Система стандартов безопасности труда. Шум. общие требования безопасности. ГОСТ 12.1.003-83 (ст СЭВ 1930-79)

(утв. Постановлением Госстандарта СССР от 06.06.83 N 2473)
Редакция от 19.12.1988 — Документ не действует

ГОСУДАРСТВЕННЫЙ СТАНДАРТ СОЮЗА ССР

СИСТЕМА СТАНДАРТОВ БЕЗОПАСНОСТИ ТРУДА

ШУМ. ОБЩИЕ ТРЕБОВАНИЯ БЕЗОПАСНОСТИ

Occupational safety standards system. Noise. General safety requirements

ГОСТ 12.1.003-83
(СТ СЭВ 1930-79)

(в ред. Изменения N 1)

Взамен ГОСТ 12.1.003-76

Постановлением Государственного комитета СССР по стандартам от 6 июня 1983 г. N 2473 срок действия установлен с 01.07 84 до 01.07 89

РАЗРАБОТАН

Всесоюзным Центральным Советом Профессиональных Союзов

Государственным комитетом СССР по делам строительства

Министерством путей сообщения

Академией медицинских наук СССР

Министерством черной металлургии СССР

Министерством сельского хозяйства СССР

Министерством здравоохранения УССР

Министерством здравоохранения РСФСР

Государственным комитетом СССР по стандартам Академией наук СССР

ИСПОЛНИТЕЛИ

Б. А. Дворянчиков; Ю. М. Васильев, канд. техн. наук; Л. Ф. Лагунов,канд. техн. наук: Л. Н. Пятачкова,канд. техн. наук; В. И. Копылов; Г. Л. Осипов, д-р техн. наук; М. А. Пороженко; Е. Я. Юдин, д-р техн. наук; К. Ф. Калмахелидзе, канд. техн. наук; Ю. П. Чепульский, канд. техн. наук; Г. А. Суворов, д-р мед. наук; Л. Н. Шкаринов, д-р мед. наук; Э. И. Денисов, канд. техн. наук; Л. Н. Клячко, канд. техн. наук; Д. Б. Чехомова, канд. техн. наук; А. И. Пономарев, канд. техн. наук; В. Е. Скибинский; В. З. Клейменов, канд. техн. наук; В. В. Мясников; Г. П. Саверский; Т. А. Кочинашвили, канд. техн. наук; А. М. Николайшвили; Н. И. Бородин,канд. техн. наук; В. Ф. Дробышевская; Г. И. Варнашов; А. А. Меньшов, д-р мед. наук; В. Н. Сога; Ю. П. Пальцев, канд. мед. наук; А. В. Колесникова, канд. мед, наук; Ш. Л. Злотник, канд. техн. наук; Л. А. Потанина; Н. П. Беневоленская, д-р мед. наук; В. А. Щербаков; Ю. Н. Каменский, канд. мед. наук; А. И. Цысарь, канд. мед. наук.

ВНЕСЕН Всесоюзным Центральным Советом Профессиональных Союзов

Зам. зав. Отделом охраны труда А. П. Купчин

УТВЕРЖДЕН И ВВЕДЕН В ДЕЙСТВИЕ Постановлением Государственного комитета СССР по стандартам от 6 июня 1983 г. N 2473

ПЕРЕИЗДАНИЕ (сентябрь 1991 г.) с Изменением N 1, утвержденным в декабре 1988 г. (ИУС 3-89)

Стандарт устанавливает классификацию шума, характеристики и допустимые уровни шума на рабочих местах, общие требования к защите от шума на рабочих местах, шумовым характеристикам машин, механизмов, средств транспорта и другого оборудования (далее - машин) и измерениям шума.

Абзац утратил силу. (в ред. Изменения N 1)

Настоящий стандарт соответствует СТ СЭВ 1930-79 в части допустимых значений уровней звукового давления и уровней звука на рабочих местах производственных предприятий и их измерений (см. справочное приложение 1).

1. КЛАССИФИКАЦИЯ

1.1. По характеру спектра шум следует подразделять на:

широкополосный с непрерывным спектром шириной более одной октавы;

тональный, в спектре которого имеются выраженные дискретные тона. Тональный характер шума для практических целей (при контроле его параметров на рабочих местах) устанавливают измерением в третьоктавных полосах частот по превышению уровня звукового давления в одной полосе над соседними не менее чем на 10 дБ.

1.2. По временным характеристикам шум следует подразделять на:

постоянный, уровень звука которого за 8-часовой рабочий день (рабочую смену) изменяется во времени не более чем на 5 дБ А при измерениях на временной характеристике "медленно" шумомера по ГОСТ 17187-81;

непостоянный, уровень звука которого за 8-часовой рабочий день (рабочую смену) изменяется во времени более чем на 5 дБ А при измерениях на временной характеристике "медленно" шумомера по ГОСТ 17187-81.

1.3. Непостоянный шум следует подразделять на:

колеблющийся во времени, уровень звука которого непрерывно изменяется во времени;

прерывистый, уровень звука которого ступенчато изменяется (на 5 дБ А и более), причем длительность интервалов, в течение которых уровень остается постоянным, составляет 1 с и более;

импульсный, состоящий из одного или нескольких звуковых сигналов, каждый длительностью менее 1 с, при этом уровни звука, измеренные в дБ AI и дБ А соответственно на временных характеристиках "импульс" и "медленно" шумомера по ГОСТ 17187-81, отличаются не менее чем на 7 дБ.

2. ХАРАКТЕРИСТИКИ И ДОПУСТИМЫЕ УРОВНИ ШУМА НА РАБОЧИХ МЕСТАХ

2.1. Характеристикой постоянного шума на рабочих местах являются уровни звукового давления L в дБ в октавных полосах со среднегеометрическими частотами 31,5, 63, 125, 250, 500, 1000, 2000, 4000, 8000 Гц, определяемые по формуле (в ред. Изменения N 1)

где p - среднее квадратическое значение звукового давления, Па;

p_о - исходное значение звукового давления.

В воздухе р_о = 2x10(-3) Па.

Примечание. Для ориентировочной оценки (например, при проверке органами надзора, выявлении необходимости осуществления мер по шумоглушению и др.) допускается в качестве характеристики постоянного широкополосного шума на рабочих местах принимать уровень звука в дБ А, измеряемый на временной характеристике "медленно" шумомера по ГОСТ 17187-81 и определяемый по формуле

где р_А - среднее квадратическое значение звукового давления с учетом коррекции "А" шумомера, Па.

2.2. Характеристикой непостоянного шума на рабочих местах является интегральный критерий - эквивалентный (по энергии) уровень звука в дБ А, определяемый в соответствии со справочным приложением 2.

Дополнительно для колеблющегося во времени и прерывистого шума ограничивают максимальные уровни звука в дБ·А, измеренные на временной характеристике "медленно", а для импульсного шума - максимальный уровень звука в дБ АI,измеренный на временной характеристике "импульс".

Допускается в качестве характеристики непостоянного шума использовать дозу шума или относительную дозу шума в соответствии со справочным приложением 2.

2.3. Допустимые уровни звукового давления в октавных полосах частот, уровни звука и эквивалентные уровни звука на рабочих местах следует принимать:

для широкополосного постоянного и непостоянного (кроме импульсного) шума - по таблице;

Вид трудовой деятельности, рабочие места Уровни звукового давления, дБ, в октавных полосах со среднегеометрическими частотами в Гц Уровни звука и эквивалентные уровни звука,
31,5 63 125 250 500 1000 2000 4000 8000
Предприятия, учреждения и организации
1. Творческая деятельность, руководящая работа с повышенными требованиями, научная деятельность, конструирование и проектирование, программирование, преподавание и обучение, врачебная деятельность: рабочие места в помещениях-дирекции, проектно-конструкторских бюро; расчетчиков, программистов вычислительных машин, в лабораториях для теоретических работ и обработки данных, приема больных в здравпунктах 86 71 61 54 49 45 42 40 38 50
2. Высококвалифицированная работа, требующая сосредоточенности, административно-управленческая деятельность, измерительные и аналитические работы в лаборатории:
рабочие места в помещениях цехового управленческого аппарата, в рабочих комнатах конторских помещений, лабораториях 93 79 70 63 58 55 52 50 49 60
3. Работа, выполняемая с часто получаемыми указаниями и акустическими сигналами, работа, требующая постоянного слухового контроля, операторская работа по точному графику с инструкцией, диспетчерская работа:
рабочие места в помещениях диспетчерской службы, кабинетах и помещениях наблюдения и дистанционного управления с речевой связью по телефону, машинописных бюро, на участках точной сборки, на телефонных и телеграфных станциях, в помещениях мастеров, в залах обработки информации на вычислительных машинах 96 83 74 68 63 60 57 55 54 65
4. Работа, требующая сосредоточенности, работа с повышенными требованиями к процессам наблюдения и дистанционного управления производственными циклами:
рабочие места за пультами в кабинах наблюдения и дистанционного управления без речевой связи по телефону; в помещениях лабораторий с шумным оборудованием, в помещениях для размещения шумных агрегатов вычислительных машин 103 91 83 77 73 70 68 66 64 75
5. Выполнение всех видов работ (за исключением перечисленных в пп. 1-4 и аналогичных им) на постоянных рабочих местах в производственных помещениях и на территории предприятий 107 95 87 82 78 75 73 71 69 80
Подвижной состав железнодорожного транспорта
6. Рабочие места в кабинах машинистов тепловозов, электровозов, поездов метрополитена, дизель-поездов и автомотрис 99 95 87 82 78 75 73 71 69 85
7. Рабочие места в кабинах машинистов скоростных и пригородных электропоездов 99 91 83 77 73 70 68 66 64 75
8. Помещения для персонала вагонов поездов дальнего следования, служебных отделений рефрижераторных секций, вагонов электростанций, помещений для отдыха в багажных и почтовых отделениях 93 79 70 63 58 55 52 50 49 60
9. Служебные помещения багажных и почтовых вагонов, вагонов-ресторанов 96 87 79 72 68 65 63 61 59 70
Морские, речные, рыбопромысловые и др. суда
10. Рабочая зона в помещениях энергетического отделения морских судов с постоянной вахтой (помещения, в которых установлена главная энергетическая установка, котлы, двигатели и механизмы, вырабатывающие энергию и обеспечивающие работу различных систем и устройств) 107 95 87 82 78 75 73 71 69 80
11. Рабочие зоны в центральных постах управления (ЦПУ) морских судов (звукоизолированные), помещениях, выделенных из энергетического отделения, в которых установлены контрольные приборы, средства индикации, органы управления главной энергетической установкой и вспомогательными механизмами 96 83 74 68 63 60 57 55 54 65
12. Рабочие зоны в служебных помещениях морских судов (рулевые, штурманские, багермейстерские рубки, радиорубки и др.) 89 75 66 59 54 50 47 45 44 55
13. Производственно-технологические помещения на судах рыбной промышленности (помещения для переработки объектов промысла рыбы, морепродуктов и пр.) 107 95 87 82 78 75 73 71 69 80
Тракторы, самоходные шасси, самоходные, прицепные и навесные сельскохозяйственные машины, строительно-дорожные, землеройнотранспортные, мелиоративные и другие аналогичные виды машин
14. Рабочие места водителей и обслуживающего персонала автомобилей 100 87 79 72 68 65 63 61 59 70
15. Рабочие места водителей и обслуживающего персонала (пассажиров) легковых автомобилей 93 79 70 63 58 55 52 50 49 60
16. Рабочие места водителей и обслуживающего персонала тракторов самоходных шасси, прицепных и навесных сельскохозяйственных машин, строительно-дорожных и других аналогичных машин 107 95 87 82 78 75 73 71 69 80
17. Рабочие места в кабинах и салонах самолетов и вертолетов 107 95 87 82 78 75 73 71 69 80

Примечания:

1. Допускается в отраслевой документации устанавливать более жесткие нормы для отдельных видов трудовой деятельности с учетом напряженности труда в соответствии со справочным приложением 3.

2. Запрещается даже кратковременное пребывание в зонах с октавными уровнями звукового давления свыше 135 дБ в любой октавной полосе. (в ред. Изменения N 1)

2.4. Дополнительно к требованиям п. 2.3 максимальный уровень звука непостоянного шума на рабочих местах по пп. 6 и 13 таблицы не должен превышать 110 дБ А при измерениях на временной характеристике "медленно", а максимальный уровень звука импульсного шума на рабочих местах по п. 6 таблицы не должен превышать 125 дБ АI при измерениях на временной характеристике "импульс".

3. ЗАЩИТА ОТ ШУМА

3.1. При разработке технологических процессов, проектировании, изготовлении и эксплуатации машин, производственных зданий и сооружений, а также при организации рабочего места следует принимать все необходимые меры по снижению шума, воздействующего на человека на рабочих местах, до значений, не превышающих допустимые, указанные в разд. 2:

разработкой шумобезопасной техники;

применением средств и методов коллективной защиты по ГОСТ 12.1.029-80;

применением средств индивидуальной защиты по ГОСТ 12.4.051-87. (в ред. Изменения N 1)

Примечание. Строительно-акустические мероприятия, предусматриваемые при проектировании предприятий, зданий и сооружений различного назначения, - по нормативно-техническим документам, утвержденным или согласованным с Госстроем СССР.

3.2. Зоны с уровнем звука или эквивалентным уровнем звука выше 80 дБА должны быть обозначены знаками безопасности по ГОСТ 12.4.026-76. Работающих в этих зонах администрация обязана снабжать средствами индивидуальной защиты по ГОСТ 12.4.051-87. (в ред. Изменения N 1)

3.3. На предприятиях, в организациях и учреждениях должен быть обеспечен контроль уровней шума на рабочих местах не реже одного раза в год.

4. ТРЕБОВАНИЯ К ШУМОВЫМ ХАРАКТЕРИСТИКАМ МАШИН

4.1. В стандартах и (или) технических условиях на машины должны быть установлены предельные значения шумовых характеристик этих машин.

4.2. Шумовую характеристику следует выбирать из числа предусмотренных ГОСТ 23941-79.

4.3. Значения предельно допустимых шумовых характеристик машин следует устанавливать исходя из требований обеспечения на рабочих местах допустимых уровней шума в соответствии с основным назначением машины и требованиями разд. 2 настоящего стандарта. Методы установления предельно допустимых шумовых характеристик стационарных машин - по ГОСТ 12.1.023-80.

4.4. Если значения шумовых характеристик машин, соответствующих лучшим мировым достижениям аналогичной техники, превышают значения, установленные в соответствии с требованиями п. 4.3 настоящего стандарта, то в стандартах и (или) технических условиях на машины допускается устанавливать согласованные в установленном порядке технически достижимые значения шумовых характеристик этих машин.

Технически достижимые значения шумовых характеристик машин должны быть обоснованы:

результатами измерения шумовых характеристик представительного числа машин одним из методов по ГОСТ 23941-79;

данными о шумовых характеристиках лучших моделей аналогичных машин, выпускаемых за рубежом;

анализом методов и средств снижения шума, используемых в машине;

наличием разработанных средств защиты от шума до уровней, установленных п. 2.3, и включением их в нормативно-техническую документацию на машину;

планом мероприятий по снижению шума до уровня, соответствующего требованиям п. 4.3 настоящего стандарта.

4.5. Шумовые характеристики машин или предельные значения шумовых характеристик должны быть указаны в паспорте на них, руководстве (инструкции) по эксплуатации или другой сопроводительной документации.

5. ИЗМЕРЕНИЕ ШУМА

5.1. Измерение шума на рабочих местах: предприятий и учреждений - по ГОСТ 12.1.050-86 и ГОСТ 23941-79; сельскохозяйственных самоходных машин - по ГОСТ 12.4.095-80; тракторов и самоходных шасси - по ГОСТ 12.2.002-81; автомобилей, автопоездов, автобусов, мотоциклов, мотороллеров, мопедов, мотовелосипедов - по ГОСТ 19358-74; транспортных самолетов и вертолетов - по ГОСТ 20296-81; подвижного состава железнодорожного транспорта - по санитарным нормам по ограничению шума на подвижном составе железнодорожного транспорта, утвержденным Министерством здравоохранения СССР; для морских речных и озерных судов - по ГОСТ 12.1.020-79, санитарным нормам шума в помещениях судов речного флота и санитарным нормам шума на морских судах, утвержденным Министерством здравоохранения СССР. (в ред. Изменения N 1)

5.2. Методика выполнения измерений для определенных шумовых характеристик машин - по ГОСТ 23941-79, ГОСТ 12.1.024-81, ГОСТ 12.1.025-81, ГОСТ 12.1.026-80, ГОСТ 1.2.1.027-80, ГОСТ 12.1.028-80.

ПРИЛОЖЕНИЕ 1

Справочное

ИНФОРМАЦИОННЫЕ ДАННЫЕ О СООТВЕТСТВИИ ГОСТ 12.1003-83 СТ СЭВ 1930-79

(в ред. Изменения N 1)

Требования ГОСТ 12.1.003-83 СТ СЭВ 1930-79
Установление уровней звукового давления, уровня звука и эквивалентные уровни Устанавливает уровни звукового давления и эквивалентные уровни звука на рабочих местах производственных предприятий в зависимости от тяжести и напряженности труда в диапазоне частот 31,5-8000 Гц. Устанавливает уровни звукового давления, уровни звука на рабочих местах производственных предприятий в диапазоне частот 63-8000 Гц.
Уровни звука и эквивалентные уровни звука на рабочих местах в производственных помещениях - 80 дБА. Уровни звука и эквивалентные уровни звука на рабочих местах в производственных помещениях - 85 дБА.
Измерение шума на рабочих местах На рабочих местах в производственных помещениях по ГОСТ 12.1.050-86 На рабочих местах в производственных помещениях по СТ СЭВ 541-77

ПРИЛОЖЕНИЕ 2

Справочное

ИНТЕГРАЛЬНЫЕ КРИТЕРИИ НОРМИРОВАНИЯ ШУМА

(в ред. Изменения N 1)

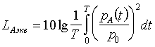
1. Эквивалентный (по энергии) уровень звука в дБ А данного непостоянного шума - уровень звука постоянного широкополосного шума, который имеет то же самое среднее квадратическое звуковое давление, что и данный непостоянный шум в течение определенного интервала времени и который определяют по формуле

где p_A(t) - текущее значение среднего квадратического звукового давления с учетом коррекции "А" шумомера, Па;

р_о - исходное значение звукового давления (в воздухе p_o = 2x10(-5) Па);

Т - время действия шума, ч.

2. Доза шума Д в Па2 x ч - интегральная величина, учитывающая акустическую энергию, воздействующую на человека, за определенный период времени, и определяемая по формуле

Относительную дозу шума Д_отн в процентах определяют по формуле

где Д_доп - допустимая доза шума, Па2 x ч.

Допустимую дозу шума Д_доп определяют по формуле

где - значение звукового давления, соответствующее допустимому уровню звука согласно п. 2.3 настоящего стандарта. Па;

- продолжительность рабочего дня (рабочей смены), ч.

При = 0,356 Па (соответствует допустимому уровню звука 80 дБА) и = 8 ч (в ред. Изменения N 1)

Д_доп= 1 Па2 x ч:

при Д = Д_доп Д_отн = 100%.

Соотношение между эквивалентным уровнем звука и относительной дозой шума (при допустимом уровне звука 80 дБА) в зависимости от времени действия шума приведено в таблице. (в ред. Изменения N 1)

Относительная Эквивалентный уровень звука, дБ А
доза шума, % за время действия шума
8 ч 4 ч 2 ч 1 ч 30 мин 15 мин 7 мин
3,2 70 73 76 79 82 85 88
6,3 73 76 79 82 85 88 91
12,5 76 79 82 85 88 91 94
25 79 82 85 88 91 94 97
50 82 85 88 91 94 97 100
100 85 88 91 94 97 100 103
200 88 91 94 97 100 103 106
400 91 94 97 100 103 106 109
800 94 97 100 103 106 109 112
1600 97 100 103 106 109 112 115
3200 100 103 106 109 112 115 118

ПРИЛОЖЕНИЕ 3

Справочное

УРОВНИ ШУМА ДЛЯ РАЗЛИЧНЫХ ВИДОВ ТРУДОВОЙ ДЕЯТЕЛЬНОСТИ С УЧЕТОМ СТЕПЕНИ НАПРЯЖЕННОСТИ ТРУДА

(в ред. Изменения N 1)

Вид трудовой деятельности Уровни звука и эквивалентные уровни звука, дБ А
Работа по выработке концепций, новых программ; творчество; преподавание 40
Труд высших производственных руководителей, связанных с контролем группы людей, выполняющих преимущественно умственную работу 50
Высококвалифицированная умственная работа, требующая сосредоточенности; труд, связанный исключительно с разговорами по средствам связи 55
Умственная работа, выполняемая с часто получаемыми указаниями и акустическими сигналами; работа, требующая постоянного<*> слухового контроля; высокоточная категория зрительных работ<**> 60
Умственная работа, по точному графику с инструкцией (операторская), точная категория зрительных работ 65
Физическая работа, связанная с точностью, сосредоточенностью или периодическим слуховым контролем 80

<*> Более 50% рабочего времени.

<**> По нормам естественного и искусственного освещения, утвержденным Госстроем СССР (в ред. Изменения N 1)