Письмо ФСТ РФ от 18.02.2005 N СН-570/14

"О разъяснениях к Методическим указаниям"

ФЕДЕРАЛЬНАЯ СЛУЖБА ПО ТАРИФАМ

ПИСЬМО
от 18 февраля 2005 г. N СН-570/14

О РАЗЪЯСНЕНИЯХ К МЕТОДИЧЕСКИМ УКАЗАНИЯМ

В связи с обращениями региональных энергетических комиссий и субъектов регулирования по вопросам расчета экономически обоснованных тарифов в соответствии с Методическими указаниями по расчету регулируемых тарифов и цен на электрическую (тепловую) энергию на розничном (потребительском) рынке, утвержденными Приказом ФСТ России от 6 августа 2004 г. N 20-э/2 (зарегистрированными Минюстом России 20.10.2004, регистрационный N 6076), направляются разъяснения к данным Методическим указаниям.

С.НОВИКОВ

Приложение

РАЗЪЯСНЕНИЯ
К МЕТОДИЧЕСКИМ УКАЗАНИЯМ ПО РАСЧЕТУ РЕГУЛИРУЕМЫХ ТАРИФОВ И ЦЕН НА ЭЛЕКТРИЧЕСКУЮ (ТЕПЛОВУЮ) ЭНЕРГИЮ НА РОЗНИЧНОМ (ПОТРЕБИТЕЛЬСКОМ) РЫНКЕ, УТВЕРЖДЕННЫМ ПРИКАЗОМ ФЕДЕРАЛЬНОЙ СЛУЖБЫ ПО ТАРИФАМ ОТ 6 АВГУСТА 2004 Г. N 20-Э/2 (ЗАРЕГИСТРИРОВАННЫМ МИНЮСТОМ РОССИИ 20 ОКТЯБРЯ 2004 Г., РЕГИСТРАЦИОННЫЙ НОМЕР 6076)

1. Пункт 5.3

Иными услугами, являющимися неотъемлемой частью процесса поставки электрической энергии (мощности), оказываемыми организациями на розничном рынке, могут быть:

- услуги по передаче электрической энергии по единой национальной (общероссийской) электрической сети;

- услуги по передаче электрической энергии по распределительным сетям;

- услуги по оперативно-диспетчерскому управлению в электроэнергетике;

- абонентная плата за услуги по организации функционирования и развитию Единой энергетической системы России;

- услуги по организации функционирования торговой системы оптового рынка электрической энергии (мощности);

- услуги по обеспечению системной надежности.

Размер платы за оказание вышеперечисленных услуг определяется в соответствии с методическими указаниями ФСТ России и не является предметом рассмотрения данных Методических указаний.

2. Пункт 6

Под расходами на сбытовую деятельность в настоящих Методических указаниях понимаются расходы на контроль и снятие показаний с приборов учета и контроля, установку и эксплуатацию указанных приборов, организацию и содержание систем учета и обработки данных, ведение договорной работы.

Тариф на электроэнергию для потребителей (покупателей), получающих электроэнергию по прямым договорам, рассчитывается без сбытовой надбавки.

Величина расходов на сбытовую деятельность определяется по каждой точке подключения обслуживаемых абонентов.

Распределение общих расходов на сбыт электрической энергии между уровнями напряжения рекомендуется производить пропорционально суммарной заявленной мощности потребителей (покупателей) на планируемый период регулирования.

Распределение общих расходов на сбыт тепловой энергии между сбытом теплоносителей "пар" и "горячая вода" рекомендуется производить пропорционально полезному отпуску тепловой энергии в виде пара и горячей воды.

3. Пункт 7

Тарифы на электрическую энергию (мощность) установлены в соответствии с п. 58 Основ ценообразования в отношении электрической и тепловой энергии Российской Федерации (далее - Основы ценообразования), утвержденных Постановлением Правительства Российской Федерации от 26.02.2004 N 109 (Собрание законодательства Российской Федерации, 2004, N 9, ст. 791).

Двухставочный тариф включает в себя полную стоимость 1 кВтч электрической энергии и плату за 1 кВт заявленной потребителем наибольшей мощности, участвующей в годовом максимуме нагрузки энергосистемы.

Расчет дифференцированных по зонам (часам) суток тарифов производится в соответствии с п. 71 Методических указаний.

4. Пункт 14

При установлении тарифов не допускается повторный учет одних и тех же расходов по регулируемым видам деятельности. Так, например, если в технологической схеме производства электроэнергии на электростанции используется повышающий трансформатор, выдающий электроэнергию на сборные шины 110 кВ, и затраты на его обслуживание учтены в тарифе на производство электроэнергии, с потребителей, непосредственно подключенных к шинам высокого напряжения электростанции, плата за услуги по передаче электроэнергии не взимается.

5. Пункт 15

При расчете суммарной стоимости электрической энергии (мощности), поставляемой потребителям, оплата услуг иных организаций производится по тарифам, рассчитанным по утвержденным ФСТ России методическим указаниям, в частности, оплата услуг системного оператора оптового рынка электрической энергии определяется на основе Методических указаний по расчету тарифов на услуги по оперативно-диспетчерскому управлению в электроэнергетике, утвержденных Приказом ФСТ России от 24.08.2004 N 45-э/4 (зарегистрировано Минюстом России 24.09.2004, регистрационный номер 6042), администратора торговой системы на основе Методических указаний по расчету тарифов на услуги по организации функционирования торговой системы оптового рынка электрической энергии (мощности), утвержденных Приказом ФСТ России от 24.08.2004 N 43-э/2 (зарегистрировано Минюстом России 21.09.2004, регистрационный номер 6037).

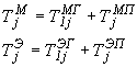
В связи с утратой силы Приказа ФСТ РФ от 24.08.2004 N 45-э/4, следует руководствоваться принятым взамен Приказом ФСТ РФ от 23.10.2009 N 267-э/8

6. Пункт 16

Состав расходов определяется в соответствии с главой 25 Налогового кодекса Российской Федерации, а также положениями по бухгалтерскому учету в части, не противоречащей главе 25 Налогового кодекса Российской Федерации. В качестве положений по бухгалтерскому учету рекомендуется использовать, в частности, следующие документы:

- Положение по бухгалтерскому учету "Расходы организаций" ПБУ 10/99, утвержденное Приказом Минфина России от 06.05.99 N 33н (зарегистрировано Минюстом России 31.05.99, регистрационный номер 1790);

- Положение по бухгалтерскому учету "Доходы организации" ПБУ 9/99, утвержденное Приказом Минфина России от 06.05.99 N 32н, с изменениями от 30.12.99 и 30.03.2001 (зарегистрировано Минюстом России 31.05.99, регистрационный номер 1791);

- Положение по бухгалтерскому учету "Информация по сегментам" ПБУ 12/2000, утвержденное Приказом Минфина России от 27.01.2000 N 11н (не нуждается в государственной регистрации; письмо Минюста России от 16.03.2000 N 1838-ЭР).

В случае выделения организации, осуществляющей производство и передачу электроэнергии, субвенций из федерального бюджета на компенсацию тарифов на электроэнергию указанные субвенции рекомендуется относить (как дополнительный источник дохода) на производство и передачу электроэнергии в соответствии с принятой в организации учетной политикой. При этом рекомендуется учитывать мнение органов исполнительной власти субъекта Российской Федерации. Аналогичным образом рекомендуется поступать в случае поступления регулируемой организации дохода других дополнительных источников (например, дотаций из бюджетов всех уровней) для компенсации расходов на осуществление регулируемых видов деятельности.

7. Пункт 19

Данный пункт изложен в соответствии с п. 7 Основ ценообразования. Под необоснованными расходами в Методических указаниях понимаются расходы, не включенные органом регулирования в тарифы на энергию, обоснованность которых не доказана органу регулирования. При этом решения органа регулирования должны быть подтверждены документами, представленными организациями, осуществляющими регулируемые виды деятельности, а также данными результатов официальных проверок.

8. Пункт 23

При отсутствии нормативов (норм) по отдельным статьям расходов до их утверждения в установленном порядке соответствующими федеральными органами исполнительной власти рекомендуется в соответствии с главой 25 Налогового кодекса Российской Федерации использовать в расчетах экспертные оценки на основе отчетных данных регулируемых организаций. При обосновании расходов рекомендуется также использовать нормы и нормативы, приведенные в правилах технической эксплуатации, производственных и заводских инструкций.

При расчете расходов на сырье, материалы, работы и услуги производственного характера, топливо для технологических целей и на услуги по его перевозке, а также на иные услуги рекомендуется применять следующие цены (тарифы):

регулируемые государством тарифы (цены) - в отношении продукции (услуг), регулируемых государством;

цены, установленные на основании договоров, заключенных в соответствии с правилами закупок (конкурсов, торгов), - в отношении продукции (услуг), на получение которой регулируемой организацией заключены соответствующие договора;

биржевые котировки, прайс-листы. При отсутствии другой информации применяются прогнозные индексы потребительских цен на расчетный период регулирования, определяемые Минэкономразвития России.

До разработки Минпромэнерго России соответствующего документа для определения нормативов создания запасов топлива (кроме ядерного) рекомендуется использовать проектные данные, а также объемы запасов топлива, доводимые до производителей энергии ежегодными Приказами РАО "ЕЭС России", и отчетные данные по запасам топлива за предыдущие периоды регулирования.

При комбинированном производстве электрической и тепловой энергии расходы на покупную электроэнергию на производственные (хозяйственные) нужды рекомендуется разносить между производством электрической и тепловой энергии в соответствии с принятой в регулируемой организации учетной политикой.

24. Пункт 24

Под прямыми расходами рекомендуется понимать расходы, которые напрямую должны быть отнесены на один из видов регулируемой деятельности, регламентированных Основами ценообразования.

Под косвенными расходами рекомендуется понимать все другие расходы, которые необходимы для осуществления двух и более указанных видов деятельности.

25. Пункт 27

Дифференциация тарифов на электрическую энергию по группам потребителей в Методических указаниях производилась в соответствии с п. 59 Основ ценообразования.

1. группа. Базовые потребители

Отнесение к группе "базовые потребители" производится в следующем порядке:

Потребитель на следующий период регулирования (например, на 2005 год) направляет в энергоснабжающую организацию заявку об отнесении его к группе "базовые потребители" с представлением фактических данных за предшествующий период регулирования (т.е. за 2003 год) о фактической величине мощности в зимний режимный день и годовом потреблении электроэнергии на основании показаний приборов учета. Число часов использования мощности определяется делением факта годового электропотребления на фактическую мощность в зимний режимный день.

Энергоснабжающая организация представляет сведения о базовых потребителях в регулирующий орган для утверждения для них тарифов.

Сезонные потребители в качестве базовых не рассматриваются.

Энергоснабжающие организации, покупающие электрическую энергию (мощность) у другой энергоснабжающей организации, могут быть отнесены к базовым потребителям, если они удовлетворяют указанным в Методических указаниях критериям. При этом в расчет должна приниматься только заявленная мощность и электропотребление обслуживаемых ЭСО конечных потребителей на территории данного субъекта Российской Федерации.

Дифференциация тарифов на электрическую энергию в зависимости от категории надежности энергоснабжения (п. 59 Основ ценообразования) в Методических указаниях не производилась. Указанная дифференциация будет учтена в дальнейшем путем внесения соответствующих изменений в Методические указания.

На основании изменений указанного пункта, внесенных Приказом ФСТ России от 14.12.2004 N 289 (зарегистрировано Минюстом России 21.12.2004, регистрационный номер 6213), ФСТ России по представлению регулирующего органа может повысить значение величины заявленной мощности для отнесения потребителей к группе "Базовые потребители". При этом при повторном обращении регулирующий орган, в зависимости от особенностей структуры производства и потребления электрической энергии, ФСТ России может как увеличить, так и уменьшить (но не ниже 20 МВт) ранее повышенную величину заявленной мощности.

Например, если по представлению регулирующего органа ФСТ России в 2005 году увеличила величину заявленной мощности до 110 мВт, то на 2006 (или другой последующий) год по обращению этого регулирующего органа ФСТ России может как увеличить величину заявленной мощности выше 110 мВт, так и уменьшить ее в диапазоне от 110 до 20 мВт.

2. группа. Население

Для рассчитывающихся по общему счетчику на вводе населенных пунктов, жилищных организаций (потребляющих электроэнергию на технические цели жилых домов), садоводческих товариществ, дачно-строительных кооперативов рекомендуется производить расчет тарифов на электроэнергию так же, как для населения. Так же, как для населения, рекомендуется производить расчет тарифов на электроэнергию, потребляемую религиозными организациями (монастыри, храмы, соборы, церкви, мечети, синагоги, пагоды), содержащимися за счет средств прихожан. В случае, если тариф на электроэнергию для населения выше тарифа на электроэнергию для группы "прочие потребители", тариф для указанных религиозных организаций рекомендуется устанавливать на уровне тарифа для группы "прочие потребители".

26. Пункт 29.2

Формула (3) данного пункта применяется только в том случае, если регулирующий орган устанавливает на территории субъекта Российской Федерации для населения и (или) бюджетных потребителей 3 группы тариф на электроэнергию на одном уровне, исходя из суммарного расхода всех ЭСО, вне зависимости от какой ЭСО, им отпускается электроэнергия.

В этом случае с целью соблюдения по каждому ЭСО баланса доходов и расходов в тарифах на отпускаемую этими ЭСО электроэнергию учитывается соответствующее повышение (понижение) относительно утвержденного на едином уровне тарифа.

27. Пункт 31

Расчет расхода топлива на тепловых электростанциях на производство электрической и тепловой энергией рекомендуется производить в соответствии с "Методическими указаниями по составлению отчета электростанции и акционерного общества энергетики и электрификации о тепловой экономичности оборудования". СПО ОРГРЭС, 1995 г. (РД 34.08.552-95).

28. Пункт 36 - Решение об установлении на едином уровне тарифа продажи тепловой энергии или установлении дифференцированных по системам централизованного теплоснабжения тарифов продажи тепловой энергии принимает регулирующий орган.

29. Пункт 37 - При отсутствии соответствующих приборов учета (впредь до их установки) регулирующий орган может принять решение об установлении только одноставочных тарифов на тепловую энергию.

30. Пункт 38

Рекомендуется распределение прибыли, относимой на производство тепловой энергии (мощности), между ставками за тепловую энергию и мощность производить аналогично распределению прибыли, относимой на производство электрической энергии (мощности), между ставками за электрическую энергию и мощность.

Распределение прибыли, относимой на ставку за тепловую энергию, между ставками платы за тепловую энергию, отпускаемую в паре и горячей воде, рекомендуется производить пропорционально стоимости топлива, используемого для производства тепловой энергии, отпускаемой соответственно в паре и горячей воде.

Распределение прибыли, относимой на ставку платы за тепловую энергию, отпускаемую в паре, между ступенями параметров пара рекомендуется производить пропорционально стоимости топлива, используемого для производства тепловой энергии, отпускаемой по соответствующим ступеням параметров пара.

31. Пункт 42

Для определения потребности в топливе на выработку тепловой энергии в отопительных и производственно-отопительных котельных рекомендуется применять следующие положения Методики определения потребности в топливе, электрической энергии и воде при производстве и передаче тепловой энергии и теплоносителей в системах коммунального теплоснабжения, утвержденной Госстроем России 12.08.2003:

произведенная тепловая энергия - тепловая энергия, произведенная котельным агрегатом (котельными агрегатами), установленным (установленными) в котельной (источник теплоснабжения);

выработанная тепловая энергия - объем тепловой энергии, равный сумме тепловой энергии, произведенной котельными агрегатами котельной (источника теплоснабжения), за вычетом тепловой энергии, использованной в котельной (источнике теплоснабжения) на собственные нужды, и переданная в тепловую сеть;

отпущенная тепловая энергия - тепловая энергия, отпущенная потребителю тепловой энергии (потребителям) на границе эксплуатационной ответственности (балансовой принадлежности).

1. Потребность в топливе на выработку тепловой энергии определяется по нормам удельного расхода топлива, кг у.т./Гкал, на весь объем тепловой энергии, необходимой для теплоснабжения потребителей.

2. Потребность в топливе на выработку тепловой энергии по отдельной котельной, по группе котельных, входящих в одну систему централизованного теплоснабжения, или по предприятию (организации) в целом определяется с использованием норм удельного расхода топлива соответствующего уровня.

3. Для определения потребности в топливе на производство тепловой энергии используются групповые нормы удельного расхода топлива, основанные на индивидуальных нормах.

Индивидуальная норма - норма расхода данного расчетного вида топлива в условном исчислении на производство 1 Гкал тепловой энергии котлоагрегатом с котлом данного типа при определенных, заранее выбранных оптимальных эксплуатационных условиях. При определении индивидуальной нормы в качестве расчетного топлива принимается вид топлива, указанный в техническом паспорте котла. Индивидуальные нормы измеряются в килограммах условного топлива на 1 Гкал произведенной тепловой энергии (кг у.т./Гкал). Отклонение условий эксплуатации от расчетных, принятых при определении индивидуальных норм, учитывается при расчете групповых норм нормативными коэффициентами.

Групповая норма расхода топлива на выработку тепловой энергии - плановое значение расхода топлива на выработку 1 Гкал тепловой энергии при планируемых условиях производства. Групповая норма расхода топлива на выработку тепловой энергии измеряется в килограммах условного топлива на 1 Гкал тепловой энергии (кг у.т./Гкал).

4. При разработке норм расхода топлива необходимо соблюдать следующее:

- нормы разрабатываются на всех уровнях планирования на единой методической основе;

- учитываются условия производства, достижения научно-технического прогресса, планы организационно-технических мероприятий, предусматривающие рациональное и эффективное использование топлива;

- нормы систематически пересматриваются с учетом планируемого развития и технического прогресса производства, достигнутых наиболее экономичных показателей использования топливно-энергетических ресурсов.

5. В нормы расхода топлива не должны включаться затраты топлива, вызванные отступлениями от правил технической эксплуатации и режимов функционирования, на строительство и капитальный ремонт зданий и сооружений, монтаж, пуск и наладку нового оборудования котельной, на научно-исследовательские и экспериментальные работы.

6. Установленные для котельных нормы расхода топлива должны изменяться при возникновении следующих причин, существенно влияющих на расход тепловой энергии и топлива:

- изменение вида или качества сжигаемого топлива;

- выявление испытаниями новых характеристик котлоагрегатов;

- установка нового или реконструкция действующего оборудования.

Все изменения норм на основании испытаний или обоснованных расчетов должны быть введены в действие после их утверждения.

7. Исходными данными для определения норм расхода топлива являются:

- фактические технические данные оборудования (производительность, давление, КПД и др.) и режим функционирования (по времени и нагрузке);

- режимные карты, составленные в результате режимно-наладочных испытаний;

- план организационно-технических мероприятий по рациональному использованию и экономии топливно-энергетических ресурсов;

- информация о плановых и фактических удельных расходах топлива за прошедшие годы.

8. Работа по определению норм расхода топлива в котельной на планируемый период проводится в следующей последовательности:

- определяется плановая выработка тепловой энергии котельной (котельными) Q;

- уточняется характеристика сжигаемого топлива: низшая теплота сгорания , для угля - марка угля, влажность, зольность, фракционный состав (содержание мелочи класса 0 - 6 мм, %);

- определяются технические характеристики и параметры функционирования оборудования - тепловая мощность котлоагрегата (котла), Гкал/ч, т/ч пара, температура питательной воды t_п.в., давление пара Р, коэффициент избытка воздуха в топке котла _т, присосы по газоходам и т.д.;

- подбираются типовые характеристики, соответствующие установленному оборудованию и виду сжигаемого топлива. В случае если характеристики не соответствуют фактическим для установленных котлоагрегатов (вследствие несоответствия параметров пара, питательной воды, поверхностей нагрева элементов котла, качества топлива и т.д.), а также при отсутствии типовых характеристик для установленных котлов, проводятся режимно-наладочные испытания с целью установления оптимальных режимов функционирования котла и разработки обоснованных нормативных характеристик;

- по нормативным характеристикам устанавливается индивидуальная норма расхода топлива на производство тепловой энергии каждым котлоагрегатом;

- определяется расход тепловой энергии на собственные нужды котельной;

- определяется норма расхода топлива на выработку тепловой энергии для котельной в целом.

9. Расчет индивидуальных норм расхода топлива на производство тепловой энергии осуществляется в следующем порядке.

9.1. В состав индивидуальных норм включаются расходы топлива на основной технологический процесс - производство тепловой энергии.

В основу разработки индивидуальных норм Н_ij положены нормативные характеристики котлоагрегатов. Нормативная характеристика представляет собой зависимость расхода условного топлива на 1 Гкал произведенной тепловой энергии от нагрузки (производительности) котлоагрегата при нормальных условиях его работы на данном виде топлива. Построение нормативной характеристики предусматривает определение значений удельного расхода топлива брутто, кг у.т./Гкал, во всем диапазоне нагрузки котлоагрегата Q_к.а - от минимальной до максимальной:

(1)

где - изменение КПД брутто котлоагрегата во всем диапазоне его нагрузки.

9.2. КПД брутто определяется по результатам режимно-наладочных испытаний котлоагрегата при сжигании топлива одного вида одинаковым способом.

Испытания котлоагрегатов проводятся по утвержденной методике специализированными организациями.

Характеристики составляются для котлоагрегата, находящегося в технически исправном и отлаженном состоянии и работающего в соответствии с режимными картами.

В случае невозможности проведения режимно-наладочных испытаний расчет проводится по индивидуальным нормам расхода топлива для котлоагрегатов на номинальной нагрузке.

9.3. При установлении индивидуальных норм в качестве нормативных значений принимаются значения удельного расхода расчетного вида топлива в условном исчислении при номинальной нагрузке котлоагрегата с учетом прогрессивных показателей удельного расхода топлива котлом данного типа Н_ij = . Значения удельных расходов топлива по данным завода-изготовителя при номинальной загрузке корректируются в соответствии с режимной картой конкретного котла, учитывающей техническое состояние, срок ввода в эксплуатацию и величину его фактической загрузки.

Нормативные характеристики используются также для разработки нормативных коэффициентов, учитывающих отклонения условий эксплуатации от принятых при определении индивидуальных норм:

- нормативный коэффициент К_1, учитывающий эксплуатационную нагрузку котлоагрегата;

- нормативный коэффициент К_2, учитывающий работу котлоагрегата без хвостовых поверхностей нагрева;

- нормативный коэффициент К_3, учитывающий использование нерасчетных видов топлива на данном типе котлов.

Коэффициенты K_1, К_2 и К_3 определяются как отношение значений удельного расхода топлива при планируемых или фактических нагрузках котлоагрегата в условиях эксплуатации () и удельного расхода топлива при оптимальных условиях эксплуатации на номинальной нагрузке . Значение принимается по соответствующим нормативным характеристикам. После установки хвостовых поверхностей и работе котла на расчетном виде топлива К_2 = К_3 = 1.

9.4. Нормативный коэффициент K_ определяется по нормативной характеристике как отношение расхода условного топлива при средней производительности котлоагрегата за планируемый или фактический период работы к расходу условного топлива при номинальной нагрузке по выражению:

(2)

Нормативные коэффициенты К_1 для некоторых типов котлоагрегатов в зависимости от их нагрузки приведены в таблице 1.

Нормативные коэффициенты, учитывающие эксплуатационные нагрузки котлоагрегатов

Таблица 1

Тип котлоагрегата Вид топлива Нагрузка, % номинальной
90 80 70 60 50 40
1 2 3 4 5 6 7 8
ПАРОВЫЕ КОТЛОАГРЕГАТЫ
ТП-35-У КУ 1 1,001 1,005 1,009 1,015 1,022
  БУ 0,997 0,996   1,005 1,009 1,014
ТП-35 М 1 1,001 1,002 1,005 1,008 1,011
ТП-30 Г 0,999 0,999 1 1 1,002 1,007
  М 0,995 0,993 0,99 0,99 0,993 1,001
ТС-20 Г 1 1,001 1,002 1,007 1,012 1,017
  М 1,002 1,006 1,011 1,016 1,021 1,028
ТП-20 Г 0,999 0,998 0,998 0,999 0,99 1
ДКВР-20-13 Г 1,004 1,011 1,018 1,026 1,032 1,037
  М 0,995 0,99 0,99 0,995 1 1,005
  КУ 0,987 0,954 0,935 0,935 0,944 0,962
ДКВР-10-13 Г 0,997 0,996 0,998 0,998 0,999 1,001
  М 0,996 0,993 0,992 0,992 0,994 0,998
ДКВР-6,5-13 Г 0,993 0,988 0,997 0,997 1,003 1,011
  М 0,999 0,999 1,002 1,002 1,007 1,014
ДКВР-4-13 Г 1 1,001 1,002 1,002 1,008 1,02
  М 0,997 0,992 0,991 0,991 0,991 0,994
ДКВР-2,5-13 Г 1 1,001 1,005 1,005 1,011 1,019
ШБА-5 Г 0,999 0,999 1 1,001 1,001 1,003
  М 1,001 1,002 1,003 1,005 1,007 1,011
ШБА-3 Г 1,002 1,005 1,008 1,012 1,017 1,024
  М 1,002 1,006 1,009 1,018 1,03 1,044
Шухова, т/ч:              
7,5 Г 0,999 0,999 0,999 0,999 1 1,002
4,7 Г 1,001 1,002 1,003 1,007 1,012 1,019
3,8 Г 0,999 0,999 1 1,004 1,011 1,03
3,2 Г 1,001 1,003 1,007 1,015 1,025 1,04
2 Г 1,002 1,007 1,012 1,018 1,024 1,033
Ланкаширский, т/ч:              
3,7 Г 1,003 1,007 1,012 1,018 1,026 1,036
2,5 Г 1,001 1,005 1,01 1,016 1,024 1,036
КРШ-4 Г 1,001 1,002 1,004 1,007 1,011 1,019
ВОДОГРЕЙНЫЕ КОТЛОАГРЕГАТЫ
ПТВМ-100 Г 0,997 0,994 0,992 0,989 0,988 0,988
  М 0,999 0,999 1 1,001 1,002 1,004
ПТВМ-50 Г 0,997 0,994 0,992 0,99 0,988 0,988
  М 0,997 0,994 0,99 0,988 0,987 0,988
ТВГМ-30 Г 0,996 0,992 0,987 0,985 0,983 0,982
ПГВМ-30-МС Г 0,997 0,995 0,993 0,991 0,988 0,986
ТВГ Г 1,002 1,005 1,008 1,011 1,017 1,023
  М 1 0,994 0,988 0,986 0,987 1,002
Секционные чугунные и стальные Г 0,996 0,994 0,993 0,994 0,996 0,998
  М 0,999 0,999 1 1,004 1,011 1,03
(HP-18, НИИСТУ-5 и др.) КУ 1,003 1,007 1,012 1,018 1,026 1,036
  БУ 1,005 1,012 1,023 1,036 1,05 1,065

Примечание: Г - газ, М - мазут, КУ - каменный уголь, БУ - бурый уголь.

9.5. Нормативный коэффициент К_2 определяется только при отсутствии чугунных экономайзеров в котлах паропроизводительностью до 20 т/ч при параметрах, соответствующих номинальной нагрузке.

Вид топлива Значения коэффициента К_2
Газ 1,025 - 1,035
Мазут 1,030 - 1,037
Каменный уголь 1,070 - 1,08
Бурый уголь 1,070 - 1,08

Меньшее значение коэффициента К_2 принимается для котлов типа ДКВР, ШБА; большее - для котлов типа Шухова, КРШ.

9.6. Нормативный коэффициент К_3 для стальных секционных и чугунных котлов типа НР-18, НИИСТУ-5, "Минск-1", "Универсал", "Тула-3" и др., а также для паровых котлов типа Е-1/9, топки которых оборудованы колосниковой решеткой с ручным обслуживанием, при сжигании рядовых углей с содержанием мелочи (класс (0 - 6 мм) более 60% принимается равным: 1,15 - для антрацита; 1,17 - для каменных углей; 1,2 - для бурых углей.

Для остальных котлов коэффициент К_3 определяется по потерям теплоты топок от механического недожога q_4 в зависимости от типа топочного устройства, зольности и фракционного состава топлива по формуле:

(3)

где - исходное значение потерь теплоты от механического недожога, %, зависящее от типа топочного устройства, зольности и вида сжигаемого топлива;

К_м - поправка на содержание мелочи (класс 0 - 6 мм) в топливе.

При наличии острого двустороннего дутья значение должно быть умножено на поправочный коэффициент 0,78.

Нормативные показатели работы слоевых топок приведены в таблице 2.

Нормативные показатели работы слоевых топок

Таблица 2

Тип, марка угля Характеристика топлива Давление воздуха под решеткой, кг/м2 Коэффициент избытка воздуха за котлом, ух Потери тепла топкой от недожога, %
зольность, % зерновая характеристика
механического q_4 химического, q_3
максимальный размер куска, мм содержание фракций 0 - 6 мм, %
1 2 3 4 5 6 7 8
С РУЧНЫМ ЗАБРОСОМ ТОПЛИВА
Бурые рядовые типа челябинских 30 75 55 100 1,65 7 2
Бурые рядовые типа подмосковных 35 75 55 100 1,65 11 3
Каменные типа Г, Д 20 75 55 80 1,65 7 5
Каменные сильноспекающиеся типа К, ПЖ 20 75 55 100 1,65 7 4
Каменные рядовые тощие 16 50 55 100 1,65 6 3
Антрацит 16 50 55 100 1,75 14 2
С ЗАБРАСЫВАТЕЛЯМИ И НЕПОДВИЖНЫМ СЛОЕМ
Бурые рядовые типа челябинских 30 35 55 60 1,65 7 1
Бурые рядовые типа подмосковных 35 35 55 60 1,65 11 1
Каменные типа Г, Д 20 35 55 60 1,65 7 1
Каменные сильноспекающиеся типа К, ПЖ 20 35 55 60 1,65 7 1
Каменные рядовые тощие 18 35 55 100 1,85 18 0,5
Антрацит АРШ 16 35 55 100 1,85 18 0,5

9.7. Интегральный нормативный коэффициент К определяется:

К = К_1К_2К_3. (4)

10. Индивидуальная норма на производство тепловой энергии котлоагрегатом, кг у.т./Гкал, определяется по выражению:

(5)

11. Расчет групповых норм на выработку тепловой энергии котельной производится в следующей последовательности.

11.1. Определение групповых норм расхода топлива для котельной предусматривает:

- определение средневзвешенной нормы расхода топлива на производство тепловой энергии котельной в целом ;

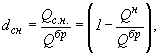
- определение нормативной доли расхода тепловой энергии на собственные нужды d_сн котельной;

- расчет групповой нормы на выработку тепловой энергии котельной, кг у.т./Гкал, по формуле:

(6)

11.2. Средневзвешенная норма расхода топлива на производство тепловой энергии котельной, кг у.т./Гкал, определяется по формуле:

(7)

где , , - индивидуальная норма расхода топлива для каждого котла при планируемой нагрузке, кг у.т./Гкал;

Q_к.а1, Q_к.а2, Q_к.аi - производство тепловой энергии каждым котлом в котельной на планируемый период, Гкал.

12. Расход теплоты на собственные нужды котельной определяется по данным режимно-наладочных испытаний и (или) расчетным методом по каждой составляющей на основе анализа прогнозируемых условий работы и нормативных характеристик оборудования.

Примерная структура расхода теплоты на собственные нужды котельной по элементам затрат в процентах от нагрузки приведена в таблице 3. Структура собственных нужд котельной приведена с учетом следующих примерных показателей:

- максимальная величина продувки котлов производительностью 10 т/ч пара - 10%, больше 10 т/ч пара - 5%; при определении нормативного расхода тепловой энергии на собственные нужды в реальных условиях следует принимать величину продувки по результатам ранее проведенных режимно-наладочных испытаний;

- возврат конденсата 90 - 95% количества пара, производимого котлами, температура возвращаемого конденсата 90 град. С, температура добавочной химически очищенной воды 5 град.С;

- марка мазута М-100, подогрев мазута - от 5 до 105 град.С;

- дробеочистка принята для котлов паропроизводительностью более 25 т/ч, работающих на сернистом мазуте, бурых углях и угле марки АРШ с расходом пара на эжектор 1500 кг/ч при давлении 14 кгс/см2 и температуре 280 - 330 град. С;

- расход топлива на растопку принят, исходя из следующего количества растопок в год: 6 - после простоя длительностью до 12 ч, 3 - после простоя длительностью более 12 ч;

- расход пара на калориферы для подогрева воздуха перед воздухоподогревателем предусмотрен для котлов паропроизводительностью 25 т/ч и более и работающих на сернистом мазуте, бурых углях и угле марки АРШ.

Структура расхода теплоты на собственные нужды котельной

Таблица 3

Составляющие затрат тепловой энергии на собственные нужды Газообразное топливо Твердое топливо Жидкое топливо
Шахтно-мельничные топки Слоевые топки
Каменные угли Бурые угли, АРШ
1 2 3 4 5 6
Продувка паровых котлов паропроизводительностью, т/ч:          
до 10 0,13     0,13 0,13
более 10 0,06 0,06 0,06 0,06 0,06
Растопка 0,06 0,06 0,06 0,06 0,06
Обдувка   0,30 0,30 0,36 0,32
Дутье под решетку       2,50  
Мазутное хозяйство         1,60
Паровой распыл мазута         4,50
Эжектор дробеочистки     0,11   0,17
Подогрев воздуха в калориферах          
Технологические нужды ХВО, деаэрации, отопление и хозяйственные нужды котельной, потери с излучением теплоты паропроводов, насосов, баков и т.п.;     1,30   1,20
утечки, испарения при опробовании и выявлении неисправностей в оборудовании и неучтенные потери 2,20 2,00 1,80 2,00 1,70
Расход теплоты на собственные нужды котельной d_сн (%% от нагрузки) 2,32 - 2,42 2,33 - 2,65 - 3,51 -
2,39   3,63 4,92 9,68

Примечание. Обдувка поверхностей теплообмена учтена для котлов, работающих на всех видах топлива, кроме газообразного.

При отклонении фактических условий эксплуатации от приведенных в таблице 3 значение d_сн определяется по составляющим элементам в соответствии с методикой тепловых расчетов.

13. Для текущего и перспективного планирования средневзвешенная норма расхода топлива на производство тепловой энергии , кг у.т./Гкал, для котельных и предприятий может рассчитываться по индивидуальным нормам, номинальной производительности и продолжительности функционирования котлов каждого типа на соответствующем виде топлива по формуле:

(8)

где Н_ij - индивидуальная норма расхода топлива котлом i по расчетному виду топлива j, кг у.т./Гкал;

Q_oi - номинальная производительность котла типа i, Гкал/ч;

Т_pij - продолжительность функционирования в планируемом периоде всех котлов типа i на расчетном топливе вида j, ч;

n - количество типов котлов;

m - количество видов топлива;

N_ij - количество котлов типа i, работающих на топливе вида j.

Значение d в этом случае определяется на основе анализа отчетных данных с учетом планируемых организационно-технических мероприятий по экономии тепловой энергии на собственные нужды котельной.

Расход теплоты на собственные нужды котельной определяется по предыдущему году:

(9)

где Q(н) - количество тепловой энергии (нетто), выработанной котельной, тыс. Гкал;

Q(бр) - количество тепловой энергии (брутто), произведенной котельной, тыс. Гкал.

14. Интегральный нормативный коэффициент К учитывает отклонение планируемых условий эксплуатации от условий эксплуатации, принятых при расчете индивидуальных норм: в этом случае он определяется расчетно-аналитическим и расчетно-статистическим методами на основе информации о фактических расходах топлива и выработанной тепловой энергии за ряд лет.

Фактическое значение этого коэффициента на планируемый период определяется по уравнению:

(10)

где В_ф - фактический расход топлива за отчетный год, тыс. кг у.т.;

- средневзвешенная норма расхода топлива, кг у.т./Гкал, полученная по формуле (8); при этом для расчета принимается фактическая продолжительность функционирования котлов каждого типа на каждом расчетном виде топлива;

Q(бр) - количество выработанной тепловой энергии за отчетный год, тыс. Гкал.

15. Общая потребность в топливе, т у.т., определяется умножением общего количества тепловой энергии, подлежащей выработке, на удельную норму затрат условного топлива:

В = Q_вырb10(-3), (11)

где Q_выр - количество тепловой энергии, необходимой для покрытия тепловой нагрузки на планируемый период, Гкал;

b - удельные затраты условного топлива, кг у.т./Гкал.

16. Пересчет количества условного топлива В_усл в количество натурального топлива В_нат производится в соответствии с характеристиками этого топлива и значением калорийного эквивалента по формуле:

(12)

где Э - калорийный эквивалент, определяемый по формуле:

(13)

где , - низшая теплота сгорания натурального и условного топлива, ккал/кг(м3).

При прогнозировании и планировании потребности в топливе в конкретных условиях значения калорийных эквивалентов следует принимать по сертификатам на поставляемое топливо или по договорам с поставщиками.

17. Нормы потерь топлива при транспортировании, разгрузке, хранении и других топливно-транспортных операциях даны в таблицах 4 и 5.

Нормы потерь твердого топлива, %

Таблица 4

Вид топлива Наименование операций
жел/дор. перевозки разгрузка вагонов складские перемещения хранение на складе в течение года Подача со склада в котельную
Каменный уголь 0,8 0,1 0,2 0,2  
Угольная мелочь 1,0 0,2 0,3 0,3 0,1
Бурый уголь 0,8 0,2 0,3 0,5 0,2
Кусковой торф 0,6 0,15 0,15 2,0 0,1
Фрезерный торф 1,25 0,5 0,5 3,0 0,3

Нормы потерь жидкого топлива

Таблица 5

Наименование операции Потери, %%
Перевозка в железнодорожных цистернах 0,4
Прием из железнодорожных цистерн и автоцистерн в заглубленные железобетонные и наземные металлические резервуары 0,021
Хранение в резервуарных емкостях (1 кг на 1 м2 поверхности испарения в месяц):  
- резервуары заглубленные железобетонные 0,003
- резервуары наземные металлические 0,006

18. Количество тепловой энергии, подлежащей выработке источниками теплоснабжения на планируемый период, включает:

- количество тепловой энергии, необходимой на покрытие теплового потребления;

- количество тепловой энергии, необходимой на покрытие тепловых потерь в тепловых сетях.

32. Пункт 45

В данном пункте под "центром питания" понимается распределительное устройство электростанции либо подстанции с учетом коммутационных аппаратов.

33. Пункт 46

При аренде сетевой организацией сетей иных собственников затраты по обслуживанию этих сетей должен нести их собственник. В этом случае сетевая организация включает арендную плату в состав сметы расходов, приведенных в таб. П1.15, в прочие затраты.

34. Пункт 48

В пункте изложен следующий порядок распределения расходов из прибыли:

ПРН_вн, ПРН_сн1, ПРН_сн11, ПРН_нн - прямые расходы из прибыли на производственное развитие (с учетом налога на прибыль), относимые, соответственно, на ВН, СН1, СН11, НН;

по ВЛЭП и КЛЭП - в соответствии с таблицей 2.1 Приложения 2;

по подстанциям, трансформаторным подстанциям, комплексным трансформаторным подстанциям и распределительным пунктам - пропорционально мощности трансформатора на соответствующем уровне напряжения.

В последнем абзаце под указанным порядком следует понимать следующее:

Распределение расходов из прибыли (с учетом налога на прибыль) на строительство подстанций, трансформаторных подстанций, комплексных трансформаторных подстанций и распределительных пунктов между уровнями напряжения производится пропорционально мощности трансформаторов на соответствующем уровне напряжения. Под мощностью трансформатора на соответствующем уровне напряжения следует понимать предельный уровень загрузки трансформаторов по классам напряжения, который определяется проектируемым уровнем баланса мощностей на конкретной подстанции.

Пример:

Планируется строительство подстанции 110/35/6, стоимостью 95 млн. руб.

Баланс мощностей согласно проекту строительства подстанции:

Рис. не приводится.

Таким образом, расходы на строительство распределяются следующим образом:

ПРН_сн1 = 95 х 12 / (12 + 4) = 71,25 млн. руб.
   
ПРН_Сн2 = 95 х 4 / (12 + 4) = 23,75 млн. руб.

35. Пункты 50 - 53

Расчет экономически обоснованного размера платы за услуги по передаче электрической энергии предусматривает определение двух ставок (тарифов):

- ставки на содержание электрических сетей соответствующего уровня (диапазона) напряжения в расчете на МВт мощности, отпущенной из сети (п. 50, формулы (12) - (12.8));

- ставки на оплату технологического расхода (потерь) электрической энергии на ее передачу по сетям соответствующего уровня напряжения (п. 52, формулы (14) - (14.11)).

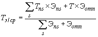
Потери электрической энергии на потребительском рынке рассчитываются по средневзвешенному тарифу (Т_э/ср) по формуле:

(руб./тыс. кВт.ч),

где:

s - поставщик электрической энергии (мощности), в том числе с оптового рынка;

Т_ns, Э_ns- тариф на электрическую энергию (мощность) и объем, покупаемый с оптового рынка и от других s-ных поставщиков;

Т, Э_отп - средний тариф на электрическую энергию и отпуск электрической энергии на собственных генерирующих источниках ЭСО.

Пример расчета тарифов на услуги по передаче электрической энергии по электрическим сетям, дифференцированных по диапазонам (уровням) напряжения, согласно положениям пунктов 50 - 53 "Методических указаний по расчету регулируемых тарифов и цен на электрическую (тепловую) энергию на розничном (потребительском) рынке"

При расчете тарифов приняты следующие исходные положения и допущения:

- расчет тарифных ставок на содержание сетей и на оплату технологических потерь электроэнергии выполнен при условии дифференциации ставок по четырем диапазонам (уровням) напряжения;

- с высокого напряжения (110 кВ) мощность и энергия могут трансформироваться как на среднее напряжение первого уровня (35 кВ), так и на среднее напряжение второго уровня (20 - 1 кВ);

- суммарная необходимая валовая выручка (НВВ) распределена по диапазонам (уровням) напряжения пропорционально условным единицам;

- мощность и электроэнергия от производителей энергии могут поступать как в сеть высокого напряжения, так и в сеть среднего напряжения, как первого, так и второго уровня.

Распределение мощности и электроэнергии и технологических потерь электроэнергии по диапазонам напряжения представлено в таблице N 1.

Таблица 1

Распределение мощности, электроэнергии и технологических потерь электроэнергии по диапазонам напряжения

Показатели ВН СН1 СН11 НН Всего
1. Мощность в МВт          
отпуск в сеть 533,2 308,2 311,8 100 653,2 <*>

<*> 533,2 + 75 + 45 = 653,2
в том числе:          
от генерации 533,2 75 45   653,2
из смежной сети   233,2 266,8 100  
всего,          
в том числе из сети:          
ВН   233,2 84    
СН1     182,8    
СН11       100  
Полезный отпуск 200 110 190 80 580
2. Электроэнергия в млн. кВт.ч          
отпуск в сеть всего, 2652 1491,8 1397,85 400 3352
в том числе:          
от генерации 2652 450 250   3352
из смежной сети всего,   1041,8 1147,85 400  
в том числе из сети:          
ВН   1041,8 330,65    
СН1     817,2    
СН1       400  
Полезный отпуск 1200 600 900 320 3020
3. Потери мощности          
в МВт 16,0 15,4 21,8 20 73,2
в процентах от отпуска в сеть 3 5 7 20 11,21 <*>

<*> (73,2 х 100)/653,2 = 11,21
4. Потери электроэнергии          
в млн. кВт.ч 79,55 74,6 97,85 80 332
в процентах от отпуска 3 5 7 20 9,9 <*>

<*> (332 х 100)/3352 = 9,9

Распределение НВВ, заявленной мощности, полезного отпуска электроэнергии, годового числа часов использования заявленной мощности по уровням напряжения представлено в таблице N 2.

Таблица 2

Распределение НВВ, заявленной мощности, полезного отпуска электроэнергии, годового числа часов использования заявленной мощности по уровням напряжения

Показатели Уровни напряжения
ВН СН1 СН11 НН Всего
НВВ, в млн. руб. 150 120 180 125 575
НВВ, в процентах 26,1 20,9 31,3 21,7 100
Заявленная мощность, в МВт 200 110 190 80 580
в процентах 34,5 19,0 32,7 13,8 100
Полезный отпуск          
в млн, кВт.ч 1200 600 900 320 3020
в процентах 39,7 19,9 29,8 10,6 100
Годовое число часов использования заявленной мощности 6000 5455 4737 4000 5207

Схемы распределения потоков электрической мощности и энергии по уровням напряжения представлены на рисунках 1 и 2.

Рис. 1. Схема потоков мощности для расчета тарифов на содержание сетей

Примечание: мощность указана в МВт; НВВ - в млн. руб.

Суммарные потери мощности N_ = 73,23 МВт _ср = 11,21%

Рис. 2. Схема потоков энергии для расчета тарифов на оплату потерь в сетях

Примечание:

Электроэнергия указана в млн. кВт.ч; Тарифы - в коп./кВт.ч

Суммарные потери Э_ = (2652 + 250 + 450) - (1200 + 600 + 300 + 320) = 332 млн. кВт.ч, или 9,9%

Пример расчета дифференцированных тарифных ставок на содержание электрических сетей

Высокое напряжение

где:

НВВ_ВН - расчетный объем необходимой валовой выручки, обеспечивающей компенсацию экономически обоснованных расходов (с учетом расходов из прибыли) на осуществление деятельности по передаче электрической энергии по сетям (объектам электросетевого хозяйства) высокого напряжения;

- мощность, отпускаемая в сеть высокого напряжения;

_ВН - нормативы потерь в электрических сетях (линиях электропередачи, трансформаторах и измерительных системах) высокого напряжения;

М - количество месяцев в периоде регулирования.

Часть НВВ_ВН, учитываемая при расчете тарифов на передачу для сетей среднего напряжения

- полезный отпуск мощности потребителям, получающим электроэнергию от сетей высокого напряжения;

в том числе:

- часть, учитываемая при расчете

где:

- часть необходимой валовой выручки сети высокого напряжения (нижний индекс), учитываемая при расчете тарифа на передачу смежной сети первого среднего напряжения (верхний индекс);

- часть необходимой валовой выручки сети высокого напряжения (нижний индекс), учитываемая при расчете тарифа на передачу смежной сети среднего напряжения (верхний индекс);

- поставка мощности в сети СН1 непосредственно от ПЭ;

- мощность, отпускаемая в сеть первого среднего напряжения;

- мощность, отпускаемая в сеть СН11 из сети ВН;

- поставка мощности в сети СН11 непосредственно от ПЭ;

- часть необходимой валовой выручки сети высокого напряжения (нижний индекс), учитываемая при расчете тарифа на передачу смежной сети первого второго среднего напряжения (верхний индекс);

- часть, учитываемая при расчете

- часть необходимой валовой выручки сети высокого напряжения (нижний индекс), учитываемая при расчете тарифа на передачу смежной сети среднего напряжения (верхний индекс);

- часть необходимой валовой выручки сети высокого напряжения (нижний индекс), учитываемая при расчете тарифа на передачу смежной сети первого среднего напряжения (верхний индекс).

Среднее напряжение первого уровня 35 кВ

где:

НВВ_СН1 - расчетный объем необходимой валовой выручки, обеспечивающей компенсацию экономически обоснованных расходов (с учетом расходов из прибыли) на осуществление деятельности по передаче электрической энергии по сетям (объектам электросетевого хозяйства) среднего напряжения первого уровня;

_ВН - нормативы потерь в электрических сетях (линиях электропередачи, трансформаторах и измерительных системах) высокого напряжения;

где:

- часть необходимой валовой выручки сети среднего напряжения первого уровня (нижний индекс), учитываемая при расчете тарифа на передачу смежной сети среднего напряжения первого уровня (верхний индекс);

- полезный отпуск мощности потребителям, получающим электроэнергию от сетей среднего напряжения первого уровня.

Среднее напряжение второго уровня 20 - 1 кВ

где:

НВВ_СН11 - расчетный объем необходимой валовой выручки, обеспечивающей компенсацию экономически обоснованных расходов (с учетом расходов из прибыли) на осуществление деятельности по передаче электрической энергии по сетям (объектам электросетевого хозяйства) среднего напряжения второго уровня;

- часть необходимой валовой выручки сети высокого напряжения (нижний индекс), учитываемая при расчете тарифа на передачу смежной сети среднего напряжения второго уровня (верхний индекс);

- мощность, отпускаемая в сеть среднего напряжения второго уровня;

_СН11 - нормативы потерь в электрических сетях (линиях электропередачи, трансформаторах и измерительных системах) среднего напряжения первого уровня;

где:

, - мощность, отпускаемая в ветви сети СН11, присоединенные соответственно к сети ВН и СН1;

- полезный отпуск мощности потребителям, получающим электроэнергию от сетей среднего напряжения второго уровня.

Низкое напряжение 0,4 кВ и ниже

где:

НВВ_НН - расчетный объем необходимой валовой выручки, обеспечивающей компенсацию экономически обоснованных расходов (с учетом расходов из прибыли) на осуществление деятельности по передаче электрической энергии по сетям (объектам электросетевого хозяйства) низкого уровня напряжения;

- часть необходимой валовой выручки сети среднего напряжения (нижний индекс) первого уровня, учитываемая при расчете тарифа на передачу смежной сети низкого напряжения (верхний индекс);

- мощность, отпускаемая в сеть низкого напряжения уровня.

Проверка сходимости распределения НВВ_сети и ТВ_сети

ИТОГО: TB_sum = 58,026 + 70,488 + 210,648 + 235,838 = 575 млн. руб.

Расчет дифференцированных тарифных ставок на оплату потерь электроэнергии

Высокое напряжение

где:

- расходы на оплату потерь в сетях высокого напряжения, тыс. руб.;

- суммарный плановый (расчетный) на предстоящий период регулирования отпуск электроэнергии в сеть высокого напряжения, млн. кВт.ч;

_ВН - нормативы технологического расхода (потерь) электрической энергии на ее передачу по сетям (линиям электропередачи, трансформаторам) высокого напряжения, %;

Т(ЭС) - средневзвешенный одноставочный тариф (цена) на электрическую энергию (мощность), руб./МВт.ч.

Среднее напряжение первого уровня

где:

- расходы на оплату потерь в сетях среднего напряжения первого уровня, тыс. руб.;

- суммарный плановый (расчетный) на предстоящий период регулирования отпуск электроэнергии в сеть среднего напряжения первого уровня, млн. кВт.ч;

_СН1 - нормативы технологического расхода (потерь) электрической энергии на ее передачу по сетям (линиям электропередачи, трансформаторам) среднего напряжения первого уровня, %;

где:

- часть затрат на оплату потерь сетей высокого напряжения (нижний индекс), учитываемая при расчете Т(ПОТ) для смежных сетей среднего напряжения первого уровня (верхний индекс), тыс. руб.;

где:

- плановая (расчетная) поставка электроэнергии в сеть среднего напряжения первого уровня непосредственно от генерирующих источников, а также с оптового рынка электрической энергии (мощности) и от других внешних поставщиков, млн. кВт.ч;

- плановый (расчетный) на период регулирования отпуск электрической энергии в сеть СН11, присоединенную к сети ВН;

- плановая (расчетная) поставка электроэнергии в сеть среднего напряжения второго уровня непосредственно от генерирующих источников, а также с оптового рынка электрической энергии (мощности) и от других внешних поставщиков, млн. кВт.ч;

- полезный отпуск электрической энергии потребителям, присоединенным на высоком напряжении.

Среднее напряжение второго уровня

- расходы на оплату потерь в сетях среднего напряжения второго уровня напряжения, тыс. руб.;

- суммарный плановый (расчетный) на предстоящий период регулирования отпуск электроэнергии в сеть среднего напряжения второго уровня, млн. кВт.ч;

где:

- расчетный объем перетока электроэнергии из сети СН1 в сеть СН11, млн. кВт.ч;

где:

где:

- полезный отпуск электрической энергии потребителям, присоединенным на среднем напряжении первого уровня.

Низкое напряжение

где:

- расходы на оплату потерь в сетях низкого напряжения, тыс. руб.;

- суммарный плановый (расчетный) на предстоящий период регулирования отпуск электроэнергии в сеть низкого напряжения, млн. кВт.ч;

_НН - нормативы технологического расхода (потерь) электрической энергии на ее передачу по сетям (линиям электропередачи, трансформаторам) низкого напряжения, %;

где:

- часть затрат на оплату потерь сетей среднего напряжения (нижний индекс) второго уровня, учитываемая при расчете

Т(ПОТ) для смежных сетей низкого напряжения (верхний индекс), тыс. руб.;

- полезный отпуск электрической энергии потребителям, присоединенным на среднем напряжении второго уровня.

Проверка сходимости распределения затрат на оплату потерь и сбора товарной выручки

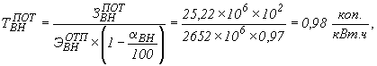
Таким образом, = = 105,244 х 10(6) руб.

36. Пункт 58

Потери тепловой энергии на потребительском рынке рассчитываются по средневзвешенному тарифу по формуле:

где:

Т_хср - средневзвешенный тариф (цена) производства тепловой энергии на генерирующих источниках энергоснабжающей организации и покупки тепловой энергии у других поставщиков;

Т_усл - суммарная плата за услуги, связанные с передачей тепловой энергии по тепловым сетям, платы за иные услуги, являющиеся неотъемлемой частью процесса передачи и распределения энергии, которые определены Федеральным законом "О государственном регулировании тарифов на электрическую и тепловую энергию в Российской Федерации" и Основ ценообразования.

37. Пункт 61

Плата за услуги по передаче тепловой энергии представляет собой сумму платежей за содержание тепловых сетей и за потери тепловой энергии. Для водяных и для паровых тепловых сетей тарифные ставки за содержание сетей и тарифные ставки за компенсацию потерь тепловой энергии устанавливаются отдельно. Для этого НВВ сетевой организации разделяется между паровыми и водяными сетями, при этом общехозяйственные расходы распределяются между указанными сетями пропорционально прямым расходам.

38. Пункт 61.2

При написании данного пункта Методических указаний ФСТ России принимала во внимание, что регулируемая организация, осуществляющая деятельность по передаче тепловой энергии, осуществляет также деятельность по ее продаже потребителям (другим ЭСО). В этом случае нормативные технологические потери тепловой энергии указанной организации включаются в состав НВВ этой организации.

Однако в последнее время в некоторых организациях произошло выделение компаний, оказывающих только услуги по передаче тепловой энергии и не осуществляющих деятельность по ее продаже. В этом случае нормативные технологические потери тепловой энергии, связанные с процессом передачи тепловой энергии, следует включать в НВВ организации, осуществляющей деятельность по производству тепловой энергии, если иное не оговорено в договоре.

При этом во всех случаях затраты электроэнергии на привод насосов (подкачивающих, смесительных, циркуляционных, дренажных и т.п.), а также другого оборудования, обеспечивающего технологический процесс передачи и распределения тепловой энергии, включаются в НВВ организаций, осуществляющих передачу тепла.

39. Пункт 66

Иллюстративный пример расчета тарифов (цен) на производство электроэнергии произведен по следующим исходным данным:

В регионе (на территории субъекта Российской Федерации) имеются две энергоснабжающие организации: АО-энерго и другая организация, осуществляющая покупку у АО-энерго электрической энергии и мощности для последующей их перепродажи потребителям (ЭСО).

Нормативы технологического расхода электрической энергии по сетям АО-энерго и ЭСО: ВН - 4%, СН - 8%, НН - 12%.

Состав потребителей и объемы их электропотребления представлены в Таблице 1. Из сетей АО-энерго получают электрическую энергию базовый потребитель (группа 1), население (группа 2), прочий потребитель (группа 3) и ЭСО, а из сетей ЭСО - население и прочий потребитель.

Таблица 1

Состав потребителей и объемы их электропотребления на расчетный период регулирования

Показатели Потребители АО энерго Потребители ЭСО Примечания
1. Базовый потребитель      
Полезный отпуск электроэнергии, млн. кВт.ч 1800 -- Формируется по суммарным заявкам базового потребителя
Заявленная мощность, МВт 250 -- Формируется по суммарным заявкам базового потребителя
Присоединение к уровню напряжения ВН --  
1.4. Выбранный из тарифного меню вариант расчетов двухставочный --  
1. Население      
Полезный отпуск электроэнергии, млн. кВт.ч 200 364,32 Формируется по фактическому потреблению прошлого года с учетом естественного прироста
Заявленная мощность, МВт 50 91,08 Формируется по фактическому потреблению прошлого года с учетом естественного прироста
Присоединение к уровню напряжения НН НН  
2.4. Выбранный из тарифного меню вариант расчетов одноставочный одноставочный  
2. Прочий потребитель      
Полезный отпуск электроэнергии, млн. кВт.ч 1300 836 Формируется по суммарным заявкам потребителей данной категории
Заявленная мощность, МВт 275 185,6 Формируется по суммарным заявкам потребителей данной категории
Присоединение к уровню напряжения СН СН  
3.4. Выбранный из тарифного меню вариант расчетов двухставочный двухставочный  
       
3. ЭСО      
Полезный отпуск электроэнергии, млн. кВт.ч 1200 -- Формируется по суммарным заявкам с учетом присоединенных категорий потребителей
Заявленная мощность, МВт 276,68 -- Формируется по суммарным заявкам с учетом присоединенных категорий потребителей
Присоединение к уровню напряжения СН --  
4.4. Выбранный из тарифного меню вариант расчетов В соответствии с выбранным собственными потребителями вариантом --  

С учетом технологических потерь электроэнергии отпуск электроэнергии в сети АО-энерго и ЭСО представлен в Таблице 2 (в сеть АО-энерго электроэнергия поступает по высокому напряжению, а в сеть ЭСО - по среднему напряжению).

Таблица 2

Отпуск электроэнергии в сети АО-энерго и ЭСО, млн. кВт.ч

Показатели АО-энерго ЭСО
Отпуск электроэнергии в сеть всего (млн. кВт.ч), в т.ч. в сеть: 5142,64 1358,7
ВН 5142,64 ----
СН 3136,93 1358,7
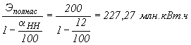
НН 227,27 414

Показатели отпуска электрической энергии низкого напряжения учитывают потери электроэнергии при переходе с сетей высокого напряжения на сети напряжения более низкого порядка.

Формирование указанной таблицы производится следующим образом:

Потребление ЭСО:

НН (категория "Население"):

СН (Прочий потребитель):

Потребление АО-энерго:

НН (категория "Население"):

СН (категории "Население"_АО , "Прочий потребитель"_АО , ЭСО):

ВН (все потребители):

Таблица 3

Структура расходов на производство электроэнергии, млн. руб.

Показатели Всего Собственная генерация Покупка с ФОРЭМ Примечания
НВВ всего (млн. рублей), в т.ч.: 1885,92 992,59 893,33  
НВВ, относимая на электроэнергию 962,88 595,55 367,33 Согласно затратам на производство электроэнергии
НВВ, относимая на мощность 923,04 397,04 526 Согласно затратам на производство мощности
Отпуск в сеть электроэнергии (млн. кВт.ч) 5142,64 2057,06 3085,58 См. таблицу 2
Заявленная мощность, МВт 851,68 340,67 511,01 См. таблицу 1
Отпущенная мощность, МВт 991,92 396,77 595,15 Расчет аналогично расчету отпущенной мощности

Согласно принятым Методическим указаниям расчет тарифов (цен) на электрическую энергию (мощность), поставляемую ПЭ потребителям, производится раздельно для потребителей группы 1 и потребителей групп 2 и 3.

Тарифы (цены) на электрическую энергию (мощность) для потребителей группы 1 (Базовые потребители)

Тариф (цена) на электрическую энергию (мощность) для базовых потребителей состоит из двух частей: базовой части и оставшейся. Базовая часть тарифа предназначена для оплаты базовой части полезного отпуска электрической энергии (мощности) потребителю первой группы. Оставшуюся часть отпуска базовый потребитель оплачивает по оставшейся части тарифа.

Итоговый, средневзвешенный тариф, складывается из указанных частей. Расчет средневзвешенных тарифов производится принятым способом в следующей последовательности.

Определяется доля полезного отпуска электрической энергии (заявленной мощности) базовых потребителей в полезном отпуске (заявленной мощности всех потребителей ЭСО) всем потребителям ЭСО (в данном случае под ЭСО подразумевается АО-энерго) по формулам (17) и (17.1):

где:

Э_пол1, Э_полЭСО - полезный отпуск электрической энергии соответственно базовым потребителям и всем потребителям АО-энерго (группы 1 - 3 и ЭСО),

N_заявл1, N_заявлЭСО - заявленная мощность соответственно базовым потребителям и всем потребителям АО-энерго (группы 1 - 3 и ЭСО).

Определяется базовая часть полезного отпуска электрической энергии Э_баз1 и заявленной мощности N_баз1 потребителям группы 1 по формулам (18) и (19):

Э_баз1 = К_1 х Э_пол1 = 0,4 х 1800 = 720 млн. кВт.ч
   
N_баз1 = К_1 х N_заявл1 = 0,29 х 250 = 72,5 МВт

Базовая часть тарифов на электрическую энергию и мощность рассчитываются по тарифным ставкам за электрическую энергию и мощность той из s-x ПЭ, заключивших с ЭСО договора купли-продажи (поставки) электрической энергии (мощности), которая имеет наименьший одноставочный тариф на электрическую энергию (в нашем случае - покупка с ФОРЭМ), по формулам (20) и (21):

Оставшиеся части тарифов (цен) на электрическую энергию и мощность , отпускаемые потребителю группы 1, определяем по формулам (22) - (27):

 
 

где:

и - суммарные по всем s-м ПЭ необходимые валовые выручки, отнесенные соответственно на электрическую энергию и мощность (см. таблицу 3);

Э_отп.баз1 и N_отп.баз1 - соответственно базовая часть полезного отпуска электрической энергии и мощности от sm-го ПЭ для потребителей группы 1 (см. таблицу N 3);

Э_баз1вн и Э_баз1сн1 - базовая часть полезного отпуска электрической энергии от sm-го ПЭ потребителям группы 1 соответственно на высоком и среднем первом уровнях напряжения (в нашем случае присутствует только Э_баз1вн, посчитано по формуле (18));

N_баз1вн и N_баз1сн1 - базовая часть заявленной мощности, отпускаемой от sm-го ПЭ потребителям группы 1 соответственно на высоком и среднем первом уровнях напряжения (в нашем случае присутствует только N_баз1вн, посчитанный по формуле (19));

и - тарифные выручки, получаемые sm-м ПЭ от потребителей групп 1 соответственно за полезный отпуск им электрической энергии в размере Э_баз1 и мощности в размере N_баз1 (расчет приведен ниже по формулам (28) и (29));

Э_отпs и N_отпs - соответственно полезный отпуск электрической энергии и мощности от s-го ПЭ потребителям (см. таблицу 3).

Средневзвешенные тарифы (цены) на электрическую энергию и мощность для потребителей группы 1 определяем по формулам (28) и (29):

 

Определяем тарифные выручки, полученные всеми ПЭ от потребителей группы 1 за отпуск электрической энергии и мощности по формулам (30) и (31):

Тарифы (цен) на электрическую энергию (мощность) для потребителей групп 2 - 3 (Население и Прочие потребители, а также ЭСО)

Средние тарифы (цены) на электрическую энергию (мощность) и , отпускаемую потребителям групп 2 - 3, определяем по формулам (32) и (33):

где:

Э_отп1 и N_отп1 - соответственно отпуск электрической энергии и заявленной мощности от s-x ПЭ для потребителей группы 1, рассчитываемый по формулам (34) и (35):

где:

Э_пол1ВН и N_заявл1ВН - соответственно полезный отпуск электрической энергии и заявленной мощности потребителям группы 1 на высоком уровне напряжения (см. таблицу 1).

Тарифные выручки, полученные всеми ПЭ от потребителей групп 2 - 3 за отпуск электрической энергии и мощности , определяем по формулам (36) и (37):

Оплата потребителями объемов технических потерь электроэнергии в сетях АО-энерго и ЭСО, рассчитываемая по формулам (14) - (14.11), представлена в Таблице 4.

Таблица 4

Оплата техн. потерь электроэнергии в сетях АО-энерго и ЭСО, млн. руб.

Потребители Потери электроэнергии в сетях
АО-энерго ЭСО
ВН СН НН СН НН
1. Потребители АО-энерго          
Базовый потребитель 12,52        
Население 2,05 3,93 5,42    
Прочий потребитель 11,08 22,48      
ЭСО 12,24 23,5      
2. Потребители ЭСО          
Население 4,05 7,78   7,16 9,88
Прочий потребитель 8,18 15,72   14,45  

Объемы тарифных выручек, получаемые ПЭ от потребителей энергии, представлены в Таблице 5.

Таблица 5

Тарифные выручки, получаемые ПЭ от потребителей энергии, млн. руб.

Потребители Тарифная выручка
Всего За мощность За энергию В т.ч. потери электроэнергии
1. Потребители АО-энерго        
Базовый потребитель 578,27 265,25 313,02 12,52
Население 106,15 54,97 51,18 5,4
Прочий потребитель 595,065 5 302,335 292,73 22,48
ЭСО 610,13 304,18 305,95 20,75
2. Потребители ЭСО        
Население 218,59 100,13 101,33 28,87
Прочий потребитель 531,99 319,56 204,62 38,35

Таблица 6

Структура расходов на содержание электрических сетей, млн. руб.

Показатели Всего АО-энерго ЭСО
НВВ всего 1800 1400 400
В т.ч. относимая на:      
ВН 800 800  
СН 800 500 300
НН 200 100 100

Расчет ставок платы за содержание электрических сетей по уровням напряжения, производимый по формулам (12) - (12.8), представлен в Таблице 7.

Таблица 7

Ставки платы за содержание электрических сетей, млн. руб. в мес./МВт

Показатели АО-энерго ЭСО
Ставка платы за содержание электрических сетей:    
ВН 0,078276661  
СН 0,147527204 0,090357091
НН 0,314193871 0,181851748

Расчет тарифных выручек, полученных АО-энерго и ЭСО от потребителей электроэнергии за содержание электрических сетей, представлен в Таблице 8.

Таблица 8

Тарифные выручки, получаемые АО-энерго и ЭСО от потребителей электроэнергии за содержание электрических сетей

Потребители Тарифные выручки
Всего АО-энерго ЭСО
1. Потребители АО-энерго      
Базовый потребитель 234,83 234,83  
Население 188,52 188,52  
Прочий потребитель 486,84 486,84  
ЭСО 489,81 489,81  
2. Потребители ЭСО      
Население 360 161,87 198,76
Прочий потребитель 529,81 328,57 201,24

Ставки за мощность и электрическую энергию тарифа за услуги по передаче рассчитываются по формулам (38) и (39) соответственно:

где:

s1 и i - индексы, фиксируемые соответственно ставку по i-ым уровнем напряжения в s1-x ЭСО;

- тарифная выручка, получаемая от j-го потребителя за содержание электрических сетей i-го уровня напряжения

s1-й ЭСО (определяется по формулам (12) - (12.9) раздел VIII настоящих Методических указаний).

где:

- тарифная выручка, получаемая от j-го потребителя за оплату потерь (технологического расхода) электрической энергии на ее передачу по сетям i-го уровня напряжения s1-й ЭСО (определяется по формулам (14) - (14.11) раздела VIII Методических указаний).

Результаты расчетов представлены в таблице 9.

Таблица 9

Ставки за электрическую энергию и мощность тарифа за услуги по передаче

Потребители , коп./кВт.ч , млн. руб. в /МВт
1. Потребители АО-энерго    
Базовый потребитель 0,6956 0,94
Население 5,7 3,77
Прочий потребитель 2,58 1,77
ЭСО 2,978 1,77
2. Потребители ЭСО    
Население 7,9 2,182
Прочий потребитель 4,6 1,0842

С учетом расходов на производство и передачу электрической энергии j-й потребитель оплачивает ставку (тариф) на заявленную мощность и ставку (тариф) за полезный отпуск электроэнергии .

Ставки (тарифы) и j-го потребителя, относящегося к группе 1, определяются по формулам (40) и (41):

Ставка (тарифы) и j-го потребителя, относящегося к группам 2 и 3, определяются по формулам (42) и (43):

Тарифные ставки, рассчитанные по вышеуказанным формулам, приведены в Таблице 10.

Таблица 10

Тарифные ставки для потребителей электроэнергии

Потребители Тарифные ставки
За электроэнергию, коп./кВт.ч За мощность, тыс. руб. в мес./МВт Одноставочный, коп./кВт.ч
1 . Потребители АО-энерго      
Базовый потребитель 17,39 186 --
Население 25,58 470 26,14 *
Прочий потребитель 22,47 270 22,54
ЭСО 22,87 270 --
2. Потребители ЭСО      
Население 27,81 488 28
Прочий потребитель 24,48 378 24,55

Для потребителей, применяющих одноставочные тарифы на электроэнергию, рассчитанные согласно настоящим Методическим указаниям, двухставочные тарифы преобразуются в одноставочные по формуле (44):

* -

где:

М - продолжительность периода регулирования, мес.;

h_maxj - годовое число часов использования заявленной мощности.

Годовое число часов использования заявленной мощности для категории "Население" составляет величину менее 2000 тыс. часов, поэтому, согласно Методическим указаниям по расчету регулируемых тарифов и цен на электрическую (тепловую) энергию на розничном (потребительском) рынке, выбираем в качестве h_maxj 1000 часов.

40. Пункт 71

Указанную в формуле (46.1) сумму условно-переменных (топливных) затрат в ночной зоне графика нагрузки рекомендуется рассчитывать исходя из нормативных характеристик оборудования, а при их отсутствии и до утверждения Минпромэнерго России исходя из среднего удельного расхода топлива.

41. Приложения 1 - 4. В соответствии с п. 12 Правил государственного регулирования и применения тарифов (цен) на электрическую и тепловую энергию в Российской Федерации регулирующий орган вправе запросить дополнительные материалы, указав формы их представления и требования к ним, а регулируемая организация обязана их предоставить при условии обоснования РЭК целесообразности приобщения этих материалов к делу об установлении тарифов. В частности, регулирующий орган может расширить перечень таблиц, приведенных в Приложениях к Методическим указаниям, а также дополнить представленные в указанных Приложениях таблицы отдельными строками.

42. Приложение 4 пункт 5.4

При нормированных эксплуатационных часовых тепловых потерях рекомендуется применять значения норм, приведенных в следующих таблицах:

Нормы <*> тепловых потерь (плотности теплового потока) водяными теплопроводами, спроектированными в период с 1959 по 1990 г.

<*> В соответствии с Нормами проектирования тепловой изоляции для трубопроводов и оборудования электростанций и тепловых сетей. - М.: Госстройиздат, 1959.

Таблица 1.1

Нормы тепловых потерь изолированными водяными теплопроводами в непроходных каналах и при бесканальной прокладке с расчетной среднегодовой температурой грунта +5 град. С на глубине заложения теплопроводов

Наружный диаметр труб d_н, мм Нормы потерь тепла, Вт/м [(ккал/м.ч)]
обратный теплопровод при средней температуре воды = 50 град. С двухтрубной прокладки при разности среднегодовых температур воды и грунта 52,5 град. С = 65 град. С двухтрубной прокладки при разности среднегодовых температур воды и грунта 65 град. С = 90 град. С двухтрубной прокладки при разности среднегодовых температур воды и грунта 75 град. С = 100 град. С
32 23 (20) 52 (45) 60 (52) 67 (58)
57 29 (25) 65 (56) 75 (65) 84 (72)
76 34 (29) 75 (64) 86 (74) 95 (82)
89 36 (31) 80 (69) 93 (80) 102 (88)
108 40 (34) 88 (76) 102 (88) 111 (96)
159 49 (42) 109 (94) 124 (107) 136 (117)
219 59 (51) 131 (113) 151 (130) 165 (142)
273 70 (60) 154 (132) 174 (150) 190 (163)
325 79 (68) 173 (149) 195 (168) 212 (183)
377 88 (76) 191 (164) * 212 (183) 234 (202)
426 95 (82) 209 (180) * 235 (203) 254 (219)
478 106 (91) 230 (198) * 259 (223) 280 (241)
529 117 (101) 251 (216) * 282 (243) 303 (261)
630 133 (114) 286 (246) * 321 (277) 345 (298)
720 145 (125) 316 (272) * 355 (306) 379 (327)
820 164 (141) 354 (304) * 396 (341) 423 (364)
920 180 (155) 387 (333) * 433 (373) 463 (399)
1020 198 (170) 426 (366) * 475 (410) 506 (436)
1220 233 (200) 499 (429) * 561 (482) 591 (508)
1420 265 (228) 568 (488) 644 (554) 675 (580)

Примечания:

1. Отмеченные знаком "*" значения удельных часовых тепловых потерь приведены как оценочные ввиду отсутствия в [1] соответствующих значений удельных тепловых потерь для подающего трубопровода.

2. Значения удельных часовых тепловых потерь для диаметров 1220 и 1420 мм ввиду их отсутствия в "Нормах..." определены методом экстраполяции и приведены как рекомендуемые.

Таблица 1.2

Нормы тепловых потерь одним изолированным водяным теплопроводом на надземной прокладке с расчетной среднегодовой температурой наружного воздуха +5 град. С

Наружный диаметр труб d_н, мм Нормы потерь тепла, Вт/м [(ккал/м.ч)]
Разность среднегодовой температуры сетевой воды в подающем или обратном трубопроводах и наружного воздуха, град. С
45 70 95 120
32 17 (15) 27 (23) 36 (31) 44 (38)
49 21 (18) 31 (27) 42 (36) 52 (45)
57 24 (21) 35 (30) 46 (40) 57 (49)
76 29 (25) 41 (35) 52 (45) 64 (55)
82 32 (28) 44 (38) 58 (50) 70 (60)
108 36 (31) 50 (43) 64 (55) 78 (67)
133 41 (35) 56 (48) 70 (60) 86 (74)
159 44 (38) 58 (50) 75 (65) 93 (80)
194 49 (42) 67 (58) 85 (73) 102 (88)
219 53 (46) 70 (60) 90 (78) 110 (95)
273 61 (53) 81 (70) 101 (87) 124 (107)
325 70 (60) 93 (80) 116 (100) 139 (120)
377 82 (71) 108 (93) 132 (114) 157 (135)
426 95 (82) 122 (105) 148 (128) 174 (150)
478 103 (89) 131 (113) 158 (136) 186 (160)
529 110 (95) 139 (120) 168 (145) 197 (170)
630 121 (104) 154 (133) 186 (160) 220 (190)
720 133 (115) 168 (145) 204 (176) 239 (206)
820 157 (135) 195 (168) 232 (200) 270 (233)
920 180 (155) 220 (190) 261 (225) 302 (260)
1020 209 (180) 255 (220) 296 (255) 339 (292)
1420 267 (230) 325 (280) 377 (325) 441 (380)

Нормы <*> тепловых потерь (плотности теплового потока) водяными теплопроводами, спроектированными в период с 1990 по 1998 г.

<*> В соответствии с СНиП 2.04.14-88. Тепловая изоляция оборудования и трубопроводов.

Таблица 2.1

Нормы плотности теплового потока через изолированную поверхность трубопроводов двухтрубных водяных тепловых сетей при прокладке в непроходных каналах, Вт/м [ккал/(м.ч)]

Условный проход трубопровода, мм При числе часов работы в год 5000 и менее При числе часов работы в год более 5000
Трубопровод
подающий обратный подающий обратный подающий обратный подающий обратный подающий обратный подающий обратный
Среднегодовая температура теплоносителя, град. С
65 50 90 50 110 50 65 50 90 50 110 50
                         
25 18 (15) 12 (10) 26 (22) 11 (9) 31 (27) 10 (9) 16 (14) 11 (9) 23 (20) 10 (9) 28 (24) 9 (8)
30 19 (16) 13 (11) 27 (23) 12 (10) 33 (28) 11 (9) 17 (15) 12 (10) 24 (21) 11 (9) 30 (26) 10 (9)
40 21 (18) 14 (12) 29 (25) 13 (11) 36 (31) 12 (10) 18 (15) 13 (11) 26 (22) 12 (10) 32 (28) 11 (9)
50 22 (19) 15 (13) 33 (28) 14 (12) 40 (34) 13 (11) 20 (17) 14 (12) 28 (24) 13 (11) 35 (30) 12 (10)
65 27 (23) 19 (16) 38 (33) 16 (14) 47 (40) 14 (12) 23 (20) 16 (14) 34 (29) 15 (13) 40 (34) 13 (11)
80 29 (25) 20 (17) 41 (35) 17 (15) 51 (44) 15 (13) 25 (22) 17 (15) 36 (31) 16 (14) 44 (38) 14 (12)
100 33 (28) 22 (19) 46 (40) 19 (16) 57 (49) 17 (15) 28 (24) 19 (16) 41 (35) 17 (15) 48 (41) 15 (13)
125 34 (29) 23 (20) 49 (42) 20 (17) 61 (53) 18 (15) 31 (27) 21 (18) 42 (36) 18 (15) 50 (43) 16 (14)
150 38 (33) 26 (22) 54 (46) 22 (19) 65 (56) 19 (16) 32 (28) 22 (19) 44 (38) 19 (16) 55 (47) 17 (15)
200 48 (41) 31 (27) 66 (57) 26 (22) 83 (71) 23 (20) 39 (34) 27 (23) 54 (46) 22 (19) 68 (59) 21 (18)
250 54 (46) 35 (30) 76 (65) 29 (25) 93 (80) 25 (22) 45 (39) 30 (26) 64 (55) 25 (22) 77 (66) 23 (20)
300 62 (53) 40 (34) 87 (75) 32 (28) 103 (89) 28 (24) 50 (43) 33 (28) 70 (60) 28 (24) 84 (72) 25 (22)
350 68 (59) 44 (38) 93 (80) 34 (29) 117 (101) 29 (25) 55 (47) 37 (32) 75 (65) 30 (26) 94 (81) 26 (22)
400 76 (65) 47 (40) 109 (94) 37 (32) 123 (106) 30 (26) 58 (50) 38 (33) 82 (71) 33 (28) 101 (87) 28 (24)
450 77 (66) 49 (42) 112 (96) 39 (34) 135 (116) 32 (28) 67 (58) 43 (37) 93 (80) 36 (31) 107 (92) 29 (25)
500 88 (76) 54 (46) 126 (108) 43 (37) 167 (144) 33 (28) 68 (59) 44 (38) 98 (84) 38 (33) 117 (101) 32 (28)
600 98 (84) 58 (50) 140 (121) 45 (39) 171 (147) 35 (30) 79 (68) 50 (43) 109 (94) 41 (35) 132 (114) 34 (29)
700 107 (92) 63 (54) 163 (140) 47 (40) 185 (159) 38 (33) 89 (77) 55 (47) 126 (108) 43 (37) 151 (130) 37 (32)
800 130 (112) 72 (62) 181 (156) 48 (41) 213 (182) 42 (36) 100 (86) 60 (52) 140 (121) 45 (39) 163 (140) 40 (34)
900 138 (119) 75 (65) 190 (164) 57 (49) 234 (201) 44 (38) 106 (91) 66 (57) 151 (130) 54 (46) 186 (160) 43 (37)
1000 152 (131) 78 (67) 199 (171) 59 (51) 249 (214) 49 (42) 117 (101) 71 (61) 158 (136) 57 (49) 192 (165) 47 (40)
1200 185 (159) 86 (74) 257 (221) 66 (57) 300 (258) 54 (46) 144 (124) 79 (68) 185 (159) 64 (55) 229 (197) 52 (45)
1400 204 (176) 90 (77) 284 (245) 69 (59) 322 (277) 58 (50) 152 (131) 82 (71) 210 (181) 68 (59) 252 (217) 56 (48)

Таблица 2.2

Нормы плотности теплового потока через изолированную поверхность трубопроводов при двухтрубной подземной бесканальной прокладке водяных тепловых сетей, Вт/м [ккал/(м.ч)]

Условный проход трубопровода, мм При числе часов работы в год 5000 и менее При числе часов работы в год более 5000
Трубопровод
подающий обратный подающий обратный подающий обратный подающий обратный
Среднегодовая температура теплоносителя, град. С
65 50 90 50 65 50 90 50
25 36 (31) 27 (23) 48 (41) 26 (22) 33 (28) 25 (22) 44 (38) 24 (21)
50 44 (38) 34 (29) 60 (52) 32 (28) 40 (34) 31 (27) 54 (46) 29 (25)
65 50 (43) 38 (33) 67 (58) 36 (31) 45 (39) 34 (29) 60 (52) 33 (28)
80 51 (44) 39 (34) 69 (59) 37 (32) 46 (40) 35 (30) 61 (53) 34 (29)
100 55 (47) 42 (36) 74 (64) 40 (34) 49 (42) 38 (33) 65 (56) 35 (30)
125 61 (53) 46 (40) 81 (70) 44 (38) 53 (46) 41 (35) 72 (62) 39 (34)
150 69 (59) 52 (45) 91 (78) 49 (42) 60 (52) 46 (40) 80 (69) 43 (37)
200 77 (66) 59 (51) 101 (87) 54 (46) 66 (57) 50 (43) 89 (77) 48 (41)
250 83 (71) 63 (54) 111 (96) 59 (51) 72 (62) 55 (47) 96 (83) 51 (44)
300 91 (78) 69 (59) 122 (105) 64 (55) 79 (68) 59 (51) 105 (90) 56 (48)
350 101 (87) 75 (65) 133 (115) 69 (59) 86 (74) 65 (56) 113 (97) 60 (52)
400 108 (93) 80 (69) 140 (121) 73 (63) 91 (78) 68 (59) 121 (104) 63 (54)
450 116 (100) 86 (74) 151 (130) 78 (67) 97 (84) 72 (62) 129 (111) 67 (58)
500 123 (106) 91 (78) 163 (140) 83 (71) 105 (90) 78 (67) 138 (119) 72 (62)
600 140 (121) 103 (89) 186 (160) 94 (81) 117 (101) 87 (75) 156 (134) 80 (69)
700 156 (134) 112 (96) 203 (175) 100 (86) 126 (108) 93 (80) 170 (146) 86 (74)
800 169 (146) 122 (105) 226 (195) 109 (94) 140 (121) 102 (88) 186 (160) 93 (80)

Таблица 2.3

Нормы плотности теплового потока через изолированную поверхность трубопроводов при расположении на открытом воздухе, Вт/м [ккал/(м.ч)]

Условный проход трубопровода, мм При числе часов работы в год 5000 и менее При числе часов работы в год более 5000
Средняя температура теплоносителя, град. С
50 100 150 50 100 150
Нормы линейной плотности теплового потока, Вт/м (ккал/м.ч)
15 10 (9) 20 (17) 30 (26) 11 (10) 22 (19) 34 (29)
20 11 (10) 22 (19) 34 (29) 13 (11) 25 (22) 38 (33)
25 13 (11) 25 (22) 37 (32) 15 (13) 28 (24) 42 (36)
40 15 (13) 29 (25) 44 (38) 18 (15) 33 (28) 49 (42)
50 17 (15) 31 (27) 47 (40) 19 (16) 36 (31) 53 (46)
65 19 (16) 36 (31) 54 (46) 23 (20) 41 (35) 61 (53)
80 21 (18) 39 (34) 58 (50) 25 (22) 45 (39) 66 (57)
100 24 (21) 43 (37) 64 (55) 28 (24) 50 (43) 73 (63)
125 27 (23) 49 (42) 70 (60) 32 (28) 56 (48) 81 (70)
150 30 (26) 54 (46) 77 (66) 35 (30) 63 (54) 89 (77)
200 37 (32) 65 (56) 93 (80) 44 (38) 77 (66) 109 (94)
250 43 (37) 75 (65) 106 (91) 51 (44) 88 (76) 125 (108)
300 49 (42) 84 (72) 118 (102) 59 (51) 101 (87) 140 (121)
350 55 (47) 93 (80) 131 (113) 66 (57) 112 (96) 155 (133)
400 61 (53) 102 (88) 142 (122) 73 (63) 122 (105) 170 (146)
450 65 (56) 109 (94) 152 (131) 80 (69) 132 (114) 182 (157)
500 71 (61) 119 (102) 166 (143) 88 (76) 143 (123) 197 (170)
600 82 (71) 136 (117) 188 (162) 100 (86) 165 (142) 225 (194)
700 92 (79) 151 (130) 209 (180) 114 (98) 184 (158) 250 (215)
800 103 (89) 167 (144) 213 (183) 128 (110) 205 (177) 278 (239)
900 113 (97) 184 (158) 253 (218) 141 (121) 226 (195) 306 (263)
1000 124 (107) 201 (173) 275 (237) 155 (133) 247 (213) 333 (287)
Криволинейные поверхности диаметром более 1020 мм и плоские Нормы поверхностной плотности и теплового потока, Вт/м2 [(ккал/м2.ч)]
35 (30) 54 (46) 70 (60) 44 (38) 71 (61) 88 (76)

Нормы <*> тепловых потерь (плотности теплового потока) водяными теплопроводами, спроектированными с 1998 г.

<*> В соответствии с Изменением N 1 от 31.12.97 к СНиП 2.04.14-88. Тепловая изоляция оборудования и трубопроводов.

Таблица 3.1

Нормы плотности теплового потока через поверхность изоляции трубопроводов двухтрубных водяных тепловых сетей при прокладке в непроходных каналах и подземной бесканальной прокладке, Вт/м [м.ч]

Условный проход трубопровода, мм При числе часов работы в год 5000 и менее При числе часов работы в год более 5000
Трубопровод
подающий обратный подающий обратный подающий обратный подающий обратный подающий обратный подающий обратный
Среднегодовая температура теплоносителя, град. С        
65 50 90 50 110 50 65 50 90 50 110 50
25 15 (13) 10 (9) 22 (19) 10 (9) 26 (22) 9 (8) 14 (12) 9 (8) 20 (17) 9 (8) 24 (21) 8 (7)
30 16 (14) 11 (9) 23 (20) 11 (9) 28 (24) 10 (9) 15 (13) 10 (9) 20 (17) 10 (9) 26 (22) 9 (8)
40 18 (16) 12 (10) 25 (22) 12 (10) 31 (27) 11 (9) 16 (14) 11 (9) 22 (19) 11 (9) 27 (23) 10 (9)
50 19 (16) 13 (11) 28 (24) 13 (11) 34 (29) 12 (10) 17 (15) 12 (10) 24 (21) 12 (10) 30 (26) 11 (9)
65 23 (20) 16 (14) 32 (28) 14 (12) 40 (34) 13 (11) 20 (17) 13 (11) 29 (25) 13 (11) 34 (29) 12 (10)
80 25 (22) 17 (15) 35 (30) 15 (13) 43 (37) 14 (12) 21 (18) 14 (12) 31 (27) 14 (12) 37 (32) 13 (11)
100 28 (24) 19 (16) 39 (34) 16 (14) 48 (41) 16 (14) 24 (21) 16 (14) 35 (30) 15 (13) 41 (35) 14 (12)
125 29 (25) 20 (17) 42 (36) 17 (15) 52 (45) 17 (15) 26 (22) 18 (16) 38 (33) 16 (14) 43 (37) 15 (13)
150 32 (28) 22 (19) 46 (40) 19 (16) 55 (47) 18 (16) 27 (23) 19 (16) 42 (36) 17 (15) 47 (41) 16 (14)
200 41 (35) 26 (22) 55 (47) 22 (19) 71 (61) 20 (17) 33 (28) 23 (20) 49 (42) 19 (16) 58 (50) 18 (16)
250 46 (40) 30 (26) 65 (56) 25 (22) 79 (68) 21 (18) 38 (33) 26 (22) 54 (47) 21 (18) 66 (57) 20 (17)
300 53 (46) 34 (29) 74 (64) 27 (23) 88 (76) 24 (21) 43 (37) 28 (24) 60 (52) 24 (21) 71 (61) 21 (18)
350 58 (50) 37 (32) 79 (68) 29 (25) 98 (84) 25 (22) 46 (40) 31 (27) 64 (55) 26 (22) 80 (69) 22 (19)
400 65 (56) 40 (34) 87 (75) 32 (28) 105 (91) 26 (22) 50 (43) 33 (28) 70 (60) 28 (24) 86 (74) 24 (21)
450 70 (60) 42 (36) 95 (82) 33 (28) 115 (99) 27 (23) 54 (47) 36 (31) 79 (68) 31 (27) 91 (78) 25 (22)
500 75 (65) 46 (40) 107 (92) 36 (31) 130 (112) 28 (24) 58 (50) 37 (32) 84 (72) 32 (28) 100 (86) 27 (23)
600 83 (72) 49 (42) 119 (103) 38 (33) 145 (125) 30 (26) 67 (58) 42 (36) 93 (80) 35 (30) 112 (97) 31 (27)
700 91 (78) 54 (47) 139 (120) 41 (35) 157 (135) 33 (28) 76 (66) 47 (41) 107 (92) 37 (32) 128 (110) 31 (27)
800 106 (91) 61 (53) 150 (129) 45 (39) 181 (156) 36 (31) 85 (73) 51 (44) 119 (103) 38 (33) 139 (120) 34 (29)
900 117 (101) 64 (55) 162 (140) 48 (41) 199 (172) 37 (32) 90 (78) 56 (48) 128 (110) 43 (37) 150 (129) 37 (32)
1000 129 (111) 66 (57) 169 (146) 51 (44) 212 (183) 42 (36) 100 (86) 60 (52) 140 (121) 46 (40) 163 (141) 40 (34)
1200 157 (135) 73 (63) 218 (188) 55 (47) 255 (220) 46 (40) 114 (98) 67 (58) 158 (136) 53 (46) 190 (164) 44 (38)
1400 173 (149) 77 (66) 241 (208) 59 (51) 274 (236) 49 (42) 130 (112) 70 (60) 179 (154) 58 (50) 224 (193) 48 (41)

Таблица 3.2

Нормы плотности теплового потока через поверхность изоляции трубопроводов на открытом воздухе, Вт/м [м.ч]

Условный проход трубопровода, мм При числе часов работы в год 5000 и менее При числе часов работы в год более 5000
Среднегодовая температура теплоносителя, град. С
подающий обратный подающий обратный подающий обратный
Нормы линейной плотности теплового потока, Вт/м [ккал/(м.ч)]
50 100 150 50 100 150
15 9 (8) 18 (16) 28 (24) 8 (7) 16 (14) 24 (21)
20 11 (9) 21 (18) 31 (27) 9 (8) 18 (16) 28 (24)
25 12 (10) 23 (20) 34 (29) 11 (9) 20 (17) 30 (26)
40 15 (13) 27 (23) 40 (34) 12 (10) 24 (21) 36 (31)
50 16 (14) 30 (26) 44 (38) 14 (12) 25 (22) 38 (33)
65 19 (16) 34 (29) 50 (43) 15 (13) 29 (25) 44 (38)
80 21 (18) 37 (32) 54 (47) 17 (15) 32 (28) 47 (41)
100 23 (20) 41 (35) 60 (52) 19 (16) 35 (30) 52 (45)
125 26 (22) 46 (40) 66 (57) 22 (19) 40 (34) 57 (49)
150 29 (25) 52 (45) 73 (63) 24 (21) 44 (38) 62 (53)
200 36 (31) 63 (54) 89 (77) 30 (26) 53 (46) 75 (65)
250 42 (36) 72 (62) 103 (89) 35 (30) 61 (53) 86 (74)
300 48 (41) 83 (72) 115 (99) 40 (34) 68 (59) 96 (83)
350 54 (47) 92 (79) 127 (109) 45 (39) 75 (65) 106 (91)
400 60 (52) 100 (86) 139 (120) 49 (42) 83 (72) 115 (99)
450 66 (57) 108 (93) 149 (128) 53 (46) 88 (76) 123 (106)
500 72 (62) 117 (101) 162 (140) 58 (50) 96 (83) 135 (116)
600 82 (71) 135 (116) 185 (159) 66 (57) 110 (95) 152 (131)
700 94 (81) 151 (130) 205 (177) 75 (65) 122 (105) 169 (146)
800 105 (91) 168 (145) 228 (197) 83 (72) 135 (116) 172 (148)
900 116 (100) 185 (159) 251 (216) 92 (79) 149 (128) 205 (177)
1000 127 (109) 203 (175) 273 (235) 101 (87) 163 (141) 223 (192)