Приказ Минфина РФ от 11.06.2002 N 51Н

"Об утверждении Правил формирования страховых резервов по страхованию иному, чем страхование жизни"
Редакция от 08.02.2012 — Документ утратил силу, см. «Приказ Минфина РФ от 19.01.2017 N 7Н»
Показать изменения

Зарегистрировано в Минюсте РФ 16 июля 2002 г. N 3584


МИНИСТЕРСТВО ФИНАНСОВ РОССИЙСКОЙ ФЕДЕРАЦИИ

ПРИКАЗ
от 11 июня 2002 г. N 51н

ОБ УТВЕРЖДЕНИИ ПРАВИЛ ФОРМИРОВАНИЯ СТРАХОВЫХ РЕЗЕРВОВ ПО СТРАХОВАНИЮ ИНОМУ, ЧЕМ СТРАХОВАНИЕ ЖИЗНИ

(в ред. Приказов Минфина РФ от 23.06.2003 N 54н, от 14.01.2005 N 2н, от 24.09.2008 N 100н, от 20.10.2008 N 114н, от 01.10.2009 N 101н, от 22.07.2010 N 77н, от 21.02.2011 N 20н, от 30.11.2011 N 165н, от 08.02.2012 N 22н)

В соответствии со статьей 26 Закона Российской Федерации от 27 ноября 1992 г. N 4015-1 "Об организации страхового дела в Российской Федерации" (Ведомости Съезда народных депутатов Российской Федерации и Верховного Совета Российской Федерации, 1993, N 2, ст. 56; Собрание законодательства Российской Федерации, 1999, N 47, ст. 5622; 2003, N 50, ст. 4858; 2005, N 10, ст. 760; 2007, N 49, ст. 6048) приказываю: (в ред. Приказа Минфина РФ от 20.10.2008 N 114н)

1. Утвердить прилагаемые Правила формирования страховых резервов по страхованию иному, чем страхование жизни.

2. Страховщикам в срок до 31 декабря 2002 г. привести Положения о формировании страховых резервов по страхованию иному, чем страхование жизни, в соответствие с настоящими Правилами.

3. Страховщикам рассчитывать страховые резервы в соответствии с настоящими Правилами, начиная с 1 января 2003 г.

3.1. Действие настоящего Приказа распространяется на общества взаимного страхования с учетом особенностей, установленных настоящим Приказом.

Общества взаимного страхования рассчитывают в соответствии с настоящими Правилами страховые резервы, начиная с момента получения лицензии на осуществление взаимного страхования (в ред. Приказа Минфина РФ от 20.10.2008 N 114н)

4. Считать резерв колебаний убыточности и резерв катастроф на 31 декабря 2002 г. стабилизационным резервом на 1 января 2003 г.

5. Признать утратившим силу с 1 января 2003 г. приказ Федеральной службы России по надзору за страховой деятельностью от 18 марта 1994 г. N 02-02/04 "Об утверждении Правил формирования страховых резервов по видам страхования иным, чем страхование жизни" (по заключению Министерства юстиции Российской Федерации от 8 апреля 1994 г. N 07-01-235-94 указанный приказ в государственной регистрации не нуждается).

Министр
А.Л.КУДРИН

УТВЕРЖДЕНЫ
Приказом Минфина РФ
от 11 июня 2002 г. N 51н

ПРАВИЛА
ФОРМИРОВАНИЯ СТРАХОВЫХ РЕЗЕРВОВ ПО СТРАХОВАНИЮ ИНОМУ, ЧЕМ СТРАХОВАНИЕ ЖИЗНИ

(в ред. Приказов Минфина РФ от 23.06.2003 N 54н, от 14.01.2005 N 2н, от 24.09.2008 N 100н, от 20.10.2008 N 114н, от 01.10.2009 N 101н, от 22.07.2010 N 77н, от 21.02.2011 N 20н, от 30.11.2011 N 165н, от 08.02.2012 N 22н)

I. ОБЩИЕ ПОЛОЖЕНИЯ

1. Настоящие Правила формирования страховых резервов по страхованию иному, чем страхование жизни (далее - Правила), разработаны на основании статьи 26 Закона Российской Федерации от 27 ноября 1992 г. N 4015-1 "Об организации страхового дела в Российской Федерации" (Ведомости Съезда народных депутатов Российской Федерации и Верховного Совета Российской Федерации, 1993, N 2, ст. 56; Собрание законодательства Российской Федерации, 1999, N 47, ст. 5622; 2003, N 50, ст. 4858; 2005, N 10, ст. 760; 2007, N 49, ст. 6048). (в ред. Приказа Минфина РФ от 20.10.2008 N 114н)

2. Настоящие Правила устанавливают состав и порядок формирования страховых резервов (расчет (оценку) величины страховых резервов, являющихся выраженной в денежной форме оценкой обязательств страховщика по обеспечению предстоящих страховых выплат) по договорам, относящимся к страхованию иному, чем страхование жизни (далее - договоры), при осуществлении страхования, сострахования, взаимного страхования и перестрахования. (в ред. Приказа Минфина РФ от 20.10.2008 N 114н)

Действие настоящих Правил не распространяется на страховые медицинские организации в части операций по обязательному медицинскому страхованию.

Действие пунктов 10.1, 10.2, абзаца одиннадцатого пункта 13, пунктов 18, 24, 37, 38, 39, 40, 41, 42, 43, 44 Правил не распространяется на общества взаимного страхования. (в ред. Приказа Минфина РФ от 20.10.2008 N 114н)

3. Расчет страховых резервов производится страховщиком (страховой организацией или обществом взаимного страхования (далее - страховщиком)) на основании Положения о формировании страховых резервов по страхованию иному, чем страхование жизни (далее - Положение), утвержденного страховщиком и представленного в Федеральную службу по финансовым рынкам в течение месяца с момента утверждения. (в ред. Приказов Минфина РФ от 14.01.2005 N 2н, от 20.10.2008 N 114н, от 08.02.2012 N 22н)

Положение должно соответствовать настоящим Правилам, содержать состав страховых резервов и перечень методов, используемых для расчета страховых резервов.

Страховщик по согласованию с Федеральной службой по финансовым рынкам в случаях, предусмотренных настоящими Правилами, может рассчитывать иные страховые резервы и (или) использовать иные методы расчета страховых резервов. (в ред. Приказов Минфина РФ от 14.01.2005 N 2н,от 08.02.2012 N 22н)

Если состав страховых резервов и (или) методы, используемые для расчета страховых резервов, отличны от состава страховых резервов и (или) методов, описанных в настоящих Правилах, то Положение должно содержать перечень указанных страховых резервов и (или) описание методов расчета страховых резервов.

Положение подлежит согласованию с Федеральной службой по финансовым рынкам в случае, если состав страховых резервов и (или) методы расчета страховых резервов отличны от состава страховых резервов и (или) методов, описанных в настоящих Правилах. (в ред. Приказов Минфина РФ от 14.01.2005 N 2н, от 08.02.2012 N 22н)

4. Внесение в Положение изменений, затрагивающих состав и методы расчета страховых резервов, подлежит утверждению страховщиком и представлению на согласование в Федеральную службу по финансовым рынкам не позднее чем за 90 дней до начала следующего отчетного года. Положение с указанными изменениями применяется с отчетного года, следующего за годом согласования. (в ред. Приказов Минфина РФ от 14.01.2005 N 2н, от 08.02.2012 N 22н)

5. В случае установления несоответствия размера страховых резервов обязательствам страховщика по обеспечению предстоящих выплат по договорам, Федеральная служба по финансовым рынкам вправе потребовать от страховщика изменения состава страховых резервов и (или) методов расчета страховых резервов. (в ред. Приказов Минфина РФ от 14.01.2005 N 2н, от 08.02.2012 N 22н)

II. СОСТАВ СТРАХОВЫХ РЕЗЕРВОВ, ТРЕБОВАНИЯ К МЕТОДАМ РАСЧЕТА СТРАХОВЫХ РЕЗЕРВОВ И К ИНФОРМАЦИИ, НЕОБХОДИМОЙ ДЛЯ РАСЧЕТА СТРАХОВЫХ РЕЗЕРВОВ

6. Страховые резервы включают:

резерв незаработанной премии (далее - РНП);

резервы убытков;

резерв заявленных, но неурегулированных убытков (далее - РЗУ);

резерв произошедших, но незаявленных убытков (далее - РПНУ);

стабилизационный резерв (далее - СР);

Абзац седьмой - Исключен. (в ред. Приказа Минфина РФ от 24.09.2008 N 100н)

резерв для компенсации расходов на осуществление страховых выплат и прямое возмещение убытков по обязательному страхованию гражданской ответственности владельцев транспортных средств в последующие периоды (далее - стабилизационный резерв по обязательному страхованию гражданской ответственности владельцев транспортных средств); (в ред. Приказов Минфина РФ от 23.06.2003 N 54н, от 24.09.2008 N 100н)

иные страховые резервы.

6.1. Общества взаимного страхования формируют в обязательном порядке:

- резерв незаработанной премии;

- резерв заявленных, но неурегулированных убытков;

- резерв произошедших, но не заявленных убытков.

Общества взаимного страхования по решению общего собрания членов общества могут также формировать стабилизационный резерв в соответствии с требованиями, предусмотренными разделом VI настоящих Правил для соответствующей учетной группы. (в ред. Приказа Минфина РФ от 20.10.2008 N 114н)

7. Резерв незаработанной премии - это часть начисленной страховой премии (взносов) по договору, относящаяся к периоду действия договора, выходящему за пределы отчетного периода, (незаработанная премия), предназначенная для исполнения обязательств по обеспечению предстоящих выплат, которые могут возникнуть в следующих отчетных периодах.

8. Резерв заявленных, но неурегулированных убытков, является оценкой не исполненных или исполненных не полностью на отчетную дату (конец отчетного периода) обязательств страховщика по осуществлению страховых выплат, включая сумму денежных средств, необходимых страховщику для оплаты экспертных, консультационных или иных услуг, связанных с оценкой размера и снижением ущерба (вреда), нанесенного имущественным интересам страхователя, (расходы по урегулированию убытков), возникших в связи со страховыми случаями, о факте наступления которых в установленном законом или договором порядке заявлено страховщику в отчетном или предшествующих ему периодах.

9. Резерв произошедших, но незаявленных убытков, является оценкой обязательств страховщика по осуществлению страховых выплат, включая расходы по урегулированию убытков, возникших в связи со страховыми случаями, происшедшими в отчетном или предшествующих ему периодах, о факте наступления которых в установленном законом или договором порядке не заявлено страховщику в отчетном или предшествующих ему периодах.

10. Стабилизационный резерв является оценкой обязательств страховщика, связанных с осуществлением будущих страховых выплат в случае образования отрицательного финансового результата от проведения страховых операций в результате действия факторов, не зависящих от воли страховщика, или в случае превышения коэффициента состоявшихся убытков над его средним значением.

Коэффициент состоявшихся убытков рассчитывается как отношение суммы произведенных в отчетном периоде страховых выплат по страховым случаям, произошедшим в этом периоде, резерва заявленных, но неурегулированных убытков, и резерва произошедших, но незаявленных убытков, рассчитанных по убыткам, произошедшим в этом отчетном периоде, к величине заработанной страховой премии за этот же период.

10.1. Пункт исключен. (в ред. Приказа Минфина РФ от 24.09.2008 N 100н)

10.2. Стабилизационный резерв по обязательному страхованию гражданской ответственности владельцев транспортных средств формируется для компенсации расходов страховщика на осуществление страховых выплат и прямое возмещение убытков в последующие периоды при осуществлении обязательного страхования гражданской ответственности владельцев транспортных средств и является оценкой обязательств страховщика, связанных с осуществлением будущих страховых выплат в случае образования отрицательного финансового результата от проведения обязательного страхования гражданской ответственности владельцев транспортных средств в результате действия факторов, не зависящих от воли страховщика. (в ред. Приказов Минфина РФ от 23.06.2003 N 54н, от 24.09.2008 N 100н)

11. Страховщик рассчитывает страховые резервы на отчетную дату (конец отчетного периода) при составлении бухгалтерской отчетности.

Расчет страховых резервов производится на основании данных учета и отчетности страховщика.

Для расчета страховых резервов рекомендуется использовать таблицы, приведенные в Приложении N 2 к настоящим Правилам.

Расчет страховых резервов производится в рублях.

Страховые резервы, за исключением стабилизационного резерва, по договорам, которые в соответствии с действующим валютным законодательством заключаются в иностранной валюте (страховые премии (взносы) уплачиваются в иностранной валюте и страховые выплаты осуществляются в иностранной валюте), рассчитываются в соответствующей иностранной валюте и пересчитываются в рубли по курсу Центрального Банка Российской Федерации на отчетную дату.

12. Страховщик рассчитывает долю участия перестраховщиков в страховых резервах по страхованию иному, чем страхование жизни, одновременно с расчетом страховых резервов.

Доля перестраховщика (перестраховщиков) в страховых резервах по страхованию иному, чем страхование жизни, определяется по каждому договору (группе договоров) в соответствии с условиями договора (договоров) перестрахования.

Доля перестраховщиков в страховых резервах не может превышать величину страховых резервов. (в ред. Приказа Минфина РФ от 22.07.2010 N 77н)

13. Документы, содержащие данные, необходимые для расчета страховых резервов на каждую отчетную дату по каждому договору, подлежат хранению страховщиком не менее 5 лет с даты полного исполнения обязательств по договору. В частности, хранению подлежат документы, содержащие следующие сведения:

номер договора (полиса, свидетельства, квитанции);

дата вступления договора в силу (дата начала действия страхования);

срок действия договора;

размер (размеры) страховой суммы (сумм);

размер начисленной страховой премии (взносов);

дата, когда начисляется страховая премия (взносы);

Абзацы 8 - 9 - Утратили силу. (в ред. Приказа Минфина РФ от 21.02.2011 N 20н)

размер (размеры) и дата (даты) уплаты страховой премии (взносов);

размер начисленного вознаграждения за заключение договора;

размер отчислений от страховой премии (взносов) в случаях, предусмотренных действующим законодательством;

дата досрочного прекращения договора;

дата (даты) изменения условий договора;

размер страховой премии (взносов), возвращенной страхователям (перестрахователям) в связи с досрочным прекращением (изменением условий) договора;

дата возврата страховой премии (взносов);

дата (даты) поступления заявления о страховом случае (случаях);

дата (даты) наступления страхового случая (случаев);

размер (размеры) заявленного убытка (убытков), а также информацию об изменении размера (размеров) заявленного убытка (убытков) в процессе его урегулирования;

дата (даты) страховой выплаты (выплат);

размер (размеры) страховой выплаты (выплат);

дата (даты) отказа в страховой выплате (выплатах);

дата поступления предварительного уведомления о страховом случае по договору обязательного страхования гражданской ответственности владельцев транспортных средств от страховщика, который осуществляет прямое возмещение убытков в соответствии с законодательством Российской Федерации об обязательном страховании гражданской ответственности владельцев транспортных средств; (в ред. Приказа Минфина РФ от 24.09.2008 N 100н)

дата поступления требования об оплате возмещенного вреда по договору обязательного страхования гражданской ответственности владельцев транспортных средств от страховщика, который осуществляет прямое возмещение убытков в соответствии с законодательством Российской Федерации об обязательном страховании гражданской ответственности владельцев транспортных средств; (в ред. Приказа Минфина РФ от 24.09.2008 N 100н)

дата поступления сообщения об отказе потерпевшему в прямом возмещении убытков по договору обязательного страхования гражданской ответственности владельцев транспортных средств от страховщика, который осуществляет прямое возмещение убытков в соответствии с законодательством Российской Федерации об обязательном страховании гражданской ответственности владельцев транспортных средств; (в ред. Приказа Минфина РФ от 24.09.2008 N 100н)

дата принятия к бухгалтерскому учету (начисления) страховой выплаты по договору обязательного страхования гражданской ответственности владельцев транспортных средств, причитающейся к перечислению страховщику, осуществившему прямое возмещение убытков в соответствии с законодательством Российской Федерации об обязательном страховании гражданской ответственности владельцев транспортных средств. (в ред. Приказа Минфина РФ от 24.09.2008 N 100н)

Указанные сведения являются обязательными реквизитами Журнала учета заключенных договоров страхования (сострахования), Журнала учета убытков и досрочно прекращенных договоров страхования (сострахования), Журнала учета договоров, принятых в перестрахование, и Журнала учета убытков по договорам, принятым в перестрахование. Страховщик осуществляет расчет страховых резервов на основе информации, содержащейся в указанных журналах.

14. Для расчета страховых резервов договоры распределяются по следующим учетным группам:

- учетная группа 1. страхование (сострахование) от несчастных случаев и болезней;

- учетная группа 2. добровольное медицинское страхование (сострахование);

- учетная группа 3. страхование (сострахование) пассажиров (туристов, экскурсантов);

- учетная группа 4. страхование (сострахование) граждан, выезжающих за рубеж;

- учетная группа 5. страхование (сострахование) средств наземного транспорта;

- учетная группа 6. страхование (сострахование) средств воздушного транспорта;

- учетная группа 7. страхование (сострахование) средств водного транспорта;

- учетная группа 8. страхование (сострахование) грузов;

- учетная группа 9. страхование (сострахование) товаров на складе;

- учетная группа 10. страхование (сострахование) урожая сельскохозяйственных культур;

- учетная группа 11.страхование (сострахование) имущества, перечисленного в учетных группах 5 - 10, 12;

- учетная группа 12. страхование (сострахование) предпринимательских (финансовых) рисков;

- учетная группа 13. добровольное страхование (сострахование) гражданской ответственности владельцев автотранспортных средств; (в ред. Приказа Минфина РФ от 23.06.2003 N 54н)

- учетная группа 13.1 обязательное страхование (сострахование) гражданской ответственности владельцев транспортных средств; (в ред. Приказа Минфина РФ от 23.06.2003 N 54н)

- учетная группа 14. страхование (сострахование) гражданской ответственности перевозчика;

- учетная группа 13.2 страхование (сострахование) гражданской ответственности владельцев транспортных средств, осуществляемое в рамках международной системы страхования "Зеленая карта" (в ред. Приказа Минфина РФ от 22.07.2010 N 77н)

- учетная группа 15. страхование (сострахование) гражданской ответственности владельцев источников повышенной опасности, кроме указанного в учетной группе 13;

- учетная группа 15.1. обязательное страхование (сострахование) гражданской ответственности владельца опасного объекта за причинение вреда в результате аварии на опасном объекте; (в ред. Приказа Минфина РФ от 30.11.2011 N 165н)

- учетная группа 16. страхование (сострахование) профессиональной ответственности;

- учетная группа 17. страхование (сострахование) ответственности за неисполнение обязательств;

- учетная группа 18. страхование (сострахование) ответственности, кроме перечисленного в учетных группах 13 - 17;

- учетная группа 19. договоры, принятые в перестрахование, кроме договоров перестрахования, в соответствии с

условиями которых у перестраховщика возникает обязанность по возмещению заранее установленной доли в каждой страховой выплате, производимой страховщиком по каждому принятому в перестрахование договору (договорам), по которому произошел убыток, подпадающий под действие договора перестрахования, (договоры непропорционального перестрахования).

Договоры, принятые в перестрахование, в соответствии с условиями которых у перестраховщика возникает обязанность по возмещению заранее установленной доли в каждой страховой выплате, производимой страховщиком по каждому принятому в перестрахование договору (договорам), по которому произошел убыток, подпадающий под действие договора перестрахования, (договоры пропорционального перестрахования) относятся к тем же учетным группам, что и соответствующие договоры страхования (сострахования).

На общества взаимного страхования не распространяется требование о распределении договоров по учетным группам 1 - 3, 13.1, 13.2, 15.1, 19. (в ред. Приказов Минфина РФ от 20.10.2008 N 114н, от 22.07.2010 N 77н, от 30.11.2011 N 165н)

15. Для расчета страховых резервов страховщик может внутри каждой учетной группы, предусмотренной в пункте 14 настоящих Правил, вводить дополнительные учетные группы договоров в зависимости от условий договоров, объектов страхования, местонахождения объектов страхования и перечня страховых рисков.

16. В случае заключения страховщиком договоров, относящихся согласно установленной в пункте 14 настоящих Правил группировки к нескольким учетным группам, для целей расчета страховых резервов указанные договоры разделяются на отдельные условные договоры, каждый из которых относится к соответствующей учетной группе.

III. РАСЧЕТ РЕЗЕРВА НЕЗАРАБОТАННОЙ ПРЕМИИ

17. Расчет резерва незаработанной премии производится отдельно по каждой учетной группе договоров.

Величина резерва незаработанной премии определяется путем суммирования резервов незаработанных премий, рассчитанных по всем учетным группам договоров.

В целях расчета резерва незаработанной премии в случае, когда дата вступления договора в силу (дата начала действия страхования) наступает позднее даты начисления страховой премии (взносов) по договору и расчет страховых резервов производится до даты вступления договора в силу (даты начала действия страхования), резерв незаработанной премии принимается равным величине начисленной страховой премии (взносов) (страховой брутто-премии) по договору.

18. Для расчета незаработанной премии по договору страхования (сострахования) начисленная страховая брутто-премия по договору страхования (сострахования) уменьшается на сумму начисленного вознаграждения за заключение договора страхования (сострахования) и отчислений от страховой брутто-премии в случаях, предусмотренных действующим законодательством.

Для расчета незаработанной премии (резерва незаработанной премии) по договору (договорам), принятому в перестрахование, начисленная страховая брутто-премия по договору (договорам), принятому в перестрахование, уменьшается на сумму начисленного вознаграждения по договору (договорам), принятому в перестрахование.

Полученные величины в дальнейшем именуются базовыми страховыми премиями по договорам.

Для общества взаимного страхования базовой страховой премией по договору страхования следует считать начисленную страховую брутто-премию. (в ред. Приказа Минфина РФ от 20.10.2008 N 114н)

19. Для расчета величины незаработанной премии (резерва незаработанной премии) используются следующие методы:

"pro rata temporis";

"одной двадцать четвертой" (далее - "1/24");

"одной восьмой" (далее - "1/8").

Общества взаимного страхования применяют методы расчета резерва незаработанной премии в зависимости от осуществляемых ими видов страхования. (в ред. Приказа Минфина РФ от 20.10.2008 N 114н)

20. Незаработанная премия методом "pro rata temporis" определяется по каждому договору как произведение базовой страховой премии по договору на отношение неистекшего на отчетную дату срока действия договора (в днях) ко всему сроку действия договора (в днях).

Резерв незаработанной премии методом "pro rata temporis" в целом по учетной группе определяется путем суммирования незаработанных премий, рассчитанных по каждому договору.

21. Для расчета незаработанной премии (резерва незаработанной премии) методом "1/24" договоры, относящиеся к одной учетной группе, группируют по подгруппам. В подгруппу включаются договоры с одинаковыми сроками действия (в месяцах) и с датами начала их действия, приходящимися на одинаковые месяцы.

Общая сумма базовой страховой премии по договорам, входящим в подгруппу, определяется суммированием базовых страховых премий, рассчитанных по каждому договору, входящему в подгруппу.

Для расчета незаработанной премии (резерва незаработанной премии) методом "1/24" принимается:

1) дата начала действия договора приходится на середину месяца;

2) срок действия договора, не равный целому числу месяцев, равен ближайшему большему целому числу месяцев.

Незаработанная премия (резерв незаработанной премии) определяется по каждой подгруппе путем умножения общей суммы базовых страховых премий на коэффициенты для расчета величины резерва незаработанной премии.

Коэффициент для каждой подгруппы определяется как отношение неистекшего на отчетную дату срока действия договоров подгруппы (в половинах месяцев) ко всему сроку действия договоров подгруппы (в половинах месяцев).

Резерв незаработанной премии методом "1/24" в целом по учетной группе определяется путем суммирования незаработанных премий (резервов незаработанных премий), рассчитанных по каждой подгруппе.

22. Для расчета незаработанной премии (резерва незаработанной премии) методом "1/8" договоры, относящиеся к одной учетной группе, группируют по подгруппам. В подгруппу включаются договоры с одинаковыми сроками действия (в кварталах) и с датами начала их действия, приходящимися на одинаковые кварталы.

Общая сумма базовой страховой премии по договорам, входящим в подгруппу, определяется суммированием базовых страховых премий, рассчитанных по каждому договору, входящему в подгруппу.

Для расчета незаработанной премии (резерва незаработанной премии) методом "1/8" принимается:

1) дата начала действия договора приходится на середину квартала;

2) срок действия договора, не равный целому числу кварталов, равен ближайшему большему целому числу кварталов.

Незаработанная премия (резерв незаработанной премии) определяется по каждой подгруппе путем умножения общей суммы базовых страховых премий на коэффициенты для расчета величины резерва незаработанной премии.

Коэффициент для каждой подгруппы определяется как отношение неистекшего на отчетную дату срока действия договоров подгруппы (в половинах кварталов) ко всему сроку действия договоров подгруппы (в половинах кварталов).

Резерв незаработанной премии методом "1/8" в целом по учетной группе определяется путем суммирования незаработанных премий (резервов незаработанных премий), рассчитанных по каждой подгруппе.

22.1. При расчете резерва незаработанной премии по договору обязательного страхования гражданской ответственности владельцев транспортных средств, заключенному с учетом сезонного использования транспортного средства, сроком действия договора (сроком действия страхования) следует считать период (периоды) использования транспортного средства, а неистекшим на отчетную дату сроком действия договора - неистекший период (периоды) использования транспортного средства. (в ред. Приказа Минфина РФ от 22.07.2010 N 77н)

23. По договорам, относящимся к учетным группам с 1 по 18, расчет резерва незаработанной премии производится методом "pro rata temporis", а в случае страхования по генеральному полису или если в силу специфики взаиморасчетов между страховщиком и страхователем (порядка представления страховщику сведений о заключенных договорах) для целей расчета страховых резервов определять точные даты начала и окончания договоров нецелесообразно, по договорам, относящимся к учетным группам 3, 4, 8, 9, 13.1 и 13.2, расчет резерва незаработанной премии может производиться методами "1/24" и (или) "1/8". (в ред. Приказов Минфина РФ от 23.06.2003 N 54н, от 22.07.2010 N 77н)

При расчете резерва незаработанной премии по договорам, относящимся к учетным группам 3, 4, 8, 9, 13.1 и 13.2, методами "1/24" и (или) "1/8" срок действия договоров принимается равным одному кварталу или устанавливается страховщиком исходя из среднего срока действия таких договоров. При этом при расчете резерва незаработанной премии методом "1/24" срок действия договоров не может устанавливаться меньше одного месяца, при расчете резерва незаработанной премии методом "1/8" - меньше одного квартала. (в ред. Приказов Минфина РФ от 23.06.2003 N 54н, от 22.07.2010 N 77н)

24. По договорам перестрахования (договорам пропорционального перестрахования и договорам, относящимся к учетной группе 19), расчет резерва незаработанной премии может производиться как методом "pro rata temporis", так и методами "1/24" и (или) "1/8".

IV. РАСЧЕТ РЕЗЕРВА ЗАЯВЛЕННЫХ, НО НЕУРЕГУЛИРОВАННЫХ УБЫТКОВ

25. Расчет резерва заявленных, но неурегулированных убытков, производится отдельно по каждой учетной группе договоров.

Величина резерва заявленных, но неурегулированных убытков, определяется путем суммирования резервов заявленных, но неурегулированных убытков, рассчитанных по всем учетным группам договоров.

26. В качестве базы расчета резерва заявленных, но неурегулированных убытков, принимается размер неурегулированных на отчетную дату обязательств страховщика, подлежащих оплате в связи:

со страховыми случаями, о факте наступления которых в установленном законом или договором порядке заявлено страховщику;

с досрочным прекращением (изменением условий) договоров в случаях, предусмотренных действующим законодательством.

Для расчета резерва заявленных, но неурегулированных убытков, величина неурегулированных на отчетную дату обязательств страховщика увеличивается на сумму расходов по урегулированию убытков в размере 3 процентов от ее величины.

26.1. В целях расчета резерва заявленных, но неурегулированных убытков по учетной группе 13.1 в части прямого возмещения убытков датой заявления убытка является дата поступления предварительного уведомления от страховщика, который вправе осуществлять прямое возмещение убытков в соответствии с законодательством Российской Федерации об обязательном страховании гражданской ответственности владельцев транспортных средств. (в ред. Приказа Минфина РФ от 24.09.2008 N 100н)

26.2. При расчете резерва заявленных, но неурегулированных убытков по учетной группе 13.2 страховщик оценивает заявленные убытки исходя из полученной им от иностранных представителей, уполномоченных на рассмотрение требований потерпевших о наступивших страховых случаях (включая страховые бюро) в рамках международной системы страхования гражданской ответственности владельцев транспортных средств "Зеленая карта" (далее - международная система страхования "Зеленая карта"), информации о предполагаемом размере ущерба на территории стран - членов указанной международной системы страхования, нанесенного владельцами транспортных средств, зарегистрированных на территории Российской Федерации, чья ответственность застрахована в рамках международной системы страхования "Зеленая карта". (в ред. Приказа Минфина РФ от 22.07.2010 N 77н)

27. В случае, если о страховом случае заявлено, но размер заявленного убытка, подлежащего оплате страховщиком в соответствии с условиями договора, не установлен, для расчета резерва принимается максимально возможная величина убытка, не превышающая страховую сумму. Указанный порядок не применяется в отношении формирования РЗУ по учетной группе 13.2. (в ред. Приказа Минфина РФ от 22.07.2010 N 77н)

В случае, если по договору, относящемуся к учетной группе 13.2, заявлено о страховом случае, но размер заявленного убытка не установлен, величина убытка принимается равной средней сумме страховой выплаты. (в ред. Приказа Минфина РФ от 22.07.2010 N 77н)

Расчет средних сумм страховых выплат по договорам, относящимся к учетной группе 13.2, производится профессиональным объединением страховщиков, осуществляющим функции национального страхового бюро международной системы страхования "Зеленая карта", на основании статистических данных страховщиков и иностранных бюро - членов международной системы страхования "Зеленая карта". Средние суммы страховых выплат по договорам, относящимся к учетной группе 13.2, должны быть дифференцированы в зависимости от вида ущерба (имущественный ущерб и ущерб, причиненный жизни и (или) здоровью третьих лиц) и страны, на территории которой произошел страховой случай. Средние суммы страховых выплат по договорам, относящимся к учетной группе 13.2, пересматриваются не реже одного раза в год. (в ред. Приказа Минфина РФ от 22.07.2010 N 77н)

В случае, если из анализа отчетных данных по учетной группе следует, что имеет место систематическое и существенное превышение заявленных убытков над подлежащими оплате в результате урегулирования страховых случаев, страховщик по согласованию с Федеральной службой по финансовым рынкам может использовать применяемые для расчета страховых тарифов и резервов математические методы (актуарные методы) расчета резерва заявленных, но неурегулированных убытков по этой учетной группе. (в ред. Приказов Минфина РФ от 14.01.2005 N 2н, от 08.02.2012 N 22н)

28. Страховщик по согласованию с Федеральной службой по финансовым рынкам может использовать актуарные методы расчета резерва заявленных, но неурегулированных убытков, в отношении возникших в результате наступления страхового случая обязательств страховщика по осуществлению периодических страховых выплат или обязательств страховщика по осуществлению отложенной страховой выплаты. (в ред. Приказов Минфина РФ от 14.01.2005 N 2н, от 08.02.2012 N 22н)

V. РАСЧЕТ РЕЗЕРВА ПРОИЗОШЕДШИХ, НО НЕЗАЯВЛЕННЫХ УБЫТКОВ

29. Расчет резерва произошедших, но незаявленных убытков, производится отдельно по каждой учетной группе договоров.

Величина резерва произошедших, но незаявленных убытков, определяется путем суммирования резервов произошедших, но незаявленных убытков, рассчитанных по всем учетным группам договоров.

30. Расчет резерва произошедших, но незаявленных убытков, осуществляется в соответствии с пунктом 1 Приложения N 1 к настоящим Правилам исходя из показателей, полученных по учетной группе:

суммы оплаченных убытков (страховых выплат);

суммы заявленных, но неурегулированных убытков;

части страховой брутто-премии, относящейся к периодам действия договоров в отчетном периоде, (заработанная страховая премия);

других показателей.

Для расчета страховых резервов заработанная страховая премия определяется как страховая брутто-премия, начисленная в отчетном периоде, увеличенная на величину резерва незаработанной премии на начало отчетного периода и уменьшенная на величину резерва незаработанной премии на конец этого же периода.

31. Страховщик по согласованию с Федеральной службой по финансовым рынкам может использовать иные актуарные методы определения размера резерва произошедших, но незаявленных убытков, кроме описанного в пункте 1 Приложения N 1, основанные на данных о величинах оплаченных убытков (страховых выплат), величинах заявленных убытков, числе убытков и т.д., в случае, если на основании фактических данных о проведении операций по страхованию иному, чем страхование жизни, страховщиком может быть обосновано, что эти методы дают более точную оценку размера резерва произошедших, но незаявленных убытков. (в ред. Приказов Минфина РФ от 14.01.2005 N 2н, от 08.02.2012 N 22н)

VI. РАСЧЕТ СТАБИЛИЗАЦИОННОГО РЕЗЕРВА

32. По учетным группам 6, 7, 10, 12, 14 и 15 расчет стабилизационного резерва производится в обязательном порядке.

По учетным группах 1 - 5, 8, 9, 11, 13 и 16 - 19 страховщик может производить расчет стабилизационного резерва в случае, если по учетной группе имеются существенные отклонения коэффициента состоявшихся убытков от его среднего значения. Определения существенного отклонения коэффициента состоявшихся убытков от его среднего значения и среднего значения коэффициента состоявшихся убытков приведены в пункте 2 Приложения N 1 к настоящим Правилам.

По учетной группе 13.1 страховщик производит расчет стабилизационного резерва в соответствии с разделом VIII настоящих Правил. (в ред. Приказа Минфина РФ от 23.06.2003 N 54н)

По учетной группе 13.2 стабилизационный резерв не формируется. (в ред. Приказа Минфина РФ от 22.07.2010 N 77н)

Стабилизационный резерв по учетной группе 15.1 формируется в обязательном порядке в соответствии с методом расчета, указанным в пункте 4 Приложения N 1 к настоящим Правилам. (в ред. Приказа Минфина РФ от 30.11.2011 N 165н)

33. Расчет стабилизационного резерва производится отдельно по каждой учетной группе договоров.

Величина стабилизационного резерва определяется путем суммирования стабилизационных резервов, рассчитанных по всем учетным группам договоров.

В случае, если в результате расчетов стабилизационный резерв по учетной группе принимает отрицательное значение, стабилизационный резерв по соответствующей учетной группе принимается равным нулю.

В случае, если страховщик до начала отчетного периода не рассчитывал стабилизационный резерв по учетной группе, стабилизационный резерв на начало отчетного периода принимается равным нулю.

34. Расчет стабилизационного резерва производится исходя из следующих показателей, полученных по учетной группе:

страховой брутто-премии по учетной группе, начисленной в отчетном периоде;

страховых выплат по учетной группе, произведенных за отчетный период;

расходов по ведению страховых операций по учетной группе, произведенных за отчетный период;

других показателей.

Метод распределения расходов по ведению страховых операций и расходов по урегулированию убытков по учетным группам в целях расчета стабилизационного резерва страховщик устанавливает самостоятельно в Положении.

Расчет стабилизационного резерва производится исходя из показателей нетто-перестрахование (за минусом участия перестраховщиков):

страховая брутто-премия по договорам учитывается за минусом начисленной перестраховочной премии по договорам, переданным в перестрахование;

страховые выплаты учитываются за минусом доли перестраховщиков;

резервы незаработанной премии, заявленных, но неурегулированных убытков, и произошедших, но незаявленных убытков, учитываются за исключением доли перестраховщиков в соответствующих резервах.

35. Страховщик рассчитывает стабилизационный резерв по учетным группам 1 - 5, 8, 9, 11, 13 и 16 - 19 в соответствии с пунктом 2 Приложения N 1 к настоящим Правилам.

36. Страховщик рассчитывает стабилизационный резерв по учетным группам 6, 7, 10, 12, 14 и 15 в следующем порядке.

В качестве базы расчета величины стабилизационного резерва принимается величина финансового результата от страховых операций по учетной группе.

Финансовый результат от страховых операций по учетной группе определяется как сумма:

страховой брутто-премии, начисленной за отчетный период;

изменения резерва незаработанной премии, резерва заявленных, но неурегулированных убытков, и резерва произошедших, но незаявленных убытков, за отчетный период;

уменьшенная на сумму:

отчислений от страховой брутто-премии в случаях, предусмотренных действующим законодательством, за отчетный период;

страховых выплат, произведенных за отчетный период;

страховых премий (взносов), возвращенных страхователям (перестрахователям) в связи с досрочным прекращением (изменением условий) договоров за отчетный период в случаях, предусмотренных действующим законодательством;

расходов по ведению страховых операций, произведенных за отчетный период, в том числе затрат по заключению договоров, расходов по урегулированию убытков, вознаграждений и тантьем по договорам, принятым в перестрахование, за минусом вознаграждений и тантьем по договорам, переданным в перестрахование, за отчетный период.

В случае, если финансовый результат от страховых операций имеет превышение доходов над расходами (положительный), стабилизационный резерв по учетной группе увеличивается на 60 процентов от финансового результата от страховых операций, т.е. на 60 процентов от суммы превышения доходов над расходами.

В случае, если финансовый результат от страховых операций имеет превышение расходов над доходами (отрицательный), стабилизационный резерв по учетной группе уменьшается на абсолютную величину финансового результата, т.е. на сумму превышения расходов над доходами.

Предельный размер стабилизационного резерва рассчитывается в процентах от суммы годовой страховой брутто-премии по учетной группе, максимальной за 10 лет, предшествующих отчетной дате, и не может превышать соответственно по учетным группам 6, 7, 10, 14 и 15 - 250 процентов, по учетной группе 12 - 150 процентов.

В случае, если у страховщика нет данных о годовой страховой брутто-премии по учетной группе за 10 лет, предшествующих отчетной дате, то в целях расчета стабилизационного резерва берутся данные за имеющееся число лет.

При определении предельного размера стабилизационного резерва по учетным группам 6, 7, 10, 12, 14 и 15 годовая страховая брутто-премия по договорам не уменьшается на сумму начисленной перестраховочной премии по договорам, переданным в перестрахование. (в ред. Приказа Минфина РФ от 24.09.2008 N 100н)

Раздел VII - Исключен. (в ред. Приказа Минфина РФ от 24.09.2008 N 100н)

VIII. РАСЧЕТ СТАБИЛИЗАЦИОННОГО РЕЗЕРВА ПО ОБЯЗАТЕЛЬНОМУ СТРАХОВАНИЮ ГРАЖДАНСКОЙ ОТВЕТСТВЕННОСТИ ВЛАДЕЛЬЦЕВ ТРАНСПОРТНЫХ СРЕДСТВ (в ред. Приказа Минфина РФ от 23.06.2003 N 54н)

41. Расчет стабилизационного резерва по обязательному страхованию гражданской ответственности владельцев транспортных средств производится в обязательном порядке по учетной группе 13.1.

42. В случае, если страховщик до начала отчетного периода не рассчитывал стабилизационный резерв по обязательному страхованию гражданской ответственности владельцев транспортных средств, указанный резерв на начало отчетного периода принимается равным нулю.

В случае, если в результате расчетов стабилизационный резерв по обязательному страхованию гражданской ответственности владельцев транспортных средств принимает отрицательное значение, указанный резерв принимается равным нулю.

43. Расчет стабилизационного резерва по обязательному страхованию гражданской ответственности владельцев транспортных средств производится исходя из следующих показателей, полученных по учетной группе 13.1:

страховой брутто-премии по обязательному страхованию гражданской ответственности владельцев транспортных средств, начисленной в отчетном периоде;

страховых выплат по обязательному страхованию гражданской ответственности владельцев транспортных средств, произведенных за отчетный период;

расходов по ведению страховых операций по обязательному страхованию гражданской ответственности владельцев транспортных средств, произведенных за отчетный период;

других показателей.

Метод отнесения расходов по ведению страховых операций и расходов по урегулированию убытков к учетной группе 13.1 в целях расчета стабилизационного резерва по обязательному страхованию гражданской ответственности владельцев транспортных средств страховщик устанавливает самостоятельно в Положении.

Расчет стабилизационного резерва по обязательному страхованию гражданской ответственности владельцев транспортных средств производится исходя из показателей нетто-перестрахование (за минусом участия перестраховщиков):

страховая брутто-премия по договорам учитывается за минусом начисленной перестраховочной премии по договорам, переданным в перестрахование;

страховые выплаты учитываются за минусом доли перестраховщиков;

резервы незаработанной премии, заявленных, но неурегулированных убытков, и произошедших, но незаявленных убытков, учитываются за исключением доли перестраховщиков в соответствующих резервах.

44. Страховщик рассчитывает стабилизационный резерв по обязательному страхованию гражданской ответственности владельцев транспортных средств по учетной группе 13.1 в следующем порядке.

В качестве базы расчета величины стабилизационного резерва по обязательному страхованию гражданской ответственности владельцев транспортных средств принимается величина финансового результата от страховых операций по учетной группе 13.1.

Финансовый результат от страховых операций по учетной группе 13.1 определяется как разность между величиной доходов по учетной группе 13.1 за отчетный период и величиной расходов по учетной группе 13.1 за отчетный период.

Доходы по учетной группе 13.1 за отчетный период определяются как сумма: (в ред. Приказа Минфина РФ от 24.09.2008 N 100н)

страховой брутто-премии, начисленной за отчетный период;

изменения резерва незаработанной премии, резерва заявленных, но неурегулированных убытков, резерва произошедших, но незаявленных убытков за отчетный период в сторону уменьшения; (в ред. Приказа Минфина РФ от 24.09.2008 N 100н)

вознаграждений и тантьем по договорам, переданным в перестрахование, за отчетный период.

Расходы по учетной группе 13.1 за отчетный период определяются как сумма: (в ред. Приказа Минфина РФ от 24.09.2008 N 100н)

отчислений от страховой брутто-премии в резервы компенсационных выплат (резерв гарантий и резерв текущих компенсационных выплат) за отчетный период;

изменения резерва незаработанной премии, резерва заявленных, но неурегулированных убытков, резерва произошедших, но незаявленных убытков за отчетный период в сторону увеличения; (в ред. Приказа Минфина РФ от 24.09.2008 N 100н)

страховых выплат, произведенных за отчетный период;

страховых премий (взносов), возвращенных страхователям (перестрахователям) в связи с досрочным прекращением (изменением условий) договоров за отчетный период в случаях, предусмотренных законодательством;

расходов по ведению страховых операций, произведенных за отчетный период, в том числе затрат по заключению договоров, расходов по урегулированию убытков, расходов по рассмотрению и урегулированию требований о прямом возмещении убытков. (в ред. Приказа Минфина РФ от 24.09.2008 N 100н)

Абзац четырнадцатый - Исключен. (в ред. Приказа Минфина РФ от 24.09.2008 N 100н)

В случае, если при осуществлении обязательного страхования гражданской ответственности владельцев транспортных средств разница между доходами и расходами страховщика за первый квартал, полугодие, девять месяцев, календарный год (отчетный период) превышает 5 процентов от указанных доходов, сумма превышения направляется страховщиком на увеличение стабилизационного резерва по обязательному страхованию гражданской ответственности владельцев транспортных средств до достижения данным резервом предельной величины, равной 10 процентам размера резерва произошедших, но незаявленных убытков по обязательному страхованию гражданской ответственности владельцев транспортных средств на конец отчетного периода. (в ред. Приказа Минфина РФ от 01.10.2009 N 101н)

В случае, если сумма расходов превышает сумму доходов по обязательному страхованию гражданской ответственности владельцев транспортных средств, стабилизационный резерв по обязательному страхованию гражданской ответственности владельцев транспортных средств на конец отчетного периода по учетной группе 13.1 уменьшается на сумму превышения расходов над доходами.

В период с 1 января 2010 года по 31 декабря 2012 года включительно предельная величина стабилизационного резерва по обязательному страхованию гражданской ответственности владельцев транспортных средств рассчитывается как сумма: (в ред. Приказа Минфина РФ от 01.10.2009 N 101н)

10 процентов размера резерва произошедших, но незаявленных убытков, сформированного по обязательному страхованию гражданской ответственности владельцев транспортных средств на конец отчетного периода; (в ред. Приказа Минфина РФ от 01.10.2009 N 101н)

положительной разницы между размером стабилизационного резерва по обязательному страхованию гражданской ответственности владельцев транспортных средств по состоянию на 31 декабря 2009 года и 10 процентами размера резерва произошедших, но незаявленных убытков по обязательному страхованию гражданской ответственности владельцев транспортных средств по состоянию на 31 декабря 2009 года, умноженной на количество оставшихся до 31 декабря 2012 года полных кварталов и деленной на 12. (в ред. Приказа Минфина РФ от 01.10.2009 N 101н)

По состоянию на 31 декабря 2012 года страховщик приводит размер стабилизационного резерва по обязательному страхованию гражданской ответственности владельцев транспортных средств в соответствие с предельной величиной, установленной абзацем пятнадцатым настоящего пункта. (в ред. Приказа Минфина РФ от 01.10.2009 N 101н)

45. В случае, если по соглашению о прямом возмещении убытков расчеты между страховщиками осуществляются исходя из числа удовлетворенных требований в течение отчетного периода и средних сумм страховых выплат, в расчете финансового результата по учетной группе 13.1 учитываются доходы и расходы, возникшие в результате списания дебиторской и кредиторской задолженности страховщиков по операциям прямого возмещения убытков в соответствии с пунктом 12 Требований к соглашению о прямом возмещении убытков, порядка расчетов между страховщиками, а также особенностей бухгалтерского учета по операциям, связанным с прямым возмещением убытков, утвержденных Приказом Министерства финансов Российской Федерации от 23 января 2009 г. N 6н (зарегистрирован Министерством юстиции Российской Федерации 6 февраля 2009 г., регистрационный N 13271; Российская газета, 2009, 11 февраля) в редакции Приказа Министерства финансов Российской Федерации от 17 декабря 2010 г. N 176н (зарегистрирован Министерством юстиции Российской Федерации 20 января 2011 г., регистрационный N 19530; Российская газета, 2011, 28 января). (в ред. Приказа Минфина РФ от 21.02.2011 N 20н)

Приложение N 1
к Правилам формирования
страховых резервов
по страхованию иному,
чем страхование жизни

(в ред. Приказов Минфина РФ от 23.06.2003 N 54н, от 24.09.2008 N 100н, от 30.11.2011 N 165н)

1. Метод расчета резерва произошедших, но незаявленных убытков

1.1. Данные об оплаченных на отчетную дату убытках (страховых выплатах) группируются по периодам наступления этих убытков (кварталам, на которые приходятся даты наступления страховых случаев) и, нарастающим итогом, по периодам оплаты (развития) убытков (кварталам, в которые эти убытки были оплачены страховщиком) (см. Таблицу 1).*

При осуществлении группировки данных по учетной группе 13.1 в части операций по прямому возмещению убытков следует иметь в виду, что периодом оплаты убытка является период, в котором произведено начисление страховой выплаты, причитающейся к перечислению страховщику, осуществившему прямое возмещение убытков в соответствии с законодательством Российской Федерации об обязательном страховании гражданской ответственности владельцев транспортных средств. (в ред. Приказа Минфина РФ от 24.09.2008 N 100н)

Таблица 1

Период оплаты (развития) убытков (j)
1 2 3 ... (N - 2) (N - 1) N
Период наступления убытков (i) 1 x(1, 1) x(1, 2) x(1, 3) ... x(1, N - 2) x(1, N - 1) x(1, N)
2 x(2, 1) x(2, 2) x(2, 3) ... x(2, N - 2) x(2, N - l)  
3 x(3, 1) x(3, 2) x(3, 3) ... x(3, N - 2)    
... ... ... ... ...      
(N - 2) x(N - 2, 1) х(N - 2, 2) x(N - 2, 3)        
(N - 1) х(N - 1, 1) x(N - 1, 2)          
N x(N, 1)            

Здесь x (i, j) - убытки, оплаченные на конец j-го периода оплаты (развития) убытков, по страховым случаям, произошедшим в i-ом периоде наступления убытков; N - число кварталов, за которые рассматриваются данные об убытках.

1) Полученные значения используются для расчета совокупной величины убытков, произошедших во все периоды наступления убытков, оплаченной на конец каждого из последующих периодов оплаты (развития), y(j):

2) Определяются коэффициенты развития убытков C(j, j + 1), соответствующие относительному увеличению совокупной величины оплаченных убытков от одного периода оплаты (развития) к последующему, по следующей формуле:

3) Определяются факторы развития убытков Н(j) от каждого периода оплаты (развития) убытков до самого последнего из рассматриваемых периодов, соответствующие относительному увеличению совокупной величины оплаченных убытков от каждого из периодов оплаты (развития) убытков до последнего из рассматриваемых периодов:

4) Для каждого периода оплаты (развития) убытков рассчитываются факторы запаздывания L(j), равные доле произошедших убытков, оплаченной на конец каждого периода оплаты (развития) убытков:

L(j) = 1 , j = 1, 2, ..., N.
H(j)

5) Для каждого периода наступления убытков вычисляются коэффициенты оплаченных убытков U(i), равные отношению величины оплаченных на отчетную дату убытков (с учетом их последующего развития) к величине заработанной страховой премии за соответствующий период:

U(i) = x(i, N - i + 1) H (N - i + 1) , i = 1, 2, ..., N,
ЗП(i)

где ЗП(i) - заработанная страховая премия за i-ый период наступления убытков.

6) Среднее из значений коэффициентов оплаченных убытков принимается за ожидаемый коэффициент произошедших убытков U:

7) На основе ожидаемого коэффициента произошедших убытков для каждого из периодов наступления убытков вычисляется ожидаемая величина произошедших убытков V(i):

8) Для каждого из периодов наступления убытков суммарная величина произошедших, но неоплаченных на отчетную дату убытков, R(i) определяется как ожидаемая величина произошедших убытков, но неоплаченных, исходя из фактора запаздывания, на отчетную дату:

R(i) = (1 - L(N - i + 1)) V(i), i = 1, 2, ..., N.

9) Для каждого из периодов наступления убытков суммарная величина произошедших, но незаявленных убытков, ПНУ(i) определяется как величина произошедших, но неоплаченных на отчетную дату убытков, за минусом величины заявленных, но неурегулированных на отчетную дату убытков, ЗНУ(i) по страховым случаям, произошедшим в соответствующем периоде наступления убытков:

ПНУ(i) = R(i) - ЗНУ(i), i = 1, 2, ..., N,

где ЗНУ(i) - величина заявленных, но неурегулированных на отчетную дату убытков, по страховым случаям, произошедшим в i-ом периоде наступления убытков.

В случае, если в результате расчетов для какого-либо периода наступления убытков указанная величина отрицательна, то величина произошедших, но незаявленных убытков, для соответствующего периода принимается равной нулю.

10) Величина произошедших, но незаявленных убытков, по учетной группе определяется как сумма величин произошедших, но незаявленных убытков, для каждого из рассматриваемых периодов наступления убытков:

11) Для расчета резерва произошедших, но незаявленных убытков, указанная величина произошедших, но незаявленных убытков, увеличивается на сумму расходов по урегулированию убытков в размере 3 процентов от ее величины.

РПНУ = 1,03 х ПНУ. (1)

1.2. По договорам, относящимся к учетным группам 1 - 11, рассматриваются данные не менее чем за 12 периодов наступления убытков (периодов оплаты (развития)), предшествующих отчетной дате, по договорам, относящимся к учетным группам 12 - 19, - не менее чем за 20 периодов, предшествующих отчетной дате.

1.3. Если страховщик заключает договоры, относящиеся к какой-либо учетной группе, для которой нет необходимого объема данных об оплаченных убытках за требуемое число периодов, то в случае, если ожидаемый коэффициент произошедших убытков по соответствующей учетной группе меньше 1, в целях расчета он принимается равным единице.

В этом случае в качестве резерва произошедших, но незаявленных убытков, по данной учетной группе принимается наибольший из двух резервов произошедших, но незаявленных убытков: резерв, рассчитанный по формуле (1), и резерв, рассчитанный в размере 10 процентов от заработанной страховой премии за последние 4 квартала, предшествующие отчетной дате.

2. Метод расчета стабилизационного резерва по учетным группам 1 - 5, 8, 9, 11, 13, 16 - 19

Страховщик может рассчитывать стабилизационный резерв по учетной группе в случае, если по учетной группе имеются существенные отклонения коэффициента состоявшихся убытков от среднего значения коэффициента состоявшихся убытков.

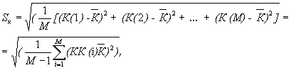
Отклонения коэффициента состоявшихся убытков по учетной группе считаются существенными, если оценка квадратического отклонения значений коэффициента состоявшихся убытков S_K превышает 10 процентов от средней величины коэффициента К:

где K(i) - величина коэффициента состоявшихся убытков за i-ый финансовый

год;

М - число финансовых лет.

Средняя величина коэффициента состоявшихся убытков и оценка квадратического отклонения значений коэффициента состоявшихся убытков по учетной группе определяются на основании данных за все предшествующие финансовые годы, но не более чем за 15 лет. В случае, если заработанная страховая премия по учетной группе за какой-либо финансовый год равна нулю, то этот год не учитывается при расчетах.

Стабилизационный резерв по учетной группе определяется в размере стабилизационного резерва на начало отчетного периода за минусом величины заработанной страховой премии за отчетный период, умноженной на коэффициент состоявшихся убытков за отчетный период, уменьшенный на среднюю величину коэффициента состоявшихся убытков:

где СР - стабилизационный резерв на отчетную дату;

СР - стабилизационный резерв на начало отчетного периода;

НОП

К - величина коэффициента состоявшихся за отчетный период

убытков;

ЗП - заработанная страховая премия за отчетный период.

Стабилизационный резерв по учетной группе не может превышать 450% от оценки квадратического отклонения значений коэффициента состоявшихся убытков, умноженного на заработанную страховую премию по соответствующей учетной группе за последний финансовый год:

где ЗП(М) - заработанная страховая премия за последний финансовый год.

В случае, если страховщик в течение двух лет не заключает договоры, относящиеся к какой-либо учетной группе, или если по какой-либо учетной группе отклонение коэффициента состоявшихся убытков от средней величины коэффициента становится несущественным, страховщик должен:

1) отказаться от расчета стабилизационного резерва по данной учетной группе, при этом стабилизационный резерв по учетной группе принимается равным нулю;

2) исключить стабилизационный резерв из состава страховых резервов по данной учетной группе и внести изменения в Положение в соответствии с пунктом 4 настоящих Правил.

* Данные об оплаченных убытках по договорам, которые в соответствии с действующим валютным законодательством заключаются в иностранной валюте (страховые премии (взносы) уплачиваются в иностранной валюте и страховые выплаты осуществляются в иностранной валюте), в случае, если число таких договоров недостаточно, чтобы достоверно оценить величину произошедших, но незаявленных убытков, для целей расчета РПНУ могут пересчитываться в рубли по курсу Центрального Банка Российской Федерации на отчетную дату.

Пункт 3 - Исключен. (в ред. Приказа Минфина РФ от 24.09.2008 N 100н)

4. Метод расчета стабилизационного резерва по учетной группе 15.1 (в ред. Приказа Минфина РФ от 30.11.2011 N 165н)

В качестве базы расчета величины стабилизационного резерва по учетной группе 15.1 принимается величина коэффициента состоявшихся убытков по обязательному страхованию гражданской ответственности владельца опасного объекта за причинение вреда в результате аварии на опасном объекте, расчет которого производится в соответствии с абзацем вторым пункта 10 Правил.

Страховщик рассчитывает стабилизационный резерв по учетной группе 15.1 в случае, если имеются отклонения коэффициента состоявшихся убытков по обязательному страхованию гражданской ответственности владельца опасного объекта за причинение вреда в результате аварии на опасном объекте от его расчетной величины.

Расчетная величина коэффициента состоявшихся убытков определяется как доля нетто-ставки в структуре страхового тарифа по обязательному страхованию гражданской ответственности владельца опасного объекта за причинение вреда в результате аварии на опасном объекте.

Стабилизационный резерв определяется в размере стабилизационного резерва на начало отчетного периода за минусом величины заработанной страховой премии за отчетный период, умноженной на коэффициент состоявшихся убытков за отчетный период, уменьшенный на расчетную величину коэффициента состоявшихся убытков:

где:

СР_ноп - стабилизационный резерв на начало отчетного периода;

ЗП - заработанная страховая премия за отчетный период;

К - величина коэффициента состоявшихся убытков за отчетный период;

- расчетная величина коэффициента состоявшихся убытков.

Приложение N 2
к Правилам формирования
страховых резервов
по страхованию иному,
чем страхование жизни

ТАБЛИЦЫ
ДЛЯ РАСЧЕТА СТРАХОВЫХ РЕЗЕРВОВ ПО СТРАХОВАНИЮ ИНОМУ, ЧЕМ СТРАХОВАНИЕ ЖИЗНИ

(в ред. Приказов Минфина РФ от 23.06.2003 N 54н, от 24.09.2008 N 100н, от 01.10.2009 N 101н, от 21.02.2011 N 20н, от 30.11.2011 N 165н)

Общие положения

1. Таблицы заполняются на каждую отчетную дату (на конец каждого отчетного периода).

2. Таблицы с 1 по 15 и 20 заполняются по каждой учетной группе и по каждому виду валюты. (в ред. Приказа Минфина РФ от 23.06.2003 N 54н)

3. Таблицы 1 - 3 заполняются для расчета резерва незаработанной премии методом "1/24".

4. Таблицы 4 - 6 заполняются для расчета резерва незаработанной премии методом "1/8".

5. Таблицы 7, 8 заполняются для расчета резерва незаработанной премии методом "pro rata temporis".

6. Таблица 9 заполняется для расчета резерва заявленных, но неурегулированных убытков.

7. Таблицы 10, 11 заполняются для расчета резерва произошедших, но незаявленных убытков.

8. Таблицы 12, 13 заполняются для расчета стабилизационного резерва по учетным группам 6, 7, 10, 12, 14 и 15.

9. Таблицы 12, 14 и 15 заполняются для расчета стабилизационного резерва по учетным группам 1 - 5, 8, 9, 11, 13, 16 - 19.

10. Пункт исключен. (в ред. Приказа Минфина РФ от 24.09.2008 N 100н)

11. Таблицы 18, 19 заполняются для расчета стабилизационного резерва по обязательному страхованию гражданской ответственности владельцев транспортных средств по учетной группе 13.1. (в ред. Приказа Минфина РФ от 23.06.2003 N 54н)

11.1. Таблица 19.1 заполняется для расчета стабилизационного резерва по обязательному страхованию гражданской ответственности владельца опасного объекта за причинение вреда в результате аварии на опасном объекте по учетной группе 15.1. (в ред. Приказа Минфина РФ от 30.11.2011 N 165н)

12. Таблица 16 заполняется для пересчета страховых резервов, сформированных в иностранной валюте, в рубли. (в ред. Приказа Минфина РФ от 23.06.2003 N 54н)

13. Таблица 17 является обобщающей для всех видов страховых резервов. (в ред. Приказа Минфина РФ от 23.06.2003 N 54н)

14. Перечень таблиц:

Таблица 1. Расчет базовой страховой премии для целей расчета резерва незаработанной премии методом "1/24" по договорам со сроками действия, равными N месяцам.

Таблица 2. Расчет резерва незаработанной премии методом "1/24" по договорам со сроками действия, равными N месяцам.

Таблица 3. Расчет суммарного резерва незаработанной премии методом "1/24".

Таблица 4. Расчет базовой страховой премии для целей расчета резерва незаработанной премии методом "1/8" по договорам со сроками действия, равными N кварталам.

Таблица 5. Расчет резерва незаработанной премии методом "1/8" по договорам со сроками действия, равными N кварталам.

Таблица 6. Расчет суммарного резерва незаработанной премии методом "1/8".

Таблица 7. Расчет базовой страховой премии для целей расчета резерва незаработанной премии методом "pro rata temporis".

Таблица 8. Расчет резерва незаработанной премии методом "pro rata temporis".

Таблица 9. Расчет резерва заявленных, но неурегулированных убытков.

Таблица 10. Расчет заработанной страховой премии для целей расчета резерва произошедших, но незаявленных убытков.

Таблица 11. Расчет резерва произошедших, но незаявленных убытков.

Таблица 12. Расчет финансового результата, заработанной страховой премии и коэффициента состоявшихся убытков для целей расчета стабилизационного резерва.

Таблица 13. Расчет стабилизационного резерва по учетным группам 6, 7, 10, 12, 14 и 15.

Таблица 14. Расчет средней величины коэффициента состоявшихся убытков и оценки квадратического отклонения значений коэффициента состоявшихся убытков для целей расчета стабилизационного резерва по учетным группам 1 - 5, 8, 9, 11, 13, 16 - 19.

Таблица 15. Расчет стабилизационного резерва по учетным группам 1 - 5, 8, 9, 11, 13, 16 - 19.

Абзацы семнадцатый - восемнадцатый - Исключены. (в ред. Приказа Минфина РФ от 24.09.2008 N 100н)

Таблица 18. Расчет доходов, расходов и финансового результата для целей расчета стабилизационного резерва по обязательному страхованию гражданской ответственности владельцев транспортных средств по учетной группе 13.1. (в ред. Приказа Минфина РФ от 23.06.2003 N 54н)

Таблица 19. Расчет стабилизационного резерва по обязательному страхованию гражданской ответственности владельцев транспортных средств по учетной группе 13.1. (в ред. Приказа Минфина РФ от 23.06.2003 N 54н)

Таблица 19.1. Расчет стабилизационного резерва по обязательному страхованию гражданской ответственности владельца опасного объекта за причинение вреда в результате аварии на опасном объекте по учетной группе 15.1 (в ред. Приказа Минфина РФ от 30.11.2011 N 165н)

Таблица 20. Таблица пересчета страховых резервов, сформированных в иностранной валюте, в рубли. (в ред. Приказа Минфина РФ от 23.06.2003 N 54н)

Таблица 21. Общая величина страховых резервов. (в ред. Приказа Минфина РФ от 23.06.2003 N 54н)

Таблица 1

Расчет базовой страховой премии для целей расчета резерва незаработанной премии методом "1/24" по договорам со сроками действия, равными N месяцам

Отчетная дата ______________________________________________________
Учетная группа ______________________________________________________
Валюта ______________________________________________________

Месяц начала действия договора Код строки Срок действия договоров, N месяцев
Страховая брутто-премия Вознаграждение Отчисления в случаях, предусмотренных действующим законодательством Базовая страховая премия
1 2 3 4 5 6
Месяц 1 01        
Месяц 2 02        
Месяц 3 03        
... ...        
Месяц (N - 3) (N - 3)        
Месяц (N - 2) (N - 2)        
Месяц (N - 1) (N - 1)        
Месяц, заканчивающийся отчетной датой, N N        
Итого (N + 1)        

Примечание к таблице 1

1. Таблица 1 предназначена для определения базовой страховой премии в случае расчета резерва незаработанной премии методом "1/24" по договорам со сроками действия, равными N месяцам.

Для расчета базовой страховой премии договоры со сроками действия, равными N месяцам, группируются по подгруппам. В подгруппу включаются договоры с одинаковыми месяцами начала действия.

В целях расчета принимается, что срок действия договора, не равный целому числу месяцев, равен ближайшему большему целому числу месяцев.

2. В гр.3 показывается сумма начисленных страховых брутто-премий по каждой подгруппе договоров.

3. В гр.4 показывается сумма вознаграждения, начисленного за заключение договоров, относящихся к каждой подгруппе.

4. В гр.5 отражаются отчисления от страховых брутто-премий по каждой подгруппе договоров в случаях, предусмотренных действующим законодательством.

5. В гр.6. на основе заполненных граф таблицы, рассчитывается базовая страховая премия:

Гр.6 = гр.3 - гр.4 - гр.5.

6. Данные гр.6 переносятся в гр.3 Таблицы 2 и используются для расчета резерва незаработанной премии методом "1/24".

Таблица 2

Расчет резерва незаработанной премии методом "1/24" по договорам со сроками действия, равными N месяцам

Отчетная дата ______________________________________________________
Учетная группа ______________________________________________________
Валюта ______________________________________________________
Месяц начала действия договора Код строки Срок действия договоров, N месяцев
Базовая страховая премия Коэффициент расчета Резерв незаработанной премии
1 2 3 4 5
Месяц 1 01   1/27N  
Месяц 2 02   3/2N  
Месяц 3 03   5/2N  
... ... ... ... ...
Месяц (N - 3) (N - 3)   (2N - 7)/2N  
Месяц (N - 2) (N - 2)   (2N - 5)/2N  
Месяц (N - 1) (N - 1)   (2N - 3)/2N  
Месяц, заканчивающийся отчетной датой, N N   (2N - 1)/2N  
Итого (N + 1) X X  

Примечания к таблице 2

1. Таблица 2 предназначена для расчета резерва незаработанной премии методом "1/24" по договорам со сроками действия, равными N месяцев.

2. В гр.3 показывается базовая страховая премия согласно данным гр.6 таблицы 1.

3. В гр.4 даны коэффициенты, используемые для расчета резерва незаработанной премии.

4. Резерв незаработанной премии рассчитывается как произведение базовой страховой премии и коэффициентов для расчета величины резерва незаработанной премии, приведенных в данной таблице, и отражается в гр.5 в соответствии с месяцем начала действия договора.

Гр.5 = гр.3 х гр.4.

5. Данные строки "Итого" гр.5 используются для расчета суммарного размера резерва незаработанной премии методом "1/24".

Таблица 3

Расчет суммарного резерва незаработанной премии методом "1/24"

Отчетная дата ______________________________________________________
Учетная группа ______________________________________________________
Валюта ______________________________________________________
Срок действия договоров Код строки Резерв незаработанной премии
1 2 3
1 месяц 01  
2 месяца 02  
3 месяца 03  
... ...  
(М - 1) месяц (М - 1)  
М месяцев М  
Итого (М + 1)  

Примечания к таблице 3

1. Таблица 3 предназначена для расчета суммарного резерва незаработанной премии методом "1/24''.

2. В гр.1 показываются сроки действия договоров в месяцах.

М - наибольший срок действия договоров в месяцах.

3. В гр.3 показывается величина резерва незаработанной премии согласно данным стр.(N + 1) гр.5 таблицы 2.

4. Сумма гр.3 по строке "Итого" составляет резерв незаработанной премии по соответствующей учетной группе.

Таблица 4

Расчет базовой страховой премии для целей расчета резерва незаработанной премии методом "1/8" по договорам со сроками действия, равными N кварталам

Отчетная дата ______________________________________________________
Учетная группа ______________________________________________________
Валюта ______________________________________________________

Квартал начала действия договора Код строки Срок действия договоров, N кварталов
Страховая брутто-премия Вознаграждение Отчисления в случаях, предусмотренных действующим законодательством Базовая страховая премия
1 2 3 4 5 6
Квартал 1 01        
Квартал 2 02        
Квартал 3 03        
... ...        
Квартал (N - 3) (N - 3)        
Квартал (N - 2) (N - 2)        
Квартал (N - 1) (N - 1)        
Квартал, заканчивающийся отчетной датой, N N        
Итого (N + 1)        

Примечание к таблице 4

1. Таблица 4 предназначена для определения базовой страховой премии в случае расчета резерва незаработанной премии методом "1/8" по договорам со сроками действия, равными N кварталам.

Для расчета базовой страховой премии договоры со сроками действия, равными N кварталам, группируются по подгруппам. В подгруппу включаются договоры с одинаковыми кварталами начала действия.

В целях расчета принимается, что срок действия договора, не равный целому числу кварталов, равен ближайшему большему целому числу кварталов.

2. В гр.3 показывается сумма начисленных страховых брутто-премий по каждой подгруппе договоров.

3. В гр.4 показывается сумма вознаграждения, начисленного за заключение договоров, относящихся к каждой подгруппе.

4. В гр.5 отражаются отчисления от страховых брутто-премий по каждой подгруппе договоров в случаях, предусмотренных действующим законодательством.

5. В гр.6, на основе заполненных граф таблицы, рассчитывается базовая страховая премия:

Гр.6 = гр.3 - гр.4 - гр.5.

6. Данные гр.6 переносятся в гр.3 Таблицы 5 и используются для расчета резерва незаработанной премии методом "1/8".

Таблица 5

Расчет резерва незаработанной премии методом "1/8" по договорам со
сроками действия, равными N кварталам

Отчетная дата ______________________________________________________
Учетная группа ______________________________________________________
Валюта ______________________________________________________
Квартал начала действия договора Код строки Срок действия договоров, N кварталов
Базовая страховая премия Коэффициент расчета Резерв незаработанной премии
1 2 3 4 5
Квартал 1 01   1/2N  
Квартал 2 02   3/2N  
Квартал 3 03   5/2N  
... ... ... ... ...
Квартал (N - 3) (N - 3)   (2N - 7)/2N  
Квартал (N - 2) (N - 2)   (2N - 5)/2N  
Квартал (N - 1) (N - 1)   (2N - 3)/2N  
Квартал, заканчивающийся отчетной датой, N N   (2N - 1)/2N  
Итого (N + 1) X X  

Примечания к таблице 5

1. Таблица 5 предназначена для расчета резерва незаработанной премии методом "1/8" по договорам со сроками действия, равными N кварталов.

2. В гр.3 показывается базовая страховая премия согласно данным гр.6 таблицы 4.

3. В гр.4 даны коэффициенты, используемые для расчета резерва незаработанной премии.

4. Резерв незаработанной премии рассчитывается как произведение базовой страховой премии и коэффициентов для расчета величины резерва незаработанной премии, приведенных в данной таблице, и отражается в гр.5 в соответствии с кварталом начала действия договора.

Гр.5 = гр.3 х гр.4.

5. Данные строки "Итого" гр.5 используются для расчета суммарного размера резерва незаработанной премии методом "1/8".

Таблица 6

Расчет суммарного резерва незаработанной премии методом "1/8"

Отчетная дата ______________________________________________________
Учетная группа ______________________________________________________
Валюта ______________________________________________________

Срок действия договоров Код строки Резерв незаработанной премии
1 2 3
1 квартал 01  
2 квартала 02  
3 квартала 03  
... ... ...
(М - 1) квартал (М - 1)  
М кварталов М  
Итого (M + 1)  

Примечания к таблице 6

1. Таблица 6 предназначена для расчета суммарного резерва незаработанной премии методом "1/8".

2. В гр.1 показываются сроки действия договоров в кварталах.

М - наибольший срок действия договоров в кварталах.

3. В гр.3 показывается величина резерва незаработанной премии согласно данным стр.(N + 1) гр.5 таблицы 5.

4. Сумма гр.3 по строке "Итого" составляет резерв незаработанной премии по соответствующей учетной группе.

Таблица 7

Расчет базовой страховой премии для целей расчета резерва незаработанной премии методом "pro rata temporis"

Отчетная дата ______________________________________________________
Учетная группа ______________________________________________________
Валюта ______________________________________________________
Договор Страховая брутто-премия Вознаграждение Отчисления в случаях, предусмотренных действующим законодательством Базовая страховая премия
1 2 3 4 5
1.        
2.        
3.        
...        
Итого        

Примечания к таблице 7

1. Таблица 7 предназначена для определения базовой страховой премии по каждому договору в случае расчета резерва незаработанной премии методом "pro rata temporis".

2. В гр.2 показываются суммы страховых брутто-премий, начисленных по каждому договору.

3. В гр.3 показываются суммы вознаграждений, начисленных за заключение каждого договора.

4. В гр.4 показываются отчисления от страховых брутто-премий по каждому договору в случаях, предусмотренных действующим законодательством.

5. В гр.5 на основе заполненных граф таблицы, рассчитывается базовая страховая премия по каждому договору:

Гр.5 = гр.2 - гр.3 - гр.4.

6. Данные гр.5 переносятся в гр.2 Таблицы 8 и используются для расчета резерва незаработанной премии методом "pro rata temporis".

Таблица 8

Расчет резерва незаработанной премии методом "pro rata temporis"

Отчетная дата ______________________________________________________
Учетная группа ______________________________________________________
Валюта ______________________________________________________
Договор Базовая страховая премия Срок действия договора (в днях) Число дней с начала действия договора на отчетную дату Неистекший на отчетную дату срок действия договора (в днях) Резерв незаработанной премии
1 2 3 4 5 6
1.          
2.          
3.          
...          
Итого X X X X  

Примечания к таблице 8

1. Таблица 8 предназначена для расчета резерва незаработанной премии методом "pro rata temporis" по каждому договору.

2. В гр.2 показывается базовая страховая премия согласно данным гр.5 таблицы 7.

3. В гр.3 показывается срок действия договора в днях согласно данным Журнала учета заключенных договоров страхования (сострахования) или Журнала учета договоров, принятых в перестрахование.

4. В гр.4 показывается число дней с начала действия договора на отчетную дату.

5. В гр.5, на основе заполненных граф таблицы, рассчитывается неистекший на отчетную дату срок действия договора (в днях):

Гр.5 = гр.3 - гр.4.

6. В гр.6, на основе заполненных граф таблицы, рассчитывается резерв незаработанной премии по каждому договору.

Гр.6 = гр.2 х гр.5:гр.3.

7. Сумма гр.6 по строке "Итого" составляет резерв незаработанной премии по соответствующей учетной группе.

Таблица 9

Расчет резерва заявленных, но неурегулированных убытков

Отчетная дата ______________________________________________________
Учетная группа ______________________________________________________
Валюта ______________________________________________________
Квартал наступления страховых случаев и (или) досрочного прекращения (изменения условий) договоров Код строки Сумма заявленных, но неурегулированных убытков на отчетную дату Сумма страховых премий (взносов), подлежащих на отчетную дату возврату страхователям (перестрахователям) в связи с досрочным прекращением (изменением условий) договоров Расходы по урегулированию убытков Резерв заявленных, но неурегулированных убытков
1 2 3 4 5 6
Квартал 11 01        
Квартал 10 02        
Квартал 9 03        
Квартал 8 04        
Квартал 7 05        
Квартал 6 06        
Квартал 5 07        
Квартал 4 08        
Квартал 3 09        
Квартал 2 10        
Квартал 1 11        
Квартал, заканчивающийся отчетной датой 12        
Итого 13 X X X  

Примечания к таблице 9

1. Таблица 9 предназначена для расчета резерва заявленных, но неурегулированных убытков.

2. Гр.3, 4 заполняются на основании данных Журнала учета убытков и досрочно прекращенных договоров страхования (сострахования) и (или) Журнала учета убытков по договорам, принятым в перестрахование.

3. В гр.5, на основе заполненных граф таблицы, рассчитывается величина расходов по урегулированию убытков:

Гр.5 = (гр. 3 + гр.4) х 0,03.

4. В гр.6, стр. с 01 по 12, на основе заполненных граф таблицы, рассчитывается резерв заявленных, но неурегулированных убытков:

Гр.6 = гр.3 + гр.4 + гр.5.

5. Сумма гр.6 по строке "Итого" составляет резерв заявленных, но неурегулированных убытков, по соответствующей учетной группе.

6. Если у страховщика имеются заявленные, но неурегулированные убытки, по страховым случаям, наступившим ранее чем за 12 кварталов до отчетной даты, то таблицу следует продлить на необходимое количество кварталов.

Таблица 10

Расчет заработанной страховой премии для целей расчета резерва произошедших, но незаявленных убытков

Отчетная дата ______________________________________________________
Учетная группа ______________________________________________________
Валюта ______________________________________________________
Квартал наступления убытков Код стр. Страховая брутто-премия Резерв незаработанной премии на начало квартала Резерв незаработанной премии на конец квартала Заработанная страховая премия
1 2 3 4 5 6
Квартал 1 01        
Квартал 2 02        
Квартал 3 03        
... ...        
Квартал (N - 2) (N - 2)        
Квартал (N - 1) (N - 1)        
Квартал, заканчивающийся отчетной датой, N N        

Примечания к таблице 10

1. Таблица 10 предназначена для определения заработанной страховой премии для расчета резерва произошедших, но незаявленных убытков.

2. В гр.3 показывается сумма страховых брутто-премий, начисленных в каждом квартале наступления убытков (в квартале, на который приходятся даты наступления страховых случаев).

N - число кварталов, за которые рассматриваются данные о наступлении убытков, используемое для расчета резерва произошедших, но незаявленных убытков.

3. В гр.4 показываются величины резерва незаработанной премии на начало каждого квартала наступления убытков.

4. В гр.5 показываются величины резерва незаработанной премии на конец каждого квартала наступления убытков.

5. В гр.6, на основе заполненных граф таблицы, рассчитывается заработанная страховая премия:

Гр.6 = гр.3 + гр.4 - гр.5.

6. Данные гр.6 переносятся в гр.(N + 3) Таблицы 11 и используются для расчета резерва произошедших, но незаявленных убытков.

Таблица 11

Расчет резерва произошедших, но незаявленных убытков

Отчетная дата ______________________________________________________
Учетная группа ______________________________________________________
Валюта ______________________________________________________

Код стр. Квартал оплаты (развития) убытков Заработанная страховая премия Коэффициент оплаченных убытков Ожидаемый коэффициент произошедших убытков Ожидаемая величина произошедших убытков Суммарная величина произошедших, но неоплаченных убытков Величина заявленных, но неурегулированных убытков Суммарная величина произошедших, но незаявленных убытков
1 2 3 ... (N - 2) (N - 1) N
1 2 3 4 5 ... N (N + 1) (N + 2) (N + 3) (N + 4) (N + 5) (N + 6) (N + 7) (N + 8) (N + 9)
Квартал наступления убытков 1 01       ...                    
2 02       ...     X     X        
3 03       ...   X X     X        
... ... ... ... ... ... ... ... ... ... ... ... ... ... ... ...
(N - 2) (N - 2)       ... X X X     X        
(N - 1) (N - 1)     X ... X X X     X        
N N   Х X ... X X X     X        
Совокупная величина убытков, произошедших во все кварталы наступления убытков и оплаченных на конец квартала оплаты (развития) убытков (N + 1)       ...       X X X X X X X  
Совокупная величина убытков, произошедших во все кварталы наступления убытков, кроме последнего, и оплаченных на конец квартала оплаты (развития) убытков (N + 2)       ...     X X X X X X X X  
Коэффициенты развития убытков (N + 3)       ...       X X X X X X X  
Факторы развития убытков (N + 4)       ...       X X X X X X X  
Факторы запаздывания (N + 5)       ...       X X X X X X X  
Величина произошедших, но незаявленных убытков (N + 6) X X X ... X X X X X X X X X    
Итого (N + 7) X X X ... X X X X X X X X X    

Примечания к таблице 11

1. Таблица 11 предназначена для расчета резерва произошедших, но незаявленных убытков.

2. В гр.3, стр.с 01 по N, показывается сумма убытков, произошедших в кварталы наступления убытков 1, 2, ..., N, соответственно, и оплаченных на конец первого квартала оплаты (развития) убытков.

N - число кварталов, за которые рассматриваются данные о наступлении убытков.

3. В гр.4, стр. с 01 по (N - 1), показывается сумма убытков, произошедших в кварталы наступления убытков 1, 2, ..., (N - 1), соответственно, и оплаченных на конец второго квартала оплаты (развития) убытков.

4. В гр.5, стр. с 01 по (N - 2), показывается сумма убытков, произошедших в кварталы наступления убытков 1, 2, ..., (N - 2), соответственно, и оплаченных на конец третьего квартала оплаты (развития) убытков.

5. Аналогично заполняются графы с 6 по (N - 1), строки с 01 по (N - 3).

6. В гр.N, стр. с 01 по 03, показывается сумма убытков, произошедших в кварталы наступления убытков 1, 2 и 3, соответственно, и оплаченных на конец (N - 2) квартала оплаты (развития) убытков.

7. В гр.(N + 1), стр.01, 02, показывается сумма убытков, произошедших в кварталы наступления убытков 1 и 2, соответственно, и оплаченных на конец (N - 1) квартала оплаты (развития) убытков.

8. В гр.(N + 2), стр.01, показывается сумма убытков, произошедших в первый из рассматриваемых кварталов наступления убытков, и оплаченных на конец квартала оплаты (развития) убытков N.

9. В гр.(N + 3), стр. с 01 по N показывается заработанная страховая премия согласно данным гр.6 Таблицы 10.

10. В стр.(N + 1), гр. с 3 по (N + 2), на основе заполненных строк таблицы, рассчитывается совокупная величина убытков, произошедших во все кварталы наступления убытков и оплаченных на конец каждого квартала оплаты (развития) убытков:

Гр.3, стр.(N + 1) = гр.3, стр.01 + гр.3, стр.02 + гр.3, стр.03 + ... + гр.3, стр.(N - 2) + гр.3, стр.(N - 1) + гр.3, стр.N;

Гр.4, стр.(N + 1) = гр.4, стр.01 + гр.4, стр.02 + гр.4, стр.03 + ... + гр.4, стр.(N - 2) + гр.4, стр.(N - 1);

Гр.5, стр.(N + 1) = гр.5, стр.01 + гр.5, стр.02 + гр.5, стр.03 + ... + гр.5, стр.(N - 2);

...

Гр.N, стр.(N + 1) = гр.N, стр.01 + гр.N, стр.02 + гр.N, стр.03;

Гр.(N + 1), стр.(N + 1) = гр.(N + 1), стр.01 + гр.(N + 1), стр.02;

Гр.(N + 2), стр.(N + 1) = гр.(N + 2), стр.01.

11. В стр.(N + 2), гр. с 3 по (N + 1), на основе заполненных строк таблицы, рассчитывается совокупная величина убытков, произошедших во все кварталы наступления убытков, кроме последнего, и оплаченных на конец каждого квартала оплаты (развития) убытков:

Гр.3, стр.(N + 2) = гр.3, стр.01 + гр.3, стр.02 + гр.3, стр.03 + ...

+ гр.3, стр.(N - 2) + гр.3, стр.(N - 1);

Гр.4, стр.(N + 2) = гр.4, стр.01 + гр.4, стр.02 + гр.4, стр.03 + ...

+ гр.4, стр.(N - 2);

Гр.5, стр.(N + 2) = гр.5, стр.01 + гр.5, стр.02 + гр.5, стр.03 + ...

+ гр.5, стр.(N - 3);

...

Гр.N, стр.(N + 2) = гр.N, стр.01 + гр.N, стр.02;

Гр.(N + 1), стр.(N + 2) = гр.(N + 1), стр.01.

12. В стр.(N + 3), гр. с 3 по (N + 2), на основе заполненных строк таблицы, рассчитываются коэффициенты развития убытков:

Гр.3, стр.(N + 3) =   гр.4, стр.(N + 1) , если гр.3, стр.(N + 2) не = 0,
  гр.3, стр.(N + 2)  
    гр.4, стр.(N + 3),   если гр.3, стр.(N + 2) = 0;
Гр.4,стр.(N + 3) =   гр.5, стр.(N + 1) , если гр.4, стр.(N + 2) не = 0,
  гр.4, стр.(N + 2)  
    гр.5, стр.(N + 3),   если гр.4, стр.(N + 2) = 0;

Гр.5, стр.(N + 3) =   гр.6, стр.(N + 1) , если гр.5, стр.(N + 2) не = 0,
  гр.5, стр.(N + 2)  
    гр.6, стр.(N + 3),   если гр.5, стр.(N + 2) = 0;

Гр.N, стр.(N + 3) =   гр.(N + 1), стр.(N + 1) , если гр.N, стр.(N + 2) не =0,
  гр.N, стр.(N + 2)  
    гр.(N + 1), стр.(N + 3),   если гр.N, стр.(N + 2) = 0;
Гр.(N + 1), стр.(N + 3) =   гр.(N + 2), стр.(N + 1) , если гр.(N + 1), стр.(N + 2) не = 0,
  гр.(N + 1), стр.(N + 2)  
    гр.(N + 2), стр.(N + 3),   если гр.(N + 1), стр.(N + 2) = 0;

Гр.(N + 2), стр.(N + 3) = 1.

13. В стр.(N + 4), гр. с 3 по (N + 2), рассчитываются факторы развития убытков от каждого квартала оплаты (развития) убытков до самого последнего из рассматриваемых кварталов оплаты (развития) убытков.

Гр.3, стр.(N + 4) = гр.3, стр.(N + 3) х гр.4, стр.(N + 3) х гр.5,

стр.(N + 3) x... х гр.N, стр.(N + 3) х

гр.(N + 1), стр.(N + 3) х гр.(N + 2),

стр.(N + 3);

Гр.4, стр.(N + 4) = гр.4, стр.(N + 3) х гр.5, стр.(N + 3) х... х

гр.N, стр.(N + 3) х гр.(N + 1), стр.(N + 3) х

гр.(N + 2), стр.(N + 3);

Гр.5, стр.(N + 4) = гр.5, стр.(N + 3) х... х гр.N, стр.(N + 3) х

х гр.(N + 1), стр.(N + 3) х гр.(N + 2),

стр.(N + 3);

...

Гр.N, стр.(N + 4) = гр.N, стр.(N + 3) х гр.(N + 1), стр.(N + 3) х

гр.(N + 2), стр.(N + 3);

Гр.(N + 1), стр.(N + 4) = гр.(N + 1), стр.(N + 3) х гр.(N + 2), стр.(N + 3);

Гр.(N + 2), стр.(N + 4) = гр.(N + 2), стр.(N + 3);

14. В стр.(N + 5), гр. с 3 по (N + 2), рассчитываются факторы запаздывания для каждого квартала оплаты (развития) убытков.

Гр.3, стр.(N + 5) = 1/гр.3, стр.(N + 4);

Гр.4, стр.(N + 5) = 1/гр.4, стр.(N + 4);

Гр.5, стр.(N + 5) = 1/гр.5, стр.(N + 4);

...

Гр.N, стр.(N + 5) = 1/гр.N, стр.(N + 4);

Гр.(N + 1), стр.(N + 5) = 1/гр.(N + 1), стр.(N + 4);

Гр.(N + 2), стр.(N + 5) = 1/гр.(N + 2), стр.(N + 4).

15. В гр.(N + 4), стр. с 01 по N, рассчитывается коэффициент оплаченных убытков для каждого квартала наступления убытков:

Гр.(N + 4), стр.01 = гр.(N + 2), стр.01 х гр.(N + 2), стр.(N + 4)/

гр.(N + 3), стр.01;

Гр.(N + 4), стр.02 = гр.(N + 1), стр.02 х гр.(N + 1), стр.(N + 4)/

гр.(N + 3), стр.02;

Гр.(N + 4), стр.03 = гр.N, стр.03 х гр.N, стр.(N + 4)/гр.(N + 3), стр.03;

...

Гр.(N + 4), стр.(N - 2) = гр.5, стр.(N - 2) х гр.5, стр.(N + 4)/

гр.(N + 3), стр.(N - 2);

Гр.(N + 4), стр.(N - 1) = гр.4, стр.(N - 1) х гр.4, стр.(N + 4)/

гр.(N + 3), стр.(N - 1);

Гр.(N + 4), стр.N = гр.3, стр.N x гр.3, стр.(N + 4)/гр.(N + 3), стр.N.

16. В гр.(N + 5), стр.01 рассчитывается ожидаемый коэффициент произошедших убытков как среднее из значений коэффициентов оплаченных убытков:

Гр.(N + 5), стр.01 = [гр.(N + 4), стр.01 + гр.(N + 4), стр.02 +

гр.(N + 4), стр.03 + ... + гр.(N + 4),

стр.(N - 2) + гр.(N + 4), стр.(N - 1) +

гр.(N + 4), стр.N)]/N.

В случае, если по учетной группе нет необходимого объема данных об оплаченных убытках за N кварталов наступления убытков, ожидаемый коэффициент произошедших убытков рассчитывается следующим образом:

Гр.(N + 5), стр.01 = max[(гр.(N + 4), стр.01 + гр.(N + 4), стр.02 +

гр.(N + 4), стр.03 + ... + гр.(N + 4), стр.(N - 2) + гр.(N + 4), стр.(N - 1) + гр.(N + 4),

стр.N))/N; 1].

17. В гр.(N + 6), стр. с 01 по N, рассчитывается ожидаемая величина произошедших убытков для каждого квартала наступления убытков.

Гр.(N + 6), стр.01 = гр.(N + 5), стр.01 х гр.(N + 3), стр.01;

Гр.(N + 6), стр.02 = гр.(N + 5), стр.01 х гр.(N + 3), стр.02;

Гр.(N + 6), стр.03 = гр.(N + 5), стр.01 х гр.(N + 3), стр.03;

...

Гр.(N + 6), стр.(N - 2) = гр.(N + 5), стр.01 х гр.(N + 3), стр.(N - 2);

Гр.(N + 6), стр.(N - 1) = гр.(N + 5), стр.01 х гр.(N + 3), стр.(N - 1);

Гр.(N + 6), стр.N = гр.(N + 5), стр.01 х гр.(N + 3), стр.N;

18. В гр.(N + 7), стр. с 01 по N, рассчитывается суммарная величина произошедших, но неоплаченных на отчетную дату убытков, для каждого квартала наступления убытков.

Гр.(N + 7), стр.01 = (1 - гр.(N + 2), стр.(N + 5)) х гр.(N + 6), стр.01;

Гр.(N + 7), стр.02 = (1 - гр.(N + 1), стр.(N + 5)) х гр.(N + 6), стр.02;

Гр.(N + 7), стр.03 = (1 - гр.N, стр.(N + 5)) х гр.(N + 6), стр.03;

...

Гр.(N + 7), стр.(N - 2) = (1 - гр.5, стр.(N + 5)) х гр.(N + 6), стр.(N - 2);

Гр.(N + 7), стр.(N - 1) = (1 - гр.4, стр.(N + 5)) х гр.(N + 6), стр.(N - 1);

Гр.(N + 7), стр.N = (1 - гр.3, стр.(N + 5)) х гр.(N + 6), стр.N.

19. В гр.(N + 8), стр. с 01 по N, показывается величина заявленных, но неурегулированных на отчетную дату убытков, по страховым случаям, произошедшим в каждом квартале наступления убытков, согласно данным гр.3 и 4 Таблицы 9.

20. В гр.(N + 9), стр. c 01 по N, рассчитывается суммарная величина произошедших, но незаявленных на отчетную дату убытков, для каждого квартала наступления убытков.

Гр.(N + 9), стр.01 = max[гр.(N + 7), стр.01 - гр.(N + 8), стр.01; 0];

Гр.(N + 9), стр.02 = max[гр.(N + 7), стр.02 - гр.(N + 8), стр.02; 0];

Гр.(N + 9), стр.03 = max[гр.(N + 7), стр.03 - гр.(N + 8), стр.03; 0];

Гр.(N + 9), стр.(N - 2) = max[гр.(N + 7), стр.(N - 2) - гр.(N + 8), стр.(N - 2); 0];

Гр.(N + 9), стр.(N - l) = max[гр.(N + 7), стр.(N - 1) - гр.(N + 8), стр.(N - 1); 0];

Гр.(N + 9), стр.N = max[гр.(N + 7), стр.N - гр.(N + 8), стр.N; 0].

21. В гр.(N + 9), стр.(N + 6) рассчитывается величина произошедших, но незаявленных убытков, по соответствующей учетной группе на отчетную дату.

Гр.(N + 9), стр.(N + 6) = гр.(N + 9), стр.01 + гр.(N + 9), стр.02 +

гр.(N + 9), стр.03 + ... + гр.(N + 9),

стр.(N - 2) + гр.(N + 9), стр.(N - 1) + гр.(N + 9), стр.N

22. В гр.(N + 9), стр.(N + 7) рассчитывается резерв произошедших, но незаявленных убытков, по соответствующей учетной группе на отчетную дату.

Гр.(N + 9), стр.(N + 7) = гр.(N + 9), стр.(N + 6) x 1,03.

В случае, если по учетной группе нет необходимого объема данных об оплаченных убытках за N кварталов наступления убытков, резерв произошедших, но незаявленных убытков, по соответствующей учетной группе на отчетную дату рассчитывается следующим образом:

Гр.(N + 9), стр.(N + 7) = max[(гр.(N + 3), стр.(N - 3) + гр.(N + 3),

стр.(N - 2) + гр.(N + 3), стр.(N - 1) +

гр.(N +3), стр.N) х 0,1;

гр.(N + 9), стр.(N + 6) х 1,03].

Таблица 12

Расчет финансового результата, заработанной страховой премии и коэффициента состоявшихся убытков для целей расчета стабилизационного резерва

Отчетная дата ______________________________________________________
Учетная группа ______________________________________________________
Валюта ______________________________________________________

Наименование показателя Код стр. Сумма
1 2 3
Страховая брутто-премия, начисленная в отчетном периоде 01  
Перестраховочная премия, начисленная в отчетном периоде, по договорам, переданным в перестрахование 02  
Отчисления от страховой брутто-премии в случаях, предусмотренных действующим законодательством, за отчетный период 03  
РНП на начало отчетного периода 04  
Доля перестраховщиков в РНП на начало отчетного периода 05  
РНП на конец отчетного периода (на отчетную дату) 06  
Доля перестраховщиков в РНП на конец отчетного периода (на отчетную дату) 07  
РЗУ на начало отчетного периода 08  
Доля перестраховщиков в РЗУ на начало отчетного периода 09  
РЗУ на конец отчетного периода (на отчетную дату)    
всего 10  
по страховым случаям, произошедшим за отчетный период 11  
Доля перестраховщиков в РЗУ на конец отчетного периода (на отчетную дату)    
всего 12  
по страховым случаям, произошедшим за отчетный период 13  
РПНУ на начало отчетного периода 14  
Доля перестраховщиков в РПНУ на начало отчетного периода 15  
РПНУ на конец отчетного периода (на отчетную дату)    
всего 16  
по страховым случаям, произошедшим за отчетный период 17  
Доля перестраховщиков в РПНУ на конец отчетного периода (на отчетную дату)    
всего 18  
по страховым случаям, произошедшим за отчетный период 19  
Страховые выплаты, произведенные за отчетный период    
всего 20  
по страховым случаям, произошедшим за отчетный период 21  
Доля перестраховщиков в страховых выплатах, произведенных за отчетный период    
всего 22  
по страховым случаям, произошедшим за отчетный период 23  
Страховые премии (взносы), возвращенные страхователям (перестрахователям) за отчетный период в связи с досрочным прекращением (изменением условий) договоров 24  
Доля перестраховщиков в страховых премиях (взносах), возвращенных страхователям (перестрахователям) за отчетный период в связи с досрочным прекращением (изменением условий) договоров 25  
Расходы по ведению страховых операций, произведенные за отчетный период:    
всего 26  
в том числе:    
затраты по заключению договоров 27  
расходы по урегулированию убытков 28  
вознаграждения и тантьемы по договорам, принятым в перестрахование 29  
Вознаграждения и тантьемы, начисленные за отчетный период, по договорам, переданным в перестрахование 30  
Финансовый результат 31  
Заработанная страховая премия - нетто-перестрахование 32  
Коэффициент состоявшихся убытков за отчетный период 33  

Примечание к таблице 12

1. Таблица 12 предназначена для определения финансового результата, заработанной страховой премии и коэффициента состоявшихся убытков для расчета стабилизационного резерва.

Все величины, используемые для определения финансового результата, заработанной страховой премии или коэффициента состоявшихся убытков по определенной учетной группе, относятся к соответствующей учетной группе.

2. По стр.01 показывается сумма начисленных страховых брутто-премий за отчетный период по договорам.

3. По стр.02 показывается сумма начисленных перестраховочных премий за отчетный период по договорам, переданным в перестрахование.

4. По стр.03 отражаются отчисления от страховых брутто-премий в случаях, предусмотренных действующим законодательством, за отчетный период.

5. По стр.04 показывается величина резерва незаработанной премии на начало отчетного периода.

6. По стр.05 показывается доля перестраховщиков в резерве незаработанной премии на начало отчетного периода.

7. По стр.06 показывается величина резерва незаработанной премии на конец отчетного периода (на отчетную дату).

8. По стр.07 показывается доля перестраховщиков в резерве незаработанной премии на конец отчетного периода (на отчетную дату).

9. По стр.08 показывается величина резерва заявленных, но неурегулированных убытков, на начало отчетного периода.

10. По стр.09 показывается доля перестраховщиков в резерве заявленных, но неурегулированных убытков, на начало отчетного периода.

11. По стр.10 показывается величина резерва заявленных, но неурегулированных убытков, на конец отчетного периода (на отчетную дату).

12. По стр.11 показывается величина резерва заявленных, но неурегулированных убытков, на конец отчетного периода (на отчетную дату) по страховым случаям, произошедшим за отчетный период.

13. По стр.12 показывается доля перестраховщиков в резерве заявленных, но неурегулированных убытков, на конец отчетного периода (на отчетную дату).

14. По стр.13 показывается доля перестраховщиков в резерве заявленных, но неурегулированных убытков, на конец отчетного периода (на отчетную дату) по страховым случаям, произошедшим за отчетный период.

15. По стр.14 показывается величина резерва произошедших, но незаявленных убытков, на начало отчетного периода.

16. По стр.15 показывается доля перестраховщиков в резерве произошедших, но незаявленных убытков, на начало отчетного периода.

17. По стр.16 показывается величина резерва произошедших, по не заявленных убытков, на конец отчетного периода (на отчетную дату).

18. По стр.17 показывается величина резерва произошедших, но незаявленных убытков, на конец отчетного периода (на отчетную дату) по страховым случаям, произошедшим за отчетный период.

19. По стр.18 показывается доля перестраховщиков в резерве произошедших, но незаявленных убытков, на конец отчетного периода (на отчетную дату).

20. По стр.19 показывается доля перестраховщиков в резерве произошедших, но незаявленных убытков, на конец отчетного периода (на отчетную дату) по страховым случаям, произошедшим за отчетный период.

21. По стр.20 отражается сумма страховых выплат, произведенных за отчетный период.

22. По стр.21 отражается сумма страховых выплат, произведенных за отчетный период по страховым случаям, произошедшим за отчетный период.

23. По стр.22 отражается доля перестраховщиков в страховых выплатах, произведенных за отчетный период.

24. По стр.23 отражается доля перестраховщиков в страховых выплатах, произведенных за отчетный период по страховым случаям, произошедшим за отчетный период.

25. По стр.24 отражается сумма страховых премий (взносов), возвращенных страхователям (перестрахователям) за отчетный период в связи с досрочным прекращением (изменением условий) договоров.

26. По стр.25 отражается доля перестраховщиков в страховых премиях (взносах), возвращенных страхователям (перестрахователям) за отчетный период в связи с досрочным прекращением (изменением условий) договоров.

27. По стр.26 показывается сумма расходов по ведению страховых операций, произведенных за отчетный период, в том числе затраты по заключению договоров, расходы по урегулированию убытков и начисленные вознаграждения и тантьемы по договорам, принятым в перестрахование.

28. По стр.27 показывается сумма произведенных за отчетный период затрат по заключению договоров.

29. По стр.28 показывается сумма произведенных за отчетный период расходов по урегулированию убытков.

30. По стр.29 показывается сумма начисленного вознаграждения и тантьем по договорам, принятым в перестрахование.

31. По стр.30 показывается сумма начисленного вознаграждения и тантьем по договорам, переданным в перестрахование.

32. В стр.31 на основе заполненных строк таблицы, рассчитывается величина финансового результата по учетной группе за отчетный период:

Стр.31 = стр.01 - стр.02 - стр.03 + стр.04 - стр.05 - стр.06 + стр.07 +

стр.08 - стр.09 - стр.10 + стр.12 + стр.14 - стр.15 - стр.16 +

стр.18 - стр.20 + стр.22 - стр.24 + стр.25 - стр.26 + стр.30.

33. В стр.32, на основе заполненных строк таблицы, рассчитывается величина заработанной страховой премии по учетной группе за отчетный период:

Стр.32 = max[стр.01 - стр.02 + стр.04 - стр.05 - стр.06 + стр.07; 0].

34. В стр.33, на основе заполненных строк таблицы, рассчитывается величина коэффициента состоявшихся убытков за отчетный период.

Стр.33 = (стр.21 - стр.23 + стр.11 - стр.13 + стр.17 - стр.19)/ стр.32.

35. Данные строк 31 - 33 используются для расчета стабилизационного резерва.

Таблица 13

Расчет стабилизационного резерва по учетным группам 6, 7, 10, 12, 14 и 15

Отчетная дата ______________________________________________________
Учетная группа ______________________________________________________
Валюта ______________________________________________________

Наименование показателя Код строки Сумма
1 2 3
Финансовый результат 01  
Стабилизационный резерв на начало отчетного периода 02  
Предельный размер стабилизационного резерва 03  
Увеличение/уменьшение стабилизационного резерва 04  
Промежуточный итог (стр.02 + стр.04) 05  
Стабилизационный резерв 06  

Примечания к таблице 13

1. Таблица 13 предназначена для расчета стабилизационного резерва по учетным группам 6, 7, 10, 12, 14 и 15.

Все величины, используемые для расчета стабилизационного резерва по определенной учетной группе, относятся к соответствующей учетной группе.

2. По стр.01 показывается финансовый результат за отчетный период согласно данным стр.31 таблицы 12.

3. По стр.02 показывается величина стабилизационного резерва на начало отчетного периода.

4. По стр.03 показывается предельный размер стабилизационного резерва на отчетную дату, равный 250 процентам по учетным группам 6, 7, 10, 14, 15 и 150 процентам по учетной группе 12 от суммарной годовой страховой брутто-премии, максимальной за последние 10 лет.

5. В стр.04, на основе стр.01 таблицы, рассчитывается величина изменения стабилизационного резерва за отчетный период:

Если стр.01 >= 0, то стр.04 = стр.01 х 0,6.

Если стр.01 < 0, то стр.04 = стр.01.

6. В стр.06, на основе заполненных строк таблицы, рассчитывается величина стабилизационного резерва на отчетную дату:

Стр.06 = 0, если стр.05 < 0;

Стр.06 = стр.03, если стр.03 <= стр.05;

Стр.06 = стр.05, если стр.03 > стр.05.

Таблица 14

Расчет средней величины коэффициента состоявшихся убытков и оценки квадратического отклонения значений коэффициента состоявшихся убытков для целей расчета стабилизационного резерва по учетным группам 1 - 5, 8, 9, 11, 13, 16 - 19

Отчетная дата ______________________________________________________
Учетная группа ______________________________________________________
Валюта ______________________________________________________

Наименование показателя Код строки Величина Отклонение от среднего значения, Квадрат отклонения от среднего значения,
      _ _ 2
      K(i) - K [K(i) - K]
1 2 3 4 5
Коэффициент состоявшихся убытков за первый финансовый год, предшествующий отчетному периоду, К(1) 01      
Коэффициент состоявшихся убытков за второй финансовый год, предшествующий отчетному периоду, К(2) 02      
... ... ...    
Коэффициент состоявшихся убытков за М-ый финансовый год, предшествующий отчетному периоду, K(M) М      
Средняя величина коэффициента состоявшихся убытков,
_
К
(М + 1)   X Х
Оценка квадратического отклонения значений коэффициента состоявшихся убытков, S (М + 2)   X Х

Примечания к таблице 14

1. Таблица 14 предназначена для определения средней величины коэффициента состоявшихся убытков и оценки квадратического отклонения значений коэффициента состоявшихся убытков для расчета стабилизационного резерва по учетным группам 1 - 5, 8, 9, 11, 13, 16 - 19.

Все величины, используемые для определения средней величины коэффициента состоявшихся убытков и оценки квадратического отклонения значений коэффициента состоявшихся убытков по определенной учетной группе, относятся к соответствующей учетной группе.

2. По строкам 01 - М графы 3 показывается коэффициент состоявшихся убытков за все финансовые годы (М, М < 15), предшествующие отчетному периоду.

3. В гр.3, стр.(М + 1), на основе заполненных строк таблицы, рассчитывается средняя величина коэффициента состоявшихся убытков:

Гр.3, стр.(М + 1) = (гр.3, стр.01 + гр.3, стр.02 + ... + гр.3, стр.М)/M.

4. В строках 01 - М графы 4, на основе графы 3 таблицы, рассчитывается отклонение величины коэффициента состоявшихся убытков от среднего значения для каждого финансового года:

Гр.4, стр.01 = гр.3, стр.01 - гр.3, стр.(М + 1);

Гр.4, стр.02 = гр.3, стр.02 - гр.3, стр.(М + 1);

...

Гр.4, стр.М = гр.3, стр.М - гр.3, стр.(М + 1).

5. В строках 01 - М графы 5, на основе графы 4 таблицы, рассчитывается отклонение величины коэффициента состоявшихся убытков от среднего значения, возведенное в квадрат, для каждого финансового года:

6. В гр.3. стр.(М + 2), на основе заполненных строк таблицы, рассчитывается оценка квадратического отклонения значений коэффициента состоявшихся убытков:

Гр.3, стр.(М + 2) = ((гр.5, стр.01 + гр.5, стр.02 + ... + гр.5,

Таблица 15

Расчет стабилизационного резерва по учетным группам 1 - 5, 8, 9, 11, 13, 16 - 19

Отчетная дата ______________________________________________________
Учетная группа ______________________________________________________
Валюта ______________________________________________________

Наименование показателя Код строки Величина
1 2 3
Заработанная страховая премия 01  
Стабилизационный резерв на начало отчетного периода 02  
Предельный размер стабилизационного резерва 03  
Коэффициент состоявшихся убытков за отчетный период, К 04  
Средняя величина коэффициента _ состоявшихся убытков, К 05  
Увеличение/уменьшение стабилизационного резерва 06  
Промежуточный результат (стр.02 - стр.06) 07  
Стабилизационный резерв 08  

Примечания к таблице 15

1. Таблица 15 предназначена для расчета стабилизационного резерва по учетным группам 1 - 5, 8, 9, 11, 13, 16 - 19.

Все величины, используемые для расчета стабилизационного резерва по определенной учетной группе, относятся к соответствующей учетной группе.

2. По стр.01 показывается заработанная страховая премия за отчетный период согласно данным стр.32 таблицы 12.

3. По стр.02 показывается величина стабилизационного резерва на начало отчетного периода.

4. По стр.03 показывается предельный размер стабилизационного резерва на отчетную дату, равный 450 процентам от оценки квадратического отклонения значений коэффициента состоявшихся убытков за отчетный период, умноженной на заработанную страховую премию за последний финансовый год.

Стр.03 = 4,5 х гр.3, стр.(М + 2), таб.14 х ЗП(М).

5. По стр.04 показывается коэффициент состоявшихся убытков за отчетный период согласно данным стр.33 таблицы 12.

6. По стр.05 показывается средняя величина коэффициента состоявшихся убытков согласно данным гр.3, стр.(М + 1) таблицы 14.

7. В стр.06, на основе заполненных строк таблицы, рассчитывается величина изменения стабилизационного резерва за отчетный период:

Стр.06 = стр.01 х (стр.04 - стр.05).

8. В стр.08, на основе заполненных строк таблицы, рассчитывается величина стабилизационного резерва на отчетную дату:

Стр.08 = 0, если стр.07 < 0;

Стр.08 = стр.03, если стр.03 <= стр.07;

Стр.08 = стр.07, если стр.03 > стр.07.

Таблицы 16 - 17 - Исключены. (в ред. Приказа Минфина РФ от 24.09.2008 N 100н)

Таблица 18

Расчет доходов, расходов и финансового результата для целей расчета стабилизационного резерва по обязательному страхованию гражданской ответственности владельцев транспортных средств по учетной группе 13.1

(в ред. Приказа Минфина РФ от 24.09.2008 N 100н)

Отчетная дата  
  руб.
Валюта  
Наименование показателя Код стр. Сумма
1 2 3
Страховая брутто-премия, начисленная в отчетном периоде 01  
Перестраховочная премия, начисленная в отчетном периоде, по договорам, переданным в перестрахование 02  
Отчисления от страховой брутто-премии в резервы компенсационных выплат (резерв гарантий и резерв текущих компенсационных выплат) за отчетный период 03  
РНП на начало отчетного периода 04  
Доля перестраховщиков в РНП на начало отчетного периода 05  
РНП на конец отчетного периода (на отчетную дату) 06  
Доля перестраховщиков в РНП на конец отчетного периода (на отчетную дату) 07  
РЗУ на начало отчетного периода (года) 08  
Доля перестраховщиков РЗУ на начало отчетного периода (года) 09  
РЗУ на конец отчетного периода (на отчетную дату) 10  
Доля перестраховщиков в РЗУ на конец отчетного периода (на отчетную дату) 11  
РПНУ на начало отчетного периода 12  
Доля перестраховщиков в РПНУ на начало отчетного периода 13  
РПНУ на конец отчетного периода (на отчетную дату) 14  
Доля перестраховщиков в РПНУ на конец отчетного периода (на отчетную дату) 15  
Страховые выплаты, произведенные за отчетный период 16  
Доля перестраховщиков в страховых выплатах, произведенных за отчетный период 17  
Страховые премии (взносы), возвращенные страхователям (перестрахователям) за отчетный период в связи с досрочным прекращением (изменением условий) договоров 18  
Доля перестраховщиков в страховых премиях (взносах), возвращенных страхователям (перестрахователям) за отчетный период в связи с досрочным прекращением (изменением условий) договоров 19  
Расходы по ведению страховых операций, произведенные за отчетный период, - всего: 20  
в том числе:    
затраты по заключению договоров 21  
расходы по урегулированию убытков 22  
расходы по рассмотрению и урегулированию требований о прямом возмещении убытков 23  
Вознаграждения и тантьемы, начисленные за отчетный период, по договорам, переданным в перестрахование 24  
Доходы, возникшие в результате расчетов по соглашению о прямом возмещении убытков исходя из числа удовлетворенных требований в течение отчетного периода и средних сумм страховых выплат в том числе: 24.1  
(в ред. Приказа Минфина РФ от 21.02.2011 N 20н)
доходы, возникшие у страховщика потерпевшего в результате списания кредиторской задолженности перед страховщиком причинителя вреда 24.2  
(в ред. Приказа Минфина РФ от 21.02.2011 N 20н)
доходы, возникшие у страховщика причинителя вреда в результате списания кредиторской задолженности перед страховщиком потерпевшего 24.3  
(в ред. Приказа Минфина РФ от 21.02.2011 N 20н)
Расходы, возникшие в результате расчетов по соглашению о прямом возмещении убытков исходя из числа удовлетворенных требований в течение отчетного периода и средних сумм страховых выплат в том числе: 24.4  
(в ред. Приказа Минфина РФ от 21.02.2011 N 20н)
расходы, возникшие у страховщика потерпевшего в результате списания дебиторской задолженности страховщика причинителя вреда 24.5  
(в ред. Приказа Минфина РФ от 21.02.2011 N 20н)
расходы, возникшие у страховщика причинителя вреда в результате списания дебиторской задолженности страховщика потерпевшего 24.6  
(в ред. Приказа Минфина РФ от 21.02.2011 N 20н)
Изменение РНП, РЗУ, РПНУ нетто-перестрахование за отчетный период 25  
Итого - доходы 26  
Итого - расходы 27  
Финансовый результат (превышение доходов над расходами или расходов над доходами) 28  
(в ред. Приказа Минфина РФ от 01.10.2009 N 101н)

Примечания к таблице 18. 1. Таблица 18 предназначена для определения доходов, расходов и финансового результата для расчета стабилизационного резерва по обязательному страхованию гражданской ответственности владельцев транспортных средств по учетной группе 13.1 на конец отчетного периода.

Все величины, используемые для определения доходов, расходов и финансового результата по учетной группе 13.1 относятся к учетной группе 13.1.

2. По стр. 01 отражается сумма начисленных страховых брутто-премий за отчетный период по договорам.

3. По стр. 02 отражается сумма начисленных перестраховочных премий за отчетный период по договорам, переданным в перестрахование.

4. По стр. 03 отражается сумма отчислений от страховых брутто-премий в резервы компенсационных выплат (резерв гарантий и резерв текущих компенсационных выплат) за отчетный период.

5. По стр. 04 отражается величина резерва незаработанной премии на начало отчетного периода.

6. По стр. 05 отражается доля перестраховщиков в резерве незаработанной премии на начало отчетного периода.

7. По стр. 06 отражается величина резерва незаработанной премии на конец отчетного периода (на отчетную дату).

8. По стр. 07 отражается доля перестраховщиков в резерве незаработанной премии на конец отчетного периода (на отчетную дату).

9. По стр. 08 отражается величина резерва заявленных, но неурегулированных убытков на начало отчетного периода.

10. По стр. 09 отражается доля перестраховщиков в резерве заявленных, но неурегулированных убытков на начало отчетного периода.

11. По стр. 10 отражается величина резерва заявленных, но неурегулированных убытков на конец отчетного периода (на отчетную дату).

12. По стр. 11 отражается доля перестраховщиков в резерве заявленных, но неурегулированных убытков на конец отчетного периода (на отчетную дату).

13. По стр. 12 отражается величина резерва произошедших, но незаявленных убытков на начало отчетного периода.

14. По стр. 13 отражается доля перестраховщиков в резерве произошедших, но незаявленных убытков на начало отчетного периода.

15. По стр. 14 отражается величина резерва произошедших, но незаявленных убытков на конец отчетного периода (на отчетную дату).

16. По стр. 15 отражается доля перестраховщиков в резерве произошедших, но незаявленных убытков на конец отчетного периода (на отчетную дату).

17. По стр. 16 отражается сумма страховых выплат, произведенных за отчетный период.

18. По стр. 17 отражается доля перестраховщиков в страховых выплатах, произведенных за отчетный период.

19. По стр. 18 отражается сумма страховых премий (взносов), возвращенных страхователям (перестрахователям) за отчетный период в связи с досрочным прекращением (изменением условий) договоров.

20. По стр. 19 отражается доля перестраховщиков в страховых премиях (взносах), возвращенных страхователям (перестрахователям) за отчетный период в связи с досрочным прекращением (изменением условий) договоров.

21. По стр. 20 отражается сумма расходов по ведению страховых операций, произведенных за отчетный период, в том числе затраты по заключению договоров, расходы по урегулированию убытков и начисленные вознаграждения и тантьемы по договорам, принятым в перестрахование.

22. По стр. 21 отражается сумма произведенных за отчетный период затрат по заключению договоров.

23. По стр. 22 отражается сумма произведенных за отчетный период расходов по урегулированию убытков.

24. По стр. 23 отражается сумма произведенных за отчетный период расходов по рассмотрению и урегулированию требований потерпевших о прямом возмещении убытков.

25. По стр. 24 отражается сумма начисленного вознаграждения и тантьем по договорам, переданным в перестрахование.

25.1. По стр. 24.1 отражается сумма доходов, возникших в результате расчетов по соглашению о прямом возмещении убытков исходя из числа удовлетворенных требований в течение отчетного периода и средних сумм страховых выплат. При этом в стр. 24.2 и 24.3 сумма доходов, отраженная по стр. 24.1, детализируется в зависимости от того, кем является страховщик: (в ред. Приказа Минфина РФ от 21.02.2011 N 20н)

по стр. 24.2 отражается сумма доходов, возникших у страховщика потерпевшего в результате списания кредиторской задолженности перед страховщиком причинителя вреда; (в ред. Приказа Минфина РФ от 21.02.2011 N 20н)

по стр. 24.3 отражается сумма доходов, возникших у страховщика причинителя вреда в результате списания кредиторской задолженности перед страховщиком потерпевшего. (в ред. Приказа Минфина РФ от 21.02.2011 N 20н)

25.2. По стр. 24.4 отражается сумма расходов, возникших в результате расчетов по соглашению о прямом возмещении убытков исходя из числа удовлетворенных требований в течение отчетного периода и средних сумм страховых выплат. При этом в стр. 24.5 и 24.6 сумма расходов, отраженная по стр. 24.4, детализируется в зависимости от того, кем является страховщик: (в ред. Приказа Минфина РФ от 21.02.2011 N 20н)

по стр. 24.5 отражается сумма расходов, возникших у страховщика потерпевшего в результате списания дебиторской задолженности страховщика причинителя вреда; (в ред. Приказа Минфина РФ от 21.02.2011 N 20н)

по стр. 24.6 отражается сумма расходов, возникших у страховщика причинителя вреда в результате списания дебиторской задолженности страховщика потерпевшего. (в ред. Приказа Минфина РФ от 21.02.2011 N 20н)

26. В стр. 25, на основе заполненных строк таблицы, рассчитывается величина изменения резерва незаработанной премии, резерва заявленных, но неурегулированных убытков, резерва произошедших, но неурегулированных убытков, нетто-перестрахование за отчетный период:

стр. 25 = стр. 06 - стр. 07 - стр. 04 + стр. 05 + стр. 10 - стр. 11 - стр. 08 + стр. 09 + стр. 14 - стр. 15 - стр. 12 + стр. 13.

27. В стр. 26, на основе заполненных строк таблицы, рассчитывается величина доходов по учетной группе 13.1 за отчетный период:

Стр. 26 = стр. 01 - стр. 02 + стр. 24 + стр. 24.1, если стр. 25 0; (в ред. Приказа Минфина РФ от 21.02.2011 N 20н)

Стр. 26 = стр. 01 - стр. 02 + стр. 24 + стр. 24.1 - стр. 25, если стр. 25 < 0. (в ред. Приказа Минфина РФ от 21.02.2011 N 20н)

28. В стр. 27, на основе заполненных строк таблицы, рассчитывается величина расходов по учетной группе 13.1 за отчетный период:

Стр. 27 = стр. 03 + стр. 16 - стр. 17 + стр. 18 - стр. 19 + стр. 20 + стр. 24.4 + стр. 25, если стр. 25 0; (в ред. Приказа Минфина РФ от 21.02.2011 N 20н)

Стр. 27 = стр. 03 + стр. 16 - стр. 17 + стр. 18 - стр. 19 + стр. 20 + стр. 24.4, если стр. 25 < 0. (в ред. Приказа Минфина РФ от 21.02.2011 N 20н)

29. В стр. 28, на основе заполненных строк таблицы, рассчитывается величина финансового результата по учетной группе 13.1 за отчетный период:

Стр. 28 = стр. 26 - стр. 27.

30. Данные строк 26 - 27 используются для расчета стабилизационного резерва по обязательному страхованию гражданской ответственности владельцев транспортных средств.

Таблица 19

Расчет стабилизационного резерва по обязательному страхованию гражданской ответственности владельцев транспортных средств по учетной группе 13.1

(в ред. Приказа Минфина РФ от 01.10.2009 N 101н)

Отчетная дата  
Валюта руб.
Наименование показателя Код стр. Сумма
1 2 3
Доходы 01  
Финансовый результат (превышение доходов над расходами или расходов над доходами) 02  
Стабилизационный резерв по обязательному страхованию гражданской ответственности владельцев транспортных средств на начало отчетного периода 03  
Резерв произошедших, но незаявленных убытков на конец отчетного периода 04  
Предельная величина стабилизационного резерва по обязательному страхованию гражданской ответственности владельцев транспортных средств 05  
Увеличение/уменьшение стабилизационного резерва по обязательному страхованию гражданской ответственности владельцев транспортных средств 06  
Промежуточный итог (стр. 03 + стр. 06) 07  
Стабилизационный резерв по обязательному страхованию гражданской ответственности владельцев транспортных средств на конец отчетного периода 08  

Примечания к таблице 19. 1. Таблица 19 предназначена для расчета стабилизационного резерва по обязательному страхованию гражданской ответственности владельцев транспортных средств.

Все величины, используемые для расчета стабилизационного резерва по обязательному страхованию гражданской ответственности владельцев транспортных средств, относятся к учетной группе 13.1.

2. По стр. 01 отражается сумма доходов за отчетный период согласно данным стр. 26 таблицы 18.

3. По стр. 02 отражается финансовый результат за отчетный период согласно данным стр. 28 таблицы 18.

4. По стр. 03 отражается величина стабилизационного резерва по обязательному страхованию гражданской ответственности владельцев транспортных средств на начало отчетного периода.

5. По стр. 04 отражается величина резерва произошедших, но незаявленных убытков по обязательному страхованию гражданской ответственности владельцев транспортных средств на конец отчетного периода согласно данным стр. 14 таблицы 18.

6. В стр. 05 на основе данных стр. 04 и других данных рассчитывается предельная величина стабилизационного резерва по обязательному страхованию гражданской ответственности владельцев транспортных средств на конец отчетного периода:

а) в период с 1 января 2010 года до 31 декабря 2012 года:

стр. 05 = 0,1 х стр. 04 + (СР_2009 - 0,1 X РПНУ_2009) х N
12

СР_2009 - величина стабилизационного резерва по обязательному страхованию гражданской ответственности владельцев транспортных средств, рассчитанного на 31 декабря на 2009 года;

РПНУ_2009 - величина резерва произошедших, но незаявленных убытков по обязательному страхованию гражданской ответственности владельцев транспортных средств, рассчитанного на 31 декабря на 2009 года;

N - количество кварталов, неистекших до 31 декабря 2012 года;

б) начиная с 31 декабря 2012 года:

стр. 05 = 0,1 х стр. 04.

7. В стр. 06 на основе данных стр. 01, стр. 02 и стр. 05 рассчитывается величина изменения стабилизационного резерва по обязательному страхованию гражданской ответственности владельцев транспортных средств за отчетный период:

если стр. 02 >= 0,05 х стр. 01, то стр. 06 = стр. 02 - 0,05 х стр. 01;

если 0 < стр. 02 < 0,05 х стр. 01, то стр. 06 = 0;

если стр. 02 <= 0, то стр. 06 = стр. 02.

8. В стр. 08, на основе заполненных строк таблицы, рассчитывается величина стабилизационного резерва по обязательному страхованию гражданской ответственности владельцев транспортных средств на конец отчетного периода (на отчетную дату):

если стр. 07 >= стр. 05, то стр. 08 = стр. 05;

если 0 < стр. 07 < стр. 05, то стр. 08 = стр. 07;

если стр. 07 <= 0, то стр. 08 = 0.

Таблица 19.1

Расчет стабилизационного резерва по обязательному страхованию гражданской ответственности владельца опасного объекта за причинение вреда в результате аварии на опасном объекте по учетной группе 15.1

(в ред. Приказа Минфина РФ от 30.11.2011 N 165н)

Отчетная дата _____________  
  Валюта ---------------------  
Наименование показателя Код стр. Сумма
1 2 3
Страховая брутто-премия, начисленная в отчетном периоде 01  
Перестраховочная премия, начисленная в отчетном периоде, по договорам, переданным в перестрахование 02  
Отчисления от страховой брутто-премии в резерв для финансирования компенсационных выплат за отчетный период 03  
РНП на начало отчетного периода 04  
Доля перестраховщиков в РНП на начало отчетного периода 05  
РНП на конец отчетного периода (на отчетную дату) 06  
Доля перестраховщиков в РНП на конец отчетного периода (на отчетную дату) 07  
РЗУ на конец отчетного периода (на отчетную дату) по страховым случаям, произошедшим за отчетный период 08  
Доля перестраховщиков в РЗУ на конец отчетного периода (на отчетную дату) по страховым случаям, произошедшим за отчетный период 09  
РПНУ на конец отчетного периода (на отчетную дату) по страховым случаям, произошедшим за отчетный период 10  
Доля перестраховщиков в РПНУ на конец отчетного периода (на отчетную дату) по страховым случаям, произошедшим за отчетный период 11  
Страховые выплаты, произведенные за отчетный период, по страховым случаям, произошедшим за отчетный период 12  
Доля перестраховщиков в страховых выплатах, произведенных за отчетный период, по страховым случаям, произошедшим за отчетный период 13  
Заработанная страховая премия - нетто-перестрахование 14  
Коэффициент состоявшихся убытков за отчетный период 15  
Расчетная величина коэффициента состоявшихся убытков 16  
Стабилизационный резерв на начало отчетного периода 17  
Увеличение/уменьшение стабилизационного резерва 18  
Промежуточный результат (стр. 17 + стр. 18) 19  
Стабилизационный резерв на отчетную дату 20  

Примечания к таблице 19.1

1. Таблица 19.1 предназначена для определения заработанной страховой премии, коэффициента состоявшихся убытков и расчетной величины коэффициента состоявшихся убытков для расчета стабилизационного резерва по учетной группе 15.1 на конец отчетного периода.

Все величины, используемые для определения заработанной страховой премии, коэффициента состоявшихся убытков и расчетной величины коэффициента состоявшихся убытков по учетной группе 15.1, относятся к учетной группе 15.1.

2. По стр. 01 отражается сумма начисленных страховых брутто-премий за отчетный период по договорам.

3. По стр. 02 отражается сумма начисленных перестраховочных премий за отчетный период по договорам, переданным в перестрахование.

4. По стр. 03 отражается сумма произведенных за отчетный период отчислений от страховых брутто-премий в резерв для финансирования компенсационных выплат.

5. По стр. 04 отражается величина резерва незаработанной премии на начало отчетного периода.

6. По стр. 05 отражается доля перестраховщиков в резерве незаработанной премии на начало отчетного периода.

7. По стр. 06 отражается величина резерва незаработанной премии на конец отчетного периода (на отчетную дату).

8. По стр. 07 отражается доля перестраховщиков в резерве незаработанной премии на конец отчетного периода (на отчетную дату).

9. По стр. 08 отражается величина резерва заявленных, но неурегулированных убытков на конец отчетного периода (на отчетную дату) по страховым случаям, произошедшим за отчетный период.

10. По стр. 09 отражается доля перестраховщиков в резерве заявленных, но неурегулированных убытков на конец отчетного периода (на отчетную дату) по страховым случаям, произошедшим за отчетный период.

11. По стр. 10 отражается величина резерва произошедших, но незаявленных убытков на конец отчетного периода (на отчетную дату) по страховым случаям, произошедшим за отчетный период.

12. По стр. 11 отражается доля перестраховщиков в резерве произошедших, но незаявленных убытков на конец отчетного периода (на отчетную дату) по страховым случаям, произошедшим за отчетный период.

13. По стр. 12 отражается сумма страховых выплат, произведенных за отчетный период по страховым случаям, произошедшим за отчетный период.

14. По стр. 13 отражается доля перестраховщиков в страховых выплатах, произведенных за отчетный период по страховым случаям, произошедшим за отчетный период.

15. В стр. 14 на основе заполненных строк таблицы рассчитывается величина заработанной страховой премии за отчетный период - нетто-перестрахование:

Стр. 14 = max [стр. 01 - стр. 02 + стр. 04 - стр. 05 - стр. 06 + стр. 07; 0].

16. В стр. 15 на основе заполненных строк таблицы рассчитывается величина коэффициента состоявшихся убытков по учетной группе 15.1 за отчетный период:

Стр. 15 = (стр. 12 - стр. 13 + стр. 08 - стр. 09 + стр. 10 - стр. 11)/ стр. 14.

Коэффициент состоявшихся убытков рассчитывается с точностью до двух знаков после запятой.

17. По стр. 16 отражается расчетная величина коэффициента состоявшихся убытков по учетной группе 15.1 за отчетный период, равная доле нетто-ставки в структуре страхового тарифа по обязательному страхованию гражданской ответственности владельца опасного объекта за причинение вреда в результате аварии на опасном объекте (в долях).

18. По стр. 17 отражается величина стабилизационного резерва на начало отчетного периода.

19. В стр. 18 на основе заполненных строк таблицы рассчитывается величина изменения стабилизационного резерва за отчетный период:

Стр. 18 = стр. 14 x (стр. 16 - стр. 15).

20. В стр. 20 на основе заполненных строк таблицы рассчитывается величина стабилизационного резерва на конец отчетного периода (на отчетную дату):

Стр. 20 = 0, если стр. 19 < 0;

Стр. 20 = стр. 19, если стр. 19 >= 0.

Таблица 20

Таблица пересчета страховых резервов, сформированных в иностранной валюте, в рубли

(в ред. Приказа Минфина РФ от 23.06.2003 N 54н)

Отчетная дата ______________________________________________________
Учетная группа ______________________________________________________
Валюта ______________________________________________________

Код стр. Резерв незаработанной премии Резерв заявленных, но неурегулированных убытков Резерв произошедших, но незаявленных убытков
1 2 3 4 5
Величина резерва в иностранной валюте 01      
Курс иностранной валюты к рублю 02      
Величина резерва в рублях 03      

Примечания к таблице 16

1. Таблица 16 предназначена для пересчета резервов, рассчитанных в иностранной валюте, в рубли.

2. По стр.01 показывается величина резерва по учетной группе:

в гр.3 - величина резерва незаработанной премии согласно данным таблиц 3, 6 и 8 (в зависимости от методов расчета резерва незаработанной премии);

в гр.4 - величина резерва заявленных, но неурегулированных убытков, согласно данным таблицы 9;

в гр.5 - величина резерва произошедших, но незаявленных убытков, согласно данным таблицы 11.

3. По стр.02 показывается установленный Центральным Банком Российской Федерации курс иностранной валюты к рублю на отчетную дату.

4. По стр.03 отражаются суммы страховых резервов в рублях.

 

Таблица 21

Общая величина страховых резервов

(в ред. Приказов Минфина РФ от 23.06.2003 N 54н, от 24.09.2008 N 100н, от 30.11.2011 N 165н)

Отчетная дата _____________________

Резерв незаработанной премии

Учетная группа Рубли Иностранная валюта Итого
Валюта 1 Валюта 2 ... Валюта N
1 2 3 4 ... (N + 2) (N + 3)
1       ...    
2       ...    
...       ...    
13.1   х х ... х  
...            
Итого       ...    

Резерв заявленных, но неурегулированных убытков

1       ...    
2       ...    
...       ...    
13.1   х х ... х  
...            
Итого       ...    

Резерв произошедших, но незаявленных убытков

1       ...    
2       ...    
...       ...    
13.1   х х ... х  
...            
Итого       ...    

Стабилизационный резерв

1   х х ... х  
2   х х ... х  
...   х х ... х  
Итого   х х ... х  

Стабилизационный резерв по обязательному страхованию гражданской ответственности владельцев транспортных средств

13.1   х х ... х  
Итого   х х ... х  
Общая величина страховых резервов            

Примечания к таблице 21. 1. Таблица 21 предназначена для определения общей величины страховых резервов на отчетную дату.

2. В гр. 1 указываются учетные группы.

3. В гр. 2 показывается величина резерва по каждой учетной группе в рублях.

4. В графах с 3 по (N + 2) показывается величина резерва, пересчитанного из иностранной валюты в рубли, по каждой учетной группе. Необходимые данные берут из таблицы 20.

По учетным группам 13.1 и 15.1 в графах с 3 по (N + 2) проставляется знак "X" (см. пример с учетной группой 13.1). (в ред. Приказа Минфина РФ от 30.11.2011 N 165н)

5. В гр. (N + 3) показывается общая величина резерва по каждой учетной группе.