Методика расчета концентраций в атмосферном воздухе вредных веществ, содержащихся в выбросах предприятий. РД 52.04.212-86

(утв. Госкомгидрометом СССР 04.08.86 N 192) (разделы 1-3)
Редакция от 04.08.1986 — Документ утратил силу, см. «Приказ Минприроды РФ от 06.06.2017 N 273»

ГОСУДАРСТВЕННЫЙ КОМИТЕТ СССР ПО ГИДРОМЕТЕОРОЛОГИИ И КОНТРОЛЮ ПРИРОДНОЙ СРЕДЫ (ГОСКОМГИДРОМЕТ)

ОБЩЕСОЮЗНЫЙ НОРМАТИВНЫЙ ДОКУМЕНТ

МЕТОДИКА РАСЧЕТА КОНЦЕНТРАЦИЙ В АТМОСФЕРНОМ ВОЗДУХЕ ВРЕДНЫХ ВЕЩЕСТВ, СОДЕРЖАЩИХСЯ В ВЫБРОСАХ ПРЕДПРИЯТИЙ

РД 52.04.212-86

ОНД-86

Срок введения 1 января 1987 г.

Разделы 4 - 8 Методики расчета концентраций в атмосферном воздухе вредных веществ, содержащихся в выбросах предприятий, Приложения 1 - 2, 3 к Методике расчета концентраций в атмосферном воздухе вредных веществ, содержащихся в выбросах предприятий, включены в систему отдельными документами

Утверждена Председателем Государственного комитета СССР по гидрометеорологии и контролю природной среды 4 августа 1986 г. N 192

Согласована Госстроем СССР 7 января 1986 г. N ДП-76-1

Согласована Минздравом СССР 7 февраля 1986 г. N 04-4/259-4

Внесена Управлением наблюдений в контроля загрязнения природной среды Госкомгидромета

Взамен СН 369-74

Устанавливает требования в части расчета концентраций вредных веществ в атмосферном воздухе при размещении и проектировании предприятий, нормировании выбросов в атмосферу реконструируемых и действующих предприятий, а также при проектировании воздухозаборных сооружений.

Предназначена для ведомств и организаций, осуществляющих разработки по размещению, проектированию и строительству промышленных предприятий, нормированию вредных выбросов в атмосферу, экспертизе и согласованию атмосфероохранных мероприятий.

Разработана ордена Трудового Красного Знамени Главной геофизической обсерваторией им. А.И. Воейкова Госкомгидромета (научный руководитель д-р физ.-мат. наук, проф. М.Е. Берлянд; ответственные исполнители - канд. физ.-мат. наук Е.Л. Генихович, канд. физ.-мат. наук Р.И. Оникул; исполнители - канд. геогр. наук Н.С. Буренин, канд. геогр. наук Б.Б. Горошко, канд. физ.-мат. наук И.М. Зражевский, д-р геогр. наук Э.Ю. Безуглая, канд. техн. наук Н.Ш. Вольберг, канд. физ.-мат. наук И.Г. Грачева, канд. физ.-мат. наук B.C. Елисеев, канд. физ.-мат. наук Л.Г. Хуршудян, А.М. Царев, канд. физ.-мат. наук С.С. Чичерин, М.Н. Зашихин, Я.С. Канчан, М.И. Коновалов, ТА. Кузьмина, А.С. Кулик, А.А. Павленко, Г.А. Панфилова, Б.Н. Пьянцев, Г.П. Расторгуева, З.Г. Тульчинская, Е.Н. Филатова, А.М. Царев) с использованием результатов разработок МНИИГ им. Ф.Ф. Эрисмана Минздрава РСФСР (ответственный исполнитель д-р мед. наук Р.С. Гильденскиольд), ЦОЛИУВ Минздрава СССР (ответственный исполнитель д-р мед. наук, проф. К.А. Буштуева), ИПГ Госкомгидромета (ответственные исполнители д-р техн. наук, проф. Е.Н. Теверовский, О.П. Тищенко); ИЭМ Госкомгидромета (ответственный исполнитель канд. физ.-мат. наук Е.К. Гаргер), треста "Энергоцветметгазоочистка" Минцветмета СССР (ответственный исполнитель Г.Г. Величко); Гипромеза Минчермета СССР (ответственный исполнитель канд. техн. наук В.Н. Шаприцкий); ЦНИИпромзданий Госстроя СССР (ответственный исполнитель З.И. Константинова); МЭИ Минвуза СССР (ответственный исполнитель д-р техн. наук, проф. Э.П. Волков); ВТИ Минэнерго (ответственный исполнитель д-р техн. наук Л.И. Кропп); БелВНИПИЭнергопрома Минэнерго (ответственный исполнитель д-р техн. наук, проф. А.К. Внуков); Института механики МГУ Минвуза РСФСР (ответственный исполнитель канд. физ.-мат. наук Г.Е. Худяков); ЛИСИ Минвуза РСФСР (ответственный исполнитель д-р техн. наук, проф. А.А. Гусев).

Приложениями к настоящему ОНД, издаваемыми отдельно, являются согласованные с Госкомгидрометом и Госстроем СССР рекомендательные и справочные материалы по методическим вопросам расчета концентраций вредных веществ в атмосфере. Приложением к ОНД являются также разрабатываемые модификации унифицированной программы расчета загрязнения атмосферы (УПРЗА) для различных ЭВМ, согласованные с Главной геофизической обсерваторией им. А.И. Воейкова.

Редакторы: М.Я. Берлянд, Н.К. Гасилина, Е.Л. Генихович, Р.И. Оникул (Госкомгидромет СССР), В.А. Глухарев (Госстрой СССР).

1. ОБЩИЕ ПОЛОЖЕНИЯ

1.1. Настоящие нормы устанавливают методику расчета концентраций в атмосферном воздухе вредных веществ, содержащихся в выбросах предприятий. Нормы должны соблюдаться при проектировании предприятий, а также при нормировании выбросов в атмосферу реконструируемых и действующих предприятий.

1.2. Нормы предназначены для расчета приземных концентраций в двухметровом слое над поверхностью земли, а также вертикального распределение концентраций.

Степень опасности загрязнения атмосферного воздуха характеризуется наибольшим рассчитанным значением концентрации, соответствующим неблагоприятным метеорологическим условиям, в том числе опасной скорости ветра. Нормы не распространяются на расчет концентраций на дальних (более 100 км) расстояниях от источников выброса.

1.3. В зависимости от высоты Н устья источника выброса вредного вещества над уровнем земной поверхности указанный источник относится к одному из следующих четырех классов: а) высокие источники, Н 50 м; б) источники средней высоты, H = 10...50 м; в) низкие источники, H = 2...10 м; г) наземные источники, Н 2 м.

Для источников всех указанных классов в расчетных формулах длина (высота) выражена в метрах, время - в секундах, масса вредных веществ - в граммах, их концентрация в атмосферном воздухе - в миллиграммах на кубический метр, концентрация на выходе из источника - в граммах на кубический метр.

1.4. При одновременном совместном присутствии в атмосферном воздухе нескольких (n) веществ, обладающих в соответствии с перечнем, утвержденным Минздравом СССР, суммацией вредного действия, для каждой группы указанных веществ однонаправленного вредного действия рассчитывается безразмерная суммарная концентрация q или значения концентраций п вредных веществ, обладающих суммацией вредного действия, приводятся условно к значению концентрации с одного из них.

Безразмерная концентрация q определяется по формуле

c     с     с      
q = 1 + 2 + … + n , (1.1)
ПДК   ПДК   ПДК  
  1   2   n    

где с_1, с_2, ..., с_n (мг/м3) - расчетные концентрации вредных веществ в атмосферном воздухе в одной и той же точке местности; ПДК_1, ПДК_2, ..., ПДК_n (мг/м3) - соответствующие максимальные разовые предельно допустимые концентрации вредных веществ в атмосферном воздухе.

Приведенная концентрация срассчитывается по формуле

          ПДК         ПДК      
с = с   + с   1 + ... + с   1 , (1.2)
1 2 ПДК   n ПДК  
            2       n    

где с_1 - концентрация вещества, к которому осуществляется приведение; ПДК_1 - его ПДК; с_2...с_n и ПДК_2...ПДК_n - концентрации и ПДК других веществ, входящих в рассматриваемую группу суммации.

1.5. Расчет концентрации вредных веществ, претерпевающих полностью или частично химические превращения (трансформацию) в более вредные вещества, проводится по каждому исходному и образующемуся веществу отдельно. При этом мощность источников для каждого вещества устанавливается с учетом максимально возможной трансформации исходных веществ в более токсичные. Степень указанной трансформации устанавливается по согласованию с Госкомгидрометом и Минздравом СССР.

1.6. Расчетами определяются разовые концентрации, относящиеся к 20 - 30-минутному интервалу осреднения.

2. РАСЧЕТ ЗАГРЯЗНЕНИЯ АТМОСФЕРЫ ВЫБРОСАМИ ОДИНОЧНОГО ИСТОЧНИКА

2.1. Максимальное значение приземной концентрации вредного вещества с_м (мг/м3) при выбросе газовоздушной смеси из одиночного точечного источника с круглым устьем достигается при неблагоприятных метеорологических условиях на расстоянии х_м (м) от источника и определяется по формуле

, (2.1)

где А -коэффициент, зависящий от температурной стратификации атмосферы; М (г/с) - масса вредного вещества, выбрасываемого в атмосферу в единицу времени; F -безразмерный коэффициент, учитывающий скорость оседания вредных веществ в атмосферном воздухе; m и n - коэффициенты, учитывающие условия выхода газовоздушной смеси из устья источника выброса; H (м) - высота источника выброса над уровнем земли (для наземных источников при расчетах принимается Н = 2 м); - безразмерный коэффициент, учитывающий влияние рельефа местности (см. раздел 4), в случае ровной или слабопересеченной местности с перепадом высот, не превышающим 50 м на 1 км, = 1; T (°С) - разность между температурой выбрасываемой газовоздушной смеси Т_г и температурой окружающего атмосферного воздуха Т_в; V_1(м3/с) - раход газовоздушной смеси, определяемый по формуле

, (2.2)

где D (м) - диаметр устья источника выброса; (м/с) - средняя скорость выхода газовоздушной смеси из устья источника выброса.

2.2. Значение коэффициента А, соответствующее неблагоприятным метеорологическим условиям, при которых концентрация вредных веществ в атмосферном воздухе максимальна, принимается равным:

а) 250 - для районов Средней Азии южнее 40° с. ш., Бурятской АССР и Читинской области;

б) 200 - для Европейской территории СССР: для районов РСФСР южнее 50° с. ш., для остальных районов Нижнего Поволжья, Кавказа, Молдавии; для Азиатской территории СССР: для Казахстана, Дальнего Востока и остальной территории Сибири и Средней Азии;

в) 180 - для Европейской территории СССР и Урала от 50 до 52° с. ш., за исключением попадающих в эту зону перечисленных выше районов и Украины;

г) 160 - для Европейской территории СССР и Урала севернее 52° с.ш. (за исключением Центра ETC), а также для Украины (для расположенных на Украине источников высотой менее 200 м в зоне от 50 до 52° с. ш. - 180, а южнее 50° с.ш. - 200);

д) 140 - для Московской, Тульской, Рязанской, Владимирской, Калужской, Ивановской областей.

Примечание. Для других территорий значения коэффициента А должны приниматься соответствующими значениям коэффициента А для районов СССР со сходными климатическими условиями турбулентного обмена.

2.3. Значения мощности выброса М (г/с) и расхода газовоздушной смеси V_1 (м3/с) при проектировании предприятий определяются расчетом в технологической части проекта или принимаются в соответствии с действующими для данного производства (процесса) нормативами. В расчете принимаются сочетания М и V_1, реально имеющие место в течение года при установленных (обычных) условиях эксплуатации предприятия, при которых достигается максимальное значение с_м.

Примечания: 1. Значение Мследует относить к 20 - 30-минутному периоду осреднения, в том числе и в случаях, когда продолжительность выброса менее 20 мин.

2. Расчеты концентраций, как правило, проводятся по тем веществам, выбросы которых удовлетворяют требованиям п. 5.21.

2.4. При определении значения Т (°С) следует принимать температуру окружающего атмосферного воздуха Т_в (°С), равной средней максимальной температуре наружного воздуха наиболее жаркого месяца года по СНиП 2.01.01-82, а температуру выбрасываемой в атмосферу газовоздушной смеси Т_г (°С) - по действующим для данного производства технологическим нормативам.

Примечания: 1. Для котельных, работающих по отопительному графику, допускается при расчетах принимать значения Т_в равными средним температурам наружного воздуха за самый холодный месяц по СНиП 2.01.01-82.

2. При отсутствии данных по Т_в в СНиП 2.01.01-82 они запрашиваются в территориальном управлении Госкомгидромета (УГКС) по месту расположения предприятия.

2.5. Значение безразмерного коэффициента F принимается:

а) для газообразных вредных веществ и мелкодисперсных аэрозолей (пыли, золы и т.п., скорость упорядоченного оседания которых практически равна нулю) - 1;

б) для мелкодисперсных аэрозолей (кроме указанных в п. 2.5а) при среднем эсплуатационном коэффициенте очистки выбросов не менее 90 % - 2; от 75 до 90 % - 2,5; менее 75 % и при отсутствии очистки - 3-

Примечания: 1. При наличии данных о распределении на выбросе частиц аэрозолей по размерам определяются диаметр d_g, так что масса всех частиц диаметром больше d_g составляет 5 % общей массы частиц, и соответствующая d_g скорость оседания _g(м/с). Значение коэффициента Fустанавливается в зависимости от безразмерного отношения _g/ u_м, где u_м - опасная скорость ветра (см.п. 2.9). При этом F= 1 в случае _s / u_м 0,015 и F = 1,5 в случае 0,015 < _g / u_м 0,030. Для остальных значений _g / u_м коэффициент - F устанавливается согласно п. 2.56.

2. Вне зависимости от эффективности очистки значение коэффициента F принимается равным 3 при расчетах концентраций пыли в атмосферном воздухе для производств, в которых содержание водяного пара в выбросах достаточно для того, чтобы в течение всего года наблюдалась его интенсивная конденсация сразу же после выхода в атмосферу, а также коагуляция влажных пылевых частиц (например, при производстве глинозема мокрым способом).

2.6. Значения коэффициентов m и n определяются в зависимости от параметров f; _м, '_м и f_e:

; (2.3)
     
; (2.4)
     
; (2.5)
     
. (2.6)

Коэффициент m определяется в зависимости от f по рис. 2.1 или по формулам:

при f < 100; (2.7а)
     
при f 100. (2.7б)

Рис. 2.1

Рис. 2.2

Для f_e< f < 100 значение коэффициента m вычисляется при f = f_e.

Коэффициент n при f < 100 определяется в зависимости от _м по рис. 2.2 или формулам:

n = 1 при 2; (2.8а)
     
n = 0,532 - 2,13 _м + 3,13 при 0,5 _м < 2; (2.86)
     
n = 4,4 при _м < 0,5. (2.8в)

При f 100 или T 0 коэффициент n вычисляется по n. 2.7.

2.7. Для f 100 (или T 0) и '_м 0,5 (холодные выбросы) при расчете с_м вместо формулы (2.1) используется формула

, (2.9)

где

, (2.10)

причем n определяется по формулам (2.8а) - (2.8в) при _м = '_м.

Аналогично при f < 100 и _м < 0,5 или f 100 и '_м < 0,5 (случаи предельно малых опасных скоростей ветра) расчет с_м вместо (2.1) производится по формуле

, (2.11)

где

m' = 2,86m при f < 100, _м < 0,5; (2.12а)
     
m' = 0,9 при f 100, '_м < 0,5. (2.126)

Примечание. Формулы (2.9), (2.11) являются частными случаями общей формулы (2.1).

2.8. Расстояние х_м (м) от источника выбросов, на котором приземная концентрация с (мг/м3) при неблагоприятных метеорологических условиях достигает максимального значения с_м, определяется по формуле

x   = 5 - 7 d H, (2.13)
m 4

где безразмерный коэффициент d при f < 100 находится по формулам:

при 0,5; (2.14а)
     
при 0,5 < 2; (2.14б)
     
при _м > 2. (2.14в)

При f > 100 или M 0 значение d находится по формулам:

d =5,7 при '_м 0,5; (2.15a)
     
d = 11,4 '_м при 0,5 < '_м 2; (2.156)
     
при '_м > 2. (2.15в)

2.9. Значение опасной скорости u_м (м/с) на уровне флюгера (обычно 10 м от уровня земли), при которой достигается наибольшее значение приземной концентрации вредных веществ с_м, в случае f > 100 определяется по формулам:

u_м = 0,5 при 0,5; (2.16а)
     
u_м = при 0,5 < 2; (2.16б)
     
u_м = _м (1 + 0,12 ) при _м > 2 (2.16в)

При f 100 или M 0 значение u_м вычисляется по формулам:

u_м = 0,5 при '_м 0,5; (2.17а)
     
u_м = '_м при 0,5 < '_м 2; (2.17б)
     
u_м = 2,2 '_м при '_м > 2 (2.17в)

2.10. Максимальное значение приземной концентрации вредного вещества с_мu (мг/м3) при неблагоприятных метеорологических условиях и скорости ветра u (м/с), отличающейся от опасной скорости ветра u_м (м/с), определяется по формуле

с_мu = r_см, (2.18)

где r -безразмерная величина, определяемая в зависимости от отношения u/u_м по рис. 2.3 или по формулам:

r = 0,67 (u/u_м) + 1,67 (u/u_м)(2) - 1,34 (u/u_м)(3) при u/u_м 1; (2.19а)
3 ( u / u   )          
r = м       при u / u_м > 1. (2.19б)
2 ( u / u   ) 2 - ( u / u   )
  м   м      

Примечание. При проведении расчетов не используются значения скорости ветра u < 0,5 м/с, а также скорости ветра u> u*, где u* - значение скорости ветра, превышаемое в данной местности в среднем многолетнем режиме в 5 % случаев. Это значение запрашивается в УГКС Госкомгидромета, на территории которого располагается предприятие, или определяется по климатическому справочнику.

Рис. 2.3

2.11. Расстояние от источника выброса х_мu (м), на котором при скорости ветра и и неблагоприятных метеорологических условиях приземная концентрация вредных веществ достигает максимального значения с_мu (мг/м3), определяется по формуле

х_мu = р_хм, (2.20)

где р - безразмерный коэффициент, определяемый в зависимости от отношения u/u_м по рис. 2.3 или по формулам:

р = 3 при u/u_м 0,25; (2.21a)
     
р = 8,43 (1 - u/u_м)(5) + 1 при 0,25 < u/u_м 1; (2.21б)
     
р = 0,32 u/u_м + 0,68 при u/u_м > 1. (2.21в)

2.12. При опасной скорости ветра u_м приземная концентрация вредных веществ с (мг/м3) в атмосфере по оси факела выброса на различных расстояниях х (м) от источника выброса определяется по формуле

с = s_1 с_м, (2.22)

где s_1 - безразмерный коэффициент, определяемый в зависимости от отношения х/х_м и коэффициента F по рис. 2.4 или по формулам:

s   = 3 ( х / х   ) 4 - 8 ( х / х   ) 3 + 6 ( х / х   ) 2 при ( х / х_м) 1; (2.23а)
1 м   м   м  
                                       
  s   = 1,13         при 1 < х/х_м 8; (2.23б)
1     0,13 ( x / x   ) 2 + 1        
            м            
                                       
      x / x          
s   = м   при F 1,5 (2.23в)
1 3,58 ( x / x   ) 2 - 35,2 ( x / x   ) + 120 и х/х_м > 8
      м   м      
                                       
      x / x          
s   = м   при F > 1,5 (2.23г)
1 0,1 ( x / x   ) 2 + 2,47 ( x / x   ) - 17,8   и х/х_м > 8
      м   м      

Для низких и наземных источников (высотой H не более 10 м) при значениях х/х_м< 1 величина s_1 в (2.22) заменяется на величину , определяемую в зависимости от х/х_м и H по рис. 2.5 или по формуле

= 0,125 (10 - H) + 0,125 (H - 2)s_1 при 2 Н < 10. (2.24)

Примечание. Аналогично определяется значение концентрации вредных веществ на различных расстояниях по оси факела при других значениях скоростей ветра u и неблагоприятных метеорологических условиях. По формулам (2.18), (2.20) определяются значения величин с_мu и х_мu. В зависимости от отношения х/х_мu определяется значение s_1 по рис. 2.4, 2.5 или по формулам (2.23), (2.24). Искомое значение концентрации вредного вещества определяется путем умножения с_мu на s_1,.

2.13. Значение приземной концентрации вредных веществ в атмосфере c_у (мг/м3) на расстоянии у (м) по перпендикуляру к оси факела выброса определяется по формуле

c_у = s_2 c, (2.25)

где s_2 -безразмерный коэффициент, определяемый в зависимости от скорости ветра u (м/с) и отношения у/х по значению аргумента t_y:

а)

б)

Рис. 2.4

    u y 2      
t   =     при u 5; (2.26а)
y x 2  
             
               
      5 y 2      
t   =     при u > 5; (2.26б)
y x 2  
             

по рис. 2.6 или по формуле

s   = 1 , (2.27)
2 ( 1 + 5 t   + 12,8 t 2 +17 t 3 + 45,1 t 4 ) 2
      y y y y      

Рис. 2.5

Рис. 2.6

2.14. Максимальная концентрация с_мх (мг/м3), достигающаяся на расстоянии х от источника выброса на оси факела при скорости ветра u_мх, определяется по формуле

c_мх = s'_1 c_м, (2.28)

где безразмерный коэффициент, s'_1 находится в зависимости от отношения х/х_м по рис. 2.7 или по формулам:

s ' = 3 ( х / х   ) 4 - 8 ( х / х   ) 3 + 6 ( х / х   ) 2 при х / х_м 1; (2.29а)
1 м   м   м  
s ' = 1,1         при 1 < х/х_м 8; (2.29б)
1 0,1 ( x / x   ) 2 + 1        
      м              
                           
s ' = 2,55         при 8 < х/х_м 24; (2.29в)
1 0,13 ( x / x   ) 2 + 9        
      м              
                           
        x / x              
s ' =   м         при 24 < х/х_м 80; (2.29г)
1 4,75 ( x / x   ) 2 - 140 ( x / x   ) + 1435   F 1,5
      м   м      
                           
s ' = 2,26   при 24 < х/х_м < 80; (2.29д)
1 0,1 ( x / x   ) 2 + 7,41 ( x / x   ) - 160   F > 1,5
      м   м      
                           
        x / x              
s ' =   м         при х/х_м > 80; (2.29e)
1 3,58 ( x / x   ) 2 - 35,2 ( x / x   ) + 120   F 1,5
      м   м      
                           
s ' = 1   при х/х_м > 80; (2.29ж)
1 0,1 ( x / x   ) 2 + 2,47 ( x / x   ) - 178   F < 1,5
      м   м      

Рис. 2.7

Скорость ветра u_х при этом рассчитывается по формуле

u_мх = f_1 u_м, (2.30)

где безразмерный коэффициент f_1 определяется в зависимости от отношения х/хм по рис. 2.8 или по формулам:

f   = 1         при х/х_м 1; (2.31а)
1        
                   
      0,75 + 0,25 x / x        
f   = м   при 1< х/х_м 8; (2.31б)
1 1 + ( x / 9 x   ) 9  
      м        
                   
f   = 0,25         при 8 < х/х_м < 80; (2.31в)
1        
                   
f   = 1,0         при х/х_м 80; (2.31г)
1        

Примечание. Если рассчитанная по формуле (2.30) скорость ветра u_мх < 0,5 м/с или u_мх > u* (см. п. 2.10), то величина с_мх определяется как максимальное значение из концентраций на расстоянии х, рассчитанных при трех скоростях ветра: 0,5 м/с, u_м, u*; соответствующая с_мх скорость ветра принимается за u_мх.

2.15. Расчеты распределения концентраций с_z (мг/м3) на разных высотах z (м) над подстилающей поверхностью при х < х_мпроизводятся по формуле

c_z= r c_м s_z s_2. (2.32)

Рис. 2.8

Значения с_м, r и s_2 вычисляются согласно пп. 2.1, 2.7, 2.10 и 2.13, а коэффициент s_zопределяется в зависимости от параметров b_1 и b_2 по рис. 2.9 или по формулам:

при b_1 1; (2.33а)
     
s_z = s_1 (b_1) при b_1 > 1. (2.33б)

Здесь

b   = x / x   ;   (2.34)
1 мu  
               
b   = z ; (2.35)
2 ( 1 + 5 d   ) H
      2    
               
при f < 100; (2.36а)

Рис. 2.9

при f > 100. (2.36б)

При f_e f < 100 коэффициент d_2 вычисляется по формуле (2.36а) при f = f_e, при _м < 0,5 или '_м < 0,5 соответственно в (2.36а) и (2.36б) принимается _м = 0,5 или '_м = 0,5.

Опасная скорость ветра u_мz (м/с) на уровне флюгера, при которой на высоте z достигается максимальная концентрация, определяется по формуле

u_мz = l_1 u_м. (2.37)

Коэффициент l_1 определяется в зависимости от х/х_м по рис. 2.10.

2.16. Расчеты загрязнения атмосферы при выбросах газовоздушной смеси из источника с прямоугольным устьем (шахты) производятся по приведенным выше формулам при средней скорости и значениях D = D_э (м) и V_1 = V_1э (м3/с).

Рис. 2.10

Средняя скорость выхода в атмосферу газовоздушной смеси (м/с) определяется по формуле

  V    
= 1 (2.38)
Lb

где L (м) - длина устья; b (м) - ширина устья.

Эффективный диаметр устья D_э (м) определяется по формуле

D   = 2Lb (2.39)
э L + b

Эффективный расход выходящей в атмосферу в единицу времени газовоздушной смеси V_1y (м3/с) определяется по формуле

    D 2      
V   = э . (2.40)
4

Примечание. Для источников с квадратными устьем (L = b) эффективный диаметр D_э, равняется длине стороны квадрата. В остальном расчет рассеивания вредных веществ производится как для выбросов из источника с круглым устьем.

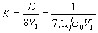
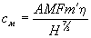
2.17. Решение обратных задач <1> по определению мощности выброса М и высоты H, соответствующих заданному уровню максимальной приземной концентрации с_м при прочих фиксированных параметрах выброса, находится следующим образом.

Мощность выброса М (г/с), соответствующая заданному значению максимальной концентрации с_м (мг/м3), определяется по формуле

. (2.41)

В случае f 100 или T 0

. (2.42)

Высота источника Н, соответствующая заданному значению с_м, в случае T 0 определяется по формуле

. (2.43)

<1> Формулы пп. 2.1 - 2.16 предназначены для решения прямой задачи расчета концентрации по заданным параметрам источника.

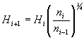
Если вычисленному по формуле (2.43) значению H соответствует '_м < 2 м/с, то H уточняется методом последовательных приближений по формуле

, (2.44)

где n_i и n_(i-1)- значения определенного по рис. 2.2 или по формулам (2.8) коэффициента n, полученные соответственно по значениям H_iи H_(i-1)(при i = 1 в формуле (2.44) принимается n_0=1, а значение H_iопределяется по (2.43)).

Формулы (2.43), (2.44) используются также для определения H при T> 0.

Если при этом выполняется условие , то найденное H является точным. Если же , то для определения предварительного значения высоты H используется формула

. (2.45)

По найденному значению Нопределяются на основании формул (2.3) - (2.6) величины f, _м, '_м и f_e и устанавливается в первом приближении произведение коэффициентов m и n.Дальнейшие уточнения значения Нвыполняются по формуле

, (2.46)

где m_i, n_i соответствуют H_i, а m_(i-1), n_(i-1) – Н_i (при i = 1 принимается m_0 = n_0 = 1, a H_0 определяется по (2.45)).

Примечания: 1. Уточнение значения Н по формулам (2.44) и (2.46) производится до тех пор, пока два последовательно найденных значения Н (Н_iи H_(i+I)) будут различаться менее чем на 1 м.

2. При одновременной необходимости учета влияния рельефа местности и застройки в формулах (2.41) - (2.43) и (2.45) за величину принимается произведение поправок к максимальной концентрации на рельеф и застройку, определенных согласно разделу 4 и приложению 2.

2.18. В случае выбросов в атмосферу, обусловленных сжиганием топлива, при фиксированных высоте и диаметре устья трубы соответствующий с_м расход топлива Р (m/ч) определяется по формуле

, (2.47)

где d_3 (г/кг) - количество выбрасываемого в атмосферу вредного вещества на единицу массы топлива (в необходимых случаях с учетом пылегазоочистки); d_4 (м3/кг) - расход газовоздушной смеси, выделяющейся на единицу массы топлива.

2.19. Для каждого источника радиус зоны влияния рассчитывается как наибольшее из двух расстояний от источника х_1 и х_2, где х_1 = 10х_м, а величина х_2 определяется как расстояние от источника, начиная с которого с 0,05 ПДК.

Примечание. Значение х_2 при ручных расчетах находится графически с помощью рис. 2.4 а, б. На вертикальной оси откладывается точка 0,05 ПДК/с_м, через которую проводится параллельная горизонтальной оси линия до пересечения с графиком функции s_1 за максимумом. Из точки пересечения опускается перпендикуляр на горизонтальную ось, полученное значение х/х_м умножается на х_м, в результате чего определяется искомое значение. При с_м 0,05 ПДК значение х_2 полагается равным нулю.

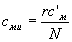
2.20. При полной нагрузке оборудования средняя концентрация в устье источника, равная

         
= M , (2.48)
V  
    1    

определяется по формулам:

при f < 100; (2.49а)
     
при f 100 или T 0, (2.49б)

где с_м (мг/м3) - соответствующая максимальная приземная концентрация.

3. РАСЧЕТ ЗАГРЯЗНЕНИЯ АТМОСФЕРЫ ВЫБРОСАМИ ЛИНЕЙНОГО ИСТОЧНИКА

3.1. При расчете рассеивания выбросов от линейного источника длиной L наибольшая концентрация вредной примеси с_м достигается в случае ветра вдоль источника на расстоянии х_м от проекции его центра на земную поверхность. При рассмотрении аэрационного фонаря (рис.3.1) как линейного источника значения с_м (мг/м3) и расстояния х_м (м) определяются по формулам:

c_м=s_3 c'_м ; (3.1)
     
. (3.2)

Рис. 3.1

Здесь значения c'_м и x'_м, а также соответствующее им значение u'_м принимаются равными максимальной концентрации с_м, расстоянию х_м и опасной скорости u_м для одиночного источника той же мощности М с круглым устьем диаметром D_э, и расходом выбрасываемой газовоздушной смеси V_1э. При этом эффективный диаметр устья фонаря D_э (м) определяется по формуле

, (3.3)

где V_1 (м3/с) - расход выбрасываемой из фонаря в единицу времени газоводзушной смеси, (м/с) - средняя скорость выхода из фонаря газовоздушной смеси. Величина V_1э определяется по найденному значению D_э и формуле (2.40).

За высоту источника выброса H (м) принимается высота над уровнем земли верхней кромки ветроотбойных щитов фонаря или верхней кромки фонаря при отсутствии ветроотбойных щитов. Средняя скорость выхода в атмосферу газовоздушной смеси из аэрационного фонаря (м/с) определяется экспериментальным путем или по расчету аэрации. Масса выбрасываемого в атмосферу в единицу времени вредного вещества М (г/с) принимается равной суммарному выбросу из всего фонаря. Величина T (°С) принимается такой же, как для одиночного источника выброса.

Безразмерные коэффициенты s_3 и s_4 в (3.1) и (3.2) определяются в зависимости от отношения L/x'_м по рис. 3.2 или по формулам:

; (3.4)
     
    (3.5)

Опасная скорость ветра u_м определяется по формуле

u_м = u'_м. (3.6)

3.2. Распределение концентраций вредных веществ с на расстоянии х от центра аэрационного фонаря при ветре, направленном вдоль или поперек фонаря, рассчитывается по формулам приложения 1.

3.3. При произвольном направлении ветра по отношению к линейному источнику типа аэрационного фонаря этот источник условно представляется в виде группы N одинаковых равноудаленных точечных источников. Для каждого из этих одиночных источников значения максимальной концентрации вредной примеси с_м и соответствующих ей расстояния х_м и опасной скорости u_м определяются как

, (3.7)
     
x_м = x'_м, u_м = u'_м.   (3.8)

Примечание. Расчеты концентраций по формулам данного раздела производятся для расстояний от производственного корпуса, больших х'_м. Для расстояний, меньших х'_м, необходимо учитывать влияние здания, на котором расположен фонарь, в соответствии с формулами приложения 2.

Рис. 3.2

3.4. Число одинаковых равноудаленных одиночных источников N, на которое делится аэрационный фонарь при расчетах, определяется (с округлением до ближайшего большего целого числа) по формуле

, (3.9)

где х (м) - наименьшее расстояние от аэрационного фонаря до расчетной точки на местности, u - расчетная скорость ветра.

Примечания: 1. С увеличением протяженности L аэрационного фонаря N увеличивается но, как правило, достаточно принимать N не более 10.

2. При расчетах загрязнения атмосферы для скорости ветра u, не равной u_м, для каждого из одиночных источников значение максимальной концентрации вредных веществ с_ми (мт/м3) определяется по формуле

, (3.10)

а соответствующее расстояние х_ми(м) - по формуле

x_мu = p x'_м. (3.11)

Здесь r и р - безразмерные коэффициенты, определяемые в соответствии с пп. 2.10 и 2.11 по значению отношения u/u_м.

3.5. Расчеты приземных концентраций от линейного источника, аппроксимирующего совокупность одиночных источников выброса с близкими значениями высот, выполняются по тем же формулам, что для аэрационного фонаря, но при расчете вспомогательных величин c'_м, x'_м и u'_м вместо D_э и V_1э используются средние значения D и V_1, характерные для одиночных источников.

3.6. При ветре, перпендикулярном линейному источнику, или при произвольном направлении ветра вычисления основываются на замене линейного источника совокупностью одинаковых равноудаленных условных точечных источников.

При ветре вдоль линейного источника значения максимальной концентрации с_м, расстояния х_м и опасной скорости ветра u_м определяются по формулам (3.1), (3.2) и (3.6) с использованием формул (3.4), (3.5) или рис. 3.2. Концентрация с вдоль оси факела на расстоянии х от центра линейного источника при скорости ветра u_м определяется по формуле (1) приложения 1.

Примечание. Если расчетной точке соответствует определенное по формуле (3.9) значение N > 10, то линейный источник представляется в виде суммы нескольких меньших по размеру линейных источников таким образом, чтобы выделить участки линейного источника, для которых N 10. Оставшиеся линейные источники делятся на равноудаленные точечные источники так, чтобы расстояние между ними не превышало 2 x'_м.

3.7. Мощность выброса М, соответствующая заданному значению максимальной концентрации с_м, для случая выбросов от одиночного аэрационного фонаря определяется по формуле

М      
М = 0 , (3.12)
s  
  3    

где М_0 как соответствующая с_м мощность выброса из одиночного источника находится по формуле (2.41) или (2.42) при V_1 = V_1э и D = D_э, определяемым по (2.40), (3.3).