Приказ ФСТ РФ от 06.08.2004 N 20-Э/2

"Об утверждении методических указаний по расчету регулируемых тарифов и цен на электрическую (тепловую) энергию на розничном (потребительском) рынке"
Редакция от 06.08.2004 — Не действует Перейти в действующую
Показать изменения

Зарегистрировано в Минюсте РФ 20 октября 2004 г. N 6076


ФЕДЕРАЛЬНАЯ СЛУЖБА ПО ТАРИФАМ

ПРИКАЗ
от 6 августа 2004 г. N 20-э/2

ОБ УТВЕРЖДЕНИИ МЕТОДИЧЕСКИХ УКАЗАНИЙ ПО РАСЧЕТУ РЕГУЛИРУЕМЫХ ТАРИФОВ И ЦЕН НА ЭЛЕКТРИЧЕСКУЮ (ТЕПЛОВУЮ) ЭНЕРГИЮ НА РОЗНИЧНОМ (ПОТРЕБИТЕЛЬСКОМ) РЫНКЕ

В соответствии с Положением о Федеральной службе по тарифам, утвержденным Постановлением Правительства Российской Федерации от 30 июня 2004 г. N 332 (Собрание законодательства Российской Федерации, 2004, N 29, ст. 3049), приказываю:

1. Утвердить прилагаемые методические указания по расчету регулируемых тарифов и цен на электрическую (тепловую) энергию на розничном (потребительском) рынке.

2. Признать утратившими силу Постановление Федеральной энергетической комиссии Российской Федерации от 31 июля 2002 г. N 49-э/8 "Об утверждении методических указаний по расчету регулируемых тарифов и цен на электрическую (тепловую) энергию на розничном (потребительском) рынке" (зарегистрировано в Минюсте России 30.08.2002, регистрационный N 3760, опубликовано в Российской газете 25.09.2002 N 181), Постановление Федеральной энергетической комиссии Российской Федерации от 14 мая 2003 г. N 37-э/1 "О внесении изменений и дополнений в Методические указания по расчету регулируемых тарифов и цен на электрическую (тепловую) энергию на розничном (потребительском) рынке, утвержденные Постановлением Федеральной энергетической комиссии Российской Федерации от 31 июля 2002 г. N 49-э/8" (зарегистрировано в Минюсте России 25.06.2003, регистрационный N 4822, опубликовано в Российской газете 11.09.2003 N 181).

3. Настоящий Приказ вступает в силу в установленном порядке.

Руководитель
Федеральной службы по тарифам
С.Г.НОВИКОВ

Приложение
к Приказу
Федеральной службы по тарифам
от 6 августа 2004 г. N 20-э/2

МЕТОДИЧЕСКИЕ УКАЗАНИЯ
ПО РАСЧЕТУ РЕГУЛИРУЕМЫХ ТАРИФОВ И ЦЕН НА ЭЛЕКТРИЧЕСКУЮ (ТЕПЛОВУЮ) ЭНЕРГИЮ НА РОЗНИЧНОМ (ПОТРЕБИТЕЛЬСКОМ) РЫНКЕ

I. Общие положения

1. Настоящие "Методические указания по расчету регулируемых тарифов и цен на электрическую (тепловую) энергию на розничном (потребительском) рынке" (далее - Методические указания) разработаны в соответствии с Федеральным законом "О государственном регулировании тарифов на электрическую и тепловую энергию в Российской Федерации" от 14 апреля 1995 г. N 41-ФЗ (Собрание законодательства Российской Федерации, 1995, N 16, ст. 1316; 1999, N 7, ст. 880; 2003, N 2, ст. 158; N 13, ст. 1180; N 28, ст. 2894), Федеральным законом "Об электроэнергетике" от 26 марта 2003 г. N 35-ФЗ (Собрание законодательства Российской Федерации, 2003, N 13, ст. 1177), "Основами ценообразования в отношении электрической и тепловой энергии в Российской Федерации" (далее - Основы ценообразования) и "Правилами государственного регулирования и применения тарифов (цен) на электрическую и тепловую энергию в Российской Федерации" (далее - "Правила регулирования"), утвержденными Постановлением Правительства Российской Федерации "О ценообразовании в отношении электрической и тепловой энергии" от 26 февраля 2004 г. N 109 (Собрание законодательства Российской Федерации, 2004, N 9, ст. 791).

2. Методические указания предназначены для использования регулирующими органами (федеральным органом исполнительной власти по регулированию естественных монополий и органами исполнительной власти субъектов Российской Федерации в области государственного регулирования тарифов), органами местного самоуправления, регулируемыми организациями для расчета методом экономически обоснованных расходов уровней регулируемых тарифов и цен на розничном (потребительском) рынке электрической энергии (мощности) и тепловой энергии (мощности) в рамках устанавливаемых предельных уровней (минимальный и (или) максимальный) указанных тарифов и цен.

При расчете тарифов и цен с использованием метода экономически обоснованных расходов валовая прибыль должна соответствовать экономически обоснованному уровню доходности инвестированного капитала организаций, осуществляющих регулируемую деятельность.

В случае превышения экономически обоснованными уровнями тарифов и цен их предельных уровней, установление указанных уровней производится в соответствии с законодательством Российской Федерации.

3. Понятия, используемые в настоящих Методических указаниях, соответствуют определениям, данным в Федеральном законе "О государственном регулировании тарифов на электрическую и тепловую энергию в Российской Федерации" от 14 апреля 1995 г. N 41-ФЗ, Федеральном законе "Об электроэнергетике" от 26 марта 2003 г. N 35-ФЗ и в Постановлении Правительства Российской Федерации "О ценообразовании в отношении электрической и тепловой энергии" от 26 февраля 2004 г. N 109.

4. В настоящих Методических указаниях акционерные общества энергетики и электрификации, другие регулируемые организации, осуществляющие несколько видов регулируемой деятельности, рассматриваются как:

- энергоснабжающая организация (далее - ЭСО) - в части осуществления продажи потребителям произведенной и (или) купленной энергии;

- производитель энергии - в части собственного производства энергии;

- региональная (территориальная) сетевая организация - в части передачи электрической (тепловой) энергии по распределительным сетям;

- потребитель (покупатель) энергии - в части пользования (покупки) энергией.

II. Виды регулируемых цен и тарифов, применяемых на потребительских рынках электрической энергии (мощности) и тепловой энергии (мощности)

5. На потребительских рынках электрической энергии (мощности) и тепловой энергии (мощности) применяются следующие виды регулируемых цен и тарифов.

5.1. Устанавливаемые федеральным органом исполнительной власти по регулированию естественных монополий (далее - Службой):

5.1.1. Предельные минимальные и (или) максимальные уровни тарифов на электрическую и тепловую энергию, поставляемую энергоснабжающими организациями потребителям, в том числе предельные минимальные и (или) максимальные уровни тарифов для населения. Указанные тарифы могут устанавливаться с календарной разбивкой и с разбивкой по категориям потребителей с учетом региональных и иных особенностей;

5.1.2. Предельные минимальные и (или) максимальные уровни тарифов на тепловую энергию, производимую электростанциями, осуществляющими производство в режиме комбинированной выработки электрической и тепловой энергии.

5.2. Устанавливаемые органами исполнительной власти субъектов Российской Федерации в области государственного регулирования тарифов (далее - региональными органами):

5.2.1. Тарифы на электрическую энергию, поставляемую энергоснабжающими организациями потребителям, в том числе тарифы для населения, в рамках установленных Службой предельных минимальных и (или) максимальных уровней тарифов;

5.2.2. Тарифы на тепловую энергию, производимую электростанциями, осуществляющими производство в режиме комбинированной выработки электрической и тепловой энергии, в рамках установленных Службой предельных минимальных и (или) максимальных уровней тарифов на указанную тепловую энергию;

5.2.3. Тарифы на тепловую энергию, за исключением тарифов на тепловую энергию, производимую электростанциями, осуществляющими производство в режиме комбинированной выработки электрической и тепловой энергии.

5.3. Тарифы (цены) на услуги, оказываемые организациями, осуществляющими регулируемую деятельность на розничном рынке электрической энергии (мощности), являющиеся неотъемлемой частью процесса поставки энергии, и перечисленные в разделе VI Основ ценообразования:

5.3.1. Предельные минимальные и (или) максимальные уровни тарифов на услуги по передаче электрической энергии по распределительным сетям. Устанавливаются Службой для каждого субъекта Российской Федерации и дифференцируются по уровням напряжения. Региональные органы в рамках указанных предельных уровней устанавливают тарифы на услуги по передаче электрической энергии по распределительным сетям для организаций, оказывающих данные услуги на территории соответствующего субъекта Российской Федерации;

5.3.2. Тарифы на услуги по передаче тепловой энергии. Устанавливаются региональными органами в соответствии с настоящими Методическими указаниями;

5.3.3. Тарифы (цены) на иные услуги, оказываемые организациями, осуществляющими регулируемую деятельность на розничном рынке электрической энергии (мощности), являющиеся неотъемлемой частью процесса поставки энергии, и перечисленные в разделе VI Основ ценообразования.

6. При определении размера платы за услуги по передаче электрической (тепловой) энергии (мощности) отдельной составляющей выделяются услуги по передаче энергии по электрическим (тепловым) сетям и по их сбыту (реализации) за счет распределения расходов между указанными видами деятельности.

Для потребителей - субъектов оптового рынка электрической энергии (мощности) и потребителей, получающих электрическую энергию по прямым договорам, из состава расходов, учитываемых при расчете платы за услуги по передаче электрической энергии по распределительным сетям, исключается сбытовая надбавка - расходы на сбыт (реализацию) электрической энергии.

7. Тарифы на электрическую энергию (мощность), поставляемую потребителям, устанавливаются регулирующим органом одновременно в 3 вариантах:

1) одноставочный тариф, включающий в себя полную стоимость 1 киловатт-часа поставляемой электрической энергии;

2) двухставочный тариф, включающий в себя ставку за 1 киловатт-час электрической энергии и ставку за 1 киловатт электрической мощности;

3) одноставочный (двухставочный) тариф, дифференцированный по зонам (часам) суток.

Потребители, в том числе покупающие часть электрической энергии в секторе свободной торговли, самостоятельно выбирают для проведения расчетов за электрическую энергию один из указанных вариантов тарифа, уведомив об этом организацию, поставляющую ему электрическую энергию, не менее чем за месяц до вступления в установленном порядке в силу указанных тарифов (с внесением в установленном порядке соответствующих изменений в договор с указанной организацией). При отсутствии такого уведомления (невнесения соответствующих изменений в договор) расчет за электрическую энергию (если иное не будет установлено по взаимному соглашению сторон) производится по варианту тарифа, действовавшему в период, предшествующий расчетному. В расчетном периоде регулирования не допускается изменение варианта тарифа, если иное не будет установлено по взаимному соглашению сторон.

Потребители, покупающие часть электрической энергии в секторе свободной торговли, производят расчеты за электрическую энергию (мощность), купленную на розничном рынке, по тарифам, установленным для данных потребителей в соответствии с настоящим пунктом.

В настоящих Методических указаниях для целей расчета (формирования) тарифов на электрическую энергию покупка электрической энергии (мощности) с оптового рынка рассматривается как покупка от производителей электрической энергии (далее - ПЭ).

8. Тарифы на тепловую энергию (мощность) устанавливаются регулирующим органом отдельно по потребителям, получающим тепловую энергию с теплоносителями - горячая вода и пар, с дифференциацией последнего по давлению.

9. Тарифы (цены) на электрическую и тепловую энергию и на услуги, оказываемые организациями, осуществляющими регулируемую деятельность на розничном рынке, могут устанавливаться регулирующим органом сроком действия на два года и более (далее - долгосрочный тариф).

III. Формирование тарифов на электрическую и тепловую энергию на потребительском рынке

10. Тарифы на электрическую и тепловую энергию, поставляемую потребителям, включают следующие слагаемые:

1) стоимость электрической (тепловой) энергии (мощности);

2) стоимость услуг по передаче электрической (тепловой) энергии (мощности) энергоснабжающими организациями и иных услуг, оказание которых является неотъемлемой частью процесса поставки энергии потребителям.

В счетах на оплату электрической и тепловой энергии помимо суммарного платежа должны раздельно указываться стоимость производства отпущенной потребителю энергии и стоимость услуг по ее передаче и иных услуг, оказание которых является неотъемлемой частью процесса поставки энергии потребителям.

11. Стоимость единицы электрической (тепловой) энергии (мощности) представляет собой (если иное не определено настоящими Методическими указаниями применительно к отдельным случаям) средневзвешенную стоимость единицы электрической (тепловой) энергии (мощности), получаемой от ПЭ (цену покупки электроэнергии (тепловой) энергии (мощности) у производителей на оптовом и потребительском рынках и стоимость электрической (тепловой) энергии (мощности) собственного производства).

Тариф (цена) покупки электрической (тепловой) энергии (мощности) определяется в соответствии с разделом X настоящих Методических указаний.

12. При установлении тарифов (цен) на электрическую энергию (мощность) в регулируемом секторе оптового рынка и на розничном рынке в необходимую валовую выручку не включаются финансовые результаты деятельности (прибыль или убытки) в секторе свободной торговли оптового рынка (за исключением случая, предусмотренного пунктом 49 Основ ценообразования).

При отпуске электрической энергии ЭСО (ПЭ) на оптовый и розничный рынки необходимая валовая выручка ЭСО (ПЭ), учитываемая при расчете тарифов (цен) на электрическую энергию, отпускаемую потребителям розничного рынка, рассчитывается по следующей формуле:

(1)

где:

НВВ_роз - необходимая валовая выручка ЭСО (ПЭ), учитываемая при расчете тарифов (цен) на электрическую энергию, отпускаемую потребителям розничного рынка;

НВВ - необходимая валовая выручка ЭСО (ПЭ), учитываемая при расчете тарифов (цен) на электрическую энергию,отпускаемую на оптовый и розничный рынки;

Э_роз и Э_сумм - отпуск электрической энергии ЭСО (ПЭ) соответственно на розничный рынок и суммарно на оптовый и розничный рынки, определяемый исходя из указанного в пункте 15 настоящих Методических указаний сводного баланса.

13. При формировании тарифов (цен) в соответствии с пунктом 5 настоящих Методических указаний отдельно отражаются стоимость электрической (тепловой) энергии и стоимость каждого вида услуг.

IV. Основные методические положения по формированию регулируемых тарифов (цен) с использованием метода экономически обоснованных расходов

14. Регулирование тарифов (цен) основывается на принципе обязательности ведения раздельного учета организациями, осуществляющими регулируемую деятельность, объемов продукции (услуг), доходов и расходов по производству, передаче и сбыту энергии в соответствии с законодательством Российской Федерации.

Для организаций, осуществляющих регулируемые виды деятельности, которые не являются основным видом их деятельности, распределение косвенных расходов между регулируемыми и нерегулируемыми видами деятельности по решению регионального органа рекомендуется производить в соответствии с одним из нижеследующих методов:

- согласно учетной политике, принятой в организации;

- пропорционально прямым расходам.

Для организаций, осуществляющих производство (передачу) электрической (тепловой) энергии сторонним потребителям (субабонентам) и для собственного потребления, распределение расходов по указанному виду деятельности между субабонентами и организацией по решению регионального органа рекомендуется производить в соответствии с одним из нижеследующих методов:

- согласно учетной политике, принятой в организации;

- пропорционально отпуску (передаче) электрической (тепловой) энергии.

При установлении тарифов (цен) не допускается повторный учет одних и тех же расходов по указанным видам деятельности.

15. При использовании метода экономически обоснованных расходов (затрат) тарифы рассчитываются на основе размера необходимой валовой выручки организации, осуществляющей регулируемую деятельность, от реализации каждого вида продукции (услуг) и расчетного объема производства соответствующего вида продукции (услуг) за расчетный период регулирования.

Расчетный годовой объем производства продукции и (или) оказываемых услуг определяется исходя из формируемого в установленном порядке сводного прогнозного баланса производства и поставок электрической энергии (мощности) в рамках Единой энергетической системы России по субъектам Российской Федерации (далее - сводный баланс).

Сводный баланс формируется Службой с поквартальной и помесячной разбивкой на основе принципа минимизации суммарной стоимости электрической энергии (мощности), поставляемой потребителям, при участии региональных органов, организации, оказывающей услуги по организации функционирования и развитию Единой энергетической системы России, администратора торговой системы и системного оператора оптового рынка электрической энергии.

16. Определение состава расходов, включаемых в необходимую валовую выручку, и оценка их экономической обоснованности производятся в соответствии с законодательством Российской Федерации и нормативными правовыми актами, регулирующими отношения в сфере бухгалтерского учета.

17. Если деятельность организации регулируется более чем одним регулирующим органом, то регулирующие органы обязаны согласовывать устанавливаемые ими размеры необходимой валовой выручки с тем, чтобы суммарный объем необходимой валовой выручки возмещал экономически обоснованные расходы и обеспечивал экономически обоснованную доходность инвестированного капитала этой организации в целом по регулируемой деятельности.

18. Если организация осуществляет кроме регулируемой иные виды деятельности, расходы на их осуществление и полученные от этих видов деятельности доходы (убытки) не учитываются при расчете регулируемых тарифов (цен).

19. При установлении тарифов регулирующие органы принимают меры, направленные на исключение из расчетов экономически необоснованных расходов организаций, осуществляющих регулируемую деятельность.

В случае если по итогам расчетного периода регулирования на основании данных статистической и бухгалтерской отчетности и иных материалов выявлены необоснованные расходы организаций, осуществляющих регулируемую деятельность за счет поступлений от регулируемой деятельности, регулирующие органы обязаны принять решение об исключении этих расходов из суммы расходов, учитываемых при установлении тарифов на следующий расчетный период регулирования.

20. Если организации, осуществляющие регулируемую деятельность, в течение расчетного периода регулирования понесли экономически обоснованные расходы, не учтенные при установлении тарифов (цен), в том числе расходы, связанные с объективным и незапланированным ростом цен на продукцию, потребляемую в течение расчетного периода регулирования, эти расходы учитываются регулирующими органами при установлении тарифов (цен) на последующий расчетный период регулирования (включая расходы, связанные с обслуживанием заемных средств, привлекаемых для покрытия недостатка средств).

21. Необходимая валовая выручка (далее - НВВ) на период регулирования, для покрытия обоснованных расходов на производство регулируемого вида деятельности, с учетом корректировки по избытку (исключению необоснованных расходов) средств и возмещению недостатка средств, рассчитывается по формуле:

(2)

где:

НВВ_р - необходимый доход регулируемой организации в расчетном периоде, обеспечивающий компенсацию экономически обоснованных расходов на производство продукции (услуг) и получение прибыли, определяемой в соответствии с настоящими Методическими указаниями; НВВ - экономически обоснованные расходы регулируемой организации, подлежащие возмещению (со знаком "+") и исключению из НВВ_р (со знаком "-") по статьям расходов в соответствии с пунктами 19 и 20 настоящих Методических указаний.

V. Расчет расходов, относимых на регулируемые виды деятельности

22. В необходимую валовую выручку включаются планируемые на расчетный период регулирования расходы, уменьшающие налоговую базу налога на прибыль организаций (расходы, связанные с производством и реализацией продукции (услуг), и внереализационные расходы), и расходы, не учитываемые при определении налоговой базы налога на прибыль (относимые на прибыль после налогообложения).

22.1. Расходы, связанные с производством и реализацией продукции (услуг) по регулируемым видам деятельности, включают следующие составляющие расходов:

1) топливо, определяемое на основе пункта 22 Основ ценообразования;

2) покупная электрическая энергия, определяемая в соответствии с пунктом 23 Основ ценообразования;

3) оплата услуг, оказываемых организациями, осуществляющими регулируемую деятельность, определяемая на основе пункта 24 Основ ценообразования;

4) сырье и материалы, определяемые в соответствии с пунктом 25 Основ ценообразования;

5) ремонт основных средств, определяемый на основе пункта 26 Основ ценообразования;

6) оплата труда, определяемая на основе пункта 27 Основ ценообразования;

7) амортизация основных средств, определяемая на основе пункта 28 Основ ценообразования;

8) другие расходы, связанные с производством и (или) реализацией продукции, определяемые в порядке, устанавливаемом Службой.

22.2. Внереализационные расходы (рассчитываемые с учетом внереализационных доходов), в том числе расходы по сомнительным долгам. При этом в составе резерва по сомнительным долгам может учитываться дебиторская задолженность, возникшая при осуществлении соответствующего регулируемого вида деятельности. Уплата сомнительных долгов, для погашения которых был создан резерв, включенный в тариф в предшествующий период регулирования, признается доходом и исключается из необходимой валовой выручки в следующем периоде регулирования с учетом уплаты налога на прибыль организаций.

В состав внереализационных расходов включаются также расходы на консервацию основных производственных средств, используемых в регулируемых видах деятельности.

22.3. Расходы, не учитываемые при определении налоговой базы налога на прибыль (относимые на прибыль после налогообложения), включают в себя следующие основные группы расходов:

1) капитальные вложения (инвестиции) на расширенное воспроизводство;

2) выплата дивидендов и других доходов из прибыли после уплаты налогов;

3) взносы в уставные (складочные) капиталы организаций;

4) прочие экономически обоснованные расходы, относимые на прибыль после налогообложения, включая затраты организаций на предоставление работникам льгот, гарантий и компенсаций в соответствии с отраслевыми тарифными соглашениями.

23. При отсутствии нормативов по отдельным статьям расходов допускается использовать в расчетах экспертные оценки, основанные на отчетных данных, представляемых организацией, осуществляющей регулируемую деятельность.

24. Планируемые расходы по каждому виду регулируемой деятельности рассчитываются как сумма прямых и косвенных расходов. Прямые расходы относятся непосредственно на соответствующий регулируемый вид деятельности.

Распределение косвенных расходов между различными видами деятельности, осуществляемыми организацией, по решению регионального органа производится в соответствии с одним из нижеследующих методов:

- согласно учетной политике, принятой в организации;

- пропорционально условно-постоянным расходам;

- пропорционально прямым расходам по регулируемым видам деятельности.

25. Регулирующие органы на основе предварительно согласованных с ними мероприятий по сокращению расходов организаций, осуществляющих регулируемую деятельность, обязаны в течение 2 лет после окончания срока окупаемости расходов на проведение этих мероприятий сохранять расчетный уровень расходов, учтенных при регулировании тарифов на период, предшествующий сокращению расходов.

VI. Ценообразование для отдельных групп потребителей электрической и тепловой энергии (мощности)

26. Особенности расчета тарифов (цен) для отдельных групп потребителей электрической и тепловой энергии (далее - тарифные группы) определяются в соответствии с:

- статьями 2 и 5 Федерального закона "О государственном регулировании тарифов на электрическую и тепловую энергию в Российской Федерации";

- пунктом 59 Основ ценообразования.

27. Тарифные группы потребителей электрической энергии (мощности):

1 группа. Базовые потребители

Базовые потребители - потребители с максимальным значением заявленной мощности, равным или более 20 МВт, и годовым числом часов использования заявленной мощности более 7500, подтвержденным фактическим электропотреблением за предшествующий период регулирования. Заявленная мощность N_заявл - мощность, участвующая в годовом совмещенном максимуме графика электрической нагрузки ОЭС.

2 группа. Население

Аналогично указанной группе рекомендуется производить расчет тарифов для населенных пунктов, рассчитывающихся по общему счетчику на вводе; жилищных организаций, потребляющих электроэнергию на технические цели жилых домов; садоводческих товариществ, дачно-строительных, гаражно-строительных и гаражных кооперативов, автостоянок, общежитий, жилых зон при воинских частях и исправительно-трудовых учреждениях, объединенных хозяйственных построек граждан (погреба, сараи), рассчитывающихся по общему счетчику на вводе, а также содержащихся за счет прихожан религиозных организаций.

В соответствии с пунктом 2 Постановления Правительства Российской Федерации от 7 декабря 1998 г. N 1444 "Об основах ценообразования в отношении электрической энергии, потребляемой населением" для населения, проживающего в сельских населенных пунктах, а также в городских населенных пунктах в домах, оборудованных в установленном порядке стационарными электроплитами и электроотопительными установками, применяется понижающий коэффициент 0,7.

В соответствии с законодательством Российской Федерации государственное регулирование тарифов может производиться отдельно в отношении электрической энергии, поставляемой населению, в пределах социальной нормы потребления и сверх социальной нормы потребления, определяемой в установленном порядке.

3 группа. Прочие потребители

В целях формирования бюджетной политики в группе "Прочие потребители" потребители, финансируемые за счет средств бюджетов соответствующих уровней, указываются отдельной строкой (далее - Бюджетные потребители).

Тарифы на электрическую энергию, отпускаемую потребителям, дифференцируются по уровням напряжения в соответствии с положениями раздела VIII настоящих Методических указаний:

- высокое (110 кВ и выше);

- среднее первое (35 кВ);

- среднее второе (20-1 кВ);

- низкое (0,4 кВ и ниже).

28. Тарифы на тепловую энергию устанавливаются раздельно по следующим видам теплоносителей:

горячая вода;

отборный пар давлением:

от 1,2 до 2,5 кг/см2

от 2,5 до 7,0 кг/см2

от 7,0 до 13,0 кг/см2

свыше 13,0 кг/см2;

острый и редуцированный пар.

В целях реализации бюджетной политики потребители тепловой энергии, финансируемые за счет средств бюджетов соответствующих уровней, указываются отдельной строкой.

29. При расчетах тарифов на электрическую (тепловую) энергию (мощность), отпускаемую энергоснабжающими другим энергоснабжающим (энергосбытовым) организациям, последние рассматриваются в качестве потребителей, с учетом следующих особенностей:

29.1. На территории субъекта Российской Федерации тарифы для бюджетных потребителей, получающих электрическую энергию на одном уровне напряжения, могут рассчитываться на одном уровне, вне зависимости, от какой энергоснабжающей организации осуществляется электроснабжение указанных потребителей.

На территории субъекта Российской Федерации тарифы для населения, с учетом положений пункта 27 настоящих Методических указаний, могут рассчитываться на одном уровне, вне зависимости, от какой энергоснабжающей организации осуществляется электроснабжение населения.

29.2. При расчетах тарифов на электрическую энергию (мощность), отпускаемую энергоснабжающей организации другой энергоснабжающей организации ЭСО, для последней устанавливается тариф на покупную электроэнергию Т по формуле:

Т = (ТВ - РС) / Э, (3)

где:

ТВ - тарифная выручка ЭСО, рассчитанная как сумма произведений установленных региональным органом тарифов на электрическую энергию, отпускаемую потребителям ЭСО (с учетом положений подпункта 29.1 настоящего пункта), умноженных на объем полезного отпуска указанных потребителей;

PC - собственные расходы ЭСО, включая расходы из прибыли (без расходов на покупную электрическую энергию);

Э - объем покупаемой ЭСО электрической энергии.

29.3. При расчете тарифов на электрическую энергию (мощность), отпускаемую другим ЭСО, учитывается наличие в их составе базовых потребителей, тарифы для которых устанавливаются в соответствии с настоящими Методическими указаниями.

29.4. В случае если потребитель (покупатель, другая ЭСО) получает электрическую энергию от нескольких ЭСО (ПЭ), имеющих различную структуру поставки электрической энергии (собственная генерация, покупка у различных производителей, поставщиков, ЭСО), цены на электрическую энергию и мощность, получаемые потребителем (покупателем, другим ЭСО) от данных ЭСО (ПЭ), рассчитываются отдельно и могут быть различными.

29.5. Тарифы на тепловую энергию, отпускаемую в горячей воде, для всех потребителей в одной системе, в которой теплоснабжение потребителей осуществляется от источника (источников) тепла через общую тепловую сеть (далее - система централизованного теплоснабжения (СЦТ)), могут рассчитываться на едином уровне.

По решению регионального органа тарифы на тепловую энергию, отпускаемую в горячей воде, для всех потребителей, расположенных на территории субъекта Российской Федерации, могут рассчитываться на едином уровне.

Тарифы на тепловую энергию могут дифференцироваться по муниципальным образованиям.

29.6. Во всех случаях, в соответствии с пунктом 59 Основ ценообразования, тарифы на продукцию (услуги) организаций, осуществляющих регулируемую деятельность, установленные регулирующим органом по группам потребителей, должны обеспечивать получение в расчетном периоде регулирования указанными организациями необходимой валовой выручки.

VII. Расчет экономически обоснованного уровня цены на электрическую энергию на шинах и тепловую энергию на коллекторах производителей энергии (энергоснабжающей организации) - субъекта розничного рынка

30. Калькулирование расходов, связанных с производством электрической и тепловой энергии, осуществляется в соответствии с главой 25 Налогового кодекса Российской Федерации и Постановления Правительства Российской Федерации от 6 июля 1998 г. N 700 "О введении раздельного учета затрат по регулируемым видам деятельности в энергетике".

31. Распределение расхода топлива тепловых электростанций между электрической и тепловой энергией, осуществляемое в процессе калькулирования расходов на производство электрической и тепловой энергии, производится в соответствии с действующими нормативными актами.

32. Экономически обоснованный средний одноставочный тариф (цена) продажи электрической энергии, поставляемой на региональный рынок от ПЭ, рассчитывается по формуле:

(4)

где:

HBB(э) - необходимая валовая выручка на производство электрической энергии;

Э_отп - отпуск электроэнергии в сеть от ПЭ.

Расходы на оплату потерь электрической энергии в пристанционном узле, вызванные развернутым транзитом электрической энергии через распределительное устройство данной электростанции, не включаются в НВВ данной электростанции, а учитываются в расходах на оплату потерь в электрических сетях.

Не включаются в НВВ электростанции расходы на содержание данного пристанционного узла (распределительного устройства) в части транзита электрической мощности (в пределах пропускной способности пристанционного узла), определяемой в соответствии с учетной политикой, принятой в организации, осуществляющей регулируемую деятельность, в состав которой входит электростанция.

33. Экономически обоснованный тариф (цена) на тепловую энергию, предлагаемый ПЭ на рынок тепловой энергии, определяется по формуле:

(5)

где:

НВВ_т - необходимая валовая выручка на производство тепловой энергии;

Q_отп - отпуск тепловой энергии в сеть.

34. Расчет экономически обоснованного двухставочного тарифа (цены) продажи электрической энергии ПЭ производится путем разделения НВВ(э) на производство электрической энергии и на содержание электрической мощности.

35. Расчет экономически обоснованного двухставочного тарифа (цены) продажи электрической энергии ПЭ производится по формулам:

ставка платы за электрическую энергию:

(6)

ставка платы за электрическую мощность (оплачивается ежемесячно, если иное не установлено в договоре):

(7)

где:

З_топл - суммарные затраты на топливо на производство электрической энергии на тепловых электростанциях, входящих в состав ПЭ;

ВН - водный налог (плата за пользование водными объектами гидравлическими электростанциями, входящими в состав ПЭ);

П(э) - прибыль ПЭ, относимая на производство электрической энергии (мощности);

К - коэффициент, равный отношению суммы З_топл и ВН к расходам (без учета расходов из прибыли) ПЭ, отнесенным на производство электрической энергии и на содержание электрической мощности;

Э_отп - суммарный отпуск электрической энергии с шин всех тепловых и гидравлических электростанций, входящих в состав ПЭ;

N_уст - суммарная установленная электрическая мощность всех тепловых и гидравлических электростанций, входящих в состав ПЭ;

М - число месяцев в периоде регулирования.

36. Тариф (цена) продажи тепловой энергии от ПЭ (ЭСО) рассчитывается для всех потребителей (покупателей) данного ПЭ (ЭСО) или дифференцируется по СЦТ при условии раздельного учета расходов по каждой из них.

37. Расчет тарифов продажи тепловой энергии предусматривает определение двухставочных тарифов и (или) одноставочных тарифов.

Расчет двухставочного тарифа продажи тепловой энергии производится путем разделения НВВ(т) на производство тепловой энергии и на содержание мощности. Расчет одноставочного тарифа производится по формуле (5) настоящих Методических указаний.

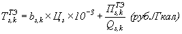
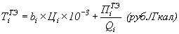
38. Расчет двухставочных тарифов продажи тепловой энергии с коллекторов генерирующих источников производится по формулам:

38.1. Ставка платы за тепловую энергию:

- по k-й ступени параметров пара s-того источника пара

(8)

- по I-му источнику горячей воды

(9)

где:

b_s,k , b_i - удельные расходы условного топлива на тепловую энергию, отпускаемую соответственно в паре k-й ступени параметров s-м источником и в горячей воде i-м источником, кг.у.т./Гкал;

Q_s,k , Q_i - количество тепловой энергии, отпускаемой соответственно s-м источником в паре k-й ступени параметров и i-м источником в горячей воде, тыс. Гкал;

Ц_s , Ц_i - цена условного топлива, используемого соответственно s-м и i-м источниками тепла, руб./т.у.т.;

- части прибыли ПЭ по отпуску тепла, относимые соответственно на Q_s,k и Q_i , тыс. руб.

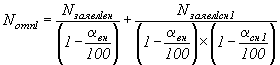
38.2. Ставка платы за тепловую мощность рассчитывается на едином уровне для всех генерирующих источников тепла (в паре и горячей воде) и для всех СЦТ ЭСО по формуле:

(10)

где:

НВВ(Т) - необходимая валовая выручка ПЭ по отпуску тепловой энергии в паре и горячей воде, тыс. руб.;

P_s,k, P_i - соответственно расчетные (присоединенные) тепловые мощности (нагрузки) s-го источника в теплоносителе "пар" k-й ступени параметров и i-го источника в теплоносителе "горячая вода", Гкал/ч;

L, m - количество соответственно ступеней параметров пара на s-м источнике и источников пара у ПЭ;

n, r - количество соответственно источников горячей воды в СЦТ и СЦТ у ПЭ.

39. Общехозяйственные расходы и прибыль ПЭ, относимые на тепловую энергию, распределяются между генерирующими источниками в соответствии с пунктом 24 настоящих Методических указаний.

40. Предложения по установлению тарифов (цен) на электрическую и тепловую энергию (мощность) включают в себя:

экономическое обоснование общей потребности в финансовых средствах по видам регулируемой деятельности на период регулирования;

виды и объемы продукции в натуральном выражении;

распределение общей финансовой потребности по видам регулируемой деятельности;

расчет средних и дифференцированных тарифов (цен) по видам регулируемой деятельности.

41. Для расчета тарифов (цен) используются следующие материалы:

баланс мощности ПЭ (ЭСО) в годовом совмещенном максимуме графика электрической нагрузки ОЭС (Таблицы П1.1, П1.1.2);

расчет полезного отпуска электрической энергии по ПЭ (ЭСО) (Таблицы П1.2, П1.2.2);

расчет полезного отпуска тепловой энергии ЭСО (ПЭ) (Таблица П1.7);

структура полезного отпуска тепловой энергии (Таблица П1.8);

расчет расхода топлива по электростанциям (котельным) (Таблица П1.9);

расчет баланса топлива (Таблица П1.10);

расчет затрат на топливо для выработки электрической и тепловой энергии (Таблица П1.11);

расчет стоимости покупной энергии на технологические цели (Таблица П1.12);

расчет суммы платы за пользование водными объектами предприятиями гидроэнергетики (водный налог) (Таблица П1.14);

смета расходов (Таблица 1.15);

расчет расходов на оплату труда (Таблица П1.16);

расчет амортизационных отчислений на восстановление основных производственных фондов (Таблица П1.17);

калькуляция расходов, связанных с производством и передачей электрической энергии (Таблица П1.18, П1.18.1);

калькуляция расходов, связанных с производством и передачей тепловой энергии (Таблица П1.19, П1.19.1);

расчет источников финансирования капитальных вложений (Таблица П1.20);

справка о финансировании и освоении капитальных вложений по источникам электроэнергии (производство электроэнергии) (Таблица П1.20.1);

справка о финансировании и освоении капитальных вложений по источникам тепловой энергии (производство тепловой энергии) (Таблица П1.20.2);

расчет балансовой прибыли, принимаемой при установлении тарифов на электрическую и тепловую энергию (Таблицы П1.21, П1.21.1, П1.21.2);

расчет экономически обоснованного тарифа продажи ЭСО (ПЭ) (Таблица П1.22);

расчет экономически обоснованного тарифа покупки электроэнергии потребителями (Таблица П1.23);

расчет дифференцированных по времени суток ставок платы за электрическую энергию (Таблица П1.26);

экономически обоснованные тарифы на электрическую энергию (мощность) по группам потребителей (Таблица П1.27);

расчет одноставочных экономически обоснованных тарифов на тепловую энергию по СЦТ (ЭСО) (Таблица П1.28);

расчет ставок платы за тепловую мощность для потребителей пара и горячей воды по СЦТ (ЭСО) (таблица П1.28.1);

расчет дифференцированных ставок за тепловую энергию для потребителей пара различных параметров и горячей воды (по СЦТ) (Таблица П1.28.2);

расчет экономически обоснованных тарифов на тепловую энергию (мощность) по группам потребителей (Таблица П1.28.3);

укрупненная структура тарифа на электрическую энергию для потребителей (Таблица П1.29);

программу производственного развития (план капвложений), согласованную в установленном порядке;

расчет размера выпадающих доходов или дополнительно полученной выгоды в предшествующий период регулирования, выявленных на основании официальной отчетности или по результатам проверки хозяйственной деятельности;

бухгалтерскую и статистическую отчетность на последнюю отчетную дату;

другие дополнительные материалы в соответствии с формой и требованиями, предъявляемыми регулирующим органом.

42. При заполнении таблиц указываются отчетные (ожидаемые) показатели базового периода, определяемые по текущим показателям года, предшествующего расчетному, а также, при необходимости, фактические данные за предыдущий год.

При комплексном теплоснабжении, когда выработка тепловой энергии в отопительных и производственно-отопительных котельных, ее передача, распределение и реализация независимо от вида тепловых нагрузок производится одним юридическим лицом, не относящимся к электроэнергетике, расчеты тарифов на тепловую энергию и платы за ее передачу по решению регионального органа могут осуществляться по упрощенной методике с сокращением объема информационных и обосновывающих материалов и без представления данных раздельного учета расходов на производство, передачу, распределение и реализацию тепловой энергии.

VIII. Расчет тарифа на услуги по передаче электрической энергии по региональным электрическим сетям

43. Расчет тарифа на услуги по передаче электрической энергии по региональным электрическим сетям определяется исходя из стоимости работ, выполняемых организацией, эксплуатирующей на правах собственности или на иных законных основаниях электрические сети и/или устройства преобразования электрической энергии, в результате которых обеспечиваются:

передача электрической энергии (мощности) как потребителям, присоединенным к данной сети, так и отпускаемой в электрические сети других организаций (собственников);

поддержание в пределах государственных стандартов качества передаваемой электрической энергии;

содержание в соответствии с техническими требованиями к устройству и эксплуатации собственных электроустановок и электрических сетей, технологического оборудования, зданий и энергетических сооружений, связанных с эксплуатацией электрических сетей.

44. Размер тарифа на услуги по передаче электрической энергии рассчитывается в виде экономически обоснованной ставки, которая в свою очередь дифференцируется по четырем уровням напряжения в точке подключения потребителя (покупателя, другой энергоснабжающей организации) к электрической сети рассматриваемой организации:

на высоком напряжении: (ВН) 110 кВ и выше;

на среднем первом напряжении: (СН1) 35 кВ;

на среднем втором напряжении: (СН 11) 20 - 1 кВ;

на низком напряжении: (НН) 0,4 кВ и ниже.

45. При расчете тарифа на услуги по передаче электрической энергии за уровень напряжения принимается значение питающего (высшего) напряжения центра питания (подстанции) независимо от уровня напряжения, на котором подключены электрические сети потребителя (покупателя, ЭСО), при условии, что граница раздела балансовой принадлежности электрических сетей рассматриваемой организации и потребителя (покупателя, ЭСО) устанавливается на: выводах проводов из натяжного зажима портальной оттяжки гирлянды изоляторов воздушных линий (ВЛ), контактах присоединения аппаратных зажимов спусков ВЛ, зажимах выводов силовых трансформаторов со стороны вторичной обмотки, присоединении кабельных наконечников КЛ в ячейках распределительного устройства (РУ), выводах линейных коммутационных аппаратов, проходных изоляторах линейных ячеек, линейных разъединителях.

46. При определении тарифа на услуги по передаче электрической энергии (мощности) по указанным четырем уровням напряжения не учитываются сети потребителей, находящиеся у них на правах собственности или иных законных основаниях при условии, что содержание, эксплуатация и развитие этих сетей производится за счет средств указанных потребителей.

47. Расчетный объем необходимой валовой выручки (НВВ_сети) сетевой организации, осуществляющей деятельность по передаче электрической энергии по сетям высокого, среднего первого, среднего второго и низкого напряжения, определяется исходя из:

- расходов по осуществлению деятельности по передаче электрической энергии, в том числе: часть общехозяйственных расходов, относимых на деятельность по передаче электрической энергии, а также расходов на оплату услуг по передаче электрической энергии, принимаемой из сети, присоединенной к сети рассматриваемой организации;

- суммы прибыли, отнесенной на передачу электрической энергии.

48. Необходимая валовая выручка НВВ_сети распределяется по уровням напряжения по следующим формулам:

(11)
 
(11.1)
 
(11.2)
 
(11.3)
 
(11.4)
 
(11.5)
 
(11.6)
 
(11.7)
 
(11.8)
 
(11.9)
 
(11.10)
 
(11.11)

где:

НВВ - суммарный расчетный объем необходимой валовой выручки, обеспечивающей компенсацию экономически обоснованных расходов (с учетом расходов из прибыли) на осуществление деятельности по передаче электрической энергии;

НВВ_вн, НВВ_сн1, НВВ_сн11 и НВВ_нн - расчетный объем необходимой валовой выручки, обеспечивающей компенсацию экономически обоснованных расходов (с учетом расходов из прибыли) на осуществление деятельности по передаче электрической энергии соответственно по сетям (объектам электросетевого хозяйства) высокого, среднего первого, среднего второго и низкого напряжения;

А_вн, А_сн1, А_сн11, А_нн - амортизационные отчисления на полное восстановление основных производственных фондов, по принадлежности к тому или иному уровню напряжения в соответствии с Приложением 2 (таблицы 2.1 и 2.2). Прочая амортизация в целях определения НВВ для каждого уровня напряжения учитывается в составе прочих (распределяемых) расходов; ПРН_вн, ПРН_сн1, ПРН_сн11, ПРН_нн - прямые расходы из прибыли на производственное развитие (с учетом налога на прибыль), относимые, соответственно, на ВН, СН1, СН11, НН:

по ВЛЭП и КЛЭП - в соответствии с таблицей 2.1 Приложения 2;

по подстанциям, трансформаторным подстанциям, комплексным трансформаторным подстанциям и распределительным пунктам - пропорционально мощности трансформатора на соответствующем уровне напряжения;

НИ_вн, НИ_сн1, НИ_сн11, НИ_нн - налог на имущество, база для которого исчисляется в соответствии с принадлежностью такого имущества к тому или иному уровню напряжения в соответствии с Приложением 2 (таблицы 2.1 и 2.2). Налог на имущество, рассчитанный от прочей базы в целях определения НВВ для каждого уровня напряжения, учитывается в составе прочих (распределяемых) расходов;

Р(п) - суммарные прямые расходы сетевой организации, включающие в себя амортизационные отчисления, расходы на производственное развитие и налог на имущество;

SUЊУ - сумма условных единиц по оборудованию всех уровней напряжения, определяется в соответствии с Приложением 2;

У_вн, У_сн1, У_сн11 и У_нн - суммы условных единиц по оборудованию, отнесенных соответственно к высокому, среднему первому, среднему второму и низкому уровням напряжения, определяемых в соответствии с Приложением 2;

, , , - прочие расходы сетевой организации, относимые на соответствующий уровень напряжения и рассчитываемые по формулам (11.2), (11.5), (11.8) и (11.11).

Объекты электросетевого хозяйства учитываются на соответствующем уровне напряжения согласно условным единицам.

В целях раздельного учета в НВВ_вн расходов на содержание объектов электросетевого хозяйства, относимых к единой национальной (общероссийской) электрической сети (ЕНЭС) и не относимых к ЕНЭС, указанные расходы региональным органом рекомендуется распределять в соответствии с Приложением N 3.

49. Расчет экономически обоснованного размера платы за услуги по передаче электрической энергии предусматривает определение двух ставок (тарифов) в качестве базы для утверждения платы за услуги по передаче электрической энергии для всех категорий и групп потребителей (как для потребителей, применяющих двухставочные тарифы, так и для потребителей, применяющих одноставочные тарифы) и покупателей (других ЭСО):

- тарифа на содержание электрических сетей соответствующего уровня (диапазона) напряжения в расчете на МВт мощности, отпущенной из сети (, , , - руб./МВт в месяц);

- тарифа на оплату технологического расхода (потерь) электрической энергии на ее передачу по сетям соответствующего уровня напряжения (, , , - руб./МВт.ч).

50. Тарифы на содержание электрических сетей, дифференцированные по диапазонам (уровням) напряжения, рассчитываются в следующем порядке.

Высокое напряжение 110 кВ и выше

(12)

Часть НВВ_вн, учитываемая при расчете тарифов на передачу для сетей среднего напряжения

(12.1)

в том числе:

- часть, учитываемая при расчете

(12.2)

- часть, учитываемая при расчете

(12.3)

Среднее напряжение первого уровня 35 кВ

(12.4)
 
(12.5)

Среднее напряжение второго уровня 20-1 кВ

(12.6)
 
(12.6.1)
 
(12.7)

Низкое напряжение 0,4 кВ и ниже

(12.8)

где:

, , , - мощность, отпускаемая в сеть высокого, среднего (первого 1 и второго 11 уровней напряжения), низкого напряжения;

, - мощность, отпускаемая в ветви сети СН11, присоединенные соответственно к сети ВН и СН1;

- мощность, отпускаемая в сеть СН1 из сети ВН;

, , , - полезный отпуск мощности потребителям, получающим электроэнергию от сетей ВН, СН1, СН11 и НН;

, , - поставка мощности в сети соответственно ВН, СН1, СН11 непосредственно от ПЭ;

_вн, _сн1, _сн11, _нн - нормативыпотерь в электрическпх сетях (линиях электропередачи, трансформаторах и измерительных системах) ВН, СН1, СН11 и НН;

, - необходимая валовая выручка сети СН11, подключенной к сети ВН и СН1;

, , , - часть необходимой валовой выручки сети более высокого напряжения (нижний индекс), учитываемая при расчете тарифа на передачу смежной сети меньшего напряжения (верхний индекс); М - количество месяцев в периоде регулирования.

51. Для определения платы на содержание электрических сетей по диапазонам (уровням) напряжения в расчете на МВт.ч для потребителей (покупателей, других ЭСО), рассчитывающихся по одноставочному тарифу, необходимо разделить плату на содержание электрических сетей по диапазонам напряжения (руб./МВт в месяц) на число часов использования заявленной (договорной) мощности по данной группе потребителей (покупателей, других ЭСО), получающих электроэнергию на соответствующем диапазоне напряжения:

(13)
 
(13.1)
 
(13.2)
 
(13.3)

где:

- плата за содержание электрических сетей соответствующего диапазона (уровня) напряжения в расчете на МВт.ч;

h_вн, h_сн1, h_сн11, h_нн - среднегодовое число часов использования заявленной (расчетной) мощности одноставочных потребителей (покупателей, других ЭСО), получающих электроэнергию на соответствующем диапазоне напряжения.

52. Расчет ставки, учитывающей оплату потерь (технологического расхода) электрической энергии на ее передачу по сетям, определяется по формулам:

Высокое напряжение 110 кВ и выше

(14)
   
где: (14.1)

Среднее напряжение первого уровня 35 кВ

(14.2)
   
где: (14.3)
   
(14.4)

Среднее напряжение второго уровня 20-1 кВ

(14.5)
     
где: (14.6)
     
(14.7)
     
(14.8)

Низкое напряжение 0,4 кВ и ниже

(14.9)
     
где: (14.10)
     
(14.11)

- суммарный плановый (расчетный) на предстоящий период регулирования отпуск электроэнергии в сеть высокого, среднего (первого и второго уровня) и низкого напряжения, млн. кВт.ч;

- плановая (расчетная) поставка электроэнергии в сеть высокого и среднего напряжения непосредственно от генерирующих источников, а также с оптового рынка электрической энергии (мощности) и от других внешних поставщиков, млн. кВт.ч;

- расчетный объем перетока электроэнергии из сети ВН в сеть СН1 и СН11, а также из сети СН1 в сеть СН11, млн. кВт.ч;

- плановый (расчетный) на период регулирования отпуск электрической энергии в сеть СН11, присоединенную к сети ВН;

_вн, _сн1, _сн11, _нн - нормативы технологического расхода (потерь) электрической энергии на ее передачу по сетям (линиям электропередачи, трансформаторам) ВН, СН1, СН11, НН соответственно, %;

- расходы на оплату потерь в сетях соответствующего уровня напряжения, тыс. руб.;

- часть затрат на оплату потерь сетей более высокого напряжения (нижний индекс), учитываемая при расчете Т_пот для смежных сетей более низкого напряжения (верхний индекс), тыс. руб.;

Т(эс) - одноставочный тариф (цена) на электрическую энергию (мощность), руб./МВт.ч.

53. Экономически обоснованный размер платы за услуги по передаче электрической энергии (Т_усл.вн, Т_усл.сн1, Т_усл.сн11, Т_усл.нн - руб./МВт.ч) определяется следующим образом:

(15)
   
(15.1)
   
(15.2)
   
(15.3)

При определении размера платы за услуги по передаче электрической энергии учитывается переток электрической энергии (мощности) в другие организации.

54. Размер платы за услуги по передаче электрической энергии рассчитывается для каждой региональной (территориальной) сетевой организации.

55. Плата за услуги по передаче электрической энергии не взимается с потребителя (покупателя, другой ЭСО), подключенного к шинам распределительного устройства одной или нескольких электростанций производителя энергии и получающего от нее (них) всю покупаемую электрическую энергию.

Расчет за покупаемую электрическую энергию этот потребитель (покупатель, другая ЭСО) производит по тарифу указанного производителя энергии.

В случае получения указанным потребителем (покупателем, другой ЭСО) части электрической энергии из общей сети расчет за электрическую энергию производится исходя из следующих положений:

- за часть электрической энергии, получаемой с шин, - как для потребителя (покупателя, другой ЭСО), подключенного к шинам распределительного устройства одной или нескольких электростанций производителя энергии;

- за остальную часть электрической энергии, полученной потребителем (покупателем, другой ЭСО) из общей сети, - с учетом:

стоимости покупаемой электрической энергии, определяемой по средней стоимости единицы электрической энергии в соответствии с пунктом 11 настоящих Методических указаний;

платы за передачу электрической энергии, определяемой как произведение ставки платы за содержание электрических сетей соответствующего уровня напряжения и заявленной мощности, умноженной на коэффициент, равный частному от деления указанной части электрической энергии на полезный отпуск электрической энергии потребителю (покупателю, другой ЭСО) за календарный год, предшествующий расчетному периоду регулирования.

В тарифе для данного потребителя (покупателя, другой ЭСО) учитываются также расходы на сбыт электрической энергии и расходы на услуги по организации функционирования и развитию ЕЭС России, оперативно-диспетчерскому управлению в электроэнергетике, организации функционирования торговой системы оптового рынка электрической энергии (мощности), передаче электрической энергии по единой национальной (общероссийской) электрической сети.

56. Расчет платы за услуги по передаче электрической энергии по участкам электрических сетей (выделенным участкам электрических сетей), используемым для передачи электрической энергии конкретному потребителю (покупателю, другой ЭСО), производится при наличии в электросетях соответствующих приборов учета и контроля.

При расчете платы за услуги по передаче электрической энергии по выделенным участкам электросетей учитываются только те расходы ЭСО, которые необходимы для содержания указанных участков электросетей (с соответствующими устройствами преобразования электрической энергии), компенсации возникающих в них потерь электрической энергии и резервного питания потребителя (покупателя, другой ЭСО).

57. Для расчета тарифов (цен) используются следующие материалы:

расчет технологического расхода электрической энергии (потерь) в электрических сетях ЭСО (региональные электрические сети) (Таблица П1.3);

баланс электрической энергии по сетям ВН, СН1, СН1 и НН (Таблица П1.4);

электрическая мощность по диапазонам напряжения ЭСО (Таблица П1.5);

структура полезного отпуска электрической энергии (мощности) по группам потребителей ЭСО (Таблица П1.6);

расчет суммы платы на услуги по организации функционирования и развитию ЕЭС России, оперативно-диспетчерскому управлению в электроэнергетике, организации функционирования торговой системы оптового рынка электрической энергии (мощности), передаче электрической энергии по единой национальной (общероссийской) электрической сети (Таблица П1.13);

смета расходов (Таблица П1.15);

расчет расходов на оплату труда (Таблица П1.16);

расчет амортизационных отчислений на восстановление основных производственных фондов (Таблица П1.17);

расчет среднегодовой стоимости основных производственных фондов по линиям электропередачи и подстанциям (Таблица П1.17.1);

калькуляция расходов, связанных с передачей электрической энергии (Таблица П1.18.2);

расчет источников финансирования капитальных вложений (ТаблицаП 1.20);

справка о финансировании и освоении капитальных вложений в электросетевое строительство (передача электроэнергии) (Таблица П1.20.3);

расчет балансовой прибыли, принимаемой при установлении тарифов на передачу электрической энергии (Таблица П1.21.3);

расчет платы за услуги по содержанию электрических сетей (Таблица П1.24);

расчет ставки по оплате технологического расхода (потерь) электрической энергии на ее передачу по сетям (Таблица П1.25);

экономически обоснованные тарифы на электрическую энергию (мощность) по группам потребителей (Таблица П1.27);

расчет условных единиц для распределения общей необходимой валовой выручки на содержание электрических сетей по уровням напряжения (Приложение 2);

бухгалтерская и статистическая отчетность на последнюю отчетную дату.

IX. Расчет размера платы за услуги по передаче тепловой энергии в системах централизованного теплоснабжения

58. Расчет платы за услуги по передаче тепловой энергии по тепловым сетям определяется из следующих видов расходов:

расходы на эксплуатацию тепловых сетей;

расходы на оплату тепловой энергии, израсходованной на передачу тепловой энергии по тепловым сетям (технологический расход (потери) тепловой энергии в сетях).

Расходы на эксплуатацию тепловых сетей должны обеспечивать:

- содержание в соответствии с технологическими нормами, требованиями и правилами тепловых сетей и сооружений на них, устройств защиты и автоматики, а также зданий и сооружений, предназначенных для эксплуатации тепловых сетей;

- уровень надежности теплоснабжения каждого потребителя в соответствии с проектной категорией надежности;

- поддержание качества передаваемых тепловой энергии и теплоносителей в пределах, устанавливаемых в договорах и обязательных к применению правилах, утвержденных в установленном порядке;

- поддержание в состоянии эксплуатационной готовности тепловых сетей, а также оборудования, зданий и сооружений, связанных с эксплуатацией тепловых сетей.

59. Расчет платы за услуги по передаче тепловой энергии T_передi в виде тарифа на передачу по тепловым сетям единицы тепловой мощности производится по формуле:

(16)

где:

Т_передi - плата за услуги по передаче тепловой энергии (руб./Гкал/час в мес.);

- необходимая валовая выручка теплосетевой организации на регулируемый период по оказанию услуг по передаче тепловой энергии в паре или в горячей воде, тыс. руб.;

Р_i - суммарная расчетная (присоединенная) тепловая мощность (нагрузка) по совокупности потребителей тепловой энергии в паре или горячей воде по заключенным договорам теплоснабжения с энергоснабжающей организацией на регулируемый период, тыс. Гкал/час;

М - продолжительность периода регулирования, мес.

60. Расчет тарифов на тепловую энергию для потребителей по настоящим Методическим указаниям основывается на полном возврате теплоносителей в тепловую сеть и (или) на источник тепла.

Стоимость используемой на источниках тепла исходной воды для обеспечения технологического процесса относится к стоимости сырья, основных и вспомогательных материалов, используемых при производстве тепловой энергии.

Расходы теплоснабжающей организации на приобретение воды принимаются по ценам ее покупки и расходам на химическую очистку воды по указанным в договорах ценам.

61. При расчете величины платы за услуги по передаче тепловой энергии по паровым и водяным тепловым сетям НВВ регулируемой организации, осуществляющей деятельность по передаче тепловой энергии в паре и в горячей воде, распределяется между тепловыми и паровыми сетями.

61.1. Прямые расходы на развитие и содержание паровых и водяных тепловых сетей учитываются раздельно. Общехозяйственные расходы и прибыль регулируемой организации распределяются между СЦТ пропорционально прямым расходам. При невозможности отнесения какой-либо составляющей прямых расходов (материальные расходы, оплата труда, отчисления в ремонтный фонд, прочие прямые расходы) по видам услуг по передаче тепловой энергии (пар, горячая вода) по прямому признаку расчет указанных расходов производится пропорционально условным единицам тепловых сетей или в соответствии с учетной политикой, принятой в регулируемой организации.

61.2. В составе материальных расходов учитываются расходы на приобретение воды, электрической и тепловой энергии, расходуемых на технологические цели, включая расходы на компенсацию следующих нормативных технологически необходимых затрат и технически неизбежных потерь ресурсов:

тепловые потери через изоляцию трубопроводов тепловых сетей и с потерями теплоносителей;

потери (в том числе с утечками) теплоносителей (пар, конденсат, горячая вода) - без тепловой энергии, содержащейся в каждом из них;

затраты электроэнергии на привод насосов (подкачивающих, смесительных, циркуляционных, дренажных и т.п.), а также другого оборудования, обеспечивающего технологический процесс передачи и распределения тепловой энергии.

61.3. Расходы на компенсацию указанных в подпункте 61.2 настоящих Методических указаний потерь и затрат ресурсов определяются по действующим тарифам и ценам на каждый из видов ресурсов, получаемых по договорам с поставщиками (производителями), или по расходам на их производство в тех случаях, когда ЭСО, наряду с оказанием услуг по передаче тепловой энергии и теплоносителя, осуществляет производство данных ресурсов с последующим их потреблением в процессе передачи тепловой энергии.

62. Для расчета тарифов (цен) на тепловую энергию используются следующие материалы:

- структура полезного отпуска тепловой энергии (Таблица П1.8);

- смета расходов (Таблица П1.15);

- расчет расходов на оплату труда (Таблица П1.16);

- расчет амортизационных отчислений на восстановление основных производственных фондов (Таблица П1.17);

- калькуляция расходов по передаче тепловой энергии (ТаблицаП 1.19.2);

- расчет источников финансирования капитальных вложений (Таблица П1.20);

- справка о финансировании и освоении капитальных вложений в теплосетевое строительство (передача теплоэнергии) (Таблица П1.20.4);

- расчет балансовой прибыли, принимаемой при установлении тарифов на передачу тепловой энергии (Таблица П1.21.4);

- расчет платы за услуги по передаче тепловой энергии (Таблица П1.24.1);

- бухгалтерская и статистическая отчетность на последнюю отчетную дату.

X. Расчет тарифов по группам потребителей электрической и тепловой энергии на потребительском рынке

63. Процедура расчета тарифов на электрическую энергию предусматривает двухставочные тарифы (на принципах раздельного учета затрат между электрической энергией и мощностью) в качестве базы для расчета тарифов на электроэнергию для всех групп потребителей (как для потребителей, применяющих двухставочные тарифы, так и для потребителей, применяющих одноставочные и зонные тарифы).

При этом при расчетах за покупную электрическую энергию по двухставочным тарифам в расчет условно-постоянных расходов энергоснабжающей организации включаются расходы на покупку мощности (по ставке тарифа за мощность) и в расчет переменных составляющих расходов включаются расходы на покупку энергии (по ставке тарифа на электрическую энергию).

64. Одноставочный тариф (цена) покупки электрической энергии (мощности), поставляемой потребителям и покупателям - субъектам розничного рынка (кроме населения), рассчитывается исходя из ставок за электрическую энергию и мощность и дифференцируется в зависимости от числа часов использования заявленной мощности.

Дифференциация устанавливается для следующих диапазонов годового числа часов использования заявленной мощности:

от 7000 и выше;

от 6000 до 7000 часов;

от 5000 до 6000 часов;

от 4000 до 5000 часов;

от 3000 до 4000 часов;

от 2000 до 3000 часов;

менее 2000 часов.

65. Расчет тарифов (цены) на электрическую энергию (мощность), поставляемую ПЭ потребителям, производится раздельно для потребителей группы 1 и потребителей групп 2 и 3.

66. Тарифы (цены) на электрическую энергию (мощность) для потребителей группы 1 определяются, исходя из средневзвешенных цен (тарифов) на базовые части полезного отпуска и заявленной мощности и оставшуюся их часть в следующей последовательности.

Определяется доля полезного отпуска электрической энергии (заявленной мощности) потребителей 1 группы в полезном отпуске всем потребителям ЭСО (заявленной мощности всех потребителей ЭСО) по формулам:

(17)
 
(17.1)

где:

Э_пол1, Э_полЭСО - полезный отпуск электрической энергии соответственно потребителям группы 1 и всем потребителям ЭСО (группы 1 - 3).

N_заявл1, N_заявлЭСО - заявленная мощность соответственно потребителей группы 1 и всех потребителей ЭСО (группы 1 - 3).

Определяется базовая часть полезного отпуска электрической энергии Э_баз1 и заявленной мощности N_баз1 потребителям группы1 по формулам:

Э_баз1 = К_1 x Э_пол1 (18)
 
N_баз1 = К_2 x N_заявл1 (19)

где:

N_заявл1 - суммарная заявленная мощность потребителей группы 1.

Базовая часть тарифов на электрическую энергию и мощность рассчитываются по тарифным ставкам за электрическую энергию и мощность того из s-х ПЭ, заключивших с СЭО договора купли-продажи (поставки) электрической энергии (мощности), который имеет наименьший одноставочный тариф на электрическую энергию, по формулам:

(20)
   
(21)

где:

sm - индекс, фиксирующий из s-x ПЭ того ПЭ, который имеет минимальный одноставочный тариф продажи электроэнергии;

- необходимые sm-му ПЭ валовые выручки соответственно за электрическую энергию и мощность, определяемые в соответствии с главой VII настоящих Методических указаний;

Э_отпsm N_отпsm - объемы соответственно полезного отпуска электрической энергии и мощности от sm-го ПЭ (согласно главе VII настоящих Методических указаний), определяемые на основании плановых балансов электрической энергии (мощности) ЭСО, утвержденных в установленном порядке.

Оставшиеся части тарифов (цен) на электрическую энергию и мощность , вырабатываемые всеми s-ми ПЭ и отпускаемые потребителям группы 1, определяются по формулам:

(22)
 
(23)
 
(24)
 
(25)
 
(26)
 
(27)

где:

- суммарные по всем s-м ПЭ необходимые валовые выручки, отнесенные соответственно на электрическую энергию и мощность;

Э_отп.баз1 и N_отпбаз1 - соответственно базовая часть полезного отпуска электрической энергии и мощности от sm-го ПЭ для потребителей группы 1;

Э_баз1вн и Э_баз1сн1 - базовая часть полезного отпуска электрической энергии от sm-го ПЭ потребителям группы 1 соответственно на высоком и среднем первом уровнях напряжения;

N_баз1вн и N_баз1сн1 - базовая часть заявленной мощности, отпускаемой от sm-го ПЭ потребителям группы 1 соответственно на высоком и среднем первом уровнях напряжения;

- тарифные выручки, получаемые sm-м ПЭ от потребителей групп 1 соответственно за полезный отпуск им электрической энергии в размере Э_баз1 и мощности в размере N_баз1;

Э_оптs и N_отпs - соответственно полезный отпуск электрической энергии и мощности от s-го ПЭ потребителям.

Средневзвешенные тарифы (цены) на электрическую энергию и мощность для потребителей группы 1 определяются по формулам:

(28)
 
(29)

Тарифные выручки, полученные всеми s-ми ПЭ от потребителей группы 1 за отпуск электрической энергии и мощности определяются по формулам:

(30)
 
(31)

Средние тарифы (цены) на электрическую энергию и , отпускаемые потребителям групп 2-3, определяются по формулам:

(32)
 
(33)

где Э_отп1 и N_отп1 - соответственно отпуск электрической энергии и мощности от s-x ПЭ для потребителей группы 1, рассчитываемые по формулам:

(34)
   
(35)

где:

Э_пол1вн и Э_пол1сн - полезный отпуск электрической энергии потребителям группы 1 соответственно на высоком и среднем уровнях напряжения.

Тарифные выручки, полученные всеми s-ми ПЭ от потребителей групп 2 и 3 за отпуск электрической энергии и мощности , определяются по формулам:

(36)
 
(37)

Если отпуск электрической энергии от sm-го ПЭ больше базовой части отпуска электроэнергии для потребителей группы 1, то тарифы на электрическую энергию и мощность для потребителей групп 1, 2 и 3 определяются по формулам (28), (29) и (32), (33).

В противном случае аналогичные расчеты повторяются в указанной выше последовательности, где за sm-го ПЭ принимают ПЭ с наименьшим после рассмотренного выше (см. формулы (20) и (21)) одноставочным тарифом на электрическую энергию.

67. Ставка за заявленную мощность тарифа на услуги по передаче электрической энергии по сетям для j-го потребителя определяется по формуле:

(38)

где:

sl и i - индексы, фиксируемые соответственно ставку по i-м уровнем напряжения в sl-x ЭСО;

- тарифная выручка, получаемая от j-го потребителя за содержание электрических сетей i-го уровня напряжения sl-й ЭСО (определяется по формулам (12) - (12.9) раздел VIII настоящих Методических указаний).

Ставка за электрическую энергию тарифа за услуги по передаче электрической энергии по сетям для j-го потребителя определяется по формуле:

(39)

где:

- тарифная выручка, получаемая от j-го потребителя за оплату потерь (технологического расхода) электрической энергии на ее передачу по сетям i-го уровня напряжения sl-й ЭСО (определяется по формулам (14) - (14.11) раздела VIII настоящих Методических указаний).

68. С учетом расходов на производство и передачу электрической энергии j-й потребитель оплачивает ставку (тариф) на заявленную мощность и ставку (тариф) за полезный отпуск электроэнергии .

Ставки (тарифы) и j-го потребителя, относящегося к группе 1, определяются по формулам:

(40)
 
(41)

Ставка (тарифы) и j-го потребителя, относящегося к группам 2 и 3, определяются по формулам:

(42)
 
(43)

69. Определение расчетной мощности потребителей (исходя из заявленного объема электрической энергии), оплачивающих электроэнергию по одноставочным тарифам, осуществляется ЭСО и производится в следующей последовательности:

а) по каждой группе потребителей определяется состав представительной выборки. По каждому потребителю, вошедшему в выборку, рассматривается следующая информация:

- наименование предприятия (организации);

- вид выпускаемой продукции (для промышленных предприятий);

- коэффициент сменности (для промышленных предприятий);

- основные направления использования электроэнергии;

- суточный график электрической нагрузки в день годового максимума совмещенного графика нагрузки ОЭС (если суточный график по какой-либо тарифной группе отсутствуют, то организуется выборочные замеры нагрузки в часы утреннего и вечернего максимумов нагрузки ОЭС);

- годовой объем электропотребления;

б) по каждому потребителю в указанном суточном графике определяется нагрузка в отчетные часы утреннего и вечернего пика (максимума) ОЭС. В дальнейших расчетах используется один (утренний или вечерний) наибольший суммарный совмещенный максимум нагрузки рассматриваемой группы потребителей;

в) посредством деления суммарного годового электропотребления всех абонентов, вошедших в выборку, на их совмещенный максимум нагрузки определяется среднегодовое число часов использования максимума нагрузки рассматриваемой группы потребителей.

70. Для потребителей, применяющих одноставочные тарифы на электроэнергию, рассчитанные согласно настоящим Методическим указаниям, двухставочные тарифы преобразуются водноставочные по формуле:

(44)

где:

h_maxj - годовое число часов использования заявленной мощности.

Для диапазонов годового числа часов использования заявленной мощности применяются следующие расчетные значения h_maxj:

от 7000 часов и выше - 7500;

от 6000 до 7000 часов - 6500;

от 5000 до 6000 часов - 5500;

от 4000 до 5000 часов - 4500;

от 3000 до 4000 часов - 3500;

от 2000 до 3000 часов - 2500;

менее 2000 часов - 1000.

71. Дифференцированный по зонам суток тариф на электроэнергию для потребителей рассчитывается на основе среднего одноставочного тарифа покупки от ПЭ.

Интервалы тарифных зон суток по энергозонам (ОЭС) России устанавливаются Службой на основании запрашиваемой в ОАО "СО-ЦДУ ЕЭС" информации.

Расчет тарифных ставок на электроэнергию, дифференцированных по зонам суток (пик, полупик, ночь) на основе среднего одноставочного тарифа продажи электрической энергии от ПЭ, осуществляется, исходя из следующего уравнения:

(45)

где:

- утвержденный одноставочный тариф на электрическую энергию по ПЭ (руб./тыс. кВтч);

Т_п Т_пп Т_н - тарифы за электроэнергию соответственно в пиковой, полупиковой и ночной зонах суточного графика нагрузки (руб./тыс. кВт.ч);

Э_п Э_пп Э_н - объем покупки электроэнергии потребителем ПЭ, рассчитывающимся по зонным тарифам, соответственно в пиковой, полупиковой и ночной зонах графика нагрузки. При этом численные значения объема покупки электроэнергии по зонам могут задаваться как в абсолютных единицах (тыс. кВт.ч), так и в долях от суммарного объема покупки электроэнергии;

Э_пол - полезный отпуск электроэнергии потребителю.

Величина тарифа в ночной зоне Т_н устанавливается на уровне, обеспечивающем ПЭ возмещение суммы расходов на топливо, на производство электроэнергии Э:

(46.1)

где:

- сумма расходов на топливо по ПЭ.

По ЭСО включают в себя расходы на покупную электрическую энергию (при их наличии).

Тариф за электроэнергию, поставляемую в полупиковой зоне графика нагрузки Т_пп, приравнивается к утвержденному для ПЭ одноставочному тарифу:

(46.2)

Определение численного значения тарифа за электроэнергию в пиковой зоне Т_п, исходя из уравнения (45), производится по следующей формуле:

(46.3)

где:

Э_п - потребление электрической энергии в пиковой зонеграфика нагрузки.

Дифференцированный по зонам суток тариф на электрическую энергию для потребителей рассчитывается как сумма дифференцированного по зонам суток тарифа покупки от ПЭ и, одинаковых по всем зонам суток, тарифа на передачу электрической энергии и платы за указанные в подпункте 5.3 настоящих Методических указаний услуги.

Тарифы (цены) на электроэнергию, поставляемую потребителям (покупателям), рассчитываются в соответствии с Таблицей П1.29.

Допускается производить дифференциацию тарифов на электрическую энергию по двум зонам суток - "день" и "ночь". При расчете данных тарифов используют следующие соотношения:

(46.4)

где:

Т_день, Т_н - тарифные ставки продажи электроэнергии соответственно в дневной и ночной зонах суточного графика нагрузок;

Э_день, Э_н - объемы потребления электроэнергии соответственно в дневной и ночной периоды.

Тарифная ставка продажи электроэнергии в ночной зоне определяется по выражению (46.1).

Тарифная ставка продажи электроэнергии в дневной зоне суточного графика нагрузок определяется по выражению:

(46.5)

72. Потребитель тепловой энергии оплачивает расходы, связанные с производством и передачей тепловой энергии по тарифам, рассчитываемым в соответствии с разделами VII и IX настоящих Методических указаний.

XI. Тарифы на электрическую энергию (мощность), реализуемую по двусторонним договорам

73. Двусторонние договоры могут заключаться в соответствии с Основами ценообразования.

74. При наличии выпадающих доходов регулируемой организации, вызванных реализацией энергии (мощности) по двусторонним договорам, отнесение их на иные группы потребителей не производится.

Приложение 1

Таблица N П1.1.1

Баланс мощности ПЭ в годовом совмещенном максимуме графика электрической нагрузки ОЭС

п.п. Показатели Единица измерения Базовый период Период регулирования
1 2 3 4 5
1. Установленная мощность эл. станций ПЭ тыс. кВт    
2. Снижение мощности из-за вывода оборудования в консервацию      
3. Нормативные, согласованные с ОРГРЭС ограничения мощности      
4. Прочие ограничения      
3. Располагаемая мощность ПЭ      
4. Снижение мощности из-за вывода оборудования в реконструкцию и во все виды ремонтов      
5. Рабочая мощность ПЭ      
6. Мощность на собственные нужды      
7. Полезная мощность ПЭ      

Таблица N П1.1.2

Баланс мощности ЭСО в годовом совмещенном максимуме графика электрической нагрузки ОЭС

п.п. Показатели Единица измерения Базовый период Период регулирования
1 2 3 4 5
1. Поступление мощности в сеть ЭСО от ПЭ тыс. кВт    
1.1. Собственных станций      
1.2. От блокстанций      
1.3. С оптового рынка      
1.4. Других ПЭ и ЭСО      
1.4.1. ...      
2. Потери в сети      
3. Мощность на производственные и хозяйственные нужды      
4. Полезный отпуск мощности ЭСО      
  в том числе      
  Максимум нагрузки собственных потребителей ЭСО      
  Передача мощности другим ЭСО      
  Передача мощности на оптовый рынок      

Таблица N П1.2.1

Расчет полезного отпуска электрической энергии по ПЭ

млн. кВт.ч

п.п. Показатели Базовый период Период регулирования
1 2 3 4
1. Выработка электроэнергии, всего    
  в т.ч. ТЭС    
  ГЭС    
2. Покупная электроэнергия от других собственников    
3. Расход электроэнергии на собственные нужды    
  в том числе: на ТЭС    
  - на производство электроэнергии    
  то же в %    
  - на производство теплоэнергии    
  то же в кВт.ч/Гкал    
  на ГЭС    
  то же в %    
4. Отпуск электроэнергии с шин (п. 1 - п. 3), всего    
5. Расход электроэнергии на производственные и хозяйственные нужды ПЭ    
6. Потери электроэнергии в пристанционных узлах    
7. Полезный отпуск ПЭ (п. 4 + п. 2 - п. 5 - п. 6)    
  в том числе: по прямым договорам в общую сеть    

Таблица N П1.2.2

Расчет полезного отпуска электрической энергии по ЭСО

млн. кВт.ч

п.п. Показатели Базовый период Период регулирования
1 2 3 4
1. Полезный отпуск ПЭ (строка 7 т. 1.2.1)    
2. Покупная электроэнергия    
2.1. с оптового рынка    
2.2. от блок-станций    
2.3. от других поставщиков (за вычетом строки 2 таблицы П.1.2.1)    
3. Потери электроэнергии в сетях    
  то же в % к отпуску в сеть    
4. Расход электроэнергии на производственные и хозяйственные нужды    
  в том числе: для закачки воды ГАЭС    
  для электробойлерных    
  для котельных    
5. Полезный отпуск электроэнергии ЭСО, всего    
  в том числе:    
5.1. Передача электроэнергии на оптовый рынок    
5.2. Отпуск электроэнергии по прямым договорам    
5.3. Полезный отпуск электроэнергии в общую сеть    

Таблица N П1.3

Расчет технологического расхода электрической энергии (потерь) в электрических сетях ЭСО (региональных электрических сетях)

п.п. Показатели Ед. изм. Базовый период Период регулирования
ВН СН1 СН11 НН Всего ВН СН1 СН11 НН Всего
1 2 3 4 5 6 7 8 9 10 11 12 13
1. Технические потери млн. кВт.ч                    
1.1. Потери холостого хода в трансформаторах (а х б х в) млн. кВт.ч                    
а Норматив потерь кВт/МВА                    
б Суммарная мощность трансформаторов МВА                    
в Продолжительность периода час                    
1.2. Потери в БСК и СТК (а х б) млн. кВт.ч                    
а Норматив потерь тыс. кВт.ч в год/шт.                    
б Количество шт.                    
1.3. Потери в шунтирующих реакторах (а х б) млн. кВт.ч                    
а Норматив потерь тыс. кВт.ч в год/шт.                    
б Количество шт.                    
1.4. Потери в синхронных компенсаторах (СК) млн. кВт.ч                    
1.4.1. Потери в СК номинальной мощностью ____ Мвар (а х б)                      
а Норматив потерь тыс. кВт.ч в год/шт.                    
б Количество шт.                    
1.4.2. Потери в СК номинальной мощностью ____ Мвар (а х б)                      
а Норматив потерь тыс. кВт.ч в год/шт.                    
б Количество шт.                    
1.4.3. ...                      
1.5. Потери электрической энергии на корону, всего млн. кВт.ч                    
1.5.1. Потери на корону в линиях напряжением ___ кВ (а х б) млн. кВт.ч                    
а Норматив потерь млн. кВт.ч в год/км                    
б Протяженность линий км                    
1.5.2. ... млн. кВт.ч                    
1.6. Нагрузочные потери, всего                      
1.6.1. Нагрузочные потери в сети ВН, СН1, СН11 (а х б х в)                      
а Норматив потерь %                    
б Поправочный коэффициент                      
в Отпуск в сеть ВН, СН1 и СН11 млн. кВт.ч                    
1.6.2. Нагрузочные потери в сети НН (а х б) млн. кВт.ч                    
а Норматив потерь тыс. кВт.ч в год/км                    
б Протяженность линий 0,4 кВ км                    
2. Расход электроэнергии на собственные нужды подстанций млн. кВт.ч                    
3. Потери, обусловленные погрешностями приборов учета млн. кВт.ч                    
4. Итого млн. кВт.ч                    

Таблица N П1.4

Баланс электрической энергии по сетям ВН, СН1, СН11 и НН

млн. кВт.ч

п.п. Показатели Базовый период Период регулирования
Всего ВН СН1 СН11 НН Всего ВН СН1 СН11 НН
1 2 3 4 5 6 7 8 9 10 11 12
1. Поступление эл. энергии в сеть, ВСЕГО                    
1.1. из смежной сети, всего                    
  в том числе из сети                    
  ВН                    
  СН1                    
  СН11                    
1.2. от электростанций ПЭ (ЭСО)                    
1.3. от других поставщиков (в т.ч. с оптового рынка)                    
1.4. поступление эл. энергии от других организаций                    
2. Потери электроэнергии в сети                    
  то же в % (п. 1.1/п. 1.3)                    
3. Расход электроэнергии на производственные и хозяйственные нужды                    
4. Полезный отпуск из сети                    
4.1. в т.ч. собственным потребителям ЭСО                    
  из них:                    
  потребителям, присоединенным к центру питания                    
  на генераторном напряжении                    
4.2. потребителям оптового рынка                    
4.3. сальдо переток в другие организации                    

Таблица N П1.5

Электрическая мощность по диапазонам напряжения ЭСО

МВт

п.п. Показатели Базовый период Период регулирования
Всего ВН СН1 СН11 НН Всего ВН СН1 СН11 НН
1 2 3 4 5 6 7 8 9 10 11 12
1. Поступление мощности в сеть, ВСЕГО                    
1.1. из смежной сети                    
1.2. от электростанций ПЭ                    
  от других поставщиков (в т.ч. с оптового рынка)                    
  от других организаций                    
2. Потери в сети                    
  то же в %                    
3. Мощность на производственные и хозяйственные нужды                    
4. Полезный отпуск мощности потребителям                    
4.1. в т.ч. Заявленная (расчетная) мощность собственных потребителей, пользующихся региональными электрическими сетями                    
4.2. Заявленная (расчетная) мощность потребителей оптового рынка                    
4.3. в другие организации                    

Таблица N П1.6

Структура полезного отпуска электрической энергии (мощности) по группам потребителей ЭСО

N Группа потребителей Объем полезного отпуска электроэнергии, млн. кВт.ч Заявленная (расчетная) мощность, тыс. кВт Число часов использования, час Доля потребления на разных диапазонах напряжений, %
Всего ВН СН1 СН11 НН Всего ВН СН1 СН11 НН Всего ВН СН1 СН11 НН
1 2 3 4 5 6 7 8 9 10 11 12 13 14 15 16 17 18
Базовый период
1. Базовые потребители                                
  Потребитель 1                                
  Потребитель 2                                
  ...                                
2. Население                                
3. Прочие потребители                                
3.1. в том числе Бюджетные потребители                                
4. Итого                                
Период регулирования
1. Базовые потребители                                
  Потребитель 1                                
  Потребитель 2                                
  ...                                
2. Население                                
3. Прочие потребители                                
3.1. в том числе Бюджетные потребители                                
4. Итого                                

Таблица N П1.7

Расчет полезного отпуска тепловой энергии ЭСО (ПЭ)

тыс. Гкал

п.п.   Базовый период Период регулирования
всего в том числе всего в том числе
горячая вода отборный пар в том числе горячая вода отборный пар в том числе
1,2 - 2,5 кгс/ см2 2,5 - 7,0 кгс/ см2 7,0 - 13,0 кгс/ см2 >13 кгс/ см2 острый и редуцированный пар 1,2 2,5 кгс/ см2 2,5 7,0 кгс/ см2 7,0 13,0 кгс/ см2 >13 кгс/ см2 острый и редуцированный
1 2 3 4 5 6 7 8 9 10 11 12 13 14 15 16 17 18
1. Отпуск теплоэнергии, всего                                
  в том числе: - с коллекторов ТЭС                                
  - от котельных                                
  - от электробойлерных                                
2. Покупная теплоэнергия                                
  в том числе:                                
  ...                                
3. Отпуск теплоэнергии в сеть ЭСО (п. 1 + п. 2)                                
4. Потери теплоэнергии в сети ЭСО                                
4.1. в том числе: - с через изоляцию                                
4.2. - потерями теплоносителя                                
4.3. То же в % к отпуску в сеть                                
5. Полезный отпуск теплоэнергии ЭСО (п. 3 - п. 4), всего                                

Примечание. Заполняется всего и отдельно по каждой СЦТ.

Таблица N П1.8

Структура полезного отпуска тепловой энергии

N Потребители Базовый период Период регулирования
Расчетная (присоединенная) тепловая нагрузка (мощность), Гкал/час Энергия, тыс. Гкал Расчетная (присоединенная) тепловая нагрузка (мощность), Гкал/час Энергия, тыс. Гкал
1 2 3 4 5 6
1. Всего отпущено потребителям        
  Горячая вода        
  Отборный пар        
  - от 1,2 до 2,5 кгс/кв.см        
  - от 2,5 до 7,0 кгс/кв.см        
  - от 7,0 до 13,0 кгс/кв.см        
  - свыше 13,0 кгс/кв.см        
  Острый и редуцированный        
1.1. В том числе Бюджетные потребители        
  Горячая вода        
  Отборный пар        
  - от 1,2 до 2,5 кгс/кв.см        
  - от 2,5 до 7,0 кгс/кв.см        
  - от 7,0 до 13,0 кгс/кв.см        
  - свыше 13,0 кгс/кв.см        
  Острый и редуцированный        

Примечание. Заполняется всего и отдельно по каждой СЦТ.

Таблица N П1.9

Расчет расхода топлива по электростанциям (котельным)

п/п Предприятие Электрическая энергия Тепловая энергия Расход условного топлива всего, тыс. тут
Выработка электроэнергии, млн. кВт.ч Расход электроэнергии на собственные нужды всего, млн. кВт.ч То же в % в том числе на электроэнергию То же в % Отпуск с шин, млн. кВт.ч Удельный расход условного топлива, г/кВт.ч Расход условного топлива, тыс. тут Отпуск теплоэнергии, тыс. Гкал Собственные (производственные) нужды, кВт.ч/Гкал Удельный расход условного топлива, г/кВт.ч. Расход условного топлива, тыс. тут
1 2 3 4 5 6 7 8 9 10 11 12 13 14 15
Базовый период
1. ТЭС                          
1.1. ...                          
2. Котельная                          
2.1. ...                          
3. Всего по ЭСО (ПЭ)                          
  в т.ч.                          
3.1. ТЭС                          
3.2. Котельные                          
Период регулирования
1. ТЭС                          
1.1. ...                          
2. Котельная                          
2.1. ...                          
3. Всего по ЭСО (ПЭ)                          
  в т.ч.                          
3.1. ТЭС                          
3.2. Котельные                          

Таблица N П1.10

Расчет баланса топлива

Электростанция (котельная) Вид топлива Остаток на начало периода Приход натурального топлива <*> Расход натурального топлива Остаток на конец периода
Всего, тыс. т.н.т. Цена, руб./ т.н.т. Стоимость, тыс. руб. Всего, т.н.т. Цена франко станция Дальность перевозки Тариф на перевозку Норматив потерь при перевозке Цена франко станция назначения, руб./т.н.т. Стоимость, тыс. руб. Всего, т.н.т. Цена, руб./т.н.т. Стоимость, тыс. руб. Всего, тыс. т.н.т. Цена, руб./ т.н.т. Стоимость, тыс. руб.
1 2 3 4 5 6 7 8 9 10 11 12 13 14 15 16 17 18
        3 x 4           (7 + 8 x 9) x (1 + 10) 6 x 11   (5 + 12) / (3 + 6) 13 x 14 3 + 6 - 13 14 5 + 12 - 15
Базовый период
ТЭС 1 Уголь ...                                
  Уголь ...                                
  Мазут                                
  Торф                                
  Прочие                                
  ...                                
и т.д. ...                                
                                   
Всего ЭСО (ПЭ) Уголь ...                                
  Уголь ...                                
  Мазут                                
  Торф                                
  Прочие                                
Период регулирования
ТЭС 1 Уголь ...                                
  Уголь ...                                
  Мазут                                
  Торф                                
  Прочие                                
  ...                                
и т.д. ...                                
                                   
                                   
Всего ЭСО (ПЭ) Уголь ...                                
  Уголь ...                                
  Мазут                                
  Торф                                
  Прочие                                

<*> К таблице прилагается расшифровка по поставщикам топлива с указанием объемов поставок и согласованных (договорных) цен.

Таблица N П1.11

Расчет затрат на топливо для выработки электрической и тепловой энергии

Наименование электростанции (котельной) Вид топлива Расход топлива Переводной коэффициент Цена топлива Стоимость топлива
тыс. тут тыс. тнт (млн. м3) тыс. руб.
Всего Электроэнергия Теплоэнергия Всего Электроэнергия Теплоэнергия руб./тнт руб./тут Всего Электроэнергия Теплоэнергия
1 2 3 4 5 6 7 8 9 10 11 12 13 14
Базовый период
ТЭС 1 Газ                        
  Мазут                        
  Уголь                        
  Торф                        
  Прочие                        
  ...                        
и т.д. ...                        
Всего ЭСО (ПЭ) Газ                        
  Мазут                        
  Уголь                        
  Торф                        
  Прочие                        
  ...                        
Период регулирования
ТЭС 1 Газ                        
  Мазут                        
  Уголь                        
  Торф                        
  Прочие                        
  ...                        
и т.д. ...                        
Всего ЭСО (ПЭ) Газ                        
  Мазут                        
  Уголь                        
  Торф                        
  Прочие                        
  ...                        

Таблица N П1.12

Расчет стоимости покупной энергии на технологические цели

п/п Наименование поставщика Объем покупной энергии, млн. кВт.ч (тыс. Гкал) Расчетная мощность, тыс. кВт (Гкал/ч) Тариф Затраты на покупку, тыс. руб.
Одноставочный Двухставочный
Ставка за мощность Ставка за энергию энергии мощности всего
руб./т. кВт.ч (руб./ Гкал) руб./кВт (тыс. руб./ Гкал/ч) руб./т. кВт.ч (руб./ Гкал)
1 2 3 4 5 6 7 8 9 10
Базовый период
  Электроэнергия                
1. Всего                
  в том числе                
1.1. оптовый рынок                
1.2. поставщик 1                
1.3. ...                
...                  
                   
  Теплоэнергия                
1. Всего                
  в том числе                
1.1. поставщик 1                
1.2. поставщик 2                
1.3. ...                
...                  
                   
3. Итого                
Период регулирования
  Электроэнергия                
1. Всего                
  в том числе                
1.1. оптовый рынок                
1.2. поставщик 1                
1.3. ...                
...                  
                   
  Теплоэнергия                
1. Всего                
  в том числе                
1.1. поставщик 1                
1.2. поставщик 2                
1.3. ...                
...                  
                   
3. Итого                

Примечание. При покупке электрической энергии по зонным тарифам столбцы 3, 5 и 10 заполняются по конкретному поставщику по периодам:

пик, полупик, ночь.

При использовании одноставочного тарифа столбцы 4, 6, 7, 8 и 9 не заполняются.

Таблица N П1.13

Расчет суммы платы на услуги по организации функционирования и развитию ЕЭС России, оперативно-диспетчерскому управлению в электроэнергетике, организации функционирования торговой системы оптового рынка электрической энергии (мощности), передаче электрической энергии по единой национальной (общероссийской) электрической сети

п.п. Наименование показателей Объем электроэнергии, млн. кВт.ч Размер платы за услуги, руб./тыс. кВт.ч Сумма платы за услуги тыс. руб.
1 2 3 4 5
  Базовый период      
         
         
         
  Период регулирования      
         
         
         

Таблица N П1.14

Расчет суммы платы за пользование водными объектами предприятиями гидроэнергетики (водный налог)

п.п. Наименование показателей Выработка электроэнергии млн. кВт.ч Ставка водного налога коп./ кВт.ч Сумма платы тыс. руб.
1 2 3 4 5
  Базовый период      
1. ГЭС ПЭ (энергоснабжающей организации)      
         
  Период регулирования      
2. ГЭС ПЭ (энергоснабжающей организации)      
         

Таблица N П1.15

Смета расходов <*>

п.п. Наименование показателя Базовый период Период регулирования
1 2 3 4
1. Сырье, основные материалы    
2. Вспомогательные материалы    
  из них на ремонт    
3. Работы и услуги производственного характера    
  из них на ремонт    
4. Топливо на технологические цели    
5. Энергия    
5.1. Энергия на технологические цели (покупная энергия Таблица N П1.12)    
5.2. Энергия на хозяйственные нужды    
6. Затраты на оплату труда    
  из них на ремонт    
7. Отчисления на социальные нужды    
  из них на ремонт    
8. Амортизация основных средств    
9. Прочие затраты всего, в том числе:    
9.1. Целевые средства на НИОКР    
9.2. Средства на страхование    
9.3. Плата за предельно допустимые выбросы (сбросы)    
9.4. Оплата за услуги по организации функционирования и развитию ЕЭС России, оперативно-диспетчерскому управлению в электроэнергетике, организации функционирования торговой системы оптового рынка электрической энергии (мощности), передаче электрической энергии по единой национальной (общероссийской) электрической сети    
9.5. Отчисления в ремонтный фонд (в случае его формирования)    
9.6. Водный налог (ГЭС)    
9.7. Непроизводственные расходы (налоги и другие обязательные платежи и сборы)    
9.7.1. Налог на землю    
9.7.2. Налог на пользователей автодорог    
9.8. Другие затраты, относимые на себестоимость продукции, всего    
  в т.ч.    
9.8.1. Арендная плата    
10. Итого расходов    
  из них на ремонт    
11. Недополученный по независящим причинам доход    
12. Избыток средств, полученный в предыдущем периоде регулирования    
13. Расчетные расходы по производству продукции (услуг)    
  в том числе:    
13.1. - электрическая энергия    
13.1.1. производство электроэнергии    
13.1.2. покупная электроэнергия    
13.1.3. передача электроэнергии    
13.2. - тепловая энергия    
13.2.1. производство теплоэнергии    
13.2.2. покупная теплоэнергия    
13.2.3. передача теплоэнергии    
13.3. - прочая продукция    

<*> Заполняется в целом и отдельно по: производству электрической энергии, производству тепловой энергии, передаче электрической энергии, передаче тепловой энергии.

Таблица N П1.16

Расчет расходов на оплату труда <*>

N Показатели Ед. изм. Базовый период Период регулирования
1 2 3 4 5
1. Численность      
  Численность ППП чел.    
2. Средняя оплата труда      
2.1. Тарифная ставка рабочего 1 разряда руб.    
2.2. Дефлятор по заработной плате      
2.3. Тарифная ставка рабочего 1 разряда с учетом дефлятора руб.    
2.4. Средняя ступень оплаты      
2.5. Тарифный коэффициент, соответствующий ступени по оплате труда руб.    
2.6. Среднемесячная тарифная ставка ППП - " -    
2.7. Выплаты, связанные с режимом работы с условиями труда 1 работника      
2.7.1. процент выплаты %    
2.7.2. сумма выплат руб.    
2.8. Текущее премирование      
2.8.1. процент выплаты %    
2.8.2. сумма выплат руб.    
2.9. Вознаграждение за выслугу лет      
2.9.1. процент выплаты %    
2.9.2. сумма выплат руб.    
2.10. Выплаты по итогам года      
2.10.1. процент выплаты %    
2.10.2. сумма выплат руб.    
2.11. Выплаты по районному коэффициенту и северные надбавки      
2.11.1. процент выплаты %    
2.11.2. сумма выплат руб.    
2.12. Итого среднемесячная оплата труда на 1 работника руб.    
3. Расчет средств на оплату труда ППП (включенного в себестоимость)      
3.1. Льготный проезд к месту отдыха тыс. руб.    
3.2. По Постановлению от 03.11.94 N 1206 - " -    
3.3. Итого средства на оплату труда ППП - " -    
4. Расчет средств на оплату труда непромышленного персонала (включенного в балансовую прибыль)      
4.1. Численность, принятая для расчета (базовый период - фактическая) чел.    
4.2. Среднемесячная оплата труда на 1 работника руб.    
4.3. Льготный проезд к месту отдыха тыс. руб.    
4.4. По Постановлению от 03.11.94 N 1206 тыс. руб.    
4.5. Итого средства на оплату труда непромышленного персонала тыс. руб.    
5. Расчет по денежным выплатам      
5.1. Численность всего, принятая для расчета (базовый период - фактическая) чел.    
5.2. Денежные выплаты на 1 работника руб.    
5.3. Итого по денежным выплатам тыс.    
6. Итого средства на потребление тыс.    
7. Среднемесячный доход на 1 работника руб.    

<*> Заполняется в целом и отдельно по: производству электрической энергии, производству тепловой энергии, передаче электрической энергии, передаче тепловой энергии.

Таблица N П1.17

Расчет амортизационных отчислений на восстановление основных производственных фондов <*>

тыс. руб.

п/п Показатели Базовый период Период регулирования
1. Балансовая стоимость основных производственных фондов на начало периода регулирования    
2. Ввод основных производственных фондов    
3. Выбытие основных производственных фондов    
4. Средняя за отчетный период стоимость основных производственных фондов    
5. Средняя норма амортизации    
6. Сумма амортизационных отчислений    

<*> Заполняется в целом и отдельно по: производству электрической энергии, производству тепловой энергии, передаче электрической энергии, по передаче тепловой энергии.

Примечание. При заполнении таблицы по передаче электрической энергии справочно указывается первоначальная стоимость основных фондов по уровням напряжения (ВН, СН1, СН11, НН).

Таблица N П1.17.1

Расчет среднегодовой стоимости основных производственных фондов по линиям электропередач и подстанциям

Стоимость на начало регулируемого периода Ввод основных производственных фондов Выбытие основных производственных фондов Стоимость на конец регулируемого периода Среднегодовая стоимость Амортизация
1. Линии электропередач            
ВЛЭП            
ВН            
СН1            
СН11            
НН            
КЛЭП            
ВН            
СН1            
СН11            
НН            
2. Подстанции            
ВН            
СН1            
СН11            
НН            
Всего (стр. 1 + стр. 2)            
ВН            
СН1            
СН11            
НН            

Таблица N П1.18

Калькуляция расходов, связанных с производством и передачей электрической энергии

тыс. руб.

п.п. Калькуляционные статьи затрат Базовый период Период регулирования
1 2 3 4
1. Топливо на технологические цели    
2. Вода на технологические цели    
3. Основная оплата труда производственных рабочих    
4. Дополнительная оплата труда производственных рабочих    
5. Отчисления на соц. нужды с оплаты производственных рабочих    
6. Расходы по содержанию и эксплуатации оборудования, в том числе:    
6.1. амортизация производственного оборудования    
6.2. отчисления в ремонтный фонд    
6.4. другие расходы по содержанию и эксплуатации оборудования    
7. Расходы по подготовке и освоению производства (пусковые работы)    
8. Цеховые расходы    
9. Общехозяйственные расходы, всего в том числе:    
9.1. Целевые средства на НИОКР    
9.2. Средства на страхование    
9.3. Плата за предельно допустимые выбросы (сбросы) загрязняющих веществ    
9.4. Оплата за услуги по организации функционирования и развитию ЕЭС России, оперативно-диспетчерскому управлению в электроэнергетике, организации функционирования торговой системы оптового рынка электрической энергии (мощности), передаче электрической энергии по единой национальной (общероссийской) электрической сети    
9.5. Отчисления в ремонтный фонд в случае его формирования    
9.6. Непроизводственные расходы (налоги и другие обязательные платежи и сборы) всего, в том числе:    
  - налог на землю    
       
9.7. Другие затраты, относимые на себестоимость продукции всего, в том числе:    
9.7.1. Арендная плата    
10. Водный налог (ГЭС)    
11. Покупная электроэнергия    
11.1. Относимая на условно-постоянные расходы    
11.2. Относимая на переменные расходы    
12. Недополученный по независящим причинам доход    
13. Избыток средств, полученный в предыдущем периоде регулирования    
14. Итого производственные расходы    
15. Полезный отпуск электроэнергии, млн. кВт.ч    
16. Удельные расходы, руб./тыс. кВт.ч    
  из них:    
  переменная составляющая    
  в том числе:    
  - топливная составляющая    
  - водный налог    
  - покупная электроэнергия    
17. Условно-постоянные расходы, в том числе:    
17.1. По источникам энергии    
17.2. По сетям    
17.3. Сумма общехозяйственных расходов    

Таблица N П1.18.1

Калькуляция расходов, связанных с производством электрической энергии ЭСО (ПЭ)

тыс. руб.

п.п. Калькуляционные статьи затрат Базовый период Период регулирования
1 2 3 4
1. Топливо на технологические цели    
2. Вода на технологические цели    
3. Основная оплата труда производственных рабочих    
4. Дополнительная оплата труда производственных рабочих    
5. Отчисления на соц. нужды с оплаты производственных рабочих    
6. Расходы по содержанию и эксплуатации оборудования, в том числе:    
6.1. амортизация производственного оборудования    
6.2. отчисления в ремонтный фонд в случае его формирования    
6.3. другие расходы по содержанию и эксплуатации оборудования    
7. Расходы по подготовке и освоению производства (пусковые работы)    
8. Цеховые расходы    
9. Общехозяйственные расходы, всего в том числе:    
9.1. Целевые средства на НИОКР    
9.2. Средства на страхование    
9.3. Плата за предельно допустимые выбросы (сбросы) загрязняющих веществ    
9.4. Отчисления в ремонтный фонд    
9.5. Непроизводственные расходы (налоги и другие обязательные платежи и сборы) всего, в том числе:    
  - налог на землю    
9.6. Другие затраты, относимые на себестоимость продукции всего, в том числе:    
9.6.1. Арендная плата    
10. Водный налог (ГЭС)    
11. Недополученный по независящим причинам доход    
12. Избыток средств, полученный в предыдущем периоде регулирования    
13. Итого производственные расходы    
14. Отпуск электроэнергии с шин, млн. кВт.ч    
15. Удельные расходы, руб./тыс. кВт.ч,    
  из них:    
  переменная составляющая,    
  в том числе:    
  - топливная составляющая    
  - водный налог    
16. Условно-постоянные расходы, в том числе:    
16.1. Сумма общехозяйственных расходов    

Таблица N П1.18.2

Калькуляция расходов, связанных с передачей электрической энергии

тыс. руб.

п.п. Калькуляционные статьи затрат Базовый период Период регулирования
всего из них расходы на сбыт всего из них расходы на сбыт
1 2 3 4 5 6
1. Основная оплата труда производственных рабочих        
2. Дополнительная оплата труда производственных рабочих        
3. Отчисления на соц. нужды с оплаты производственных рабочих        
4. Расходы по содержанию и эксплуатации оборудования, в том числе:        
4.1. амортизация производственного оборудования        
  ВН        
  СН1        
  СН11        
  НН        
4.2. отчисления в ремонтный фонд        
4.3. другие расходы по содержанию и эксплуатации оборудования        
5. Расходы по подготовке и освоению производства (пусковые работы)        
6. Цеховые расходы        
7. Общехозяйственные расходы, всего в том числе:        
7.1. Целевые средства на НИОКР        
7.2. Средства на страхование        
7.3. Плата за предельно допустимые выбросы (сбросы) загрязняющих веществ        
7.4. Отчисления в ремонтный фонд в случае его формирования        
7.5. Непроизводственные расходы (налоги и другие обязательные платежи и сборы) всего, в том числе:        
  - налог на землю        
  ВН        
  СН1        
  СН11        
  НН        
7.6. Другие затраты, относимые на себестоимость продукции всего, в том числе:        
7.6.1. Арендная плата        
8. Недополученный по независящим причинам доход        
9. Избыток средств, полученный в предыдущем периоде регулирования        
10. Итого производственные расходы        
  в том числе:        
  ВН        
  СН1        
  СН11        
  НН        
11. Полезный отпуск электроэнергии, млн. кВт.ч        
12. Удельные расходы, руб./тыс. кВт.ч        
13. Условно-постоянные затраты, в том числе:        
13.1. Сумма общехозяйственных расходов        
14. Оплата за услуги по организации функционирования и развитию ЕЭС России, оперативно-диспетчерскому управлению в электроэнергетике, организации функционирования торговой системы оптового рынка электрической энергии (мощности), передаче электрической энергии по единой национальной (общероссийской) электрической сети        

Таблица N П1.19

Калькуляция расходов, связанных с производством и передачей тепловой энергии

тыс. руб.

п.п. Калькуляционные статьи затрат Базовый период Период регулирования
1 2 3 4
1. Топливо на технологические цели    
2. Вода на технологические цели    
3. Основная оплата труда производственных рабочих    
4. Дополнительная оплата труда производственных рабочих    
5. Отчисления на соц. нужды с оплаты производственных рабочих    
6. Расходы по содержанию и эксплуатации оборудования, в том числе:    
6.1. амортизация производственного оборудования    
6.2. отчисления в ремонтный фонд    
6.4. другие расходы по содержанию и эксплуатации оборудования    
7. Расходы по подготовке и освоению производства (пусковые работы)    
8. Цеховые расходы    
9. Общехозяйственные расходы всего, в том числе:    
9.1. Целевые средства на НИОКР    
9.2. Средства на страхование    
9.3. Плата за предельно допустимые выбросы (сбросы) загрязняющих веществ    
9.4. Отчисления в ремонтный фонд в случае его формирования    
9.5. Непроизводственные расходы (налоги и другие обязательные платежи и сборы) всего, в том числе:    
  - налог на землю    
     
9.6. Другие затраты, относимые на себестоимость продукции всего, в том числе:    
9.6.1. Арендная плата    
10. Покупная энергия    
10.1. Относимая на условно-постоянные расходы    
10.2. Относимая на переменные расходы    
11. Недополученный по независящим причинам доход    
12. Избыток средств, полученный в предыдущем периоде регулирования    
13. Итого производственные расходы    
14. Полезный отпуск теплоэнергии, тыс. Гкал    
15. Удельные расходы, руб./Гкал    
  из них    
  переменная составляющая,    
  в том числе    
  - топливная составляющая    
  - покупная теплоэнергия    
16. Условно-постоянные расходы, в том числе:    
16.1. По источникам энергии    
16.2. По сетям    
16.3. Сумма общехозяйственных расходов    

Таблица N П1.19.1

Калькуляция расходов, связанных с производством тепловой энергии

тыс. руб.

п.п. Калькуляционные статьи затрат Базовый период Период регулирования
всего из них расходы на сбыт всего из них расходы на сбыт
1 2 3 4 5 6
1. Топливо на технологические цели, всего:        
2. Вода на технологические цели        
3. Основная оплата труда производственных рабочих        
4. Дополнительная оплата труда производственных забочих        
5. Отчисления на соц. нужды с оплаты производственных рабочих        
6. расходы по содержанию и эксплуатации оборудования, в том числе:        
6.1. амортизация производственного оборудования        
6.2. отчисления в ремонтный фонд        
6.4. другие расходы по содержанию и эксплуатации оборудования        
7. Расходы по подготовке и освоению производства (пусковые работы)        
8. Цеховые расходы        
9. Общехозяйственные расходы всего, в том числе:        
9.1. Целевые средства на НИОКР        
9.2. Средства на страхование        
9.3. Плата за предельно допустимые выбросы (сбросы) загрязняющих веществ        
9.4. Отчисления в ремонтный фонд в случае его формирования        
9.5. Непроизводственные расходы (налоги и другие обязательные платежи и сборы) всего, в том числе:        
  - налог на землю        
9.6. Другие затраты, относимые на себестоимость продукции всего, в том числе:        
9.6.1. Арендная плата        
10. Недополученный по независящим причинам доход        
11. Избыток средств, полученный в предыдущем периоде регулирования        
12. Итого производственные расходы        
13. Отпуск теплоэнергии с коллекторов, тыс. Гкал        
14. Удельные расходы, руб./Гкал.,        
  в том числе:        
  - топливная составляющая        
15. Условно-постоянные расходы, в том числе:        
15.1. Сумма общехозяйственных расходов        

Таблица N П1.19.2

Калькуляция расходов, по передаче тепловой энергии

тыс. руб.

п.п. Калькуляционные статьи затрат Базовый период Период регулирования
всего из них расходы на сбыт всего из них расходы на сбыт
1 2 3 4 5 6
1. Расходы на компенсацию затрат (потерь) ресурсов на технологические цели, всего:        
1.1. в т.ч.: - затрат (потерь) теплоносителей (пар, гор. вода)        
1.2. - потерь тепловой энергии        
1.3. - затрат электроэнергии        
2. Основная оплата труда производственных рабочих        
3. Дополнительная оплата труда производственных рабочих        
4. Отчисления на соц. нужды с оплаты производственных рабочих        
5. Расходы по содержанию и эксплуатации оборудования, в том числе:        
5.1. амортизация производственного оборудования        
5.2. отчисления в ремонтный фонд        
5.3. другие расходы по содержанию и эксплуатации оборудования        
6. Расходы по подготовке и освоению производства (пусковые работы)        
7. Цеховые расходы        
8. Общехозяйственные расходы, всего в том числе:        
8.1. Целевые средства на НИОКР        
8.2. Средства на страхование        
8.3. Плата за предельно допустимые выбросы (сбросы) загрязняющих веществ        
8.4. Отчисления в ремонтный фонд в случае его формирования        
8.5. Непроизводственные расходы (налоги и другие обязательные платежи и сборы) всего, в том числе:        
  - налог на землю        
  - налог на пользователей автодорог        
8.6. Другие затраты, относимые на себестоимость продукции всего, в том числе:        
8.6.1. Арендная плата        
9. Недополученный по независящим причинам доход        
10. Избыток средств, полученный в предыдущем периоде регулирования        
11. Итого производственные расходы        
12. Полезный отпуск тепловой энергии, тыс. Гкал        
13. Удельные расходы, руб./Гкал        
14. Условно-постоянные расходы, в том числе:        
14.1. Сумма общехозяйственных расходов        

Таблица N П1.20

Расчет источников финансирования капитальных вложений

тыс. руб.

п.п. Наименование Базовый период Период регулирования
1 2 3 4
1. Объем капитальных вложений - всего    
  в том числе:    
  - на производственное и научно-техническое развитие    
  - на непроизводственное развитие    
2. Финансирование капитальных вложений    
  из средств - всего    
2.1. Амортизационных отчислений на полное восстановление основных фондов (100%)    
2.2. Неиспользованных средств на начало года    
2.3. Федерального бюджета    
2.4. Местного бюджета    
2.5. Регионального (республиканского, краевого, областного) бюджета    
2.6. Прочих    
2.7. Средства, полученные от реализации ценных бумаг    
2.8. Кредитные средства    
2.9. Итого по пп. 2.1 - 2.8    
2.10. Прибыль (п. 1 - п. 2.9):    
  - отнесенная на производство электрической энергии    
  - отнесенная на передачу электрической энергии    
  - отнесенная на производство тепловой энергии    
  - отнесенная на передачу тепловой энергии    

Таблица N П1.20.1

Справка о финансировании и освоении капитальных вложений по источникам электроэнергии (производство электроэнергии)

тыс. руб.

Наименование строек Утверждено на базовый период В течение базового периода Остаток финансирования План на период регулирования Источник финансирования
Освоено фактически Профинансировано
1 2 3 4 5 6 7
Всего            
в т.ч.            
           
           
           
           

Таблица N П1.20.2

Справка
о финансировании и освоении капитальных вложений по источникам тепловой энергии (производство тепловой энергии)

тыс. руб.

Наименование строек Утверждено на базовый период В течение базового периода Остаток финансирования План на период регулирования Источник финансирования
Освоено фактически Профинансировано
1 2 3 4      
Всего            
в т.ч.            
           
           
           
           

Таблица N П1.20.3

Справка
о финансировании и освоении капитальных вложений в электросетевое строительство (передача электроэнергии)

тыс. руб.

Наименование строек Утверждено на базовый период В течение базового периода Остаток финансирования План на период регулирования Источник финансирования
Освоено фактически Профинансировано
1 2 3 4 5 6 7
Всего            
в т.ч.            
           
           
           
           

Таблица N П1.20.4

Справка
о финансировании и освоении капитальных вложений в теплосетевое строительство (передача тепловой энергии)

тыс. руб.

Наименование строек Утверждено на базовый период В течение базового периода Остаток финансирования План на период регулирования Источник финансирования
Освоено фактически Профинансировано
1 2 3 4 5 6 7
Всего            
в т.ч.            
           
           
           
           

Таблица N П1.21

Расчет балансовой прибыли, принимаемой при установлении тарифов на электрическую и тепловую энергию

тыс. руб.

п.п. Наименование Базовый период Период регулирования
1 2 3 4
1. Прибыль на развитие производства    
в том числе:    
- капитальные вложения    
2. Прибыль на социальное развитие    
  в том числе:    
  - капитальные вложения    
3. Прибыль на поощрение    
4. Дивиденды по акциям    
5. Прибыль на прочие цели    
  - % за пользование кредитом    
  - услуги банка    
  - другие (с расшифровкой)    
6. Прибыль, облагаемая налогом    
7. Налоги, сборы, платежи - всего    
  в том числе:    
  - на прибыль    
  - на имущество    
  - плата за выбросы загрязняющих веществ    
- другие налоги и обязательные сборы и платежи (с расшифровкой)    
8. Прибыль от товарной продукции    
8.1. За счет реализации электрической энергии    
8.1.1. - производство электрической энергии    
8.1.2. - передача электрической энергии    
8.2. За счет реализации тепловой энергии    
8.2.1. - производство тепловой энергии    
8.2.2. - передача тепловой энергии    

Таблица N П1.21.1

Расчет балансовой прибыли, принимаемой при установлении тарифов на производство электрической энергии

тыс. руб.

п.п. Наименование Базовый период Период регулирования
1 2 3 4
1. Прибыль на развитие производства    
в том числе:    
- капитальные вложения    
2. Прибыль на социальное развитие    
в том числе:    
- капитальные вложения    
3. Прибыль на поощрение    
4. Дивиденды по акциям    
5. Прибыль на прочие цели    
  - % за пользование кредитом    
  - услуги банка    
  - другие (с расшифровкой)    
6. Прибыль, облагаемая налогом    
7. Налоги, сборы, платежи - всего    
  в том числе:    
  - на прибыль    
  - на имущество    
  - плата за выбросы загрязняющих веществ    
- другие налоги и обязательные сборы и платежи (с расшифровкой)    
8. Прибыль от товарной продукции    

Таблица N П1.21.2

Расчет балансовой прибыли, принимаемой при установлении тарифов на производство тепловой энергии

тыс. руб.

п.п. Наименование Базовый период Период регулирования
1 2 3 4
1. Прибыль на развитие производства    
в том числе:    
- капитальные вложения    
2. Прибыль на социальное развитие    
в том числе:    
- капитальные вложения    
3. Прибыль на поощрение    
4. Дивиденды по акциям    
5. Прибыль на прочие цели    
  - % за пользование кредитом    
  - услуги банка    
  - другие (с расшифровкой)    
6. Прибыль, облагаемая налогом    
7. Налоги, сборы, платежи - всего    
  в том числе:    
  - на прибыль    
  - на имущество    
  - плата за выбросы загрязняющих веществ    
- другие налоги и обязательные сборы и платежи (с расшифровкой)    
8. Прибыль от товарной продукции    

Таблица N П1.21.3

Расчет балансовой прибыли, принимаемой при установлении тарифов на передачу электрической энергии

тыс. руб.

п.п. Наименование Базовый период Период регулирования
всего из них на сбыт всего из них на сбыт
1 2 3 4 5 6
1. Прибыль на развитие производства        
в том числе:        
- капитальные вложения        
  ВН        
  СН1        
  СН11        
  НН        
2. Прибыль на социальное развитие        
в том числе:        
- капитальные вложения        
3. Прибыль на поощрение        
4. Дивиденды по акциям        
5. Прибыль на прочие цели        
  - % за пользование кредитом        
  - услуги банка        
  - другие (с расшифровкой)        
6. Прибыль, облагаемая налогом        
7. Налоги, сборы, платежи - всего        
  в том числе:        
  - на прибыль        
  ВН        
  СН1        
  СН11        
  НН        
  - на имущество        
  ВН        
  СН1        
  СН11        
  НН        
  - плата за выбросы загрязняющих веществ        
- другие налоги и обязательные сборы и платежи (с расшифровкой)        
8. Прибыль от товарной продукции, в том числе        
  в том числе:        
  ВН        
  СН1        
  СН11        
  НН        

Таблица N П1.21.4

Расчет балансовой прибыли, принимаемой при установлении тарифов на передачу тепловой энергии

тыс. руб.

п.п. Наименование Базовый период Период регулирования
1 2 3 4
1. Прибыль на развитие производства    
  в том числе:    
  - капитальные вложения    
2. Прибыль на социальное развитие    
  в том числе:    
  - капитальные вложения    
3. Прибыль на поощрение    
4. Дивиденды по акциям    
5. Прибыль на прочие цели    
  - % за пользование кредитом    
  - услуги банка    
  - другие (с расшифровкой)    
6. Прибыль, облагаемая налогом    
7. Налоги, сборы, платежи - всего    
  в том числе:    
  - на прибыль    
  - на имущество    
  - плата за выбросы загрязняющих веществ    
- другие налоги и обязательные сборы и платежи (с расшифровкой)    
8. Прибыль от товарной продукции, в том числе    
8.1. отнесенная на сбытовую деятельность    

Таблица N П1.22

Расчет экономически обоснованного тарифа продажи ЭСО (ПЭ)

п.п. Показатели Ед. изм. Электроэнергия Теплоэнергия Всего
Система централизованного теплоснабжения N ... Система централизованного теплоснабжения N ... Система централизованного теплоснабжения N ... Всего:
1 2 3 4 5 6 7 8 9
1. Условно-переменные расходы тыс. руб.            
1.1. Электростанции ЭСО - всего            
  в т.ч. по источникам            
1.2. С оптового рынка            
1.3. ПЭ1 - всего            
  в т.ч. по источникам            
... ...            
2. Условно-постоянные расходы тыс. руб.            
2.1. Электростанции ЭСО - всего            
  в т.ч. по источникам            
2.2. С оптового рынка            
2.3. ПЭ1 - всего            
  в т.ч. по источникам            
... ...            
3. Расходы всего
(п. 1 + п. 2)
тыс. руб.            
3.1. Электростанции ЭСО - всего            
3.2. в т.ч. по источникам            
3.3. С оптового рынка            
  ПЭ1 - всего            
  в т.ч. по источникам            
... ...            
4. Прибыль тыс. руб.            
... ...            
5. Рентабельность
(п. 4 / п. 3 x 100%)
%            
5.1. Электростанции ЭСО - всего            
  в т.ч. по источникам            
5.2. С оптового рынка            
5.3. ПЭ1 - всего            
  в т.ч. по источникам            
... ...            
6. Необходимая валовая выручка тыс. руб.            
6.1. Электростанции ЭСО - всего            
  в т.ч. по источникам            
6.2. С оптового рынка            
6.3. ПЭ1- всего            
  в т.ч. по источникам            
... ...            
7. Установленная мощность, тыс. кВт тыс. кВт (Гкал/ час)            
7.1. Электростанции ЭСО - всего            
  в т.ч. по источникам            
7.2. С оптового рынка            
7.3. ПЭ1 -всего            
  в т.ч. по источникам            
... ...            
8. Отпуск энергии млн. кВт.ч (тыс. Гкал)            
8.1. Электростанции ЭСО - всего            
  в т.ч. по источникам            
8.2. С оптового рынка            
8.3. ПЭ1 - всего            
  в т.ч. по источникам            
... ...            
9. Средний полноставочный тариф продажи Т (гк(ср)) руб./тыс. кВт.ч (руб./ Гкал)            
9.1. Электростанции ЭСО - всего            
  в т.ч. по источникам            
9.2. С оптового рынка            
9.3. ПЭ1 - всего            
  в т.ч. по источникам (расчетный)            
... ...            
10. Ставка за мощность руб./тыс. кВт.ч (руб./ Гкал/час)            
10.1. Электростанции ЭСО - всего            
  в т.ч. по источникам            
10.2. С оптового рынка            
10.3. ПЭ1 - всего            
  в т.ч. по источникам (расчетный)            
... ...            
11. Ставка за энергию руб./тыс. кВт.ч (руб./ Гкал)            
11.1. Электростанции ЭСО - всего            
  в т.ч. по источникам            
11.2. С оптового рынка            
11.3. ПЭ1 - всего            
  в т.ч. по источникам (расчетный)            
... ...            

Таблица N П1.23

Расчет экономически обоснованного тарифа покупки электроэнергии потребителями

п.п.   Единицы измерения Базовый период Период регулирования
1 2 3 4 5
1. Полезный отпуск электрической энергии потребителям, всего млн. кВт.ч    
  в т.ч.      
1.1. Потребителям группы 1 млн. кВт.ч    
1.1.1. в том числе по базовой части тарифа (п. 1.1 x п. 3) млн. кВт.ч    
1.2. Потребителям групп 2 - 3 млн. кВт.ч    
2. Заявленная (расчетная) мощность потребителей, всего МВт. мес.    
  в т.ч.      
2.1. Потребителям группы 1 МВт. мес.    
2.1.1. в том числе по базовой части тарифа (п. 2.1 x п. 3) МВт. мес.    
2.2. Потребителям групп 2 - 3 МВт. мес.    
3. Доля полезного отпуска потребителей группы 1 в общем полезном отпуске потребителям. К1 = п. 1.1 / п. 1      
4. Базовая часть тарифа группы 1 (п. 4.1 x п. 1.1.1 + п. 4.2 x п. 2.1.1 x М) / п. 1.1.1 руб./ МВт.ч    
4.1. ставка на энергию руб./ МВт.ч    
4.2. ставка на мощность руб./ МВт.ч    
5. Оставшаяся часть тарифа группы 1 (п. 5.1 x (п. 1.1 - п. 1.1.1) + п. 5.2 x (п. 2.1 - п. 2.1.1) x М) / (п. 1.1 - п. 1.1.1) руб./ МВт.ч    
5.1. ставка на энергию руб./ МВт.ч    
5.2. ставка на мощность руб./ МВт.ч    
6. Тариф покупки электроэнергии потребителями группы 1 руб./ МВт.ч    
6.1. ставка на энергию (п. 4.1 x п. 1.1.1 + п. 5.1 x (п. 1.1 - п. 1.1.1)) / п. 1.1 руб./ МВт.ч    
6.2. ставка на мощность (п. 4.2 x п. 2.1.1 + п. 5.2 x (п. 2.1 - п. 2.1.1)) / п. 2.1 руб./ МВт.ч    
7. Тариф покупки электроэнергии потребителями групп 2 - 3 (п. 1.2 x п. 7.1 + п. 2.2 x п. 7.2) / п. 1.2 руб./ МВт.ч    
7.1. ставка на энергию руб./ МВт.ч    
7.2. ставка на мощность руб./ МВт.ч    

Таблица N П1.24

Расчет платы за услуги по содержанию электрических сетей

п.п.   Единицы измерения Базовый период Период регулирования
всего из них на сбыт всего из них на сбыт
1 2 3 4 5 6 7
1. Расходы, отнесенные на передачу электрической энергии (п. 1 1 табл. П1.18.2) тыс. руб.        
1.1. ВН          
1.2. СН          
  в т.ч. СН1          
    СН11          
1.3. НН          
2. Прибыль, отнесенная на передачу электрической энергии (п. 8 табл. П1.21.3) тыс. руб.        
2.1. ВН          
2.2. СН          
  в т.ч. СН1          
    СН11          
2.3. НН          
3. Рентабельность (п. 2 / п. 1 x 100%) %        
4. Необходимая валовая выручка, отнесенная на передачу электрической энергии (п. 1 + п. 2) тыс. руб.        
4.1. ВН          
4.2. СН          
  в т.ч. СН1          
    СН11          
4.3. НН          
5. Плата за услуги на содержание электрических сетей по диапазонам напряжения в расчете на 1 МВт согласно формулам (31) - (33) руб./МВт. мес.        
5.1. ВН          
5.2. СН          
  в т.ч. СН1          
    СН11          
5.3. НН          
6. Плата за услуги на содержание электрических сетей по диапазонам напряжения в расчете на 1 МВт.ч согласно формулам (34) - (36) руб./МВт.ч        
6.1. ВН          
6.2. СН          
  в т.ч. СН1          
    СН11          
6.3. НН          

Таблица N П1.24.1

Расчет платы за услуги по передаче тепловой энергии

п.п.   Единицы измерения Водяные тепловые сети Паровые тепловые сети Всего по ЭСО (теплосетевой организации)
Базовый период Период регулирования Базовый период Период регулирования Базовый период Период регулирования
1 2 3 4 5 6 7 8 9
1. Затраты, отнесенные на передачу тепловой энергии (п. 11 табл. П1.19.2), в т.ч. тыс. руб.            
1.1. Вода на технологические цели: - всего тыс. руб.            
- в т.ч на компенсацию потерь сетевой воды тыс. руб.            
1.2. Покупная энергия на производственные и хозяйственные нужды: всего, в т.ч. тыс. руб.            
- на компенсацию потерь тепловой энергии тыс. руб.            
- на компенсацию затрат электроэнергии тыс. руб.            
             
           
2. Прибыль, отнесенная на передачу тепловой энергии (п. 8 табл. П1.21.4) тыс. руб.            
3. Рентабельность (п. 2 / п. 1 х 100%) %            
4. Необходимая валовая выручка, отнесенная на передачу тепловой энергии (п. 1 + п. 2) тыс. руб.            
5. Расчетная (присоединенная) тепловая мощность (нагрузка) по договорам Гкал/ч            
6. Плата за услуги по передаче тепловой энергии согласно формуле (44) тыс. руб.
--------
Гкал/ч
           

Примечание. Заполняется всего и отдельно по каждой СЦТ.

Таблица N П1.25

Расчет ставки по оплате технологического расхода (потерь) электрической энергии на ее передачу по сетям

п.п.   Единицы измерения Базовый период Период регулирования
1 2 3 4 5
1. Средневзвешенный тариф на электрическую энергию руб./ МВт.ч    
2. Отпуск электрической энергии в сеть с учетом величины сальдо-перетока электроэнергии млн. кВт.ч    
2.1. ВН      
2.2. СН      
  в т.ч. СН1      
    СН11      
2.3. НН      
3. Потери электрической энергии %    
3.1. ВН      
3.2. СН      
  в т.ч. СН1      
    СН11      
3.3. НН      
4. Полезный отпуск электрической энергии млн. кВт.ч    
4.1. ВН      
4.2. СН      
  в т.ч. СН1      
    СН11      
4.3. НН      
         
5. Расходы на компенсацию потерь тыс. руб.    
5.1. ВН      
5.2. СН      
  в т.ч. СН1      
    СН11      
5.3. НН      
6. Ставка на оплату технологического расхода (потерь) электрической энергии на ее передачу по сетям руб./ МВт.ч    
6.1. ВН      
6.2. СН      
  в т.ч. СН1      
    СН11      
6.3. НН      

Таблица N П1.26

Расчет дифференцированных по времени суток ставок платы за электрическую энергию

  Единицы измерения Базовый период Период регулирования
1 2 3 4 5
1. Полезный отпуск электроэнергии ПЭ (энергоснабжающей организации), всего, в т.ч.: млн. кВт.ч    
1.1. - в период ночных провалов графика нагрузки;      
1.2. - в часы максимальных (пиковых) нагрузок; млн. кВт.ч    
1.3. - в остальное время суток (полупик). млн. кВт.ч    
4. Условно-переменные расходы электроэнергии, отпущенной ПЭ (энергоснабжающей организацией) тыс. руб.    
  в период ночных провалов графика нагрузки      
5. Средний одноставочный тариф на электроэнергию по ПЭ (энергоснабжающей организации) руб./тыс. кВт.ч    
6. Тарифная ставка за электроэнергию в ночной зоне - тариф ночь(п. 4 / п. 1.1) руб./тыс. кВт.ч    
7. Тарифная ставка за электроэнергию в полупиковой зоне - тариф полупик (п. 5 / п. 1.3) руб./тыс. кВт.ч    
8. Тарифная ставка за электроэнергию в пиковой зоне - тариф пик
((п. 5 x п. 1 - - п. 6 x п. 1.1 - п. 7 x п. 1.3) / п. 1.2)
руб./тыс. кВт.ч    

Таблица N П1.27

Экономически обоснованные тарифы на электрическую энергию (мощность) по группам потребителей

N Группа потребителей Ед. изм. Базовые потребители В том числе Население
Потребитель 1
Всего ВН СН1 СН11 НН Всего ВН СН1 СН11 НН Всего ВН СН1 СН11 НН
1 2 3 4 5 6 7 8 9 10 11 12 13 14 15 16 17 18
1. Объем полезного отпуска млн. кВт.ч                              
2. Заявленная мощность МВт                              
3. Тариф на покупку электрической энергии руб./МВт.ч                              
3.1. Ставка за мощность руб./ МВт. мес.                              
3.2. Ставка за энергию руб./МВт.ч                              
4. Стоимость единицы услуг руб./МВт.ч                              
4.1. Плата за услуги по передаче электрической энергии руб./МВт.ч                              
4.1.1. Ставка на содержание электросетей руб./ МВт. мес.                              
4.1.2. Ставка по оплате потерь руб./МВт.ч                              
 
                               
4.2. Плата за иные услуги руб./ МВт. мес.                              
5. Средний одноставочный тариф п. 3 + п. 4 руб./МВт.ч                              
5.1. Плата за мощность п. 3.1 + п. 4.1.1 + п. 4.2 руб./ МВт. мес.                              
5.2. Плата за энергию п. 3.2 + п. 4.1.2 руб./МВт.ч                              
6. Товарная продукция всего п. 5 x п. 1 тыс. руб.                              
  в том числе                                
6.1. - за электроэнергию (мощность) п. 3 x п. 1 тыс. руб.                              
6.2. - за услуги п. 4 x п. 1 тыс. руб.                              
То же п. 6                                
6.1. - за мощность п. 5.1 x п. 2 х М тыс. руб.                              
6.2. - за электрическую энергию п. 5.2 x п. 1 тыс. руб.                              

Продолжение Таблицы N П1.27

N Группа потребителей Ед. изм. Прочие В том числе Всего собственным потребителям
Бюджетные потребители
Всего ВН СН1 СН11 НН Всего ВН СН1 СН11 НН Всего ВН СН1 СН11 НН
1 2 3 4 5 6 7 8 9 10 11 12 13 14 15 16 17 18
1. Объем полезного отпуска млн. кВт.ч                              
2. Заявленная мощность МВт                              
                                   
3. Тариф на покупку электрической энергии руб./МВт.ч                              
3.1. Ставка за мощность руб./ МВт. мес.                              
3.2. Ставка за энергию руб./МВт.ч                              
4. Стоимость единицы услуг руб./МВт.ч                              
4.1. Плата за услуги по передаче электрической энергии руб./МВт.ч                              
4.1.1. Ставка на содержание электросетей руб./ МВт. мес.                              
4.1.2. Ставка по оплате потерь руб./МВт.ч                              
4.2. Плата за иные услуги руб./ МВт. мес.                              
5. Средний одноставочный тариф п. 3 + п. 4 руб./МВт.ч                              
5.1. Плата за мощность П. 3.1 + п. 4.1.1 + п. 4.2 руб./ МВт. мес.                              
5.2. Плата за энергию п. 3.2 + п. 4.1.2 руб./МВт.ч                              
                                 
6. Товарная продукция всего п. 5 x п. 1 тыс. руб.                              
  в том числе                                
6.1. - за электроэнергию (мощность) п. 3 x п. 1 тыс. руб.                              
6.2. - за услуги п. 4 x п. 1 тыс. руб.                              
То же п. 6                                
6.1. - за мощность п. 5.1 x п. 2 x М тыс. руб.                              
6.2. - за электрическую энергию п. 5.2 x п. 1 тыс. руб.                              

Продолжение Таблицы N П1.27

N Группа потребителей Ед. изм. Потребителям по прямым договорам (субъектам оптового рынка) Всего
Всего ВН СН1 СН11 НН Всего ВН СН1 СН11 НН
1 2 3 4 5 6 7 8 9 10 11 12 13
1. Объем полезного отпуска млн. кВт.ч                    
2. Заявленная мощность МВт                    
3. Тариф на покупку электрической энергии руб./МВт.ч                    
3.1. Ставка за мощность руб./ МВт. мес.                    
3.2. Ставка за энергию руб./МВт.ч                    
4. Стоимость единицы услуг руб./МВт.ч                    
4.1. Плата за услуги по передаче электрической энергии руб./МВт.ч                    
4.1.1. Ставка на содержание электросетей руб./ МВт. мес.                    
4.1.2. Ставка по оплате потерь руб./МВт.ч                    
4.2. Плата за иные услуги руб./ МВт. мес.                    
5. Средний одноставочный тариф п. 3 + п. 4 руб./МВт.ч                    
5.1. Плата за мощность п. 3.1 + п. 4.1.1 + п. 4.2 руб./ МВт. мес.                    
5 2 Плата за энергию п. 3.2 + п. 4.1.2 руб./МВт.ч                    
6. Товарная продукция всего п. 5 x п. 1 тыс. руб.                    
  в том числе                      
6.1. - за электроэнергию (мощность) п. 3 x п. 1 тыс. руб.                    
6.2. - за услуги п. 4 x п. 1 тыс. руб.                    
То же п. 6                      
6.1. - за мощность п. 5.1 x п. 2 x М тыс. руб.                    
6.2. - за электрическую энергию п. 5.2 x п. 1 тыс. руб.                    

Таблица N П1.28

Расчет одноставочных экономически обоснованных тарифов на тепловую энергию по СЦТ (ЭСО)

Потребители Энергия, тыс. Гкал Ставка за мощность, тыс. руб./ Гкал/час Ставка за энергию, руб./Гкал Одноставочный тариф руб./ Гкал Сумма реализации, тыс. руб.
1 2 3 4 5 6 7
1. Потребитель, получающий тепловую энергию непосредственно с коллекторов ТЭЦ и котельных          
  - горячая вода          
  - пар от 1.2 до 2.5 кгс/см2          
  - пар от 2.5 до 7.0 кгс/см2          
  - пар от 7.0 до 13.0 кгс/см2          
  - пар свыше 13.0 кгс/см2          
  - острый и редуцированный пар          

Таблица N П1.28.1

Расчет ставок платы за тепловую мощность для потребителей пара и горячей воды по СЦТ (ЭСО)

  Единицы измерения Базовый период Период регулир.
1 2 3 4 5
1 Общая составляющая постоянных расходов и прибыли энергоснабжающей организации тыс. руб.    
2 Средняя за период регулирования тепловая нагрузка (в виде пара и горячей воды) всех потребителей Гкал/час    
3 Общая ставка платы за тепловую мощность руб./Гкал/ час    

Таблица N П1.28.2

Расчет дифференцированных ставок за тепловую энергию для потребителей пара различных параметров и горячей воды по СЦТ (ЭСО)

  Единицы измерения Базовый период Период регулир.
1 2 3 4 5
1 Приведенный удельный расход топлива на 1 Гкал теплоэнергии, отпущенной с коллекторов ТЭС кг/Гкал    
2 Тарифные ставки за энергию для потребителей пара руб./Гкал    
  - отборный пар от 1.2 до 2.5 кгс/см2 руб./Гкал    
  - отборный пар от 2.5 до 7.0 кгс/см2 руб./Гкал    
  - отборный пар от 7.0 до 13.0 кгс/см2 руб./Гкал    
  - отборный пар свыше 13.0 кгс/см2 руб./Гкал    
  - острый и редуцированный пар руб./Гкал    
3 Тарифная ставка за энергию для потребителей горячей воды с коллекторов ТЭС руб./Гкал    
4 Удельный расход топлива на 1 Гкал теплоэнергии, отпущенной в виде горячей воды кг/Гкал    
5 Тарифные ставки за энергию для потребителей горячей воды руб./Гкал    

Таблица N П1.28.3

Расчет экономически обоснованных тарифов на тепловую энергию (мощность) по группам потребителей

N Группа потребителей Ед. изм. Всего Всего по потребителям В том числе бюджетные потребители
горячая вода отборный пар в том числе горячая вода отборный пар в том числе
1,2 - 2,5 кг/ см2 2,5 - 7,0 кг/ см2 7,0 - 13,0 кг/ см2 > 13 кг/ см2 острый и редуцированный 1,2 - 2,5 кг/ см2 2,5 - 7,0 кг/ см2 7,0 - 13,0 кг/ см2 > 13 кг/см2 острый и редуцированный
1 2 3 4 5 6 7 8 9 10 11 12 13 14 15 16 17 18
1. Объем полезного отпуска тыс. Гкал                              
2. Расчетная (присоединенная) тепловая мощность (нагрузка) Гкал/час                              
                                 
3. Тариф на покупку тепловой энергии руб./Гкал                              
3.1. Ставка за мощность тыс. руб./ Гкал/час                              
3.2. Ставка за энергию руб./Гкал                              
                                 
4. Средний одноставочный тариф руб./Гкал                              
                                 
5. Плата за услуги по передаче тепловой энергии тыс. руб./ Гкал/ч                              
                                 
6. Товарная продукция всего п. 5 x п. 1 тыс. руб.                              
  в том числе                                
6.1. - за тепловую энергию п. 3 x п. 1 тыс. руб.                              
6.2. - за услуги п. 4 x п. 1 тыс. руб.                              

Таблица N П1.29

Укрупненная структура тарифа на электрическую энергию для потребителей

N Показатель Ед. изм. Стоимость покупки единицы электроэнергии Стоимость услуг, всего Стоимость услуг по передаче Диапазоны напряжения Зонные тарифы
ВН СН1 СН11 НН Ночная зона Полупиковая зона Пиковая зона
1 2 3 4 5 6 7 8 9 10 11 12 13
1. Базовые потребители                      
1.1. Потребитель 1                      
  Одноставочный тариф руб./тыс. кВт.ч                    
  Двухставочный тариф                      
  Ставка за мощность руб./МВт. мес.                    
  Ставка за энергию руб./тыс. кВт.ч                    
1.2. Потребитель 2                      
  Одноставочный тариф руб./тыс. кВт.ч                    
  Двухставочный тариф                      
  Ставка за мощность руб./МВт. мес.                    
  Ставка за энергию руб./тыс. кВт.ч                    
1.3. ...                      
2. Население                      
  Одноставочный тариф руб./тыс. кВт.ч                    
3. Прочие потребители                      
  Одноставочный тариф руб./тыс. кВт.ч                    
  Двухставочный тариф                      
  Ставка за мощность руб./МВт. мес.                    
  Ставка за энергию руб./тыс. кВт.ч                    
3.1. В том числе бюджетные потребители                      
  Одноставочный тариф руб./тыс. кВт.ч                    
  Двухставочный тариф                      
  Ставка за мощность руб./МВт. мес.                    
  Ставка за энергию руб./тыс. кВт.ч                    

Приложение 2

СИСТЕМА УСЛОВНЫХ ЕДИНИЦ ДЛЯ РАСПРЕДЕЛЕНИЯ ОБЩЕЙ СУММЫ ТАРИФНОЙ ВЫРУЧКИ ПО КЛАССАМ НАПРЯЖЕНИЯ

Таблица N П2.1

Объем воздушных линий электропередач (ВЛЭП) и кабельных линий электропередач (КЛЭП) в условных единицах в зависимости от протяженности, напряжения, конструктивного использования и материала опор

Напряжение, кВ Количество цепей на опоре Материал опор Количество условных единиц (у) на 100 км трассы ЛЭП Протяженность Объем условных единиц
у/100км км у
1 2 3 4 5 6 7 = 5 x 6/100
ВЛЭП 1150   металл 800    
750 1 металл 600    
400 - 500 1 металл 400    
ж/бетон 300    
330 1 металл 230    
ж/бетон 170    
2 металл 290    
ж/бетон 210    
220 1 дерево 260    
металл 210    
ж/бетон 140    
2 металл 270    
ж/бетон 180    
110 - 150 1 дерево 180    
металл 160    
ж/бетон 130    
2 металл 190    
ж/бетон 160    
КЛЭП 220     3000    
110     2300    
ВН, всего  
ВЛЭП 35 1 дерево 170    
металл 140    
ж/бетон 120    
2 металл 180    
ж/бетон 150    
1 - 20   дерево 160    
дерево на ж/б пасынках 140    
ж/бетон, металл 110    
КЛЭП 20 - 35     470    
3 - 10     350    
СН, всего  
ВЛЭП 0,4 кВ   дерево 260    
дерево на ж/б пасынках 220    
ж/бетон, металл 150    
КЛЭП до 1 кВ - - 270    
  НН, всего          

Примечание. При расчете условных единиц протяженность ВЛЭП - 0,4 кВ от линии до ввода в здании не учитывается.

Условные единицы по ВЛЭП - 0,4 кВ учитывают трудозатраты на обслуживание и ремонт:

а) воздушных линий в здание и

б) линий с совместной подвеской проводов.

- Условные единицы по ВЛЭП 0,4 - 20 кВ учитывают трудозатраты оперативного персонала распределительных сетей 0,4 - 20 кВ.

- Кабельные вводы учтены в условных единицах КЛЭП напряжением до 1 кВ.

Таблица N П2.2

Объем подстанций 35 - 1150 кВ, трансформаторных подстанций (ТП), комплексных трансформаторных подстанций (КТП) и распределительных пунктов (РП) 0,4 - 20 кВ в условных единицах

п/п Наименование Единица измерения Напряжение, кВ Количество условных единиц (у) на единицу измерения Количество единиц измерения Объем условных единиц
у/ед.изм. ед. изм. у
1 2 3 4 5 6 7 = 5 x 6
1 Подстанция П/ст 1150 1000    
750 600    
400 - 500 500    
330 250    
220 210    
110 - 150 105    
35 75    
2 Силовой трансформатор или реактор (одно- или трехфазный), или вольтодобавочный трансформатор Единица оборудования 1150 60    
750 43    
400 - 500 28    
330 18    
220 14    
110 - 150 7,8    
35 2,1    
1 - 20 1,0    
3 Воздушный выключатель 3 фазы 1150 180    
750 130    
400 - 500 88    
330 66    
220 43    
110 - 150 26    
35 11    
1 - 20 5,5    
4 Масляный выключатель - " - 220 23    
110 - 150 14    
35 6,4    
1 - 20 3,1    
5 Отделитель с короткозамыкателем Единица оборудования 400 - 500 35    
330 24    
220 19    
110 - 150 9,5    
35 4,7    
6 Выключатель нагрузки - " - 1 - 20 2,3    
7 Синхронный компенсатор мощн. 50 Мвар - " - 1 - 20 26    
8 То же, 50 Мвар и более - " - 1 - 20 48    
9 Статические конденсаторы 100 конд. 35 2,4    
1 - 20 2,4    
10 Мачтовая (столбовая) ТП ТП 1 - 20 2,5    
11 Однотрансформаторная ТП, КТП ТП, КТП 1 - 20 2,3    
12 Двухтрансформаторная ТП, КТП ТП, КТП 1 - 20 3    
13 Однотрансформаторная подстанция 34/0,4 кВ п/ст 35 3,5    
14 Итого ВН - -  
СН - -  
НН - -  

Примечание. В п. 1 учтены трудозатраты оперативного персонала подстанций напряжением 35 - 1150 кВ.

Условные единицы по п. п. 2 - 9 учитывают трудозатраты по обслуживанию и ремонту оборудования, не включенного в номенклатуру условных единиц (трансформаторы напряжения, аккумуляторные батареи, сборные шины и т.д.), резервного оборудования.

Условные единицы по п. 2 "Силовые трансформаторы 1 - 20 кВ" определяются только для трансформаторов, используемых для собственных нужд подстанций 35 - 1150 кВ.

По п. п. 3-6 учтены дополнительные трудозатраты на обслуживание и ремонт устройств релейной защиты и автоматики, а для воздушных выключателей (п. 3) - дополнительно трудозатраты по обслуживанию и ремонту компрессорных установок.

Значение условных единиц п. п. 4 и 6 "Масляные выключатели 1 - 20 кВ" и "Выключатели нагрузки 1 - 20 кВ" относятся к коммутационным аппаратам, установленным в распределительных устройствах 1 - 20 кВ подстанций 35 - 1150 кВ, ТП, КТП и РП 1 - 20 кВ, а также к секционирующим коммутационным аппаратам на линиях 1 - 20 кВ.

Объем РП 1 - 20 кВ в условных единицах определяется по количеству установленных масляных выключателей (п. 4) и выключателей нагрузки (п. 6). При установке в РП трансформаторов 1 - 20/0,4 кВ дополнительные объемы обслуживания определяются по п. 11 или 12.

По п. п. 10 - 12 дополнительно учтены трудозатраты оперативного персонала распределительных сетей 0,4 - 20 кВ.

По п. п. 1, 2 условные единицы относятся на уровень напряжения, соответствующий первичному напряжению.

Условные единицы электрооборудования понизительных подстанций относятся на уровень высшего напряжения подстанций.

Приложение 3

РАЗДЕЛЬНЫЙ УЧЕТ В НВВ ВН РАСХОДОВ НА СОДЕРЖАНИЕ ОБЪЕКТОВ ЭЛЕКТРОСЕТЕВОГО ХОЗЯЙСТВА, ОТНОСИМЫХ К ЕДИНОЙ НАЦИОНАЛЬНОЙ (ОБЩЕРОССИЙСКОЙ) ЭЛЕКТРИЧЕСКОЙ СЕТИ (ЕНЭС) (ИНДЕКС ВН1) И НЕ ОТНОСИМЫХ К ЕНЭС (ИНДЕКС ВН11)

(1)
 
(2)
 
(3)
 
(4)
 
(5)
 
(6)
 
(7)
 
(8)
 
(9)
 
(10)
 
(11)
 
(12)

Приложение 4

I. Определение нормативных эксплуатационных технологических затрат и потерь теплоносителей

1. Теплоноситель "вода"

1.1. К эксплуатационным технологическим затратам сетевой воды относятся:

- затраты теплоносителя на заполнение трубопроводов тепловых сетей перед пуском после плановых ремонтов, а также при подключении новых участков тепловых сетей;

- технологические сливы теплоносителя средствами автоматического регулирования тепловой нагрузки и защиты;

- технически обоснованный расход теплоносителя на плановые эксплуатационные испытания.

1.2. К утечке теплоносителя относятся технически неизбежные в процессе передачи и распределения тепловой энергии потери теплоносителя через неплотности в арматуре и трубопроводах тепловых сетей в регламентированных нормативными актами технической эксплуатации электрических станций и сетей пределах.

Нормативные значения годовых потерь теплоносителя с его утечкой определяются по формуле:

(1)

где:

- норма среднегодовой утечки теплоносителя (м3/чм3), установленная правилами технической эксплуатации электрических станций и сетей и правилами технической эксплуатации тепловых энергоустановок в пределах 0,25% среднегодовой емкости трубопроводов тепловой сети в час;

V_ср.год - среднегодовая емкость тепловой сети, м3;

n_год - продолжительность функционирования тепловой сети в течение года, ч;

m_у.год.н - среднечасовая годовая норма потерь теплоносителя, обусловленных утечкой, м3/ч. Значение среднегодовой емкости тепловых сетей определяется по формуле:

(2)

где:

V_от и V_л - емкость трубопроводов тепловой сети соответственно в отопительном и неотопительном периодах, м3;

n_от и n_л - продолжительность функционирования тепловой сети соответственно в отопительном и неотопительном периодах, ч.

1.3. Потери теплоносителя при авариях и других нарушениях нормального режима эксплуатации, а также превышающие нормативные значения показателей, приведенных выше, в утечку не включаются и являются непроизводительными потерями.

1.4. Технологические затраты теплоносителя, связанные с вводом в эксплуатацию трубопроводов тепловых сетей, как новых, так и после планового ремонта или реконструкции, принимаются условно в размере 1,5-кратной емкости тепловой сети, находящейся в ведении организации, осуществляющей передачу тепловой энергии и теплоносителей, с учетом требований нормативных актов по технической эксплуатации систем транспорта и распределения тепловой энергии (тепловых сетей) и нормативных актов по технической эксплуатации тепловых сетей систем коммунального теплоснабжения.

1.5. Технологические затраты теплоносителя, обусловленные его сливом приборами автоматики и защиты тепловых сетей и систем теплопотребления, определены конструкцией и технологией обеспечения нормального функционирования этих приборов.

Размеры затрат устанавливаются на основе паспортной информации или технических условий на указанные приборы и уточняются в результате их регулировки. Значения годовых потерь теплоносителя в результате слива из этих приборов определяются по формуле:

(3)

где:

m - технически обоснованный расход теплоносителя, сливаемого каждым из установленных типов средств автоматики или защиты, м3/ч;

N - количество функционирующих средств автоматики и защиты одного типа, шт.;

п - продолжительность функционирования однотипных средств автоматики и защиты в течение года, ч.

1.6. Технологические затраты теплоносителя при плановых эксплуатационных испытаниях тепловых сетей включают потери теплоносителя при выполнении подготовительных работ, отключении участков трубопроводов, их опорожнении и последующем заполнении. Нормирование этих затрат теплоносителя производится с учетом регламентируемой нормативными документами периодичности проведения упомянутых работ, а также эксплуатационных норм затрат, утвержденных в установленном порядке, для каждого вида работ в тепловых сетях и системах теплопотребления, находящихся на балансе организации, осуществляющей передачу тепловой энергии и теплоносителя.

2. Теплоноситель "пар"

2.1. Нормируемые потери пара могут быть определены по нормам для водяных тепловых сетей по формуле:

(4)

где:

_пар - плотность пара при средних давлении и температуре по магистралям от источника тепла до потребителя, кг/м3;

- среднегодовой объем паровых сетей, находящихся введении организации, осуществляющей передачу тепловой энергии и теплоносителя, м3, определяемый по формуле (2);

n - среднегодовое число часов работы паровых сетей, ч.

2.2. Среднее давление пара в паровых сетях определяется по формуле:

(5)

где:

Р_н, Р_к - соответственно, начальное и конечное давления пара на источнике теплоты и у потребителей по каждой паровой магистрали по периодам работы n_const (ч), с относительно постоянными значениями давлений, кгс/см2;

n_год - число часов работы каждой паровой магистрали в течение года, ч;

k - количество паровых магистралей.

Средняя температура пара определяется по формуле:

(6)

где: Т_н, Т_к - соответственно, начальная и конечная температуры пара на источнике теплоты и у потребителей по каждой паровой магистрали по периодам работы n_const (ч), с относительно постоянными значениями давления.

2.3. Потери конденсата учитываются по норме для водяных тепловых сетей в размере 0,0025 от среднегодового объема конденсатопроводов , м3/ч при соответствующей плотности воды (конденсата) _конд, по формуле:

(7)

II. Определение нормативных эксплуатационных технологических затрат и потерь тепловой энергии

3. Нормативные затраты и потери тепловой энергии определяются двумя составляющими:

- затратами и потерями тепловой энергии с потерями теплоносителя;

- потерями тепловой энергии теплопередачей через теплоизоляционные конструкции трубопроводов и оборудование систем транспорта.

4. Определение нормативных эксплуатационных технологических затрат и потерь тепловой энергии с потерями теплоносителя "вода".

Потери тепловой энергии определяются по отдельным составляющим затрат и потерь сетевой воды в соответствии с п. п. 2, 3 настоящего Приложения с последующим суммированием.

4.1. Нормативные значения годовых технологических тепловых потерь с утечкой теплоносителя из трубопроводов тепловых сетей определяются по формуле:

(8)

где:

_год - среднегодовая плотность теплоносителя при среднем значении температуры теплоносителя в подающем и обратном трубопроводах тепловой сети, кг/м3;

t_1год, t_2год - среднегодовые значения температуры теплоносителя в подающем и обратном трубопроводах тепловой сети, град. С;

t_х.год - среднегодовое значение температуры холодной воды, подаваемой на источник теплоснабжения и используемой для подпитки тепловой сети, град. С;

с - удельная теплоемкость теплоносителя (сетевой воды), ккал/кг х град. С;

b - доля массового расхода теплоносителя, теряемого подающим трубопроводом (при отсутствии данных принимается в пределах от 0,5 до 0,75).

Среднегодовые значения температуры теплоносителя в подающем и обратном трубопроводах тепловой сети определяются как средние из ожидаемых среднемесячных значений температуры теплоносителя по применяемому в системе теплоснабжения графику регулирования тепловой нагрузки, соответствующих ожидаемым среднемесячным значениям температуры наружного воздуха на всем протяжении функционирования тепловой сети в течение года.

Ожидаемые среднемесячные значения температуры наружного воздуха определяются как средние из соответствующих статистических значений по информации метеорологической станции за последние 5 лет (при отсутствии таковой - в соответствии со строительными нормами и правилами по строительной климатологии или климатологическим справочником).

Среднегодовое значение температуры холодной воды, подаваемой на источник теплоснабжения для подпитки тепловой сети, определяется по формуле:

(9)

где:

t_х.от, t_х.л - значения температуры холодной воды, поступающей на источник теплоснабжения в отопительном и неотопительном периодах, град. С (при отсутствии достоверной информации t_х.от = 5 град. С, t_х.л = 15 град. С).

4.2. Нормативные технологические затраты тепловой энергии на заполнение трубопроводов после проведения планового ремонта и пуск в эксплуатацию новых сетей определяются по формуле с учетом плотности воды , используемой для заполнения:

(10)

где:

1,5 x V_тр - затраты сетевой воды на заполнение трубопроводов и оборудования, находящегося на балансе организации, осуществляющей передачу тепловой энергии, м3;

t_зап, t_x - соответственно, температуры сетевой воды при заполнении и холодной воды в этот период, град. С.

4.3. Нормативные технологические затраты тепловой энергии со сливами из средств авторегулирования и защиты (САРЗ) определяются по формуле:

(11)

где:

G_а.н - затраты сетевой воды со сливами из САРЗ, определяемые в соответствии с п. 2.6, м3;

t_сл, t_х - температура сливаемой сетевой воды, определяемая в зависимости от места установка САРЗ, и температура холодной воды за этот же период, град. С;

- среднегодовая плотность сетевой воды в подающем или в обратном трубопроводе, в зависимости от точек отбора сетевой воды, используемой в САРЗ.

4.4. Если установлены нормативы затрат сетевой воды на проведение плановых эксплуатационных испытаний (см. п. 2), то определяются потери тепловой энергии и с этой составляющей потерь сетевой воды по аналогичным формулам.

5. Определение нормативных эксплуатационных технологических потерь тепловой энергии с потерями теплоносителя "пар".

5.1. Нормативные потери тепловой энергии с потерями пара определяются по формуле:

(12)

где:

G_пп - годовые потери пара, определяемые по формуле (4), м3;

i_п - энтальпия пара при средних значениях давления и температуры пара по магистралям на источнике теплоты и у потребителей, ккал/кг;

i_x - энтальпия холодной воды, ккал/кг (град. С).

5.2. Нормативные потери тепловой энергии с потерями конденсата определяются по формуле:

(13)

где:

G_пк - годовые потери конденсата, определяемые по формуле (7), м3;

t_к, t_x - средние за период работы паропроводов значения температуры конденсата и холодной воды, град. С.

5.3. Определение нормативных технологических потерь тепловой энергии теплопередачей через теплоизоляционные конструкции трубопроводов тепловых сетей.

Эксплуатационные тепловые потери через теплоизоляционные конструкции трубопроводов тепловых сетей для средних за год условий функционирования нормируются на год, следующий после проведения тепловых испытаний на тепловые потери, и являются нормативной базой для нормирования тепловых потерь согласно действующим нормативным актам определения нормативных значений показателей функционирования водяных тепловых сетей коммунального теплоснабжения и нормативным актам по составлению энергетических характеристик для систем транспорта тепловой энергии.

5.4. Нормирование эксплуатационных тепловых потерь через изоляционные конструкции на расчетный период производится, исходя из значений часовых тепловых потерь при среднегодовых условиях функционирования тепловой сети.

Нормирование эксплуатационных часовых тепловых потерь производится в следующем порядке:

- для всех участков тепловой сети на основе сведений о конструктивных особенностях тепловой сети (типы прокладки, виды тепловой изоляции, диаметр трубопроводов, длина участков) и норм тепловых потерь, указанных в таблицах 1.1 и 1.2 настоящего приложения (если изоляция трубопроводов соответствует этим нормам) либо в таблицах 2.1 - 2.3 или 3.1 - 3.3 (если изоляция соответствует нормам, указанным в строительных нормах и правилах на тепловую изоляцию трубопроводов и оборудования), пересчетом табличных значений на среднегодовые условия функционирования;

- для участков тепловой сети, характерных для нее по типам прокладки и видам теплоизоляционных конструкций и подвергавшихся тепловым испытаниям, согласно действующим нормативным актам по определению тепловых потерь в водяных тепловых сетях, в качестве нормативных принимаются полученные в результате испытаний значения действительных (фактических) часовых тепловых потерь, пересчитанные на среднегодовые условия функционирования тепловой сети;

- для участков тепловой сети, аналогичных подвергавшимся тепловым испытаниям по типам прокладки, видам теплоизоляционных конструкций и условиям эксплуатации, в качестве нормативных принимаются значения часовых тепловых потерь, определенные по нормам тепловых потерь с введением поправочных коэффициентов, определенных по результатам тепловых испытаний;

- для участков тепловой сети, не имеющих аналогов среди участков, подвергавшихся тепловым испытаниям, в качестве нормативных принимаются значения часовых тепловых потерь, определенные теплотехническим расчетом для среднегодовых условий функционирования тепловой сети с учетом технического состояния с применением зависимостей, указанных в действующих нормативных актах по составлению энергетической характеристики для систем транспорта тепловой энергии по показателю "тепловые потери";

- для участков тепловой сети, вводимых в эксплуатацию после монтажа, реконструкции или капитального ремонта, с изменением типа или конструкции прокладки и теплоизоляционного слоя, в качестве нормативных принимаются значения часовых тепловых потерь при среднегодовых условиях функционирования тепловой сети, определенные теплотехническим расчетом на основе исполнительной технической документации.

5.5. Значения часовых тепловых потерь в тепловой сети в целом при среднегодовых условиях функционирования определяются суммированием значений часовых тепловых потерь на отдельных ее участках.

5.6. Значения часовых тепловых потерь по проектным нормам тепловых потерь для среднегодовых условий функционирования тепловой сети определяются по формулам:

- для теплопроводов подземной прокладки, по подающим и обратным трубопроводам вместе:

(14)

- для теплопроводов надземной прокладки по подающим и обратным трубопроводам раздельно:

(15)
 
(15а)

где:

q_из.н, q_из.н.п и q_из.н.о - удельные часовые тепловые потери трубопроводов каждого диаметра, определенные пересчетом табличных значений норм удельных часовых тепловых потерь на среднегодовые условия функционирования тепловой сети, подающих и обратных трубопроводов подземной прокладки - вместе, надземной - раздельно, ккал/м.ч (кДж/м.ч);

L - длина трубопроводов участка тепловой сети подземной прокладки в двухтрубном исчислении, надземной - в однотрубном, м;

- коэффициент местных тепловых потерь, учитывающий потери запорной арматурой, компенсаторами, опорами (принимается 1,2 при диаметре трубопроводов до 150 мм и 1,15 - при диаметре 150 мм и более, а также при всех диаметрах трубопроводов бесканальной прокладки);

i - количество участков трубопроводов различного диаметра.

5.7. Значения нормативных проектных удельных часовых тепловых потерь при среднегодовых значениях разности температуры теплоносителя и окружающей среды (грунта или воздуха), отличающихся от значений, приведенных в соответствующих нормах тепловых потерь, определяются линейной интерполяцией (или экстраполяцией).

5.8. Среднегодовые значения температуры теплоносителя в подающем и обратном трубопроводах тепловой сети t_п_год и t_О_год определяются как средние из ожидаемых среднемесячных значений температуры теплоносителя по действующему в системе теплоснабжения температурному графику регулирования тепловой нагрузки, соответствующих ожидаемым значениям температуры наружноговоздуха.

Ожидаемые среднемесячные значения температуры наружного воздуха и грунта определяются как средние за последние 5 лет (по информации местной гидрометеорологической станции о статистических климатологических значениях температуры наружного воздуха и грунта на глубине заложения трубопроводов тепловых сетей) или, при отсутствии данных, с использованием строительных норм и правил по строительной климатологии и справочника по климату для соответствующего или ближайшего к нему объекта.

5.9. Значения нормативных часовых тепловых потерь участков тепловой сети, аналогичных участкам, подвергавшимся тепловым испытаниям (ан.исп.) по типам прокладки, видам изоляционных конструкций и условиям эксплуатации, определяются для трубопроводов подземной и надземной прокладки отдельно, по формулам:

- для теплопроводов подземной прокладки, по подающим и обратным трубопроводам вместе:

(16)

- для теплопроводов надземной прокладки по подающим и обратным трубопроводам раздельно:

(17)
 
(17а)

где:

k_и, k_и.п и k_и.о - поправочные коэффициенты для определения нормативных часовых тепловых потерь, полученные по результатам тепловых испытаний.

5.10. Поправочные коэффициенты для участков тепловой сети, аналогичных подвергавшимся тепловым испытаниям по типам прокладки, видам теплоизоляционных конструкций и условиям эксплуатации, определяются по формулам:

- при подземной прокладке, подающие и обратные трубопроводы вместе:

(18)

где:

Q_из.год.и и Q_из.н.год - соответственно тепловые потери, определенные тепловыми испытаниями, пересчитанные на среднегодовые условия функционирования каждого испытанного участка тепловой сети, и потери, определенные по проектным нормам тепловых потерь по формуле 14 для тех же участков, ккал/ч (кДж/ч);

- при надземной прокладке, и раздельном расположении подающих и обратных трубопроводов:

(19)
 
(19а)

где:

Q_из.год.п.и и Q_из.год.о.и - соответственно тепловые потери, определенные тепловыми испытаниями и пересчитанные на среднегодовые условия функционирования каждого испытанного участка тепловой сети, для подающих и обратных трубопроводов, ккал/ч (кДж/ч);

Q_из.год.п.н и Q_из.год.о.н - тепловые потери, определенные по проектным нормам тепловых потерь по формулам 15 и 15а для тех же участков, ккал/ч (кДж/ч).

Максимальные значения поправочных коэффициентов к нормативным значениям не должны быть больше значений, приведенных в нормативном акте по составлению энергетических характеристик тепловых сетей и нормативном акте по определению нормативных значений показателей функционирования водяных тепловых сетей коммунального теплоснабжения.

Нормативные значения эксплуатационных тепловых потерь через изоляционные конструкции трубопроводов по периодам функционирования (отопительный и неотопительный) и за год в целом определяются как суммы нормативных значений эксплуатационных тепловых потерь за соответствующие месяцы.

6. Определение нормативных технологических потерь тепловой энергии через теплоизоляционную конструкцию при теплоносителе "пар".

Определение нормативных технологических потерь тепловой энергии через теплоизоляционные конструкции при теплоносителе "пар" принципиально не отличается от определения потерь тепловой энергии при теплоносителе "вода" и в общем виде определяются вышеприведенными положениями и формулами. Для учета особенностей пара, как теплоносителя, следует руководствоваться нормативными актами по определению тепловых потерь в водяных и паровых тепловых сетях, действующими в части, касающейся паровых сетей.

7. Определение нормативных технологических затрат электрической энергии на услуги по передаче тепловой энергии и теплоносителей.

7.1. Нормативные технологические затраты электрической энергии определяются затратами на привод насосного и другого оборудования, находящегося на балансе организации, осуществляющей передачу тепловой энергии и теплоносителя. К ним относятся:

- подкачивающие насосы на подающем и обратном трубопроводах тепловой сети;

- подмешивающие насосы на тепловой сети;

- дренажные насосы;

- насосы зарядки-разрядки баков-аккумуляторов;

- насосы отопления и горячего водоснабжения и насосы подпитки II контура отопления центральных тепловых пунктов (ЦТП);

- привод электрифицированной запорно-регулирующей арматуры.

7.2. Затраты электрической энергии определяются раздельно по каждому виду насосного оборудования по формуле:

(20)

где:

G_p - нормативный расход теплоносителя, перекачиваемого насосами, (м3/ч), определяемый в зависимости от их назначения;

Н_p - располагаемый напор, развиваемый насосами при нормативном расходе (м);

- плотность теплоносителя, кг/м3;

n_н - число часов работы насосов при нормативных расходах и напорах;

_ну - КПД насосной установки (насосов и электродвигателей);

k - количество групп насосов.

Нормативные расходы теплоносителя, перекачиваемого насосными установками, определяются в соответствии с гидравлическим режимом. При этом располагаемые напоры принимаются согласно расчетному гидравлическому режиму функционирования тепловой сети.

7.3. Если насосная группа состоит из насосов одного типа, расход теплоносителя, перекачиваемого одним из этих насосов, определяется делением среднего за час суммарного значения расхода теплоносителя на количество рабочих насосов.

Если насосная группа состоит из насосов различных типов (или диаметры рабочих колес однотипных насосов различны), для определения расхода теплоносителя, перекачиваемого каждым из установленных насосов, необходимо построить результирующую характеристику насосов, при помощи которой можно определить расход теплоносителя, перекачиваемого каждым из насосов, при известном суммарном расходе перекачиваемого теплоносителя.

7.4. При дросселировании напора, развиваемого насосом (в клапане, задвижке или дроссельной диафрагме), значения напора, развиваемого насосом, и КПД насоса при определенном значении расхода перекачиваемого теплоносителя могут быть определены по результатам испытания насоса или его паспортной характеристике.

7.5. В случае регулирования напора и производительности насосов путем изменения частоты вращения их рабочих колес результирующая характеристика насосов насосной группы определяется по результатам гидравлического расчета тепловой сети следующим образом. Определяется расход теплоносителя для насосной группы и требуемый напор насосов, измененный по сравнению с паспортной характеристикой при полученном значении расхода теплоносителя. Найденные значения расхода теплоносителя для каждого из включенных в работу насосов и развиваемого ими при этом напора позволяют определить требуемую частоту вращения рабочих колес насосов по формуле:

(21)

где:

H_1 и Н_2 - соответственно напоры, развиваемые насосом при частотах вращения соответственно n_1 и n_2 , м;

G_1 и G_2 - соответственно расходы теплоносителя при частотах вращения n_1 и n_2, м3/ч.

7.6. Мощность электродвигателей (кВт), необходимая для перекачки теплоносителя центробежными насосами, при измененной (по сравнению с номинальной) частоте вращения их рабочих колес, определяется по формуле (20) с подстановкой значений расхода перекачиваемого теплоносителя, напора, развиваемого насосом, соответствующих расчетной частоте вращения рабочих колес, и КПД преобразователя частоты (последний - в знаменатель формулы) без учета числа часов работы насосов.

7.7. При определении нормативного расхода электрической энергии значение расхода горячей воды, перекачиваемой циркуляционными насосами системы горячего водоснабжения, определяется по средней часовой за неделю тепловой нагрузки горячего водоснабжения и постоянно на протяжении сезона (отопительного или неотопительного периода).

7.8. При определении нормативного расхода электрической энергии подпиточных и циркуляционных насосов отопительных систем, подключенных к тепловой сети через теплообменники, значения расхода теплоносителя, перекачиваемого этими насосами, определяются емкостью этих систем и их теплопотреблением для каждого из характерных значений температуры наружного воздуха.

7.9. При определении нормативного расхода электрической энергии подкачивающих и подмешивающих насосов на ЦТП значения расхода теплоносителя, перекачиваемого этими насосами, и развиваемый ими напор определяются принципиальной схемой коммутации ЦТП, а также принципами их автоматизации.

7.10. Расходы сетевой воды, располагаемые напоры и продолжительность работы насосов зарядки-разрядки баков-аккумуляторов, если они не учтены в затратах на выработку энергии на источниках теплоты, определяются разработанными режимами работы баков-аккумуляторов в зависимости от режима водопотребления на горячее водоснабжение и мощности подпиточных устройств источников теплоты.

7.11. Затраты электрической энергии на привод запорно-регулирующей арматуры и средств автоматического регулирования и защиты определяются в зависимости от установленной мощности электродвигателей, назначения и числа часов работы оборудования, КПД привода по формуле:

(22)

где:

m_пр - количество однотипных приводов электрифицированного оборудования, шт.;

N_пр - установленная мощность электроприводов, кВт;

_пр - КПД электроприводов;

n_год - годовое число часов работы электроприводов каждого вида оборудования, ч;

k - количество групп электрооборудования.