Постановление Правительства РФ от 11.10.2001 N 717

"О федеральной целевой программе "Сокращение различий в социально-экономическом развитии регионов Российской Федерации (2002-2010 годы и до 2015 года)"
Редакция от 22.06.2006 — Действует
Показать изменения

ПРАВИТЕЛЬСТВО РОССИЙСКОЙ ФЕДЕРАЦИИ

ПОСТАНОВЛЕНИЕ
от 11 октября 2001 г. N 717

О ФЕДЕРАЛЬНОЙ ЦЕЛЕВОЙ ПРОГРАММЕ "СОКРАЩЕНИЕ РАЗЛИЧИЙ В СОЦИАЛЬНО-ЭКОНОМИЧЕСКОМ РАЗВИТИИ РЕГИОНОВ РОССИЙСКОЙ ФЕДЕРАЦИИ (2002-2010 ГОДЫ И ДО 2015 ГОДА)"

(в ред. Постановлений Правительства РФ от 03.12.2004 N 737, от 22.06.2006 N 388)

В целях сокращения различий в уровне социально-экономического развития регионов Российской Федерации и количества субъектов Российской Федерации, социально-экономическое развитие которых ниже среднего уровня по стране, Правительство Российской Федерации постановляет:

Утвердить прилагаемую федеральную целевую программу "Сокращение различий в социально-экономическом развитии регионов Российской Федерации (2002-2010 годы и до 2015 года)".

Министерству экономического развития и торговли Российской Федерации и Министерству финансов Российской Федерации при формировании проектов федерального бюджета начиная с 2002 года предусматривать выделение средств на финансирование мероприятий указанной Программы с учетом возможностей федерального бюджета.

Председатель Правительства
Российской Федерации
М.КАСЬЯНОВ

УТВЕРЖДЕНА
постановлением Правительства
Российской Федерации
от 11 октября 2001 г.
N 717

ФЕДЕРАЛЬНАЯ ЦЕЛЕВАЯ ПРОГРАММА
"СОКРАЩЕНИЕ РАЗЛИЧИЙ В СОЦИАЛЬНО-ЭКОНОМИЧЕСКОМ РАЗВИТИИ РЕГИОНОВ РОССИЙСКОЙ ФЕДЕРАЦИИ (2002-2010 ГОДЫ И ДО 2015 ГОДА)"

(в ред. Постановлений Правительства РФ от 03.12.2004 N 737, от 22.06.2006 N 388)

Реализация федеральной целевой программы "Сокращение различий в социально-экономическом развитии регионов Российской Федерации (2002-2010 годы и до 2015 года)" завершена в 2006 году - Распоряжение Правительства РФ от 20.10.2006 N 1454-р

ПАСПОРТ
ФЕДЕРАЛЬНОЙ ЦЕЛЕВОЙ ПРОГРАММЫ "СОКРАЩЕНИЕ РАЗЛИЧИЙ В СОЦИАЛЬНО-ЭКОНОМИЧЕСКОМ РАЗВИТИИ РЕГИОНОВ РОССИЙСКОЙ ФЕДЕРАЦИИ (2002 - 2010 ГОДЫ И ДО 2015 ГОДА)"

Наименование Программы - федеральная целевая программа "Сокращение различий в социально-экономическом развитии регионов Российской Федерации (2002-2010 годы и до 2015 года)"
   
Основание для разработки Программы - распоряжение Правительства Российской Федерации от 31 марта 2001 г. N 452-р
   
Государственный заказчик Программы - Министерство экономического развития и торговли Российской Федерации
   
Основной разработчик Программы - Совет по изучению производительных сил Министерства экономического развития и торговли Российской Федерации и Российской академии наук
   
Цель Программы - сокращение различий в социально-экономическом развитии регионов Российской Федерации, уменьшение разрыва по основным показателям социально-экономического развития между наиболее развитыми и отстающими регионами к 2010 году в 1,5 раза, а к 2015 году - в 2 раза
   
Задачи Программы - формирование условий для развития регионов, социально-экономические показатели которых ниже среднего по стране; создание благоприятной среды для развития предпринимательской деятельности и улучшения инвестиционного климата; повышение эффективности государственной поддержки субъектов Российской Федерации
   
Сроки реализации Программы - 2002-2010 годы и до 2015 года
   
Исполнители Программы - субъекты Российской Федерации; исполнители программных мероприятий, определяемые на конкурсной основе в установленном порядке
   
Объем и источники финансирования Программы - общий объем финансирования Программы - 66323,3 млн. рублей, в том числе:
  средства федерального бюджета - 12413,3 млн. рублей;
  средства бюджетов субъектов Российской Федерации - 15168 млн. рублей;
  средства внебюджетных источников - 38742 млн. рублей
   
Ожидаемые конечные результаты Программы - уменьшение различий в социально-экономическом развитии субъектов Российской Федерации по уровню валового регионального продукта на душу населения с учетом покупательной способности и доходам на душу населения в 2 раза к 2010 году и в 3 раза - к 2015 году;
  сокращение доли населения, живущего за чертой бедности, на 15 процентов в 2010 году и на 25 процентов - в 2015 году
   
Система контроля за исполнением Программы - Министерство экономического развития и торговли Российской Федерации и Министерство финансов Российской Федерации осуществляют контроль за целевым и эффективным использованием средств федерального бюджета и бюджетов субъектов Российской Федерации. Исполнители Программы несут ответственность за своевременное и полное ее выполнение.

1. СОДЕРЖАНИЕ ПРОБЛЕМЫ И ОБОСНОВАНИЕ НЕОБХОДИМОСТИ ЕЕ РЕШЕНИЯ ПРОГРАММНЫМИ МЕТОДАМИ

Исторически сложившиеся различия в экономическом развитии регионов России оказывают значительное влияние на государственное устройство, структуру и эффективность экономики, стратегию и тактику институциональных преобразований и социально-экономической политики.

Уменьшение различий в экономическом развитии создает благоприятные условия для развития внутреннего рынка, оптимизации социально-экономических преобразований, укрепления единства российского государства, в то время как усиление различий затрудняет проведение единой политики социально-экономических преобразований и формирование общенационального рынка, увеличивает опасность возникновения региональных кризисов и межрегиональных конфликтов, дезинтеграции национальной экономики и ослабления целостности общества и государства.

С началом рыночных реформ различия в социально-экономическом развитии регионов стали усиливаться (приложения N 1 и 2), что можно объяснить двумя причинами: наличием регионов с разной структурой экономики и значительным ослаблением регулирующей роли государства.

Оценка социально-экономического развития федеральных округов в 2000 году показывает, что в каждом из них имеются неблагополучные регионы. В наихудшем положении находятся Сибирский, Дальневосточный и Южный федеральные округа.

Комплексная оценка динамики развития субъектов Российской Федерации, входящих в Центральный федеральный округ, позволяет сделать вывод о некоторой стабилизации социально-экономического положения в них. Вместе с тем несколько регионов этого округа отстают по уровню социально-экономического развития.

По таким показателям, как объем инвестиций в основной капитал, объем среднедушевого внешнеторгового оборота, среднедушевая финансовая обеспеченность региона, доля занятых на малых предприятиях, отношение среднедушевых доходов к прожиточному минимуму, доля населения с доходами ниже прожиточного минимума и доля среднедушевого розничного товарооборота неблагополучными в Центральном федеральном округе являются Брянская, Владимирская, Воронежская, Ивановская, Курская, Орловская, Смоленская и Тамбовская области. В Рязанской, Тверской, Тульской и Ярославской областях в последние годы наблюдается улучшение по основным социально-экономическим показателям.

Оценка социально-экономического развития Северо-Западного федерального округа позволяет сделать вывод об улучшении ситуации. Вместе с тем ухудшились показатели развития отраслей социальной инфраструктуры и уменьшились объемы инвестиций в основной капитал на душу населения.

К неблагополучным относятся Архангельская и Псковская области, в которых практически без изменений остаются доля занятых на малых предприятиях в общей численности занятых, показатели регистрируемой безработицы и развития отраслей социальной инфраструктуры, а в отношении доли населения с уровнем доходов ниже прожиточного минимума, уровня общего объема розничного товарооборота и платных услуг на душу населения показатели улучшились.

В целом социально-экономическое развитие Южного федерального округа с 1998 по 2000 год остается гораздо ниже среднего уровня, в том числе по доле валового регионального продукта на душу населения, объему внешнеторгового оборота на душу населения и наличию основных фондов на душу населения.

В группу неблагополучных входят Республика Адыгея, Республика Дагестан, Республика Ингушетия, Карачаево-Черкесская Республика и Волгоградская область. Низкие значения показателей валового регионального продукта на душу населения, объема внешнеторгового оборота на душу населения, уровня финансовой обеспеченности региона на душу населения, общего объема розничного товарооборота и платных услуг на душу населения, основных фондов на душу населения и развития отраслей социальной инфраструктуры составляют основу отсталости субъектов Российской Федерации, входящих в Южный федеральный округ. В Кабардино-Балкарской Республике, Республике Калмыкия, Ставропольском крае и Астраханской области с 1998 по 2000 год наблюдается тенденция к улучшению положения.

В Приволжском федеральном округе наблюдается тенденция к стабилизации социально-экономического развития, хотя практически все показатели этого региона ниже среднего по России. К неблагополучным относятся Коми-Пермяцкий автономный округ, Пензенская, Кировская и Ульяновская области, Чувашская Республика, Республика Мордовия и Республика Марий Эл. Улучшение социально-экономической ситуации характерно для Республики Башкортостан, Республики Татарстан, Нижегородской, Самарской и Саратовской областей.

Комплексная оценка социально-экономического развития Уральского федерального округа свидетельствует о стабилизации положения на уровне ниже среднероссийского по основным показателям после спада в 1999 году. К группе наиболее неблагополучных можно отнести Курганскую область.

Результаты комплексной оценки социально-экономического положения Сибирского федерального округа свидетельствуют о спаде его развития в 1999-2000 годах. Наибольшее отклонение от среднего по России уровня наблюдается в отношении валового регионального продукта на душу населения, финансовой обеспеченности региона на душу населения, доли населения с доходами ниже прожиточного минимума, общего объема розничного товарооборота платных услуг на душу населения, наличия основных фондов на душу населения и коэффициента плотности дорог.

К неблагополучным относятся Республика Алтай, Республика Бурятия, Республика Тыва, Читинская область, Агинский Бурятский автономный округ, Таймырский (Долгано-Ненецкий) автономный округ, Усть-Ордынский Бурятский автономный округ и Эвенкийский автономный округ.

По сравнению с 1999 годом социально-экономическое положение субъектов Российской Федерации, входящих в Дальневосточный федеральный округ, в 2000 году ухудшилось по уровню регистрируемой безработицы, отношению среднедушевых доходов к среднедушевому прожиточному минимуму, доле населения с доходами ниже прожиточного минимума, уровню развития отраслей социальной инфраструктуры и уровню финансовой обеспеченности региона на душу населения.

К неблагополучным относятся Амурская область, Корякский автономный округ, Чукотский автономный округ и Еврейская автономная область по объему инвестиций в основной капитал на душу населения, уровню финансовой обеспеченности региона на душу населения, уровню регистрируемой безработицы и отношению среднедушевых доходов к среднедушевому прожиточному минимуму.

В каждом федеральном округе есть субъекты Российской Федерации, относящиеся к группе отстающих. В совокупности они составляют почти половину всех субъектов Российской Федерации. Абсолютное большинство этих регионов являются приграничными.

Такое положение явилось результатом неодинаковой адаптации регионов к новым рыночным условиям и значительного уменьшения объемов государственной поддержки. Сохраняющаяся диспропорция в социально-экономическом развитии регионов является существенным фактором ослабления системы федеративных отношений в Российской Федерации, ее социально-экономического развития и уменьшения возможностей преодоления внутреннего кризиса.

За последнее десятилетие усилились различия между субъектами Российской Федерации и по размеру финансирования социальных расходов из федерального бюджета и бюджетов других уровней, что ведет к увеличению территориальных диспропорций в обеспечении населения социальными пособиями, услугами образования, здравоохранения, культуры и искусства. В результате увеличились различия в обеспеченности регионов объектами социальной инфраструктуры.

В настоящее время различия в развитии субъектов Российской Федерации по основным социально-экономическим показателям достигли критического уровня. Резкая межрегиональная дифференциация имеет своим неизбежным следствием расширение числа отстающих регионов, ослабление механизмов межрегионального экономического взаимодействия и нарастание межрегиональных противоречий, что значительно затрудняет проведение единой общероссийской политики социально-экономических преобразований. Чрезмерные различия в условиях жизни населения центра и периферии, различных регионов страны воспринимаются обществом как нарушение принципов социальной справедливости и могут приводить к усилению центробежных тенденций и сепаратизму.

Поэтому стратегически важным для России является проведение сильной государственной региональной политики, направленной на сглаживание различий в уровне социально-экономического развития регионов Российской Федерации. Первоочередной задачей является улучшение условий жизни в наиболее отстающих регионах.

Федеральная целевая программа "Сокращение различий в социально-экономическом развитии регионов Российской Федерации (2002-2010 годы и до 2015 года)" (далее именуется - Программа) базируется на Основных направлениях социально-экономической политики Правительства Российской Федерации на долгосрочную перспективу и утвержденном распоряжением Правительства Российской Федерации от 26 июля 2000 г. N 1072-р Плане действий Правительства Российской Федерации в области социальной политики и модернизации экономики на 2000-2001 годы (Собрание законодательства Российской Федерации, 2000, N 33, ст. 3414), в которых поставлена задача адаптации программных механизмов к принципиально новой структуре приоритетов, формам и методам участия государства в решении социально-экономических проблем отдельных регионов. Необходимость решения этой задачи определяется наличием таких общепризнанных недостатков современной практики федерального программного регулирования, как размытость целей, отсутствие федеральных приоритетов, формальность процедур отбора программ, недостаточная ответственность за исполнение программных мероприятий и др.

В настоящее время финансовая помощь из федерального бюджета субъектам Российской Федерации предоставляется через Фонд финансовой поддержки субъектов Российской Федерации, Фонд компенсаций, Фонд регионального развития.

Средства Фонда регионального развития в 1999-2001 годах направляются на финансирование объектов, предусмотренных в десятках федеральных целевых программ развития субъектов Российской Федерации. Сложившаяся практика не позволяет проводить эффективную региональную политику государственной поддержки регионов. Программа сориентирована на смягчение межрегиональных контрастов, возникших в переходный период.

К числу важнейших аргументов в пользу реализации мероприятий Программы относятся:

возможность объединения многих федеральных целевых программ развития регионов в одну программу с сохранением при этом прежних объемов их финансирования за счет средств федерального бюджета (через Фонд регионального развития);

упрощение процедуры согласования решений по вопросам, связанным с получением субъектами Российской Федерации государственной поддержки;

возможность формирования в рамках Программы комплекса нормативно-правовых и финансовых условий для повышения в дальнейшем бюджетной самодостаточности регионов, уровень социально-экономического развития которых отстает от среднероссийского.

Ресурсы Программы будут адресно направлены на реализацию программных мероприятий по государственной поддержке регионов, что позволит предупредить возникновение новых очагов политической и национально-этнической напряженности.

Достижение основных целей Программы - сокращения различий в уровне социально-экономического развития регионов Российской Федерации, уменьшения разрыва по основным показателям социально-экономического развития между наиболее развитыми и отстающими регионами - позволит решить такие важные задачи региональной экономической политики, как сохранение единого экономического пространства страны и развитие процессов межрегиональной экономической интеграции, формирование общероссийского и регионального рынков, обеспечение экономической самостоятельности регионов.

Программа предполагает проведение отбора регионов для оказания им государственной поддержки. Субъектами Российской Федерации, претендующими на государственную поддержку в рамках реализации Программы, будут признаны те, в которых темпы, масштаб и длительность спада производства, снижения уровня жизни, нарастания негативных тенденций в сфере занятости населения, демографического и экологического развития, предоставления социальных услуг ниже общероссийских показателей.

Для каждого такого региона разрабатываются определенные комплексы мероприятий, требующие государственной поддержки, направленные на преодоление его отставания в социально-экономическом развитии.

Программа рассчитана на долгосрочную перспективу. На каждом этапе ее реализации проводится оценка эффективности и на этой основе осуществляется уточнение как методологии отбора регионов, так и содержания программных мероприятий.

2. РЕСУРСНОЕ ОБЕСПЕЧЕНИЕ ПРОГРАММЫ

Общий объем финансирования, необходимый для реализации мероприятий Программы в 2002-2010 годах, составляет 66323,3 млн. рублей, в том числе объем федерального финансирования - 12413,3 млн. рублей.

Структура источников финансирования Программы в процентном содержании следующая:

средства федерального бюджета средства бюджетов - 18,7 процента;
субъектов Российской Федерации - 22,9 процента;
внебюджетные источники - 58,4 процента.

Предполагаемые объемы финансирования Программы определены в приложениях N 3, 4, 5.

3. ОСНОВНЫЕ ЦЕЛИ И ЗАДАЧИ, ЭТАПЫ РЕАЛИЗАЦИИ ПРОГРАММЫ

Основными целями Программы являются сокращение различий в уровне социально-экономического развития регионов Российской Федерации, уменьшение разрыва по основным показателям социально-экономического развития между наиболее развитыми и отстающими регионами к 2010 году в 1,5 раза, а к 2015 году - в 2 раза.

Для достижения этих целей предусматривается решение следующих задач:

формирование условий для ускоренного развития регионов, социально-экономические показатели которых ниже среднероссийских;

создание благоприятной среды для развития предпринимательской деятельности и улучшения инвестиционного климата;

повышение эффективности государственной поддержки субъектов Российской Федерации.

Указанные задачи будут реализованы в долгосрочной перспективе в 2002-2015 годах. Финансирование мероприятий, направленных на решение этих задач, предполагается осуществлять за счет средств Фонда регионального развития, бюджетов субъектов Российской Федерации, кредитных ресурсов, других источников, включая иностранные инвестиции.

На первом этапе реализации Программы (2002-2010 годы) предполагается сократить в 2 раза различия в доходах на душу населения, уменьшить на 25 процентов число отстающих субъектов Российской Федерации и на 15 процентов долю населения, живущего за чертой бедности.

На втором этапе (2011-2015 годы) намечается сократить межрегиональные различия в доходах на душу населения в 3 раза, число отстающих регионов - в 2 раза, а также уменьшить на 25 процентов долю населения, живущего за чертой бедности, в субъектах Российской Федерации, являющихся получателями средств по Программе.

4. МЕХАНИЗМЫ РЕАЛИЗАЦИИ ПРОГРАММЫ

Абзац - Утратил силу. (в ред. Постановления Правительства РФ от 22.06.2006 N 388)

Отбор регионов и конкретных объектов, которым необходимо оказать государственную поддержку, осуществляется путем проведения взаимосвязанных процедур, установленных настоящей Программой. В основу отбора регионов положены критерии наибольших относительных различий в социально-экономическом развитии при отсутствии на региональном и местном уровне ресурсов для самостоятельного их снижения. Отбор объектов Программы осуществляется по критериям снижения различий в социально-экономическом развитии регионов в наименьшие сроки и с наибольшей эффективностью.

Под объектом Программы понимается конкретный проект, реализация которого способствует снижению различий в социально-экономическом развитии регионов в установленные сроки и за счет установленного объема ресурсов, источниками которых являются федеральный бюджет, бюджеты субъектов Российской Федерации, местные бюджеты, а также внебюджетные средства.

Ежегодный конкурсный отбор проектов для участия в Программе проводится по направлениям, предусмотренным бюджетным классификатором.

Социально-экономическое положение регионов по каждому направлению характеризуется следующими группами показателей:

1) индикаторы обеспеченности населения субъектов Российской Федерации услугами соответствующей отрасли социальной или инженерной инфраструктуры;

2) степень внутрирегиональных различий в обеспеченности населения объектами социальной и инженерной инфраструктуры;

3) доля бюджетных расходов по отрасли в консолидированном бюджете региона.

В конкурсном отборе могут участвовать конкретные проекты, представляемые региональными администрациями по итогам конкурсного отбора на региональном уровне. Проекты оформляются в соответствии с требованиями к бюджетным заявкам на финансирование за счет средств федерального бюджета.

Финансирование Программы за счет средств федерального бюджета осуществляется через Фонд регионального развития. Он представляет собой методологически объединенную совокупность соответствующих частей федеральных и региональных программ, а также программ и проектов отраслевого финансирования.

В рамках деятельности Фонда регионального развития осуществляется консолидация расходов федерального бюджета, направленных на создание на всей территории Российской Федерации социальной инфраструктуры, минимально необходимой для реализации установленных Конституцией Российской Федерации и федеральным законодательством Российской Федерации гарантий, и снижение различий в социально-экономическом развитии регионов по показателям оснащенности жизнеобеспечивающими объектами социальной и инженерной инфраструктуры. Фонд регионального развития осуществляет поддержку различных инвестиционных проектов социального развития на условиях совместного с субъектами Российской Федерации финансирования.

В 2000-2001 годах для формирования перечней объектов, финансируемых через Фонд регионального развития, сопоставлялись фактические и нормативные показатели обеспеченности регионов объектами социальной инфраструктуры. При этом учитывались различия в стоимости строительства, налоговом потенциале и бюджетных возможностях субъектов Российской Федерации. В 2000 году из 3240 объектов отобрано для финансирования более 450 на территории 46 российских регионов. В 2001 году сформирован перечень из 511 объектов.

а б в г д
35% 19% 8% 1% 37%
а - Объекты жизнеобеспечения г - Объекты социальной поддержки населения
б - Объекты здравоохранения  
  д - Другие объекты науки, культуры, производства
в - Объекты образования

Рис. 1. Отраслевая структура распределения средств Фонда регионального развития в 2000 году (в процентах)

а б в г д е
54% 13% 9% 9% 0,40% 15%
а - Объекты жизнеобеспечения д - Объекты социальной поддержки населения
б - Объекты здравоохранения  
  е - Объекты Федеральной целевой программы
"Дальний Восток и Забайкалье"
в - Объекты образования
г - Другие объекты науки, культуры, производства  

Рис. 2. Отраслевая структура распределения средств Фонда регионального развития в 2001 году (в процентах)

Методика распределения средств Фонда регионального развития, выделяемых на реализацию Программы, предусматривает финансирование объектов жизнеобеспечения и жизнедеятельности населения (объектов энерго-, водо-, тепло-, газоснабжения). На финансирование этих объектов в 2000 году были направлены средства в размере 35 процентов, в 2001 году - 54 процентов всех средств Фонда регионального развития.

Для распределения средств Программы в 2002 году необходимо учитывать сформировавшиеся в последние два года направления инвестиционной политики Фонда регионального развития.

Структура распределения средств Фонда регионального развития по направлениям

(процентов)

Направления расходов 2000 год 2001 год
1. Поддержка социальных проектов (строительство жилья для беженцев и переселенцев, образование, здравоохранение, поддержка домов инвалидов) 51,2 45,1
2. Поддержка (строительство) объектов линейной инженерной инфраструктуры (энерго-, водо-, тепло-, газоснабжения, трубопроводного, железнодорожного транспорта, аэропортов) 35,0 34,8
3. Поддержка проектов по экологической защите (в первую очередь радиационной) и по сохранению культурного наследия 4,4 13,4
4. Поддержка объектов науки, культуры, производства 9,4 6,7

По первому и второму направлению распределение финансовых средств в последние два года носит относительно устойчивый характер. Имеет смысл учесть это на этапе радикального преобразования инструментов выравнивания социального развития - перехода от финансирования путем реализации множества разрозненных и относительно автономных федеральных целевых программ к финансированию путем реализации консолидированных в рамках одной Программы конкретных проектов.

Предлагается выделить в структуре финансирования Программы два приоритетных направления, для каждого из которых будут применены свои специфические механизмы распределения финансовых средств:

1) поддержка социальных проектов (образование, здравоохранение, поддержка домов инвалидов, строительства жилья для беженцев и переселенцев);

2) поддержка строительства объектов линейной инженерной инфраструктуры (энерго, водо-, тепло-, газоснабжения и других).

Для обеспечения максимальной преемственности в первые годы реализации Программы следует сохранить доли финансирования по первому и второму направлениям: по первому - 40-50 процентов общего финансирования, по второму - 40-45 процентов.

Критерии комплексной оценки уровня социально-экономического развития субъектов Российской Федерации

Основной целью комплексной оценки уровня социально-экономического развития субъектов Российской Федерации является определение возможности решения текущих и долгосрочных задач социального и хозяйственного развития на основе использования внутренних резервов и источников экономического роста и эффективности мер по реализации социально-экономической политики, предпринимаемых Правительством Российской Федерации и органами государственной власти субъектов Российской Федерации.

Абзац - Утратил силу. (в ред. Постановления Правительства РФ от 22.06.2006 N 388)

Источниками информации, необходимой для проведения указанной оценки, являются:

годовая статистическая отчетность Государственного комитета Российской Федерации по статистике;

материалы, полученные от субъектов Российской Федерации в ходе осуществления мониторинга и разработки прогнозов социально-экономического развития регионов.

На основании этих критериев разработана методика комплексной оценки уровня социально-экономического развития субъектов Российской Федерации (приложение N 6), предусматривающая пять групп регионов с уровнем развития выше среднего, средним, ниже среднего, низким и крайне низким уровнем развития. Регионы двух последних групп претендуют на государственную поддержку. К ним относятся субъекты Российской Федерации, нуждающиеся в развитии объектов социальной инфраструктуры. (в ред. Постановления Правительства РФ от 03.12.2004 N 737)

Критерии распределения средств для регионов, указанных в перечне субъектов Российской Федерации, нуждающихся в развитии объектов инженерной инфраструктуры, должны быть другими. Здесь цель государственной поддержки - выравнивание показателей оснащенности объектами инженерной инфраструктуры и одновременно обеспечение преемственности ввода объектов инженерной инфраструктуры не только в отстающих, но и в относительно благополучных регионах Российской Федерации. В целях определения регионов, нуждающихся в получении помощи для развития объектов инженерной инфраструктуры, целесообразно из всех субъектов Российской Федерации, продемонстрировавших высокую инвестиционную активность в сооружении указанных объектов, отобрать те, в которых наиболее велико отклонение от среднероссийского уровня обеспеченности объектами инженерной инфраструктуры. (в ред. Постановления Правительства РФ от 03.12.2004 N 737)

Третье направление инвестиционной политики Программы предусматривает поддержку проектов в приграничных субъектах Российской Федерации. Социальная и экономическая ситуация во многих из них значительно обострилась в последние годы. Возникли проблемы беженцев, вынужденных переселенцев, необходимо в экстренном порядке создавать новые таможенные посты и пункты временного размещения мигрантов. Нагрузка на социальную и инженерную инфраструктуру этих регионов значительно возрастает. Поэтому эта проблема рассматривается как третье приоритетное направление инвестирования средств по Программе. (в ред. Постановления Правительства РФ от 03.12.2004 N 737)

Абзац - Исключен. (в ред. Постановления Правительства РФ от 03.12.2004 N 737)

Критерии комплексной оценки и доля финансирования по группе регионов ежегодно уточняются Министерством экономического развития и торговли Российской Федерации и Министерством финансов Российской Федерации. (в ред. Постановления Правительства РФ от 03.12.2004 N 737)

Отбор объектов Программы осуществляется на основе региональных и местных инициатив, по единообразным критериям, в пределах ресурсообеспеченных квот и при условии обоснования возможности уменьшения различий в социально-экономическом развитии регионов за счет реализации конкретных проектов развития социальной и инженерной инфраструктур. Условиями рассмотрения проектов являются законность и результативность ранее предоставленной за счет средств федерального бюджета поддержки субъекта Российской Федерации и гласность всех процедур отбора объектов.

Обязательным условием для отбора объектов Программы является наличие проектов, обосновывающих возможность уменьшения различий в социально-экономическом развитии регионов и содержащих:

перечень необходимых мер на местном (муниципальном), региональном и федеральном уровнях;

расчеты требуемых для этого финансовых ресурсов (в том числе за счет местного, федерального бюджетов и бюджетов субъектов Российской Федерации);

обоснование невозможности решения проблемы без использования средств федерального бюджета и бюджета субъекта Российской Федерации.

Объекты Программы отбираются на федеральном уровне по результатам конкурса проектов, представленных органами государственной власти субъектов Российской Федерации.

Государственные органы субъектов Российской Федерации и органы местного самоуправления оценивают степень различия в социально-экономическом развитии регионов по критериям, устанавливаемым Программой, определяют на этой основе перечни проектов, предназначенных для реализации на территории субъекта Российской Федерации, определяют возможность реализации этих проектов с помощью мер государственной поддержки, разрабатывают указанные проекты, представляют их в Министерство экономического развития и торговли Российской Федерации.

Министерство экономического развития и торговли Российской Федерации ежегодно проводит конкурс проектов. Целью конкурса проектов является отбор наиболее нуждающихся в федеральной поддержке объектов, по которым имеются эффективные проекты, обеспечивающие уменьшение различий в социально-экономическом развитии регионов.

Органы государственной власти субъектов Российской Федерации одновременно с заявками на реализацию новых проектов представляют в Министерство экономического развития и торговли Российской Федерации и Министерство финансов Российской Федерации обоснования продления ранее начатых проектов, а также результативности и эффективности использования средств федерального бюджета за предыдущий период. При отсутствии таких обоснований проекты исключаются из перечня финансируемых объектов.

Нормативно-правовое обеспечение

Условием предоставления средств федерального бюджета, предусмотренных Программой, является наличие у субъекта Российской Федерации необходимой нормативной правовой базы, обеспечивающей стимулирование деловой активности и улучшение инвестиционного климата. Государственный заказчик Программы ежегодно получает информацию о принятых в субъектах Российской Федерации нормативных правовых актах. Рекомендуется разрабатывать нормативную правовую базу в соответствии с типовым макетом программ социально-экономического развития регионов Российской Федерации.

Нормативная правовая база реализации Программы обеспечивает проведение государством и субъектами Российской Федерации политики снижения диспропорций в социально-экономическом развитии регионов Российской Федерации, реализуемой в форме государственной поддержки неблагополучных субъектов Российской Федерации. Формулируются такие принципы сокращения различий в социально-экономическом развитии регионов Российской Федерации, как ориентированность на формирование диверсифицированной структуры хозяйства, избирательность и концентрация сил и средств, гласность, прозрачность, конкурсный характер распределения федеральных средств и другие. Определяются основные структуры, ответственные за осуществление политики сокращения различий в социально-экономическом развитии регионов Российской Федерации, источники финансовых ресурсов, а также принципы механизма разработки и реализации проектов Программы (инициирующая роль региональной и муниципальной власти, консолидация ресурсов бюджетов всех уровней, закрепление персональной ответственности за проводку денежных средств и их целевое использование, методы оценки результативности и эффективности программ и порядок организации межпрограммной координации).

В первый год реализации Программы целесообразно провести анализ всей действующей нормативной правовой базы, касающейся социально-экономического развития субъекта Российской Федерации, а также анализ эффективности реализуемых мер, исходя из оценки динамики социально-экономического развития.

По результатам анализа действующих на территории региона нормативных правовых актов должны быть разработаны для субъекта Российской Федерации рекомендации по изменению нормативной правовой базы с целью сокращения различий в социально-экономическом развитии регионов и создания благоприятного режима привлечения инвестиций.

Последующий мониторинг и оценка эффективности принятия субъектами Российской Федерации нормативных правовых актов будут являться важным условием при определении объема финансирования субъектов Российской Федерации на очередной финансовый год.

Научно-исследовательские и опытно-конструкторские работы

Для достижения основной цели Программы - сокращения различий в уровне социально-экономического развития субъектов Российской Федерации - необходимо выполнить научно-исследовательские работы по реализации мероприятий, предусмотренных Программой. К ним в первый год реализации Программы будут относиться:

1) разработка методики отбора регионов и объектов Программы, сопоставимой с действующей уже несколько лет методикой распределения средств федерального фонда финансовой поддержки регионов. Необходимо обеспечить прозрачность и объективность распределения средств федерального бюджета, предусмотренных в Программе, между субъектами Российской Федерации и по приоритетным объектам. В результате работы должны быть уточнены критерии и разработана синтетическая формула (формулы) распределения средств федерального бюджета по регионам и объектам Программы;

2) создание базы данных регионов и объектов, финансируемых за счет федерального бюджета в 2002 году и последующие годы. Для оптимального управления реализацией Программы необходимо отслеживать динамику развития указанных в ней субъектов Российской Федерации и объектов. Предполагаемым результатом научных работ в данном направлении станет создание геоинформационной системы "Субъекты Российской Федерации и проекты, поддержка которых предусматривается Программой", обеспечивающей территориальную привязку содержащихся в базе данных сведений о регионах и проектах, указанных в Программе;

3) разработка реестра и учет программ экономического и социального развития субъектов Российской Федерации. Необходимо обеспечить оперативный контроль за всеми мероприятиями, реализуемыми в рамках программ социально-экономического развития субъектов Российской Федерации. Будет проведена инвентаризация региональных проектов действующих федеральных целевых программ и создан их электронный реестр;

4) формирование нормативно-правовых условий для ускоренного экономического развития неблагополучных регионов Российской Федерации. Необходимо обеспечить создание нормативной правовой базы для реализации Программы. Планируется проведение экспертизы нормативной правовой базы в неблагополучных субъектах Российской Федерации с целью определения ее соответствия государственной политике выравнивания социально-экономического развития российских регионов;

5) комплексный анализ Программы. Необходимо оценить эффективность и результативность предусмотренных в Программе мероприятий по реализации региональной политики. На основании информации субъектов Российской Федерации, в которых реализуются проекты Программы, должна быть оценена эффективность каждого из них. Предполагаемым результатом работы станет комплексная оценка эффективности мероприятий Программы;

6) разработка предложений по совершенствованию подготовки и реализации субъектами Российской Федерации региональных программ, направленных на решение вопросов социально-экономического развития. Необходимо устранить разрозненность, слабую взаимоувязанность программ социально-экономического развития субъектов Российской Федерации, для чего будут утверждены типовой макет программы социально-экономического развития субъекта Российской Федерации и соответствующие документы;

7) макроэкономический анализ неравномерности экономического и социального развития регионов. Необходимо усовершенствовать систему экономического анализа развития субъектов Российской Федерации.

Объемы финансирования научно-исследовательских и опытно-конструкторских работ по Программе

(млн. рублей)

Объем финансирования - всего В том числе 2002 год
Всего 371,3 36,3
в том числе:    
федеральный бюджет 213,3 21,3
бюджеты субъектов Российской Федерации 158 15

Объем финансирования расходов и направления научно-исследовательских работ в последующие годы реализации Программы могут быть уточнены.

Система комплексного анализа социально-экономического состояния регионов

Цели Программы могут быть достигнуты только при создании надежной информационной базы. В настоящее время руководство многих субъектов Российской Федерации, как правило, не имеет собственных ресурсов, чтобы проводить комплексный анализ социально-экономического развития состояния регионов, необходимый для получения за счет федерального бюджета средств для реализации Программы.

Стоит задача формирования федеральной системы комплексного анализа социально-экономической, национально-этнической и политической ситуации в регионах с уровнем развития ниже среднероссийского, то есть постоянно действующей системы учета, сбора, анализа и распространения информации, проведения дополнительных информационно-аналитических обследований и оценки состояния, тенденций развития общерегиональных ситуаций и конкретных региональных проблем для разработки и реализации стратегических направлений и конкретных мер по осуществлению государственной региональной политики.

Результаты комплексного анализа должны быть использованы для повышения эффективности реализации Программы. Выявленные в процессе мониторинга нарушения станут основанием для принятия организационных решений, например, для временного приостановления финансирования конкретных проектов.

5. УПРАВЛЕНИЕ РЕАЛИЗАЦИЕЙ ПРОГРАММЫ И КОНТРОЛЬ ЗА ХОДОМ ЕЕ ВЫПОЛНЕНИЯ

Управление реализацией Программы и контроль за ходом ее выполнения осуществляется в установленном порядке согласно законодательству Российской Федерации.

Управление реализацией Программы предусматривает в том числе:

разработку обосновывающих материалов по ежегодному бюджетному финансированию первоочередных мероприятий Программы, предложений, связанных с корректировкой целевых показателей, сроков, исполнителей и объема ресурсов, предусмотренных Программой;

разработку проектов нормативных правовых актов для обеспечения реализации мероприятий Программы (проекты ведомственных нормативных актов и другие), а также контроль за их применением;

контроль за целевым и эффективным использованием средств, выделенных на реализацию Программы, комплексный анализ финансового состояния организаций - исполнителей мероприятий Программы;

подготовку отчетов о ходе реализации Программы.

Реализация Программы осуществляется на основе государственных контрактов, заключаемых государственным заказчиком Программы со всеми исполнителями программных мероприятий.

Министерство экономического развития и торговли Российской Федерации с учетом выделяемых на реализацию Программы финансовых средств ежегодно уточняет целевые показатели и затраты по программным мероприятиям, состав исполнителей, степень выполнения мероприятий Программы.

6. ОЦЕНКА ЭФФЕКТИВНОСТИ РЕАЛИЗАЦИИ ПРОГРАММЫ

Реализация Программы позволит преодолеть кризисное состояние субъектов Российской Федерации, уровень развития которых ниже среднероссийского, и обеспечить:

создание условий для ускорения их социально-экономического развития;

уменьшение доли населения, живущего за чертой бедности, в отстающих регионах Российской Федерации;

сокращение различий в доходах на душу населения, размере валового регионального продукта на душу населения, количестве объектов социальной и инженерной инфраструктуры между регионами, уровень социально-экономического развития которых ниже среднероссийского, и другими регионами Российской Федерации.

Приложение N 1
к федеральной целевой программе
"Сокращение различий в
социально-экономическом развитии
регионов Российской Федерации
(2002-2010 годы и до 2015 года)"

РАЗЛИЧИЯ В СОЦИАЛЬНО-ЭКОНОМИЧЕСКОМ РАЗВИТИИ РЕГИОНОВ РОССИЙСКОЙ ФЕДЕРАЦИИ В 2000 ГОДУ

Показатель Субъект Российской Федерации, имеющий самый низкий показатель Субъект Российской Федерации, имеющий самый высокий показатель Различия
Объем производства промышленной продукции на душу населения Республика Алтай Тюменская область 64 раза
Оборот розничной торговли на душу населения Республика Калмыкия г. Москва 34 раза
Собственные бюджетные доходы на душу населения Республика Дагестан Тюменская область более 50 раз
Объем инвестиций в основной капитал на душу населения Республика Дагестан Тюменская область более 30 раз
Соотношение денежных доходов на душу населения и величины прожиточного минимума Республика Ингушетия г. Москва более 8 раз
Объем внешнеторгового оборота на душу населения Карачаево-Черкесская Республика Тюменская область 160 раз
Уровень зарегистрированной безработицы Республика Ингушетия Оренбургская область 29 раз

Приложение N 2
к федеральной целевой программе
"Сокращение различий в социально-экономическом
развитии регионов Российской Федерации
(2002-2010 годы и до 2015 года)"

БЮДЖЕТНЫЕ ПОКАЗАТЕЛИ СУБЪЕКТОВ РОССИЙСКОЙ ФЕДЕРАЦИИ

1996 год 1997 год 1998 год 1999 год 2000 год
Превышение доходов над расходами (профицит/дефицит) Превышение доходов над расходами (профицит/дефицит) Превышение доходов над расходами (профицит/дефицит) Превышение доходов над расходами (профицит/дефицит) Превышение доходов над расходами (профицит/дефицит)
тыс. рублей к доходам в процентах тыс. рублей к доходам в процентах тыс. рублей к доходам в процентах тыс. рублей к доходам в процентах тыс. рублей к доходам в процентах
Российская Федерация -19874740 -6,2 -31989918 -7,7 -9385365 -2,4 -1027965 -0,2 33936414 3,2
Северный район -1290079 -9,4 -2630842 -15,2 -954707 -5,5 -1585159 -5,2 1191742 2,8
Республика Карелия -152029 -8,7 -340804 -17,4 -80670 -3,9 75393 1,9 189656 3,5
Республика Коми -176152 -4,1 -1086512 -23,1 -768585 -16,8 -47693 -0,7 213133 2
Архангельская область -407825 -17,8 -513185 -17,8 -48094 -1,7 171361 3,6 102946 1,5
Ненецкий автономный округ 646 0,2 -20289 -5,3 -2405 -0,6 14229 1,7 256025 11,8
Вологодская область -200711 -7,8 -385176 -12,6 -92728 -2,9 -1934870 -26,9 292870 3,1
Мурманская область -354008 -14,3 -284876 -6,6 37775 0,9 136421 2,1 137112 1,6
Северо-Западный район -2558048 -17,3 -1207714 -6,3 123660 0,5 217905 0,6 2049978 3,8
г. Санкт-Петербург -2229021 -23 -587638 -4,5 409377 2,6 -194451 -0,7 1574260 4,2
Ленинградская область -203540 -7,8 -480145 -15,8 -286578 -7,6 370150 6 532305 5,8
Новгородская область -26709 -2,1 -66396 -4 23393 1,4 -2363 -0,1 72071 2,2
Псковская область -98778 -8,3 -73535 -5,9 -22532 -1,8 44569 2,3 -128658 -4
Центральный район -911950 -1,2 -1458780 -1,5 -718197 -0,8 1292201 0,9 28193469 10
Брянская область -81377 -5,1 -268759 -15,8 26070 1,6 61545 2,4 26714 0,6
Владимирская область -101163 -4,3 -78187 -2,8 -72332 -2,7 29312 0,8 129717 2,6
Ивановская область -126725 -7,9 -49722 -2,4 -13558 -0,8 -25877 -1,1 49934 1,4
Калужская область -9528 -0,6 -119283 -5,9 69308 3,3 -40270 -1,7 95475 1,8
Костромская область -165617 -8,2 -211554 -8,9 -71449 -3,5 -198632 -9,3 -15268 -0,6
г. Москва 299976 0,7 1891218 3,4 -253042 -0,5 639080 0,7 24816145 12,7
Московская область -347125 -2,6 -1040278 -6,6 -150832 -1 653279 2,6 2428715 6,9
Орловская область 1634 0,1 -124886 -6,8 -89042 -5,3 43400 1,4 51556 1,2
Рязанская область -74429 -4,2 -133837 -6,2 64092 2,9 -33549 -1,2 -102369 -2,7
Смоленская область -9986 -0,7 -113098 -6,7 -28239 -1,6 -5704 -0,2 17448 0,5
Тверская область -51483 -2,1 -326615 -12,4 2092 0,1 -50759 -1,5 246891 4,4
Тульская область -73092 -2,9 -561806 -22,2 -111456 -4,1 289653 7,3 237561 4
Ярославская область -173035 -6 -321973 -9,3 -89809 -2,4 -69277 -1,2 210950 3
Волго-Вятский район -448392 -3,5 -1453612 -8,8 -200929 -1,3 -1461717 -6,8 -223213 -0,8
Республика Марий Эл -42690 -4,2 -165767 -14,1 45439 4,2 -58293 -3,5 19609 1
Республика Мордовия -96500 -6,0 -188556 -9,3 -150357 -10 -9853 -0,4 56206 1,3
Чувашская Республика -169011 -8,8 -320396 -12,5 16705 0,8 13093 0,4 33648 0,8
Кировская область -89771 -4,1 -153871 -5,6 138694 4,9 85587 2,1 46264 0,9
Нижегородская область -50420 -0,8 -625022 -7,9 -251410 -3 -1492251 -15,1 -378940 -3,2
Центр.-Черноземный район -593874 -5,2 -706851 -5,3 -444390 -3,3 -579506 -3 1284668 4,6
Белгородская область -166113 -8,8 -88145 -3,7 -155185 -5,8 -697370 -18,3 205896 3,8
Воронежская область -179101 -6 13346 0,4 -120866 -3,3 10517 0,2 31704 0,5
Курская область -182121 -8,7 -189207 -7,8 -184905 -7 -32257 -0,8 104734 2,4
Липецкая область -45264 -1,7 -306065 -10,1 -94311 -3,3 211682 4,9 853701 10
Тамбовская область -21275 -1,3 -136780 -7 110877 6,5 -72078 -3,2 88633 2,6
Поволжский район -2088799 -6,6 -2339548 -5,2 -699400 -1,8 920663 1,5 1628437 1,5
Республика Калмыкия -124651 -22,7 -139827 -17,1 23053 2,9 -89733 -13,4 -19552 -1,6
Республика Татарстан -828454 -8,3 -350110 -1,8 -954243 -6,2 568003 2,2 1515971 2,6
Астраханская область -269727 -17,5 -287198 -14,8 120001 6,7 15576 0,6 131286 3,2
Волгоградская область -162534 -3,7 -232408 -5,4 -35451 -1 -27962 -0,4 -398274 -4,2
Пензенская область -38049 -2,2 -156196 -7,7 41333 2,4 8726 0,3 16271 0,5
Самарская область -141744 -1,9 -85512 -0,9 -53710 -0,6 600123 4,7 510247 2,8
Саратовская область -227538 -5,8 -625632 -12,6 141836 2,9 -135773 -2,1 64474 0,8
Ульяновская область -296102 -16 -462665 -19,1 17781 0,8 -18297 -0,5 -191986 -5,2
Северо-Кавказский район -1659820 -8,1 -2059608 -8,4 81643 0,3 248493 0,7 1012543 1,8
Республика Адыгея -23749 -4,4 -62656 -7,4 -13474 -1,5 -13152 -1,2 -84484 -6,0
Республика Дагестан -475417 -27,5 -487263 -18,7 126258 4,6 92584 2,3 321163 3,7
Ингушская Республика -385202 -184,1 -98718 -31,6 26413 4,4 1411 0,2 25725 1,2
Кабардино-Балкарская Республика -230464 -20,1 -189895 -12 -1191 -0,1 63574 2,3 -224701 -6,6
Карачаево-Черкесская Республика -52877 -11,6 -59658 -9,2 1422 0,2 -4234 -0,4 7323 0,6
Республика Северная Осетия -50906 -4,6 -160631 -13,7 -22213 -2,1 11829 0,6 16288 0,6
Чеченская республика 15928 3,2             169654 17,5
Краснодарский край -95837 -1,5 -124816 -1,6 52117 0,7 392955 3,2 255103 1,5
Ставропольский край -121147 -3,7 -193823 -5,2 -12947 -0,3 -62176 -1,2 442814 5,8
Ростовская область -240149 -4,7 -682148 -12,1 -74742 -1,2 -234298 -2,8 83658 0,7
Уральский район -1516171 -3,5 -3330047 -6,7 -1380261 -2,8 375169 0,5 222677 0,2
Республика Башкортостан -471627 -4,4 -67538 -0,5 -330831 -2,5 567282 2,3 1382000 3,2
Удмуртская Республика -123542 -3,7 -638409 -14,9 -325705 -8,7 -47698 -0,8 403178 4,3
Курганская область -119298 -8,2 -290351 -17,4 28467 1,8 79327 3,7 -13331 -0,4
Оренбургская область -163715 -4,4 -753606 -16,9 -269620 -6,3 -16233 -0,2 -2684760 -23,3
Пермская область -17542 -0,3 -343068 -4,7 116596 1,6 56529 0,5 246281 1,2
Коми-Пермяцкий автономный округ -38108 -20,4 -87291 -39,6 2973 1,1 26218 7,6 -10383 -1,5
Свердловская область -433558 -4,2 -699339 -6,2 -320012 -2,8 190354 1,3 770741 3,4
Челябинская область -148781 -2 -450445 -5,5 -282129 -3,8 -480610 -4,3 128951 0,8
Западно-Сибирский район -2575016 -5 -7049964 -9,7 -1658939 -2,5 835911 0,8 6262748 3,4
Республика Алтай -83343 -29,6 -97712 -26 -81258 -26 -83653 -20 -36259 -3,9
Алтайский край -577409 -14,3 -756737 -16,3 63015 1,3 123473 1,8 -208160 -2,4
Кемеровская область -271607 -3,2 -1883350 -20,9 -752902 -9,2 -548151 -4,8 490020 3,2
Новосибирская область -492659 -10,7 -1201899 -21,8 34977 0,7 199613 2,8 -838050 -8,7
Омская область -492477 -11,7 -875193 -15,9 -131799 -2,5 -766859 -14,1 191584 2,7
Томская область -139087 -5,5 -114503 -2,9 -122725 -4,1 -690414 -16,9 -114904 -1,7
Тюменская область -29712 -0,7 -382438 -6,9 -359 0 -173112 -2,3 508452 3,7
Ханты-Мансийский автономный округ -243061 -1,6 -588221 -2,4 -72892 -0,3 3459955 7,9 5994482 6,5
Ямало-Ненецкий автономный округ -245661 -3,3 -1149911 -8,2 -594996 -4,5 -684941 -4 275583 0,9
Восточно-Сибирский район -1509949 -8,1 -3818331 -16,6 -738577 -3,3 3046355 7,4 1397217 2,4
Республика Бурятия -379391 -22,2 -631425 -30,2 101117 5 301978 9,1 -433402 -10,1
Республика Тыва -170867 -35,5 -465631 -79,4 38455 5,4 105338 10,4 61374 3,8
Республика Хакасия -99480 -9,3 -136763 -10,8 -68156 -5,4 138004 6,7 -27290 -1,2
Красноярский край -361447 -5,3 -1161039 -12,2 -567117 -6,2 1191170 7,1 1271449 4,8
Таймырский автономный округ -66136 -28,7 -11187 -2,6 10209 1,6 106430 8,2 404967 13,8
Эвенкийский автономный округ -17557 -7,5 -24211 -8,9 -20717 -8,9 -48806 -10,9 -158387 -23,4
Иркутская область -240497 -4 -794332 -12,3 -340882 -5,7 849676 6,8 193179 1,3
Усть-Ордынский Бурятский автономный округ -16784 -6,7 -44732 -18,6 25580 8,6 -23950 -6,8 911 0,1
Читинская область -84903 -4,5 -430811 -20,3 79989 4 388369 12,5 57111 1,3
Агинский Бурятский автономный округ -72887 -84,3 -118200 -121,5 2945 2,7 38146 18,3 27305 7,4
Дальневосточный район -4569416 -19,2 -5893654 -20,4 -2910715 -11,5 -4328214 -9,6 -8979033 -15,3
Республика Саха (Якутия) -2908742 -54,7 -3057554 -47,8 -2909013 -59,0 -4698829 -38 -8184734 -52,9
Еврейская автономная область -40283 -12,2 -120871 -28,1 40293 8,7 39538 6,4 20628 2
Чукотский автономный округ -134067 -11,9 -180343 -16,1 -23609 -2,7 70213 4,4 12938 0,6
Приморский край -273136 -6 -301418 -4,5 -146336 -2,7 -239355 -2,6 -405035 -3,9
Хабаровский край -278093 -6,6 -595333 -12,6 46209 0,9 366374 4,5 -376466 -3,6
Амурская область -73671 -3,1 -257511 -9,7 192546 7,6 50438 1,7 -65457 -1,5
Камчатская область -267035 -19,1 -617770 -35,5 -249888 -15,2 29926 1,1 152418 3,5
Корякский автономный округ -287591 -109 -352176 -119,7 -25091 -9,2 -36949 -4,7 -266309 -31,3
Магаданская область -74737 -3,7 -243947 -11,4 79284 4,8 -123954 -4,7 -63896 -1,8
Сахалинская область -232061 -11 -166731 -6,5 84890 3,5 214384 5,2 196880 3,2
Калининградская область -87017 -6,4 -214012 -11,9 -76162 -4,6 43859 1,5 -47393 -1,1

Приложение N 3
к федеральной целевой программе
"Сокращение различий в
социально-экономическом развитии
регионов Российской Федерации
(2002-2010 годы и до 2015 года)"

ОБЪЕМЫ И ИСТОЧНИКИ ФИНАНСИРОВАНИЯ ПРОГРАММЫ

(млн. рублей)

Направление расходов и источники финансирования Финансовые затраты на реализацию Программы 2002 год 2003 год 2004 год
Инвестиции - всего 59656 5484 6075 6274
в том числе:
федеральный бюджет 11956 784 1225 1274
бюджеты субъектов Российской Федерации 12600 1200 1250 1300
внебюджетные источники 35100 3500 3600 3700
научно-исследовательские и опытно-конструкторские работы - всего 371,3 36,3 38 40
в том числе:
федеральный бюджет 213,3 21,3 22 23
бюджеты субъектов Российской Федерации 158 15 16 17
внебюджетные источники        
Прочие нужды - всего 6296 598 659 668
в том числе:
федеральный бюджет 244 16 25 26
бюджеты субъектов Российской Федерации 2410 236 254 257
внебюджетные источники 3642 346 380 385
Итого 66323,3 6118,3 6772 6982
в том числе:
федеральный бюджет 12413,3 821,3 1272 1323
бюджеты субъектов Российской Федерации 15168 1451 1520 1574
внебюджетные источники 38742 3846 3980 4085

Приложение N 4
к федеральной целевой программе
"Сокращение различий в
социально-экономическом развитии
регионов Российской Федерации
(2002-2010 годы и до 2015 года)"

БЮДЖЕТНАЯ ЗАЯВКА НА АССИГНОВАНИЯ ИЗ ФЕДЕРАЛЬНОГО БЮДЖЕТА ДЛЯ ФИНАНСИРОВАНИЯ ПРОГРАММЫ В 2002 ГОДУ

млн. рублей
I. Объем ассигнований из федерального бюджета - 821,3
всего
в том числе:
государственные капитальные вложения 784
научно-исследовательские и опытно-конструкторские работы 21,3
прочие нужды 16
II. Ассигнования на реализацию программы - всего 6118,3
в том числе:
государственные капитальные вложения 5484
научно-исследовательские и опытно-конструкторские работы 36,3
прочие нужды 598

Приложение N 5
к федеральной целевой программе
"Сокращение различий в
социально-экономическом развитии
регионов Российской Федерации
(2002-2010 годы и до 2015 года)"

ОБЪЕМЫ ФИНАНСИРОВАНИЯ ПРОГРАММЫ В 2002-2010 ГОДАХ

(млн. рублей)

Источники и направления финансирования Общий объем финансирования Программы В том числе
2002 год 2003 год 2004 год 2005 год 2006 год 2007 год 2008 год 2009 год 2010 год
Финансовые средства - всего 66323,3 6118,3 6772 6982 7188 7400 7621 7848 8080 8314
в том числе:
федеральный бюджет 12413,3 821,3 1272 1323 1374 1424 1474 1525 1575 1625
бюджеты субъектов Федерации 15168 1451 1520 4085 1626 1680 1738 1798 185 1922
внебюджетные источники 38742 3846 3980 4085 4188 4296 4409 4525 4646 4767
в том числе:
средства предприятий 21500 2000 2100 2200 2300 2450 2500 2600 2650 2700
кредиты коммерческих банков 16642 1846 1880 1885 1888 1696 1709 1675 1996 2067
иностранные займы под гарантии Правительства Российской Федерации 600         150 200 250    
Государственные капитальные вложения - всего 59656 5484 6075 6274 6473 6672 6871 7070 7269 7468
в том числе:
федеральный бюджет 11956 784 1225 1274 1323 1372 1421 1470 1519 1568
бюджеты субъектов Федерации 12600 1200 1250 1300 1350 1400 1450 1500 1550 1600
внебюджетные источники 35100 3500 3600 3700 3800 3900 4000 4100 4200 4300
НИОКР - всего 371,3 36,3 38 40 41 41 42 44 44 45
в том числе:                    
федеральный бюджет 213,3 21,3 22 23 24 24 24 25 25 25
бюджеты субъектов Федерации внебюджетные источники 158 15 16 17 17 17 18 19 19 20
Прочие нужды - всего 6296 598 659 668 674 687 708 734 767 801
в том числе:
федеральный бюджет 244 16 25 26 27 28 29 30 31 32
бюджеты субъектов Федерации 2410 236 254 257 259 263 270 279 290 302
внебюджетные источники 3642 346 380 385 388 396 409 425 446 467

Приложение N 6
к федеральной целевой программе
"Сокращение различий в
социально-экономическом развитии
регионов Российской Федерации
(2002-2010 годы и до 2015 года)"

МЕТОДИКА
РАСПРЕДЕЛЕНИЯ ФИНАНСОВЫХ СРЕДСТВ НА РЕАЛИЗАЦИЮ ФЕДЕРАЛЬНОЙ ЦЕЛЕВОЙ ПРОГРАММЫ "СОКРАЩЕНИЕ РАЗЛИЧИЙ В СОЦИАЛЬНО-ЭКОНОМИЧЕСКОМ РАЗВИТИИ РЕГИОНОВ РОССИЙСКОЙ ФЕДЕРАЦИИ (2002-2010 ГОДЫ И ДО 2015 ГОДА)" В 2004 ГОДУ

(в ред. Постановления Правительства РФ от 03.12.2004 N 737)

1. Общие положения

Фонд регионального развития является инструментом финансирования проектов и мероприятий федеральных целевых программ регионального развития по объектам, находящимся в собственности субъекта Российской Федерации либо в муниципальной собственности.

Федеральные целевые программы развития субъектов Российской Федерации, одобренные Правительством Российской Федерации к реализации, имеют конкретный перечень инвестиционных проектов. Исключение составляет федеральная целевая программа "Сокращение различий в социально-экономическом развитии регионов Российской Федерации (2002-2010 годы и до 2015 года)" (далее - Программа), для реализации которой ежегодно должны определяться как субъекты Российской Федерации, претендующие на государственную поддержку, так и соответствующий перечень инвестиционных проектов. Настоящая методика решает эту задачу.

Программа направлена на сокращение различий социально-экономического развития субъектов Российской Федерации и доли населения, живущего за чертой бедности, и обеспечивает участие государства в реализации программ экономического и социального развития субъектов Российской Федерации, разработанных в соответствии с распоряжением Правительства Российской Федерации от 14 июня 2001 г. N 800-р.

Настоящая методика определяет перечень субъектов Российской Федерации, финансируемых за счет средств Фонда регионального развития, и объем необходимой государственной поддержки для софинансирования проектов и мероприятий Программы.

2. Основные принципы

Оказание государственной поддержки для софинансирования проектов и мероприятий Программы за счет средств Фонда регионального развития будет осуществляться в соответствии со следующими принципами:

привлечение средств федерального бюджета для реализации региональных программ;

обеспечение эффективности использования государственной поддержки;

софинансирование инвестиционных проектов за счет средств бюджетов субъектов Российской Федерации и внебюджетных источников.

3. Общие условия и правила

Определение субъектов Российской Федерации, претендующих на государственную поддержку, и распределение средств осуществляются на основании:

региональной программы экономического и социального развития;

оценки состояния социально-экономического развития субъектов Российской Федерации.

По результатам расчета, проводимого с целью определения отклонения уровня социально-экономического развития от среднероссийского уровня, формируется перечень субъектов Российской Федерации, претендующих на государственную поддержку.

4. Расчет интегрального показателя и определение субъектов Российской Федерации, нуждающихся в государственной поддержке

Определение субъектов Российской Федерации, нуждающихся в государственной поддержке, осуществляется на основе оценки уровня их социально-экономического развития и обеспеченности объектами социальной и инженерной инфраструктуры.

Осуществление оценки уровня социально-экономического развития субъекта Российской Федерации базируется на следующих основных принципах:

системность оценки, предполагающая учет взаимосвязи базовых показателей и использование упорядоченной структуры частных и интегральных характеристик регионального развития;

адаптация используемых индикаторов к возможностям существующей статистической отчетности;

соответствие системы индикаторов задачам ежегодного мониторинга и прогнозирования социально-экономического развития субъектов Российской Федерации;

достижение предоставления полной информации о результатах оценки уровня социально-экономического развития субъектов Российской Федерации для принятия адекватных решений на федеральном и региональном уровнях государственного управления.

Система показателей включает в себя индикаторы, характеризующие качество жизни населения, оценку уровня социально-экономического развития субъектов Российской Федерации и степень обеспеченности их объектами инфраструктуры.

5. Перечень базовых индикаторов оценки уровня социально-экономического развития субъектов Российской Федерации

В прилагаемых ниже формулах верхний индекс j означает номер субъекта Российской Федерации (RF - для среднероссийских показателей), а нижний индекс t - рассматриваемый год.

Для учета территориальной дифференциации уровня цен в настоящей методике использованы следующие индикаторы, отражающие географические особенности региона:

коэффициент уровня покупательной способности (КУ), определяемый как отношение среднедушевого прожиточного минимума (ПР_МИН) в субъекте Российской Федерации к среднероссийскому показателю:

районный коэффициент степени удорожания капитальных затрат по субъектам Российской Федерации (К_Уд), определяемый на основе соответствующих официальных данных о территориальной дифференциации затрат на строительство жилья и объектов социальной инфраструктуры.

6. Перечень индикаторов оценки уровня социально-экономического развития субъектов Российской Федерации

Интегральный показатель развития определяется по следующим нормированным показателям развития субъектов Российской Федерации:

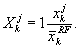
1) валовой региональный продукт на душу населения (тыс. рублей), определяемый как отношение валового регионального продукта (ВРП) к численности населения (N), деленное на коэффициент уровня покупательной способности (КУ), по формуле:

2) объем инвестиций в основной капитал на душу населения (тыс. рублей), определяемый как отношение объема инвестиций за счет средств всех источников финансирования (Ин) к численности населения (N), деленное на коэффициент удорожания капитальных затрат (К_Уд), по формуле:

3) показатель финансовой обеспеченности на душу населения на основе показателей финансового баланса (тыс. рублей), определяемый как отношение показателя финансовой обеспеченности субъекта Российской Федерации (рассчитывается на основе показателей финансового баланса в соответствии с методическими рекомендациями по составлению финансовых балансов субъектов Российской Федерации, утвержденными приказом Министерства экономического развития и торговли Российской Федерации от 21 апреля 1999 г. N 199, как доходы субъекта Российской Федерации с учетом взаиморасчетов с федеральным бюджетом и государственными внебюджетными фондами региона) к численности населения (N);

4) соотношение среднедушевых денежных доходов и величины прожиточного минимума (в процентах), определяемое по формуле:

где:

СрДД - величина среднедушевых денежных доходов населения;

ПР_МИН - величина среднедушевого прожиточного минимума;

5) доля населения с денежными доходами ниже величины прожиточного минимума в общей численности населения (в процентах), по данным Федеральной службы государственной статистики (для расчетов применяется обратный показатель);

6) площадь жилищ, приходящаяся в среднем на одного жителя (кв. метров), по данным Федеральной службы государственной статистики;

7) обеспеченность местами детей, находящихся в дошкольных учреждениях (мест на 1 тыс. детей дошкольного возраста);

8) обеспеченность школами - доля учащихся, обучающихся во 2-ю и 3-ю смену (в процентах), по данным Федеральной службы государственной статистики (для расчетов применяется обратный показатель);

9) выпуск специалистов высшими и государственными средними учебными заведениями (специалистов на 10 тыс. человек населения);

10) обеспеченность населения врачами и средним медицинским персоналом (на 10 тыс. человек населения);

11) обеспеченность населения амбулаторно-поликлиническими учреждениями (посещений в смену на 10 тыс. человек населения), по данным Федеральной службы государственной статистики.

7. Расчет интегрального показателя

Расчет интегрального показателя отклонения уровня социально-экономического развития субъекта Российской Федерации от среднероссийского уровня () осуществляется поэтапно.

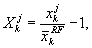
На первом этапе рассчитываются относительные отклонения базовых индикаторов социально-экономического развития. Показатели () по каждому субъекту Российской Федерации нормируются относительно среднероссийских показателей:

где:

j - номер субъекта Российской Федерации;

k - номер показателя;

- среднее значение показателя по России.

При этом показатели уровня и качества жизни населения определяются по формуле:

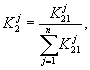
На втором этапе определяется интегральный показатель отклонения уровня социально-экономического развития субъектов Российской Федерации от среднероссийского уровня по формуле:

где j - номер субъекта Российской Федерации.

На заключительном этапе формируется перечень субъектов Российской Федерации, нуждающихся в государственной поддержке.

8. Определение объема возможной государственной поддержки субъектам Российской Федерации

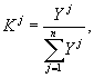
Объем финансирования для каждого субъекта Российской Федерации определяется пропорционально отклонению уровня социально-экономического развития субъекта Российской Федерации от среднероссийского уровня по формуле:

где:

- объем для субъекта Российской Федерации;

V - объем средств, распределяемых среди субъектов Российской Федерации, финансируемых в соответствии с настоящей методикой;

- интегральный показатель отклонения уровня социально-экономического развития субъектов Российской Федерации от среднероссийского уровня:

где:

- коэффициент, учитывающий наличие региональной программы развития субъекта Российской Федерации и/или отдельных поручений Президента или Правительства Российской Федерации;

- коэффициент, учитывающий уровень софинансирования субъектом Российской Федерации проектов и мероприятий Программы в предшествующие годы.

Коэффициент рассчитывается по формуле:

где:

- средний процент выделения средств государственной поддержки в соответствии с Программой в предыдущие годы;

= 1, если у субъекта Российской Федерации есть зарегистрированная региональная программа развития, иначе = 0;

= 1, если у субъекта Российской Федерации есть отдельное поручение Президента или Правительства Российской Федерации, иначе = 0

Коэффициент определяется по формуле:

где - величина превышения уровня софинансирования субъектом Российской Федерации проектов и мероприятий Программы в предшествующие годы.

Если превышение отсутствует, то = 0.

9. Оценка инвестиционных проектов для субъектов Российской Федерации, уровень социально-экономического развития которых ниже среднероссийского уровня

Доля средств федерального бюджета, бюджета субъекта Российской Федерации - участника Программы, направляемых на финансирование проектов и мероприятий Программы совместно с привлеченными средствами из внебюджетных источников, определяется дифференцированно исходя из уровня финансовой обеспеченности субъекта Российской Федерации.

Приложения 7 - 11 - Исключены. (в ред. Постановления Правительства РФ от 03.12.2004 N 737)