Санитарные нормы и правила устройства и эксплуатации лазеров

(утв. Главным государственным санитарным врачом СССР 31.07.91 N 5804-91)

УТВЕРЖДЕНЫ
Главным государственным санитарным врачом СССР
31 июля 1991 г. N 5804-91

САНИТАРНЫЕ НОРМЫ И ПРАВИЛА УСТРОЙСТВА И ЭКСПЛУАТАЦИИ ЛАЗЕРОВ

ВВЕДЕНИЕ

Настоящие "Санитарные нормы и правила устройства и эксплуатации лазеров" (в дальнейшем - Правила) разработаны на основании результатов научных исследований и следующих документов:

1. Санитарные нормы и правила устройства и эксплуатации лазеров N 2392-81;

2. Стандарт Международной электротехнической комиссии (МЭК), публикация 825, издание первое, 1984 - "Радиационная безопасность лазерных изделий, классификация оборудования, требования и руководство для потребителей";

3. Изменения к стандарту МЭК, публикация 825 (1987 г.).

Правила являются обязательными для всех предприятий, государственных, кооперативных, совместных, арендных и др. организаций всех министерств и ведомств (далее в тексте - предприятий), которые проектируют лазерные изделия.

Ответственность за выполнение Правил возлагается на руководство предприятий.

Министерства и ведомства (ассоциации, концерны, межотраслевые государственные объединения и др.) должны осуществлять контроль за выполнением требований настоящих Правил на подведомственных предприятиях во взаимодействии с обществами, союзами, федерациями потребителей, местными организациями.

На основе настоящих Правил могут разрабатываться нормативно-технические документы для отдельных видов работ с применением лазеров.

Правила вводятся в действие с момента их утверждения, и с их изданием утрачивают силу "Санитарные нормы и правила устройства и эксплуатации лазеров" N 2392-81, а также все нормативно-методические документы, разработанные на их основе.

1. Общие положения

1.1. Настоящие Правила устанавливают:

- предельно допустимые уровни (ПДУ) лазерного излучения в диапазоне длин волн 180 - 10(5) нм при различных условиях воздействия на человека;

- классификацию лазеров по степени опасности генерируемого ими излучения;

- требования к устройству и эксплуатации лазеров;

- требования к производственным помещениям, размещению оборудования и организации рабочих мест;

- требования к персоналу;

- контроль за состоянием производственной среды;

- требования к применению средств защиты;

- требования к медицинскому контролю.

1.2. В зависимости от типа, конструкции и целевого назначения лазеров и лазерных установок (далее по тексту - лазерных изделий) на обслуживающий персонал могут воздействовать следующие опасные и вредные факторы:

- лазерное излучение (прямое, отраженное и рассеянное);

- сопутствующие ультрафиолетовое, видимое и инфракрасное излучения от источников накачки, плазменного факела и материалов мишени;

- высокое напряжение в цепях управления и источниках электропитания;

- электромагнитное излучение промышленной частоты и радиочастотного диапазона;

- рентгеновское излучение от газоразрядных трубок и других элементов, работающих при анодном напряжении более 5 кВ;

- шум;

- вибрация;

- токсические газы и пары от лазерных систем с прокачкой, хладагентов и др.;

- продукты взаимодействия лазерного излучения с обрабатываемыми материалами;

- повышенная температура поверхностей лазерного изделия;

- опасность взрыва в системах накачки лазеров.

При эксплуатации и разработке лазерных изделий необходимо учитывать также возможность взрывов и пожаров при попадании лазерного излучения на горючие материалы.

1.3. Уровни опасных и вредных производственных факторов на рабочем месте не должны превышать значений, установленных действующими нормативными документами (см. Приложение 1) и настоящими Правилами.

1.4. Биологические эффекты воздействия лазерного излучения на организм определяются механизмами взаимодействия излучения с тканями (тепловой, фотохимический, ударно-акустический и др.) и зависят от длины волны излучения, длительности импульса (воздействия), частоты следования импульсов, площади облучаемого участка, а также от биологических и физико-химических особенностей облучаемых тканей и органов.

1.5. Лазерное излучение с длиной волны от 380 до 1400 нм наибольшую опасность представляет для сетчатой оболочки глаза, а излучение с длиной волны от 180 до 380 нм и свыше 1400 нм - для передних сред глаза.

1.6. Повреждение кожи может быть вызвано лазерным излучением любой длины волны рассматриваемого спектрального диапазона (180 - 10(5) нм).

2. Термины, определения и условные обозначения

2.1. Апертура - отверстие в защитном корпусе лазера, через которое испускается лазерное излучение.

2.2. Блокировка и сигнализация - системы, информирующие о работе лазерного изделия, режиме его работы и препятствующие доступу персонала в лазерно опасную зону и к электрическим цепям высокого напряжения.

2.3. Диаметр пучка лазерного излучения - диаметр поперечного сечения пучка лазерного излучения, внутри которого проходит заданная доля энергии или мощности.

2.4. Длительность воздействия (облучения) - длительность импульса, серии импульсов или непрерывного излучения, попадающего на тело человека.

2.5. Диффузно отраженное лазерное излучение - излучение, отраженное от поверхности, соизмеримой с длиной волны, по всевозможным направлениям в пределах полусферы.

2.6. Дозиметрия лазерного излучения - комплекс методов определения значений параметров лазерного излучения в заданной точке пространства с целью выявления степени опасности и вредности для организма человека.

2.7. Закрытые лазерные установки - установки с экранированным пучком лазерного излучения, при работе которых исключено воздействие на человека лазерного излучения любых уровней.

2.8. Защитный корпус (кожух) - часть лазерного изделия, предназначенная для предотвращения доступа человека к лазерному излучению и высокому электрическому напряжению.

2.9. Зеркально отраженное лазерное излучение - излучение, отраженное под углом, равным углу падения.

2.10. Импульсное излучение - излучение, существующее в ограниченном интервале времени, меньшем времени наблюдения.

2.11. Коллимированное лазерное излучение - лазерное излучение, заключенное в ограниченном телесном угле.

2.12. Коэффициент пропускания - отношение потока излучения, прошедшего сквозь тело, к потоку излучения, упавшего на него.

2.13. Лазер - генератор электромагнитного излучения оптического диапазона, основанный на использовании вынужденного излучения.

2.14. Лазерное изделие - лазер и установка, включающая лазер и другие технические компоненты, обеспечивающие ее целевое назначение.

2.15. Лазерная безопасность - совокупность технических, санитарно-гигиенических, лечебно-профилактических и организационных мероприятий, обеспечивающих безопасные и безвредные условия труда персонала при использовании лазерных изделий.

2.16. Лазерная опасная зона (ЛОЗ) - часть пространства, в пределах которого уровень лазерного излучения превышает предельно допустимый.

2.17. Лазерное безопасное расстояние для глаз - наименьшее расстояние, на котором энергетическая экспозиция (энергия) не превышает ПДУ для глаза.

2.18. Непрерывное лазерное излучение - излучение, существующее в любой момент времени наблюдения.

2.19. Облученность - отношение потока излучения, падающего на малый участок поверхности, содержащий рассматриваемую точку, к площади этого участка.

2.20. Ограничивающая апертура - круглая диафрагма, ограничивающая поверхность, по которой производится усреднение облученности или энергетической экспозиции.

2.21. Однократное воздействие лазерного излучения - случайное воздействие излучения с длительностью не превышающей 3 х 10(4) с.

2.22. Оптическая плотность - десятичный логарифм величины, обратной коэффициенту пропускания.

2.23. Открытые лазерные установки - установки, конструкция которых допускает выход излучения в рабочую зону.

2.24. Предельно допустимые уровни лазерного излучения при однократном воздействии - уровни излучения, при воздействии которых существует незначительная вероятность возникновения обратимых отклонений в организме работающего. То же - для предельной однократной суточной дозы излучения в диапазоне 180 < ламбда <= 380 нм (1).

2.25. Предельно допустимые уровни лазерного излучения при хроническом воздействии - уровни излучения, воздействие которых при работе установленной продолжительности в течение всего трудового стажа не приводит к травме (повреждению), заболеванию или отклонению в состоянии здоровья работающего в процессе работы или в отдаленные сроки жизни настоящего и последующего поколений. То же - для предельной суточной дозы излучения в диапазоне 1.

2.26. Предельный угол - соответствует угловому размеру источника, при котором последний может рассматриваться как точечный.

2.27. Протяженный источник - источник лазерного излучения, угловой размер которого больше предельного угла.

2.28. Рабочая зона - пространство высотой до 2-х метров над уровнем пола или площадки, на которой находятся рабочие места постоянного или временного пребывания работающих.

2.29. Рассеяние - изменение пространственного распределения пучка лучей, отклоняемых во множестве направлений поверхностью или средой без изменения длины волны излучения.

2.30. Рассеянное лазерное излучение - излучение, рассеянное от вещества, находящегося в составе среды, сквозь которую проходит излучение.

2.31. Расходимость лазерного излучения - плоский или телесный угол, характеризующий ширину диаграммы направленности лазерного излучения в дальней зоне по заданному уровню углового распределения энергии или мощности лазерного излучения, определяемому по отношению к его максимальному значению.

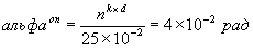
2.32. Угловой размер источника излучения (видимый) - величина, которая в общем случае определяется по формуле:

      S   cosТета  
альфа = 2 кв. корень o ,
l пи

где - площадь источника,

l - расстояние от точки наблюдения до источника,

Тета - угол между нормалью к поверхности источника и направлением визирования.

2.33. Хроническое воздействие лазерного излучения - систематически повторяющееся воздействие, которому подвергаются люди, профессионально связанные с лазерным излучением.

2.34. Частота следования импульсов лазерного излучения - отношение числа импульсов лазерного излучения к единичному интервалу времени наблюдения.

2.35. Энергетическая экспозиция - физическая величина, определяемая интегралом облученности по времени.

2.36. Юстировка лазера - совокупность операций по регулировке оптических элементов лазерного изделия для получения требуемых пространственно-энергетических характеристик лазерного излучения.

ламбда - длина волны лазерного излучения (нм).
альфа - видимый угловой размер источника излучения (рад).
- предельный видимый угловой размер источника, при котором он может рассматриваться как точечный.
кси - параметр, характеризующий нестабильность энергии импульсов в серии.
- длительность импульса лазерного излучения (с).
B - поправочный коэффициент, используемый при определении ПДУ лазерного излучения от протяженного источника, угловой размер которого превышает альфа пред.
D - оптическая плотность.
- оптическая плотность светофильтра на длине волны ламбда.
- диаметр пучка лазерного излучения (м).
- диаметр ограничивающей апертуры (м).
- диаметр зрачка глаза (м, мм).
E - облученность (Вт х м(-2)).
- облученность, создаваемая серией импульсов излучения общей длительностью t.
E пду - предельно допустимый уровень облученности (Вт х м(-2)).
- предельно допустимое значение облученности серии импульсов общей длительностью t.

E(c)_пду (тау_и) - предельно допустимое значение облученности одного импульса из серии.
F и - частота следования импульсов излучения (Гц).
H - энергетическая экспозиция лазерного излучения (Дж х м2).
H i - энергетическая экспозиция i-го импульса из серии импульсов.
- суммарное значение энергетической экспозиции за рабочий день (t = 3 х 10(4) с) - суточная доза.
Hпду - предельно допустимое значение энергетической экспозиции лазерного излучения.
- предельно допустимое значение энергетической экспозиции импульса лазерного излучения длительностью
- предельно допустимое значение энергетической экспозиции серии импульсов общей длительностью t.
- предельно допустимое значение энергетической экспозиции одного импульса из серии импульсов.
- предельная суточная доза.
k - кратность (увеличение) оптического средства наблюдения.
l - расстояние от источника излучения до точки наблюдения (м).
M - общее число импульсов излучения за рабочий день (3 х 10(4) с).
N - число импульсов в серии.
P - мощность лазерного излучения (Вт).
- мощность лазерного излучения, прошедшего через ограничивающую апертуру, расположенную в плоскости входного зрачка оптического прибора.
- средняя мощность излучения серии импульсов общей длительностью t.
- значение P(i) для протяженного источника.
- предельно допустимый уровень мощности.

- значение для протяженного источника.
- предельно допустимое среднее значение мощности непрерывного лазерного излучения за время t.
- предельно допустимое значение мощности серии импульсов общей длительностью t.
- значение для протяженного источника.
S - площадь ограничивающей апертуры (м2).
S п - площадь поперечного сечения пучка (м2).
S о - площадь поверхности источника излучения (м2).
t - длительность воздействия (облучения) непрерывным излучением или серией импульсов лазерного излучения (с).
W - энергия лазерного излучения (Дж).
- энергия импульса лазерного излучения длительностью тау и
- энергия серии импульсов лазерного излучения общей длительностью t.
- энергия отдельного импульса из серии.
- значение для импульса из серии, имеющего максимальную амплитуду.
- средняя энергия одного импульса из серии:

- энергия лазерного излучения, прошедшего через ограничительную апертуру, расположенную в плоскости входного зрачка оптического прибора.
- суммарное значение энергии излучения нескольких источников.

- предельно допустимый уровень энергии лазерного излучения.
- предельно допустимое значение энергии импульса лазерного излучения длительностью
- значение для протяженного источника.
- предельно допустимое значение энергии серии импульсов длительностью t.
- значение для протяженного источника.
- предельно допустимое значение энергии одного импульса из серии.
- предельно допустимый уровень суммарной энергии излучения нескольких источников, действие которых аддитивно.

3. Предельно допустимые уровни лазерного излучения при воздействии на глаза и кожу

3.1. Общие положения

Предельно допустимые уровни (ПДУ) лазерного излучения устанавливаются для двух условий облучения - однократного и хронического для трех диапазонов длин волн:

I 180 < ламбда <= 380 нм

II 380 < ламбда <= 1400 нм

III 1400 < ламбда <= 10(5) нм

Нормируемыми параметрами лазерного излучения являются энергетическая экспозиция H и облученность E, усредненные по ограничивающей апертуре.

Для определения предельно допустимых уровней Hпду и Eпду при воздействии лазерного излучения на кожу усреднение производится по ограничивающей апертуре диаметром 1,1 х 10(3) м (площадь апертуры Sа = 10(6) м2).

Для определения предельно допустимых уровней Hпду и Eпду при воздействии на глаза лазерного излучения в диапазонах I и III усреднение производится также по апертуре диаметром 1,1 х 10(-3) м, а в диапазоне II - по апертуре диаметром 7 х 10(-3) м.

Наряду с энергетической экспозицией и облученностью нормируемыми параметрами являются также энергия W и мощность P излучения, прошедшего через указанные ограничивающие апертуры.

При оценке воздействия на глаза лазерного излучения в диапазоне II (380 < ламбда <= 1400 нм) нормирование энергии и мощности лазерного излучения, прошедшего через ограничивающую апертуру диаметром 7 х 10(-3) м, является первостепенным.

Указанные выше энергетические параметры связаны соотношениями:

Параметры Hпду, Eпду и Wпду, Pпду могут использоваться независимо в соответствии с решаемой задачей (см. Приложение 2).

3.2. ПДУ лазерного излучения в диапазоне 180 < ламбда <= 380 нм при однократном облучении глаз и кожи

3.2.1. ПДУ для одиночных импульсов

Соотношения для определения Hпду, Eпду и Wпду, Pпду при однократном воздействии на глаза и кожу одиночных импульсов коллимированного или рассеянного лазерного излучения в спектральном диапазоне I (180 < ламбда <= 380 нм) при ограничивающей апертуре 1,1 х 10(-3) м приведены в таблице 3.1 и иллюстрируются графиками на рис.3.1 и 3.2.

3.2.2. ПДУ для серий импульсов

Для определения предельно допустимых уровней лазерного излучения в диапазоне 180 < ламбда <= 380 нм при воздействии на глаза и кожу серий импульсов необходимо руководствоваться следующими требованиями:

а) Энергетическая экспозиция Hi или облученность Ei поверхностей роговицы и кожи при воздействии любого отдельного импульса из рассматриваемой последовательности не должны превышать предельно допустимых значений для одиночных импульсов, определяемых пунктом 3.2.1:

Если временный интервал между облучениями отдельными импульсами меньше 600 с, значения Hпду(Eпду) и Wпду(Pпду) определяется согласно рекомендациям пункта 3.8.2 по формулам (3.14) и (3.16).

б) Так как воздействие на биологические ткани излучения в диапазоне 180 < g <= 380 нм обладает свойством аддитивности, при условии выполнения предыдущего требования однократная суточная доза Hсигма(3 х 10(4)) не должна превышать значений, определяемых в таблице 3.2:

3.2.3. ПДУ лазерного излучения для пучков малого диаметра

Если излучение концентрируется на коже или роговице глаза в области, наименьший размер которой равен или меньше диаметра ограничивающей апертуры 1,1 х 10(-3) м, максимальное значение облученности E и энергетической экспозиции H не должно превышать значений Eпду и Hпду, определяемых пунктами 3.2.1 и 3.2.2.

3.3. ПДУ лазерного излучения в диапазоне 180<ламбда<=380 нм при хроническом облучении глаз и кожи

Для определения предельно допустимых значений Hпду и Eпду , Wпду и Pпду, а также предельных суточных доз H(сигма)пду(3 х 10(4)) при хроническом облучении глаз и кожи коллимированным или рассеянным лазерным излучением в диапазоне длин волн I (180 < ламбда <= 380 нм) необходимо соответствующие значения, приведенные в пункте 3.2 (таблицы 3.1 и 3.2), уменьшить в 10 раз.

3.4. ПДУ лазерного излучения в диапазоне 380 <ламбда <= 1400 нм при однократном облучении глаз

3.4.1. ПДУ при воздействии на глаза коллимированного лазерного излучения

Соотношения для определения Wпду и Pпду при воздействии на глаза коллимированного лазерного излучения (наблюдении прямого или зеркально отраженного пучка) в диапазоне 380 <ламбда <= 1400 нм приведены в таблицах 3.3, 3.4 и иллюстрируются графиками на рис.3.3.

3.4.2. ПДУ при воздействии на глаза неколлимированного лазерного излучения

Если источником неколлимированного (рассеянного или диффузно отраженного) излучения является протяженный объект, предельно допустимые значения энергии Wdпду и мощности Pdпду зависят от видимого углового размера альфа этого источника.

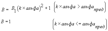
Значения Wdпду и Pdпду в этом случае находятся умножением значений Wпду и Pпду для коллимированного излучения (п.3.4.1) на поправочный коэффициент B:

Значения B определяются формулой:

Здесь B - вспомогательный коэффициент, зависящий от длительности 1 облучения.

Значения альфа и аналитические соотношения для расчета величины пред B даны в таблице 3.5.

В случае воздействия серии импульсов поправочный коэффициент B принимает значение, соответствующее длительности отдельного импульса в серии.

Зависимость произведения B1 х альфа(2) от угла альфа при различных длительностях облучения приведена на рис.3.6.

3.4.3. ПДУ при воздействии на глаза серий импульсов коллимированного лазерного излучения

Предельно допустимые уровни при воздействии на глаза серий импульсов коллимированного излучения в спектральном диапазоне II (380 < ламбда <= 1400 нм) установлены для случаев, когда длительность отдельного импульса в серии тауи не превышает 0,25 с, а частота следования импульсов в серии больше 0,005 Гц (интервал между отдельными импульсами в серии меньше 200 с).

Если <= 0,005 Гц, воздействие на глаза отдельных импульсов излучения считается независимым. При этом нормируется значение энергии импульса, имеющего максимальную амплитуду:

Если > 0,005 Гц, значение предельно допустимой энергии серии импульсов излучения длительностью t при воздействии на глаза равно меньшему из двух значений энергии W1 и W2, определяемых формулами:

где W(t) и W(тау ) - предельно допустимые значения энергий пду пду и одиночных импульсов длительностью t и тау , соответственно, для и коллимированных потоков излучения (п.3.4.1);

кси - определяется отношением максимальной энергии отдельного импульса в рассматриваемой серии к среднему значению:

В тех случаях, когда кси неизвестно, следует считать кси = 1.

Предельно допустимое среднее значение энергии одного импульса из серии при этом равно

Когда длительность серии импульсов превышает 1 с, целесообразно определять значение предельно допустимой средней мощности.

Предельно допустимая средняя мощность серии импульсов лазерного излучения при облучении глаз коллимированным пучком равна меньшему из двух значений мощности P1 и P2 определяемых формулами:

где P(t) - значение предельно допустимой мощности импульса пду длительностью t для коллимированного излучения (п.3.4.1).

Если источником излучения является протяженный объект, предельно допустимые значения энергии серии импульсов , средней мощности излучения в серии , энергии одного импульса в серии определяются умножением предельных значений, заданных формулами (3.9) и (3.11) на поправочный коэффициент B, приведенный в п.3.4.2:

3.5. ПДУ лазерного излучения в диапазоне 380 < ламбда <= 1400 нм при хроническом воздействии на глаза

Для определения предельно допустимых значений Wпду и Pпду коллимированного или рассеянного лазерного излучения в диапазоне II (380<ламбда<= 1400 нм) при хроническом воздействии на глаза необходимо уменьшить в 10 раз соответствующие предельные значения для однократного воздействия, приведенные в п.3.4.

3.6. ПДУ лазерного излучения в диапазоне 380 < ламбда <= 1400 нм при однократном облучении кожи

Соотношения для определения значений Hпду и Eпду, а также Wпду и Pпду при однократном воздействии на кожу коллимированного или рассеянного лазерного излучения в спектральном диапазоне 380 < ламбда <= 1400 нм приведены в таблице 3.6 и иллюстрируются графиками на рис.3.7 и 3.8.

Диаметр ограничивающей апертуры равен 1,1 х 10(-3) м.

Предельно допустимые уровни при облучении кожи сериями импульсов определены в п.3.8.2.

3.7. ПДУ лазерного излучения в диапазоне 380 < ламбда <= 1400 нм при хроническом облучении кожи

Для определения предельно допустимых значений Hпду, Eпду и Wпду, Pпду при хроническом воздействии на кожу коллимированного или рассеянного лазерного излучения в диапазоне II (380 < ламбда <= 1400 нм) необходимо уменьшить в 10 раз соответствующие предельные значения, приведенные в п.3.6.

3.8. ПДУ лазерного излучения в диапазоне 1400 < ламбда <= 10(5) нм при однократном облучении глаз и кожи

3.8.1. ПДУ лазерного излучения для одиночных воздействий

Соотношения для определения Hпду, Eпду и Wпду, Pпду при однократном воздействии на глаза и кожу импульсного или непрерывного коллимированного или рассеянного излучения в диапазоне III (1400 < ламбда <= 10(5) нм) приведены в таблице 3.7 и иллюстрируются графиками на рис.3.9 и 3.10.

3.8.2. ПДУ лазерного излучения для серий импульсов

Предельно допустимые уровни энергетической экспозиции и облученности при воздействии на глаза и кожу серий импульсов лазерного излучения в диапазоне III (1400 < ламбда <= 10(5) нм) устанавливаются для случаев, когда длительность отдельного импульса в серии не превышает 10 с, а чистота следования импульсов превышает 1,7 х 10(-3) Гц (временной интервал между отдельными импульсами меньше 10 минут).

Диаметр ограничивающей апертуры равен 1,1 х 10(-3) м.

Значение предельно допустимой энергетической экспозиции серии импульсов коллимированного или рассеянного лазерного излучения определяется как меньшее из двух значений H1 и H2, заданных формулами:

Параметр кси определен в п.3.4.3.

Среднее значение предельно допустимой энергетической экспозиции одного импульса из серии определяется делением на число импульсов в серии N.

Если длительность серии импульсов превышает 1 с, целесообразно определять значение предельно допустимой средней облученности.

Предельно допустимая средняя облученность серии импульсов равна меньшему из двух значений E1 и E2, определяемых формулами:

Во всех случаях

Если частота следования импульсов меньше 1,7 х 10(-3) Гц, то воздействие на глаза и кожу отдельных импульсов излучения считается независимым. При этом нормируется значение энергетической экспозиции для импульсов, имеющих максимальную амплитуду:

Приведенные выше формулы применяются и при рассмотрении:

- воздействия на глаза серий импульсов лазерного излучения спектрального диапазона I (180 < ламбда <= 380 нм);

- воздействия на кожу серий импульсов лазерного излучения спектральных диапазонов I, II (180 - 1400 нм).

3.9. ПДУ лазерного излучения в диапазоне 1400 < ламбда <= 10(5) нм при хроническом

воздействии на глаза и кожу

Для определения значений Hпду, Eпду и Wпду, Pпду при хроническом воздействии на глаза и кожу коллимированного или рассеянного лазерного излучения в спектральном диапазоне III (1400 - 10(5) нм) необходимо уменьшить в 5 раз соответствующие предельные значения для однократного облучения, приведенные в п.3.8.

3.10. ПДУ при одновременном воздействии на глаза и кожу лазерного излучения

с различными длинами волн

Ниже рассмотрены правила определения предельно допустимых уровней при одновременном воздействии на глаза и кожу монохроматического излучения нескольких различных источников. Эти источники в общем случае могут иметь различные характеристики:

- спектральные (два или несколько типов лазеров, генерация нескольких длин волн одним лазером, генерация гармоник);

- временные (режимы - непрерывный, импульсный, непрерывный с модуляцией мощности и т.д.);

- пространственные (коллимированный пучок, диффузно отраженное или рассеянное излучение).

Степень опасности при одновременном действии излучения различных источников является аддитивной в следующих случаях:

- воздействие на кожу излучения любых длин волн в диапазоне 180 < ламбда <= 10(5) нм;

- воздействие на передние среды глаза излучения в диапазонах длин волн 180 < ламбда <= 380 нм и 1400 < ламбда <= 10(5) нм;

- воздействие на сетчатку глаза излучения в диапазоне длин волн 380 < ламбда <= 1400 нм.

Для каждого из перечисленных трех случаев предельно допустимые уровни устанавливаются независимо. Например, при одновременном воздействии на глаза излучения аргонового лазера (основные длины волн 488 и 514 нм) и лазера на углекислом газе (10600 нм) устанавливаются ПДУ для совместного действия компонент излучения с длинами волн 488 и 514 нм и отдельно - ПДУ для излучения с длиной волны 10600 нм, так как объектом воздействия в первом случае является сетчатка, а во втором роговица глаза (см. также Приложение 2).

Предельно допустимая суммарная энергия или мощность излучения от нескольких источников, действие которых является аддитивным, определяется следующими формулами:

где n - число источников излучения, действие которых аддитивно;

i - условный порядковый номер источника;

(i) (i) W, P - предельно допустимые значения энергии (мощности) пду пду каждого источника;

C - относительный энерговклад каждого источника, определяемый как i отношение энергии (мощности) всех источников

Формулы (3.17), (3.18) применимы в тех случаях, когда длительность экспозиции или импульсов излучения рассматриваемых источников имеют один и тот же порядок. При проведении практических расчетов значения энергии (мощности) могут быть заменены эквивалентными значениями энергетической экспозиции (облученности).

3.11. ПДУ излучения лазеров, используемых в театрально-зрелищных мероприятиях,

для демонстраций в учебных заведениях и медицинской аппаратуре

При использовании лазеров в театрально-зрелищных мероприятиях и для демонстраций в учебных заведениях предельно допустимые уровни для всех участников (зрители, актеры, студенты, школьники, преподаватели, обслуживающий персонал и др.) устанавливается в соответствии с нормами для хронического облучения (пункты 3.3, 3.5, 3.7).

При использовании лазеров как элементов оптических медицинских приборов для подсветки, формирования прицельных меток и других целей, не связанных непосредственно с лечебным действием излучения, предельно допустимые уровни для глаз и кожи пациентов, врачей и обслуживающего персонала устанавливаются в соответствии в нормами для хронического облучения (пункты 3.3, 3.5, 3.7).

Таблица 3.1

Соотношения для определения Hпду, Eпду и Wпду, Pпду при однократном воздействии на глаза и кожу коллимированного или рассеянного лазерного излучения в диапазоне I (180 < ламбда <= 380 нм). Ограничивающая апертура - 1,1 х 10(-3) м

Спектральный интервал ламбда, нм Длительность воздействия t, с Hпду, Дж м(-2), Eпду, Вт х м(-2)
  t<=10(-9)  
180<ламбда<=380   = 2,5 х 10(7) х
    корень третьей степени из t2
180<ламбда<=302,5 10(-9)<t<=3 х 10(4) = 25
     
    = 25/t
     
302,5<ламбда<=315 10(-9)<t<=Ti*      
    = 4,4 х 10(3) х
    корень четвертой степени из t
    0,2(ламбда-295)
  Ti*<t<=3 х 10(4) = 0,8 х 10
     
    0,2(ламбда-295)
    = 0,8 х 10
     
        t
315<ламбда<=380 10(-9)<t<=10 = 4,4 х 10(3) х
    корень четвертой степени из t
  10<t<=3 x 10(4) = 8 х 10(3)
     
    = 8 х 10(3)/t
     
Во всех случаях: W пду = H пду х 10(6); P пду = E пду х 10(-6)

0,8(ламбда-295)
*Ti = 10(-15) х 10 , ламбда - нм

Таблица 3.2

Предельные однократные суточные дозы (3 х 10(4)) при облучении глаз и кожи лазерным излучением в спектральном диапазоне I (180 < ламбда <= 380 нм)

 
Спектральный интервал ламбда, нм (3 х 10(4)), Дж х м(-2)
180<ламбда<=302,5 25
      0,2(ламбда-295)
302,5<ламбда<=315   0,8 х 10  
305 80
307,5 250
310 8 x 10(2)
312,5 2,5 x 10(3)
315 8 x 10(3)
315<ламбда<=380 8 x 10(3)

Таблица 3.3

Соотношение для определения Wпду при однократном воздействии на глаза коллимированного лазерного излучения в спектральном диапазоне II (380 < ламбда <= 1400 нм). Длительность воздействия меньше 1 с. Ограничивающая апертура - 7 х 10(-3) м

Спектральный интервал ламбда, нм Длительность облучения t, с W пду, Дж
380<ламбда<=600 t<=2,3 x 10(-11) корень третьей степени из t2
  2,3 x 10(-11)<t<=5,0 x 10(-5) 8,0 x 10(-8)
  5,0 x 10(-5)<t<=1,0 5,9 x 10(-5) х
    корень третьей степени из t2
600<ламбда<=750 t<=6,5 x 10(-11) корень третьей степени из t2
  6,5 x 10(-11)<t<=5,0 x 10(-5) 1,6 x 10(-7)
  5,0 x 10(-5)<t<=1,0 1,2 x 10(-4) х
    корень третьей степени из t2
750<ламбда<=1000 t<=2,5 x 10(-10) корень третьей степени из t2
  2,5 x 10(-10)<t<=5,0 x 10(-5) 4,0 x 10(-7)
  5,0 x 10(-5)<t<=1,0 3,0 x 10(-4) х
    корень третьей степени из t2
1000<ламбда<=1400 t<=10(-9) корень третьей степени из t2
  10(-9)<t<=5,0 x 10(-5) 10(-6)
  5,0 x 10(-5)<t<=1,0 7,4 x 10(-4) х
    корень третьей степени из t2

Таблица 3.4

Соотношения для определения Pпду при однократном воздействии на глаза коллимированного лазерного излучения в спектральном диапазоне II (380 < ламбда <= 1400 нм). Длительность облучения больше 1 с. Ограничивающая апертура - 7 х 10(-3) м

Спектральный интервал ламбда, нм Длительность облучения t, с Pпду, Вт
380<ламбда<=500 1,0<t<=5,0 x 10(-2) 5,9 x 10(-5)/
    корень третьей степени из t
  5,0 x 10(2)<t<=10(4) 3,7 10(-3)/t
  t>10(4) 3,7 x 10(-7)
500<ламбда<=600 1,0<t<=2,2 x 10(3) 5,9 x 10(-5)/
    корень третьей степени из t
  2,2 x 10(3)<t<=10(4) 10(-2)/t
  t>10(4) 10(-6)
600<ламбда<=700 1,0<t<=2,2 x 10(3) 1,2 x 10(-4)/
    корень третьей степени из t
  2,2 x 10(3)<t<=10(4) 2,0 x 10(-2)/t
  t>10(4) 2,0 x 10(-6)
700<ламбда<=750 1,0<t<=10(4) 1,2 x 10(4)/
    корень третьей степени из t
  t>10(4) 5,5 x 10(6)
750<ламбда<=1000 1,0<t<=10(4) 3,0 x 10(-4)/
    корень третьей степени из t
  t>10(4) 1,4 x 10(-5)
1000<ламбда<=1400 1,0<t<=10(4) 7,4 x 10(-4)/
    корень третьей степени из t
  t>10(4) 3,5 x 10(-5)

Таблица 3.5

Зависимость величины поправочного коэффициента В от видимого углового размера протяженного источника излучения альфа для различных интервалов длительностей облучения

Длительность облучения t, с Поправочный коэффициент В Предельный угол альфапред, рад
t<=10(-9) 10(3) x альфа2 + 1 10(-2)
10(-9)<t<=10(-7) 2,8 x 10(3) x альфа2 + 1 6,0 x 10(-3)
10(-7)<t<=10(-5) 8,2 x 10(3) x альфа2 + 1 3,5 x 10(-3)
10(-5)<t<=10(-4) 2,5 x 10(4) x альфа2 + 1 2,0 x 10(-3)
10(-4)<t<=10(-2) 8,2 x 10(3) x альфа2 + 1 3,5 x 10(-3)
10(-2)<t<=1 2,8 x 10(3) x альфа2 + 1 6,0 x 10(-3)
t>1 10(3) x альфа2 + 1 10(-2)

Если альфа <= , величина В принимается равной единице.

Таблица 3.6

Соотношения для определения Hпду, Eпду и Wпду, Pпду при однократном воздействии на кожу коллимированного или рассеянного лазерного излучения в спектральном диапазоне II (380 < ламбда <= 1400 нм). Ограничивающая апертура - 1,1 х 10(-3) м

Спектральный интервал ламбда, нм Длительность облучения t, с Hпду, Дж.м(-2); Eпду, Вт.м(-2)
380<ламбда<=500 10(-10)<t<=10(-1) = 2,5 x 10(3) х
 
    корень пятой степени из t
  10(-1)<t<=1 = 50 x 10(3) х
 
    кв.корень из t
  1<t<=10(2) = 5,0 x 10(3)/
 
    кв.корень из t
  t>10(2) пду = 5,0 x 10(2)
 
500<ламбда<=900 10(10)<t<=3 = 7,0 x 10(3) х
 
    корень пятой степени из t
  3<t<=10(2) = 5,0 x 10(3)/
 
    кв.корень из t
  t>10(2) = 5,0 x 10(2)
900<ламбда<=1400 10(-10)<t<=1  
= 2,0 x 10(4) х
 
    корень пятой степени из t
  1<t<=10(2) = 2,0 x 10(4)/
    корень пятой степени из t
  t>10(2) = 5,0 x 10(2)
 
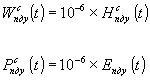
W пду = 10(6) x H пду ; P пду = 10(-6) x E пду

Таблица 3.7

Соотношения для определения Hпду, Eпду и Wпду, Pпду при однократном воздействии на глаза и кожу коллимированного или рассеянного лазерного излучения в спектральном диапазоне III (1400 < ламбда <= 10(5) нм). Ограничивающая апертура - 1,1 х 10(-3) м

Спектральный интервал ламбда, нм Длительность облучения t, с Hпду, Дж.м(-2); Eпду, Вт.м(-2)
1400<ламбда<=1800 10(-10)<t<=1 = 2,0 x 10(4) х
 
    корень пятой степени из t
  1<t<=10(2) = 2,0 x 10(4)/
 
    корень пятой степени из t
  t>10(2) = 5,0 x 10(2)
 
1800<ламбда<=2500 10(-10)<t<=3 = 7,0 x 10(3) х
 
    корень пятой степени из t
    = 5,0 x 10(3)/
 
    кв.корень из t
  t>10(2) = 5,0 x 10(2)
 
2500<ламбда<=10(5) 10(-10)<t<10(-1) = 2,5 x 10(3) х
 
    корень пятой степени из t
  10(-1)<t<=1 = 5,0 x 10(3) х
 
    кв.корень из t
  1<t<=10(2) = 5,0 x 10(3)/
 
    кв.корень из t
  t>10(2) = 5,0 x 10(2)
 
W пду = 10(6) x H пду ; P пду = 10(6) x E пду

4. Классификация лазеров по степени опасности генерируемого излучения

4.1. Определение класса лазера основано на учете его выходной энергии (мощности) и предельно допустимых уровней при однократном воздействии генерируемого излучения.

4.2. По степени опасности генерируемого излучения лазеры подразделяются на четыре класса.

4.3. К лазерам I класса относят полностью безопасные лазеры, то есть такие лазеры, выходное коллимированное излучение которых не представляет опасности при облучении глаз и кожи.

4.4. Лазеры II класса - это лазеры, выходное излучение которых представляет опасность при облучении кожи или глаз человека коллимированным пучком; диффузно отраженное излучение безопасно как для кожи, так и для глаз.

4.5. К лазерам III класса относятся такие лазеры, выходное излучение которых представляет опасность при облучении глаз не только коллимированным, но и диффузно отраженным излучением на расстоянии 10 см от отражающей поверхности и (или) при облучении кожи коллимированным излучением. Диффузно отраженное излучение не представляет опасности для кожи. Этот класс распространяется только на лазеры, генерирующие излучение в спектральном диапазоне II.

4.6. Четвертый (IV) класс включает такие лазеры, диффузно отраженное излучение которых представляет опасность для глаз и кожи на расстоянии 10 см от отражающей поверхности.

4.7. Лазеры классифицирует предприятие-изготовитель по выходным характеристикам излучения расчетным методом в соответствии с таблицей 4.1.

4.8. При определении класса опасности лазера, излучающего на двух и более длинах волн, основываются на значениях предельно допустимых уровней, рассчитанных согласно разделу 3.10.

4.9. Класс опасности лазерного изделия определяется классом используемого в нем лазера.

4.10. Примеры определения классов лазеров приведены в Приложении 2.

Таблица 4.1

Соотношения для определения классов лазеров по степени опасности генерируемого излучения

Спектральный интервал, нм Класс опасности Режим генерации излучения одиночные импульсы
1 2 3
180<ламбда <=380 I
II
IV
1400<ламбда <=10(5) I
II
IV
380<ламбда <=750 I
II
III
IV
750<ламбда <=1400 I
II
III
IV
Спектральный интервал, нм Класс опасности Режим генерации излучения
серии импульсов
1 2 4
180<ламбда <=380 I
II
IV
1400<ламбда <=10(5) I
II
IV
380<ламбда <=750 I
II
III
IV
750<ламбда <=1400 I
  II
  III
  IV
Спектральный интервал, нм Класс опасности Режим генерации излучения
непрерывное излучение
1 2 5
180<ламбда <=380 I
II
IV
1400<ламбда <=10(5) I
II
IV
380<ламбда <=750 I
II
III
IV
750<ламбда <=1400 I
II
III
IV

Примечания к таблице 4.1.

* - длительность воздействия непрерывного излучения в диапазонах 180 < ламбда <= 380 нм, 750 <ламбда <= 1400 нм и 1400 < ламбда <= 10(5) нм принимается равным 10 с (наиболее вероятное время пребывания человека в состоянии полной недвижимости);

** - длительность воздействия непрерывного излучения в диапазоне 380 <

ламбда <= 750 нм принимается равной 0,25 с (время мигательного

рефлекса);

*** - предельно допустимые уровни Hпду и Eпду для кожи.

5. Контроль уровней опасных и вредных факторов при работе с лазерами

5.1. В таблице 5.1 представлена ориентировочная связь наличия опасных и вредных факторов, сопутствующих работе лазерных изделий, с классом лазера в соответствии с ГОСТ 12.1.040.

5.2. Сущность дозиметрического контроля лазерного излучениям заключается в оценке тех характеристик лазерного излучения, которые определяют его способность вызывать биологические эффекты, и сопоставлении их с нормируемыми величинами.

5.3. Следует различать 2 формы дозиметрического контроля:

- предупредительный (оперативный) дозиметрический контроль;

- индивидуальный дозиметрический контроль.

Предупредительный дозиметрический контроль заключается в определении максимальных уровней энергетических параметров лазерного излучения в точках на границе рабочей зоны.

Индивидуальный дозиметрический контроль заключается в измерении уровней энергетических параметров излучения, воздействующего на глаза (кожу) конкретного работающего в течение рабочего дня.

Таблица 5.1

Связь наличия опасных и вредных производственных факторов с классом лазера

Класс лазера (лазерной установки)
I II III IV
Лазерное излучение:        
прямое, зеркально отраженное   + + +
диффузно отраженное     + +
Повышенное напряжение электропитания -(+) + + +
Повышенная запыленность, загазованность     -(+) +
Повышенный уровень УФ     -(+) +
Повышенная яркость света     -(+) +
Повышенный уровень шума и вибраций Повышенный уровень ионизирующих из     -(+) +
лучений Повышенный уровень электромагнитных       +
полей ВЧ и СВЧ-диапазонов       -(+)
Повышенный уровень ИК-излучения     -(+) +
Повышенная температура поверхностей     -(+) +
Химические опасные и вредные факторы     -(+) +

5.4. Предупредительный дозиметрический контроль проводится в соответствии с регламентом, утвержденным администрацией предприятия, но не реже одного раза в год в порядке текущего санитарного надзора, а также в следующих случаях:

- при приемке в эксплуатацию новых лазерных изделий II - IV классов;

- при внесении изменений в конструкцию действующих лазерных изделий;

- при изменении конструкции средств коллективной защиты;

- при проведении экспериментальных и наладочных работ;

- при аттестации рабочих мест;

- при организации новых рабочих мест.

5.5. Предупредительный дозиметрический контроль проводят при работе лазера в режиме максимальной отдачи мощности (энергии), определенной в паспорте на изделие и конкретными условиями эксплуатации.

5.6. Индивидуальный дозиметрический контроль проводится при работе на открытых лазерных установках (экспериментальные стенды), а также в тех случаях, когда не исключено случайное воздействие лазерного излучения на глаза и кожу.

5.7. Дозиметры лазерного излучения должны соответствовать требованиям ГОСТ 24469.

При измерениях энергетических параметров лазерного излучения предел допускаемой погрешности не должен превышать 30%.

Аппаратура, применяемая для измерений энергетических параметров лазерного излучения, должна быть аттестована органами Госстандарта СССР и проходить государственную проверку в установленном порядке.

5.8. Для проведения дозиметрического контроля руководством предприятия назначается специальное лицо из числа инженерно-технических работников. Одновременно должна быть разработана должностная инструкция, определяющая его права и обязанности. Лицо, назначенное для проведения дозиметрического контроля, должно пройти специальное обучение.

5.9. Технические характеристики рабочих средств измерений, применяемых при дозиметрическом контроле, приведены в Приложении.

5.10. Методы проведения различных форм дозиметрического контроля лазерного излучения определены ГОСТ 12.1.031.

5.11. Контроль уровней других опасных и вредных производственных факторов, сопутствующих работе лазерных изделий, производится в соответствии с действующими нормативно-методическими документами (см. Приложение 1).

6. Требования к изготовлению лазерных изделий

6.1. Технические условия на лазерные изделия согласовываются в обязательном порядке с органами Государственного санитарного надзора.

6.2. Опытные образцы лазерных изделий должны иметь заключение экспертной комиссии Минздрава СССР о соответствии данным Правилам с последующим разрешением на серийный выпуск.

6.3. Конструкция лазерных изделий должна обеспечивать защиту персонала от лазерного излучения и других опасных и вредных производственных факторов.

6.4. В паспорте (формуляре) на лазерное изделие должно быть указано:

- длина волны излучения,

- выходная мощность (энергия),

- длительность импульса,

- частота следования импульсов,

- длительность серии импульсов,

- начальный диаметр пучка излучения по уровню exp(-2),

- расходимость пучка по уровню exp(-2),

- класс опасности лазера,

- сопутствующие опасные и вредные факторы.

6.5. За определение класса опасности лазеров ответственность несет предприятие-изготовитель.

Контроль за правильностью установления класса лазера возлагается на органы Государственного санитарного надзора.

6.6. Лазер, независимо от класса, должен иметь защитный корпус (кожух).

6.7. Защитный корпус (кожух) или его части, снимаемые при техническом обслуживании и открывающие доступ к лазерному излучению и высокому напряжению в цепях электропитания, должны иметь защитную блокировку.

6.8. Срабатывание блокировки на работающей лазерном изделии или не полностью разряженной батарее конденсатора должно сопровождаться четким визуальным или звуковым сигналом тревоги.

6.9. Пульт управления лазерных изделий III и IV классов должен оснащаться съемным ключом.

6.10. Лазеры III и IV классов, генерирующие излучение в видимом диапазоне, и лазеры IV класса с генерацией в ультрафиолетовом и инфракрасном диапазонах должны снабжаться световыми сигнальными устройствами, работающими с момента начала генерации и до ее окончания. Световой предупредительный сигнал должен быть хорошо виден через защитные очки.

6.11. Пульт (панель) управления лазерными изделиями, независимо от класса, должен размещаться так, чтобы при регулировке и работе не происходило облучения персонала лазерным излучением. Конструкция лазерных изделий III, IV классов должна обеспечивать возможность дистанционного управления.

6.12. Лазеры III, IV классов должны содержать дозиметрическую аппаратуру.

6.13. Лазерные изделия III, IV классов должны иметь прерыватель пучка или аттенюатор для ограничения распространения излучения.

6.14. В лазерных изделиях III, IV классов необходимо предусматривать возможность снижения выходной мощности (энергии) излучения при их техническом обслуживании.

6.15. Лазерные изделия III, IV классов, генерирующие излучение в невидимой части спектра, должны иметь встроенные лазеры I, II класса с видимым излучением для визуализации основного лазерного пучка.

6.16. Все оптические системы наблюдения (окуляры, смотровые окна, экраны) должны обеспечивать снижение энергии (мощности) проходящего через них излучения до предельно допустимых уровней.

6.17. Лазерные изделия медицинского назначения должны быть оборудованы средствами для измерения уровня лазерного излучения, воздействующего на пациента и обслуживающий персонал.

6.18. Лазерные изделия, в которых используется волоконно-оптическая передача излучения, должны быть обеспечены специальным инструментом для отсоединения систем передачи и механическими ослабителями лазерного пучка на соединителях.

6.19. В лазерных изделиях, предназначенных для использования в театрально-зрелищных мероприятиях, учебных заведениях, на открытых пространствах (топографическая съемка, лидары, навигационное оборудование, связь), запрещается применение лазеров III, IV класса.

6.20. Лазеры и лазерные изделия любого класса должны иметь маркировку в соответствии с требованиями, представленными в Приложении 4.

7. Требования к эксплуатации лазерных изделий

7.1. При эксплуатации лазерных изделий II - IV класса назначается инженерно-технический работник, прошедший специальное обучение, отвечающий за обеспечение безопасных условий работы.

7.2. При изменении потребителями технических параметров лазерного изделия, влияющих на характер его работы или выполняемые им функции, лицо или организация, осуществляющие эти изменения, несут ответственность за проведение повторной классификации и изменение знаков и надписей на лазерном изделии.

7.3. Лазерные изделия III - IV класса до начала их эксплуатации должны быть приняты комиссией, назначенной администрацией учреждения, с обязательным включением в ее состав представителей Госсаннадзора. Комиссия устанавливает выполнение требований настоящих Правил, решает вопрос о вводе лазерных изделий в эксплуатацию. Решение комиссии оформляется актом.

7.4. Для ввода лазерного изделия III и IV класса в эксплуатацию комиссии должна быть представлена следующая документация:

- паспорт на лазерное изделие;

- инструкция по эксплуатации и технике безопасности;

- утвержденный план размещения лазерных изделий;

- санитарный паспорт (см. Приложение 5).

7.5. Безопасность на рабочих местах при эксплуатации лазерных изделий должна обеспечиваться конструкцией изделия. В пределах рабочей зоны уровни воздействия лазерного излучения и других неблагоприятных производственных факторов не должны превышать значений, установленных настоящими Правилами и другими нормативными документами (см. Приложение 1).

7.6. По окончании работы на лазерных изделиях III, IV класса ключ управления должен быть удален из гнезда.

7.7. Запрещается отключать блокировку и сигнализацию во время работы лазера или зарядки конденсаторных батарей.

7.8. Пучок излучения лазеров II - IV класса должен ограничиваться на конце своей полезной траектории диффузным отражателем или поглотителем.

7.9. Для предотвращения пожара при эксплуатации лазерных изделий IV класса в качестве ограничителей следует применять хорошо охлаждаемые неплоские металлические мишени или огнеупорные материалы достаточной толщины. При этом следует соблюдать осторожность, так как оплавление этих материалов может приводить к зеркальному отражению излучения.

7.10. При использовании лазерных изделий III и IV класса область взаимодействия лазерного пучка и мишени должна ограждаться материалами, непрозрачными для лазерного излучения.

7.11. При транспортировании излучения от лазеров III, IV класса должны использоваться специальные системы, исключающие попадание в рабочие помещения прямого и зеркально отраженного излучения.

7.12. Защитные экраны систем транспортирования не должны разрушаться при случайном кратковременном воздействии на них транспортируемого лазерного излучения.

7.13. Системы транспортирования перед началом эксплуатации должны быть приняты комиссией с соответствии с п.7.3 настоящих Правил.

7.14. Открытые траектории излучения лазеров II класса должны располагаться выше или ниже уровня глаз работающих.

7.15. Зеркала, линзы и делители пучков должны быть жестко закреплены для предотвращения случайных зеркальных отражений излучения лазерных изделий II - IV класса в рабочую зону; перемещение их может производиться во время работы лазера только под контролем ответственного лица с обязательным применением средств индивидуальной защиты.

7.16. Запрещается проводить визуальную юстировку лазеров II -IV класса без соответствующих средств защиты.

7.17. При работе с лазерными изделиями III и IV класса запрещается использовать оптические системы наблюдения (бинокли, микроскопы, теодолиты и др.), не оснащенные средствами защиты от излучения.

7.18. Безопасное применение лазерных изделий на строительстве, при демонстрациях в учебных заведениях, в театрально-зрелищных мероприятиях и на открытых пространствах должно обеспечиваться организационно-техническими мероприятиями, включающими предварительную разработку схемы размещения лазеров и траектории лазерных пучков, при строгом контроле за соблюдением настоящих Правил. В указанных случаях запрещается применение лазерных изделий III и IV класса.

7.19. Зоны распространения лазерного излучения должны обозначаться знаками лазерной опасности (см. Приложение 4, рис. 114.2). Если лазерный пучок выходит за пределы контролируемой зоны, в конце его полезной траектории должен быть ограничитель.

7.20. Безопасность при работе с открытыми лазерными изделиями обеспечивается путем применения средств индивидуальной защиты.

7.21. На рабочем месте необходимо иметь инструкцию по технике безопасности для работающих на лазерном изделии, аптечку и инструкцию по оказанию первой помощи пострадавшему (см. Приложение 7 настоящих Правил).

7.22. Производственные помещения, в которых эксплуатируются лазерные изделия, должны отвечать требованиях действующих строительных норм и правил и обеспечивать безопасность обслуживания изделий.

7.23. Для лазерных изделий III, IV класса, исходя из конструктивных и технологических особенностей, должны быть соблюдены следующие нормативы свободного пространства:

- с лицевой стороны пультов и панелей управления не менее 1,5 м при однорядном расположении лазерных изделий и не менее 2 м - при двурядном;

- с задней и боковой сторон лазерных изделий при наличии открывающихся дверей, съемных панелей и других устройств, к которым необходим доступ, - не менее 1,0 м.

7.24. Стены и выгородки помещений, в которых размещаются лазерные изделия III, IV классов, должны изготовляться из несгораемых материалов с матовой поверхностью.

7.25. Естественное и искусственное освещение помещений должно удовлетворять требованиям действующих нормативов. В помещениях или зонах, где используются очки для защиты от лазерного излучения, уровни освещенности должны быть повышены на 1 ступень.

7.26. Параметры микроклимата и содержание вредных веществ в воздухе рабочей зоны должны соответствовать требованиям действующих нормативных документов.

7.27. Помещения, в которых при эксплуатации лазерных изделий происходит образование вредных газов и аэрозолей, должны быть оборудованы общеобменной, а в необходимых случаях и местной вытяжной вентиляцией для удаления загрязненного воздуха с последующей очисткой его. В случае использования веществ I и II классов опасности и вредности должна быть предусмотрена аварийная вентиляция.

7.28. Двери помещений, в которых размещены лазерные изделия III, IV класса, должны быть заперты на внутренние замки с блокирующими устройствами, исключающими доступ в помещения во время работы лазеров. На двери должен быть знак лазерной опасности (рис.4П.2) и автоматически включающееся световое табло "Опасно, работает лазер!"

8. Требования к персоналу

8.1. Персонал, допускаемый к работе с лазерными изделиями, должен пройти инструктаж и специальное обучение безопасным приемам и методам работы.

8.2. Персонал, обслуживающий лазерные изделия, обязан изучить техническую документацию, инструкцию по эксплуатации, настоящие Правила; ознакомиться со средствами защиты и инструкцией по оказанию первой помощи при несчастных случаях (Приложение 7).

8.3. Персонал, занятый монтажем, наладкой, ремонтом и эксплуатацией лазеров, должен иметь квалификационную группу по технике безопасности в соответствии с "Правилами технической эксплуатации электроустановок потребителей" (ПТЭ) и "Правилами техники безопасности при эксплуатации электроустановок потребителей" (ПТБ).

8.4. При изменении технических параметров лазеров или характера выполняемых работ проводится внеочередной инструктаж по технике безопасности и производственной санитарии.

8.5. Лица, временно привлекаемые к работе с лазерами, должны быть ознакомлены с инструкцией по технике безопасности и производственной санитарии при работе с лазерами и прикреплены к ответственному лицу из постоянного персонала подразделения.

8.6. Персоналу запрещается:

- осуществлять наблюдение прямого и зеркально отраженного лазерного излучения при эксплуатации лазеров II - IV класса без средств индивидуальной защиты;

- размещать в зоне лазерного пучка предметы, вызывающие его зеркальное отражение, если это не связано с производственной необходимостью.

8.7. В случае подозрения или очевидного облучения глаз лазерным излучением следует немедленно обратиться к врачу для специального обследования.

8.8. О всех нарушениях в работе лазера, несоответствии средств индивидуальной защиты предъявленным к ним требованиям и других отступлениях от нормального режима работы персонал обязан немедленно доложить администрации и записать в журнале оперативных записей по эксплуатации и ремонту лазерной установки.

9. Средства защиты от лазерного излучения

9.1. Средства защиты должны снижать уровни лазерного излучения, действующего на человека, до величин ниже ПДУ. Они не должны уменьшать эффективность технологического процесса и работоспособность человека. Их защитные характеристики должны оставаться неизменными в течение установленного срока эксплуатации.

9.2. Средства защиты от лазерного излучения подразделяются на коллективные и индивидуальные. Выбор средства защиты в каждом конкретном случае осуществляется с учетом требований безопасности для данного процесса.

9.3. Средства коллективной защиты (СКЗ) должны соответствовать требованиям ГОСТ 12.4.011 и ГОСТ 12.2.049.

9.4. Средства индивидуальной защиты (СИЗ) применяются при проведении пуско-наладочных и ремонтных работ, работ с открытыми лазерными изделиями типа лидара и т.п.

9.5. Средства индивидуальной защиты должны соответствовать требованиям ГОСТ 12.4.011 и маркироваться в соответствии с ГОСТ 12.4.115.

9.6. Средства индивидуальной защиты от лазерного излучения включают в себя средства защиты глаз и лица (защитные очки, щитки, насадки), средства защиты рук, специальную одежду.

9.7. При выборе средств индивидуальной защиты необходимо учитывать:

- рабочую длину волны излучения;

- оптическую плотность светофильтра.

9.8. Оптическая плотность светофильтров, применяемых в защитных очках, щитках и насадках, должна удовлетворять требованиям:

или (для диапазона 380<ламбда<=1400 нм)

где

Hmax, Emax, Wmax, Pmax - максимальные значения энергетических параметров лазерного излучения в рабочей зоне;

Hпду, Eпду, Wпду, Pпду - предельно допустимые уровни энергетических параметров при хроническом облучении.

9.9. Защитные лицевые щитки необходимо применять в тех случаях, когда лазерное излучение представляет опасность не только для глаз, но и для кожи лица.

9.10. При настройке резонаторов газовых лазеров, работающих в видимой области спектра, для защиты глаз следует применять защитные насадки (ЗН). Защитные насадки могут использоваться самостоятельно или в сочетании с оптическими устройствами, такими как диоптрийная трубка.

9.11. Перечень очков, щитков и насадок, выпускаемых промышленностью, приведен в Приложении 6.

10. Медицинский контроль

10.1. К работе с лазерными изделиями допускаются лица, достигшие 18 лет и не имеющие, в соответствии с приказом Министерства здравоохранения СССР N 555 от 27.09.89 г., следующих медицинских противопоказаний:

- Хронические рецидивирующие заболевания кожи.

- Понижение остроты зрения - ниже 0,6 на одном глазу и ниже 0,5 - на другом (острота зрения определяется с коррекцией). Допускаются следующие пределы аномалий рефракции, устанавливаемые скиаскопически на худшем глазу: близорукость не более 6,0 Д, при нормальном глазном дне - до 10,0 д; дальнозоркость в зависимости от коррекции - до 6,0 д; сложный близорукий или дальнозоркий астигматизм в меридианах наибольшего значения

- не более 3,0 Д; простой близорукий, простой дальнозоркий астигматизм не более 3,0 Д - Катаракта.

10.2. Персонал, связанный с обслуживанием и эксплуатацией лазеров, должен проходить предварительные и периодические медицинские осмотры в соответствии с вышеупомянутым приказом.

Периодичность осмотров - 1 раз в год.

Участие врачей-специалистов: терапевт, невропатолог, офтальмолог, дерматовенеролог, акушер-гинеколог.

Лабораторные и функциональные исследования: эритроциты, тромбоциты, лейкоцитарная формула, ЭКГ.

10.3. Обследование глаз должно выполняться специально подготовленными офтальмологами с обязательным включением дополнительных методов исследований (см. Приложение 8 настоящих Правил).

10.4. В случае очевидного или подозреваемого опасного облучения глаз работающих должно проводиться внеочередное медицинское обследование пострадавшего специально подготовленными специалистами. Медицинское обследование должно дополняться гигиенической оценкой обстоятельств, при которых произошло опасное облучение.

10.5. При выявлении отклонений в состоянии здоровья персонала, препятствующих продолжению работы с лазерами, администрация, в соответствии с рекомендациями медицинской комиссии, с согласия работающего, решает вопрос о его трудоустройстве.

Приложение 1

ПЕРЕЧЕНЬ ГОСУДАРСТВЕННЫХ СТАНДАРТОВ И ДРУГИХ НОРМАТИВНЫХ ДОКУМЕНТОВ

ГОСТ 8.357-79 Средства измерения параметров лазерного излучения. Диапазоны энергетические, спектральные, временные.

ГОСТ 12.0.001-82 ССБТ. Основные положения.

ГОСТ 12.0.002-80 ССБТ. Термины и определения.

ГОСТ 12.0.003-74 ССБТ. Опасные и вредные производственные факторы. Классификация.

ГОСТ 12.1.001-83 ССБТ. Ультразвук. Общие требования безопасности.

ГОСТ 12.1.002-84 ССБТ. Электрические поля промышленной частоты.

ГОСТ 12.1.003-83 ССБТ. Шум. Общие требования безопасности.

ГОСТ 12.1.004-85 ССБТ. Пожарная безопасность. Общие требования.

ГОСТ 12.1.005-88 ССБТ. Общие санитарно-гигиенические требования к воздуху рабочей зоны.

ГОСТ 12.1.006-84 ССБТ. Электромагнитные поля радиочастот.

ГОСТ 12.1.010-76 ССБТ. Взрывобезопасность. Общие требования.

ГОСТ 12.1.007-76 ССБТ. Вредные вещества. Классификация и общие требования безопасности.

ГОСТ 12.1.014-84 ССБТ. Воздух рабочей зоны. Метод измерения концентрации вредных веществ индикаторными трубками.

ГОСТ 12.1.016-79 ССБТ. Воздух рабочей зоны. Требования к методикам измерения концентрации вредных веществ.

ГОСТ 12.1.019-79 ССБТ. Электробезопасность. Общие требования и номенклатура видов защиты.

ГОСТ 12.1.029-80 ССБТ. Средства и методы защиты от шума. Классификация.

ГОСТ 12.1.030-81 ССБТ. Электробезопасность. Защитное заземление, зануление.

ГОСТ 12.1.040-83 ССБТ. Лазерная безопасность. Общие положения.

ГОСТ 12.1.042-84 ССБТ. Вибрация. Методы измерения на рабочих местах.

ГОСТ 12.1.043-84 ССБТ. Вибрация. Методы измерения на рабочих местах в производственных помещениях.

ГОСТ 12.2.003-74 ССБТ. Оборудование производственное. Общие требования безопасности.

ГОСТ 12.2.007.0-75 ССБТ. Изделия электротехнические. Общие требования безопасности.

ГОСТ 12.2.007.3-75 ССБТ. Электротехнические устройства на напряжение свыше 1000 В. Требования безопасности.

ГОСТ 12.2.049-80 ССБТ. Оборудование производственное. Общие эргономические требования.

ГОСТ 12.2.061-82 ССБТ. Оборудование производственное. Общие требования безопасности.

ГОСТ 12.3.002-75 ССБТ. Процессы производственные. Общие требования безопасности.

ГОСТ 12.4.001-80 ССБТ. Очки защитные. Термины и определения.

ГОСТ 12.4.003-80 ССБТ. Очки защитные. Типы.

ГОСТ 12.4.009-83 ССБТ. Пожарная техника для защиты объектов. Основные виды. Размещение и обслуживание.

ГОСТ 12.4.011-87 ССБТ. Средства защиты работающих. Общие требования и классификация.

ГОСТ 12.4.012-83 ССБТ. Вибрация. Средства измерения.

ГОСТ 12.4.013-85 ССБТ. Очки защитные. Общие технические условия.

ГОСТ 12.4.023-84 ССБТ. Щитки защитные лицевые. Общие технические требования и методы контроля.

ГОСТ 12.4.026-76 ССБТ. Цвета сигнальные и знаки безопасности.

ГОСТ 12.4.115-82 ССБТ. Средства индивидуальной защиты работающих. Общие требования к маркировке.

ГОСТ 12.4.120-83 ССБТ. Средства коллективной защиты от ионизирующего излучения.

ГОСТ 12.4.123-83 ССБТ. Средства коллективной защиты от ИК излучения. Общие технические требования.

ГОСТ 12.4.125-83 ССБТ. Средства коллективной защиты работающих от воздействия механических факторов. Классификация.

ГОСТ 12.4.153-85 ССБТ. Очки защитные. Номенклатура показателей качества.

ГОСТ 7601-78 Физическая оптика. Термины, буквенные обозначения и определения основных величин.

ГОСТ 9411-81Е. Стекло цветное оптическое. Технические условия.

ГОСТ 15093-75. Изделия квантовой электроники. Лазеры и устройства управления лазерным излучением. Термины и определения.

ГОСТ 16948-79 Источники света искусственные. Методы определения плотности потока энергии УФ излучения.

ГОСТ 19605-74 Организация труда. Основные понятия. Термины и определения.

ГОСТ 20445-75 Здания и сооружения промышленных предприятий. Метод измерения шума на рабочих местах.

ГОСТ 24286-88 Фотометрия импульсная. Термины и определения.

ГОСТ 24453-80 Измерения параметров и характеристик лазерного излучения. Термины, определения и буквенные обозначения величин.

ГОСТ 24469-80 Средства измерения параметров лазерного излучения. Общие технические требования.

ГОСТ 24940-81 Здания и сооружения. Метод измерения освещенности.

ГОСТ 25811-83 Средства измерений средней мощности лазерного излучения. Типы. Основные параметры. Методы измерений.

ГОСТ 26086-84 Лазеры. Методы измерения диаметра пучка и энергетической расходимости лазерного излучения.

ГОСТ 26148-84 Фотометрия. Термины и определения.

СН 245-71 Санитарные нормы проектирования промышленных предприятий.

Нормы радиационной безопасности НРБ-76/87.

Санитарные нормы ультрафиолетового излучения N 4557-88.

Санитарные нормы микроклимата производственных помещений N 4080-86.

СНиП П-4-79. Нормы проектирования. Естественное и искусственное освещение.

Санитарные правила работы с источниками неиспользуемого рентгеновского излучения N 1860-79.

Санитарные нормы допустимых уровней шума на рабочих местах N 3223-85.

Правила технической эксплуатации электроустановок потребителей (ПТЭ). Москва. Атомиздат. 1972.

Правила техники безопасности при эксплуатации электроустановок потребителей (ПТБ). Москва. Атомиздат. 1972.

Приложение 2

ПРИМЕРЫ ОПРЕДЕЛЕНИЯ ПРЕДЕЛЬНО ДОПУСТИМЫХ УРОВНЕЙ ЛАЗЕРНОГО ИЗЛУЧЕНИЯ И КЛАССОВ ЛАЗЕРНЫХ ИЗДЕЛИЙ

П2.1. Определение ПДУ и классов лазеров

Пример 1.

Одномодовый лазер на молекулярном азоте с длиной волны излучения 337,1 нм генерирует непрерывную последовательность равных по амплитуде импульсов с частотой Fи = 5 х 10(3) Гц. Длительность отдельного импульса тауи = 5 нс. Диаметр пучка вблизи выходного зеркала лазера по уровню интенсивности exp(-2) равен dи = 3 х 10(-3) м. Средняя мощность излучения _ P(t) = 0,5 Вт.

Найти предельно допустимые энергетические параметры излучения и определить класс лазера.

а) ПДУ однократного облучения глаз.

Для определения ПДУ необходимо знать максимальную длительность воздействия t. При случайном воздействии на глаза излучения УФ диапазона спектра (180 - 380 нм) эта величина принимается равной 10 с (как и при воздействии на кожу).

Таким образом, задача сводится к определению или серии импульсов с заданными параметрами при длительности воздействия 10 с.

Определяем (t) в соответствии с п.3.8.2 как наименьшее из значений E1 и E2.

Значения и Eпду(t) задаются п.3.2 (табл.3.1, рис.3.1 и 3.2) и составляют, соответственно, 37 Дж х м(-2) и 800 Вт х м(-2).

Число импульсов в серии определяется по формуле:

В общем случае величина N, вычисленная по формуле (2П.2), округляется до ближайшего меньшего целочисленного значения.

Для рассматриваемых условий N = 5 х 10(4). Тогда, в соответствии с формулами (2П.1), сравнивая E1 = 800 Вт х м(-2) и E2 = 830 Вт х м(-2), получаем, что предельно допустимое значение облученности при однократном воздействии на глаза серии импульсов рассматриваемого лазерного излучения следует принять равным E1.

Соответствующее значение энергетической экспозиции равно

Для УФ диапазона спектра нормируемой величиной является также суточная доза Hсигма(3 х 10(4)), которая, в соответствии с таблицей 3.2, не должна превышать 8 х 10(3) Дж х м(-2). Рассчитанная выше величина равна (3 х 10(4)); таким образом, условие 8) п.3.2.2 выполняется.

В общем случае, если расчетная величина больше (3 х 10(4)), ее следует уменьшить до значения (3 х 10(4)) и соответственно откорректировать величину (t).

б) ПДУ для однократного облучения кожи.

Время случайного воздействия на кожу излучения УФ, видимого ИК диапазонов, в соответствии с действующими международными нормами, принимается равным 10 с.

Таким образом, так же как и для глаз, расчетное значение (t) составляет 800 Вт х м(-2), а - 8 х 10(3) Дж х м(-2).

В рассматриваемом случае значение равно суточной дозе, т.е. является предельным. Любое повторное облучение кожи недопустимо.

в) ПДУ при хроническом воздействии на глаза и кожу

В соответствии с п.3.3, при хроническом воздействии предельно допустимое значение облученности составит 80 Вт х м(-2), а соответствующее значение предельно допустимой энергетической экспозиции за время t = 10 c - 800 Дж х м(-2).

Максимальная суточная доза также составляет 800 Дж х м(-2). Следовательно, при рассматриваемых условиях для одного работающего допустимо проведение не более одной производственной операции продолжительностью 10 с в течение суток.

Если практические условия требуют проведения нескольких производственных операций в течение рабочего дня, предельно допустимая облученность глаз и кожи в рабочей зоне должна быть уменьшена таким образом, чтобы суммарная доза (см. п.3.2.2) не превышала значения, указанного в п.3.3.

В частности, если рассматриваемый в настоящем примере лазер необходимо использовать при проведении 10 технологических операций с временными промежутками большими 10 минут (см. п.3.8.2), предельно допустимое значение облученности глаз и кожи составит

В этом случае при проведении контрольных замеров в рабочей зоне средняя мощность коллимированного или рассеянного излучения, проходящего через круглую ограничивающую апертуру диаметром 1,1 х 10(-3) м, не должна _ превышать Pc(t) = 8 х 10(-6) Вт.

Если предельно допустимые энергетические параметры УФ излучения в рабочей зоне определены, в качестве нормируемого параметра, эквивалентного суточной дозе (3 х 10(4)), может быть использовано максимально допустимое число воздействий на оператора отдельных импульсов излучения M (см. п.3.2.2). Значение M рассчитывается по формуле

Если число импульсов в серии N при проведении одной производственной операции фиксировано, максимально допустимое число операций в течение рабочего дня равно M/N.

Для лазеров УФ диапазона спектра, работающих в режиме одиночных вспышек, длительность воздействия t равна длительности импульса излучения тауи. В этом случае формула (2П.3) может быть переписана в виде:

г) Определение класса лазера.

Для того, чтобы определить класс лазера, необходимо сопоставить фактические энергетические параметры генерируемого излучения с нормируемыми предельно допустимыми значениями для однократного воздействия.

Как показано выше, ПДУ энергетической экспозиции для рассматриваемого лазера при однократном воздействии составляет для глаз и кожи 8 х 10(3) Дж х м(-2). Согласно п.3.8.2, энергетическая экспозиция для одного импульса при этом равна 0,16 Дж х м(-2).

Проверяем выполнение условий в соответствии с таблицей 4.1.

Зная, что средняя мощность излучения P = 0,5 Вт, для одного импульса из серии получаем

Выполняется условие для II класса:

Поскольку ПДУ при однократном облучении равно значению ПДУ облученности для непрерывного излучения в течение 10 с, определение класса может быть проведено по режиму непрерывного излучения.

Пример 2.

Лазер на стекле с неодимом, работающий в режиме модуляции добротности и удвоения частоты, генерирует одиночные импульсы. Поток излучения включает две пространственно совмещенные спектральные компоненты: ламбда1 = 1060 нм, W1 = 0,8 Дж и ламбда2 = 530 нм, W2 = 0,4 Дж.

Длительности импульсов излучения обеих спектральных компонент тауи = 2 х 10(-2). Диаметр пучка вблизи выходного зеркала лазера dп = 1,2 х 10(-2) м.

Найти предельно допустимые параметры излучения в условиях хронического воздействия на глаза и кожу.

Определить класс лазера.

В соответствии с требованиями п.3.10, определим и при воздействии на глаза коллимированного излучения с длинами волн 1060 нм и 530 нм.

Используя данные таблицы 3.3 (рис.3.3), с учетом дополнительного коэффициента запаса для хронического воздействия (п.3.5) получим:

Относительные энерговклады излучения с длинами волн 1060 и 530 нм C1 и C2 равны

Тогда значение Wсигмапду составляет:

Значение Wсигмапду для кожи определяется аналогичным образом с использованием данных таблицы 3.6 (рис.3.7) и с учетом поправки для хронического воздействия составляет 4,5 х 10(-5) Дж при ограничивающей апертуре 1,1 х 10(-3) м.

Проверяем выполнение условий таблицы 4.1, определяющих принадлежность лазера к определенному классу опасности. Получаем, что

Рассматриваемый лазер относится к III классу опасности.

Пример 3.

Лазер на центрах окраски LiF:F(-2) генерирует серию из 15 импульсов. Длительность каждого импульса тауи = 8 х 10(-11) с, Fи = 10(8)Гц. Интервал между сериями импульсов больше 200 с. Длина волны излучения ламбда = 1200 нм. Суммарная энергия серии импульсов Wc(t) = 10(-4) Дж. Отношение энергии импульса, имеющего максимальную амплитуду, к средней энергии всех импульсов в серии кси = 2,5. Диаметр пучка вблизи выходного зеркала dп = 5 х 10(-3) м.

Найти предельно допустимые параметры излучения при воздействии на глаза и определить класс лазера.

Длительность серии импульсов в рассматриваемом случае составляет (см. формулу (2П.2)):

В соответствии с требованиями п.3.4.3, определим значения предельно допустимой энергии излучения для импульсов длительностью тауи = 8 х 10(-11) с и t = 1,4 х 10(-7) с для однократного воздействия на глаза коллимированного излучения. Согласно табл.3.3 (рис.3.3), эти значения равны:

По формуле (3.7) найдем значения W1 и W2:

При условии хронического воздействия (п.3.7) эта величина принимается в 10 раз меньшей, т.е. - 6 х 10(-8) Дж.

Для кожи Wcпду(t) = 4,65 х 10(-4) Дж при однократном воздействии и Wcпду(t) = 4,65 х 10(-5) Дж при хроническом воздействии.

Для определения класса лазера проверяем выполнение условий таблицы 4.1, подставляя в неравенства значения Wпду для однократного воздействия.

Выполняется условие для II класса опасности:

Пример 4.

Технологическая установка "Квант-15".

Характеристика установки:

- длина волны излучения ламбда = 1060 нм;

- режим генерации - импульсно-модулированный;

- энергия одиночного импульса w = 8 Дж;

- длительность одного импульса тауи = 4 х 10(-3) с;

- частота следования импульсов Fи = 10 Гц;

- длительность одной технологической операции t = 2 c;

- диаметр пятна излучения на поверхности обрабатываемой детали dп = 3 х 10(-4) м.

Требуется найти предельно допустимые энергетические параметры излучения в условиях хронического воздействия на глаза и кожу и определить класс лазерного изделия.

Измерение уровня диффузно отраженного излучения на границе рабочей зоны при диаметрах ограничивающей апертуры 7 х 10(-3) м и 1,1 х 10(-3) м показало, что максимальное значение суммарной энергии всех импульсов за время одной технологической операции (t = 2 c) равно, соответственно, 1,54 х 10(-2) Дж и 1,9 х 10(-4) Дж. Источник диффузного отраженного излучения для точек, расположенных на границе рабочей зоны, является точечным.

В соответствии с требованиями п.3.4.3, находим предельно допустимый уровень энергии серии импульсов коллимированного потока лазерного излучения для глаз, который равен минимальному из двух значений энергии W1 и W2.

где тауи = 4 х 10(-3) с, N = Fих t + 1 = 21, кси = 1 (нестабильность энергии импульсов неизвестна).

Wпду(t) определяем в соответствии с п.3.4.1 по таблице 3.4 (рис.3.5)

Wпду(тауи) определяем, в соответствии с п.3.4.1, по табл.3.3 (рис.3.4). -5

Так как W2 < W1, получаем

При хроническом воздействии на глаза, в соответствии с п.3.5,

Определяем предельно допустимый уровень энергии лазерного излучения Wcпду(t) для кожи, в соответствии с п.п.3.6 и 3.8.2, как минимальное значение из W1 и W2:

По таблице 3.6 (рис.3.8) находим

По таблице 3.6 (рис.3.7) находим

W2 < W1. Таким образом, для кожи имеем Wспду (t) = 6,6 х 10(-3) Дж, а при хроническом воздействии - 6,6 х 10(-4) Дж.

Сравнение предельно допустимых значений энергии с соответствующими значениями Wc(t) на границе рабочей зоны показывает, что отраженное лазерное излучение представляет опасность для глаз и безопасно для кожи. Степень опасности отраженного излучения для глаз равна

Определение класса опасности по таблице 4.1 показывает, что данное лазерное изделие относится к III классу:

При эксплуатации установки необходимо исключить воздействие зеркально отраженного излучения, а для защиты от диффузно отраженного излучения необходимо использовать средства защиты с оптической плотностью Dламбда >= 3,04, где Dламбда= lgэта.

Пример 5.

Установка для сварки стекла.

Характеристика установки:

- длина волны излучения ламбда = 10600 нм;

- режим работы - непрерывный;

- мощность излучения P = 30 Вт;

- длительность одной технологической операции t = 15 c;

- диаметр пятна излучения на поверхности обрабатываемой детали dп = 1 мм.

Максимальный уровень диффузно отраженного излучения на границе рабочей зоны равен 1,2 х 10(3) Вт х м(-2).

Требуется определить класс установки.

Предельно допустимый уровень облученности для излучения с длиной волны 10600 нм при однократном воздействии на глаза и кожу в течение 15 с, в соответствии с п.3.8.1 (табл.3.7), равен Eпду(t) 1,3 х 10(3) Вт х м2, а при хроническом воздействии, согласно п.3.9, - 260 Вт х м(-2).

Согласно таблице 4.1, лазер, встроенный в установку, относится к II классу опасности:

Сравнение облученности на границе рабочей зоны с предельно допустимым значением облученности показывает, что диффузно отраженное излучение не представляет опасности для глаз и кожи.

Пример 6.

Установка для спектроскопии.

Характеристика установки:

- длина волны излучения ламбда = 340 нм;

- длительность одного импульса тауи = 10(-5) с;

- частота следования импульсов Fи = 10(3) Гц;

- средняя мощность P = 8 Вт;

- длительность одной операции t = 10 c;

- количество операций за рабочий день n = 250.

Максимальный уровень диффузно отраженного излучения на границе рабочей зоны создает облученность Emax = 10 Вт х м(-2). Суточная доза при выполнении 250 операций равна Hcигма = 25 х 10(3) Дж х м(-2).

Необходимо определить класс опасности лазерной установки.

Значение ПДУ энергетической облученности за время выполнения одной операции, согласно табл.3.1, пунктам 3.2.2 и 3.3, равно Eпду = 800 Вт х м(-2), а для хронического воздействия, в соответствии с п.3.3, - 80 Вт х м(-2). Предельная суточная доза для однократного воздействия (3 х 10(4) = 8 х 10(3) Дж х м(-2).

Для определения класса опасности проверяем выполнение условий таблицы 4.1.

Установка относится ко II классу.

Сравнение Eпду и (3 х 10(4)) с максимальной облученностью Emax на границе рабочей зоны и суточной дозой Hсигма при выполнении 250 операций показывает, что отраженное излучение при выполнении одной операции не представляет опасности, однако при выполнении за рабочий день запланированных 250 операций суточная доза Hcигма превышает предельно допустимое значение (3 х 10(4)) в 31,2 раза.

При эксплуатации установки необходимо исключить воздействие зеркально отраженного излучения, а для защиты от диффузно отраженного излучения необходимо использовать средства защиты с оптической плотностью Dламбда > 1,5 (Dламбда >= lg 31,2).

Пример 7.

Пучок лазерного излучения с параметрами, приведенными в примере 3, расширяется оптической системой до диаметра dп = 2 х 10 (-2) м. Поток излучения направлен перпендикулярно плоской диффузно отражающей поверхности. Точка наблюдения расположена на прямой, проходящей через центр облучаемой площадки под углом тета = 60°. Расстояние от поверхности до точки наблюдения l = 0,5 м.

Определить Wдпду для наблюдателя.

Правила расчета ПДУ диффузно отраженного излучения изложены в пункте 3.4.2.

Для коллимированного излучения значение определено в примере 3 и составляет 6 х 10(-7) Дж при однократном воздействии.

Угловой размер источника диффузионного излучения альфа с достаточной степенью точности рассчитывается по формуле:

В нашем случае = 3,5 х 10 (-3) рад.

Поправочный коэффициент B при длительности облучения 1,5 х 10(-7) с, согласно таблице 3.5 (рис.3.6), равен

Значение предельно допустимой энергии в точке наблюдения составляет

П2.2. Особенности определения ПДУ лазерного излучения видимого и ближнего ИК диапазонов спектра при использовании оптических средств наблюдения

П2.2.1. Коллимированное лазерное излучение

Если для наблюдения источника лазерного излучения используются оптические приборы (бинокли, телескопы и т.д.), энергетическая экспозиция или облученность сетчатки глаза может существенно возрастать. Наиболее надежным методом оценки изменения степени опасности излучения является сопоставление результатов измерения энергии или мощности, проходящей через ограничивающую апертуру диаметром 7 мм, при непосредственном наблюдении и при наблюдении с использованием оптического прибора. В последнем случае ограничивающая апертура располагается вблизи окуляра в плоскости, соответствующей положению роговицы глаза. Отношение результатов измерений дает поправочный коэффициент для коррекции предельно допустимых уровней излучения, устанавливаемых настоящим документом.

Теоретические оценки, как правило, являются приближенными. В рекомендациях по применению таких оценок здесь и далее рассматривается наиболее распространенный тип оптических средств наблюдения, у которых диаметр выходного зрачка меньше или равен 7 х 10(-3) м (теоретический диаметр зрачка глаза), а потери излучения, связанные с поглощением и отражением на поверхностях оптических элементов и т.д., пренебрежимо малы.

Применение оптического средства наблюдения с увеличением (кратностью) k с позиций безопасности эквивалентно увеличению диаметра ограничивающей апертуры в k раз.

Таким образом, для определения предельно допустимых уровней энергии излучения при прямом наблюдении коллимированных пучков с помощью оптических приборов следует нормировать энергию или мощность излучения, прошедшего через ограничивающую апертуру диаметром k х 7 х 10(-3) м, расположенную в плоскости входного зрачка прибора. Значения Wonпду и Ponпду не должны превышать Wпду и Pпду, определяемых пунктами 3.4 и 3.5.

Пример 8.

Для создания оптических эффектов при проведении музыкального шоу используется непрерывный гелий-неоновый лазер, излучение которого при сканировании может оказаться направленным в зрительный зал. Определить предельно допустимую мощность лазера с учетом того, что отдельные зрители, занимающие ряды дальше седьмого, могут пользоваться театральными биноклями с кратностью k = 2,5. Диаметр пучка в плоскости 1-го ряда d(1)n = 5 х 10(-2) м, на уровне 7-го ряда d(2)n = 6 х 10(-2) м. Скорость сканирования в плоскости 1-го ряда v1 = 2 м х с(-1), в плоскости 7-го ряда v2 = 3 м х с(-1). Распределение интенсивности излучения в поперечном сечении лазерного пучка близко к однородному.

Время облучения глаз соответствует времени прохождения лазерного пучка через ограничивающую апертуру.

Для зрителей 1-го ряда

Для зрителей 7-го ряда

Соответствующие значения предельно допустимых параметров излучения с длиной волны 633 нм определяются по таблице 3.3 с учетом коэффициента гигиенического запаса, заданного пунктом 3.11.

Значение P(1)пду определяет предельную мощность излучения, прошедшего через апертуру диаметром 7 х 10(-3) м. Полная мощность лазера при этом составляет

Аналогично, для зрителей 7-го ряда, пользующимися театральными биноклями (ограничивающая апертура увеличена в 2,5 раза):

Таким образом, использование театрального бинокля существенно повышает опасность повреждения глаз. Мощность лазера при рассмотренных условиях не должна превышать 4,7 х 10(-4) Вт.

Пример 9.

Оптик проводит юстировку выходного зеркала гелий-кадмиевого лазера, работающего в непрерывном режиме, используя диоптрийную трубку с кратностью k > 1. Длина волны излучения ламбда = 441 нм. Мощность генерируемого излучения, возникающего в первой стадии юстировки, - до 1,5 х 10(-3) Вт. Диаметр пучка излучения не превышает 3 мм.

Определить пропускание защитного светофильтра T, устанавливаемого перед диоптрийной трубкой для обеспечения безопасной работы.

Длительность воздействия на глаза примем равной времени реакция мигания: t = 0,25 с.

Значение предельно допустимой мощности излучения с длиной волны 441 нм при прямом облучении глаз и ограничивающей апертуре диаметром 7 х 10(-3) м определяется по табл.3.3 (рис.3.4) с дополнительным коэффициентом запаса для хронического воздействия, в соответствии с п.3.5.

В рассматриваемом случае диаметр пучка излучения существенно меньше диаметра ограничивающей апертуры на входе диоптрийной трубки, равного k х 7 х 10(-3) м. На выходе оптической системы трубки диаметр пучка уменьшается до величины, равной приблизительно dп/k, что также существенно меньше теоретического диаметра зрачка (7 х 10(-3) м). Таким образом, практически все излучение лазера проходит через зрачок глаза, а приведенное выше значение Pпду определяет предельно допустимое значение общей мощности излучения P', прошедшего защитный светофильтр: P' = Pпду.

Аналогичный результат был бы получен и для случая прямого облучения глаз без использования оптического средства наблюдения, так как и здесь диаметр пучка dп меньше теоретического размера зрачка.

Иными словами, использование диоптрийной трубки не привело к увеличению опасности для глаз.

Последний вывод иллюстрирует общее правило, согласно которому применение оптических инструментов для наблюдения коллимированных лазерных пучков диаметром меньшим диаметра зрачка глаза не повышает степени опасности повреждения сетчатки.

Возвращаясь к решению поставленной задачи, определим минимально допустимую величину пропускания защитного фильтра T для излучения с длиной волны 441 нм.

П2.2.2. Рассеянное или диффузно отраженное излучение

Если источником излучения является протяженный объект, использование для наблюдения оптических приборов не приводит к заметным изменениям энергетической экспозиции или облученности сетчатки глаза (здесь, как и ранее, рассматриваются оптические приборы, у которых диаметр выходного зрачка меньше теоретического диаметра зрачка глаза, а потери излучения пренебрежимо малы). Это обусловлено тем, что увеличение энергии излучения, прошедшего через зрачок глаза, в k2 раз (k>=1 - увеличение или кратность прибора) сопровождается увеличением площади изображения на сетчатке в такое же число раз. Указанное правило применимо, если видимый угловой размер излучающего объекта альфа без оптических средств наблюдения превышает = 2 х 10(-3) рад, а k х альфа >> 2 х 10(-3) рад.

При оценке изменений ПДУ для глаз, связанных с использованием оптических приборов, необходимо принимать во внимание наблюдаемое увеличение видимого углового размера источника излучения, которое составляет альфаоп = k х альфа.

Формула, определяющая поправочный коэффициент B в п.3.4.2, с учетом возможности использования оптического средства наблюдения, перепишется в виде:

Пример 10.

При проведении хирургической операции используется лазерный скальпель на основе аргонового лазера и операционный микроскоп с увеличением k = 100. Мощность отраженного от тканей и попадающего на входной зрачок микроскопа излучения P = 0,1 Вт. Длина волны излучения 514 нм. Диаметр сфокусированного пучка на операционном поле: dп=10(-4) м. Длительность непрерывной работы с лазерным излучением t = 120 с.

Определить пропускание T защитного светофильтра, обеспечивающего безопасную работу хирурга.

По табл.3.4 (рис.3.5) с учетом поправочного коэффициента для хронического воздействия (п.3.5) найдем предельно допустимую мощность прямого облучения глаз коллимированным потоком излучения с длиной волны 514 нм: Pпду = 1,2 х 10(-6) Вт.

Изображение операционного поля наблюдается в микроскопе на расстоянии наилучшего видения - 25 х 10(-2) м. Таким образом, видимый угловой размер источника излучения альфаоп составляет

Поправочный коэффициент B и значение Pпду (п.3.4.2) определяется по табл.3.5:

Таким образом, пропускание защитного фильтра на длине волны 514 нм не должно превышать

П2.3. Предельно допустимые энергетические параметры некоторых типов лазеров при хроническом воздействии

Предельно допустимые значения нормируемых энергетических параметров излучения лазеров при хроническом воздействии на глаза и кожу приведены в таблице 2П.1.

Примечания к таблице 2П.1.

Для коллимированных пучков излучения в диапазоне 380 < ламбда <= 1400 нм, представляющих наибольшую опасность для сетчатки глаз, предельно допустимые параметры задаются в терминах энергии и мощности излучения, проходящего через ограничивающую апертуру диаметром 7 х 10(-3) м. В остальных случаях - воздействие на глаза коллимированного или рассеянного излучения в спектральных диапазонах I, III, воздействие на кожу излучения в спектральных диапазонах I, II, III - приведены значения предельно допустимых энергетических экспозиций и облученностей.

Длительность облучения глаз излучением видимого диапазона выбрана равной времени реакции мигания (приблизительно 0,25 с). Длительность облучения глаз УФ и ИК излучением и длительность облучения одного и того же участка кожи принята равной 10 с (см. пример 1 в п.П2.1).

Для лазеров, работающих с большой частотой следования импульсов излучения или в режиме модуляции мощности, приводятся значения ПДУ средней за время воздействия облученности тканей Ecпду(t) (ограничивающая апертура имеет диаметр 1,1 мм) или средней мощности излучения Pcпду(t) или энергии серии импульсов излучения Wcпду(t) (ограничивающая апертура имеет диаметр 7 мм). При этом параметр кси, характеризующий нестабильность энергии импульсов в серии (см. п.3.4.3), принят равным 1.

При воздействии на глаза и кожу излучения лазеров УФ диапазона спектра (180 - 380 нм) дополнительно нормируется предельная суточная доза (см.п.3.2.2). В этих случаях, наряду с предельными энергетическими параметрами излучения, в таблице приводятся значения максимально допустимого количества облучений отдельными импульсами в течение рабочего дня - M (см. пример 1 в п.П2.1). Если человек подвергается воздействию серий импульсов, значение M равно произведению числа импульсов в серии N на общее количество облучений.

Используемое в таблице сокращение "один." соответствует режимам, при которых воздействие на глаза и кожу отдельных импульсов считается независимым (см. п.3.4.3 и 3.8.2).

Таблица 2П.1

Предельно допустимые энергетические параметры излучения некоторых лазеров при хроническом воздействии

Типы лазеров Длина волны излучения ламбда, нм Длительность одиночного импульса тауи, с Частота следования импульсов Fи, Гц Воздействие на глаза
Длительность облучения t, с Нормируемый параметр ПДУ
1 2 3 4 5 6 7
Твердотельные лазеры на кристаллах и стеклах, активированных ионами Cr, Ti, Nd, Ho, Er, Yb, Dy; 347 10(-8) один. 10(-8) 4,4 Дж x м(-2)
         
              (М <= 180)
           
  -" 10(-8) 50 10 10 Вт x м(-2)
           
                (М <= 4 x 10(3))
  520 - 10(-10) один. 10(-10) 8 x 10(-9) Дж
  535        
           
  -" 10(-10) 10(2) 0,25 6,8 x 10(-8) Дж
           
           
  -" 10(-10) 10(3) 0,25 3,3 x 10(-7) Дж
           
                 
1-я и 2-я гармоники          
  -" 10(-10) 10(4) 0,25 1,5 x 10(-6) Дж
           
  -" 10(-8) один. 10(-8) 8 x 10(-9) Дж
           
           
  -" 10(-8) 10(2) 0,25 6,8 x 10(-8) Дж
           
  520 - 5 x один. 5 x 10(-4) 3,7 x 10(-8) Дж
  535 10(-4)      
           
  -" 5 x 10(2) 0,25 1,1 x 10(-7) Дж
    10(-4)      
  -" непр.   0,25 2,4 x 10(-6) Дж
           
  694 2 x один. 2 x 10(-8) 1,6 x 10(-8) Дж
    10(-8)      
           
  -" 2 x 25 0,25 5,3 x 10(-8) Дж
    10(-8)      
  -" 5 x один. 5 x 10(-4) 7,5 x 10(-8) Дж
    10(-4)      
  750 - 10(-8) один. 10(-8) 4 x 10(-8) Дж
  900        
           
  -" 10(-8) 10(2) 10 4 x 10(-7) Вт
           
  -" 5 x один. 5 x 10(-6) 4 x 10(-8) Дж
    10(-6)      
           
  -" 5 x 25 10 1,6 x 10(-7) Вт
    10(-6)      
  1040 - 10(-10) один. 10(-10) 2,2 x 10(-8) Дж
  1070        
           
  -" 10(-10) 10(2) 10 2,2 x 10(-7) Вт
           
           
  1040 - 10(-10) 10(3) 10 10(-6) Вт
  1070        
           
  -" 10(-10) 10(4) 10 4,7 x 10(-6) Вт
           
  -" 10(-8) один. 10(-8) 10(-7) Дж
           
           
  -" 10(-8) 10(2) 10 10(-6) Вт
           
  -" 5 x один. 5 x 10(-4) 4,7 x 10(-7) Дж
    10(-4)      
           
  -" 5 x 10(2) 10 4,7 x 10(-6) Вт
    10(-4)      
  -" непр.   10 3,4 x 10(-5) Вт
           
  1340 - 10(-8) один. 10(-8) 10(-7) Дж
  1370        
  -" 5 x один. 5 x 10(-4) 4,7 x 10(-7) Дж
    10(-4)      
           
  1540 - 10(-8) 25 10 160 Вт x м(-2)
  1640        
  -" 5 x один. 5 x 10(-4) 870 Дж x м(-2)
    10(-4)      
  1540 - 5 x один. 5 x 10(-4) 870 Дж x м(-2)
  1640 10(-4)      
           
  -" 5 x 25 10 630 Вт x м(-2)
    10(-4)      
  2060 - 10(-8) один. 10(-8) 35 Дж x м(-2)
  2180        
           
  -" 10(-8) 25 10 55 Вт x м(-2)
           
  -" 5 x один. 5 x 10(-4) 300 Дж x м(-2)
    10(-4)      
           
  -" 5 x 25 10 320 Вт x м(-2)
    10(-4)      
  2700 - 2,5 x один. 2,5 x 95 Дж x м(-2)
  3000 10(-4)   10(-4)  
           
  -" 2,5 x 25 10 150 Вт x м(-2)
    10(-4)      
  -" 2 x один. 2 x 10(-8) 14 Дж x м(-2)
    10(-8)      

Лазеры на центрах окраски на основе кристаллов 800-900 10(-8) один. 10(-8) 4 x 10(-8) Дж
         
           
  -" 10(-8) 10(2) 10 4 x 10(-7) Вт
           
  -" 10(-5) один. 10(-5) 4 x 10(-8) Дж
           
  -" 10(-5) 50 10 2,5 x 10(-7) Вт
           
  901 10(-8) один. 10(-8) 4 x 10(-8) Дж
  1000        
           
  -" 10(-8) 10(2) 10 4 x 10(-7) Вт
           
  -" 10(-5) один. 10(-5) 4 x 10(-8) Дж
           
           
  -" 10(-5) 50 10 2,5 x 10(-7) Вт
           
  1001 10(-8) один. 10(-8) 10(-7) Дж
  1400        
           
  -" 10(-8) 10(2) 10 10(-6) Вт
           
  -" 10(-5) один. 10(-5) 10(-7) Дж
           
           
  -" 10(-5) 50 10 6,3 x 10(-7) Вт
           
Лазеры на органических красителях 340-380 10(-8) один. 10(-8) 4,4 Дж x м(-2)
         
                (M <= 180)
           
  -" 10(-8) 10(2) 10 14 Вт x м(-2)
           
                (М <= 5700)
  331-500 10(-8) один. 10(-8) 8 x 10(-9) Дж
           
           
  -" 10(-8) 10(2) 0,25 6,8 x 10(-8) Дж
           
  501-600 10(-10) один. 10(-10) 8 x 10(-9) Дж
           
           
  -" 10(-10) 10(2) 0,25 6,8 x 10(-8) Дж
           
  -" 10(-8) один. 10(-8) 8 x 10(-9) Дж
           
           
  -" 10(-8) 10(2) 0,25 6,8 x 10(-8) Дж
           
  -" 5 x один. 5 x 10(-6) 8 x 10(-9) Дж
    10(-6)      
           
  -" 5 x 25 0,25 2,8 x 10(-8) Дж
    10(-6)      
  -" непр.   0,25 2,4 x 10(-6) Дж
           
  601-750 10(-10) один. 10(-10) 1,6 x 10(-8) Дж
           
           
  -" 10(-10) 10(2) 0,25 1,4 x 10(-7) Дж
           
  -" 10(-8) один. 10(-8) 1,6 x 10(-8) Дж
           
           
  -" 10(-8) 10(2) 0,25 1,4 x 10(-7) Дж
           
  -" 5 x один. 5 x 10(-6) 1,6 x 10(-8) Дж
    10(-6)      
           
  -" 5 x 25 0,25 5,5 x 10(-8) Дж
    10(-6)      
  -" непр.   0,25 4,8 x 10(-6) Дж
           
  751-900 10(-8) один. 10(-8) 4 x 10(-8) Дж
           
           
  -" 10(-8) 10(2) 10 4 x 10(-7) Вт
           
  -" 5 x один. 5 x 10(-6) 4 x 10(-8) Дж
    10(-6)      
           
  -" 5 x 25 10 1,6 x 10(-7) Вт
    10(-6)      
                 
Газовые лазеры на ArF, KrCl, N2, XeF, He-Cd, Ar парах Cu, He-Ne, Kr, Co, С®2. 193, 5 x один. 5 x 10(-8) 2,5 Дж x м(-2)
223 10(-8)      
                (M <= 1)
           
  -" 5 x 10(2) 10 0,25 Вт x м(-2)
    10(-8)      
                (M <= 1000)
  325 непр.   10 78 Вт x м(-2)
           
                (M <= 1)
  331 3 x один. 3 x 10(-9) 3,3 Дж x м(-2)
    10(-9)      
                (M <= 240)
           
  -" 3 x 10(2) 10 10,4 Вт x м(-2)
    10(-9)      
                (M <= 7700)
           
  -" 3 x 10(3) 10 33 Вт x м(-2)
    10(-9)      
                (M <= 2,4 x 10(4))
  348, 5 x один. 5 x 10(-8) 6,6 Дж x м(-2)
  353 10(-8)      
                (M <= 120)
           
  -" 5 x 10(2) 10 21 Вт x м(-2)
    10(-8)      
                (M <= 3800)
  441 непр.   0,25 2,4 x 10(-6) Дж
           
  488+514 непр.   0,25 2,4 x 10(-6) Дж
           
  510, 10(-8) один. 10(-8) 8 x 10(-9) Дж
  578        
           
  -" 10(-8) 10(2) 0,25 8 x 10(-8) Дж
           
           
  -" 10(-8) 10(3) 0,25 3 x 10(-7) Дж
  634, непр.   0,25 4,8 x 10(-6) Дж
  647        
  1150 непр.   10 3,4 x 10(-5) Вт
           
  3390,              
  4500 непр.   10 320 Вт x м(-2)
  5700,        
  10600              
    10(-6) один. 10(-6) 32 Дж x м(-2)
           
           
    10(-6) 10(2) 10 100 Вт x м(-2)
           
           
    10(-6) 10(3) 10 320 Вт x м(-2)
           
           
    10(-6) 10(4) 10 320 Вт x м(-2)
           
Полупроводниковые лазеры с электронной накачкой на основе LnS, LnO, 340-360 10(-9) один. 10(-9) 2,5 Дж x м(-2)
         
              (M <= 320)
           
  -" 10(-9) 10(3) 10 25 Вт x м(-2)
           
                (M <= 3,2 x 10(4))
  -" 10(-7) один. 10(-7) 7,8 Дж x м(-2)
           
                (M <= 100)
           
  -" 10(-7) 10(3) 10 78 Вт x м(-2)
           
LnSe,               (M <= 10(4))
СdS, 450-470 10(-9) один. 10(-9) 8 x 10(-9) Дж
СdS_x          
Se_1-x          
  -" 10(-9) 10(3) 0,25 3,3 x 10(-7) Дж
           
  -" 10(-7) один. 10(-7) 8 x 10(-6) Дж
           
           
  -" 10(-7) 10(3) 0,25 3,3 x 10(-7) Дж
  520-600 10(-9) один. 10(-9) 8 x 10(-9) Дж
           
           
  -" 10(-9) 10(3) 0,25 3,3 x 10(-7) Дж
           
  -" 10(-7) один. 10(-7) 8 x 10(-9) Дж
           
           
  -" 10(-7) 10(3) 0,25 3,3 x 10(-7) Дж
           
  601-700 10(-9) один. 10(-9) 1,6 x 10(-8) Дж
           
           
  -" 10(-9) 10(3) 0,25 6 x 10(-7) Дж
           
  -" 10(-7) один. 10(-7) 1,6 x 10(-8) Дж
           
           
  -" 10(-7) 10(3) 0,25 6 x 10(-7) Дж
           
Полупроводниковые инжекционные лазеры на основе AlGaAs, GaAs, InGaAsP, PbTe, SnPbTe 650-750 5 x один. 5 x 10(-8) 1,6 x 10(-8) Дж
  10(-8)      
         
-" 5 x 10(2) 0,25 1,4 x 10(-7) Дж
    10(-8)      
           
  -" 5 x 10(4) 0,25 3 x 10(-6) Дж
    10(-8)      
  -" непр.   0,25 4,8 x 10(-6) Дж
           
  751-900 5 x один. 5 x 10(-8) 4 x 10(-8) Дж
    10(-8)      
           
  -" 5 x 10(2) 10 4 x 10(-7) Вт
    10(-8)      
           
  -" 5 x 10(4) 10 8,6 x 10(-6) Вт
    10(-8)      
  -" непр.   10 1,4 x 10(-5) Вт
           
  1300 5 x один. 5 x 10(-8) 10(-7) Дж
  1400 10(-8)      
           
  -" 5 x 10(2) 10 10(-6) Вт
    10(-8)      
           
  1300 5 x 10(4) 10 2,2 x 10(-5) Вт
  1400 10(-8)      
  -" непр.   10 3,4 x 10(-5) Вт
           
  1401 5 x один. 5 x 10(-8) 140 Дж x м(-2)
  1550 10(-8)      
           
  -" 5 x 10(2) 10 440 Вт x м(-2)
    10(-8)      
           
  -" 5 x 10(4) 10 630 Вт x м(-2)
    10(-8)      
  -" непр.   10 (t) 630 Вт x м(-2)
           
  4000 5 x один. 5 x 10(-6) 44 Дж x м(-2)
  6450, 10(-6)      
  64-4,6        
  x 10(3) 5 x 10(3) 10 320 Вт x м(-2)
    10(-6)      
Химические и фотодиссоционные лазеры на CF3, Hf, DF 1315 10(-8) один. 10(-8) 10(-7) Дж
         
-" 10(-4) один. 10(-4) 1,6 x 10(-7) Дж
         
2700, 1 один. 1 1000 Дж x м(-2)
3500        
-" 10 один. 10 320 Вт x м(-2)
         

Приложение 3

Таблица 3П.1

Технические характеристики основных рабочих средств измерений, применяемых при дозиметрическом контроле

Тип Рабочая длина волны, спектральный диапазон, ламбда, мкм Характеристики в режиме измерения энергетической экспозиции (энергии)
Длительность импульсов, тауи, с Максимальная частота повторения, Fи, Гц Длительность воздействия, t, с
1 2 3 4 5
ИЛД-2М 0,63; 0,69; 1,06 10(-8)-10(-2) 500  
  0,49-1,15; 10(-8)-10(-2) 500  
  1,06 10(-6)-10(-2) 25  
ЛДМ-2 0,63; 0,69; 1,06 10(-8)-10(-2) 500  
  0,63; 0,69; 1,06     1-10(5)
  0,49-1,15 10(-8)-10(-2) 500  
  0,49-1,15     1-10(5)
  10,6 10(-6)-10(-2) 500  
  10,6     1-10(5)
ЛДМ-3 0,26; 0,34 10(-8)-10(-2) 500  
  0,26; 0,34     1-10(5)
ЛДК 0,69; 1,06 10(-8)-10(-2) 10(3)  
  0,49-1,06 10(-8)-10(-2) 10(3)  
ЛДОК 0,53-1,15 10(-8)    
  10,6 10(-6)    
Тип Рабочая длина волны, спектральный диапазон ламбда, мкм Характеристики в режиме измерения энергетической экспозиции (энергии)
Диапазон измерений, Дж/м; Дж Предел основной допускаемой погрешности, %
1 2 6 7
ИЛД-2М 0,63; 0,69; 1,06 1,4 x 10(-5) - 10(4) +-18(30)
  0,49-1,15; 1,4 x 10(-5) - 10(-1) +-30
  1,06 10(-1) - 10(3) +-10(+-22)
ЛДМ-2 0,63; 0,69; 1,06 10(-5) - 10(3) +-18(+-20)
  0,63; 0,69; 1,06 10(11) - 10(8) +-20(+-26)
  0,49-1,15 10(-5) - 10(-1) +-30
  0,49-1,15 10(-3) - 10(4) +-35
  10,6 10(-1) - 10(3) +-22(+-26)
  10,6 10(1) - 10(3) +-22(+-26)
ЛДМ-3 0,26; 0,34 10(-5) - 10(4) +-25
  0,26; 0,34 10(-3) - 10(6) +-30
ЛДК 0,69; 1,06 10(-4) - 1 +-20
  0,49-1,06 10(-4) - 1 +-30
ЛДОК 0,53-1,15 10(-4) - 10(3) +-20
  10,6 1 - 10(3) +-20

Приложение 4

ЗНАКИ И НАДПИСИ

П.4.1. Лазерные изделия должны маркироваться в соответствии с приведенными ниже требованиями. Знаки должны быть четкими, хорошо видимыми и надежно укреплены на изделии. Рамки текста и обозначения должны быть черными на желтом фоне. Если размеры или конструкция изделия не позволяют прикрепить к нему знак или надпись, то они должны быть внесены в паспорт.

П.4.2. Любое лазерное изделие I класса должно иметь пояснительный знак (рис.П4.1) с надписью:

Лазерное изделие класса I

П4.3. Любое лазерное изделие II класса должно иметь предупреждающий знак в соответствии с ГОСТ 12.4.026 (рис. П4.2) и пояснительный знак с надписью:

Лазерное излучение
Не смотрите в пучок
Лазерное изделие класса II

П4.4. Лазерное изделие III класса должно иметь предупреждающий знак и пояснительный знак с надписью:

Лазерное излучение
Избегайте облучения глаз
Лазерное изделие класса III

П4.5. Лазерное изделие IV класса должно иметь предупреждающий знак и пояснительный знак с надписью:

Лазерное излучение

Избегайте облучения глаз и кожи прямым и рассеянным излучением

Лазерное изделие класса

IV место для надписи

                                                           
                                                             
                                                             
                                                             
                                                          черный цвет
    а                                                  
                                                          желтый цвет
                                                         
                                                             
                                                             
        в                     б                              
                                                           

Рис.П4.1. Пояснительный знак.

Примерные размеры (в мм):

а х б : в а х б : в а х б : в
26 х 52 : 4 100 х 250 : 8 200 х 250 : 12
52 х 105 : 5 140 х 200 : 10 200 х 400 : 12
74 х 148 : 6 140 х 250 : 10 200 х 400 : 15

Примечание: буквы должны иметь достаточный размер, чтобы быть читаемыми.

Рис.П4.2. Предупреждающий знак - знак лазерной опасности.

П4.6. Лазерные изделия II - IV класса должны иметь у апертуры, через которую испускается излучение, пояснительный знак с надписью:

Лазерная апертура

П4.7. Лазерные изделия, за исключением изделий I класса, должны иметь на пояснительном знаке информацию об изготовителе, максимальной выходной энергии (мощности) лазерного излучения и длине волны излучения.

П4.8. Панель защитного корпуса (кожуха), при снятии или смещении которой возможен доступ человека к лазерному излучению, должна иметь пояснительный знак с надписью:

Внимание! При открывании - лазерное излучение

П4.9. Лазерные изделия, генерирующие излучение вне диапазона 380 750 нм, должны иметь следующую надпись в пояснительном знаке:

Невидимое лазерное излучение

Приложение 5

Утверждаю                                                Утверждаю
(см. Примечание)                     Главный инженер (руководитель
"__" _____ 19   г.                                     предприятия
"__" ______ 19__ г.                                               
                                                                  
                           Санитарный паспорт                     
               на_________________________________                
                   модель_____________________                    
                                                                  
     1. Тип лазерной установки____________________________________
__________________________________________________________________
     2. Область применения________________________________________
__________________________________________________________________
     3. Основные технические характеристики установки             
                                                                  
     3.1. Параметры лазера:                                       
                                                                  
     Режим работы_________________________________________________
                  (импульсный, имп.-периодический, непрерывный)   
     Длина волны (длины волн), нм    _____________________________
     Выходная мощность, Вт           _____________________________
              энергия, Дж            _____________________________
     Длительность импульса, с        _____________________________
     Частота следования, Гц          _____________________________
     Длительность серии импульсов, с _____________________________
     Расходимость пучка, рад         _____________________________
     Диаметр пучка на выходе, м      _____________________________
     Класс опасности лазера          _____________________________
     3.2. Характеристики источника питания:                       
     Высокое напряжение в цепях управления, кВ__на _______________
__________________________________________________________________
                      (указать основные элементы)                 
питания, кВ__на___________________________________________________
                      (указать основные элементы)                 
     Рабочий ток в цепях питания, А_______________________________
Конструкция     лазерной    установки отвечает (не отвечает)    по
электробезопасности - требованиям ГОСТ 12.2.007.3 и               
"Правил устройства электроустановок" (ПУЭ), по                    
взрывоопасности - требованиям ГОСТ 12.1.010-7                     
     3.3. Характеристика исполнения лазерной установки:           
__________________________________________________________________
__________________________________________________________________
__________________________________________________________________
     4. Опасные и вредные факторы, сопутствующие работе установки 
и меры защиты                                                     
Существует (не существует) опасность, требуются (не требуются)    
меры защиты (нужный квадрат выделить)                             
     4.1. Лазерное излучение прямое и зеркально отраженное:       
  максимальный уровень в рабочей зоне Дж, Дж х м(-2)(Вт х м(-2))  
___________________ ПДУ для глаз_______, ПДУ для кожи_____________
Безопасное расстояние_____________________________________________
диффузно отраженное: на расстоянии 10 см от экрана Дж, Дж х м(-2) 
(Вт, Вт х м(-2)) _________________________________________________
максимальный уровень в рабочей зоне_______________________________
угловой размер протяженного источника_____________________________
ПДУ для глаз______________ безопасное расстояние______________    
     Требуется (не требуется) применение средств индивидуальной   
защиты Оптическая плотность СИЗ: не менее____на длине волны_______
     Требуется (не требуется) применение средств автоматического  
контроля и дистанционного управления                              
    4.2. Уровни шума превышают (не превышают) допустимых значений,
установленных "Санитарными нормами допустимых уровней шума на     
рабочих местах" N 3223-85                                         
     Требуются (не требуются) средства защита                     
     4.3. Уровни напряженности электромагнитного поля превышают   
(не превышают) норм, установленных ГОСТ 12.1.002 и ГОСТ 12.1.006  
     Требуется (не требуется) защиты                              
     4.4. Уровни ионизирующего излучения превышают (не  превышают)
норм, установленных НРБ-76/87                                     
     Требуется (не требуется) защита                              
     4.5. Концентрация   токсических   веществ   в   воздухе      
рабочей зоны превышает (не превышает) ПДК, установленных          
ГОСТ 12.1.005                                                     
     Требуется (не требуется) применение мер специальной защиты:  
     естественная вентиляция,                                     
     общая приточно-вытяжная местная,                             
     средства индивидуальной защиты                               
     4.6. Опасность возгорания   горючих  материалов имеется      
 (не имеется) достаточно применения ограждения и ограничения хода 
 пучка                                                            
     Требуется применение мер защиты                              
     4.7. Другие опасные и вредные производственные факторы:      
     5. Требования к размещению установки:                        
     установка размещается в отдельном помещении                  
     допускается (не допускается) размещение в помещении других   
установок с одновременным выполнением нескольких операций         
     Внутренняя отделка стен и потолка: должна иметь матовую      
поверхность произвольно окрашена                                  
     Двери помещений должны быть оборудованы: внутренним замком   
световой сигнализацией знаком лазерной опасности в соответствии   
с ГОСТ 12.4.026                                                   

   Примечание: настоящий документ утверждает компетентная 
организация Министерства здравоохранения СССР по указанию 
последнего. 
 
 
 

Приложение 6

СРЕДСТВА ИНДИВИДУАЛЬНОЙ ЗАЩИТЫ ОТ ЛАЗЕРНОГО ИЗЛУЧЕНИЯ

П5.1. Защитные очки

Марка очков Марка светофильтров Диапазон защиты, нм Оптическая плотность
ЗН22-72-СЗС22 СЗС22 630-680 3
    680-1200 6
    1200-1400 3
ЗНД4-72-СЗС22-СС23-1 СЗС22 630-680 3
    680-1200 6
    1200-1400 3
  ОС23-1 400-530 6
ЗН62-Л17 Л17 600-1100 4
    530 2
ЗН62-ОЖ ОЖ 200-510 3

П5.2. Защитный лицевой щиток

Марка щитка Марка светофильтра Диапазон защиты, нм Оптическая плотность
НФП2   10600 2
  Л17 10600 4
    от слепящей яркости (для глаза) в диапазоне 400-1100  

П5.3. Защитные насадки для настройщиков резонаторов газовых лазеров

Марка насадки Длина волны, нм (тип лазера) Максимальная мощность, Вт
ЗН-0,441 441 (гелий-кадмиевый) 3-4
ЗН-0,488 488 (аргоновый) 3-4
ЗН-0,51(0,58) 510 и 580 (на парах меди) 3-4
ЗН-0,633 633 (гелий-неоновый) 5 х 10(-2)

Приложение 7

ИНСТРУКЦИЯ ПО ОКАЗАНИЮ ПЕРВОЙ ПОМОЩИ ПРИ ПОВРЕЖДЕНИИ ОРГАНА ЗРЕНИЯ И КОЖНЫХ ПОКРОВОВ ЛАЗЕРНЫМ ИЗЛУЧЕНИЕМ

При неблагоприятных условиях лазерное излучение может привести к повреждению глаза. Степень тяжести и характер повреждения зависят от длины волны излучения, его энергии, длительности воздействия и других условий.

Воздействие ультрафиолетового (180 < ламбда <= 315 нм) или инфракрасного (1400 < ламбда <= 10(6) нм) лазерного излучения может привести к повреждению роговицы.

Воздействие лазерного излучения видимого (380 < ламбда <= 780 нм) или ближнего инфракрасного (780 < ламбда <= 1400 нм) диапазонов спектра может вызвать повреждение сетчатки.

При повреждении роговицы появляется боль в глазах, спазм век, слезотечение, гиперемия слизистых век и глазного яблока, их отек, отек эпителия роговицы и эрозии. Тяжелые повреждения роговицы сопровождаются помутнением влаги передней камеры.

При повреждении сетчатки легкой степени на глазном дне наблюдается небольшой участок помутневшей сетчатки. В тяжелых случаях имеется участок некроза сетчатки, разрыв ее ткани, возможен выброс участка сетчатки в стекловидное тело. Эти повреждения сопровождаются кровоизлиянием в сетчатку, в пред- или подсетчаточное пространства или стекловидное тело.

Первая помощь при повреждении роговой оболочки заключается в наложении стерильной повязки на пострадавший глаз и направлении пострадавшего в глазной стационар.

В случае повреждении сетчатки своевременно оказанная первая помощь направлена на создание благоприятных условий формирования хориоретинального рубца за счет уменьшения вторичных явлений, сопутствующих повреждению, и в первую очередь на ослабление отека тканей.

Первая помощь при повреждении сетчатки:

1) внутривенное введение раствора глюкозы 40% - 20 мл с добавлением раствора супрастина 0,1% - 1 мл

или

2) внутривенное введение хлористого натрия 10% - 10 мл, внутрь димедрол - 0,1 г.

После оказания первой помощи пострадавшего направляют в глазной стационар.

При работе с лазерным излучением опасности подвергаются также открытые участки тела - кожные покровы. Следует учитывать, что энергия мощного лазерного излучения способна воздействовать на кожу и через некоторые текстильные материалы. Кроме того, существует возможность возгорания одежды при контакте с пучком лазерного излучения.

Степень тяжести повреждения кожи, а в некоторых случаях и всего организма зависит от энергии излучения, длительности воздействия, площади поражения, ее локализации, добавления вторичных источников воздействия (горение, тление). При контакте с лазерным излучением появляется ощущение тепла или боли. Интенсивность боли зависит от распространенности очага поражения кожных покровов. Повреждение кожи энергией лазерного излучения ультрафиолетового диапазона спектра (нетепловые уровни энергии) может происходить без возникновения каких-либо ощущений.

Характер поражения кожи при воздействии лазерного излучения аналогичен термическим ожогам. В зависимости от уровня воздействовавшей энергии на поверхности кожи может появиться эритема, участок побледнения (коагуляционный некроз), сухие и влажные пузырьки (отслойка роговых чешуек и всего эпидермиса), зона обугливания верхних слоев кожи, воронкообразное углубление (при сфокусированном пучке).

Ожоги кожи лазерным излучением, подобно термическим ожогам, могут быть разделены по глубине поражения на четыре степени:

1 степень - эритема кожи,

2 степень - появление пузырей,

3а степень - некроз поверхностных слоев кожи,

3б степень - некроз всей толщины кожи,

4 степень - некроз тканей на различной глубине за пределами кожи.

Характер терапевтических мероприятий при ожоге кожи лазерным излучением определяется не только глубиной, но и распространенностью повреждения кожи. Оказание первой помощи должно быть направлено на предотвращение загрязнения и травматизации ожоговой поверхности.

Мероприятия по оказанию первой помощи при ожогах кожи лазерным излучением:

1) в случае возгорания одежды быстро потушить пламя и удалить тлеющий текстильный материал;

2) незамедлительно охладить участок поражения кожи (вода, лед), на несколько минут, что позволит снизить на одну степень глубину ожога;

3) наложить сухую стерильную повязку;

4) при глубоких и обширных ожогах кожи необходимо ввести обезболивающие средства (промедол 2% - 1 мл);

5) направить пострадавшего к хирургу в ближайшее лечебное учреждение.

Приложение 8

РЕКОМЕНДАЦИИ ПО ПРОВЕДЕНИЮ ОФТАЛЬМОЛОГИЧЕСКИХ ОСМОТРОВ ЛИЦ, РАБОТАЮЩИХ С ЛАЗЕРАМИ

Обязательные методы исследования:

- проверка остроты зрения;

- наружный осмотр глазного яблока с оценкой чувствительности роговой оболочки;

при медикаментозно расширенных зрачках:

- скиаскопия;

- исследование преломляющих сред глаза;

- исследование глазного дна.

Дополнительные методы исследования:

- исследование поля зрения по показаниям;

- измерение внутриглазного давления:

а) при наличии жалоб, подозрительных на глаукому, независимо от

возраста обследуемого,

б) лицам в возрасте 40 лет и выше,

в) при указании на глаукому в анамнезе, начиная с 35 лет;

- биомикроскопия хрусталика;

- исследование изменений глазного дна в бескрасном свете;

- фотографирование изменений глазного дна (по возможности).

Требования к остроте зрения определены в приказе Министерства здравоохранения СССР N 555 (см. раздел 10 настоящих Правил).

Исследование преломляющих сред выполняется электроофтальмоскопом при пятикратном увеличении, причем отмечают наличие даже единичных точечных, штриховидных и иных помутнений и вакуолей как в центральной, так и в периферической частях хрусталика. При наличии скопления помутнений отмечают, в каких отделах хрусталика они находятся.

Биомикроскопия осуществляется по показаниям; при этом отмечают выраженность зон раздела хрусталика, окраску его ткани, наличие помутнений, их вид и локализацию. Оценивают состояние капсул хрусталика.

Примечание: изменение хрусталика, видимые при биомикроскопии в виде точечных, штриховидных помутнений, одиночных вакуолей и зернистости с цветовой переливчатостью на задней капсуле хрусталика, не являются противопоказанием к работе с лазерным излучением. При наличии катаракты описывают ее клинические проявления как в проходящем свете, так и при биомикроскопии.

Осмотр глазного дна выполняется методами прямой и обратной офтальмоскопии, при этом отмечают состояние диска зрительного нерва (границы, окраску, характер васкуляризации), состояние сосудов (ходы, калибр и др.), состояние макулярной области и периферии сетчатки, фиксируя внимание на выраженности макулярного и фовеолярного рефлексов, характере и степени пигментации макулы, наличии даже мельчайших изменений в ней. При наличии изменений осуществляется осмотр в бескрасном свете. По возможности производится фотографирование глазного дна.

Раннее выявление тех или иных начальных изменений позволит начать своевременное лечение, а также обеспечит выполнение профилактических мероприятий.

Анализ результатов периодических осмотров должен проводиться с учетом санитарно-гигиенических характеристик условий труда.