Методика расчета концентраций в атмосферном воздухе вредных веществ, содержащихся в выбросах предприятий. РД 52.04.212-86

(утв. Госкомгидрометом СССР 04.08.86 N 192) (приложения 1, 2)
Редакция от 04.08.1986 — Документ утратил силу, см. «Приказ Минприроды РФ от 06.06.2017 N 273»

ГОСУДАРСТВЕННЫЙ КОМИТЕТ СССР ПО ГИДРОМЕТЕОРОЛОГИИ И КОНТРОЛЮ ПРИРОДНОЙ СРЕДЫ (ГОСКОМГИДРОМЕТ)

ОБЩЕСОЮЗНЫЙ НОРМАТИВНЫЙ ДОКУМЕНТ

МЕТОДИКА РАСЧЕТА КОНЦЕНТРАЦИЙ В АТМОСФЕРНОМ ВОЗДУХЕ ВРЕДНЫХ ВЕЩЕСТВ, СОДЕРЖАЩИХСЯ В ВЫБРОСАХ ПРЕДПРИЯТИЙ

РД 52.04.212-86

ОНД-86

Срок введения 1 января 1987 г.

Разделы 1 - 3, 4 - 8 Методики расчета концентраций в атмосферном воздухе вредных веществ, содержащихся в выбросах предприятий, Приложение 3 к Методике расчета концентраций в атмосферном воздухе вредных веществ, содержащихся в выбросах предприятий, включены в систему отдельными документами

ПРИЛОЖЕНИЕ 1
Обязательное

РАСЧЕТНЫЕ ФОРМУЛЫ ДЛЯ ОПРЕДЕЛЕНИЯ КОНЦЕНТРАЦИЙ ВРЕДНЫХ ВЕЩЕСТВ ОТ ЛИНЕЙНЫХ И ПЛОЩАДНЫХ ИСТОЧНИКОВ ПРИ ВЕТРЕ ВДОЛЬ ИЛИ ПОПЕРЕК ИСТОЧНИКА

1. Распределение концентраций вредных веществ с на расстоянии х от центра линейного источника длиной L при ветре, направленном вдоль этого источника, в случае, когда скорость ветра равна u_м, определяется по формуле

, (1)

где s'_5 и s''_5 - безразмерные коэффициенты, определяемые по графику для s_5 на рис. 1 в зависимости от отношений и соответственно, причем по пунктирной линии в случае тяжелой примеси. Здесь значения c'_м, x'_м определяются согласно пп. 3.1, 3.5.

При высотах источника H меньше 10 м безразмерный коэффициент s_5 заменяется на безразмерный коэффициент :

при t 1; (2а)
     
при t > 1, (2б)

где s_5 определяется по тому же аргументу t с помощью рис. 1.

При скорости ветра u u_м значение с определяется по формуле

, (3)

где r и р определяются в соответствии с пп. 2.10 и 2.11 по значению u/u'_м, а s'_5 и s''_5 соответственно по и .

Рис. 1

2. Значение максимальной концентрации вредных веществ при ветре, направленном поперек линейного источника, определяется по формуле

c_м= _1 с'_м. (4)

Здесь безразмерный коэффициент _1, определяется по формулам:

_1 = 0,923 при 0,255; (5a)
     
при 0,255 < 2,32; (5б)
     
при > 2,32; (5в)

где

при u'_м 5; (6а)
     
при u'_м > 5. (6б)

Расстояние от линейного источника х_м, на котором достигается максимальная приземная концентрация вредных веществ с_м, определяется по формуле

x_м = _2 x'_м; (7)
     
_2 = 3 при 0,25; (8a)
     
при 0,25 < < 2,25; (8б)
     
_2 = 1 при > 2,25; (8в)

3. Распределение концентраций вредных веществ с (мг/м3) на расстоянии х (м) от центра линейного источника при ветре скоростью u (м/с), направленном поперек линейного источника, определяется по формуле

с=s_1 s_6 r c'_м. (9)

При расчетах начало координат располагается в центре линейного источника, ось х направлена вдоль, а ось у - перпендикулярно направлению ветра.

Концентрация вредных веществ с_y (мг/м3) на расстоянии у (м) от оси факела определяется по формуле

. (10)

Здесь s_1 - безразмерный коэффициент, определяемый в соответствии с п. 2.12 по значению отношения ; r, р - безразмерные коэффициенты, определяемые в соответствии с пп. 2.10 и 2.11 по значению отношения u/u'_м; s_6, s'_6, s''_6 - безразмерные коэффициенты, определяемые по формуле (11) или по рис. 2 в зависимости от значений L(м), (2у + L) (м) и (2у - L) (м), используемых при вычислении аргумента g:

; (11)
     
при u 5; (12а)
     
g = 0,45x / L при u > 5; (12б)

Для g > 6,74 функция s_6 принимается равной 1.

Примечание На достаточно большом расстоянии от линейного источника, которому соответствует безразмерный коэффициент s_6, близкий к единице, линейный источник может рассматриваться как одиночный точечный источник с c_м=c'_м, x_м=x'_м, u_м=u'_м.

Рис 2

4. При ветре, направленном перпендикулярно одной из сторон площадного источника прямоугольной формы, концентрация (как на территории самого источника, так и за его пределами) рассчитывается по формуле

; (13)
               
; , ;    
               
, ;     (14)
               
, ,

х и у - координаты расчетной точки в системе координат с началом в середине наветренного края источника; x''_м - расстояние от одиночного входящего в рассматриваемую совокупность точечного источника, на котором при опасной скорости ветра u_м = u''_м достигается максимальная концентрация; с''_м (мг/м3) -максимальная концентрация от одиночного точечного источника, которая имела бы место в том случае, если бы его выбросы равнялись полному выбросу I от площадного источника; L' -меньшее из значений х и L_2, L_1 и L_2 - протяженности площадного источника соответственно поперек и вдоль ветра; безразмерный коэффициент s_7 (t_1, t_2) в зависимости от t_1 и t_2 определяется по рис. 3 (сплошные линии относятся к легкой, пунктирные - к тяжелой примеси).

Примечания: 1. За значение М для площадного источника принимается максимальный суммарный выброс с его территории с учетом в необходимых случаях неодновременности выбросов от отдельных точечных источников.

2. По формулам (13), (14) рассчитывается распределение концентрации и при u u_м. В этом случае с''_м заменяется на с''_мu, x''_м - на x''_мu, u_м - на u. Здесь с''_мu = r с''_м, x''_мu = p x''_м, безразмерные коэффициенты r и р определяются по отношению u/u''_м в соответствии с пп 2.10, 2.11.

Рис.3

3. По приведенным формулам расчет концентраций производится для площадных источников, у которых L_1/x''_м и L_2/x''_м не превышает 10. При размерах площадных источников, превышающих указанные значения, они должны разбиваться на несколько площадных источников меньшей площади.

4. Расчеты по формулам приложения 1 производятся, как правило, без применения ЭВМ.

ПРИЛОЖЕНИЕ 2
Рекомендуемое

РАСЧЕТ ЗАГРЯЗНЕНИЯ ВОЗДУХА НА ПРОМПЛОЩАДКЕ С УЧЕТОМ ВЛИЯНИЯ ЗАСТРОЙКИ

1. Основные расчетные характеристики

1.1. Влияние застройки (зданий и сооружений) на загрязнение воздуха связано с изменением характера воздушных течений вблизи здания. При обтекании отдельных зданий и их групп могут образовываться ветровые тени (застойные зоны) с близкой к нулю средней скоростью ветра и интенсивным турбулентным перемешиванием. Формулы настоящего приложения предназначены для расчета приземных концентраций в слое 0-2 м и вертикального распределения концентраций в приземном слое воздуха (включая расчет концентраций у стен и крыш зданий) с учетом влияния застройки.

Учет влияния застройки осуществляется для источников средней высоты, низких и наземных источников (см. п. 1.3). Расчет загрязнения воздуха от высоких источников, как правило, производится без учета влияния застройки, за исключением случаев, предусмотренных п. 1.7 приложения 2.

Примечание. Классификация источников производится в соответствии с п. 1.3 настоящего ОНД, причем за H принимается высота устья над уровнем подстилающей поверхности.

1.2. Для каждого из рассматриваемых источников перед выполнением расчетов с учетом застройки определяются по формулам раздела 2 значения максимальной концентрации с_м, а также расстояния х_м и опасной скорости u_м, при которых достигается концентрация с_м при отсутствии застройки.

1.3. Расчет загрязнения воздуха с учетом влияния застройки производится в случаях, когда здание удалено от источника на расстояние менее х_м, или когда источник расположен на здании или в зонах возможного образования ветровых теней (п. 1.5 приложения 2). При этом высота здания Н_з должна быть не менее 0,4 высоты источника Н (Н_з 0,4H). Если здание удалено от источника на расстояние большее, чем 0,5х_м, и основание источника не размещается в зоне возможного образования ветровой тени, то учет влияния застройки производится в случаях, когда высота здания превышает 0,7 высоты источника (Н_з > 0,7 Н).

Примечания: 1. Как правило, не подлежат учету здания и сооружения высотой менее 5 м, а также здания и сооружения, максимальный линейный размер которых по горизонтали не превосходит 10 м.

2. Учет сооружений производится в случае, если их коэффициент заполнения, определяемый согласно СНиП II-6-74 "Нагрузки и воздействия", не ниже 0,5.

1.4. Рассматриваемое здание, как правило, аппроксимируется параллелепипедом (рис.1) высотой Н_з, длиной L'_д (размер наибольшей стороны основания) и шириной L'_ш. Высота Н_з определяется по формуле

    V      
H   = з , (1)
з S  
      o    

где V_з - фактический объем здания, S_o - фактическая площадь основания. Значения L'_д и L'_ш должны удовлетворять условию L'_д L'_ш = S_o, а положение боковых сторон аппроксимирующего параллелепипеда выбирается так, чтобы они были близки к стенам зданий.

Рис. 1

Примечания: 1. В случае зданий сложной конфигурации (рис. 2) они аппроксимируются несколькими параллелепипедами. При этом расчет приземных концентраций производится согласно п. 5 приложения 2 как для совокупности зданий.

2. Для зданий, имеющих в плане форму, близкую к правильному многоугольнику или кругу, в качестве основания аппроксимирующего параллелепипеда берется квадрат.

Рис.2

1.5. Для каждого здания при заданном направлении ветра различаются три основных типа ветровых теней (рис. 3 а): подветренная (I), на крыше (II) и наветренная (зона подпора) (III). Максимальные значения H_I, H_II, H_III высоты над уровнем земли ветровых теней указанных типов и их протяженности L_I, L_II, L_III определяются формулами:

H_I = H_з, L_I = 4L*; (2a)
       
при L_д 2L*: H_II = H_з + 0,4L_д, L_II = L_д; (2б)
       
при L_д > 2L*: H_II = H_з + 0,4L*, L_II = 2L*; (2в)
       
  H_III = 0,5L*, L_III = L*; (2г)

где

L* = H_з при H_з L_ш; (3а)
     
L* = H_ш при H_з < L_ш, (3б)

Размеры L_д и L_ш устанавливаются в зависимости от направления ветра. В случаях, когда ветер направлен по перпендикуляру к стене здания, длина этой стены принимается за L_ш, а длина смежной стены - за L_д (рис. 3б). В остальных случаях L_д и L_ш устанавливаются в соответствии с п. 2.3 приложения 2.

Границы ветровых теней устанавливаются по графикам, приведенным на рис. 3 в - д, или по формулам:

при 0 х 4L*; (4а)
     
при 0 < х < 4L_II; (4б)
     
при 0 х L*; (4в)

где x- расстояние вдоль направления ветра от расчетной точки до стены здания. Если ветровые тени зданий, которые необходимо учесть в расчетах, пересекаются, то образуется объединенная тень, конфигурация которой определяется согласно п. 9.1 приложения 2.

Примечания 1.В отдельных случаях возможен более детальный учет взаимодействия ветровых теней с использованием рекомендаций п. 9 приложения 2.

2 Если высота ветровых теней H_в (в зонах I, II, III) окажется менее 2 м, то принимается H_в = 2 м.

Рис.3

1.6. В общем случае при наличии застройки максимальное значение приземной концентрации _м определяется через максимальную концентрацию с_м, полученную без учета влияния застройки (см. п. 1.2 приложения 2), по формуле

_м = c_м _м, (5)

где _м - поправка, учитывающая влияние застройки. Концентрация _м достигается на расстоянии х_м от источника при опасной скорости ветра _м и опасном направлении ветра.

1.7. Для высоких источников учет влияния застройки производится по схеме, изложенной в разделах 2-9 данного приложения, по согласованию с органами Госкомгидромета в отдельных случаях (например, при размещении источников вблизи здания, высота которого превышает высоту источников).

2. Расчет максимальных концентраций от одиночного точечного источника в случае одного здания

2.1. Порядок определения _м устанавливается в зависимости от расположения источника относительно здания. При размещении основания источника в зонах возможного образования подветренной тени при перпендикулярном к стене здания направлении ветра (см., например, рис. 4 а), _м определяется в соответствии с п. 2.2 приложения 2. При размещении основания источника в зонах, где ветровые тени образуются только при направлении ветра, составляющем острый угол с нормалью к одной из стен здания (см. например, рис. 4 б), _м определяется в соответствии с п. 2.3 приложения 2. Если основание источника располагается вне зон возможного образования ветровой тени на удалении до 1,5 L* от их границы х_в (рис. 4 в, г), то расчет _м производится в соответствии с п. 2.4 приложения 2. В остальных случаях расчет максимальных концентраций производится без учета влияния зданий, т.е. c_м = _м.

Рис. 4

Рис. 5

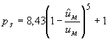
2.2. При размещении основания источника в зонах возможного образования ветровых теней при перпендикулярном к стене здания направлении ветра (рис. 4 а) максимальная приземная концентрация достигается при опасном направлении ветра, соответствующем переносу воздуха по перпендикуляру от здания к источнику. В этом случае

, (6)

где

. (7)

Коэффициенты в формулах (6) и (7) являются безразмерными. Коэффициент r_з описывает влияние различия в опасных скоростях ветра при наличии здания (_м) и при его отсутствии (u_м), коэффициент - изменение структуры воздушного потока при наличии застройки, коэффициенты s и _м - влияние турбулентной диффузии внутри тени и колебаний направления ветра. Коэффициент s_1 имеет тот же смысл, что и в соответствующих формулах раздела 2.

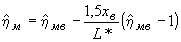
Для определения коэффициента r_з предварительно вычисляется опасная скорость ветра _м по формулам (2.16а) - (2.17в). При этом, если высота источника Н меньше высоты зоны ветровой тени H_вв точке расположения источника, т.е. H < H_в (рис. 5а), то расчет входящих в указанные формулы значений v_м и f производится при замене высоты источника H на высоту зоны тени H_в. Далее коэффициент r_з определяется в зависимости от _м /u_м по графику, приведенному на рис. 6, или по формулам

при , (8а)
         
при , (8б)

Если H > H_в (рис. 5 б), то _м = u_м и r_з = 1.

Рис. 6

При H > H_в коэффициент определяется по графику, приведенному на рис. 7, или по формуле

(9)

в зависимости от отношения H/H_в. При H < H_в принимается значение , соответствующее H = H_в.

Рис.7

Если

< 1,4, (10)

то при расчетах принимается:

= 1, _м = c_м, _м = u_м, _м = x_м. (11)

Коэффициент s в (7) определяется по графику, приведенному на рис. 8, или по формулам:

при 0 t_1 < 1 (12а)
     
при 1 t_1 8; (12б)

Рис. 8

при 8 < t_1 50; (12в)
       
при t_1 > 50 (12г)

в зависимости от аргумента

, (13)

где при H < H_в коэффициент р_з устанавливается в зависимости от отношения _м/u_м по графику, приведенному на рис. 6, или по формулам:

p_з = 3 при ; (14а)
     
при ; (14б)
     
при , (14в)

а при H > H_в принимается р_з = 1. Если при этом 1, где _1 определяется по формуле (7), то принимаются соотношения (11).

Для низких источников (т.е. при H < 10 м) коэффициент s в (7) заменяется на s_L, где s_L определяется по формулам:

s_L = 1 при t_1 1 и H 2 м;  
     
s_L = 0,125 (10 - H) + 0,125 (H - 2) s при t_1 1 и 2 < H < 10 м; (15)
     
при t_1 > 1 и H 2 м;  
     
при t_1 > 1 и 2 < H < 10 м;  

Для определения _м предварительно по рис. 9 или по формулам:

при t 1; (16а)

Рис. 9

при t_2 > 1 (16б)

находится вспомогательный угол _k (в градусах) в зависимости от отношения

    L      
t   = ш . (17)
2 L  
      д    

Безразмерный коэффициент _м определяется по рис. 10 или по формуле

  (18)

Рис. 10

в зависимости от аргумента t_3:

при 5 м/с; (19а)
     
при _м > 5 м/с. (19б)

Если значение _м удовлетворяет неравенству

0,05, (20)

то принимаются соотношения (11).

При H/H_в 1 принимается

s_1 = 1. (21)

При H/H_в < 1 коэффициент s определяется в зависимости от отношения

. (22)

Если 1, то коэффициент s_1находится по формуле (21), а при < 1 коэффициент s_1 находится по рис. 11 в зависимости от отношения формуле (2.23а)

Расстояние _м от источника до точки, в которой достигается максимум приземной концентрации _м, в случае 1 определяется по формуле

_м = p_з x_м, (23)

а в случае < 1 по формулам:

_м = x_в, при H/H_в 1 (24а)
     
при H/H_в > 1 (24б)

Примечание. Если рассчитанное значение _м удовлетворяет условию

1, (25)

то принимается соотношение (11).

Рис.11

Рис. 12

2.3. В тех случаях, когда основание источника находится в зонах, где образование подветренной тени возможно только при направлении ветра, отличном от направления нормалей к стенам здания (см. рис. 4 б), максимальная приземная концентрация _м достигается при опасном направлении ветра, соответствующем переносу воздуха к источнику от ближайшего к нему угла здания. Расчет _м производится при этом по формулам п. 2.2 приложения 2 со следующими изменениями:

для определения того, какая из сторон здания при указанном направлении ветра является подветренной, через центр здания (рис. 12 а) проводится прямая, ориентированная вдоль направления ветра. Если эта прямая находится внутри или на границах угла, который образован диагоналями, примыкающими к более длинной стороне здания (например, к стороне CD на рис. 12 а), то данная сторона рассматривается как подветренная и ее длина обозначается L_ш, а длина смежной стороны – L_д. В противном случае подветренной является более короткая сторона здания. Полученное значение L_ш используется для определения L* по формуле (3) приложения 2;

величина _м вычисляется из соотношений

при _k; (26а)
     
при < _k; (26б)

где - положительный острый угол (в градусах) между опасным направлением ветра и нормалью к стене здания (рис. 12 а). Здесь ' находится по графику, приведенному на рис. 10, или по формуле (18) как значение _м, вычисленное по аргументу t_3 (формулу (19)) при замене _k на _k + , а '' вычисляется аналогичным образом при замене _k на _k - |.

2.4. Для источников, основание которых расположено вне зоны возможного образования подветренной тени (см. рис. 4 в, г), опасное направление ветра соответствует переносу воздуха от здания к источнику по нормали (рис. 4 в) или по направлению от ближайшего угла здания (рис. 4 г). Если при этом расстояние от источника до границы ветровой тени х_в (рис. 4 в, г) удовлетворяет условию х_в 1,5 L* (где L* определяется в соответствии с п. 2.3 приложения 2), то

; (27)
     
, (28)

где _м в и _мв определяются в соответствии с пп. 2.2, 2.3 приложения 2 как значения _м и _м для источника, расположенного на границе зоны ветровой тени (т.е. в точке с координатой ). При > 1,5 L* принимается _м = 1.

2.5. При размещении основания источника на крыше здания производится расчет _м для двух случаев, в которых направление ветра совпадает с направлением нормали к двум наименее удаленным от источника стенам здания (рис. 13 а). Далее из полученных значений выбирается максимальное, а соответствующее ему направление ветра принимается за опасное.

Расчет _м для каждого из двух указанных направлений ветра производится по формулам п. 2.2 приложения 2 со следующими изменениями:

высота зоны ветровой тени заменяется на высоту здания

Н_в = Н_з; (29)

принимается опасная скорость ветра _м = u_м; r_з = p_з = 1; s в формуле (7) заменяется на коэффициент , определяемый по формулам

= s при L_д < 2 L*; (30а)
     
при L_д 2 L*; (30б)

Здесь х_н и - расстояния от источника до наветренного и подветренного краев подветренной тени (рис. 13 в), a s_н и s_в - вычисляются по формулам (13 а) - (13 г) или по графику, приведенному на рис. 8, как значения s при значениях аргумента t_1, вычисленных по формуле (13) при замене L_I на х_н и х_в соответственно. Формула (30) используется также в случае низких источников для определения коэффициента _L, который подставляется в (7) вместо s_L, вычисленного по формулам (13 а) - (13 г) (при этом в правой части (30) коэффициенты s, s_в и s_n заменяются на соответствующие значения s_L.

Рис. 13

Примечания: 1. В отдельных случаях опасное направление ветра может быть установлено до проведения расчетов. Так, например, если источник располагается у более длинного края крыши, то опасным является направление ветра по нормали к ближайшей стене здания в сторону подветренной тени (см. рис. 13б).

2. Если значение _м, определяемое по формулам (23) - (24), окажется соответствующим точке поверхности крыши, то максимум приземной концентрации достигается непосредственно вблизи подветренной стены здания. В таком случае в формуле (6) приложения 2 значение s_1 определяется по графику, приведенному на рис. 2.4, или по формулам (2.23) в зависимости от аргумента х_Н/х_м и принимается _м = x_H (рис. 13 в).

3. Расчет распределения концентрации от одиночного точечного источника при произвольных скоростях и направлениях ветра

3.1. Расчет распределения концентрации от точечного источника с учетом влияния застройки при заданных скорости и направлении ветра выполняется для ограниченных участков промплощадки при решении отдельных вопросов, таких, как размещение воздухозаборов, а также как составная часть расчета загрязнения воздуха на промплощадке от совокупности большого числа источников (см. п. 6 приложения 2).

До проведения расчетов на плане местности через источник проводится прямая линия, ориентированная вдоль ветра (см. рис. 12 а). Если эта линия не пересекает основание здания, то расчет распределения приземных концентраций производится по формулам раздела 2 без учета влияния здания. В случае пересечения здания линией на плане (рис. 12 а) учитывается влияние застройки. При этом определяется длина подветренной стороны здания в соответствии с п. 2.3 приложения 2.

Приземная концентрация при произвольных значениях скорости и направления ветра рассчитывается по формуле

= c_м r , (31)

где концентрация c_м рассчитывается в соответствии с п. 1.2 приложения 2, а коэффициент r определяется в зависимости от отношения u/_м по графику для r_з, приведенному на рис. 6. Опасная скорость ветра _м учетом влияния застройки определяется в соответствии с пп. 2.2 - 2.5 приложения 2.

Схема расчета коэффициента выбирается в зависимости от того, находится ли устье источника в подветренной или наветренной тени, расположен ли источник на крыше здания, над зонами ветровой тени, с наветренной или подветренной стороны от указанных зон.

Построение границ зон ветровой тени осуществляется в соответствии с п. 1.5 приложения 2. При этом строится сечение здания вертикальной плоскостью, проходящей через источник и ориентированной вдоль направления ветра (см. рис. 12 а), и в соответствии с п. 1.5 приложения 2 определяются границы наветренной и подветренной зон ветровой тени.

Примечание. В пределах зон ветровой тени концентрация примеси отличается от нуля не только с подветренной стороны, но и с наветренной стороны от источника и определяется приводимыми ниже формулами.

3.2. При размещении основания источника в зоне подветренной тени (рис. 12 б) значение в точке, расположенной на расстоянии х от источника вдоль оси факела и на удалении у от этой оси, определяется по формуле

. (32)

Коэффициент , зависящий от скорости ветра u и положительного острого угла между направлением ветра и нормалью к подветренной стене здания (рис. 12 а), определяется по той же формуле (26), что и _м, причем значение t_з вычисляется по формуле (19) с заменой _м на u. При этом, как и ранее, _k определяется по рис. 9 или по формулам (16а), (16б).

Коэффициент s_1 находится по формулам (2.23а) - (2.23г) или графикам, приведенным на рис. 2.4 а - в, в зависимости от отношения х/рх_м. Здесь безразмерный коэффициент р определяется в зависимости от отношения u/u_м по формулам (2.21а) - (2.21в) или по графику, приведенному на рис. 2.3.

Коэффициент s_2 находится по формуле (2.27) или по графику, приведенному на рис. 2.6, в зависимости от отношений:

    uy 2    
t   =   при u 5 м/с; (33а)
y x 2
           
             
      5y 2    
t   =   при u > 5 м/с; (33б)
y x 2
           

Коэффициент s' находится по формулам:

при х < х_в; (34а)
при х_в < х L'; (34б)
s' = s_1 s_2 при х > L'. (34в)

Здесь

L' = px_м при х_в + 5Н_в рх_м; (35а)
     
L' = х_в + 5Н_в при х_в + 5Н_в > рх_м; (35б)
     
при х_в+ 5Н_в рх_м; (36а)
     
при х_в+ 5Н_в > рх_м. (36б)

Коэффициент _1 вычисляется по формуле (7), причем величины , s и r_з определяются согласно п. 2.2 приложения 2. Если _1< 1, то принимается _1 = 1. Коэффициент s_1 в формуле (34б) вычисляется при значении х = L'.Коэффициент _2 при х х_в(т.е. внутри зоны подветренной тени (см. рис. 12 б)) вычисляется по формулам

_2 = 1 при - L*/2 у L*/2; (37a)
     
_2 = 0 при | у | > L*/2. (376)

При х > х_в коэффициент _2 находится по формуле (2.27) или по графику, приведенному на рис. 2.6, как значение s_2, соответствующее аргументу

при u 5 м/с;  
     
при u > 5 м/с. (38)

3.3. При размещении основания источника в зоне подпора (наветренной тени) (см. рис. 12 в) коэффициент также рассчитывается по формуле (32). При этом величины , , s_1 и s_2 определяются в соответствии с п. 3.2 приложения 2.

Коэффициент s' находится по формулам:

при х < х_н; (39а)
     
при х_н < х х_в; (39б)
     
при х_в < х L'; (39в)
     
s' = s_1 s_2 при х > L'; (39г)

где _1 вычисляется по формуле (7), а _1 - по аналогичной формуле с заменой s на :

, (40)

причем

  x   s   - x   s      
= в в к к . (41)
  x   - x  
        в к        

В случае низких источников вместо s и используются значения s_L и _L. Здесь х_н и х_к - координаты начала и конца здания относительно источника, а х_в -координата подветренного края подветренной тени относительно источника (рис. 12 в).

Коэффициенты s_в и s_к вычисляются по формулам (12а) - (12г) или по графику, приведенному на рис. 8, как значения s, соответствующие аргументу t_1, определенному по формуле (13) при замене L_I на х_в и х_к соответственно. Для низких источников при этом используется формула (15).

Коэффициент r_з определяется способом, изложенным в п. 2.2 приложения 2.

Коэффициент s, входящий в _1 в (39), определяется по формулам (12в) - (12г) или по графику, приведенному на рис. 8, в зависимости от отношения t_1, вычисленного по формуле (13) с заменой L_I на L_III, где L_III - длина наветренной зоны ветровой тени (см. п. 1.5 приложения 2). Коэффициент s_L определяется аналогично по формуле (15). Коэффициент s_1 в формуле (39в) вычисляется при значении х = L'.

Если _1 < 1, то принимается _1 = 1. При этом вычисление параметра t_1 по формуле (13) производится с использованием значения p_з, определяемого по графику, приведенному на рис. 14, или по формулам:

Рис. 14

р_з = 1 при s 1; (42а)
     
при 1 < s < 4,35; (42б)
     
р_з = 3 при s > 4,35. (42в)

Величина L' и коэффициенты s" и _2 вычисляются по формулам (35) - (37).

3.4. При расположении источника на крыше здания (рис. 12 e) величина также рассчитывается по формуле (32). При этом величины , s_1 и s_2 определяются в соответствии с п. 3.2 приложения 2. Коэффициент s_1 находится по формулам:

s' = _1 _2_2 при х < х_в; (43а)
     
при х_в х L'; (43б)
     
s' = s_1 s_2 при х > L', (43в)

где _1 вычисляется по формуле (40). При этом коэффициенты , и r определяются согласно п. 2.5 приложения 2, а _2, s"и L' - согласно п. 3.2 приложения 2. Коэффициент s_1 в формуле (43б) вычисляется при значении х = L'.

3.5. Если основание источника размещается с подветренной стороны от ветровой тени, причем х_в 1,5L* (рис. 12 г), то величина определяется по формуле

. (44)

Здесь _мв определяется согласно п. 2.4 приложения 2 с заменой _м на коэффициент , вычисленный согласно п. 3.2 приложения 2. При х_в > 1,5L* величина определяется по формуле

= s_1 s_2 . (45)

3.6. При размещении источника с наветренной стороны от ветровой тени на расстоянии х_м 1,5L* (рис. 12 д) расчет также производится по формуле (43). При этом для участков оси факела, приходящихся на наветренную и подветренную зоны тени, коэффициент s_1 заменяется соответственно на и . Величина _a вычисляется по формуле (41) с использованием в качестве х_к и х_в соответственно координат начала и конца наветренной тени относительно источника (рис. 12 д). Величина _b также вычисляется по формуле (41) с использованием координат начала и конца зоны подветренной тени относительно источника.

При х_н > 1,5L* расчет выполняется по формуле (45), причем для участков факела, приходящихся на наветренную и подветренную зоны тени, также производится замена коэффициента s_1 на и соответственно.

4. Расчет концентрации от одиночного точечного источника в случае двух зданий

4.1. При определении максимального значения приземной концентрации в случае двух зданий сначала производится предварительный расчет для двух направлений ветра, которые соответствуют опасным направлениям ветра для источника при учете каждого из рассматриваемых зданий N 1 и N 2 по отдельности (рис. 15 а). При этом определяются величины _м1 и _м2 и соответствующие им углы _k1 и _k2. Далее на плане выполняется дополнительное графическое построение: через источник проводятся прямые, ориентированные вдоль двух указанных направлений ветра, от которых откладываются углы _k1 и _k2 соответственно с вершиной в источнике.

Если эти углы не имеют общей части, то _м определяется как наибольшее из значений _м1 и _м2. В противном случае проводится также расчет _м3 и _м4 для других противоположных направлений ветра вдоль биссектрисы ОВ угла АОС, являющегося общей частью первоначально построенных углов.

Для направлений ветра, при которых ось факела или ее продолжение проходит через оба здания, строятся отдельные или, в случае необходимости, объединенные зоны ветровой тени в соответствии с рекомендациями п. 1.5 приложения 2 (рис. 15 б). Направления ветра, при которых одно из зданий оказывается полностью затопленным (т.е. граница его ветровых теней не касается границы объединенной ветровой тени), при расчетах _м3 и _м4 не используются. Величины _мj (j = 1, 2, 3, 4) определяются согласно п. 1.2 с использованием в расчетах в качестве H_в высоты объединенной ветровой тени. В случаях j = 1 и j = 2 угол _k принимается равным соответственно _k1 и _k2, а в случаях j = 3, j = 4 величина _k определяется по формуле

_k = 0,5 (_k1 + _k2). (46)

Рис. 15

Если источник не расположен между корпусами зданий (например, в точке О_1 на рис. 15 б), то опасные направления ветра соответствуют переносу воздуха от зданий к источнику, а расчет максимальных приземных концентраций осуществляется по формулам п. 2.2 приложения 2. Если источник расположен между корпусами (например, в точке О_3 на рис. 15 б), то расчет _м также осуществляется по формулам п. 2.2 приложения 2. При этом в случае образования объединенной зоны ветровой тени (см. п. 9 приложения 2) в формуле (13) вместо L_I и в формулах (22) и (24) вместо х_в используется протяженность этой зоны L_к. Коэффициент для источника, расположенного в межкорпусном дворе, определяется так же, как и для источника, расположенного в подветренной тени. При L_к < L_Iи H < H_в полученное значение умножается на отношение , где L_I - определенная в соответствии с п. 1.5 протяженность той зоны ветровой тени, высота которой использована при определении H_в (см. п. 1.5 приложения 2). В общем случае в качестве с_м принимается наибольшее из значений _м1, _м2, _м 3 и _м4.

Примечание. При равенстве высот ветровых теней отдельных зданий в точке размещения источника в качестве L_I выбирается наибольшая из протяженностей ветровых теней этих зданий.

4.2. При заданных скорости и направлении ветра расчет приземных концентраций производится с использованием графического построения. На плане местности выделяются направления ветра, соответствующие одному из трех возможных случаев (рис. 16): 1) ось факела пересекает одно из зданий (углы QOE и FOR на рис. 16); 2) ось факела не пересекает ни одного здания и 3) ось факела пересекает оба здания.

Рис. 16

В первом и втором случаях расчет производится в соответствии с п. 3 приложения 2. В последнем случае дополнительно проводится описанное в п. 4.1 приложения 2 (см. рис. 15 а) графическое построение для опасных направлений ветра, соответствующих нормалям к стенам зданий, и строится биссектриса угла АОС. Если ось факела не попала в угол АОС, то расчет приземных концентраций производится без учета взаимодействия ветровых теней зданий. В таком случае при размещении источника внутри ветровой тени или на крыше одного из зданий влияние этого здания учитывается в соответствии с рекомендациями п. 3 приложения 2. Для участков оси факела, приходящихся на ветровые тени второго здания, учет влияния этого второго здания также производится в соответствии с п. 3 приложения 2.

В случае если основание источника находится вне зон ветровых теней обоих зданий, учет влияния этих зданий также осуществляется в соответствии с п. 3 приложения 2 отдельно для каждого здания.

Если ось факела попала в угол АОС (рис. 15 а), то расчет приземных концентраций производится с использованием в качестве Н_в высоты объединенной зоны ветровой тени, определяемой в соответствии с п. 1.5 приложения 2. При этом в качестве угла g используется положительный острый угол между направлением ветра и биссектрисой ОВ угла АОС или ее продолжением, а _k определяется по формуле (46). Концентрации вычисляются по формулам п.3 приложения 2. Если источник расположен в подветренной тени застройки (например, в точке О на рис. 15 б при направлении ветра слева направо), то расчет производится по формулам п. 3.2 приложения 2, причем высота ветровой тени в точке размещения источника принимается согласно п. 9 приложения 2. Если источник размещен на крыше второго по потоку здания (например, в точке О_2 на рис. 15 б), то расчет производится по формулам п. 3.4 приложения 2. При размещении источника между корпусами (например, в точке О_3 на рис. 15 б), расчет производится также по формулам п. 3.2 приложения 2. Однако в случае образования объединенной ветровой тени (см. п. 9 приложения 2) коэффициент масштаб L_I определяются согласно п. 4.1 приложения 2, а коэффициент s' находится по формуле (39).

Если источник размещается на крыше первого по потоку здания (точка О_4 на рис. 15 б), то расчет производится по формулам п. 3.4 приложения 2, причем коэффициент s' находится по формуле (39). При этом, в случае образования объединенной ветровой тени, вместо _1 в первой из формул (39), относящейся к участку факела между корпусами, используется коэффициент _1 вычисленный через коэффициент , определяемый по формуле (30) с использованием в качестве х_н и х_в координат начала и конца межкорпусного двора относительно источника. Коэффициент _1 по второй из формул (39) вычисляется с использованием соотношения (41) через координаты относительно источника конца второго здания и подветренного края подветренной тени. Если источник размещается в наветренной тени первого здания (точка О_5 на рис. 15 б), то расчет производится в соответствии с п. 3.3 приложения 2. При этом для участка факела, соответствующего межкорпусному двору, в случае объединенной ветровой тени используется значение _1 соответствующее координатам начала и конца двора относительно источника.

В остальных случаях расчет производится по соответствующим формулам п. 3 приложения 2. При этом, если источник расположен с наветренной стороны застройки на расстоянии более 1,5L*, то для участков факела, приходящихся на зоны ветровой тени (включая межкорпусную), используются рекомендации п. 3.6 приложения 2.

Примечание. Расчет приземных концентраций на ЭВМ осуществляется согласно п. 5.3.

5. Расчет концентраций от одиночного точечного источника в случае группы зданий

5.1. При расчетах приземных концентраций учитываются только здания, удовлетворяющие требованию п. 1.3 приложения 2.

5.2. При расчетах максимальной приземной концентрации рассматриваются различные возможные пары зданий, учитываемые в группе. Для каждой пары в соответствии с п. 4.1 приложения 2 выделяется не более четырех направлений ветра и строятся сечения проходящими через источник вертикальными плоскостями, ориентированными вдоль выделенных направлений ветра. Далее согласно п. 1.5 приложения 2 определяются границы объединенных ветровых теней (в случае их пересечения) и с использованием их параметров вычисляется значение _мj, где j - номер направления ветра. Максимальное из полученных значений _мj для всех рассматриваемых направлений ветра принимается в качестве с_м.

5.3. Для расчета приземной концентрации при заданных скорости и направлении ветра в общем случае строится сечение застройки вертикальной плоскостью, проходящей через источник и ориентированной вдоль ветра (рис. 17). При этом учитываются только те здания, для которых нормаль к подветренной стене (см. п. 2.3 приложения 2) составляет с направлением ветра угол менее _к, соответствующего данному зданию.

Рис. 17

Согласно п. 1.5 приложения 2 для взаимодействующих ветровых теней строятся соответствующие им объединенные зоны. При этом для рассматриваемого источника выделяются объединенные или индивидуальные зоны следующих четырех типов: 1) содержащая устье источника, 2) ближайшая с подветренной стороны, 3) последующие с подветренной стороны, 4) ближайшая с наветренной стороны.

Дальнейший расчет производится в соответствии с п. 4 приложения 2. При этом каждая объединенная зона характеризуется значением _к, равным среднему из значений _к для зданий, ветровые тени которых учитываются при построении данной объединенной зоны.

Примечания: 1. Зона типа 4 строится и используется для расчетов только в том случае, если тени типа 1 отсутствуют.

2. При определении _к не учитываются полностью "затопленные" здания, т.е. здания, границы ветровых теней которых не касаются границы объединенной ветровой тени (рис 17, п. 1.9 приложения 2).

6. Расчет концентраций от группы источников

6.1. В случае группы из N точечных источников расчет суммарной приземной концентрации с учетом влияния застройки производится по формулам раздела 5. Перебор скоростей и направлений ветра при определении максимальных приземных концентраций осуществляется аналогично тому, как это достигается без учета влияния застройки. При этом, однако, шаг, с которым изменяется направление ветра, не должен быть больше минимального из значений _к, соответствующих включенным в расчет зданиям. Выбор шагов расчетной сетки производится в зависимости от предъявляемых к расчету требований, однако обычно нецелесообразно использование в одном расчете более 1600 - 2500 узлов (при необходимости детализации поля концентрации на большей территории следует проводить последовательные расчеты для ее отдельных участков).

Примечания: 1.До выполнения расчетов проводится объединение источников согласно рекомендациям раздела 5.

2. В общем случае указанные расчеты производятся с применением ЭВМ.

6.2. В случае размещения двух одинаковых источников на крыше одного здания на расстоянии менее L*друг от друга расчеты максимальной концентрации с_м производятся при скорости ветра, равной u_м (т.е. определяемой в соответствии с разделом 2 опасной скорости ветра для отдельного источника), для четырех направлений ветра (рис. 18 а): перпендикулярных более длинной стене здания (2 направления) и соответствующих переносу примеси с одного источника на другой. Для каждого направления ветра максимум приземной концентрации определяется по формуле

_м = _м1 + _м2, (47)

где с_м1 и с_м2 получаются согласно п. 2 приложения 2.

При расчетах для случая переноса с одного источника примеси на другой коэффициент , определяется согласно положений п. 2.3 приложения 2. Наибольшее из четырех значений _м, полученных по формуле (47), принимается за максимум приземной концентрации. Аналогично производится расчет в случае, если расстояние между источниками превышает L*, но один из них находится в угле ± _к, отложенном в обе стороны от нормали к стене здания, проходящей через второй источник.

В общем случае, если расстояние между двумя размещенными на крыше источниками превышает L*, то выполняется следующее дополнительное графическое построение. Для каждой из четырех стен здания (рис. 18 б) на отрезке прямой АВ, соединяющей на плане источники выбросов, строится как на диаметре окружность. Затем строится точка М пересечения этой окружности с окружностью радиусом L*, центр которой расположен в источнике, находящемся более близко к рассматриваемой стене (для рассматриваемого примера - в точке В на рис. 18 б). Из точки, соответствующей второму источнику (из точки А на рис. 18 б), проводится прямая AN под углом _к к нормали к стене. Если точка М попадает внутрь угла OAN,то в рассмотрение включается дополнительное направление ветра, соответствующее биссектрисе АС угла MAN.

Рис. 18

Аналогичное построение выполняется для других сторон здания, а затем расчеты по формуле (47) выполняются для четырех направлений ветра, перпендикулярных стенам здания, двух направлений ветра, соответствующих переносу с источника на источник, и дополнительных (не более четырех) направлений ветра, соответствующих биссектрисам АС.

7. Расчет концентраций в случае выбросов из линейного источника (аэрационного фонаря)

7.1. Для аэрационного фонаря расчет максимальных приземных концентраций осуществляется при двух направлениях ветра: вдоль и поперек фонаря.

Если ветер направлен вдоль аэрационного фонаря, расчет осуществляется в соответствии с п. 5-9 приложения 2, причем величины с_м, х_м и u_м, характеризующие приземные концентрации при отсутствии застройки, определяются в соответствии с разделом и приложением 1.

Если ветер направлен поперек фонаря, этот фонарь длиной L разбивается на совокупность точечных источников, каждый из которых соответствует участку фонаря длиной L":

L" = L. (48)

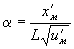
Коэффициент в (48) определяется в зависимости от , где

, (49)

по формуле (5) приложения 1 или по рис. 19.

Рис. 19

Если длина фонаря L не кратна L", то остаток от деления L на L" разбивается пополам и участки полученной длины относятся к краям аэрационного фонаря.

Параметры u_м и х_м для указанных точечных источников определяются согласно п. 3.3 с использованием единых значений эффективных диаметра и объема.

Расчет максимальных концентраций осуществляется далее согласно п. 2.5 приложения 2 для одного из точечных источников. При этом в формуле (37) вместо L* используются значения L".

Максимальное из значений _м, соответствующих ветру вдоль и поперек фонаря, является максимальной приземной концентрацией от аэрационного фонаря.

Примечания: 1. Разбиение фонаря на точечные источники используют также при расчетах в случае заданных скорости и направления ветра, расчетной точки и т.п. по формулам п. 3 приложения 2. При этом в (37) вместо L* используется значение L" cos до тех пор, пока количество условных точечных источников, на которые разбивается фонарь, не станет равным N, определяемому по формуле (3.9).

2. При L_д < 2L*два проема аэрационного фонаря заменяются на условный линейный источник, расположенный посередине между проемами. При этом мощность выброса M для условного источника полагается равной суммарной мощности выброса из обоих проемов, а объем газовоздушной смеси V_1 - половине общего объема газовоздушной смеси, выбрасываемой из фонаря.

8. Расчет распределения концентрации по вертикали, на крыше и стенах здания

8.1. Если основание источника находится в зоне ветровой тени на крыше, то расчет концентрации на крыше здания проводится по формулам п. 2, 3 приложения 2 аналогично случаю размещения источника в подветренной тени. При этом в качестве высоты источника и высоты ветровой тени используются расстояния по нормали соответственно от устья источника и границы ветровой тени до крыши (если указанные расстояния меньше 2 м, то в расчетах используется значение 2 м). Если основание источника расположено вне зоны ветровой тени, то расчет концентрации на крыше проводится по формулам раздела 2 с использованием в качестве высоты источника расстояния по нормали от его устья до крыши здания.

На подветренной стене здания концентрация меняется линейно от полученного в соответствии с п. 8.1 приложения 2 значения на уровне крыши до вычисленного согласно п. 2.5 приложения 2 значения приземной концентрации. На наветренной стене здания концентрация принимается равной нулю.

8.2. При размещении основания источника в зоне подпора (наветренной тени) на расстоянии хн от здания (х_н < х_м) расчет концентрации с_ст, достигающейся в точке наветренной стены на высоте z над подстилающей поверхностью при скорости ветра u, производится в случае z Н_III по формуле

. (50)

В случае z > Н_зв (50) принимается = 0. Здесь коэффициенты _1, , _2 и s_2 находятся в соответствии с п. 3.3. приложения 2 при скорости ветра u, а коэффициент r определяется по формулам раздела 2 в зависимости от отношения u/_м.

Коэффициент s_zв зависимости от отношений z/H (1 + 5d_2) и х/рх_м определяется согласно п. 2.15, а безразмерный коэффициент d_2 определяется в зависимости от отношения _м/u и параметра f по формулам (2.36а), (2.36б), причем _м и f вычисляются по параметрам выброса источника согласно формулам раздела 2.

После подстановки s_z = s_1 формула (50) используется также для расчета концентрации на наветренной стене здания при х_н > х_м.

Концентрация на крыше здания с_кр в точке с координатами (х, у) относительно источника находится по формуле

, (51)

где х_к - координата подветренной стены здания относительно источника, а величины _1 и _1 определяются в соответствии с п. 3.3. приложения 2. При этом s_2 и _2 принимаются в соответствии с п. 3.2 приложения 2 для рассматриваемой точки крыши, а s_z находится в зависимости от отношений Н_з/Н (1 + 5d_2) и х/рх_м согласно п. 2.15.

На подветренной стене здания концентрация меняется линейно от значения, вычисленного по формуле (51) при х = х_м для уровня крыши, до значения приземной концентрации.

Максимальная концентрация в рассматриваемой точке покрытия здания достигается при опасной скорости u_мz. Величина u_мz/u_м при z < Н определяется по графику, приведенному на рис. 2.Ю, в зависимости от аргументов х/х_м и z/H. При z > H величина u_мz/u_м определяется по рис. 2.10 в зависимости от отношений х/х_ми 2,5z/Н·(1 + 5d_2м), где d_2м находится по формулам (2.36а), (2.36б) при значении u = u_м.

Максимальная концентрация в рассматриваемой точке покрытия определяется по формулам (50) или (51) при r и вычисленных для случая u = u_мz.

Примечание. При = 0 формула (50) может быть использована также для расчета концентрации в заданной точке над поверхностью земли (при отсутствии застройки).

8.3. При размещении источника в зоне подветренной тени концентрация с_ст на подветренной стене здания принимается равной значению приземной концентрации у подветренной стены (при том же значении у), определяемой в соответствии с п. 3.1 приложения 2. На наветренной стене здания концентрация принимается равной нулю. В случае L_д < 2L*концентрация на крыше здания с_кр принимается равной (1 - L_д /2L*).При L_д > 2L* принимается с_кр = 0.

Примечание. При размещении устья источника вниз по потоку от подветренной зоны ветровой тени за ее пределами концентрация на крыше и стенах здания принимается равной нулю.

8.4. При размещении источника с наветренной стороны от ветровых теней здания расчет концентрации на крыше и стенах здания производится по формулам п. 3.6 приложения 2. При этом, как и в формулах (50), (51), коэффициент s1 заменяется на s_z, где s_z вычисляется в соответствии с п. 2.15.

9. Характеристика зон ветровой тени в случае группы зданий или здания сложной формы

9.1. При обтекании воздушным потоком группы зданий могут образовываться объединенные (в том числе межкорпусные) зоны ветровой тени (здания в этом случае называются смежными). Конфигурация объединенных зон определяется путем наложения зон, построенных для рассматриваемых зданий, которые при этом полагаются отдельно стоящими. За границу объединенной зоны принимается огибающая границ зон отдельных зданий, а высота объединенной зоны в различных точках полагается равной максимальной из высот ветровых теней, участвующих в образовании объединенной тени. Пример построения объединенной зоны показан на рис. 20.

Рис. 20

Примечание. Здания, зоны ветровой тени которых полностью находятся внутри зон ветровой тени других зданий, при построении объединенных зон не учитываются.

9.2. Здание сложной формы может быть представлено в виде нескольких параллелепипедов с нижним основанием на уровне земли. Конфигурация и размеры ветровой тени, возникающей при обтекании воздушным потоком такого здания, определяются в соответствии с п. 9.1 приложения 2 путем наложения зон для отдельных зданий и нахождения огибающей их границы. Примеры построения зон ветровой тени для зданий сложной конфигурации приведены на рис. 21.

9.3. В наиболее ответственных случаях, когда необходимо детально определить форму и размеры зон ветровой тени, возникающих вблизи отдельных зданий и их групп, а также ожидаемое распределение концентраций, целесообразно проводить эксперименты по обдуванию макетов зданий в специальных аэродинамических трубах. При постановке и проведении таких экспериментов, а также при использовании их результатов для описания обтекания зданий воздушным потоком в реальной атмосфере необходимо соблюдать соответствующие критерии подобия.

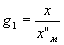
9.4. Для ориентировочных расчетов приземных концентраций на промплощадке при наличии большого числа однотипных источников допускается производить расчет по формулам разделов 2 и 3, а полученные концентрации умножать для точек промплощадки на коэффициент :

. (52)

Здесь N -количество однотипных источников, расположенных отдельно от промышленных зданий, или количество промышленных зданий, на которых размещаются однотипные источники, -коэффициент, определяемый в соответствии с п. 2.2 приложения 2.

Рис. 21

Примечания: 1. При умножении на коэффициент расчетные концентрации, как правило, завышаются. Более точный учет влияния застройки может быть выполнен по формулам разделов 1-5 приложения 2.

2. Коэффициент устанавливается в зависимости от отношения средней высоты источника на здании (без учета источников высотой более 50 м) к высоте здания.

3. Расчеты в соответствии с п. 9.4 производятся при N > 5.