. Е. Декабрун, канд. техн, наук; Я. А. Ольштейн, канд. техн. наук; Д. И. Вельский, канд. техн. наук; И. 3. Аронов, канд. техн. наук; В. Л. Щпер, канд. техн. наук; Г. К. Мартынов, канд. техн. наук; В. В. Худяков, канд. техн. наук; А. Л. Раскин, В. И. Карзов, канд. техн. наук; Э. Ф. Капанец, канд. техн. наук; Ю. И. Тарасьев; П. В. Рубинштейн; С. В. Нефедов, канд. техн. наук

2. УТВЕРЖДЕН И ВВЕДЕН В ДЕЙСТВИЕ Постановлением Государственного комитета СССР по стандартам от 15.11.89 N 3375

3. Срок проверки - 1992 г.

4. ВВЕДЕН ВПЕРВЫЕ

5. ССЫЛОЧНЫЕ НОРМАТИВНО-ТЕХНИЧЕСКИЕ ДОКУМЕНТЫ

Обозначение НТД, на который дана ссылка Номер пункта
ГОСТ 15467-79 3.1 Вводная часть
ГОСТ 18322-78 5.1, 5.3

Настоящий стандарт устанавливает основные понятия, термины и определения понятий в области надежности.

Настоящий стандарт распространяется на технические объекты (далее - объекты).

Термины, устанавливаемые настоящим стандартом, обязательны для применения во всех видах документации и литературы, входящих в сферу действия стандартизации или использующих результаты этой деятельности.

Настоящий стандарт должен применяться совместно с ГОСТ 18322.

1. Стандартизованные термины с определениями приведены в табл. 1.

2. Для каждого понятия установлен один стандартизованный термин.

Применение терминов - синонимов стандартизованного термина не допускается.

2.1. Для отдельных стандартизованных терминов в табл. 1 приведены в качестве справочных краткие формы, которые разрешается применять в случаях, исключающих возможность их различного толкования.

2.2. Приведенные определения можно при необходимости изменять, вводя в них производные признаки, раскрывая значение используемых в них терминов, указывая объекты, входящие в объем определяемого понятия. Изменения не должны нарушать объем и содержание понятий, определенных в данном стандарте.

2.3. В случаях, когда в термине содержатся все необходимые и достаточные признаки понятия, определение не приведено и в графе "Определение" поставлен прочерк.

Издание официальное Перепечатка воспрещена

2.4. В табл. 1 в качестве справочных приведены эквиваленты стандартизованных терминов на английском языке.

3. Алфавитные указатели содержащихся в стандарте терминов на русском языке и их английских эквивалентов приведены в табл. 2-3.

4. Стандартизованные термины набраны полужирным шрифтом, их краткая форма - светлым.

5. В приложении даны пояснения к терминам, приведенным в настоящем стандарте.

Таблица 1

Термин Определение

1. ОБЩИЕ ПОНЯТИЯ

1.1. Надежность
Reliability, dependability
Свойство объекта сохранять во времени в установленных пределах значения всех параметров, характеризующих способность выполнять требуемые функции в заданных режимах и условиях применения, технического обслуживания, хранения и транспортирования.
Примечание. Надежность является комплексным свойством, которое в зависимости от назначения объекта и условий его применения может включать безотказность, долговечность, ремонтопригодность и сохраняемость или определенные сочетания этих свойств
1.2. Безотказность
Reliability, failure-free operation
Свойство объекта непрерывно сохранять работоспособное состояние в течение некоторого времени или наработки
1.3. Долговечность
Durability, longevity
Свойство объекта сохранять работоспособное состояние до наступления предельного состояния при установленной системе технического обслуживания и ремонта
1.4. Ремонтопригодность Maintainability Свойство объекта, заключающееся в приспособленности к поддержанию и восстановлению работоспособного состояния путем технического обслуживания и ремонта
1.5. Сохраняемость
Storability
Свойство объекта сохранять в заданных пределах значения параметров, характеризующих способности объекта выполнять требуемые функции, в течение и после хранения и (или) транспортирования

2. СОСТОЯНИЕ

2.1. Исправное состояние
Исправность Good state
Состояние объекта, при котором он соответствует всем требованиям нормативно-технической и (или) конструкторской (проектной) документации
2.2. Неисправное состояние
Неисправность Fault, faulty state
Состояние объекта, при котором он не соответствует хотя бы одному из требований нормативно-технической и (или) конструкторской (проектной) документации
2.3. Работоспособное стояние
Работоспособность Up state
Состояние объекта, при котором значения всех параметров, характеризующих способность выполнять заданные функции, соответствуют требованиям нормативно-технической и (или) конструкторской (проектной) документации
2.4. Неработоспособное состояние
Неработоспособность Down state
Состояние объекта, при котором значение хотя бы одного параметра, характеризующего способность выполнять заданные функции, не соответствует требованиям нормативно-технической и (или) конструкторской (проектной) документации.
Примечание. Для сложных объектов возможно деление их неработоспособных состояний. При этом из множества неработоспособных состояний выделяют частично неработоспособные состояния, при которых объект способен частично выполнять требуемые функции
2.5. Предельное состояние
Limiting state
Состояние объекта, при котором его дальнейшая эксплуатация недопустима или нецелесообразна, либо восстановление его работоспособного состояния невозможно или нецелесообразно
2.6. Критерий предельного состояния
Limiting state criterion
Признак или совокупность признаков предельного состояния объекта, установленные нормативно-технической и (или) конструкторской (проектной) документацией.
Примечание. В зависимости от условия эксплуатации для одного и того же объекта могут быть установлены два и более критериев предельного состояния

3. ДЕФЕКТЫ, ПОВРЕЖДЕНИЯ, ОТКАЗЫ

3.1. Дефект
Defect
По ГОСТ 15467
3.2. Повреждение
Damage
Событие, заключающееся в нарушении исправного состояния объекта при сохранении работоспособного состояния
3.3 Отказ
Failure
Событие, заключающееся в нарушении работоспособного состояния объекта
3.4. Критерий отказа
Failure criterion
Признак или совокупность признаков нарушения работоспособного состояния объекта, установленные в нормативно-технической и (или) конструкторской (проектной) документации
3.5. Причина отказа
Failure cause
Явления, процессы, события и состояния, вызвавшие возникновение отказа объекта
3.6- Последствия отказа
Failure fleet
Явления, процессы, события и состояния, обусловленные возникновением отказа объекта
3.7. Критичность отказа
Failure criticality
Совокупность признаков, характеризующих последствия отказа.
Примечание. Классификация отказов по критичности (например по уровню прямых и косвенных потерь, связанных с наступлением отказа, или по трудоемкости восстановления после отказа) устанавливается нормативно-технической и (или) конструкторской (проектной) документацией по согласованию с заказчиком на основании технико-экономических соображений и соображений безопасности
3.8. Ресурсный отказ Marginal failure Отказ, в результате которого объект достигает предельного состояния
3.9 Независимый отказ
Primary failure
Отказ, не обусловленный другими отказами
3.10. Зависимый отказ
Secondary failure
Отказ, обусловленный другими отказами
3.11. Внезапный отказ
Sudden failure
Отказ, характеризующийся скачкообразным изменением значений одного или нескольких параметров объекта
3.12. Постепенный отказ
Gradual failure
Отказ, возникающий в результате постепенного изменения значений одного или нескольких параметров объекта
3.13. Сбой
Interruption
Самоустраняющийся отказ или однократный отказ, устраняемый незначительным вмешательством оператора
3.14. Перемежающийся отказ
Intermittent failure
Многократно возникающий самоустраняющийся отказ одного и того же характера
3.15. Явный отказ
Explicit failure
Отказ, обнаруживаемый визуально или штатными методами и средствами контроля и диагностирования при подготовке объекта к применению или в процессе его применения по назначению
3.16. Скрытый отказ
Latent failure
Отказ, не обнаруживаемый визуально или штатными методами и средствами контроля в диагностирования, но выявляемый при проведении технического обслуживания или специальными методами диагностики
3.17. Конструктивный отказ Design failure Отказ, возникший по причине, связанной с несовершенством или нарушением установленных правил и (или) норм проектирования и конструирования
3.18. Производственный отказ
Manufacturing failure
Отказ, возникший по причине, связанной с несовершенством или нарушением установленного процесса изготовления или ремонта, выполняемого на ремонтном предприятии
3.19. Эксплуатационный отказ
Miaise failure, mishan-dto failure
Отказ, возникший по причине, связанной с нарушением установленных правил и (или) условий эксплуатации
3.20. Деградационный отказ
Wear-out failure, ageing failure
Отказ, обусловленный естественными процессами старения, изнашивания, коррозии и усталости при соблюдении всех установленных правил и (или) норм проектирования, изготовления в эксплуатации

4. ВРЕМЕННЫЕ ПОНЯТИЯ

4.1. Наработка
Operating time
Продолжительность или объем работы объект.
Примечание. Наработка может быть как непрерывной величиной (продолжительность работы в часах, километраж пробега и т. п.), так. и целочисленной величиной (число рабочих циклов, запусков и т. п.).
4.2. Наработка до отказа
Operating time to failure
Наработка объекта от начала эксплуатации да возникновения первого отказа
4.3. Наработка между отказами
Operating time between failure
Наработка объекта от окончания восстановления его работоспособного состояния после. отказа до возникновения следующего отказа
4.4. Время восстановления
Restoration time
Продолжительность восстановления работоспособного состояния объекта
4.5. Ресурс
Useful life, life
Суммарная наработка объекта от начала его эксплуатации или ее возобновления после ремонта до перехода в предельное состояние
4.6. Срок службы
Useful lifetime, lifetime
Календарная продолжительность эксплуатации от начала эксплуатации объекта или ее возобновления после ремонта до перехода в предельное состояние
4.7. Срок сохраняемости
Storability time, shelf life
Календарная продолжительность хранения и (или) транспортирования объекта, в течение которой сохраняются в заданных пределах значения параметров, характеризующих способность объекта выполнять заданные функции.
Примечание. По истечении срока сохраняемости объект должен соответствовать требованиям безотказности, долговечности и ремонтопригодности, установленным нормативно-технической документацией на объект
4.8. Остаточный ресурс Residual life Суммарная наработка объекта от момента контроля его технического состояния до перехода в предельное состояние.
Примечание. Аналогично вводятся понятия остаточной наработки до отказа, остаточного срока службы и остаточного срока хранения
4.9. Назначенный ресурс
Assigned operating time
Суммарная наработка, при достижении которой эксплуатация объекта должна быть прекращена независимо от его технического состояния
4.10. Назначенный срок службы
Assigned lifetime
Календарная продолжительность эксплуатации, при достижении которой эксплуатация объекта должна быть прекращена независимо от его технического состояния
4.11. Назначенный хранения
Assigned storage time
Календарная продолжительность хранения, при достижении которой хранение объекта должно быть прекращено независимо от его технического состояния.
Примечание к терминам 4.9.-4.11. По истечении назначенного ресурса (срока службы, срока хранения) объект должен быть изъят из эксплуатации и должно быть принято решение, предусмотренное соответствующей нормативно-технической документацией - направление в ремонт, списание, уничтожение, проверка и установление нового назначенного срока и т. д

5. ТЕХНИЧЕСКОЕ ОБСЛУЖИВАНИЕ И РЕМОНТ

5.1. Техническое обслуживание
Maintenance
По ГОСТ 18322
5.2. Восстановление
Restoration, recovery
Процесс перевода объекта в работоспособное состояние из неработоспособного состояния
5.3. Ремонт
Repair
По ГОСТ 18322
5.4. Обслуживаемый объект
Maintainable item
Объект, для которого проведение технического обслуживания предусмотрено нормативно-технической документацией и (или) конструкторской (проектной) документацией
5.5. Необслуживаемый объект
Nonmaintainable item
Объект, для которого проведение технического обслуживания не предусмотрено нормативно-технической и (или) конструкторской (проектной) документацией
5.6. Восстанавливаемый объект
Restarable item
Объект, для которого в рассматриваемой ситуации проведение восстановления работоспособного состояния предусмотрено в нормативно-технической и (или) конструкторской (проектной) документации
5.7. Невосстанавливаемый объект
Nonrestorable item
Объект, для которого в рассматриваемой ситуации проведение восстановления работоспособного состояния не предусмотрено в нормативно-технической и (или) конструкторской (проектной) документации
5.8. Ремонтируемый объект
Repairable item
Объект, ремонт которого возможен и предусмотрен нормативно-технической, ремонтной и (или) конструкторской (проектной) документацией
5.9. Неремонтируемый объект
Noarepairable item
Объект, ремонт которого не возможен или не предусмотрен нормативно-технической, ремонтной и (или) конструкторской (проектной) документацией

6. ПОКАЗАТЕЛИ НАДЕЖНОСТИ

6.1. Показатель надежности
Reliability measure
Количественная характеристика одного или нескольких свойств, составляющих надежность объекта
6.2. Единичный показатель надежности
Simplere liability measure
Показатель надежности, характеризующий одно из свойств, составляющих надежность объекта
6.3. Комплексный показатель надежности
integrated reliability meas
Показатель надежности, характеризующий несколько свойств, составляющих надежность объекта
6.4. Расчетный показатель надежности
Predicted reliability measure
Показатель надежности, значения которого определяются расчетным методом
6.5. Экспериментальный показатель надежности
Assessed reliability measure
Показатель надежности, точечная или интервальная оценка которого определяется по данным испытаний
6.6. Эксплуатационный показатель надежности
Observed reliability measure
Показатель надежности, точечная или интервальная оценка которого определяется по данным эксплуатации
6.7. Экстраполированный показатель надежности
Extrapolated reliability measure
Показатель надежности, точечная или интервальная оценка которого определяется на основании результатов расчетов, испытаний и (или) эксплуатационных данных путем экстраполирования на другую продолжительность эксплуатации и другие условия эксплуатации
ПОКАЗАТЕЛИ БЕЗОТКАЗНОСТИ
6.8. Вероятность безотказной работы
Reliability function, survival function
Вероятность того, что в пределах заданной наработки отказ объекта не возникнет
6.9. Гамма-процентная наработка до отказа
Gamma-percentile operating time to failure
Наработка, в течение которой отказ объекта не возникнет с вероятностью y , выраженной в процентах
6.10. Средняя наработка до отказа
Mean operating time to failure
Математическое ожидание наработки объекта до первого отказа
6.11. Средняя наработка на отказ
Наработка на отказ
Mean operating time between failures
Отношение суммарной наработки восстанавливаемого объекта к математическому ожиданию числа его отказов в течение этой наработки
6.12. Интенсивность отказов
Failure rate
Условная плотность вероятности возникновения отказа объекта, определяемая при условии, что до рассматриваемого момента времени отказ не возник
6.13. Параметр потока отказов
Failure intensity
Отношение математического ожидания числа отказов восстанавливаемого объекта за достаточно малую его наработку к значению этой наработки
6.14. Осредненный параметр потока отказов
Mean failure intensity
Отношение математического ожидания числа отказов восстанавливаемого объекта за конечную наработку к значению этой наработки.
Примечание к терминам 6.8-6.14. Все показатели безотказности (как приводимые ниже другие показатели надежности) определены как вероятностные характеристики. Их статистические аналоги определяют методами математической статистики
ПОКАЗАТЕЛИ ДОЛГОВЕЧНОСТИ
6.15. Гамма-процентный ресурс
Gamma-percentile life
Суммарная в течение которой объект не достигнет предельного состояния с вероятностью Y. выраженной в процентах
6.16. Средний ресурс
Mean life, mean useful
life
Наработка, в течение которой отказ объекта не возникнет с вероятностью у, выраженной в процентах
6.17. Гамма-процентный срок службы
Gamma-percentile life
time
Математическое ожидание наработки объекта до первого отказа
6.18. Средний срок службы
Mean lifetime
Отношение суммарной наработки восстанавливаемого объекта к математическому ожиданию числа его отказов в течение этой наработки
ПОКАЗАТЕЛИ РЕМОНТОПРИГОДНОСТИ
6.19. Вероятность восстановления
Probability of restoration, maintainability function
Вероятность того, что время восстановления работоспособного состояния объекта не превысит заданное значение
6.20. Гамма-процентное время восстановления
Gamma-percentile restoration time
Время, в течение которого восстановление работоспособности объекта будет осуществлено с вероятностью Y. выраженной в процентах
6.21. Среднее время восстановления
Mean restoration time
Математическое ожидание времени восстановления работоспособного состояния объекта после отказа
6.22. Интенсивность восстановления
(Instantaneous) restoration rate
Условная плотность вероятности восстановления работоспособного состояния объекта, определенная для рассматриваемого момента времени при условии, что до этого момента восстановление не было завершено
6.23. Средняя трудоемкость восстановления
Mean restoration man-hours, mean maintenance man-hours
Математическое ожидание трудоемкости восстановления объекта после отказа.
Примечание к терминам 6.19-6.23. Затраты времени и труда на проведение технического обслуживания и ремонтов с учетом конструктивных особенностей объекта, его технического состояния и условий эксплуатации характеризуются оперативными показателями ремонтопригодности
ПОКАЗАТЕЛИ СОХРАНЯЕМОСТИ
6.24. Гамма-процентный срок сохраняемости
Gamma-percentile storage time
Срок сохраняемости, достигаемый объектом в заданной вероятностью у, выраженной в процентах
6.25. Средний срок сохраняемости
Mean storage time
Математическое ожидание срока сохраняемости
КОМПЛЕКСНЫЕ ПОКАЗАТЕЛИ НАДЕЖНОСТИ
6.26. Коэффициент готовности
(Instantaneous) availability function
Вероятность того, что объект окажется в работоспособном состоянии в произвольный момент времени, кроме планируемых периодов, в течение которых применение объекта по назначению не предусматривается
6.27. Коэффициент оперативной готовности
Operational availability function
Вероятность того, что объект окажется в работоспособном состоянии в произвольный момент времени, кроме планируемых периодов, в течение которых применение объекта по назначению не предусматривается, и, начиная с этого момента, будет работать безотказно в течение заданного интервала времени
6.28. Коэффициент технического использования
Steady state availability factor
Отношение математического ожидания суммарного времени пребывания объекта в работоспособном состоянии за некоторый период эксплуатации к математическому ожиданию суммарного времени пребывания объекта в работоспособном состоянии и простоев, обусловленных техническим обслуживанием и ремонтом за тот же период
6.29. Коэффициент сохранения эффективности
Efficiency ratio
Отношение значения показателя эффективности использования объекта по назначению за определенную продолжительность эксплуатации к номинальному значению этого показателя, вычисленному при условии, что отказы объекта в течение того же периода не возникают

7. РЕЗЕРВИРОВАНИЕ

7.1. Резервирование
Redundancy
Способ обеспечения надежности объекта за счет использования дополнительных средств и (или) возможностей, избыточных по отношению к минимально необходимым для выполнения требуемых функций
7.2. Резерв
Reserve
Совокупность дополнительных средств и (или) возможностей, используемых для резервирования
7.3. Основной элемент
Major element
Элемент объекта, необходимый для выполнения требуемых функций без использования резерва
7.4. Резервируемый элемент
Element under redun dancy
Основной элемент, на случай отказа которого в объекте предусмотрены один или несколько резервных элементов
7.5. Резервный элемент
Redundant element
Элемент, предназначенный для выполнения функций основного элемента в случае отказа последнего
7.6. Кратность резерва
Redundancy ratio
Отношение числа резервных элементов к числу резервируемых ими элементов, выраженное несокращенной дробью
7.7. Дублирование
Duplication
Резервирование с кратностью резерва один к одному
7.8. Нагруженный резерв
Active reserve, loaded
reserve
Резерв, который содержит один или несколько резервных элементов, находящихся в режиме основного элемента
7.9. Облегченный резерв
Reduced reserve
Резерв, который содержит один или несколько резервных элементов, находящихся в менее нагруженном режиме, чем основной элемент
7.10. Ненагруженный резерв
Standby reserve, unloaded reserve
Резерв, который содержит один или несколько резервных элементов, находящихся в ненагруженном режиме до начала выполнения ими функций основного элемента
7.11. Общее резервирование
Whole system redundancy
Резервирование, при котором резервируется объект в целом
7.12. Раздельное резервирование
Segregated redundancy
Резервирование, при котором резервируются отдельные элементы объекта или их группы
7.13. Постоянное резервирование
Continuous redundancy
Резервирование, при котором используется нагруженный резерв и при отказе любого элемента в резервированное группе выполнение объектом требуемых функции обеспечивается оставшимися элементами без переключений
7.14. Резервирование замещением
Standby redundancy
Резервирование, при котором функции основного элемента передаются резервному только после отказа основного элемента
7.15. Скользящее резервирование
Sliding redundancy
Резервирование замещением, при котором группа основных элементов резервируется одним или несколькими резервными элементами, каждый из которых может заменить любой из отказавших элементов данной группы
7.16. Смешанное резервирование
Combined redundancy
Сочетание различных видов резервирования в одном и том же объекте
7.17. Резервирование с восстановлением
Redundancy with res toration
Резервирование, при котором восстановление отказавших основных и (или) резервных элементов технически возможно без нарушения работоспособности объекта в целом и предусмотрено эксплуатационной документацией
7.18. Резервирование без восстановления
Redundancy without restoration
Резервирование, при котором восстановление отказавших основных и (или) резервных элементов технически невозможно без нарушения работоспособности объекта в целом и (или) не предусмотрено эксплуатационной документацией
7.19. Вероятность успешного перехода на резерв
Probability of successful redundancy
Вероятность того, что переход на резерв произойдет без отказа объекта, т. е. произойдет за время, не превышающее допустимого значения перерыва в функционировании и (или) без снижения качества функционирования

8.НОРМИРОВАНИЕ НАДЕЖНОСТИ

8.1. Нормирование надежности
Reliability specification
Установление в нормативно-технической документации и (или) конструкторской (проектной) документации количественных и качественных требований к надежности
Примечание. Нормирование надежности включает выбор номенклатуры нормируемых показателей надежности; технико-экономическое обоснование значений показателей надежности объекта и его составных частей; задание требований к точности и достоверности исходных данных; формулирование критериев отказов, повреждений и предельных состояний; задание требований к методам контроля надежности на всех этапах жизненного цикла объекта
8.2. Нормируемый показатель надежности
Specified reliability measure
Показатель надежности, значение которого регламентировано нормативно-технической и (или) конструкторской (проектной) документацией на объект.
Примечание. В качестве нормируемых показателей надежности могут быть использованы один или несколько показателей, включенных к настоящий стандарт, в зависимости от назначения объекта, степени его ответственности, условий эксплуатации, последствий возможных отказов, ограничений на затраты, а также от соотношения затрат на обеспечение надежности объекта и затрат на его техническое обслуживание и ремонт. По согласованию между заказчиком и разработчиком (изготовителем) допускается нормировать показатели надежности, не включенные в настоящий стандарт, которые не противоречат определениям показателей настоящего стандарта. Значения нормируемых показателей надежности учитывают, в частности, при назначении цены объекта, гарантийного срока и гарантийной наработки

9. ОБЕСПЕЧЕНИЕ, ОПРЕДЕЛЕНИЕ И КОНТРОЛЬ НАДЕЖНОСТИ

9.1. Программа обеспечения надежности
Reliability support programme
Документ, устанавливающий комплекс взаимосвязанных организационно-технических требований и мероприятий, подлежащих проведению на определенных стадиях жизненного цикла объекта и направленных на обеспечение заданных требований к надежности и (или) на повышение надежности
9.2. Определение надежности
Reliability assessment
Определение численных значений показателей надежности объекта
9.3. Контроль надежности
Reliability verification
Проверка соответствия объекта заданным требованиям к надежности
9.4. Расчетный метод определения надежности
Analytical reliability assessment
Метод, основанный на вычислении показателей надежности по справочным данным о надежности компонентов и комплектующих элементов объекта, по данным о надежности объектов-аналогов, по данным о свойствах материалов и другой информации, имеющейся к моменту оценки надежности
9.5. Расчетно-экспериментальный метод определения надежности
Analytical-experimental reliability assessment
Метод, при котором показатели надежности всех или некоторых составных частей объекта определяют по результатам испытаний и (или) эксплуатации, а показатели надежности объекта в целом рассчитывают по математической модели
9.6. Экспериментальный метод определения надежности
Experimental reliability ; assessment
Метод, основанный на статистической обработке данных, получаемых при испытаниях или эксплуатации объекта в целом
Примечание к терминам 9.4-9.6. Аналогично определяют соответствующие методы контроля надежности

10. ИСПЫТАНИЯ НА НАДЕЖНОСТЬ

10.1. Испытания на надежность
Reliability test
По ГОСТ 16504
Примечание. В зависимости от исследуемого свойства различают испытания на безотказность, ремонтопригодность, сохраняемость и долговечность (ресурсные испытания)
10.2. Определительные испытания на надежность
Determination test
Испытания, проводимые для определения показателей надежности с заданными точностью и достоверностью
10.3. Контрольные испытания на надежность
Compliance test
Испытания, проводимые для контроля показателей надежности
10.4. Лабораторные испытания на надежность
Laboratory test
Испытания, проводимые в лабораторных или заводских условиях
10.5. Эксплуатационные испытания на надежность
Field test
Испытания, проводимые в условиях эксплуатации объекта
10.6. Нормальные испытания на надежность
Normal test
Лабораторные (стендовые) испытания, методы и условия проведения которых максимальна приближены к эксплуатационным для объекта
10.7. Ускоренные испытания на надежность
Accelerated test
Лабораторные (стендовые) испытания, методы и условия проведения которых обеспечивают получение информации о надежности в более короткий срок, чем при нормальных испытаниях
10.8. План испытаний на надежность
Reliability test programme
Совокупность правил, устанавливающих объем выборки, порядок проведения испытаний, критерии их завершения и принятия решений по результатам испытаний
10.9. Объем испытаний на надежность
Scope of reliability test
Характеристика плана испытаний на надежность, включающая число испытываемых образцов, суммарную продолжительность испытаний в единицах наработки и (или) число серий испытаний

Таблица 2.

Алфавитный указатель терминов на русском языке

Термин Номер термина
Безотказность 1.2
Вероятность безотказной работы 6.8
Вероятность восстановления 6.19
Вероятность успешного перехода на резерв 7.19
Восстановление 5.2
Время восстановления 4.4
Время восстановления гамма-процентное 6.20
Время восстановления среднее 6.21
Дефект 3.1
Долговечность 1.3
Дублирование 7.7
Интенсивность восстановлен!" 6.22
Интенсивность отказов 6.12
Исправность 2.1
Испытания на надежность 10.1
Испытания на надежность контрольные 10.3
Испытания на надежность лабораторные 10.4
Испытания на надежность нормальные 10.6
Испытания на надежность определительные 10.2
¦Испытания на надежность ускоренные 10.7
Испытания на надежность эксплуатационные 10.5
Контроль надежности 9.3
Коэффициент готовности 6.26
Коэффициент оперативной готовности 6.27
Коэффициент сохранения эффективности 6.29
Коэффициент технического использования 6.28
Кратность резерва 7.6
Критерий предельного состояния 2.6:
Критерий отказа 3.4
Критичность отказа 3.7
Метод определения надежности расчетный 9.4
Метод определения надежности расчетно-экспериментальный 9.5
Метод определения надежности экспериментальный 9.6
Надежность 1.1.
Наработка 4.1.
Наработка до отказа 4.2
Наработка до отказа гамма-процентная 6.9
Наработка до отказа средняя 6.10
Наработка между отказами 4.3
Наработка на отказ 6.11
Наработка на отказ средняя 6.11
Неисправность 2.2
Неработоспособность 2.4
Нормирование надежности 8.1
Обслуживание техническое 5.1
Объект восстанавливаемый 5.6
Объект невосстанавливаемый 5.7
Объект необслуживаемый 5.5
Объект неремонтируемый 5.9
Объект обслуживаемый 5.4
Объект ремонтируемый 58
Объем испытаний на надежность 10.9
Определение надежности 9.2
Отказ 3.3
Отказ внезапный 3.11
Отказ деградационный 3.20
Отказ зависимый 3.10
Отказ конструктивный 3.17.
Отказ независимый 3.9
Отказ постепенный 3.12
Отказ перемежающийся 3.14
Отказ производственный 3.18
Отказ ресурсный 3.8
Отказ скрытый 3.16
Отказ эксплуатационный 3.19
Отказ явный 3.15
Параметр потока отказов 6.13
Параметр потока отказов осредненный 6.14
План испытаний на надежность 10.8
Повреждение 3.2
Показатель надежности 6.1
Показатель надежности единичный 6.2
Показатель надежности комплексный 6.3
Показатель надежности нормируемый 8.2
Показатель надежности расчетный 6.4
Показатель надежности экспериментальный 6.5
Показатель надежности эксплуатационный 6.6
Показатель надежности экстраполированный 6.7
Последствия отказа 3.6
Причина отказа 3.5
Программа обеспечения надежности 9.1
Работоспособность 2.3
Резерв 7.2
Резерв нагруженный 7.8
Резерв ненагруженный 7.10
Резерв облегченный 7.9
Резервирование 7.1
Резервирование замещением 7.14
Резервирование без восстановления 7.18
Резервирование общее 7.11
Резервирование постоянное 7.13
Резервирование раздельное 7.12
Резервирование с восстановлением 7.17
Резервирование скользящее 7.15
Резервирование смешанное 7.16
Ремонт 5.3
Ремонтопригодность 1.4
Ресурс 4.5
Ресурс гамма-процентный 6.15
Ресурс назначенный 4.9
Ресурс остаточный 4.8
Ресурс средний 6.16
Сбой 6.13
Состояние исправное 2.1
Состояние неисправное 2.2
Состояние неработоспособное 2.4
Состояние предельное 2.5
Состояние работоспособное 2.3
Сохраняемость 1.5
Срок службы 4.6
Срок службы гамма-процентный 6.17
Срок службы назначенный 4.10
Срок службы средний 6.18
Срок сохраняемости 4.7
Срок сохраняемости гамма-процентный 6.24
Срок сохраняемости средний 6.25
Срок хранения назначенный 4.11
Трудоемкость восстановления средняя 6.23
Элемент основной 7.3
Элемент резервируемый 7.4.
Элемент резервный 7.5

Таблица 3

Алфавитный указатель терминов на английском языке

Термин Номер термина
Accelerated test 10.7
Active reserve 7.8
Ageing failure 3.20
Analytical-experimental reliability assessment 9.5
Analytical reliability assessment 9.4
Assessed reliability measure 6.5
Assigned lifetime 4.10
Assigned operating time 4.9
Assigned storage time 4.11
Combined redundancy 7.16
Compliance test 10.3
Continuous redundancy 7.13
Damage 3.2
Defect 3.1
Dependability 1.1
Design failure 3.17
Determination test 10.2
Down state 2.4
Duplication 7.7
Durability 1.3
Efficiency ratio 6.29
Element under redundancy 7.4
Experimental reliability assessment 9.6
Explicit failure 3.15
Extrapolated reliability measure 6.7
Failure 3.3
Failure cause 3.5
Failure criterion 3.4
Failure criticality 3.7
Failure effect 3.6
Failure intensity 6.13
Failure rate 6.12
Failure free operation 1.2
Fault 2.2
Faulty state 2.2
Field test 10.5
Gamma-percentile life 6.15
Gamma-percentiie lifetime 6.17
Gamma-percentile operating time to failure 6.9
Gamma-percentile restoration time 6.20
Gamma-percentile storage time 6.24
Good state 2.1
Gradual failure 3.12
(Instantaneous) availability function 6.26
(Instantaneous) restoration rate 6.22
Integrated reliability measure 6.3
Intermittent failure 3.14
Interruption 3.13
Laboratory test 10.4
Latent failure 3.16
Life 4.S
Lifetime 4.6
Limiting state 2.5
Limiting state criterion 2.6
Loaded reserve 7.8
Longevity 1.3
Maintenance 5.1
Maintainable item 5.4
Maintainability 1.4
Maintainability function 6.19
Major element 7.3
Manufacturing failure 3.18
Marginal failure 3.8
Mean failure intensity 6.14
Mean life 6.16
Mean lifetime 6.18
Mean maintenance man-hours 6.23
Mean restoration man-hours 6.23
Mean operating time between failures 6.11
Mean operating time to failure 6.10
Mean storage time 6.25
Mean restoration time 6.21
Mean useful life 6.16
Mishandling failure 3.19
Misuse failure 3.19
Nonmaintainable item 5.5
Nonrepairable item 5.9
Nonrestorable item 5.7
Normal test 10.6
Observed reliability measure 6.6
Operating time 4.1
Operating time between failures 4.3
Operating time to failure 4.2
Operational availability function 6.27
Predicted reliability measure 6.4
Primary failure 3.9
Probability of successful redundancy 7.19
Probability of restoration 6.19
Recovery 5.2
Reduced reserve 7.9
Redundancy 7.1
Redundancy ratio 7.6
Redundancy without restoration 7.18
Redundancy with restoration 7.17
Redundant element 7.5
Reliability 1.1, 1.2
Reliability assessment 9.2
Reliability function 6.8
Reliability measure 6.1
Reliability specification 8.1
Reliability support programme 9.1
Reliability test 10.1
Reliability test programme 10.8
Reliability verification 9.3
Repair 5.3
Repairable item 5.8
Reserve 7.2
Residual life 4.8
Restoration 5.2
Restorable item 5.6
Restoration time 4.4
Scope of reliability test 10.9
Secondary failure 3.19
Segregated redundancy 7.12
Shelf life 4.7
Simple reliability measure 6.2
Sliding redundancy 7.15
Specified reliability measure 8.2
Standby redundancy 7.14
Standby reserve 7.10
Steady state availability factor 6,28
Storability 1.6
Storability time 4.7
Sudden failure 3.11
Survival function 6.8
Unloaded reserve 7.10
Up state 2.3
Useful life 4.5
Useful lifetime 4.6
Wear-out failure 3.20
Whole system redundancy 7.11

Приложение
Справочное

ПОЯСНЕНИЯ К ТЕРМИНАМ, ПРИВЕДЕННЫМ В СТАНДАРТЕ

К термину "Надежность" (п. 1.1)

Терминология по надежности в технике распространяется на любые технические объекты - изделия, сооружения и системы, а также их подсистемы, рассматриваемые с точки зрения надежности на этапах проектирования, производства, испытаний, эксплуатации и ремонта. В качестве подсистем могут рассматриваться сборочные единицы, детали, компоненты или элементы. При необходимости в понятие "объект" могут быть включены информация и ее носители, а также человеческий фактор (например при рассмотрении надежности системы "машина-оператор"). Понятие "эксплуатация" включает в себя, помимо применения по назначению, техническое обслуживание, ремонт, хранение и транспортирование.

Термин "объект" может относиться к конкретному объекту, и к одному из представителей, в частности, к наугад выбранному представителю из серии, партии или статистической выборки однотипных объектов. На стадии разработки термин "объект" применяется к наугад выбранному представителю из генеральной совокупности объектов.

Границ понятия "надежность" не изменяет следующее определение: надежность - свойство объекта сохранять во времени способность к выполнению требуемых функций в заданных режимах и условиях применения, технического обслуживания, хранения и транспортирования.

Это определение применяют тогда, когда параметрическое описание нецелесообразно (например для простейших объектов, работоспособность которых характеризуется по типу "да-нет") или невозможно (например для систем "машина-оператор", т. е. таких систем, не все свойства которых могут быть охарактеризованы количественно).

К параметрам, характеризующим способность выполнять требуемые функции, относят кинематические и динамические параметры, показатели конструкционной прочности, показатели точности функционирования, производительности, скорости и т. п. С течением времени значения этих параметров могут изменяться.

Надежность - комплексное свойство, состоящее в общем случае из безотказности, долговечности, ремонтопригодности и сохраняемости. Например для неремонтируемые объектов основным свойством может являться безотказность. Для ремонтируемых объектов одним из важнейших свойств, составляющих понятие надежности, может быть ремонтопригодность.

Для объектов, которые являются потенциальным источником опасности, важными понятиями являются "безопасность" и "живучесть". Безопасность - свойство объекта при изготовлении и эксплуатации и в случае нарушения работоспособного состояния не создавать угрозу для жизни и здоровья людей, а также для окружающей среды. Хотя безопасность не входит в общее понятие надежности, однако при определенных условиях тесно связана с этим понятием, например, если отказы могут привести к условиям, вредным для людей я окружающей среды сверх предельно допустимых норм.

Понятие "живучесть" занимает пограничное место между понятиями "надежность" и "безопасность". Под живучестью понимают свойство объекта, состоящее в его способности противостоять развитию критических отказов из дефектов и повреждений при установленной системе технического обслуживания и ремонта, или свойство объекта сохранять ограниченную работоспособность при воздействиях, не предусмотренных условиями эксплуатации, или свойство объекта сохранять ограниченную работоспособность при наличии дефектов или повреждений определенного вида, а также при отказе некоторых компонентов. Примером служит сохранение несущей способности элементами конструкции при возникновении в них усталостных трещин, размеры которых не превышают заданных значений.

Термин "живучесть" соответствует международному термину fail - safe concept [6]. Для характеристики отказоустойчивости по отношению к человеческим ошибкам в последнее время начали употреблять термин fool-proof concept. В международных документах ИСО, МЭК и ЕОКК [4-6] сочетание свойств безотказности и ремонтопригодности с учетом системы технического обслуживания и ремонта называют готовностью объекта (availability).

К термину "Безотказность" (п. 1.2)

Безотказность в той или иной степени свойственна объекту в любом из возможных режимов его существования. В основном безотказность рассматривается применительно к его использованию по назначению, но во многих случаях необходима оценка безотказности при хранении и транспортировании объекта.

Необходимо подчеркнуть, что показатели безотказности (пп. 6.8-6.14) вводятся либо по отношению ко всем возможным отказам объекта, либо по отношению к какому-либо одному типу (типам) отказа с указанием на критерии отказа (отказов).

К термину "Долговечность" (п. 1.3)

Объект может перейти в предельное состояние, оставаясь работоспособным, если, например, его дальнейшее применение по назначению станет недопустимым по требованиям безопасности, экономичности и эффективности

К термину "Ремонтопригодность" (п. 1.4)

Термин "ремонтопригодность" традиционно трактуется в широком смысле. Этот термин эквивалентен международному термину "приспособленность к поддержанию работоспособного состояния" или, короче, "поддерживаемость" (maintainability). Помимо ремонтопригодности в узком смысле это понятие включает в себя "обслуживаемость", т. е. приспособленность объекта к техническому обслуживанию, "контролепригодность" и приспособленность к предупреждению и обнаружению отказов и повреждений, а также причин их вызывающих. Более общее понятие "поддерживаемость", "эксплуатационная технологичность" (maintenance, support, supportability) включает в себя ряд технико-экономических и организационных факторов, например качество подготовки обслуживающего персонала.

Допускается дополнительно к термину "ремонтопригодность-" (в узком смысле) применять термины "обслуживаемость", "контролепригодность", "приспособленность к диагностированию", "эксплуатационная технологичность" и др.

К терминам "Сохраняемость" и "Срок сохраняемости" (пп. 1.5; 4.7)

В процессе хранения и транспортирования объекты подвергаются неблагоприятным воздействиям, например колебаниям температуры, действию влажного воздуха, вибрациям и т. п. В результате после хранения и (или) транспортирования объект может оказаться в неработоспособном и даже в предельном состоянии. Сохраняемость объекта характеризуется его способностью противостоять отрицательному влиянию условий и продолжительности его хранения я транспортирования

В зависимости от условий и режимов применения объекта требования сохраняемости ставят по-разному. Для некоторых классов объектов может быть поставлено требование, чтобы после хранения объект находился в таком же состоянии, что и к моменту начала хранения. В этом случае объект будет удовлетворять требованиям безотказности, долговечности и ремонтопригодности, предъявляемым к объекту к моменту начала хранения. В реальных условиях происходит ухудшение параметров, характеризующих работоспособность объекта, а также снижается его остаточный ресурс. В одних случаях достаточна потребовать, чтобы после хранения и (или) транспортирования объект оставался в работоспособном состоянии. В большинстве других случаев требуется, чтобы объект сохранял достаточный запас работоспособности, т. е. обладал достаточной безотказностью после хранения и (или) транспортирования. В тех случаях, когда предусмотрена специальная подготовка объекта к применению по назначению после хранения и (или) транспортирования, требование о сохранение работоспособности заменяется требованием, чтобы технические параметры объекта, определяющие его безотказность и долговечность, сохранялись в заданных пределах. Очевидно, что все эти случаи охватываются приведенным в стандарте определением понятия сохраняемости.

Требования к показателям безотказности, долговечности и ремонтопригодности для объекта, подвергнутого длительному хранению, должны указываться в техническом задании и в отдельных случаях могут быть снижены относительно уровня требований на новый объект, не находившийся на хранении.

Следует различать сохраняемость объекта до ввода в эксплуатацию и сохраняемость объекта в период эксплуатации (при перерывах в работе). Во втором случае срок сохраняемости входит составной частью в срок службы.

В зависимости от особенностей и назначения объектов срок сохраняемости до ввода объекта в эксплуатацию может включать в себя срок сохраняемости в упаковке и (или) законсервированном виде, срок монтажа и (или) срок хранения на другом упакованном и (или) законсервированном более сложном объекте.

К терминам "Исправное состояние", "Неисправное состояние", "Работоспособное состояние", "Неработоспособное состояние" (пп. 2.1; 2.2; 2.3; 2.4)

Данные понятия охватывают основные технические состояния объекта. Каждое из них характеризуется совокупностью значений параметров, описывающих состояние объекта, а также качественных признаков, для которых не применяют количественные оценки. Номенклатуру этих параметров и признаков, а также пределы допустимых их изменений устанавливают в нормативно-технической и (или) конструкторской (проектной) документации.

Работоспособный объект в отличие от исправного должен удовлетворять лишь тем требованиям нормативно-технической и (или) конструкторской (проектной) документации, выполнение которых обеспечивает нормальное применение объекта по назначению. Работоспособный объект может быть неисправным, например, если он не удовлетворяет эстетическим требованиям, причем ухудшение внешнего вида объекта не препятствует его применению по назначению.

Для сложных объектов возможны частично неработоспособные состояния, при которых объект способен выполнять требуемые функции с пониженными показателями или способен выполнять лишь часть требуемых функций.

Для некоторых объектов признаками неработоспособного состояния, кроме того, могут быть отклонения показателей качества изготавливаемой ими продукции. Например для некоторых технологических систем к неработоспособному состоянию может быть отнесено такое, при котором значение хотя бы одного-параметра качества изготавливаемой продукции не соответствует требованиям нормативно-технической и (или) конструкторской (проектной) и технологической документации

Переход объекта из одного состояния в другое обычно происходит вследствие повреждения или отказа. Переход объекта из исправного состояния в неисправное работоспособное состояние происходит из-за повреждений.

В международных документах ИСО, МЭК и ЕОКК [5, 6] введена более детальная классификация состояний. Так, в работоспособном состоянии различают "рабочее состояние" (operating state) и "нерабочее состояние" (non-operating state), при котором объект не применяется по назначению. "Нерабочее состояние" подразделяют в свою очередь, на состояние дежурства (standby state) и состояние планового простоя (idle, free state). Кроме того, различают "внутренне" неработоспособное состояние (internal disabled state), обусловленное отказом или незавершенностью планового технического обслуживания (ремонта), и "внешне" неработоспособное состояние (external disabled state), обусловленное организационными причинами. В отраслевой документации допускается использование более детальной классификации состояний, не противоречащей приведенной в настоящем стандарте.

К терминам "Предельное состояние" и "Критерий предельного состояния" (пп. 2.5, 2.6)

Переход объекта в предельное состояние влечет за собой временное или окончательное прекращение эксплуатации объекта. При достижении предельного состояния объект должен быть снят с эксплуатации, направлен в средний или капитальный ремонт, списан, уничтожен или передан для применения не по назначению. Если критерий предельного состояния установлен из соображений безопасности хранения и (или) транспортирования объекта, то при наступлении предельного состояния хранение и (или) транспортирование объекта должно быть прекращено. В других случаях при наступлении предельного состояния должно быть прекращено применение объекта по назначению.

Для неремонтируемых объектов имеет место предельное состояние двух видов. Первый вид совпадает с неработоспособным состоянием. Второй вид предельного состояния обусловлен тем обстоятельством, что начиная с некоторого момента времени дальнейшая эксплуатация еще работоспособного объекта оказывается недопустимой в связи с опасностью или вредностью эксплуатации. Переход неремонтируемого объекта в предельное состояние второго вида происходит до потери объектом работоспособности.

Для ремонтируемых объектов выделяют два или более видов предельных состояний. Например для двух видов предельных состояний требуется отправка объекта в средний или капитальный ремонт, т. е. временное прекращение применения объекта по назначению. Третий вид предельного состояния предполагает окончательное прекращение применения объекта по назначению. Критерии предельного состояния каждого вида устанавливаются нормативно-технической я (или) конструкторской (проектной) и (или) эксплуатационной документацией.

К терминам "Отказ", "Критерий отказа" (пп. 3.3, 3.4)

Если работоспособность объекта характеризуют совокупностью значений некоторых технических параметров, то признаком возникновения отказа является выход значений любого из этих параметров за пределы допусков. Кроме того, в критерии отказов могут входить также качественные признаки, указывающие на нарушение нормальной работы объекта.

Критерии отказов следует отличать от критериев повреждений. Под критериями повреждений понимают признаки или совокупность признаков неисправного, но работоспособного состояния объекта.

К термину "Критичность отказа" (п. 3.7)

Понятие критичности отказа введено для того, чтобы проводить классификацию отказов по их последствиям. Подобная классификация содержится в международных документах ИСО, МЭК и ЕОКК, а также в некоторых отраслевых отечественных документах, например в нормативно-технической документации на объекты сельскохозяйственного машиностроения. Критерием для классификации могут служить прямые и косвенные потери, вызванные отказами, затраты труда и времени на устранение последствий отказов, возможность и целесообразность ремонта силами потребителя или необходимость ремонта изготовителем или третьей стороной, продолжительность простоев из-за возникновения отказов, степень снижения производительности при отказе, приводящем к частично неработоспособному состоянию и т. п. Классификация отказов по последствиям устанавливается по согласованию между заказчиком и разработчиком (изготовителем). Для простых объектов эта классификация не используется.

При классификации отказов по последствиям могут быть введены две, три и большее число категорий отказов. В международных документах ИСО, МЭК, ЕОКК различают критические (critical) и некритические (non-critical). Последние подразделяют на существенные (major) и несущественные (minor) отказы. Границы между категориями отказов достаточно условны.

Отказ одного и того же объекта может трактоваться как критический, существенный или несущественный в зависимости от того, рассматривается объект как таковой или он является составной частью другого объекта. Несущественный отказ объекта, входящего в состав более ответственного объекта, может рассматриваться как существенный и даже критический в зависимости от последствий отказа сложного объекта. Для проведения классификации отказов по последствиям необходим анализ критериев, причин и последствий отказов и построение логической и функциональной связи между отказами.

Классификация отказов по последствиям необходима при нормировании надежности (в частности, для обоснованного выбора номенклатуры и численных значений нормируемых показателей надежности), а также при установлении гарантийных обязательств.

К терминам "Внезапный отказ" и "Постепенный отказ" (пп. З.П, 3.12)

Эти термины позволяют разделять отказы на две категории в зависимости от возможности прогнозировать момент наступления отказа. В отличие от внезапного отказа, наступлению постепенного отказа предшествует непрерывное и монотонное изменение одного или нескольких параметров, характеризующих способность объекта выполнять заданные функции. Ввиду этого удается предупредить наступление отказа или принять меры по устранению (локализации) его нежелательных последствий.

Четкой границы между внезапными и постепенными отказами, однако, провести не удается. Механические, физические и химические процессы, которые составляют причины отказов, как правило, протекают во времени достаточно медленно. Так, усталостная трещина в стенке трубопровода или сосуда давления, зародившаяся из трещинообразного дефекта, медленно растет в процессе эксплуатации; этот рост в принципе может быть прослежен средствами неразрушающего контроля. Однако собственно отказ (наступление течи) происходит внезапно. Если по каким-либо причинам своевременное обнаружение несквозной трещины оказалось невозможным, то отказ придется признать внезапным.

По мере совершенствования расчетных методов и средств контрольно измерительной техники, позволяющих своевременно обнаруживать источники возможных отказов и прогнозировать их развитие во времени, все большее число отказов будет относиться к категории постепенных.

В документе [6] дано следующее определение внезапного отказа: это отказ, наступление которого не может быть предсказано предварительным контролем или диагностированием

К термину "Сбой" (п. 3.13)

Отличительным признаком сбоя является то, что восстановление работоспособного состояния объекта может быть обеспечено без ремонта, например, путем воздействия оператора на органы управления, устранением обрыва нити, магнитной ленты и т. п., коррекцией положения заготовки.

Характерным примером сбоя служит остановка ЭВМ, устраняемая повторным пуском программы с места останова или ее перезапуском сначала.

К терминам "Конструктивный отказ", "Производственный отказ", "Эксплуатационный отказ" (пп. 3.17, 3.18, 3.19)

Классификация отказов по причинам возникновения введена с целью установления, на какой стадии создания или существования объекта следует провести мероприятия для устранения причин отказов.

Допускается выделить отказы комплектующих изделий, изготовляемых не на том предприятии, где производится объект в целом. Отказы комплектующих элементов Также могут быть конструктивными, производственными и эксплуатационными. Классификация не является исчерпывающей, поскольку возможно возникновение отказов, вызванных двумя или тремя причинами.

К термину "Деградационный отказ" (п. 3.20)

При анализе надежности различают ранние отказы, когда проявляется влияние дефектов, не обнаруженных в процессе изготовления, испытаний и (или) приемочного контроля, и поздние, деградационные отказы. Последние происходят на заключительной стадии эксплуатации объекта, когда вследствие естественных процессов старения, изнашивания и т. п. объект или его составные части приближаются к предельному состоянию по условиям физического износа. Вероятность возникновения деградационных отказов в пределах планируемого полного или межремонтного срока службы (ресурса) должна быть достаточно мала. Это обеспечивается расчетом на долговечность с учетом физической природы деградационных отказов, а также надлежащей системой технического обслуживания и ремонта.

В принципе можно практически исключить возникновение ранних отказов, если до передачи объекта в эксплуатацию провести приработку, обкатку, технологический прогон и т. п. При этом соответственно может варьироваться цена объекта.

К термину "Наработка" (п. 3.41)

Наработку объекта, работающего непрерывно, можно измерять в единицах календарного времени. Если объект работает с перерывами, то различают непрерывную и суммарную наработку. В этом случае наработку также можно измерять в единицах времени. Для многих объектов физическое изнашивание связано не только с календарной продолжительностью эксплуатации, но и с объемом работы объекта, и поэтому зависит от интенсивности применения объекта по назначению. Для таких объектов наработку обычно выражают через объем произведенной работы или число рабочих циклов.

Если трактовать понятие "время" в обобщенном смысле - как параметр, служащий для описания последовательности событий и смены состояний, то принципиальная разница между наработкой и временем отсутствует даже в том случае, когда наработка является целочисленной величиной (например календарное время тоже отсчитывают в днях, месяцах и т. п.). Поэтому наработка и родственные ей величины (ресурс, остаточный ресурс) отнесены в категории временных понятий

В международных документах [5, 6j введена детальная классификация временных понятий, относящихся к наработке: требуемая наработка (required time), продолжительность планового простоя (non-required time), продолжительность планового простоя работоспособного объекта (idle time) и т. д.

К терминам "Наработка до отказа", "Наработка между отказами", "Время восстановления", "Ресурс", "Срок службы", "Срок сохраняемости", "Остаточный ресурс" (п. 4.2-4.8)

Перечисленные понятия относятся к конкретно взятому индивидуальному объекту. Имеется важное различие между величинами, определяемыми этими понятиями, и большинством величин, характеризующих механические, физические и другие свойства индивидуального объекта. Например, геометрические размеры, масса, температура, скорость и т. д. могут быть измерены непосредственно (в принципе- в любой момент времени существования объекта). Наработка индивидуального объекта до первого отказа, его наработка между отказами, ресурс и т. п. могут быть определены лишь после того, как наступил отказ или было достигнуто предельное состояние. Пока эти события не наступили, можно говорить лишь о прогнозировании этих величин с большей или меньшей достоверностью.

Ситуация осложнена из-за того, что безотказная наработка, ресурс, срок службы и срок сохраняемости зависят от большого числа факторов, часть которых не может быть проконтролирована, а остальные заданы с той или иной степенью неопределенности. Безотказная работа конкретно взятого индивидуального объекта зависит от качества сырья, материалов, заготовок и полуфабрикатов, от достигнутого уровня технологии и степени стабильности технологического процесса, от уровня технологической дисциплины, от выполнения всех требований по хранению, транспортированию и применению объекта по назначению. Многие объекты включают в себя комплектующие изделия, детали и элементы, поставленные другими изготовителями. Перечисленные выше факторы, влияя на работоспособность составных частей объекта, определяют его работоспособность в целом.

Опыт эксплуатации объектов массового производства показывает, что как наработка до отказа, так и наработка между отказами обнаруживают значительный статистический разброс. Аналогичный разброс имеют также ресурс, срок службы и срок сохраняемости. Этот разброс может служить характеристикой технологической культуры и дисциплины, а также достигнутого уровня технологии. Разброс наработки до первого отказа, ресурса и срока службы можно уменьшить, а их значения можно увеличить путем надлежащей и экспериментальной отработки каждого индивидуального объекта до передачи в эксплуатацию. Этот подход осуществляют для особо ответственных объектов. Целесообразность такого подхода для массовых объектов должна каждый раз подтверждаться технико-экономическим анализом.

Наработка до отказа вводится как для неремонтируемых (невосстанавливаемых), так и для ремонтируемых (восстанавливаемых) объектов. Наработка между отказами определяется объемом работы объекта от k-го до (k+1)-го отказа, где k = 1,2 Эта наработка относится только к восстанавливаемым объектам.

Технический ресурс представляет запас возможной наработки объекта. Для неремонтируемых объектов он совпадает с продолжительностью пребывания в работоспособном состоянии в режиме применения по назначению, если переход в предельное состояние обусловлен только возникновением отказа.

Поскольку средний и капитальный ремонт позволяют частично или полностью восстанавливать ресурс, то отсчет наработки при исчислении ресурса возобновляют по окончании такого ремонта, различая в связи с этим доремонтный, межремонтный, послеремонтный и полный (до списания) ресурс.

Доремонтный ресурс исчисляют до первого среднего (капитального) ремонта. Число возможных видов межремонтного ресурса зависит от чередования капитальных и средних ремонтов. Послеремонтный ресурс отсчитывают от последнего среднего (капитального) ремонта.

Полный ресурс отсчитывают от начала эксплуатации объекта до его перехода в предельное состояние, соответствующее окончательному прекращению эксплуатации.

Аналогичным образом выделяют виды срока службы и срока сохраняемости. При этом срок службы и срок сохраняемости измеряют в единицах времени. Соотношение значений ресурса и срока службы зависит от интенсивности использования объекта. Полный срок службы, как правило, включает продолжительности всех видов ремонта.

К терминам "Назначенный срок службы", "Назначенный ресурс", "Назначенный срок хранения" (пп. 4.10; 4.9; 4.11)

Цель установления назначенного срока службы и назначенного ресурса - обеспечить принудительное заблаговременное прекращение применения объекта, по назначению, исходя из требований безопасности или технико-экономических соображений. Для объектов, подлежащих длительному хранению, может быть установлен назначенный срок хранения, по истечении которого дальнейшее хранение недопустимо, например, из требований безопасности.

При достижении объектом назначенного ресурса (назначенного срока службы, назначенного срока хранения), в зависимости от назначения объекта, особенности эксплуатации, технического состояния и других факторов объект может быть списан, направлен в средний или капитальный ремонт, передан для применения не по назначению, переконсервирован (при хранении) или может быть принято решение о продолжении эксплуатации.

Назначенный срок службы и назначенный ресурс являются технико-эксплуатационными характеристиками и не относятся к показателям надежности (показателям долговечности). Однако при установлении назначенного срока службы и назначенного ресурса принимают во внимание прогнозируемые (или достигнутые) значения показателей надежности. Если установлено требование безопасности, то назначенный срок службы (ресурс) должен соответствовать значениям вероятности безотказной работы по отношению к критическим отказам, близким к единице. Из соображений безопасности может быть также введен коэффициент запаса по времени.

К терминам "Техническое обслуживание", "Восстановление", "Ремонт" (пп. 5.1; 6.2; 6.3)

Техническое обслуживание включает регламентированные в конструкторской (проектной) и (или) эксплуатационной документации операции по поддержанию работоспособного и исправного состояния. В техническое обслуживание входят контроль технического состояния, очистка, смазывание и т. п. [9].

Восстановление включает в себя идентификацию отказа (определение его места и характера), наладку или замену отказавшего элемента, регулирование: и контроль технического состояния элементов объекта и заключительную операцию контроля работоспособности объекта в целом.

Перевод объекта из предельного состояния в работоспособное состояние осуществляется при помощи ремонта, при котором происходит восстановление ресурса объекта в целом. В ремонт могут входить разборка, дефектовка, замена или восстановление отдельных блоков, деталей и сборочных единиц, сборка и т. д. Содержание отдельных операций ремонта может совпадать с содержанием операций технического обслуживания [9].

К терминам "Обслуживаемый объект", "Необслуживаемый объект", "Ремонтируемый объект", "Неремонтируемый объект", "Восстанавливаемый объект", "Невосстанавливаемый объект" (пп. 5.4; 6.5; 6.8; 5.9)

При разработке объекта предусматривают выполнение (или невыполнение) технического обслуживания объектов на протяжении срока их службы, т. е.

объекты делят на технически обслуживаемые и технически необслуживаемые. При этом некоторые неремонтируемые объекты являются технически обслуживаемыми.

Деление объектов на ремонтируемые и неремонтируемые связано с возможностью восстановления работоспособного состояния путем ремонта, что предусматривается и обеспечивается при разработке и изготовлении объекта. Объект может быть ремонтируемым, но не восстанавливаемым в конкретной ситуации.

К термину "Показатель надежности" (п. 6.1)

К показателям надежности относят количественные характеристики надежности, которые вводят согласно правилам статистической теории надежности {2, 3, 7, 12]. Область применения этой теории ограничена крупносерийными объектами, которые изготавливают и эксплуатируют в статистически однородных условиях и к совокупности которых применимо статистическое истолкование вероятности. Примером служат массовые изделия машиностроения, электротехнической и радиоэлектронной промышленности.

Применение статистической теории надежности к уникальным и малосерийным объектам ограничено. Эта теория применима для единичных восстанавливаемых (ремонтируемых) объектов, в которых в соответствии с нормативно-технической документацией допускаются многократные отказы, для описания последовательности которых применима модель потока случайных событий. Теорию применяют также к уникальным и малосерийным объектам, которые в свою очередь состоят из объектов массового производства. В этом случае расчет показателей надежности объекта в целом проводят методами статистической теории надежности по известным показателям надежности компонентов и элементов.

Методы статистической теории надежности позволяют установить требования к надежности компонентов и элементов на основании требований к надежности объекта в целом.

Статистическая теория надежности является составной частью более общего подхода к расчетной оценке надежности технических объектов, при котором отказы рассматривают как результат взаимодействия объекта как физической системы с другими объектами и окружающей средой [8]. Так при проектировании строительных сооружений и конструкций учитывают в явной или неявной форме статистический разброс механических свойств материалов, элементов и соединений, а также изменчивость (во времени и в пространстве) параметров, характеризующих внешние нагрузки и воздействия. Большинство показателей надежности полностью сохраняют смысл и при более общем подходе к расчетной оценке надежности. В простейшей модели расчета на прочность по схеме "параметр нагрузки - параметр прочности" вероятность безотказной работы совпадает с вероятностью того, что в пределах заданного отрезка времени значение параметра нагрузки ни разу не превысит значение, которое принимает параметр прочности. При этом оба параметра могут быть случайными функциями времени.

На стадии проектирования и конструирования показатели надежности трактуют как характеристики вероятностных или полувероятностных математических моделей создаваемых объектов. На стадиях экспериментальной отработки, испытаний и эксплуатации роль показателей надежности выполняют статистические оценки соответствующих вероятностных характеристик.

В целях единообразия все показатели надежности, перечисленные в настоящем стандарте, определены как вероятностные характеристики. Это подчеркивает также возможность прогнозирования значения этих показателей на стадии проектирования [3, 8, 9].

Показатели надежности вводят по отношению к определенным режимам и условиям эксплуатации, установленным в нормативно-технической и (или) конструкторской (проектной) документации

К терминам с Единичный показатель надежности" и "Комплексный показатель надежности" (пп. 6.2; 6.3)

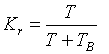
В отличие от единичного показателя надежности комплексный показатель надежности количественно характеризует не менее двух свойств, составляющих надежность, например безотказность и ремонтопригодность. Примером комплексного показателя надежности служит коэффициент готовности (п. 6.26) K_r стационарное значение которого (если оно существует) определяют по формуле

где T - средняя наработка на отказ (п. 6.11)

T_B - среднее время восстановления (п. 6.21).

К терминам "Расчетный показатель надежности", "Экспериментальный показатель надежности", "Эксплуатационный показатель надежности", "Экстраполированный показатель надежности" (пп. 6.4; 6.5; 6.6; 6.7)

Такую классификацию показателей надежности вводят в зависимости от способов их получения. Аналогичная классификация содержится в международных документах ИСО, МЭК. и ЕОКК [4-6]. Наличие этих понятий должно предупредить путаницу, которая имеет место на практике при обсуждении численных данных, полученных разными способами и на разных стадиях жизненного цикла объекта.

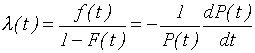
К термину "Вероятность безотказной работы" (п. 6.8)

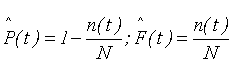
Вероятность безотказной работы определяется в предположении, что в начальный момент времени (момент начала исчисления наработки) объект находился в работоспособном состоянии Обозначим через t время или суммарную наработку объекта (в дальнейшем для краткости называем t просто наработкой). Возникновение первого отказа - случайное событие, а наработка от начального момента до возникновения этого события - случайная величина. Вероятность безотказной работы P(t) объекта в интервале от 0 до t включительно определяют как

(1)

Здесь P{.} - Вероятность безотказной работы Р (t) является функцией наработки Обычно эту функцию предполагают непрерывной и дифференцируемой.

Если способность объекта выполнять заданные функции характеризуется одним параметром , то вместо (1) имеем формулу

(2)

где и предельные по условиям работоспособности значения параметров (эти значения, вообще, могут изменяться во времени). Аналогично вводят вероятность безотказной работы в более общем случае, когда состояние объекта характеризуется набором параметров с допустимой по условиям работоспособности областью значений этих параметров [8]

Вероятность безотказной работы P(t) связана с функцией распределения F(t) и плотностью распределения f(t) наработки до отказа:

(3)

Наряду с понятием "вероятность безотказной работы" часто используют понятие "вероятность отказа", которое определяется следующим образом: это вероятность того, что объект откажет хотя бы один раз в течение заданной наработки, будучи работоспособным в начальный момент времени. Вероятность отказа на отрезке от 0 до t определяют по формуле

(4)

Точечные статистические оценки для вероятности безотказной работы даются формулами:

(5)

где N - число объектов, работоспособных в начальный момент времени;

п (t) - число объектов, отказавших на отрезке от 0 до t.

Для получения достоверных оценок объем выборки N должен быть достаточно велик [2, 3, 7].

Определение безотказной работы в соответствии с формулами (1) и (2) относится к объектам, которые должны функционировать а течение некоторого конечного отрезка времени. Для объектов одноразового (дискретного) применения вероятность безотказной работы определяют как вероятность того, что при срабатывании объекта отказ не возникает. Аналогично вводят вероятность безотказного включения (например в рабочий режим из режима ожидания).

К терминам "Гамма-процентная наработка до отказа" "Гамма-процентный ресурс", "Гамма-процентный срок службы", "Гамма-процентное время восстановления", "Гамма-процентный срок сохраняемости" (пп. 6.9; 6.15; 6.20; 6.24)

Перечисленные показатели определяют как корни уравнения

(6)

где F(t) - функция распределения наработки до отказа (ресурса, срока службы).

В частности, гамма-процентную наработку до отказа определяют из уравнения

где P(t)-вероятность безотказной работы

Как видно из формулы (6), гамма-процентные показатели равны квантилям соответствующих распределений. Если вероятности, отвечающие этим квантилям, выражают в процентах, то для показателей безотказности обычно задают значения 90; 95; 99; 99,5% и т. д. Тогда вероятность возникновения отказа на отрезке [0; t] будет составлять 0,10; 0,05; 0,01; 0,005 и т. д. Задаваемые значения v Для критических отказов должны быть весьма близки к 100%, чтобы сделать критические отказы практически невозможными событиями. Для прогнозирования потребности в запасных частях, ремонтных мощностях, а также для расчета пополнения и обновления парков машин, приборов и установок могут потребоваться гамма-процентные показатели при более низких значениях например при = 50% что приближенно соответствует средним значениям.

Статистические оценки для гамма-процентных показателей могут быть получены на основе статистических оценок либо непосредственно, либо после аппроксимации эмпирических функций подходящими аналитическими распределениями. Необходимо иметь в виду, что экстраполирование эмпирических результатов за пределы продолжительности испытаний (наблюдений) без привлечения дополнительной информации о физической природе отказов может привести к значительным ошибкам

К терминам "Средняя наработка до отказа", "Средний ресурс", "Средний срок службы", "Среднее время восстановления", "Средний срок сохраняемости" (пп. 6.10; 6.16; 6.18; 6.21; 6.25)

Перечисленные показатели равны математическим ожиданиям соответствующих случайных величин, наработки до отказа, ресурса, срока службы, времени восстановления, срока сохраняемости.

Среднюю наработку до отказа Т_1 вычисляют по формуле

где F(t) - функция распределения наработки до отказа, f(t) - плотность распределения наработки до отказа. С учетом (3) Е_1 выражается через вероятность безотказной работы:

Статистическая оценка для средней наработки до отказа дается формулой

(7)

Здесь N - число работоспособных объектов при t=0,

- наработка до первого отказа каждого из объектов.

Формула (7) соответствует плану испытаний, при котором все объекты испытываются до отказа [2, 3, 7].

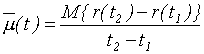
К термину "Средняя наработка на отказ" (п. 6.11)

Этот показатель введен применительно к восстанавливаемым объектам, пои эксплуатации которых допускаются многократно повторяющиеся отказы. Очевидно, что это должны быть несущественные отказы, не приводящие к серьезным последствиям и не требующие значительных затрат на восстановление работоспособного состояния. Эксплуатация таких объектов может быть описана -следующим образом: в начальный момент времени объект начинает работать я продолжает работать до первого отказа; после отказа происходит восстановление работоспособности, и объект вновь работает до отказа и т. д. На оси времени моменты отказов образуют поток отказов, а моменты восстановлений - поток восстановлений. На оси суммарной наработки (когда время восстановления не учитывается) моменты отказов образуют поток отказов. Полное и строгое математическое описание эксплуатации объектов по этой схеме построено на основе теории восстановления [2, 7].

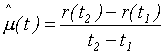
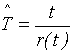
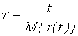
Определению средней наработки на отказ Т, которое приведено в данном стандарте, соответствует следующая формула

(8)

Здесь t - суммарная наработка, г (t) - число отказов, наступивших в течение этой наработки, М{г(t)}-математическое ожидание этого числа. В общем случае средняя наработка на отказ оказывается функцией t. Для стационарных потоков отказов средняя наработка на отказ от t не зависит.

Статистическую оценку средней наработки на отказ вычисляют по формуле, которая аналогична формуле (8)

(9)

В отличие от формулы (8) здесь r(t) - число отказов, фактически происшедших за суммарную наработку t

Формула (9) допускает обобщение на случай, когда объединяются данные, относящиеся к группе однотипных объектов, которые эксплуатируются в статистически однородных условиях. Если поток отказов - стационарный, то в формуле (9) достаточно заменить t на сумму наработок всех наблюдаемых объектов и заменить r(t) на суммарное число отказов этих объектов [3].

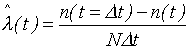
К терминам "Интенсивность отказов" и "Интенсивность восстановления" (пп. 6.12; 6.22)

Интенсивность отказов определяют по формуле

(10)

Для высоконадежных систем так что интенсивность отказов приближенно равна плотности распределения наработки до отказа

Статистическая оценка для интенсивности отказов имеет вид

(11)

где использованы те же обозначения, что и в формуле (5). Аналогично вводится интенсивность восстановления.

К терминам "Параметр потока отказов" и "Осредненный параметр потока отказов " (пп. 6.13; 6.14)

Параметр потока отказов определяют по формуле

(12)

где - малый отрезок наработки

r(t) - число отказов, наступивших от начального момента времени до достижения наработки t

Разность представляет собой число отказов на отрезке .

Наряду с параметром потока отказов в расчетах и обработке экспериментальных данных часто используют осредненный параметр потока отказов

(13)

По сравнению с формулой (12) здесь рассматривается число отказов за конечный отрезок [tu t2], причем . Если поток отказов стационарный, то параметры, определяемые по формулам (12) и (13) от t не зависят.

Статистическую оценку для параметра потока отказов определяют по формуле

(14)

которая по структуре аналогична формуле (13). Для стационарных потоков можно применять формулу

где - оценка (8) для средней наработки на отказ.

В международных документах ИСО, МЭК и ЕОКК термину "параметр потока отказов" соответствует термин failure intensity, в то время как термину "интенсивность отказов" (п. 6.12) соответствует термин failure rate. Это необходимо учитывать при использовании англоязычных источников, а также переводной литературы.

К терминам "Вероятность восстановления", "Гамма-процентное время восстановления", "Среднее время восстановления", "Интенсивность восстановления", "Средняя трудоемкость восстановления" (пп. 6.19; 6.20; 6.21; 6.22; 6.23)

Для комплексной оценки ремонтопригодности допускается дополнительно использовать показатели типа удельной трудоемкости ремонта и удельной трудоемкости технического обслуживания

К терминам "Коэффициент готовности", "Коэффициент оперативной готовности", "Коэффициент технического использования", "Коэффициент сохранения эффективности" (пп. 6.26; 6.27; 6.28; 6.29)

Коэффициент готовности характеризует готовность объекта к применению по назначению только в отношении его работоспособности в произвольный момент времени. Коэффициент оперативной готовности характеризует надежность объекта, необходимость применения которого возникает в произвольный момент времени, после которого требуется безотказная работа в течение заданного интервала времени. Различают стационарный и нестационарный коэффициенты готовности, а также средний коэффициент готовности [3, 5, 6].

Коэффициент технического использования характеризует долю времени нахождения объекта в работоспособном состоянии относительно общей продолжительности эксплуатации. Коэффициент сохранения эффективности характеризует степень влияния отказов на эффективность его применения по назначению. Для каждого конкретного типа объектов содержание понятия эффективности и точный смысл показателя (показателей) эффективности задаются техническим заданием и вводятся в нормативно-техническую и (или) конструкторскую (проектную) документацию

К термину "Резервирование" (п. 7.1)

Резервирование - одно из основных средств обеспечения заданного уровня надежности объекта при недостаточно надежных компонентах и элементах. Цель резервирования - обеспечить безотказность объекта в целом, т. е. сохранить его работоспособность, когда возник отказ одного или нескольких элементов [11]. Наряду с резервированием путем введения дополнительных (резервных) элементов находят широкое применение другие виды резервирования. Среди них временное резервирование (с использованием резервов времени), информационное резервирование (с использованием резервов информации), функциональное резервирование, при котором используется способность элементов выполнять дополнительные функции или способность объекта перераспределять функции между элементами, нагрузочное резервирование, при котором используется способность элементов воспринимать дополнительные нагрузки сверх номинальных, а также способность объекта перераспределять нагрузки между элементами.

К терминам "Нормирование надежности", "Нормируемый показатель надежности" (пп. 8.1; 8.2)

При выборе номенклатуры нормируемых показателей надежности необходимо учитывать назначение объекта, степень его ответственности, условия эксплуатации, характер отказов (внезапные, постепенные и т. п.), возможные последствия отказов, возможные типы предельных состояний. При этом целесообразно, чтобы общее число нормируемых показателей надежности было минимально; нормируемые показатели имели простой физический смысл, допускали возможность расчетной оценки на этапе проектирования, статистической оценки и подтверждения по результатам испытании и (или) эксплуатации [10,11].

При обосновании численных значений нормируемых показателей надежности необходимо руководствоваться принципом оптимального распределения затрат на повышение надежности, техническое обслуживание н ремонт.

Значения нормируемых показателей надежности учитываются, в частности, при назначении гарантийного срока эксплуатации (гарантийной наработки, гарантийного срока хранения), которые являются технико-экономическими (отчасти коммерческими) характеристиками объекта и не относятся к показателям надежности. Гарантийные сроки, показатели надежности и цена объекта должны быть взаимоувязаны.

Длительность гарантийного срока эксплуатации (гарантийной наработки, гарантийного срока хранения) должна быть достаточной для выявления и устранения скрытых дефектов и определяется соглашением между потребителем (заказчиком) и поставщиком (изготовителем).

К термину "Программа обеспечения надежности" (п. 9.1)

Программа обеспечения надежности - важнейший документ, служащий организационно-технической основой для создания объектов, удовлетворяющих заданным требованиям по надежности. Программа должна охватывать все или отдельные стадии жизненного цикла объекта.

Программа обеспечения надежности включает, в частности, программу экспериментальной отработки, которая определяет цели, задачи, порядок проведения и необходимый объем испытаний или экспериментальной отработки, а также регламентирует порядок подтверждения показателей надежности на стадии разработки. Программа обеспечения ремонтопригодности устанавливает комплекс взаимосвязанных организационно-технических требований и мероприятий, направленных на обеспечение заданных требований по ремонтопригодности и (или) повышения ремонтопригодности. Она разрабатывается одновременно с программой обеспечения надежности и является либо ее составной частью, либо самостоятельной программой

К термину "Испытания на надежность" (п. 10.1)

Испытания на надежность относятся к числу важнейших составных частей работы по обеспечению и повышению надежности технических объектов. Эти испытания в зависимости от контролируемых (оцениваемых) свойств, составляющих надежность, могут состоять из испытаний на безотказность, долговечность, ремонтопригодность и сохраняемость. В частности, ресурсные испытания относятся к испытаниям на долговечность.

Планирование испытаний и обработка их результатов проводятся с применением методов математической статистики [2, 3, 7, 10]. Оценивание значений показателей надежности при определительно испытаниях должно проводиться с заданной точностью (т. е. при заданной относительной погрешности) и с заданной достоверностью (т. е. при заданном уровне доверительной вероятности). Аналогичные требования предъявляются к контрольным испытаниям. Ускорение (форсирование) испытаний не должно приводить к снижению точности и достоверности оценок.

ПЕРЕЧЕНЬ ИСПОЛЬЗОВАННЫХ ИСТОЧНИКОВ

1. Надежность и эффективность в технике. Справочник в 10 т. (Ред. совет: В. С. Авдуевский (пред.) и др. Т. 1 Методология. Организация. Терминология) Под ред. А. И Рембезы. - М.: Машиностроение. 1989. - 224 с.

2. Надежность и эффективность в технике. Справочник в 10 т. /Ред. совет: В. С. Авдуевский (пред.) и др. Т. 2 Математические методы в теории надежности и эффективности / Под ред. Б. В. Гнеденко. - М.: Машиностроение, 1987. - 280 с.

3. Надежность технических систем. Справочник / Ю. К. Беляев, В. А. Богатырев, В. В. Болотин и др. / Под ред. И. А. Ушакова - М.: Радио и связь, 1985. - 608 с.

4. Data Processlng Vocabulary. Section 14. Reliability, Maintenance and Availability. - Geneva: ISO 2382, 1976. - 16 p.

5. International Eleсtrotechnikal Vocabulary. Section 14 Reliability, Maintainability and Quality of Service (draft). - Geneva: International Electrotechnikal Commission, 1987. - 75 p.

6. EOQC Glossary. - Bern: EOQC. 1988. - 24 p.

7. Гнеденко Б. В., Беляев Ю.К., Соловьев А. Д., Математические методы в теории надежности. - М.; Наука, 1965. - 524 с.

8. Болотин В. В. Прогнозирование ресурса машин и конструкций. - М.: Машиностроение, 1984. - 312 с.

9. Хазов Б. Ф., Дидусев Б. А. справочник по расчету надежности машин на стадии проектирования. - М.; Машиностроение, 1986. - 224 с.

10. Дзиркал Э. В. Задание и проверка требований к надежности сложных изделий. - М.; Радио и связь, 1981. - 176 с.

11. Резиновский А. Я. Испытания и надежность радиоэлектронных комплексов. - М.; Радио и связь, 1985. - 168 с.

12. F. S. Goodeli, Rellability and Maintainability by Design: A Blue-Print for Success. Journal of Aircraft, v. 24, N 8, 1987, p. 481-483.