Данный документ не поддерживается в сервисе Норматив.
ГОСУДАРСТВЕННЫЙ КОМИТЕТ РОССИЙСКОЙ ФЕДЕРАЦИИ ПО СТРОИТЕЛЬСТВУ И ЖИЛИЩНО-КОММУНАЛЬНОМУ КОМПЛЕКСУ
ПРИКАЗ
от 18 апреля 2001 г. N 81
ОБ УТВЕРЖДЕНИИ МЕТОДИЧЕСКИХ УКАЗАНИЙ ПО ПРОВЕДЕНИЮ ЭНЕРГОРЕСУРСОАУДИТА В ЖИЛИЩНО-КОММУНАЛЬНОМ ХОЗЯЙСТВЕ
В целях дальнейшей реализации Федерального закона от 03.04.96 N 28-ФЗ "Об энергосбережении", перехода жилищно-коммунального хозяйства к режиму безубыточного функционирования и оказания методической помощи организациям, занимающимся вопросами энергоресурсосбережения в ЖКХ, приказываю:
В связи с утратой силы Федерального закона от 03.04.96 N 28-ФЗ, следует руководствоваться принятым взамен Федеральным законом от 23.11.2009 N 261-ФЗ
1. Утвердить прилагаемые Методические указания по проведению энергоресурсоаудита в жилищно-коммунальном хозяйстве, разработанные Московским институтом коммунального хозяйства и строительства (МИКХиС) и Федеральным центром энергоресурсосбережения в жилищно-коммунальном хозяйстве, внесенные Управлением инженерной инфраструктуры Госстроя России.
2. Управлению инженерной инфраструктуры (Жуков Н.Н.) совместно с МИКХиС (Авдолимов Е.М.) и Федеральным центром энергоресурсосбережения в ЖКХ (Эгильский И.С.) организовать издание Методических указаний и доведение их до заинтересованных организаций.
3. Контроль за исполнением настоящего приказа возложить на заместителя председателя Госстроя России В.П.Рощупкина.
УТВЕРЖДЕНЫ
Приказом Госстроя РФ
от 18 апреля 2001 г. N 81
МЕТОДИЧЕСКИЕ УКАЗАНИЯ
ПО ПРОВЕДЕНИЮ ЭНЕРГОРЕСУРСОАУДИТА В ЖИЛИЩНО-КОММУНАЛЬНОМ ХОЗЯЙСТВЕ
МДК 1-01.2001
Введение
Энергоресурсосбережение является ключевым звеном реформирования жилищно-коммунального хозяйства (ЖКХ) России.
В России каждый процент экономии топлива и энергии может дать 0,35-0,4% прироста национального дохода.
Конечной целью энергоресурсосберегающей политики в ЖКХ служит снижение издержек производства и себестоимости коммунальных услуг и, соответственно, смягчение для населения бремени оплаты этих услуг.
ЖКХ является крупным потребителем топлива и энергии - около 30% потребления энергии России. Вместе с тем, в ЖКХ регионов Российской Федерации имеются значительные резервы экономии электрической и тепловой энергии, а также воды:
- по электроэнергии от 15% до 25%;
В целом по России удельное потребление энергоресурсов на одного человека значительно превышает соответствующие показатели европейских стран:
Значительный потенциал экономии и рост стоимости энергоресурсов делают проблему энергоресурсосбережения в ЖКХ весьма актуальной.
На решение этой проблемы и направлена подпрограмма "Энергоресурсосбережение в ЖКХ на 2000-2005 гг." Федеральной целевой программы "Энергосбережение России". Функции государственного заказчика по программе осуществляются Госстроем России.
Основой для разработки и реализации муниципальных программ энергоресурсосбережения должен быть энергоаудит объектов ЖКХ, включающий энергетические обследования, оценку имеющихся резервов экономии и определение технико-экономической эффективности предложенных мероприятий по энергоресурсосбережению.
Данные Методические рекомендации по проведению энергоресурсоаудита в жилищно-коммунальном хозяйстве рассчитаны на работников жилищно-коммунального хозяйства и специалистов, занимающихся энергоресурсосбережением в ЖКХ.
Терминология, определения
Топливно-энергетические ресурсы (далее - ТЭР) - Совокупность всех природных и преобразованных видов топлива и энергии, используемых в хозяйственной деятельности (в том числе и воды как энергоресурса в системе ЖКХ).
Энергосбережение - Реализация правовых, организационных, научных, производственных, технических, и экономических мер, направленных на эффективное использование топливно-энергетических ресурсов и на вовлечение в хозяйственный оборот возобновляемых источников энергии (Закон РФ "Об энергосбережении").
Потенциал энергосбережения - Количество ТЭР, которое можно сберечь в результате реализации технически возможных и экономически оправданных мер, направленных на эффективное их использование и вовлечение в хозяйственный оборот возобновляемых источников энергии при условии сохранения или снижения техногенного воздействия на окружающую и природную среды.
Возобновляемые источники энергетики - Источники энергии, постоянно возобновляемые естественным путем за счет физико-химических процессов природного происхождения.
Вторичный энергетический ресурс (ВЭР) - Энергетический ресурс, получаемый в виде побочного продукта основного производства или являющийся таким продуктом (Закон "Об энергосбережении").
Наиболее часто используются ВЭР в виде тепла, газа, водяного пара, сбросных вод и топлива (твердые отходы, жидкие сбросы и газообразные выбросы предприятий отраслей промышленности).
Показатель энергетической эффективности (объекта) - Количественная характеристика уровней рационального потребления и экономного расходования ТЭР при создании продукции, реализации процессов, проведении работ и оказании услуг, выраженная в виде абсолютного, удельного или относительного показателя их потребления (потерь).
Характеристика энергоресурсопотребления - физическая величина, отражающая количество и качество потребляемого объектом энергоресурса, которая используется для расчета показателей эффективности.
Нормативный показатель энергетической эффективности (объекта ЖКХ, процесса) - Установленная в нормативной документации на объект (процесс) количественная характеристика уровней рационального потребления и экономного расходования ТЭР при создании продукции, реализации процессов, проведении работ и оказании услуг, выраженная в виде абсолютного, удельного или относительного показателя их потребления (потерь) (на основе Закона "Об энергосбережении").
Показатель энергосбережения - Количественная характеристика намечаемых и (или) реализуемых мер по энергосбережению и их результатов.
Нерациональное расходование энергетических ресурсов - Расход топливно-энергетических ресурсов на энергетических и технических установках, в промышленном и коммунально-бытовом секторе, в том числе в жилых и общественных зданиях, на которых выявлены резервы для снижения потребления топливно-энергетических ресурсов.
Расточительное расходование энергетических ресурсов - Расход топливно-энергетических ресурсов с превышением строительных и технологических норм, несоблюдением действующих правил эксплуатации производственных и коммунально-бытовых объектов, в т.ч. при авариях, из-за бесхозяйственности и некомпетентности обслуживающего персонала.
Непроизводительный расход ТЭР - Расход ТЭР, обусловленный несоблюдением требований, установленных государственными стандартами, а также нарушением требований, установленных иными нормативными актам, нормативными и методическими документами.
Рациональное использование ТЭР - Достижение максимальной эффективности использования ТЭР в хозяйстве при существующем уровне развития техники и технологии с одновременным снижением техногенного воздействия на окружающую среду.
Экономное расходование ТЭР - Относительное сокращение расходования ТЭР, выражающееся в снижении их удельных расходов на производство единицы конкретной продукции, выполнение работ и оказание услуг установленного качества с учетом социальных, экологических и прочих ограничений.
Экономное расходование сопряжено с реализацией нормативов для отдельных машин и агрегатов, операций и процессов, видов работ, а также с реализацией эффекта за счет:
- новых технических решений (например, совмещения различных функций в одном устройстве);
- замены энергетических ресурсов на менее дефицитные и драгоценные;
- повышения уровня использования вторичных энергетических ресурсов;
- совершенствования организационной структуры производства и услуг;
- достижения предельно возможных (оптимальных) для данного объекта условий расходования энергоресурсов и др.
Сертификация (энергообъектов, энергоресурсов) - Экспертная деятельность по инструментально-документальному выявлению и ответственному (гарантирующему адекватность) документированию степени соответствия свойств конкретного энергообъекта (энергоресурса) тем характеристикам (требованиям, информации), которые установлены в нормативном документе на объект, включая энергопаспорт, информационный лист или другой документ на поставку (эксплуатацию).
Энергетическое обследование - Обследование потребителей ТЭР с целью установления эффективности показателей энергоиспользования.
Энергоресурсоаудит - Обследование энергопотребляющих объектов и процессов с разработкой соответствующих рекомендаций и мероприятий по энергосбережению.
Норматив расхода энергии (топлива) - Научно и технически обоснованная составляющая нормы расхода энергии (топлива), устанавливаемая в нормативной и регламентной документации на конкретное изделие, услугу и характеризующая предельные значения (как правило, меньшее) потребления энергии (топлива) по элементам производственного процесса на единицу выпускаемой продукции (услуги) (ГОСТ 30167).
1. Норматив - предельное значение показателя расходования ТЭР при заданных условиях изготовления, эксплуатации, ремонта и утилизации объекта (единицы продукции, работы).
2. Нормы устанавливают в программах, планах, а нормативы - в нормативных документах на изделия, услугу в регламентах на процессы, причем устанавливают годовую производительность (не менее N изделий и т.д.), ниже которой нормирование малоэффективно.
Энергетический паспорт потребителя ТЭР - Нормативный документ, содержащий показатели эффективности использования ТЭР, потребляемых в процессе хозяйственной деятельности объектами производственного назначения независимо от организационных форм и форм собственности, а также содержащий энергосберегающие мероприятия с учетом энергетического баланса.
Потребитель ТЭР - юридическое лицо (организация), независимо от формы собственности, использующее топливно-энергетические ресурсы для производства продукции, услуг, а также на собственные нужды.
Сбор документальной информации - сбор данных о потребителе ТЭР, производстве услуг, технологических параметрах, технико-экономических показателях, и других данных, необходимых для расчета показателей энергетической эффективности объекта.
Инструментальное обследование - измерение и регистрация характеристик режимов работы энергетических установок ЖКХ, энергоресурсопотребления при помощи стационарных или переносных измерительных и регистрационных приборов.
Анализ информации - определение показателей энергетической эффективности и резервов энергосбережения на основе собранной документальной информации и инструментальных данных обследования.
Разработка рекомендаций и программ по энергосбережению - определение организационных, технических и технологических предложений, направленных на повышение энергоэффективности объекта энергоресурсоаудита, с обязательной оценкой экономической и технической возможностей их реализации, прогнозируемого технико-экономического эффекта.
Правовые основы энергоаудита
В настоящее время практически сформирована правовая база для выполнения энергетических обследований предприятий:
- Указ Президента РФ от 7 мая 1995 г. N 472 "Об основных направлениях энергетической политики и структурной перестройки топливно-энергетического комплекса Российской Федерации на период до 2010 года".
- Федеральный закон "Об энергосбережении" 3 апреля 1996 г. N 23-ФЗ.
- Постановление Правительства РФ "О федеральной целевой программе "Энергосбережение России" на 1998-2005 годы" с подпрограммой "Энергосбережение в жилищно-коммунальном хозяйстве" от 24 января 1998 г. N 80.
- Постановление Правительства РФ "О повышении эффективности использования энергетических ресурсов и воды предприятиями, учреждениями и организациями бюджетной сферы" от 08.07.97 г.
- Постановление Правительства РФ "О дополнительных мерах по стимулированию энергосбережения в России" от 15.06.98 г. N 588.
- Постановление Правительства РФ "О неотложных мерах по энергосбережению" от 2 ноября 1995 г. N 1087.
- Федеральная целевая программа "Энергосбережение России" - основа энергосберегающей политики государства в регионах и отраслях экономики на 1998-2005 гг. Минтопэнерго РФ. 1998 г.
- Положение о проведении энергетических обследований предприятий. Минтопэнерго. 1998 г.
- Временные руководящие указания по организации работ в сфере энергосбережения в управлениях государственного энергетического надзора в субъектах Российской Федерации. Департамент государственного энергетического надзора и энергосбережения Минтопэнерго РФ. 1998 г. 422 стр.
- Основные направления и механизм энергосбережения в жилищно-коммунальном хозяйстве Российской Федерации. Решение Правительственной комиссии по реформированию ЖКХ Российской Федерации, протокол N 3 от 20.03.98 г.
Согласно приведенным выше документам, обязательному обследованию один раз в пять лет подлежат предприятия с суммарным энергопотреблением более 6000 т у.т. и предприятия, финансируемые или имеющие дотации на энергоресурсы из госбюджета.
По региональному законодательству предел 6000 т у.т. может быть снижен до 200-400 т у.т., что находит отражение в региональных законах по энергосбережению.
В соответствии Федеральной целевой программой "Энергосбережение России" (подпрограмма "Энергоресурсосбережение в ЖКХ" - основа энергосберегающей политики государства в регионах и отраслях экономики на 1998-2005 гг.) энергоаудит должен проводиться на всех объектах ЖКХ, как основа для составления конкретных программ энергоресурсосбережения в муниципальных образованьях.
Право на проведение энергетических обследований предоставляется:
- региональным (территориальным) органам Госэнергонадзора России;
- организациям, имеющим лицензию на проведение энергетических обследований предприятий (энергоресурсоаудит). Для энергоресурсоаудита объектов ЖКХ органы Госстроя России выдают свидетельства об аккредитации.
Организация-энергоаудитор в своих действиях должна руководствоваться Законами Российской Федерации, актами органов государственной власти субъектов РФ, Временными руководящими указаниями по организации работ в сфере энергосбережения в управлениях государственного энергетического надзора в субъектах Российской Федерации, СНиПами, ПТЭ и ПТБ в электроустановках и тепловых сетях и другими нормативно-техническими документами, утвержденными Госстроем России.
Методика проведения энергоресурсоаудита не должна зависеть от вида обследуемого предприятия, формы организации и применяемой технологии.
Энергоаудитор должен отвечать следующим требованиям:
- обладать правами юридического лица;
- иметь необходимое инструментальное, приборное и методологическое оснащение;
- располагать квалифицированным и аттестованным персоналом;
- иметь опыт работы в соответствующей области деятельности;
- иметь свидетельство Государственного комитета РФ по строительству и жилищно-коммунальному комплексу и лицензию Госэнергонадзора Минэнерго России на проведение энергетических обследований, выдаваемые согласно установленному порядку.
Задачи энергоресурсоаудита в ЖКХ
Энергоресурсоаудит систем энергоснабжения и энергопотребления является первым этапом решения задачи по снижению затрат на энергоресурсы и воду.
Основными целями энергоаудита являются:
- выявление источников и причин нерациональных энергозатрат и неоправданных потерь энергии и воды;
- разработка на основе технико-экономического анализа рекомендаций по их ликвидации;
- предложение технико-экономически обоснованной программы по экономии энергоресурсов и рациональному энергопользованию, очередности реализации предлагаемых мероприятий с учетом объемов затрат и сроков окупаемости при обеспечении требуемого уровня коммунальных услуг.
Основные этапы энергоресурсоаудита и их содержание
Методика организации и проведения самого энергоресурсоаудита основывается на стандартном (типовом) алгоритме, что сокращает общие затраты на его проведение, позволяя эффективно подключать других аудиторов на определенных (стандартных) этапах работ
Вопрос о проведении энергоресурсоаудита ЖКХ обычно решается непосредственно с руководством организации, заинтересованной в повышении экономической эффективности систем энергоресурсообеспечения ЖКХ. Первый контакт рекомендуется устанавливать непосредственно с ее ответственным руководителем. Появление заинтересованности руководителя в необходимости энергоресурсоаудита приводит к снятию многих проблем, которые могут возникнуть при проведении этой работы.
Организация и проведение работ по энергоресурсоаудиту обследуемой организации обычно проводится в четыре этапа:
Предварительный контакт с руководителем.
Ознакомление с основными потребителями, общей структурой систем производства и распределения энергоресурсов, стоящими перед энергоресурсоснабжающим предприятием проблемами, затрудняющими его нормальное функционирование (дефицит мощностей и др.).
Разработка программы работ по проведению энергоресурсоаудита с указанием сроков выполнения и стоимости его этапов.
Заключение договора на выполнение энергоресурсоаудита.
Передача заказчику для заполнения таблиц, разработанных для сбора предварительной информации при проведении энергоаудита.
Этап 2 (первичный энергоресурсоаудит):
Сбор общей документальной информации:
- по годовому за базовый и текущий период потреблению и распределению энергоресурсов;
- по используемому оборудованию его технологическим характеристикам, продолжительности и режимах эксплуатации, техническом состоянии;
- общие схемы ресурсораспределения и расположения объектов ЖКХ;
- ознакомление с имеющейся проектной документацией и проектными показателями эффективности, существующей системой учета энергоресурсов. Анализ режимов эксплуатации оборудования систем снабжения энергоресурсами и жилого фонда, существующих договоров и тарифов на снабжение энергоресурсами;
- наличие систем коммерческого и внутреннего учета расхода энергоресурсов.
Составление карты потребления ТЭР, определение дефицита мощностей.
Ознакомление с состоянием систем снабжения энергоресурсами ЖКХ:
Предварительная оценка возможностей экономии ТЭР, выявление систем и установок, имеющих потенциал для энергосбережения.
Разработка и согласование программы проведения полного энергоресурсоаудита.
Корректировка (при необходимости) содержания, сроков и стоимости договора на проведение энергоресурсоаудита.
Этап 3 (полный энергоресурсоаудит):
Сбор дополнительной, необходимой документальной информации по тарифам на закупаемые энергоресурсы, формированию себестоимости энергоресурсов на обследуемом предприятии ЖКХ, режимам эксплуатации оборудования и систем распределения за базовый (предыдущий) и текущий год.
Проведение приборных обследований объектов ЖКХ и режимов эксплуатации в соответствии с согласованной программой энергоресурсоаудита. Конечная цель энергоресурсоаудита - это снижение расходов энергоресурсов и воды, а также финансовых затрат на их производство и потребление.
Оформление энергетического паспорта объектов ЖКХ производится по стандартной форме с использованием результатов проведения энергетического аудита. Паспорт и отчет согласовываются с региональным Управлением ЖКХ.
Определение потенциала экономии энергии и экономических преимуществ от внедрения различных предлагаемых мероприятий с технико-экономическим обоснованием окупаемости предполагаемых инвестиций по их внедрению.
Разработка конкретной программы по энергосбережению с выделением первоочередных, наиболее эффективных и быстро окупаемых мероприятий. Составление и представление руководству организации или предприятия-заказчика отчета с программой энергоресурсосбережения.
Организация на предприятии системы постоянно действующего учета и анализа эффективности расхода энергоресурсов подразделениями и предприятиями ЖКХ в целом.
Продолжение деятельности, дополнительное более углубленное обследование наиболее перспективных в части энергосбережения систем, дополнение программы реализации мер по энергосбережению, изучение и анализ достигнутых результатов.
Решение о реализации программы энергоресурсосбережения принимается организацией-заказчиком.
Содержание отчета по энергоресурсоаудиту
Содержание отчета по энергоресурсоаудиту должно включать в себя:
- Титульный лист с указанием исполнителей.
- Аннотацию основных решений по энергосбережению.
- Технический паспорт предприятия (или отдельных систем)
- Структурные схемы энергоснабжения и энергопотребления.
- Оценку возможностей экономии энергии по системам снабжения энергоресурсами и основным энергопотребляющим технологическим процессам и объектами ЖКХ.
- Обзор предлагаемых решений по энергоресурсосбережению.
- Программа энергоресурсосбережения.
- Энергетический паспорт объектов ЖКХ, согласованный с муниципальным Управлением ЖКХ.
Во введении обосновывается необходимость проведения энергоресурсоаудита предприятия, указываются источник финансирования и участники выполнения работы, ответственные исполнители и участники со стороны заказчика, сроки выполнения договора.
В аннотации кратко описываются содержание, методика проведения, а также перечень предлагаемых рекомендаций и их эффективность, оформляемый в виде сводных таблиц.
В описании предприятия даются структурные схемы снабжения энергоресурсами, схемы расположения объектов, карта потребления энергии, объемы оказываемых услуг в натуральном и денежном выражениях.
В разделе энергоснабжения и энергопотребления содержится информация о потреблении различного вида энергоресурсов и динамике цен и тарифов, показатели энергопотребления и воды (распределение) за предшествующий и текущий годы, суточные и сезонные характеристики потребления ТЭР, удельные энергозатраты по системам распределения ТЭР.
В разделах, отражающих возможности экономии энергии в основных объектах ЖКХ, содержится:
- Местонахождение объектов ЖКХ, установок, систем, в которых можно достичь эффекта энергосбережения.
- Изложение состояния энергоресурсопотребления.
- Сравнительная оценка методов решения и их влияние на эффективность энергоресурсоснабжения, себестоимость производимых и распределяемых энергоресурсов и срок окупаемости инвестиций на реализацию предложений (затрат).
- Оценка возможных негативных эффектов.
В разделе, содержащем программы по экономии энергии, описываются рекомендуемые решения энергосбережения, очередность с учетом эффективности и сроков окупаемости.
В приложении к отчету приводятся материалы, собранные в процессе энергоресурсоаудита и представляющие ценность для предприятия:
- Схемы систем энергоснабжения и их оборудование, характеристики.
- Технологические карты с указанием имеющихся затрат энергоносителей.
- Результаты приборного обследования.
- Структурное изображение технологических процессов с указанием потребления ТЭР и их потерь.
- Другие данные, необходимые предприятию.
Методика энергоресурсоаудита объектов жилищного коммунального хозяйства
В общем случае энергоресурсоаудит объектов жилищного коммунального хозяйства проводится по стандартной методике (технологии) и состоит из сбора информации о системах энергоресурсоснабжения и объектах ЖКХ, анализа режимов энергопотребления, анализа режимов эксплуатации оборудования и систем ЖКХ, обследование состояния энергоресурсораспределения жилого фонда ЖКХ:
- Системы электроснабжения, состоящей из трансформаторных подстанций, распределительных сетей, электрооборудования, системы наружного освещения.
- Системы теплоснабжения, состоящей из котельной или теплоэлектроцентрали, генерирующих тепло, магистральных и распределительных теплотрасс, центральных тепловых пунктов с системой приготовления воды для горячего водоснабжения и отопления, разводящих внутриквартальных тепловых сетей, индивидуальных тепловых пунктов отдельных зданий, внутридомовых систем отопления, вентиляции и горячего водоснабжения.
- Системы водоснабжения, состоящей из водозаборных узлов, системы водоочистки, насосных станций первого и второго подъема, магистральных водоводов и кольцевой системы разводки по микрорайонам, внутридомовых систем.
- Системы водоотведения с канализационными станциями перекачки и очистными сооружениями.
- Жилищного фонда, состоящего из зданий с их системами электро-, тепло- и водоснабжения.
Энергоаудит электропотребления и системы электроснабжения
Как правило, на коммунальных предприятиях ведется постоянный учет расхода электроэнергии, оборудован ее входной коммерческий учет на ТП, на распределительных устройствах для крупных внутренних потребителей и на индивидуальных вводах квартир установлены электросчетчики. Зачастую системы электроснабжения эксплуатируются не в номинальных режимах, электрооборудование и распределительные сети оказываются перегружены или недогружены. Это приводит к увеличению доли потерь в трансформаторах, электродвигателях, к снижению значения cos в системе электроснабжения.
Экономия потребляемой коммунальным предприятием электрической энергии достигается непосредственно через снижение потерь электрической энергии в системах трансформирования, распределения и преобразования (трансформаторы, распределительные сети, электродвигатели, системы электрического уличного и местного освещения), а также через оптимизацию режимов эксплуатации оборудования, потребляющего эту энергию. Причем последнее дает наибольший экономический эффект (до 70-80% от общей экономии).
Неоправданные потери в трансформаторах наблюдаются как при недогрузках, когда потребляемая мощность значительно ниже номинальной мощности трансформатора, работающего в режиме, близком к режиму холостого хода (потери составляют 0,2-0,5% от номинальной мощности трансформатора), так и при перегрузках.
Большие, сверхнормативные потери могут быть и в длинных, перегруженных распределительных сетях.
Практически каждая коммунальная квартира оборудована электросчетчиками и население само заинтересовано в сбережении электроэнергии. С ростом цен на электроэнергию население будет больше уделять внимания приобретению экономичного электрооборудования (холодильники, осветительные приборы и т.п.). Все большее распространение приобретают экономичные точечные источники освещения, которые создают необходимый уровень освещенности в рабочей зоне и мягкий рассеянный свет в квартире. Бытовую аппаратуру необходимо характеризовать таким качеством, как энергоэкономичность.
Вопросы экономии энергоресурсов (электрической энергии, тепла и воды) рассматриваются для всех элементов коммунальных служб раздельно.
При составлении баланса необходимо определить как полезное электропотребление, так и потери в каждом элементе распределения и потребления электрической энергии.
Ниже приведены известные методики определения потерь энергии, необходимые для составления баланса, и характеристики современного энергоэффективного оборудования, позволяющего снизить затраты электроэнергии.
Анализ режимов работы трансформаторных подстанций и систем регулирования cos 
Потери активной электроэнергии в трансформаторе рассчитываются по формуле:
Р_хх =
Р_хх + К_ип
Q_хх - приведенные потери мощности холостого хода трансформатора, кВт;
Р_ к.з =
_Рк.з + К_ип
Q_к.з - приведенные потери мощности короткого замыкания, кВт;
К_3 = I_ср / I_н - коэффициент загрузки трансформатора по току;
Р_хх - потери мощности холостого хода, в расчетах следует принимать по каталогу равными потерям в стали (Для трансформатора ТМ-1000/10
Р_хх = 2,1 - 2,45 кВт);
Р_кз - потери мощности короткого замыкания; в расчетах следует принимать равными по каталогу потерям мощности в металле обмоток трансформатора (для приведенного выше трансформатора
Р_кз = 12,2 - 11,6 кВт);
К_ип - коэффициент изменения потерь, зависящий от передачи реактивной мощности (для промышленных предприятий, когда величина его не задана энергосистемой, следует принимать в среднем равным 0,07), кВт/кВАр;
Т_о - полное число часов присоединения трансформатора к сети;
Т_р - число часов работы трансформатора под нагрузкой за учетный период;
Q_хх = S_ит I_xx/100 - постоянная составляющая потерь реактивной мощности холостого хода трансформатора, кВАр;
Q_кз = S_итU_ик/100 - реактивная мощность, потребляемая трансформатором при полной нагрузке, кВАр;
l_xx - ток холостого хода, % (1,4 - 2,8%);
U_ик - напряжение короткого замыкания, % (5,5%);
S_нт - номинальная мощность трансформатора, кВА (1000 кВА);
I_ср - средний ток за учетный период, А;
I_нт - номинальный ток трансформатора. (Потери активной мощности в режиме холостого хода названного выше трансформатора равны 4,41 кВт).
Потери реактивной энергии за учетный период Э_р = S_нт l_xxT_о / 100 + S_нт T_к
Т_р / 100 (потери реактивной мощности в режиме холостого хода названного выше трансформатора - 28 кВт, суммарные потери - 32,41 кВт, что при цене 330 руб./кВт составит около 940 тыс. руб. за год). Влияние материалов трансформатора на его потери приведены в табл.3
При подсчете потерь мощности в трехобмоточном трансформаторе пользуются выражением
где Р'_кз1,
Р'_кз2,
Р'_кз3 - приведенные потери активной мощности в обмотках высшего (1), среднего (2), и низшего (3) напряжения; К_э1, К_э2, К_э3- коэффициенты загрузок этих же обмоток.
Активные потери энергии в двухобмоточных трансформаторах в зависимости от степени их загрузки N_cp / N_ном равны:
Р_н.пот = А + В - мощность активных потерь трансформатора при работе на номинальной нагрузке в % от номинальной мощности трансформатора (%);
Э_а - общее потребление трансформатором активной мощности за отчетный () период, (кВт час);
N_ср - средняя мощность активной нагрузки трансформатора за отчетный период
N_ном - номинальная активная мощность трансформатора (кВт),
- отчетный период эксплуатации трансформатора (час).
А - активная мощность потерь трансформатора при работе на холостой нагрузке в % от номинальной мощности трансформатора, (%);
В - активная мощность потерь трансформатора от составляющей нагрузки, в % от номинальной мощности трансформатора (%).
Относительные данные для расчета потерь в высоковольтных масляных трансформаторах
Потери активной энергии в трансформаторе можно оценить по доле потерь от величины номинальной мощности трансформатора, которая зависит от среднего значения коэффициента загрузки трансформатора (К_з = l_ср / I_н = N_ср / N_ном) и продолжительности нахождения трансформатора под нагрузкой за отчетный период.
При обследовании следует определять степень загрузки трансформаторных подстанций, выключать незагруженные трансформаторы, увеличивая степень загрузки остальных трансформаторов. При этом необходимо принять меры по защите изоляции трансформаторов от влаги. Попытка сделать, линию разграничения с энергосбытом по низкой стороне, с уходом от управления загрузкой трансформаторов путем отключения, не снимает проблемы.
Устройства компенсации реактивной мощности
При работе электродвигателей и трансформаторов генерируется реактивная нагрузка, в сетях и трансформаторах циркулируют токи реактивной мощности, которые приводят к дополнительным активным потерям. Для компенсации реактивной мощности, оцениваемой по величине cos , применяются батареи косинусных трансформаторов и синхронные электродвигатели, работающие в режиме перевозбуждения. Для большей эффективности компенсаторы располагают как можно ближе к источникам реактивной мощности, чтобы эти токи не циркулировали в распределительных сетях и не вносили дополнительные потери энергии.
Необходимо оценить эффективность работы компенсационных устройств, проанализировать влияние изменение cos на потери в сетях в течение суток (табл.2), подобрать режимы эксплуатации косинусных батарей (рис. 1, табл. 3) и при наличии синхронных двигателей, работающих в режиме компенсации реактивной мощности, использовать автоматическое управление током возбуждения.
Реактивная мощность при синусоидальном напряжении однофазной сети равна Q = UI sin = Р tg
, в трехфазной сети - как алгебраическая сумма фазных реактивных мощностей. Уровень компенсируемой мощности Q_к определяется как разность реактивных мощностей нагрузки предприятия Q_п и представляемой предприятию энергосистемой Q_э:
Основными источниками реактивной мощности на коммунальных предприятиях являются:
Асинхронные двигатели (45-65%).
Трансформаторы всех ступеней трансформации (20-25%).
Влияние увеличения cos на снижение реактивных потерь
Рекомендуемая емкость статических конденсаторов для корректировки единичных асинхронных двигателей
Рис.1. Правильная компенсация реактивной мощности электродвигателя
Трансформатор (1), электродвигатель (2) и конденсатор (3). В примере без использования конденсатора нагрузка на трансформатор и электрическую сеть увеличивается из-за реактивной мощности (пунктирная стрелка). Этого можно избежать, как в примере справа, когда только активная мощность (жирная стрелка) влияет на нагрузку.
Перечень мероприятий, позволяющих повысить cos :
- Увеличение загрузки асинхронных двигателей.
- При снижении до 40% мощности, потребляемой асинхронным двигателем, переключать обмотки с треугольника на звезду. Мощность двигателя при этом снижается в 3 раза.
- Применение ограничителей времени работы асинхронных двигателей и сварочных трансформаторов в режиме, холостого хода (XX).
- Замена асинхронных двигателей синхронными.
- Применение технических средств регулирования режимов работы электродвигателей.
- Нагрузка трансформаторов должна быть более 30% номинальной мощности.
Технические средства компенсации реактивной мощности:
- Синхронные электродвигатели в режиме перевозбуждения.
- Комплектные конденсаторные батареи.
- Статические компенсаторы (управляемые тиристорами реакторы или конденсаторы).
Общие требования - компенсаторы должны быть приближены к генераторам реактивной мощности.
Потери энергии в электродвигателях. Проверка соответствия мощности электродвигателей и мощности потребителя
Электродвигатели являются наиболее распространенными электропотребителями коммунальных предприятий. На них приходится около 80% потребления электроэнергии. Большую долю установленной мощности составляют асинхронные электродвигатели.
При проведении энергоаудита необходимо проверять соответствие мощности привода (электродвигателя) потребляемой мощности нагрузки, т.к. завышение мощности электродвигателя приводит к снижению КПД и cos . С уменьшением степени загрузки двигателя возрастает доля потребляемой реактивной мощности на создание магнитного поля системы по сравнению с активной мощностью и снижается величина cos
. Капитальные затраты на замену одного двигателя другим двигателем с соответствующей номинальной мощностью целесообразны при его загрузке менее 45%, при загрузке 45-75% для замены требуется проводить экономическую оценку мероприятия, при загрузке более 70% замена нецелесообразна.
Эффективность зависит от типа, скорости, времени нагрузки двигателя, а также от его мощности: Для двигателей мощностью 5 кВт при 100% нагрузке КПД = 80%, для двигателей 150 кВт КПД = 90%. Для двигателей мощностью 5 кВт при 50% нагрузке КПД = 55%, для двигателей мощностью 150 кВт КПД равен 65%.
При снижении нагрузки двигателя до 50% и менее его эффективность начинает быстро падать по причине того, что потери в железе начинают преобладать.
Суммарные потери в электродвигателе имеют четыре основных составляющих (см. рис. 2):
- Потери в стали (потери намагничивания), связанные с напряжением питания, постоянны для каждого двигателя и не зависят от нагрузки.
- Активные потери в меди I(2) R,пропорциональные квадрату тока нагрузки.
- Потери на трение, постоянные для данной частоты вращения и не зависящие от нагрузки.
- Добавочные потери от рассеивания - зависят от нагрузки.
Снижение с помощью регулятора напряжения питания электродвигателя позволяет уменьшить магнитное поле в стали, которое избыточно для рассматриваемого режима нагрузки, снизить потери в стали и уменьшить их долю в общей потребляемой мощности, т.е. повысить КПД двигателя. Сам регулятор напряжения (обычно в тиристорном исполнении) потребляет мало энергии. Его собственное потребление становится заметным, когда двигатель работает на полной нагрузке. Часто в режиме холостого хода потребляется почти столько же энергии, сколько необходимо для работы при низкой загрузке. Переключение обмоток двигателя мощностью 7,5 кВт, работающего в номинальном режиме (линейное напряжение равно 380 В) по схеме "треугольник", на схему звезды при работе на пониженной нагрузке 1 кВт (режим холостого хода) позволяет уменьшить потери с 0,5 кВт до 0,25 кВт (рис.3).
Автоматическое переключение обмоток со схемы "треугольник дельта" на схему соединения "звезда" в зависимости от нагрузки является простейшей схемой регулирования двигателя, длительное время работающего на малой нагрузке. Необходимо избегать работы двигателя в режиме холостого хода.
В установках с регулируемым числом оборотов (насосы, вентиляторы и др.) широко применяются регулируемые электроприводы. Оценочные значения экономии электроэнергии при применении регулируемого электропривода в вентиляционных системах, работающих в переменных режимах - 50%, в компрессорных системах - 40-50%, в воздуходувках и вентиляторах - 30%, в насосных системах - 25%.
Тиристорные регуляторы напряжения дешевле, диапазон регулирования скорости вращения меньше (снижение на 10-15% ниже номинальных); частотные регуляторы (наиболее часто в транзисторном исполнении) дороже, диапазон регулирования шире. Стоимость частотного регулятора оборотов электродвигателя примерно равна стоимости электродвигателя.
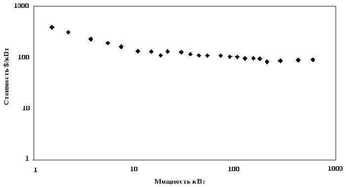
Для электроприводов, работающих большую часть рабочего времени на нагрузку, достигающую 30% и менее от номинальной мощности и в которой регулирование можно осуществлять изменением оборотов электропривода (насосы, вентиляторы, мешалки и др.), эффективно применение частотных регуляторов оборотов электродвигателя. Для 15-киловатного двигателя в 1996 г. стоимость электронной частотной системы управления составляла около 200$ USA/кВт. В настоящее время она снизилась до 85-100$ USA/кВт. Удельная стоимость снижается при увеличении единичной мощности привода (см. Рис. 4).
Рис. 2. Сложение составляющих потерь мощности в электродвигателях
Рис. 3. Влияние на потери переключения из "треугольника" в "звезду" стандартного двигателя мощностью 7,5 кВт
Рис.4. Стоимость (с НДС) 1 кВт мощности частотного преобразователя EI-7001 ПКФ "ВЕСПЕР" г. Москва осень 1999 г.
Перечень общих мероприятий по энергосбережению в установках, использующих электродвигатели:
- Мощность двигателя должна соответствовать нагрузке.
- При часто повторяющейся работе в режиме холостого хода двигатель должен легко выключаться.
- Необходимо эффективно защищать крыльчатку системы обдува двигателя для устранения его возможного перегрева и увеличения доли потерь.
- Проверять качество эксплуатации трансмиссии.
- На эффективность работы системы влияет смазка подшипников и узлов трения; применять правильно тип трансмиссии;
- Рассмотреть возможность применения электронных регуляторов скорости вращения в двигателях, которые часть времени работают на неполной нагрузке.
- Оценить возможность применения энергоэффективных (ЭЭ) двигателей, т.к. суммарная экономия электроэнергии может превысить в 15 раз стоимость электродвигателя.
- Качественно проводить ремонт двигателя, отказаться от применения неисправных или плохо отремонтированных двигателей.
Применение электроприводов с частотными регуляторами (ЧРП) для оптимизации режимов эксплуатации электропотребляющего оборудования
Частотно-регулируемый электропривод эффективен и быстро окупается в насосных системах, большую часть времени работающих при пониженных подачах, в которых регулирование осуществлялось с помощью регулирующих задвижек.
При снижении с помощью задвижки подачи насосов ниже 40-50% от номинального значения резко начинают возрастать удельные затраты на перекачку жидкости. При этом гидравлическая мощность насоса частично теряется на задвижке (N = Q х Н_пот), а сам насос начинает работать в зоне рабочей характеристики с низким КПД. Необходимый напор при снижении расхода можно обеспечить снижением оборотов двигателя привода насоса, используя при выборе рабочих оборотов привода теорию подобия турбомашин. Как известно, рабочие характеристики насосов пересчитываются с учетом того, что напор насоса пропорционален квадрату оборотов рабочего колеса, подача - оборотам, мощность - кубу оборотов. В сходственных точках КПД насоса одинаков. При этом устраняются потери энергии в регулирующем клапане (задвижке), и насос работает в зоне с более высоким КПД.
Обороты двигателя регулируются частотой питания сети, преобразуемой со стандартной частоты 50 Гц с помощью частотного преобразователя.
Частотно регулируемый электропривод (ЧРП) - это электродвигатель (асинхронный или синхронный), оснащенный регулируемым преобразователем частоты.
По результатам внедрения ЧРП на 16 центральных тепловых пунктах (ЦТП) и одной районной тепловой станции (РТС) г. Москвы получены следующие результаты:
- нормализовано давление в системе водоснабжения, которое по результатам анализа на 15-35% превышало оптимальное, требуемое по условиям водоснабжения;
- повысилась надежность работы оборудования и сокращены затраты на ремонт и обслуживание - за счет исключения динамических воздействий и гидравлических ударов;
- электропотребление насосными установками водоснабжения по всем ЦТП и РТС снизилось в среднем более чем на 45%;
- на 14% снизилось водопотребление водопользователями;
- суммарная ежегодная экономия прямых затрат в ценах января 1998 года составила 1.3 млрд.руб. (или более 220 тыс. долларов США);
- расчетный срок окупаемости затрат - около 8,5 месяцев (по различным ЦТП и РТС от 3,2 до 18,6 месяцев).
Рис. 5. Сравнение мощности привода насоса при регулировании дросселированием (1), направляющим аппаратом (2), частотным регулятором (3)
При использовании ЧРП вместо дроссельного регулятора для изменения режимов работы вентиляторов (вентиляторы, дымососы), при подаче равной 0,5 от номинального значения, потребляемая мощность с ЧРП равна 13% номинальной мощности насоса, при дросселировании - 75%, т.е. экономия составит приблизительно 60% номинальной мощности.
При анализе эффективности применения частотных регуляторов электроприводов насосов используется способ регулирования турбомашин изменением скорости вращения рабочих колес. Как известно из теории подобия турбомашин, сходственные точки рабочих характеристик, рабочие характеристики при изменении оборотов рабочего колеса связаны следующими соотношениями: напор пропорционален квадрату оборотов рабочего колеса, расход - пропорционален оборотам, мощность - пропорциональна кубу оборотов, кпд для сходственных точек имеют одинаковые значения. Аналогичные соотношения имеют место, если менять не обороты, а наружный диаметр рабочих колес. Но такой подход можно использовать в диапазоне изменений диаметров до 10-15% от номинального значения, так как в расчетах начинает сказываться влияние величины входного диаметра рабочего колеса насоса.
Необходимо отметить, что насосы и вентиляторы являются основным электропотребляющим оборудованием объектов коммунального хозяйства. От их правильного подбора, технически грамотной эксплуатации и применения экономичных способов регулирования зависит экономичность работы всей системы. Наибольшие потери возникают при неноминальных режимах эксплуатации этого оборудования!
Частотно регулируемый электропривод быстро окупает себя, если правильно подобранные и частично загруженные на номинальную производительность насосы большую часть времени работают при пониженных подачах.
Оценка экономического эффекта при использовании ЧРП, работающих на насосную нагрузку.
Методика оценки эффективности применения ЧРЭП приведена в "Инструкции по расчету экономической эффективности применения частотно регулируемого электропривода", разработанной АО ВНИИЭ и МЭИ и утвержденной Заместителем Министра топлива и энергетики РФ В.В.Бушуевым; Москва, 1997 год.
Экономический эффект применения ЧРП в насосных станциях ЦТП коммунальной сферы может быть рассчитан по приведенной ниже методике:
1: Регистрируются номинальные данные насоса (Q_ном, H_ ном м.вод.ст., эта_нас. ном) и двигателя (мощность Р_дв.ном., ток I_ном А, частота вращения n_ном, КПД эта_дв.ном., коэффициент мощности cos )
2. В часы максимального потребления (для коммунальной сферы это будет 8-10 ч. или 18-20 ч, для административных зданий 13-15 ч.) измеряют напор H м.вод.ст. на входе H_вх и выходе H_вых насоса по манометрам, установленным в системе, 1-3 измерения в течение часа усредняются.
3. В тех же режимах с помощью токоизмерительных клещей измеряют ток двигателя I (А). Результаты усредняются. Проверяется соотношение I I_ном
4. Измеряется средний расход за сутки Q_ch м3/час, по разности показаний расходомера в начале Q1 и в конце Q2 контрольных суток.
5. Рассчитывается минимально необходимый общий напор при наибольшей подаче по формуле (статический + динамический напоры).
где: N - число этажей (включая подвал - для индивидуальных тепловых пунктов), для группы домов - число этажей самого высокого дома. CN - дополнительный статический напор создаваемый сетевым насосом.
С = 3 - для стандартных домов, С = 3,5 - для домов повышенной комфортности.
D = 10 - для одиночных домов и 15 - для группы домов, обслуживаемых ЦТП.
6. Оценивается требуемый дополнительный напор, создаваемый регулируемым насосом.
7. Определяется требуемая мощность преобразователя частоты:
Величину КПД насосного агрегата эта_нс определяют как эта_нс = К эта_дв.ном
где К - определяют по графику рис. 6 для расхода Q_ср, измеренного в п.4 и отнесенного к Q_ном из п.1.
8. Определяется стоимость годовой экономии электроэнергии, руб./год по формуле:
где: Э_год - электроэнергия, сэкономленная за год, кВт ч;
t_год число часов работы оборудования в течение года;
Ц_эл.эн - цена 1 кВт ч электроэнергии, руб. или USD.
9. Определяют стоимость годовой экономии воды вследствие уменьшения разбора:
где: В_год - количество воды, сэкономленной за год, м;
Ц_воды - цена 1 м3 воды, с учетом очистки, руб. или USD
Н_вых, Н_необх - напор, обеспечиваемый хозяйственными насосами ЦТП.
10. Определяется годовая экономия тепла за счет сокращения потребления горячей воды (дополнительно для системы горячего водоснабжения), Гкал/год.
где: С = 1 -коэффициент теплоемкости воды, ккал/кг °C;
t - расчетный перегрев горячей воды на ЦТП, °C;
В_гор.вод - экономия горячей воды за год, т.
Для типовых ЦТП расчетный расход горячей воды принимается 0,4 от общего расхода воды, подаваемой хозяйственными насосами.
Цена годовой экономии тепла равна:
где: Ц_гкал - цена 1 Гкал тепла, руб. или USD.
11. Оценивается ориентировочный срок окупаемости дополнительного оборудования Ток год.
где: Ц_пч - стоимость дополнительного оборудования ЧРП, включая установку.
Также разработаны методики расчета эффективности использования ЧРП с другими нагрузками.
Экономия в системах электрического освещения
Примерно 3-5% общего электропотребления ЖКХ расходуется на обеспечение функционирования систем освещения.
В ходе энергоаудита необходимо проверить степень использования естественного освещения и оснащенности эффективными источниками искусственного освещения, применение новых технологий его регулирования.
Новые энергоэффективные источники света (Таб. 4-6) позволяют значительно снизить затраты электроэнергии на освещение.
При замене ламп накаливания на люминесцентные источники света в 6 раз снижается электропотребление.
Основные характеристики источников света
Возможная экономия электрической энергии (ЭЭ) при переходе на более эффективные источники света (ИС)
<*> При снижении нормированной освещенности для ЛН на одну ступень в соответствии с действующими нормами освещения.
Сравнительные характеристики компактных люминесцентных ламп с лампами накаливания
Применение в комплекте люминесцентных источников света взамен стандартной пускорегулирующей аппаратуры (ПРА) электромагнитных ПРА с пониженными потерями повышает светоотдачу комплекта на 6-26%, а электронной ПРА - на 14-55%.
Применение комбинированного (общего + локального) освещения вместо общего освещения (Таб. 7) позволяет снизить интенсивность общего освещения и, в конечном счете, получить экономию электрической энергии.
Экономия электрической энергии при применении комбинированной системы освещения
Оценка возможностей экономии электрической энергии при различных способах регулирования искусственного освещения приведена в Таб. 8.
Оценка возможностей экономии электрической энергии при различных способах регулирования искусственного освещения
Для систем освещения, устанавливаемых на высоте более 5 м от уровня освещаемой поверхности, рекомендуется применение металлогалогенных ламп вместо люминесцентных.
Рекомендуется шире применять местные источники освещения.
Применение современных систем управления
Автоматическое поддержание заданного уровня освещенности с помощью частотных регуляторов питания люминесцентных ламп, частота которых пропорциональна требуемой мощности освещения, позволяет достичь экономии электроэнергии до 25-30%.
Использование современной осветительной арматуры (применение пленочных отражателей на люминесцентных светильниках позволяет на 40% сократить число ламп и следовательно, мощность светильников).
Применение аппаратуры для зонального отключения освещения.
Использование эффективных электротехнических компонентов светильников (балластных дросселей с низким уровнем потерь и др.).
Применение автоматических выключателей для систем дежурного освещения в зонах непостоянного, временного пребывания персонала. Управление включением освещения может осуществляться от инфракрасных и другого типа датчиков, применяемых в системах охранной сигнализации.
Комплексная модернизация системы освещения позволяет экономить до 20-30% электроэнергии при среднем сроке окупаемости 1,5-2 года.
Потенциал экономии электрической энергии в осветительных установках при проведении комплексных мероприятий:
- очистка стекол световых проемов;
- окраска помещений в светлые тона;
- своевременная замена перегоревших ламп со снижением расчетного коэффициента запаса мощности системы при осмотре через интервал времени:
для МГЛ и НЛВД - 0.02 (
- средний срок службы ламп)
и замене вышедших из строя позволяет реализовать потенциал экономии, численные значения которого приведены в Табл. 9.
Потенциал экономии электрической энергии при применении перечисленных средств
Электробаланс и оценка режимов электропотребления
Электробаланс коммунального предприятия состоит из прихода и расхода электрической энергии (активной и реактивной). В приход включается электроэнергия, полученная от энергосистемы и выработанная электроустановками предприятия. Учет ведется по показаниям электросчетчиков. Расходная часть электробаланса активной электроэнергии делится на следующие статьи расхода:
- Прямые затраты электроэнергии на - основные технологические процессы объектов ЖКХ и на нужды потребителей.
- Косвенные затраты на основные технологические процессы вследствие их несовершенства или нарушения технологических норм.
- Затраты энергии на вспомогательные нужды (вентиляция, освещение и др.).
- Потери в элементах системы электроснабжения (трансформаторах, линиях, компенсирующих устройствах, двигателях и др.).
- Отпуск сторонним потребителям (столовые, клубы, поселки, магазины, транспорт).
В зависимости от специфики обследуемой организации набор статей может быть различным, может отсутствовать часть статей.
Полученный в результате анализа удельный расход электрической энергии относится на единицу выпускаемой продукции (Гкал отпущенного тепла, м3 воды) и сопоставляется с показателями передовых предприятий.
Задачей составления электробаланса является:
- Выявление и нахождение расходов энергии по статьям 2, 3, 4, 5 с целью четкого выделения ее расхода на основную продукцию коммунального предприятия (на выработку и распределение 1 Гкал, на 1 м3 очищенной воды и т.п.).
- Выявление микрорайонов с дефицитом электрической мощности, перегруженными сетями и др.
- Определение удельных норм расхода электроэнергии на единицу продукции предприятия (кВт час/Гкал, кВт час/м3) и сравнение с аналогичными затратами других предприятий.
- Выявление возможности сокращения нерациональных расходов энергии путем проведения различных мероприятий по усовершенствованию технологических процессов и снижения нерациональных вспомогательных затрат.
Необходимо также провести экономический анализ режимов суточного электропотребления и режимов работы оборудования с целью определения экономического эффекта от перехода на двухтарифный режим оплаты за пользование электрической энергией. При этом может оказаться целесообразным изменение графика работы отдельного технологического оборудования (сместить на ночной период время включения скважинных насосов, подающих воду в емкости второго подъема, и др.).
Энергоресурсоаудит систем теплоснабжения
Система теплоснабжения состоит из теплогенерирующей установки (котельная или теплоэлектроцентраль), системы магистральных теплотрасс, разводящих тепло по микрорайонам к центральным тепловым пунктам, разводящих теплотрасс, индивидуальных тепловых пунктов и систем отопления зданий.
При проведении энергоаудита систем теплоснабжения города, района выясняются:
- структура построения системы, организационная структура, тип системы (открытая, закрытая);
- источники тепла (марки и количество котлов, их состояние, балансовая принадлежность источников, температурный график и график расхода теплоносителя, режимы эксплуатации, способ регулирования системы отопления в зависимости от температуры окружающей среды, способ и характеристики водоподготовки);
- общая тепловая нагрузка на отопление, горячее водоснабжение и вентиляцию, климатические характеристики и расчетная температура);
- тепловые сети (схемы теплотрасс, обеспеченность требуемых напоров у потребителя, состояние трубопроводов и их теплоизоляционных и антикоррозионных покрытий, наличие гидроизоляции, потери теплоносителя, аварийность на 1 км тепловых сетей, сравнение нормативных и фактических теплопотерь);
- схема теплоснабжения с указанием распределения потоков энергоресурсов, районов с дефицитом обеспеченности энергоресурсами;
- размещение, состояние и характеристики тепловых пунктов и насосных станций (типы водоподогревателей, наличие и характеристики отложений в них, оснащенность тепловых пунктов средствами борьбы с отложениями, оснащенность контрольно-измерительными приборами, средствами учета расхода энергоресурсов, наличие автоматических систем регулирования);
- распределение тепла по группам потребителей (население, бюджетная сфера, промышленность, сфера обслуживания);
- состояние диспетчеризации и автоматизации систем сбора информации;
- общие характеристики теплопотребления жилищного фонда и общественных зданий, расчетные и фактические нагрузки, обеспеченность энергоресурсами;
- характеристики и состояние внутридомовых инженерных сетей, оснащенности их средствами автоматического регулирования и учета потребления энергоресурсов, тип и состояние отопительных приборов, наличие отложений, качество обслуживания потребителей, качество работы систем, состояние диспетчеризации, организационная структура управления, соотношение нормативного и фактического потребления энергоресурсов.
Утепление и уплотнение ограждающих конструкций зданий
Через ограждающие конструкции зданий в атмосферу теряется большая часть тепловой энергии. На отопление и вентиляцию зданий различного назначения расходуется около 40% всех расходуемых топливных энергетических ресурсов (ТЭР). Потери тепла через наружные стены, в зависимости от высоты и конструкции строения, составляют в пределах 20-60% от общего расходуемого тепла. На долю световых проемов (окна, двери) зданий, отвечающих ранее действующим СНиП II-3-79, приходится около 80% всех теплопотерь здания.
Однослойные бетонные конструкции, которые изготавливались большинством предприятий строй индустрии, не соответствуют современным энергетическим требованиям (требованиям энергосбережения).
Переход к применению трехслойных конструкций с эффективной теплоизоляцией позволит получить в расчете на 1 млн. м2 вводимой в эксплуатацию общей площади годовую экономию в пределах 10-12 тыс. тонн условного топлива.
Потери тепла через оконные проемы в 4-6 раз выше, чем через стены. Применение двойного и тройного остекления позволит в 1,5 - 2,0 раза сократить указанные потери. Размещение между рамами окон дополнительного слоя пленки с покрытием, отражающим инфракрасное излучение из помещения и увеличивающей термическое сопротивление пространства между стеклами, почти в четыре раза снижает теплопотери через окна. Измерения тепловых потоков от ограждения здания с помощью инфракрасной аппаратуры показывают, что при этом практически исчезает разница между излучением от стен и окон.
Проблему снижения теплопотерь через оконные проемы необходимо решать комплексно с проблемой вентиляции квартир.
Велика составляющая инфильтрационных потерь в общем тепловом балансе здания. Необходимо обеспечить хорошую герметичность стыков панелей, тамбуров подъездов, окон лестничных клеток. Особенно возрастает влияние инфильтрации в высоких зданиях, для которых велико давление "самотяги", пропорциональное величине
Т_нар - абсолютная температура наружного воздуха °К;
Т_вн - абсолютная температура внутреннего воздуха °К;
Н_зд - высота отапливаемой части здания.
Основные резервы энергосбережения лежат в сфере реконструкции. Ранее построенные здания потребляют 85-90% тепловой энергии жилого сектора и их реконструкция может позволить достичь большой экономии энергоресурсов.
При сокращении тепловых потерь через ограждающие конструкции имеется возможность экономить около 42% на отоплении и около 39% на горячем водоснабжении по сравнению с ранее действовавшими нормами (рис.7-8).
На рис. 7 приведено соотношение долей потребления топлива для отопления, вентиляции и горячего водоснабжения жилых и общественных зданий.
Рис. 7. Соотношение долей потребления топлива для отопления (1), горячего водоснабжения (2), и вентиляции (З) жилых и общественных зданий
Ниже (рис.8, 9) приведено (для наглядности в виде количества сжигаемого топлива) сравнение величин теплопотерь для двух одинаковых домов, один из которых построен в соответствии с ранее действовавшими нормами теплозащиты (СНиП II-3-79* "Строительная теплотехника") (А), другой для построенного в соответствии с новыми требованиями, введенными с 1995 года (постановлением Минстроя России от 11.08.95 г. N 18-81) (Б).
Рис. 8. Важность экономии затрат теплоты на отопление при сокращении теплопотерь через ограждения и модернизации систем зданий
Разность между существующим положением и возможной перспективой оценивается как резерв энергосбережения (рис.10).
Важно оценить вклад конкретных мероприятий при возможном использовании общего резерва энергосбережения (рис. 11 и 12).
Рис. 9. Потребность в жидком топливе в литрах в год на отопление обычной 2-х комнатной квартиры в многоэтажном здании
Рис. 10. Роль систем инженерного оборудования в общем резерве энергосбережения в жилых и общественных зданиях
Рис. 11. Роль различных мероприятий по энергосбережению в общем резерве энергосбережения в жилых и общественных зданиях.
1 - нетрадиционные источники, 2 - модернизация, 3 - учет расхода теплоты, 4 - тепловая изоляция
Рис. 12. Удельное годовое потребление энергии в домах (кВтч/м2)
1 - Восточная и Центральная Европа, 2 - страны OECD (Организации Международного Сотрудничества и Развития), 3 - Скандинавия, 4 - Высокоэффективный дом
Соотношение температуры воздуха t_B и радиационной температуры (средневзвешенной температуры всех поверхностей помещения) t_R °C, обуславливающее комфортные условия для холодного периода года в помещениях жилых и общественных зданий, выражается уравнением
Анализ режимов эксплуатации котельного оборудования
Комбинированная выработка тепловой и электрической энергии в паровых котельных
В задачу энергоаудита входит кроме снижения общего потребления энергоносителей снижение финансовых затрат потребителя за используемые энергоресурсы.
Котельная потребляет для своей работы топливо, электрическую энергию и воду.
Использование термодинамического потенциала пара котельной для выработки электроэнергии для собственных нужд снижает общие финансовые затраты на обеспечение работы котельной. Себестоимость выработки электроэнергии на небольшой противодавленческой турбине получается в три - четыре раза ниже, чем закупаемая из энергосистемы. При этом на выработку электроэнергии тратится дополнительно не более 10% используемого топлива.
Учитывая, что стоимость электрической энергии с учетом затрат на ее транспортировку и распределение в 8-10 раз дороже тепловой, все большее применение находят системы децентрализованного комбинированного производства тепловой и электрической энергии, - (мини ТЭЦ), где тепловая энергия частично преобразуется в более эффективную электрическую. Установка в паровой котельной турбины или винтовой паровой машины с противодавлением позволяет преобразовывать срабатываемый теплоперепад в электроэнергию, которую можно использовать для собственных нужд, а избыток продавать другим потребителям.
Экономию термодинамического потенциала топлива нужно проводить на всех этапах генерирования и использования тепловой энергии для целей теплоснабжения объектов ЖКХ, в котельных, в системах транспортировки и распределения, у потребителя.
Например, в котельной с четырьмя паровыми котлами ДКВР-10 может быть установлена одна турбина мощностью 1,5 МВт, что позволяет полностью обеспечить собственные нужды котельной (0,5 МВт), а избыток продать другим потребителям. Наиболее распространенным у потребителей является давление 0,12, 0,4, 0,6 МПа. Удельная выработка электроэнергии на установках приведенного типа составляет от 50 до 120 кВтчас/Гкал, удельный расход пара на турбину - от 30 до 50 кг/с/кВт. Расход пара и топлива при этом увеличивается, как правило, на 5-7%. Стоимость дополнительного расхода топлива в 8-9 раз ниже стоимости выработанной электроэнергии (сравнение в кДж). Турбины с противодавлением мощностью 0,5-1,5 МВт на общей раме с генератором, комплектно со щитом КИП поставляет Калужский турбинный завод (имеется информация и о менее мощных турбинах), разработана и проходит испытания паровая винтовая машина мощностью 200 кВт.
Турбина ПТГ-1000 производства ГНПП "Пролетарский завод" (г. Санкт-Петербург) с генератором на общей раме имеет габариты 5,5 х 2,5 х 2 м и может быть установлена либо в свободных ячейках котельной, либо в сборном металлическом модуле заводской поставки. Расход пара на турбину 38 т/ч, масса турбогенератора 7 т.
Экономическая целесообразность превращения котельной в мини-ТЭЦ должна определяться только на этапе окупаемости. Прибыль на втором этапе является текущим показателем, повышающим эффективность системы.
Типовой алгоритм энергоаудита отопительной котельной
Раз в три - пять лет в котельных проводятся пуско-наладочные работы и тепловые балансовые испытания, в которых проверяется КПД котлов, подбирается оптимальный, по результатам газового анализа, коэффициент избытка воздуха на различных режимах нагрузки котлов. Составляются режимные карты работы котлов. При энергоаудите целесообразно провести газовый анализ уходящих дымовых газов для проверки q2, рз и а (коэффициент избытка воздуха в уходящих газах позволяет оценить подсосы воздуха и качество обмуровки котла, допустимое значение а при работе на газообразном топливе равно 1,05 - 1,20). Низкое содержание CO и
указывают на правильную настройку режимов работы горелочных устройств.
Рис. 13. Влияние избытка воздуха на потери газа при его сжигании
(справа - температура уходящих газов °C). Базовое топливо - метан, базовый КПД - 84,8%, t_ух. газов 150 °C, избыточный воздух = 80*О2/(2I - О2).
Высокие значения в хвостовой части котла указывают на плохое качество обмуровки и большие подсосы наружного воздуха, приводящие к снижению КПД котлоагрегата и перерасходу электроэнергии на привод дымососов.
По температуре уходящих газов необходимо оценить возможность применения экономайзера и контактных теплообменников для увеличения КПД котельных агрегатов. При использовании газообразного топлива интерес представляет применение контактных теплообменников, позволяющих значительно снизить температуру уходящих газов, т.к. при хорошо организованном процессе горения нагреваемая при орошении топочных газов вода практически не загрязняется продуктами сгорания.
Рис. 14 Влияние избытка воздуха на перерасход мазута
(справа - температура уходящих газов °C). Базовое топливо -С4Н5, t_ух. газов 150 °C, избыточный воздух = 94*О2/(2I - О2), базовый КПД - 89,93%.
Рис. 15. Влияние содержания CO (химический недожег) в топочном газе на перерасход топлива (газ, нефть)
Более точные результаты получают при проведении тепловых балансовых испытаний котельных агрегатов, которые проводятся специальными лицензированными организациями. Испытания ограничиваются 3-4 наиболее характерными режимами: 50, 70, 90 и 100% номинальной производительности при соблюдении заданных параметров теплоносителя и питательной воды.
При испытаниях проводится осмотр котла и вспомогательного оборудования, определяется засоренность золой поверхностей теплообмена, наличие отложений, накипи. (Отмеченные недостатки устраняются до начала испытаний, что оформляется соответствующим актом).
Рис. 16. Влияние процессов смесеобразования и коэффициента избытка воздуха в горелочных устройствах на КПД горения газа, t_ух. = 183°C
Плохая работа деаэратора приводит к наличию в питательной воде растворенных газов (особенно, вредных для металлоконструкций кислорода и углекислого газа). Каждый случай питания котлов сырой водой должен фиксироваться в журнал. При нагреве недеаэрированной воды растворимость растворенных в ней газов (в их составе O2 и CO2) уменьшается, они становятся как бы избыточными, более химически активными и агрессивными к металлам. Практика показывает, что при наличии избыточного кислорода и углекислого газа в системах горячего теплоснабжения, котлов, отопления трубы могут выйти из строя на 3-5 год эксплуатации. Коррозионный коэффициент кислорода при наличии углекислого газа увеличивается почти в 3 раза.
При переводе паровых котлов на водогрейный режим по отопительному графику без предварительного подогрева воды на входе в котел возникает низкотемпературная коррозия хвостовых поверхностей нагрева котла. Иногда такая коррозия выводит из строя котлы на 3-5-й год эксплуатации. Согласно СНиП 11-35-76 температура питательной воды на входе в экономайзер и в водогрейные котлы должна на 5-10°C превышать температуру точки росы дымовых газов. Эта температура для продуктов сгорания природного газа составляет 60°C, для мазута - 43°C. При работе котла на сернистом мазуте температура питательной воды на входе в стальной экономайзер должна превышать 135°C.
В связи с возрастанием стоимости топлива необходимо оценить целесообразность улучшения теплоизоляции котлов, водоподогревателей, трубопроводов для уменьшения потерь в системах генерирования и распределения теплоты. Рекомендуемая наружная температура обмуровки современных котлов не превышает на 10-15°C температуру окружающего воздуха.
По результатам измерения расходов подпиточной воды определяются потери воды в системе теплоснабжения и степень возврата конденсата в систему питания котлов. Анализ показывает, что экономические потери от невозврата конденсата в систему питания котлов значительно превышают потери тепловой энергии, связанные с частичным недоиспользованием его тепла.
Примеры предлагаемых энергосберегающих мероприятий и их эффективность при эксплуатации котлоагрегатов
При обследовании котельных необходимо оценить соответствие характеристик применяемого насосного и вентиляционного оборудования их режимам эксплуатации Необходимо проверить правильность подборки параметров и количества основного и вспомогательного котельного оборудования, позволяющего его эксплуатировать все время в режимах близких к номинальным значениям, экономично отслеживать колебания отопительной нагрузки и нагрузки на горячее водоснабжение.
Образующаяся из солей кальция и магния накипь в 10-700 раз хуже проводит теплоту, чем сталь. Имеющиеся в составе питательной воды хлориды натрия и магния усиливают коррозию. При толщине слоя накипи 0,5 мм перерасход топлива составляет 1%, при 2 мм - 4%. Вследствие термического сопротивления слоя накипи уже при ее толщине 0,2 мм температура стенок котла может сильно отличаться от температуры котловой воды и в современных котлах достигать 700°C.
Серьезная проблема борьбы с отложениями возникает в теплообменниках системы горячего водоснабжения, когда проходное сечение труб почти полностью зарастает накипью. При механической очистке часто повреждаются эти трубки и на ремонт требуются значительные - финансовые затраты.
Для тепловых систем, питаемых водой из водозаборных скважин, задача борьбы с отложениями накипи в котлах, теплообменниках и трубопроводах является сложной технической проблемой. Традиционно применяемые системы ионообменных фильтров капиталоемкие, требуют больших эксплуатационных затрат и не всегда технически грамотно эксплуатируются в небольших тепловых системах.
Зарастание отложениями трубопроводов тепловых систем, в том числе и оборотного водоснабжения, приводит к значительному увеличению их гидравлического сопротивления, разрегулировке систем отопления и большим энергетическим потерям на прокачку системы.
Борьба с отложениями является сложной технической проблемой. Она проводится как механическим, так и химическим способами и требует остановки сетей на ремонт.
В системе водоподготовки питательной воды начали применяться новые, более дешевые способы ее обработки: ультразвуковые, магнитные, присадки комплексонов и др.
Большой интерес представляет дешевый и эффективный способ борьбы с накипеобразованиями в зонах нагрева сырой воды с помощью комплексонов.
Ультразвуковой способ основан на разрыхлении и смывке образующихся отложений при воздействии ультразвукового излучателя. Мощность излучателя составляет несколько кВт и зона воздействия ограничена.
Магнитная обработка не требует постоянных затрат энергии, но эффективность действия зависит от состава воды.
Электроискровой высоковольтный способ очистки отложений возможен только в период ремонтных работ при остановке системы.
Промывка котлов и тепловых систем с помощью слабых растворов соляной кислоты производится также при остановке системы в период ремонтных работ.
Применение комплексонов для промывки, борьбы с накипеобразованиями и отложениями в водогрейных котлах и тепловых сетях
Применение комплексонов, содержащих фосфоновые группировки РО(ОН)2, и комплексонатов, производных от комплексонов, в системах теплоснабжения позволяет не только избежать отложения накипи в котлоагрегатах и теплообменниках, но и отмыть контуры систем теплоснабжения и водогрейных котлоагрегатов от предыдущих отложений. При применении комплексонов в системах с большими объемами воды, где накопилось большое количество отложений, целесообразна установка фильтров шламоудалителей твердых мелкодисперсных отложений. В связи с низкой скоростью витания они начинают скапливаться в зонах с низкими скоростями течения, которые часто расположены в нижних коллекторах котлов, а это может привести к прогоранию труб. После очистки системы от накипи эта опасность уменьшается. Возможно, перед началом применения комплексонов необходимо промыть систему.
Эффективность применения комплексонов зависит от их концентрации и химического состава воды. При обработке комплексонами воды с содержанием железа более 0,3 мг/л целесообразно предварительно провести ее обезжелезивание.
До начала применения комплексонов системы с отложениями целесообразно отмыть, предпочтительно, в несколько этапов, при больших дозировках концентрации комплексонов.
При эксплуатации сетей с накопившимися отложениями поддерживается концентрация комплексонов, соответствующая равновесному состоянию, когда старые отложения не отмываются, а новые не образуются.
Нарушение этого равновесия в сторону интенсивной отмывки сетей приводит к тому, что все накопившиеся шламы попадают в воду и начинают скапливаться в зонах системы с низкой скоростью движения воды. Особенно это опасно для котлов.
В системах, использующих комплексоны, необходимо применять интенсивные методы шламоудаления, правильно размещая неполнопоточные шламоотделители. В процессе эксплуатации в конечном счете вся вода пройдет через них.
Расход комплексонов рассчитывают исходя из объема отмываемого контура и количества отложений. На завершение очистки указывает стабильность во времени концентраций ионов железа, комплексона и значения pH.
Учитывая возросшие экономические затраты на традиционные способы обработки питательной и сетевой воды с применением ионообменных фильтров (стоимость достигает 10 и более руб./м3), представляет интерес переход на новую автоматизированную (стоимостью около 30-50 тыс.руб. за установку) систему обработки воды. При цене комплексона 25-30 руб./кг одного килограмма комплексона достаточно для обработки до 1500 м3 питательной воды. Себестоимость обработки одного м3 воды при этом достигает нескольких копеек, нет сброса хлоридов металлов на очистные сооружения, трубы системы подвергаются обработке замедляющей химическую коррозию (при применении цинконата комплексонов), происходит отмывка тепловой системы от ранее накопившихся отложений.
Обработка комплексонами воды не предотвращает образование биологических и наносных отложений. Поэтому используемая из поверхностных источников вода должна пройти предварительную механическую очистку.
Применение комплексонов не исключает необходимость деаэрации подпиточной воды. Остаточное содержание комплексона в системе не должно превышать предельных допустимых концентраций указанных в Санитарно-гигиенические характеристики оксиэтилидедифосфоновой кислоты ОЭДФ, тринатриевой Na3ОЭФД, монокалиевой КОЭФД ее кислот, нитрилотриметилфосфоновой кислоты НТФ по данным Института реактивов и особо чистых веществ (ИРЭА), г.Москва, приведены в Таблице 11.
Допустимые нормы концентрации комплексонов в воде хозяйственно-бытового назначения.
Перечисленные вещества умеренно токсичны с умеренно - выраженной способностью к кумуляции. Относятся к 3 классу умеренно - опасных веществ (ГОСТ 12.1.007-76). Слабо раздражают кожу и слизистую оболочку глаз. Проливы концентрата цинкового комплексона ZnОЭДФ смываются водопроводной водой. При попадании на кожу или в глаза необходимо промыть пораженное место водой, а затем соответствующим раствором бикарбоната натрия (2% раствор для нейтрализации раствора на поверхности кожи и 0,5% - для промывки глаз). Эти рекомендации необходимо иметь в виду при приготовлении концентрированных рабочих растворов для позирующих устройств.
Рис. 17. Схема установки для дотирования комплексонов
Рекомендуемые концентрации комплексона в рабочих системах
Рекомендуемые концентрации комплексонов ОЭДФ в сетевой и воде, по данным ИРЭА для различных значений индекса насыщения исходной воды
Анализ режимов работы системы теплоснабжения
Тепловая энергия, получаемая коммунальными службами с различными энергоносителями (газ, топливо, водяной пар, горячая вода и др.), используется для обеспечения потребностей на:
Наиболее распространенными теплоносителями являются водяной пар и горячая вода с температурой до 150°C, производимые в котельной и по трубопроводам направляемые к потребителям.
Регулирование отопления в основном осуществляется по температуре при постоянном расходе теплоносителя. Во многих случаях расход воды в системе отопления регулируется дважды в год в начале и конце отопительного периода. Расход воды по сети летом составляет около 80% от зимнего расхода. Обычно температура воды в прямой линии колеблется от 70 до 150°C, в обратной линии в основном находится в пределах 42-70°C.
Системы отопления, работающие при постоянном расходе и регулировании температурой теплоносителя (качественное регулирование), имеют недостатки по сравнению с системой регулирования подачей воды (количественное регулирование). Система инерционна, изменение температуры в системе затягивается на несколько часов. Система имеет большое значение постоянной времени переходных процессов, плохо отслеживает потребности в тепле на отопление при резких колебаниях наружной температуры воздуха, которое иногда бывает более десяти градусов за сутки. Температура иногда регулируется только несколько раз в сутки. Особенно большая проблема в обеспечении экономичных режимов больших городов, тепловые сети которых характеризуются большой протяженностью и инерционностью.
При регулировании системы теплоснабжения подачей количества сетевой воды, нагретой до заданной постоянной температуры, мощность насосного агрегата пропорциональна расходу горячей воды в системе в третей степени (для турбулентного режима) и график зависимости мощности насоса во времени отопительного сезона напоминает отопительный график. Площадь под графиком Q-H равна энергии, затраченной на прокачку теплоносителя, которая меньше, чем в первом случае (см. рис. 18).
При создании и реконструкции систем отопления нужно шире внедрять количественные методы регулирования систем.
Переход к системе отопления с регулированием по расходу воды в системе позволяет достичь 60% экономии электроэнергии на привод циркуляционных сетевых насосов. Кроме того, замена элеваторных узлов экономичными малошумящими циркуляционными насосами с системой автоматического регулирования отопления дополнительно экономит энергию циркуляционных насосов.
Рис. 18. Экономия энергии циркуляционного насоса при переходе на количественное регулирование системы теплоснабжения
N_эд - мощность, потребляемая циркуляционным насосом.
_раб - продолжительность отопительного периода.
Оценку перерасхода тепла на отопление k_пер приближенно можно определить по фактическому превышению (t_д - 18) средней температуры воды в стояках системы отопления над температурой (t = 18°C) внутри здания по сравнению с расчетными значениями по отопительному графику (t_p-18) для заданной температуры наружного воздуха.
Предполагается, что термическое сопротивление системы "радиатор отопления помещение" незначительно зависит от разности температур. Избыточные теплопритоки при перетопе жильцы сбрасывают через открытые форточки, проветривая помещение. Это можно зафиксировать только при использовании тепловизоров или инфракрасных термометров.
В настоящее время находят применение автоматизированные блочные и крышные котельные, которые работают без постоянного обслуживающего персонала. Эти котельные при определенных условиях могут быть экономически выгоднее других решений реализации системы теплоснабжения объекта. Применение таких технических решений позволяет избежать затрат на создание внешних магистральных теплосетей, уменьшить тепловые потери в системе, рассредоточить выбросы вредных веществ в атмосферу. Экономические затраты при теплоснабжении от собственной котельной могут быть в 3-5 раз ниже по сравнению с централизованным теплоснабжением, особенно в условиях рыночной экономики. В каждом конкретном случае необходимо проводить технико-экономический анализ.
Анализ затрат теплоты на отопление
При проведении энергоаудита необходимо сравнить фактическое теплопотребление с расчетным, которое необходимо поставить потребителю.
Для составления теплового баланса и оценки состояния системы отопления необходимо оценить значения тепловой мощности, потребляемой на отопление зданий различного назначения.
Сравнительный анализ позволяет определить наличие "перетопа" здания и необходимость настройки его системы на проектные показатели. Это особенно важно при настройке на номинальные показатели системы централизованного теплоснабжения. Превышение теплопотерь в зданиях и элементах системы централизованного теплоснабжения больше проектных значений приводит к необходимости выявления причин и проведения работ по их устранению.
Нормативный расход теплоты на отопление здания рассчитывается по Формуле:
где: Бета - поправочный коэффициент, учитывающий расход теплоты на подогрев инфильтрационного воздуха. Значение Бета равно 0.1-0.3 для аэровокзалов и пассажирских павильонов при скорости ветра 5-10 м/с за три наиболее холодных месяца, для старых жилых зданий бета = 0.15, для ангаров с одинарным остеклением бета = 1-2.
q_о(q_в) - удельные тепловые характеристики на отопление (вентиляцию) здания (табл.13);
- поправочный коэффициент (принимают только для отопительной характеристики здания);
V_н - отапливаемый объем здания, м3;
t_в.ср - средняя температура воздуха в здании;
t_н.о (t_н.в) - температура атмосферного воздуха, принятая в расчете отопления (вентиляции) данного объекта;
Q_о (Q_в) - расход теплоты на отопление (вентиляцию) здания. При расчете Q_о и Q_в складываются.
В таблице 13 приведены характеристики теплотехнические характеристики зданий, использованные при укрупненных теплотехнических расчетах.
Теплотехнические характеристики зданий
При проведении энергоаудита необходимо провести измерения фактических расходов тепловой энергии с помощью переносного расходомера и переносного термометра (или пирометра). Сопоставление фактических (измеренных) расходов тепла с нормативными (расчетными) значениями дает оценку имеющихся на объекте резервов экономии тепла.
Методы энергосбережения
Экономии тепла в системе отопления объектов ЖКХ также можно достичь техническими и организационными мероприятиями:
- Переход системы отопления на режим дежурного отопления при сниженной (12-14°C) температуре в нерабочие смены и выходные дни для магазинов, кинотеатров и других нежилых помещений позволяет достичь 8-10% экономии тепловой энергии на отопление (в климатических условиях средней полосы России). Возможно применение автоматизированных систем отопления, снижающих температуру в ночное время (переключается централизованно и индивидуально).
- Применение систем лучистого отопления с обогреваемыми полами и стеновыми панелями, которые создают комфортные условия при температурах 15-16°C. Таким образом, снижается расход топлива примерно на 20-30%.
- Оборудование квартир индивидуальными (по желанию жильца) средствами регулирования температуры и учета расхода тепла на отопление. Внедрение средств поквартирного учета и регулирования тепла на отопление должно осуществляться на базе технико-экономических расчетов.
Инфильтрационные теплопотери
Потери тепла вследствие инфильтрации через тамбуры подъездов, окна лестничных клеток можно оценить с помощью термоанемометров (объемы инфильтрации) и термометров, определяющих температуру воздуха.
Сверхнормативные потери тепла через оконные блоки, стыки стеновых панелей и дефектные элементы ограждающих конструкций можно оценить с помощью инфракрасной термометрической аппаратуры (тепловизоры, инфракрасные термометры), позволяющей проводить дистанционные измерения температур исследуемых элементов здания при проведении измерений.
Конечные результаты, полученные в результате энергетического обследования системы теплоснабжения, оформляются в виде разделов отчета и энергетического паспорта здания (приведен в приложении). При оформлении в проект энергетического паспорта здания рекомендуется дополнительно ввести два показателя:
- наличие средств общего и индивидуального учета потребления энергоносителей (тепла, воды ГВС, холодной воды, газа, электроэнергии);
- наличие и тип системы регулирования отопления здания и индивидуальных регуляторов температуры в его отдельных помещениях.
При широком распространении этих систем в коммунальном хозяйстве, что наблюдается в настоящее время, возникнет необходимость отражения в паспортных характеристиках зданий перечисленных показателей.
Анализ режимов работы системы вентиляции
При проведении энергоаудита систем вентиляции необходимо сравнивать нормативные и фактические показатели потребления тепла и электрической энергии на привод системы.
Расход тепловой энергии на вентиляцию:
t_н = t_н.в. В системах вентиляции с рециркуляцией, t_н = t_н.с - без рециркуляции.
Значения t_в.ср в зданиях комбинированного назначения принимают как средневзвешенную по объему внутреннюю температуру помещений. СНиП-овские нормативные значения величины q_в приведены в Табл.13
Доля вентиляционных систем в общем потреблении энергии на предприятии значительна.
При проведении энергоаудита делается поверочный расчет с учетом существующих условий (наличие вредных выбросов, тепловая нагрузка, влажность в помещении и др.) и их изменения в течение дня, недели и года. Проверяется наличие и возможность рекуперации тепловой энергии (теплоты вытяжного вентиляционного воздуха).
Анализируется возможность применения регулируемых электроприводов при переменном режиме эксплуатации.
При охлаждении или обогреве зданий с помощью воздушных систем отопления большие потери, соизмеримые с расчетным теплопотреблением на отопление здания, могут возникнуть за счет инфильтрации наружного воздуха через неплотности ограждения зданий.
Традиционные решения для уменьшения потерь энергии в вентиляционных системах:
- Создание переходных камер на дверях (тамбуров).
- Установка автоматической системы включения воздушных завес при открытии дверных проемов.
- Уплотнение строительных ограждающих конструкций здания.
- Проверка герметичности вентиляционных воздуховодов (уменьшение расхода воздуха, тепла и потребляемой мощности электродвигателем привода вентилятора).
- Отключение вентиляции в ночные и нерабочие периоды.
- Широкое применение местной вентиляции.
- Применение систем частотного регулирования двигателей вентиляторов вместо регулирования заслонкой. Установка частотного регулятора имеет срок окупаемости до 1,5 - 2 лет при широком диапазоне регулирования расхода воздуха через вентиляционную систему и значительной доле времени работы с подачей 50% и менее от максимального рабочего значения.
- Уменьшение потерь давления вследствие снижения скорости воздуха в воздуховодах (при увеличении внутреннего диаметра воздуховода в два раза, скорость воздуха снижается в четыре раза, а потери давления уменьшаются на 75%. Удвоение скорости потока воздуха в 4 раза увеличивает необходимое давление, создаваемое вентилятором, и в 8 раз потребляемую им мощность).
- Правильное согласование рабочих характеристик вентилятора с характеристикой вентиляционной системы при подборе передаточного отношения привода вентилятора.
- Своевременная очистка воздушных фильтров для уменьшения их гидравлического сопротивления.
- Организация рекуперации теплоты в количестве не менее 50% теплоты удаляемого воздуха.
Анализ режимов работы системы горячего водоснабжения
Расход воды и тепла на горячее водоснабжение необходимо оценить при составлении теплового и водного баланса. Нормативы суточного удельного расхода горячей воды для различных потребителей даны в СНиП 2.04.01-85 (приложение 9).
Расчетный среднегодовой расход тепла на горячее водоснабжение, соответствующий нормам СНиП, можно оценить по формулам:
i - количество видов потребителей горячей воды;
n_i - число потребителей (одного вида) горячей воды,
q_срi - средняя норма расхода горячей воды,м3/сутки, (СНиП 2.04.01-85, приложение 9);
C - теплоемкость воды 1 ккал/(кг°C);
t_i - средняя температура горячей воды водоразборных стояках (для жилых домов + 50C);
t_х.в - температура холодной воды в водопроводе в зимний период (при отсутствии данных принимается равной 5°C, при питании из скважины - 13-14°C);
T_i - период потребления горячей воды в сутках;
t_х.п - температура холодной воды в водопроводе в летний период (при отсутствии данных принимается равной 15°C).
Расход воды в системе ГВС равен:
Системы горячего водоснабжения предназначены для подачи потребителям горячей воды, температура которой в месте водоразбора должна быть не ниже 50-55°C.
При проведении энергоаудита необходимо проверить эффективность работы составляющих элементов системы горячего водоснабжения:
- устройства для нагрева воды, которым может служить котел (в системах с собственным источником теплоты) или теплообменник (в системах, подсоединенных к центральным тепловым пунктам - ЦТП, или к местным тепловым пунктам - МТП);
- подающей трубопроводной сети, состоящей из разводящего трубопровода и водоразборных подающих стояков;
- циркуляционной сети, состоящей из сборного циркуляционного трубопровода и циркуляционных стояков;
- водоразборной, регулирующей и запорной арматуры;
- циркуляционного или циркуляционно-повысительного насоса (режимы эксплуатации и способы регулирования).
Эффективность работы систем горячего водоснабжения зависит, главным образом, от соблюдения гидравлического и теплового режимов, применяемых средств регулирования на переменных режимах.
Основными причинами нарушений гидравлического режима являются:
- уменьшение давления воды в городском водопроводе ниже требуемого;
- увеличенное сопротивление водонагревательных установок;
- завышенные напоры циркуляционных насосов при установке их на циркуляционных трубопроводах квартальных сетей горячего водоснабжения;
- недогрев воды в водонагревательных установках, в результате которого повышается водоразбор, что приводит к увеличению потерь давления;
- нечеткое управление работой хозяйственных насосов и отсутствие надежных средств автоматического управления;
- неисправности запорной арматуры на трубопроводах системы горячего водоснабжения.
Основными причинами нарушения теплового режима в системах горячего водоснабжения являются:
- недогрев воды водонагревательными установками в результате уменьшения коэффициента теплопередачи из-за образования накипи, либо понижения температуры сетевой воды ниже минимально допустимой, либо неправильного включения секций водонагревателя по греющей воде, либо неисправностей или некачественной наладки регуляторов температуры и расхода воды;
- гидравлическая разрегулировка систем горячего водоснабжения, которая вызывается пониженным сопротивлением секционных узлов системы или циркуляционных колец отдельных зданий.
- зарастание системы ГВС отложениями, которые можно отмыть при использовании комплексонов.
- потери воды вследствие утечек в разводящей системе.
Одной из основных проблем, мешающих эффективной работе систем ГВС, является образование отложений в бойлерах и системах циркуляции и подводки горячей воды к потребителю.
Как отмечалось выше, одним из эффективных способов борьбы с отложениями является метод электрогидроимпульсной прочистки, который реализуется с помощью аппаратуры "Зевс".
Тепловые потери тепловых сетей отопления и ГВС
При обследовании теплотрасс проверяются следующие возможные причины потери энергии:
- Наличие плохого качества тепловой изоляции (устанавливается по фактическим тепловым потерям на основе расхода воды и падения температуры);
- Наличие утечек воды в теплотрассе (определяются по расходу подпиточной воды, либо по балансу расхода воды в прямой и обратной трубах). Для выявления мест утечек в подземных теплотрассах используются акустические течеискатели, в том числе корреляционные течеискатели указывающие расположение мест утечек между двумя датчиками, размещаемыми на исследуемом участке,
- подтопление теплотрасс с плохой гидроизоляцией.
Особенно велики нерасчетные теплопотери в тепловых сетях с подземной прокладкой трубопроводов и высоким уровнем грунтовых вод при затоплении их дождевыми или паводковыми водами. При таком нарушении тепловой изоляции труб теплопотери в тепловых сетях достигают 50% и более. Увлажнение теплоизоляции вследствие затопления теплотрассы грунтовыми водами определяется по парению в смотровых колодцах и по удельной величине теплопотерь. Потери тепла устраняются либо надземной прокладкой теплотрасс, либо применением предварительно изолированных труб, например, с изоляцией из пенополиуретана. Наличие датчиков нарушения гидроизоляции предварительно изолированных труб позволяет своевременно определять их повреждения.
Для оценки состояния теплотрасс необходимо сравнить потери в них теплоты с теми значениями, которые допускались при проектировании в соответствии с требованиями СНиП. Ниже приведены значения потерь в изолированных и неизолированных трубопроводах (табл. 14-16). Эти данные можно использовать для оценки эффективности рекомендаций по улучшению теплоизоляции труб систем теплоснабжения.
Определение потерь тепла в теплотрассах проводится по результатам приборного обследования и выполненных тепловых расчетов.
Потери тепловой энергии изолированными водяными теплопроводами при подземной бесканальной прокладке, и в непроходных каналах (температура грунта на глубине заложения трубопроводов +5°C), Вт/м
Потери тепловой энергии изолированными водяными трубопроводами при надземной прокладке (температура атмосферного воздуха +5°C), Вт/м
Тепловые потери неизолированных черных труб
Данные представлены в Вт/пог.м. Эти цифры соответствуют количеству литров нефти, потерянной на погонный метр трубопровода за год при круглогодичной эксплуатации. Теплофизические характеристики окружающего воздуха в расчетах взяты для температуры окружающей среды 10°C. Расчеты выполнены при естественной конвекции.
Потери тепла Q_yTl связанные с утечками воды или пара через нарушение герметичности трубопроводов и паропроводов, нарушение сальниковых узлов и прокладок задвижек, зависят от давления в системе (таб) и определяются по формуле:
V_ут - объемный расход воды через неплотности системы, л/час;
С_в - теплоемкость воды (1ккал/кг);
t_гв - температура горячей воды °C;
t_хв - температура холодной воды подпитки системы °C.
Влияние давления в системе и диаметра отверстия на величину утечек воды и пара
При проведении анализа состояния и условий эксплуатации тепловых сетей следует учитывать:
- фактические и нормативные потери теплоты на магистральных, распределительных и внутриквартальных тепловых сетях;
- случаи затопления и заиливания каналов и причины этих явлений при канальной прокладке;
- аварийность на 1 пог.км тепловой сети по типам прокладки с определением основных причин;
- объемы утечек теплоносителя, в том числе при авариях;
- располагаемый напор перед системами теплопотребления и, в особенности, на концевых участках теплосети;
- количества и места расположения зданий с недостаточным напором;
- наличие приборов учета теплоты на границе балансовой ответственности;
Потери тепловой энергии в центральных тепловых пунктах
Потери тепловой энергии в центральных тепловых пунктах формируются и определяются:
- плохой регулировкой оборудования теплового пункта;
- несогласованным режимом работы сетевых насосов;
- наличием отложений в теплообменниках, приводящих к увеличению их гидравлического сопротивления и ухудшению процессов теплообмена.
Теплопотребление внутридомовых систем отопления
На потребление тепловой энергии в здании оказывают воздействие следующие факторы:
- теплоизоляционные характеристики здания;
- режим работы системы отопления и применение систем учета и регулирования;
- оснащение потребителей приборами учета теплопотребления и отношение потребителей к режимам экономии.
Большинство систем отопления традиционно имеет качественное регулирование отпуска тепловой энергии (из центральной котельной) по температуре воды, подаваемой в теплосеть. Общие недостатки такой системы отмечались выше.
Настройка режимов работы нескольких потребителей значительно сложнее, чем одного дома. Необходимо настраивать последовательно дом за домом, с последующей корректировкой режимов работы тепловых узлов. Каждый дом работает со своим перепадом давления между прямой и обратной линиями. При этом наблюдается ситуация, когда одни дома перегреваются (завышены размеры дроссельной диафрагмы перед отопительным узлом), а другим домам тепла не хватает. Учитывая жалобы жильцов плохо обогреваемых домов, система отопления работает большей частью в режиме "перетопа". "Перетоп" определяется тем, во сколько раз средняя температура теплоносителя в системе отопления здания относительно температур в помещениях превышает проектную разницу для заданного значения температуры наружного воздуха.
Оценку перерасхода тепла на отопление k_пep приближенно можно определить по фактическому превышению (V18) средней температуры воды в стояках системы отопления над температурой (t_д = 18 °C) внутри здания по сравнению с расчетными значениями по отопительному графику (t_p - 18) для заданной температуры наружного воздуха.
Предполагается, что термическое сопротивление системы "радиатор отопления помещение" незначительно зависит от разности температур.
Теплопритоки от системы отопления пропорциональны этой разнице. Излишние теплопритоки сбрасывается жильцами через форточки. Работает "естественный" способ регулирования отопления, что можно зафиксировать только при использовании тепловизоров или инфракрасных термометров.
При энергоаудите индивидуальных тепловых пунктов домов необходимо сравнить реальный расход теплоты с проектным и, используя современную аппаратуру (теплосчетчики с накладными датчиками без врезки в систему отопления), рекомендовать привести режим работы теплового узла в соответствие с проектными показателями, оценить перерасход тепла для дома. Дополнительные исследования с помощью тепловизоров и инфракрасных термометров позволяют выявить элементы конструкций зданий с низким качеством теплоизоляции. Проведение измерений теплопотребления домов микрорайона, подключенных к одному центральному тепловому пункту, позволит провести перерегулировку системы и оптимизировать систему распределения теплоты по домам. При этом необходимо рассмотреть возможность внедрения современных разработок для регулирования систем отопления, учета расхода тепла и горячей воды и экономическую эффективность их применения.
При энергоаудите жилых и общественных зданий необходимо сравнить проектное потребление энергоресурсов (тепла на отопление и горячее водоснабжение, электрической энергии, газа, воды) с фактическим, определенным по климатологическим данным за анализируемый период, результатам входного коммерческого учета, приборного обследования теплового узла. Определяется соответствие фактического потребления энергоресурсов и температурных режимов в помещениях санитарным нормам и рекомендациям СНиПов.
Анализ состояния внутридомовых инженерных систем
При проведении анализа состояния внутридомовых инженерных систем следует учитывать:
- результаты сравнения потребляемой тепловой мощности на отопление и горячее водоснабжение;
- зданий различного назначения с проектными данными;
- наличие перетопа или недотопа здания или его частей;
- наличие непрогреваемых и плохопрогреваемых стояков, подводок к отопительным приборам;
- способы удаления воздуха из системы стояков;
- наличие на элементах системы отопления и горячего водоснабжения ржавых подтеков, заваренных свищей, хомутов;
- наличие отложений на внутренней поверхности труб в системах отопления, горячего и холодного водоснабжения, целесообразность проведения их отмывки;
- необходимость проведения наладочных работ на внутридомовых инженерных системах;
- соответствие расходов холодной и горячей воды местным нормативам;
- наличие утечек горячей и холодной воды через арматуру;
- наличие жалоб на недостаточную подачу горячей и холодной воды:
- наличие приборов учета и регулирования расходов тепла, горячей и холодной воды. Необходимо сопоставить данные о фактическом количестве приборов учета тепла, холодной и горячей воды, газа с потребностями и имеющимися планами и оценить (в %) степень обеспеченности теплового узла здания приборами учета.
Следует оценить целесообразность установки коммерческих узлов учета потребления энергоносителей на вводах зданий и установки приборов поквартирного учета энергоносителей. При анализе состояния учета необходимо:
- оценить технический уровень приборов и срок их эксплуатации:
- отразить организацию съема показаний приборов учета энергоносителей при их наличии, отметить состояние технического обслуживания и организацию периодической поверки приборов.
Индивидуальный учет потребления эффективен тогда, когда потребитель имеет возможность регулировать расход тепла в зависимости от своих собственных потребностей.
Анализ работы систем водоснабжения
По системе водоснабжения производится оценка следующих факторов:
- сопоставляется суммарная производительность водоисточников и нормативная потребность в воде, определяется дефицит мощностей водоисточников (или резерв), оцениваются удельные расходы электроэнергии на 1 м3 воды (Рис. 19-20);
- оценивается качество подаваемой воды путем сопоставления качественных параметров питьевой воды с требованиями СаНПиН 2.1.4.559-96 "Питьевая вода. Гигиенические требования к качеству воды централизованных систем питьевого водоснабжения. Контроль качества;
- производится сопоставление производственных мощностей насосных станций I подъема, водоочистных сооружений и насосных станций II подъема, пропускной способности выходных водоводов;
- сопоставляются данные об аварийности сетей (на 1 км протяженности) с нормативными данными;
- по насосным станциям выявляются потери напора при дросселировании на задвижках на выходе после насосов перед выходными водоводами;
- выявляются точки сети с недостаточными свободными напорами, а также места с избыточными давлениями (рис.19);
- оценивается состояние приборного учета расхода воды по насосным станциям, а также состояние диспетчеризации;
- проверяется зонирование по величине необходимого напора в системе и в высоких домах (это уменьшает перерасход воды и потребление электрической энергии на водоснабжение).
Возможная экономия воды оценивается путем сравнения фактического удельного водопотребления (л/сутки на 1 человека) с нормативными значениями.
Определяется также экономия затрат на ликвидацию аварий при уменьшении их числа до норматива. Оценивается эффективность действующей системы зонирования водопроводной сети с учетом планировки города и этажности застройки.
Инструментальные обследования проводятся с использованием переносных расходомеров и переносных измерителей давления (с автоматической регистрацией данных).
Насосы являются основным элементом систем водоснабжения. От их правильного подбора, эффективного регулирования в течение суток зависит как экономия потребляемой электрической энергии, так и перерасход воды через неплотности системы и потребителем вследствие превышения давления перед водоразборными кранами. Резервы экономии электроэнергии оцениваются по величине потерь напора на насосных станциях при дросселировании избыточного давления на задвижках после насосов и у потребителя, по продолжительности работы насосов в неэкономичных режимах.
Анализ эффективности работы насоса при снижении подачи меньше номинального значения показывает, что при малых расходах увеличиваются удельные затраты электрической энергии на подачу 1 м3 воды вследствие снижения КПД насоса. Необходимо при малой подаче переходить на использование насосов с меньшей производительностью (рис.20) либо использовать аппаратуру частичного регулирования скорости насосов.
В случае работы нескольких водозаборных узлов, работающих на закольцованную систему водоснабжения, следует рассмотреть возможность перевода отдельных водозаборов в дежурный режим, повысив этим загрузку и экономичность остальных водозаборов.
Рис. 19. Составляющие электропотребления насосами сети, работающей на двух потребителей с различным требуемым напором
<*> Мощность системы водоснабжения, необходимая для обеспечения потребителя, пропорциональна площади в координатах Q - H
Рис. 20. Относительные значения в % электрон потребления и удельных затрат электроэнергии на прокачку насосом 12Д-9, мощностью 160 кВт, расходом 900 мЗ/ч, при поддержании дросселированием давления в сети напора 6 ати
Анализ работы систем водоотведения
По системе водоотведения оцениваются:
- фактическая и требуемая производительность канализационных очистных сооружений;
- потери напора при частичном прикрытии задвижек на выходе насосов канализационных станций перекачки;
- аварийность канализационных сетей.
По этим данным оцениваются резервы экономии электроэнергии при ликвидации потерь напора из-за дросселирования на напорных задвижках, а также снижение затрат на аварийно-восстановительные работы при уменьшении числа аварий на 1 км до нормативных значений.
Измерения производятся с помощью переносных расходомеров и датчиков давления с автоматической регистрацией данных.
Технико-экономический анализ энергосберегающих мероприятий
В конечном итоге работа по проведению энергоресурсоаудита должна заканчиваться разработкой программы устранения нерациональных потерь энергии и связанным с этим повышением экономической эффективности работы коммунальных предприятий и объектов. Проводится технико-экономический анализ эффективности предлагаемых мероприятий, определяются сроки окупаемости, разрабатывается очередность их внедрения. Предпочтение отдается тем предложениям, которые имеют небольшие затраты и малые сроки окупаемости.
Перечень рекомендуемых малозатратных мероприятий по энергоресурсосбережению разработан АКХ им. К.Д.Памфилова и утвержден Госстроем России (75).
Как правило, малозатратные организационно-технические мероприятия, наводящие элементарный порядок в энергопользовании, позволяют получить в самый короткий срок экономию до 10-25% энергоресурсов (срок окупаемости - до 3 лет).
Реализация проектов с большими финансовыми затратами и сроками окупаемости переносится на более поздний период и учитывается при планировании капитальных ремонтных работ.
В простейшем случае оценка эффективности применения энергосберегающих проектов проводится по сроку окупаемости инвестиций, необходимых для реализации этих проектов:
И - суммарные инвестиции на реализацию энергосберегающего проекта.
Э - годовой экономический эффект от применения энергосберегающего проекта, включая экономию энергоресурсов и других затрат предприятия, связанные с реализацией предприятия, за вычетом годовых затрат на эксплуатацию мероприятий.
Более глубокой является оценка эффективности инвестиций на реализацию энергосберегающих проектов, учитывающая также оплаты по банковской кредитной ставке, инфляцию, в некоторых случаях обесценивающую положительный эффект от энергосбережения. Инвестиционный анализ позволяет сравнить эффективность различных энергосберегающих проектов, оценить, насколько эффективнее вкладывать денежные средства в реализацию энергосберегающего проекта по сравнению с использованием их в банковском бизнесе и других финансовых проектах, в которых можно получить заранее обусловленный процент прибыли.
Для этого к начальному времени реализации проекта приводят все доходы, поступающие за время его действия и сравнивают их затратами на реализацию проекта, т.е. с инвестициями в проект.
По второй схеме анализа строится график погашения кредита, полученного на реализацию энергосберегающего проекта, при заданной процентной банковской ставке и экономическом эффекте, направляем на погашение кредита.
Дифференциальное уравнение погашения кредита:
dN - изменение кредита с учетом процентов по платежам Nkd и выделением прибыли N_2d
за время d
на погашение кредита.
N - текущий долг по кредиту за рассматриваемый интервал времени d_, 0 <
<
_расч
N_0 - начальное значение долга.
k - процентная ставка кредита (Сбербанка до года - 26-:-32%, свыше года - 30-:-36:, валютный кредит - 13-:-17%);
N_2 - прибыль от реализации проекта, идущая на погашение долга;
Зависимость долга за рассматриваемый период погашения кредита:
где: N_0 - долг на начало рассматриваемого периода.
Срок погашения кредита _пог для периода без дополнительных заимствований:
Если в течение периода вводятся дополнительные кредиты, то расчет ведется по этапам, заключенным между дополнительными кредитами.
Минимальная начальная стоимость при условии погашения кредита к сроку полного износа (в частности, ресурс оборудования), заданной прибыли N_2 и банковской процентной ставки k:
Если решить это уравнение относительно k, то можно определить значение минимальной ставки кредита для окупаемости за период , при заданных N_2 и N_0.
Рис. 21. Оценка сроков окупаемости кредита на реализацию энергосберегающего проекта
Литература
1. Федеральный закон РФ "Об энергосбережении" от 3 апреля 1996 N 28-ФЗ.
2. Указ Президента РФ от 7 мая 1995 N 472 "Об основных направлениях энергетической политики и структурной перестройки топливно-энергетического комплекса Российской Федерации на период до 2010 сода".
3. Постановление Правительства РФ "О федеральной целевой программе "Энергосбережение России" на 1998-2005 годы" от 24 января 1998 N 80.
4. Федеральная целевая программа "Энергосбережение России" - основа энергосберегающей политики государства в регионах и отраслях экономики на 1998-2005 гг. Министерство топлива и энергетики Российской Федерации. Российское Агентство Энергоэффективности, Москва 1998 г.
5. Постановление Правительства РФ от 12 августа 1998 N 938 "О государственном энергетическом надзоре в Российской Федерации".
6. Постановление Правительства РФ от 15 июня 1998 N 588 "О дополнительных мерах по стимулированию энергосбережения в России".
7. Минтопэнерго РФ. Пакет нормативных правовых документов, рекомендуемых субъектам Российской Федерации для реализации региональной энергосберегающей политики. Том 1 Пакет типовых нормативных правовых документов, Том 2 Сборник региональных нормативных правовых документов, методик и программ. Москва, 1998 г.
8. Минтопэнерго России. Департамент государственного энергетического надзора и энергосбережения, Временные руководящие указания по организации работ в сфере энергосбережения в управлениях государственного энергетического надзора в субъектах Российской Федерации. Том 1, 2 и 3, г. Москва, 1999 г.
9. Федеральный закон Российской Федерации "О лицензировании отдельных видов деятельности" от 25 сентября 1998 г. N 158-ФЗ.
10. Минтопэнерго России. Руководящий документ РД 34 38.128-95. "Методические указания по выдаче специальных разрешений (лицензий) в области энергетики. 2-е издание. Москва, 1997 г.
11. Положение о проведении энергетических обследований предприятий. Минтопэнерго, 1998 г.
12. Нормативные документы и извлечения из них по вопросам энергосбережения. М., Минстрой РФ, 1997.
13. Инструктивные материалы Главгосэнергонадзора России по проведению обследования электрических и теплопотребляющих установок и тепловых сетей. М., АОЗТ "Энергосервис", 1997.
14. Инструкция по эксплуатации тепловых сетей. М. Энергия, 1974.
15. Строительные нормы и правила. Часть II, Нормы проектирования, гл. 3, "Строительная теплотехника", СНиП II-3-79*, М., Стройиздат, 1996.
16. Строительные нормы и правила. "Отопление, вентиляция и кондиционирование". СНиП 2.04.05-91, М., Стройиздат, 1988.
17. Богословский В.Н., Поз М.Я.. Теплофизика аппаратов утилизации тепла систем отопления, вентиляции и кондиционирования воздуха. М., Стройиздат, 1983.
18. Булгаков К.В. Энергоснабжение промышленных предприятий. М-Л, "Энергия", 1966.
19. Энергосбережение в системах теплоснабжения, вентиляции и кондиционирования воздуха. (Справочное пособие), под ред. Богуславского Л.Д., М., Стройиздат, 1990.
20. Манкж В.И. и др. Наладка и эксплуатация водяных тепловых сетей. Справочник. М., Стройиздат, 1983.
21. Рекомендации по испытанию и наладке систем отопления, вентиляции и кондиционирования воздуха. М., Минмонтажспецстрой, 1989.
22. Пособие по проведению инспекционных обследований состояния жилищно-коммунального обслуживания населения, осуществляемых муниципальной жилищной инспекцией Москвы. М., Стройиздат, 1994.
23. Справочник по электроснабжению промышленных предприятий. Общая редакция Федорова А.А., Сербиновского Г.В., в двух книгах, М., "Энергия", 1973.
24. ВСН-58-88р. Положение об организации и проведении реконструкции, ремонта и технического обслуживания жилых зданий, объектов коммунального и социально-культурного назначения. М., Госкомархитектура, "Стройиздат", 1990.
25. Методические рекомендации по разработке эксплуатационных режимов систем централизованного теплоснабжения на межотопительный период. М., Роскоммунэнерго,1995.
26. Методические рекомендации по подготовке и проведению отопительного периода в городах и населенных пунктах. М., Роскоммунэнего, 1994.
27. Материалы курса "Энергоаудит промпредприятия". НТИЦ ЭТТ МЭИ, 1997.
28. Методические указания по обследованию теплопотребляющих установок закрытых систем теплоснабжения и разработке мероприятий по энергосбережению. Нормативные документы для тепловых электростанций, котельных и тепловых сетей. РД 34.09.455-95, г Москва, ВТИ. 1996 год.
29. Материалы курса лекций по энергоаудиту. Российско-Датский институт энергоэффективности. М. 1997.
30. Efficient Use of Electricity in Russian Industry and Commercical Sector, Training Programme. Seminar Papers, Volume 1. Danish Energy Agency. Danish Power Consult (DPC). 1997.
31. Промышленность Украины: путь к энергетической эффективности. EC-Energy Centre Kiev. Ukraine. TACIS- Programme. 1995.
32. Украина: энергосбережение в зданиях. EC-Energy Centre Kiev, Ukraine. TACIS-Programme. 1995.
33. Украина: эффективность малой энергетики. ЕС-Energy Centre Kiev, Ukraine. TACIS-Programme. 1995.
34. Украина: энергосбережение в пищевой промышленности. EC-Energy Centre Kiev, Ukraine. TACIS-Programme. 1995.
35. Справочник по централизованному теплоснабжению. Европейская Ассоциация Производителей Предварительно Изолированных Труб для Централизованного теплоснабжения. 1997.
36. Соснин, Е.Н.Бухаркин. Высокоэффективные газовые контактные водонагреватели. М Стройиздат, 1988.
37. Федоров М.Н. Напольное отопление, М. Транспорт, 1974.
38. Федоров М.Н. Эксплуатация теплооборудования, расход и нормирование топлива в аэропортах. М., Транспорт, 1986.
39. Федоров М.Н. Рекомендации по расчету котельного топлива. М., ОНТИ ГПИ и НИИГА, 1979.
40. "Ценник на выполнение работ по обследованию предприятий для выявления возможных резервов экономии топливно-энергетических ресурсов, составлению энергетического паспорта и экспертизы проектов систем производства, распределения и потребления ТЭР по разделу энергосбережения и повышения эффективности работы", утвержденный Департаментом энергетики и энергосбережения правительства Москвы 3 сентября 1993 г.
41. Руководство по разработке энергетического паспорта потребителя энергоресурсов производственного назначения. Сборник (Энергетический паспорт потребителя энергоресурсов ЭПП). (Типовые формы, переработанные). Управление топливно-энергетического хозяйства Правительства г.Москвы, М., 1997.
42. Регламент проведения обследования потребителей энергии г. Москвы (переработанная и уточненная редакция), Сборник II, Управление топливно-энергетического хозяйства Правительства г.Москвы, М., 1997.
43. Руководство по разработке энергетического паспорта потребителя энергоресурсов производственного назначения. Сборник III. Пособие по определению показателей энергоэффективности и составлению энергосберегающих проектов. Управление топливно-энергетического хозяйства Правительства Москвы, М., 1997.
44. "Инструкция по расчету экономической эффективности применения частотно регулируемого электропривода", разработанная АО ВНИИЭ и МЭИ, утвержденная Заместителем Министра топлива и энергетики РФ В.В.Бушуевым, согласованная Главгосэнергонадзором РФ. Москва, 1997 год.
45. Каталог продукции НПА ТЕХНОАС, Контрольно-измерительные приборы, Энергоаудит, Установка приборов. 140408 МО, Коломна, а/я 4, т.(09661) + 35147.
46. НПО "Диполь" Инфракрасный термометр "КЕЛЬВИН", Москва, 117342, а/я N 37, т. (095) 3339112., Сертификат N 3150 Госстандарт России, 1998 г.
47. ПКФ ХИМТЕХЦЕНТР. Установка химводоподготовки "Комплексон-6", Инструкция по эксплуатации автоматической системы дозирования "Комплексон-6". 170002, г.Тверь, пр.Чайковского, 19-а, т. (0822) + 426036, + 572490 моб.
48. Рекомендации по технологии обработки воды комплексонами в закрытых системах теплоснабжения при температурах теплоносителя до 115°C. ЖЗ-197. САНТЕХНИИПРОЕКТ, Москва, 1993 г.
49. Рекомендации по технологии обработки воды комплексонами в системах оборотного водоснабжения и паротеплоснабжения при температурах теплоносителя до 210°С. Фирма "ЭКОЭНЕРГО", г.Ростов-на-Дону, 1996 г.
50. Рекомендации по определению расхода комплексона для стабилизационной обработки воды. ЖЗ-199, Минстрой России, САНТЕХНИИПРОЕКТ, Москва 1994.
51. Перечень N 2932-83 ПДК и ОБУВ в воде веществ в водных объектах хозяйственно-питьевого и культурно-бытового пользования МЗ СССР.
52. Перечень материалов и реагентов, разрешенных главным санитарно-эпидемиологическим управлением Министерства здравоохранения СССР для применения в практике хозяйственно-питьевого водоснабжения. N 3255-85, Утвержден Заместителем Главного санитарного врача СССР 25.03.85 г.
53. Дополнительный перечень N 30-11-Т1 Главрыбвода к приложению N 3 "Правил охраны поверхностных вод от загрязнения сточными водами".
54. Список N 6 вредных веществ в воздухе рабочей зоны. Перечень N 2155-80 МЗ СССР от 18.03.80 г.
55. Список 21-91-80 от 01.08.80 г. Дополнение к списку 14-30-76 от 03.07.76 г. ОБУВ загрязняющих веществ в атмосферном воздухе населенных мест.
56. Список N 6 вредных веществ в воздухе рабочей зоны. Перечень N 2155-80 МЗ СССР от 18.03.80 г.
57. Основы энергетического менеджмента. Библиотека энергоменеджера. ЭНИЗАН, Москва 1997 г.
58. Пособие по курсу "Методология проведения энергетического аудита" Библиотека энергоменеджера. ЭНИЗАН, Москва 1997 г.
59. Нижегородский государственный технический университет. Нижегородский региональный учебно-научный инновационный центр энергосбережения. "Методика проведения инструментальных обследований при энергоаудите". Нижний Новгород. 1998 г.
60. Нижегородский государственный технический университет. Нижегородский региональный учебно-научный инновационный центр энергосбережения. "Энергоаудит и нормирование расходов энергоресурсов" Сборник методических материалов, Нижний Новгород. 1998 г.
61. Ю.Б.Айзенберг, Н.В.Рожков. Энергосбережение в светотехнических установках. Выпуск 16 (4), М. Дом Света, 1999 г.
62. Методические указания по обследованию теплопотребляющих установок закрытых систем теплоснабжения и разработке мероприятий по энергосбережению. РД 34.09.455-95, Москва, 1996 г.
63. Методические указания по определению тепловых потерь в водяных тепловых сетях. РД 34.34.09.255-97, Москва, ОРГРЭС, 1998 г.
64. Здания и сооружения. Метод тепловизионного контроля качества теплоизоляции ограждающих конструкций. ГОСТ 26629-85. Москва, 1986 г.
65. Методические указания по определению расходов топлива, электроэнергии и воды на выработку тепла отопительными котельными коммунальных теплоэнергетических предприятий. Москва, Академия коммунального хозяйства им. Памфилова, 1994 г.
66. Справочно-методическое пособие по определению резервов экономии энергии за счет использования вторичных энергетических ресурсов. Вторая редакция. Министерство энергетики и электрификации СССР, ВНИПИЭНЕРГОПРОМ, Главгосэнергонадзор, Москва, 1986 г.
67. Рациональное использование тепла на мясокомбинатах. РТМ 01-78, Министерство мясной и молочной промышленности РСФСР, Москва 1978 г.
68. Тепловая изоляция оборудования и трубопроводов мясокомбинатов. РТМ 02-78.Министерство мясной и молочной промышленности РСФСР, Москва 1978 г.
69. Общие методические положения по выявлению резервов экономии топлива за счет использования вторичных энергетических ресурсов на промышленных предприятиях. Госплан СССР, НИИ планирования и нормативов. Москва, 1977 г.
70. Основные методические положения по нормированию расхода топливно-энергетических ресурсов в химической промышленности. МИНХИМПРОМ, НИИТЭХИМ, Черкассы, 1981 г.
71. Методика технико-экономического обоснования мероприятий по экономии топлива, тепловой и электрической энергии, планируемых к внедрению в промышленности. НИИПиН, 1976 г
72. Справочник по проектированию электроэнергетических систем. В.В.Ершович, А.Н.Зейлигер, Г.А.Илларионов и др. Под редакцией С.С.Рокотяна и И.М.Шапиро. 3 изд., М., Энергоатомиздат, 1985 г., 352 стр.
73. Энергоаудит промышленных и коммунальных предприятий. Учебное пособие. Б.П.Варнавский, А.И.Колесников, М.Н.Федоров. Издательство АСЭМ, М. 1999 г.
74. Энергетический менеджмент. Руководство по энергосбережению. Нижний Новгород, 1997 г.
75. Рекомендации по первоочередным малозатратным мероприятиям, обеспечивающим энергоресурсосбережение в ЖКХ города. Москва 2000 г.
ИЗМЕРИТЕЛЬНЫЕ ПРИБОРЫ ДЛЯ ПРОВЕДЕНИЯ ЭНЕРГЕТИЧЕСКИХ ОБСЛЕДОВАНИЙ
Энергоаудит объектов коммунальных предприятий, жилого и общественного фонда предполагает инструментальные измерения режимов энергопотребления и эксплуатации энергопотребляющего оборудования, которые необходимы для обоснования полученных результатов и обеспечения их достоверности.
Приборы, применяемые для проведения энергетических обследований, должны отвечать следующим требованиям:
- обеспечение возможности проведения измерений без врезки в обследуемую систему и остановки работающего оборудования.
- компактность, легкость, надежность, транспортабельность.
- удобство и простота в работе.
- универсальность, надежность, точность и защищенность от внешних воздействий.
- обеспечение регистрации измеряемых показателей в автономном режиме с передачей собранной информации в виде, удобном для компьютерной обработки.
В зависимости от характера измеряемых параметров, приборы можно разделить на электроизмерительные и теплотехнические.
Примерный комплект приборов для проведения энергоаудита, их возможности и область применения
А. Электроизмерительные приборы
1. Трехфазные счетчики активной энергии
2. Портативные электроанализаторы
Б. Теплотехнические измерительные приборы
2. Электронный прибор сбора данных.
4. Электронные газоанализаторы дымовых газов
5. Инфракрасный термометр, портативная тепловизионная система
7. Приборы для измерения температуры и влажности воздуха.
8. Контактный цифровой термометр для измерения температур с помощью контактных термодатчиков.
9. Акустический ультразвуковой дефектоскоп (течеискатель)
10. Течеискатель акустический портативный
13. Автономный измерительный регистратор давления жидкостей и газа
Помощь в комплектации измерительных приборов может быть осуществлена Базовым экспертным центром МИКХиС тел./факс 278-30-95 или Федеральным Центром Энергоресурсосбережения в ЖКХ тел./ф. (095) 490-38-04.
ТАБЛИЦЫ СБОРА ИНФОРМАЦИИ
Наименование коммунального предприятия ___________________________
Код предприятия, ИНН - 000000000000000
1. Вид собственности ____________________________________________
2. Адрес: ______________________________________________________
3. Наличие головной организации ___________________________________
4. Ф.И.О. руководителя __________________________________________
5. Ф.И.О. главного инженера ______________________________________
6. Ф.И.О. главного энергетика _____________________________________
7. Телетайп ____________________________________________________
8. Банковские реквизиты: _________________________________________
9. Телефоны: руководителя предприятия: _____________________________
главного инженера: ______________________________________________
главного энергетика: _____________________________________________
факс: _________________________________________________________
для справок: ___________________________________________________
Объем выпуска продукции и услуг в базовом году и за текущий период
Исходные данные для расчета расхода тепла на отопление и ГВС
Общее потребление энергоносителей
Расход и стоимостные показатели энергоносителей (с НДС) (плановые показатели) (показать стоимость очистки сточных вод)
Сведения о трансформаторных подстанциях
Устройства для компенсации реактивной мощности
Сведения о коммуникациях предприятия
Установленная мощность электроприемников по направлениям использования
Сведения о котлах и работе котельной
Вспомогательное оборудование котельной, систем отопления и ГВС
Оборудование хозяйственно-питьевого водоснабжения для каждого водозабора и станции водоподъема
Сведения о компрессорном оборудовании очистных сооружений, вырабатывающем сжатый воздух
Оборудование очистных сооружений и КНС
ЭНЕРГЕТИЧЕСКИЙ ПАСПОРТ КОММУНАЛЬНОГО ПРЕДПРИЯТИЯ
Баланс потребления котельно-печного топлива в 200_ г.
ХАРАКТЕРИСТИКА ИСПОЛЬЗОВАНИЯ МОТОРНЫХ ТОПЛИВ ТРАНСПОРТНЫМИ СРЕДСТВАМИ
БАЛАНС ПОТРЕБЛЕНИЯ МОТОРНЫХ ТОПЛИВ
УДЕЛЬНЫЙ РАСХОД ТЭР НА ВЫПУСКАЕМУЮ ПРОДУКЦИЮ
ПЕРЕЧЕНЬ ЭНЕРГОСБЕРЕГАЮЩИХ МЕРОПРИЯТИЙ
Энергетический паспорт гражданского здания
* Примечание: 1 г у.т. = 7,721 Вт.ч
НОРМАТИВЫ РАСХОДА ТОПЛИВА КОТЛАМИ ПРИ ОПТИМАЛЬНЫХ УСЛОВИЯХ ЭКСПЛУАТАЦИИ
* принимаются для оборудования, в стандартах (паспортах) на которое нормативы расхода энергии не установлены
СРЕДНИЕ НОРМЫ УДЕЛЬНОГО РАСХОДА ЭЛЕКТРОЭНЕРГИИ В БЫТУ И СФЕРЕ ОБСЛУЖИВАНИЯ ГОРОДОВ, КВТ.-Ч/ЧЕЛ., 1985 Г.
Примечание: Поправочный коэффициент для различных групп городов.
СРЕДНИЕ НОРМЫ УДЕЛЬНОГО ГОДОВОГО РАСХОДА ЭЛЕКТРОЭНЕРГИИ В БЫТУ И СФЕРЕ ОБСЛУЖИВАНИЯ СЕЛЬСКИХ НАСЕЛЕННЫХ МЕСТ, КВТ-Ч/ЧЕЛ. 1985 Г.
СТРУКТУРА ПОТРЕБЛЕНИЯ ЭЛЕКТРОЭНЕРГИИ НА КОММУНАЛЬНО-БЫТОВЫЕ НУЖДЫ, %
(СПРАВОЧНЫЕ ДАННЫЕ 1985 Г.)
Структура потерь энергии в сетях, %
ВОЗМОЖНЫЕ ЭНЕРГОСБЕРЕГАЮЩИЕ РЕШЕНИЯ ПО СНИЖЕНИЮ РАСХОДА ТОПЛИВА И ТЕПЛОВЫХ ПОТЕРЬ ЭНЕРГОИСТОЧНИКАМИ
УДЕЛЬНЫЕ НОРМЫ РАСХОДА ХОЛОДНОЙ И ГОРЯЧЕЙ ВОДЫ (СНИП 2.04.01-85* "ВНУТРЕННИЙ ВОДОПРОВОД И КАНАЛИЗАЦИЯ ЗДАНИЙ")
1. Нормы расхода воды установлены для основных потребителей и включают все дополнительные расходы (обслуживающим персоналом, душевыми для обслуживающего персонала, посетителями, на уборку помещений и т. п.).
Потребление воды в групповых душевых и на ножные ванны в бытовых зданиях и помещениях производственных предприятий, на стирку белья в прачечных и приготовление пищи на предприятиях общественного питания, а также на водолечебные процедуры в водолечебницах, входящих в состав больниц, санаториев и поликлиник, надлежит учитывать дополнительно.
Настоящие требования не распространяются на потребителей, для которых обязательным приложением 3 (СНиП 2.04.01-85) установлены нормы водопотребления, включающие расход воды на указанные нужды.
2. Нормы расхода воды в средние сутки приведены для выполнения технико-экономических сравнений вариантов.
3. Расход воды на производственные нужды, не указанный в настоящей таблице, следует принимать в соответствии с технологическими заданиями и указаниями по строительному проектированию предприятий отдельных отраслей промышленности.
4. Для водопотребителей гражданских зданий, сооружений и помещений, не указанных в настоящей таблице, нормы расхода воды следует принимать согласно настоящему приложению для потребителей, аналогичных по характеру водопотребления.
5. При неавтоматизированных стиральных машинах в прачечных и при стирке белья со специфическими загрязнениями норму расхода горячей воды на стирку 1 кг сухого белья допускается увеличивать до 30%.
6. Для предприятий общественного питания и других потребителей горячей воды, где по условиям технологии требуется дополнительный подогрев воды, нормы расхода горячей воды следует принимать согласно настоящему приложению без учета коэффициента, указанного в п.3.10 (СНиП 2.04.01-85).
7. Норма расхода воды на поливку установлена из расчета одной поливки. Число поливок в сутки следует принимать в зависимости от климатических условий.
8. При оборудовании холодного водопровода зданий или сооружений смывными кранами вместо смывных бачков следует принимать расход воды санитарно-техническими приборами q_0(c) = 1,4 л/с.; общий расход воды q_0(/0/) зданиями и сооружениями согласно п.3.2 (СНиП 2.04.01-85).