Закон Карачаево-Черкесской Республики от 17.12.2019 N 64-РЗ

"О межбюджетных отношениях в Карачаево-Черкесской Республике"
Редакция от 08.12.2022 — Не действует Перейти в действующую
Показать изменения

17 декабря 2019 г. N 64-РЗ

ЗАКОН
КАРАЧАЕВО-ЧЕРКЕССКОЙ РЕСПУБЛИКИ

О МЕЖБЮДЖЕТНЫХ ОТНОШЕНИЯХ В КАРАЧАЕВО-ЧЕРКЕССКОЙ РЕСПУБЛИКЕ

(в ред. Законов Карачаево-Черкесской Республики от 30.11.2020 N 80-РЗ, от 08.12.2022 N 69-РЗ)

Принят
Народным Собранием (Парламентом)
Карачаево-Черкесской Республики
12 декабря 2019 года

Глава 1. Общие положения

Статья 1. Правоотношения, регулируемые настоящим Законом

Настоящий Закон регулирует взаимоотношения между органами государственной власти Карачаево-Черкесской Республики, органами местного самоуправления муниципальных образований, входящих в состав Карачаево-Черкесской Республики, по вопросам межбюджетных отношений в части, касающейся установления нормативов отчислений от налогов, подлежащих зачислению в консолидированный и республиканский бюджеты Карачаево-Черкесской Республики, в местные бюджеты, предоставления межбюджетных трансфертов из республиканского бюджета Карачаево-Черкесской Республики (далее - республиканский бюджет) в местные бюджеты, предоставления межбюджетных трансфертов из местных бюджетов в республиканский бюджет, а также предоставления межбюджетных трансфертов из бюджетов муниципальных районов в бюджеты поселений.

Статья 2. Правовая основа межбюджетных отношений

1. Правовую основу межбюджетных отношений в Карачаево-Черкесской Республике составляют Конституция Российской Федерации, Бюджетный кодекс Российской Федерации, федеральные законы, иные нормативные правовые акты Российской Федерации, Конституция Карачаево-Черкесской Республики, настоящий Закон и иные законы и нормативные правовые акты Карачаево-Черкесской Республики, регулирующие межбюджетные отношения.

2. Законы и иные нормативные правовые акты Карачаево-Черкесской Республики, регулирующие межбюджетные отношения, должны соответствовать федеральному законодательству и настоящему Закону. В случае противоречия настоящему Закону иного закона или нормативного правового акта Карачаево-Черкесской Республики в части межбюджетных отношений применяется настоящий Закон.

3. Во исполнение настоящего Закона Правительство Карачаево-Черкесской Республики, органы исполнительной власти Карачаево-Черкесской Республики и органы местного самоуправления муниципальных образований (далее - органы местного самоуправления) принимают правовые акты по вопросам межбюджетных отношений, отнесенным к их компетенции.

Статья 3. Понятия и термины, применяемые в настоящем Законе

Понятия и термины, используемые в настоящем Законе, применяются в значениях, определенных Бюджетным кодексом Российской Федерации.

Статья 4. Участники межбюджетных отношений в Карачаево-Черкесской Республике

Участниками межбюджетных отношений в Карачаево-Черкесской Республике являются:

а) органы государственной власти Карачаево-Черкесской Республики;

б) органы местного самоуправления городских и сельских поселений Карачаево-Черкесской Республики;

в) органы местного самоуправления муниципальных районов Карачаево-Черкесской Республики;

г) органы местного самоуправления городских округов Карачаево-Черкесской Республики.

Статья 5. Нормативы отчислений в местные бюджеты от налогов, подлежащих зачислению в республиканский и консолидированный бюджеты Карачаево-Черкесской Республики

1. В соответствии с Бюджетным кодексом Российской Федерации установить следующие нормативы отчислений в местные бюджеты от налога на доходы физических лиц, налога на доходы физических лиц в части суммы налога, превышающей 650 тысяч рублей, относящейся к части налоговой базы, превышающей 5 миллионов рублей, а также от налога на доходы физических лиц, уплачиваемого иностранными гражданами в виде фиксированного авансового платежа при осуществлении ими на территории Российской Федерации трудовой деятельности на основании патента, подлежащих зачислению в консолидированный бюджет: (в ред. Закона Карачаево-Черкесской Республики от 30.11.2020 N 80-РЗ)

а) в бюджеты муниципальных районов - по нормативу 14,5 процента;

б) в бюджеты поселений - по нормативу 0,5 процента;

в) в бюджеты городских округов - по нормативу 15,0 процентов.

2. В бюджеты муниципальных районов подлежат зачислению налоговые доходы от следующих федеральных и региональных налогов и сборов, налогов, предусмотренных специальными налоговыми режимами, подлежащих зачислению в соответствии с Бюджетным кодексом Российской Федерации и законодательством о налогах и сборах в республиканский бюджет:

а) налога на имущество организаций - по нормативу 50 процентов;

б) акцизов на пиво, производимое на территории Российской Федерации, - по нормативу 50 процентов;

в) государственной пошлины за совершение федеральными органами исполнительной власти юридически значимых действий в случае подачи заявления и (или) документов, необходимых для их совершения, в многофункциональные центры по месту подачи документов, - по нормативу 25 процентов.

Указанные нормативы отчислений являются едиными для всех муниципальных районов Карачаево-Черкесской Республики.

3. В бюджеты городских округов подлежат зачислению налоговые доходы от следующих федеральных и региональных налогов и сборов, налогов, предусмотренных специальными налоговыми режимами, подлежащих зачислению в соответствии с Бюджетным кодексом Российской Федерации и законодательством о налогах и сборах в республиканский бюджет:

а) налога на имущество организаций - по нормативу 50 процентов;

б) акцизов на пиво, производимое на территории Российской Федерации, - по нормативу 50 процентов;

в) государственной пошлины за совершение федеральными органами исполнительной власти юридически значимых действий в случае подачи заявления и (или) документов, необходимых для их совершения, в многофункциональные центры по месту подачи документов, - по нормативу 25 процентов.

Указанные нормативы отчислений являются едиными для всех городских округов Карачаево-Черкесской Республики.

4. В соответствии со статьями 8 и 61.1 Бюджетного кодекса Российской Федерации установить единые нормативы отчислений в бюджеты сельских поселений Карачаево-Черкесской Республики от налога на доходы физических лиц, налога на доходы физических лиц в части суммы налога, превышающей 650 тысяч рублей, относящейся к части налоговой базы, превышающей 5 миллионов рублей, взимаемых на территориях сельских поселений, и от единого сельскохозяйственного налога, взимаемого на территориях сельских поселений, подлежащих зачислению в соответствии с абзацами третьим, девятнадцатым и седьмым пункта 2 статьи 61.1 Бюджетного кодекса Российской Федерации в бюджеты муниципальных районов, в размерах 8 процентов, 7 процентов и 20 процентов соответственно. (в ред. Закона Карачаево-Черкесской Республики от 30.11.2020 N 80-РЗ)

5. В соответствии с пунктом 3.1 статьи 58 Бюджетного кодекса Российской Федерации установить, что в бюджеты муниципальных образований Карачаево-Черкесской Республики подлежат зачислению 10 процентов налоговых доходов консолидированного бюджета Карачаево-Черкесской Республики от акцизов на автомобильный бензин, прямогонный бензин, дизельное топливо, моторные масла для дизельных и (или) карбюраторных (инжекторных) двигателей, производимые на территории Российской Федерации, по дифференцированным нормативам отчислений от указанного налога, размеры которых устанавливаются законом Карачаево-Черкесской Республики о республиканском бюджете на очередной финансовый год и плановый период исходя из протяженности автомобильных дорог общего пользования местного значения соответствующих муниципальных образований, органы местного самоуправления которых решают вопросы местного значения в сфере дорожной деятельности.

5.1. В соответствии с пунктом 3.3 статьи 58 Бюджетного кодекса Российской Федерации установить, что в бюджеты муниципальных районов и городских округов Карачаево-Черкесской Республики зачисляется налог, взимаемый в связи с применением упрощенной системы налогообложения, подлежащий зачислению в соответствии с Бюджетным кодексом Российской Федерации и законодательством о налогах и сборах в республиканский бюджет, по дифференцированным нормативам отчислений, размеры которых устанавливаются законом Карачаево-Черкесской Республики о республиканском бюджете на очередной финансовый год и плановый период. (в ред. Закона Карачаево-Черкесской Республики от 30.11.2020 N 80-РЗ)

Расчет дифференцированных нормативов отчислений в бюджеты муниципальных районов и городских округов от налога, взимаемого в связи с применением упрощенной системы налогообложения, производится в соответствии с Методикой расчета дифференцированных нормативов отчислений в бюджеты муниципальных районов и городских округов от налога, взимаемого в связи с применением упрощенной системы налогообложения, согласно приложению 8 к настоящему Закону." (в ред. Закона Карачаево-Черкесской Республики от 30.11.2020 N 80-РЗ)

6. Законом Карачаево-Черкесской Республики о республиканском бюджете на соответствующий год могут устанавливаться дополнительные нормативы отчислений в местные бюджеты от налога на доходы физических лиц в порядке, установленном статьей 13 настоящего Закона.

7. Прогноз доходов консолидированного бюджета Карачаево-Черкесской Республики рассчитывается в соответствии с приложением 7 к настоящему Закону.

Статья 5.1. Нормативы отчислений в местные бюджеты от неналоговых доходов, подлежащих зачислению в республиканский бюджет Карачаево-Черкесской Республики (в ред. Закона Карачаево-Черкесской Республики от 08.12.2022 N 69-РЗ)

Установить норматив отчислений от административных штрафов, предусмотренных Законом Карачаево-Черкесской Республики от 11 апреля 2005 г. N 40-РЗ "Об административных правонарушениях", в случае, если постановление о наложении административного штрафа вынесено административной комиссией муниципального района, городского округа Карачаево-Черкесской Республики, - в бюджеты соответствующих муниципальных районов, городских округов в размере 100 процентов.

Глава 2. Межбюджетные трансферты

Раздел 1. Межбюджетные трансферты, предоставляемые из республиканского бюджета местным бюджетам

Статья 6. Формы межбюджетных трансфертов, предоставляемых из республиканского бюджета

Межбюджетные трансферты из республиканского бюджета предоставляются местным бюджетам в форме:

1) дотаций местным бюджетам в соответствии со статьями 8, 9, 10 настоящего Закона;

2) субсидий местным бюджетам в соответствии со статьями 11, 12 настоящего Закона;

3) субвенций местным бюджетам в соответствии со статьей 14 настоящего Закона;

5) иных межбюджетных трансфертов местным бюджетам.

В электронном документе нумерация пунктов соответствует официальному источнику.

Статья 7. Условия предоставления межбюджетных трансфертов местным бюджетам из республиканского бюджета

1. Муниципальные образования Карачаево-Черкесской Республики, в бюджетах которых доля дотаций из республиканского бюджета и (или) налоговых доходов по дополнительным нормативам отчислений в размере, не превышающем расчетного объема дотации на выравнивание бюджетной обеспеченности (части расчетного объема дотации), замененной дополнительными нормативами отчислений, в течение двух из трех последних отчетных финансовых лет превышала 5 процентов доходов местного бюджета, за исключением субвенций и иных межбюджетных трансфертов, предоставляемых на осуществление части полномочий по решению вопросов местного значения в соответствии с соглашениями, заключенными муниципальным районом и поселениями, начиная с очередного финансового года не имеют права превышать установленные Правительством Карачаево-Черкесской Республики нормативы формирования расходов на оплату труда депутатов, выборных должностных лиц местного самоуправления, осуществляющих свои полномочия на постоянной основе, муниципальных служащих и (или) содержание органов местного самоуправления.

2. Муниципальные образования Карачаево-Черкесской Республики, в бюджетах которых доля дотаций из республиканского бюджета и (или) налоговых доходов по дополнительным нормативам отчислений в размере, не превышающем расчетного объема дотации на выравнивание бюджетной обеспеченности (части расчетного объема дотации), замененной дополнительными нормативами отчислений, в течение двух из трех последних отчетных финансовых лет превышала 20 процентов доходов местного бюджета, за исключением субвенций и иных межбюджетных трансфертов, предоставляемых на осуществление части полномочий по решению вопросов местного значения в соответствии с соглашениями, заключенными муниципальным районом и поселениями, не имеют права устанавливать и исполнять расходные обязательства, не связанные с решением вопросов, отнесенных Конституцией Российской Федерации, федеральными законами, законами Карачаево-Черкесской Республики к полномочиям соответствующих органов местного самоуправления.

3. В муниципальных образованиях Карачаево-Черкесской Республики, в бюджетах которых доля дотаций из республиканского бюджета и (или) налоговых доходов по дополнительным нормативам отчислений в размере, не превышающем расчетного объема дотации на выравнивание бюджетной обеспеченности (части расчетного объема дотации), замененной дополнительными нормативами отчислений, в течение двух из трех последних отчетных финансовых лет превышала 50 процентов объема доходов местных бюджетов, за исключением субвенций и иных межбюджетных трансфертов, предоставляемых на осуществление части полномочий по решению вопросов местного значения в соответствии с соглашениями, заключенными муниципальным районом и поселениями, а также в муниципальных образованиях, которые не имеют годовой отчетности об исполнении местного бюджета за один год и более из трех последних отчетных финансовых лет, начиная с очередного финансового года осуществляются следующие дополнительные меры к установленным частями 2 и 3 настоящей статьи мерам:

1) представление исполнительно-распорядительным органом местного самоуправления Карачаево-Черкесской Республики в Правительство Карачаево-Черкесской Республики в установленном им порядке документов и материалов, необходимых для подготовки заключения о соответствии требованиям бюджетного законодательства Российской Федерации внесенного в представительный орган муниципального образования Карачаево-Черкесской Республики проекта местного бюджета на очередной финансовый год (очередной финансовый год и плановый период);

2) проведение не реже одного раза в два года проверки годового отчета об исполнении местного бюджета Контрольно-счетной палатой Карачаево-Черкесской Республики или в порядке, установленном Правительством Карачаево-Черкесской Республики, органами государственного финансового контроля, являющимися органами исполнительной власти Карачаево-Черкесской Республики.

Статья 8. Дотации на выравнивание бюджетной обеспеченности поселений

1. Дотации на выравнивание бюджетной обеспеченности поселений предусматриваются в республиканском бюджете в целях выравнивания финансовых возможностей поселений Карачаево-Черкесской Республики по осуществлению органами местного самоуправления полномочий по решению вопросов местного значения исходя из численности жителей поселений и (или) бюджетной обеспеченности.

2. Право на получение указанной дотации имеют все городские поселения и сельские поселения Карачаево-Черкесской Республики, за исключением указанных в части 1 статьи 18 настоящего Закона.

Размер дотаций на выравнивание бюджетной обеспеченности поселений определяется для бюджетов городских и сельских поселений Карачаево-Черкесской Республики в соответствии с Методикой расчета дотаций на выравнивание бюджетной обеспеченности поселений согласно приложению 1 к настоящему Закону.

Дотации на выравнивание бюджетной обеспеченности поселений предоставляются бюджетам поселений ежемесячно в соответствии со сводной бюджетной росписью.

3. При составлении и (или) утверждении республиканского закона о республиканском бюджете Карачаево-Черкесской Республики на очередной финансовый год и плановый период по согласованию с представительными органами муниципальных образований дотации на выравнивание бюджетной обеспеченности поселений могут быть полностью или частично заменены дополнительными нормативами отчислений в бюджеты городских и сельских поселений от налога на доходы физических лиц.

4. Законом Карачаево-Черкесской Республики о республиканском бюджете на соответствующий год и плановый период утверждаются:

1) объем субсидий из бюджетов поселений, перечисляемых в соответствии с порядком, определенным статьей 18 настоящего Закона;

2) объем дотаций на выравнивание бюджетной обеспеченности поселений;

3) распределение дотаций на выравнивание бюджетной обеспеченности поселений между бюджетами городских и сельских поселений.

5. Законом Карачаево-Черкесской Республики о республиканском бюджете на соответствующий финансовый год и плановый период дополнительно к перечню показателей, установленных в части 4 настоящей статьи, могут быть установлены дополнительные нормативы отчислений от налога на доходы физических лиц в бюджеты городских поселений и сельских поселений в соответствии с порядком, определенным статьей 13 настоящего Закона.

6. Законом Карачаево-Черкесской Республики органы местного самоуправления муниципальных районов могут быть наделены полномочиями органов государственной власти Карачаево-Черкесской Республики по расчету и предоставлению дотаций бюджетам городских и сельских поселений за счет средств бюджета Карачаево-Черкесской Республики.

Указанным законом должны быть установлены соответствующие требованиям статьи 137 Бюджетного кодекса Российской Федерации порядок (методика) расчета субвенций бюджетам муниципальных районов на осуществление данных полномочий и порядок (методика) расчета органами местного самоуправления муниципальных районов размера дотаций бюджетам городских поселений и сельских поселений, в том числе порядок (методика) расчета и установления заменяющих их дополнительных нормативов отчислений от налога на доходы физических лиц.

В случае наделения органов местного самоуправления муниципальных районов полномочиями органов государственной власти Карачаево-Черкесской Республики, указанными в абзаце первом настоящей части, дотации на выравнивание бюджетной обеспеченности поселений в части, касающейся предоставления дотаций бюджетам городских, сельских поселений, находящихся на территориях муниципальных районов, в составе республиканского бюджета не предусматриваются. При этом дотации на выравнивание бюджетной обеспеченности городских, сельских поселений, подлежащие перечислению в бюджеты городских, сельских поселений, входящих в состав территорий муниципальных районов, распределяются между бюджетами муниципальных районов исходя из численности жителей в расчете на одного жителя в соответствии с единой методикой.

Субвенции, полученные бюджетом муниципального района на исполнение полномочий по расчету и предоставлению дотаций бюджетам городских, сельских поселений за счет средств республиканского бюджета Карачаево-Черкесской Республики, включаются в дотации на выравнивание бюджетной обеспеченности поселений.

Распределение указанных дотаций между городскими, сельскими поселениями и (или) заменяющие их дополнительные нормативы отчислений от налога на доходы физических лиц утверждаются в решении о бюджете муниципального района.

7. Допускается утверждение на плановый период не распределенного между городскими, сельскими поселениями, внутригородскими районами объема дотаций на выравнивание бюджетной обеспеченности поселений в размере не более 20 процентов общего объема указанных дотаций, утвержденного на первый год планового периода, и не более 20 процентов общего объема указанных дотаций, утвержденного на второй год планового периода.

8. При определении объема дотаций на выравнивание бюджетной обеспеченности поселений на очередной финансовый год и плановый период не допускается снижение значения критериев выравнивания финансовых возможностей городских поселений, сельских поселений по осуществлению органами местного самоуправления указанных муниципальных образований полномочий по решению вопросов местного значения по сравнению со значением указанных критериев, установленным законом Карачаево-Черкесской Республики о бюджете Карачаево-Черкесской Республики на текущий финансовый год и плановый период, а также размера дотации на выравнивание бюджетной обеспеченности поселений бюджету каждого городского и сельского поселения на очередной финансовый год и первый год планового периода по сравнению с размером дотации на выравнивание бюджетной обеспеченности поселений, утвержденным соответственно на первый год планового периода и второй год планового периода в бюджете Карачаево-Черкесской Республики на текущий финансовый год и плановый период, с учетом замены дотации (части дотации) дополнительными нормативами отчислений в бюджеты городских поселений, сельских поселений от налога на доходы физических лиц в соответствии с частью 3 настоящей статьи, за исключением одного из следующих случаев:

1) внесение федеральными законами изменений, приводящих к перераспределению полномочий и (или) доходов бюджетов между Карачаево-Черкесской Республикой и городскими, сельскими поселениями;

2) внесение законами Карачаево-Черкесской Республики и принятыми в соответствии с ними уставом муниципального района и уставами сельских поселений изменений, приводящих к перераспределению вопросов местного значения и (или) доходов бюджетов между муниципальным районом и сельским поселением;

3) внесение законами Карачаево-Черкесской Республики изменений, приводящих к перераспределению полномочий между Карачаево-Черкесской Республикой и городскими поселениями, сельскими поселениями.

Статья 9. Дотации на выравнивание бюджетной обеспеченности муниципальных районов (городских округов)

1. Дотации на выравнивание бюджетной обеспеченности муниципальных районов (городских округов) предусматриваются в республиканском бюджете в целях выравнивания бюджетной обеспеченности муниципальных районов (городских округов).

2. Право на получение дотаций на выравнивание бюджетной обеспеченности муниципальных районов (городских округов) имеют все муниципальные районы и городские округа Карачаево-Черкесской Республики, уровень расчетной бюджетной обеспеченности которых не превышает уровень, установленный в качестве критерия выравнивания расчетной бюджетной обеспеченности муниципальных районов (городских округов).

Определение уровня расчетной бюджетной обеспеченности муниципальных районов (городских округов) производится в соответствии с Методикой расчета дотаций на выравнивание бюджетной обеспеченности муниципальных районов (городских округов) согласно приложению 2 к настоящему Закону.

Размер указанных дотаций определяется в соответствии с Методикой расчета дотаций на выравнивание бюджетной обеспеченности муниципальных районов (городских округов) согласно приложению 2 к настоящему Закону.

Исходные данные для распределения дотаций на выравнивание бюджетной обеспеченности муниципальных районов (городских округов) в обязательном порядке подлежат сверке с органами местного самоуправления муниципальных районов (городских округов). Порядок и сроки сверки исходных данных устанавливаются Правительством Карачаево-Черкесской Республики.

Дотации на выравнивание бюджетной обеспеченности муниципальных районов (городских округов) предоставляются бюджетам муниципальных районов (городских округов) ежемесячно в соответствии со сводной бюджетной росписью.

3. При составлении и (или) утверждении республиканского закона о республиканском бюджете на очередной финансовый год и плановый период по согласованию с представительными органами муниципальных образований дотации на выравнивание бюджетной обеспеченности муниципальных районов (городских округов) могут быть полностью или частично заменены дополнительными нормативами отчислений в бюджеты муниципальных районов (городских округов) от налога на доходы физических лиц.

4. Законом Карачаево-Черкесской Республики о республиканском бюджете на очередной финансовый год и плановый период утверждаются:

1) объем субсидий из бюджетов муниципальных районов (городских округов), перечисляемых в соответствии с порядком, определенным статьей 18 настоящего Закона;

2) объем дотаций на выравнивание бюджетной обеспеченности муниципальных районов (городских округов);

3) распределение дотаций на выравнивание бюджетной обеспеченности муниципальных районов (городских округов) между бюджетами муниципальных районов (городских округов);

4) расчетный уровень бюджетной обеспеченности, устанавливаемый в качестве критерия выравнивания муниципальных районов (городских округов).

5. Законом Карачаево-Черкесской Республики о республиканском бюджете на соответствующий финансовый год и плановый период дополнительно к перечню показателей, установленных в части 4 настоящей статьи, могут быть установлены дополнительные нормативы отчислений от налога на доходы физических лиц в бюджеты муниципальных районов (городских округов) в соответствии с порядком, определенным статьей 13 настоящего Закона.

6. Допускается утверждение на плановый период не распределенного между муниципальными районами (городскими округами) объема дотаций на выравнивание бюджетной обеспеченности муниципальных районов (городских округов) в размере не более 20 процентов общего объема указанных дотаций, утвержденного на первый год планового периода, и не более 20 процентов общего объема указанных дотаций, утвержденного на второй год планового периода.

При определении объема дотаций на выравнивание бюджетной обеспеченности муниципальных районов (городских округов) на очередной финансовый год и плановый период не допускается снижение значения критерия выравнивания расчетной бюджетной обеспеченности муниципальных районов (городских округов) по сравнению со значением критерия, установленным законом Карачаево-Черкесской Республики о бюджете Карачаево-Черкесской Республики на текущий финансовый год и плановый период, а также размера дотации на выравнивание бюджетной обеспеченности муниципальных районов (городских округов) бюджету каждого муниципального района (городского округа) на очередной финансовый год и первый год планового периода по сравнению с размером дотации на выравнивание бюджетной обеспеченности муниципальных районов (городских округов), утвержденным соответственно на первый год планового периода и второй год планового периода в бюджете Карачаево-Черкесской Республики на текущий финансовый год и плановый период, с учетом замены дотации (части дотации) дополнительными нормативами отчислений в бюджеты муниципальных районов (городских округов) от налога на доходы физических лиц в соответствии с частью 3 настоящей статьи, за исключением одного из следующих случаев:

1) внесение федеральными законами изменений, приводящих к перераспределению полномочий и (или) доходов бюджетов между Карачаево-Черкесской Республикой, муниципальными районами, городскими округами;

2) внесение законами Карачаево-Черкесской Республики и принятыми в соответствии с ними уставом муниципального района (городского округа) и уставами сельских поселений изменений, приводящих к перераспределению вопросов местного значения и (или) доходов бюджетов между муниципальным районом и сельским поселением;

3) внесение законами Карачаево-Черкесской Республики изменений, приводящих к перераспределению полномочий между Карачаево-Черкесской Республикой и муниципальными районами (городскими округами).

7. Дотации на выравнивание бюджетной обеспеченности муниципальных районов (городских округов) предоставляются с установлением условий их предоставления и использования.

Администрация муниципального образования, являющегося получателем дотации на выравнивание бюджетной обеспеченности муниципальных районов (городских округов), заключает соглашение с Министерством финансов Карачаево-Черкесской Республики об условиях предоставления дотации, которые предусматривают меры, направленные на стимулирование социально-экономического развития и финансовое оздоровление муниципального образования.

Условия предоставления и использования дотаций, обязательства муниципального района (городского округа) и меры ответственности за невыполнение указанных обязательств устанавливаются Правительством Карачаево-Черкесской Республики.

Меры ответственности за невыполнение муниципальным районом (городским округом) обязательств муниципального района (городского округа), предусмотренных соглашением, применяются в текущем финансовом году к соответствующим муниципальным районам (городским округам) по результатам реализации обязательств в отчетном финансовом году.

Статья 10. Дотации местным бюджетам на поддержку мер по обеспечению сбалансированности местных бюджетов и иные дотации местным бюджетам из республиканского бюджета

1. В случаях, предусмотренных законами Карачаево-Черкесской Республики и принимаемыми в соответствии с ними нормативными правовыми актами органов государственной власти Карачаево-Черкесской Республики, местным бюджетам могут предоставляться дотации на поддержку мер по обеспечению сбалансированности местных бюджетов и иные дотации местным бюджетам из республиканского бюджета, в том числе с установлением условий предоставления указанных дотаций, а также в целях поощрения достижения наилучших показателей социально-экономического развития муниципальных образований.

Методика распределения указанных дотаций и правила их предоставления, за исключением утвержденных законом Карачаево-Черкесской Республики о республиканском бюджете на очередной финансовый год и на плановый период, устанавливается Правительством Карачаево-Черкесской Республики.

Законом Карачаево-Черкесской Республики о республиканском бюджете на соответствующий год утверждаются:

1) объем нераспределенной части дотаций местным бюджетам на поддержку мер по обеспечению сбалансированности местных бюджетов;

2) распределение дотаций между бюджетами муниципальных образований Карачаево-Черкесской Республики.

2. В случаях и порядке, установленных федеральными законами, нормативными правовыми актами Правительства Российской Федерации, бюджетам отдельных муниципальных образований из бюджетов субъектов Российской Федерации могут предоставляться иные дотации, источником финансового обеспечения которых являются дотации, предоставленные из федерального бюджета республиканскому бюджету на указанные цели.

Распределение указанных дотаций между муниципальными образованиями утверждается законом Карачаево-Черкесской Республики о бюджете Карачаево-Черкесской Республики или нормативным правовым актом Правительства Карачаево-Черкесской Республики в соответствии с распределением, утвержденным федеральным законом о федеральном бюджете или правовым актом Правительства Российской Федерации, если республиканскому бюджету предоставляются дотации для двух и более муниципальных образований.

Статья 11. Субсидии местным бюджетам из республиканского бюджета

1. Под субсидиями местным бюджетам из республиканского бюджета понимаются межбюджетные трансферты, предоставляемые бюджетам муниципальных образований в целях софинансирования расходных обязательств, возникающих при выполнении полномочий органов местного самоуправления по вопросам местного значения.

Правила, устанавливающие общие требования к формированию, предоставлению и распределению субсидий из бюджета Карачаево-Черкесской Республики местным бюджетам, а также порядок определения и установления предельного уровня софинансирования Карачаево-Черкесской Республикой (в процентах) объема расходного обязательства муниципального образования, устанавливаются нормативным правовым актом Правительства Карачаево-Черкесской Республики.

Нормативные правовые акты Карачаево-Черкесской Республики, устанавливающие порядок предоставления и распределения каждой субсидии, принимаются в соответствии с правилами, предусмотренными абзацем вторым настоящей части.

2. Распределение субсидий местным бюджетам из бюджета Карачаево-Черкесской Республики между муниципальными образованиями (за исключением субсидий, распределяемых на конкурсной основе, а также субсидий за счет средств резервного фонда Правительства Карачаево-Черкесской Республики и субсидий, источником финансового обеспечения которых являются межбюджетные трансферты за счет резервных фондов Президента Российской Федерации и Правительства Российской Федерации) утверждается законом Карачаево-Черкесской Республики о бюджете Карачаево-Черкесской Республики на очередной финансовый год и плановый период.

В случаях и порядке, предусмотренных законом Карачаево-Черкесской Республики (кроме закона о бюджете), актами Правительства Карачаево-Черкесской Республики, без внесения изменений в закон о бюджете Карачаево-Черкесской Республики на текущий финансовый год и плановый период могут быть внесены изменения в распределение объемов субсидий между муниципальными образованиями.

Статья 12. Субсидии бюджетам муниципальных районов на выравнивание бюджетной обеспеченности поселений

1. Субсидии на выравнивание бюджетной обеспеченности поселений предусматриваются в республиканском бюджете в целях софинансирования расходных обязательств органов местного самоуправления муниципальных районов Карачаево-Черкесской Республики по осуществлению их полномочий по выравниванию бюджетной обеспеченности поселений и по решению вопросов местного значения, общих для поселений.

2. Расчет размера субсидий бюджетам муниципальных районов на выравнивание бюджетной обеспеченности поселений производится в соответствии с Методикой расчета и порядком предоставления субсидий бюджетам муниципальных районов на выравнивание бюджетной обеспеченности поселений согласно приложению 3 к настоящему Закону.

3. Законом Карачаево-Черкесской Республики о республиканском бюджете на очередной финансовый год и плановый период утверждаются:

1) расчетный уровень бюджетной обеспеченности, устанавливаемый в качестве критерия выравнивания городских и сельских поселений;

2) объем субсидий бюджетам муниципальных районов на выравнивание бюджетной обеспеченности поселений;

3) распределение между муниципальными районами субсидий бюджетам муниципальных районов на выравнивание бюджетной обеспеченности поселений.

4. Порядок предоставления субсидий на выравнивание бюджетной обеспеченности поселений, предусмотренных в целях софинансирования расходных обязательств органов местного самоуправления муниципальных районов Карачаево-Черкесской Республики по осуществлению их полномочий по выравниванию бюджетной обеспеченности поселений и по решению вопросов местного значения, общих для поселений, уровень софинансирования указанных субсидий и типовая форма соглашения утверждаются нормативным правовым актом Правительства Карачаево-Черкесской Республики.

Статья 13. Порядок расчета и установления дополнительных нормативов отчислений от налога на доходы физических лиц, заменяющих дотации на выравнивание бюджетной обеспеченности поселений и муниципальных районов (городских округов)

1. Дополнительный норматив отчислений от налога на доходы физических лиц на очередной финансовый год и плановый период рассчитывается как отношение расчетного объема (части расчетного объема) дотации на выравнивание бюджетной обеспеченности муниципальных образований к прогнозируемому в соответствии с единой методикой объему налога на доходы физических лиц, подлежащего зачислению в консолидированный бюджет Карачаево-Черкесской Республики по территории соответствующего поселения, муниципального района (городского округа).

2. Дополнительные нормативы отчислений от налога на доходы физических лиц в бюджеты поселений и муниципальных районов (городских округов) утверждаются законом Карачаево-Черкесской Республики о республиканском бюджете на соответствующий финансовый год.

Дополнительные нормативы отчислений от налога на доходы физических лиц устанавливаются на срок не менее трех лет. Изменение дополнительных нормативов отчислений от налога на доходы физических лиц в течение финансового года не допускается.

3. Средства, полученные поселением, муниципальным районом (городским округом) по дополнительному нормативу отчислений от налога на доходы физических лиц, сверх расчетного объема (части расчетного объема) дотации, изъятию в республиканский бюджет Карачаево-Черкесской Республики и (или) учету при последующем распределении финансовой помощи местным бюджетам не подлежат.

4. Потери бюджета поселения, муниципального района (городского округа) в связи с получением средств по дополнительному нормативу отчислений от налога на доходы физических лиц ниже расчетного объема дотации (части расчетного объема дотации) на выравнивание бюджетной обеспеченности поселений, муниципальных районов (городских округов) компенсации из республиканского бюджета и (или) учету при последующем распределении межбюджетных трансфертов местным бюджетам не подлежат.

Статья 14. Субвенции местным бюджетам из республиканского бюджета

1. Субвенции местным бюджетам предусматриваются в республиканском бюджете в целях финансового обеспечения расходных обязательств муниципальных образований, возникших при выполнении государственных полномочий Российской Федерации, Карачаево-Черкесской Республики, переданных для осуществления органам местного самоуправления в установленном порядке.

2. Субвенции местным бюджетам из республиканского бюджета формируются за счет следующих источников:

1) субвенции республиканскому бюджету из федерального бюджета на осуществление органами местного самоуправления отдельных полномочий федеральных органов государственной власти;

2) субвенций республиканскому бюджету из федерального бюджета, предоставленных на осуществление органами государственной власти Карачаево-Черкесской Республики отдельных полномочий Российской Федерации, в случае передачи Карачаево-Черкесской Республикой таких полномочий органам местного самоуправления в установленном законодательством Российской Федерации порядке;

3) собственных доходов и источников финансирования дефицита республиканского бюджета в объеме, необходимом для осуществления органами местного самоуправления отдельных полномочий органов государственной власти Карачаево-Черкесской Республики.

3. Субвенции местным бюджетам из республиканского бюджета предоставляются в порядке, установленном Правительством Российской Федерации. Порядок предоставления субвенций местным бюджетам, источником финансового обеспечения которых являются субвенции бюджету Карачаево-Черкесской Республики из федерального бюджета, должен соответствовать установленному Правительством Российской Федерации порядку предоставления субвенций из федерального бюджета.

Субвенции на реализацию полномочий, финансовое обеспечение которых осуществляется за счет собственных доходов и источников финансирования дефицита республиканского бюджета, расходуются в порядке, установленном Правительством Карачаево-Черкесской Республики.

4. Субвенции местным бюджетам из республиканского бюджета распределяются в соответствии с едиными для каждого вида субвенции методиками, утверждаемыми законом Карачаево-Черкесской Республики в соответствии с требованиями Бюджетного кодекса Российской Федерации, между всеми муниципальными образованиями Карачаево-Черкесской Республики, органы местного самоуправления которых осуществляют переданные им отдельные государственные полномочия, пропорционально численности населения (отдельных групп населения), потребителей соответствующих государственных (муниципальных) услуг, другим показателям и с учетом нормативов формирования бюджетных ассигнований на исполнение соответствующих обязательств и объективных условий, влияющих на стоимость государственных (муниципальных) услуг в муниципальных образованиях.

Использование при распределении субвенций местным бюджетам из республиканского бюджета показателей, характеризующих собственные доходы местных бюджетов, не допускается.

Указанные методики в части положений о распределении субвенций местным бюджетам из республиканского бюджета, источником финансового обеспечения которых являются субвенции, предоставленные республиканскому бюджету из федерального бюджета, должны соответствовать требованиям порядков определения и распределения между субъектами Российской Федерации общего объема субвенций, утверждаемых федеральными законами, и (или) нормативными правовыми актами Президента Российской Федерации, и (или) нормативными правовыми актами Правительства Российской Федерации в соответствии со статьей 133 Бюджетного кодекса Российской Федерации.

5. Распределение субвенций местным бюджетам из республиканского бюджета между муниципальными образованиями утверждается законом Карачаево-Черкесской Республики о республиканском бюджете на соответствующий год и плановый период по каждому муниципальному образованию Карачаево-Черкесской Республики и виду субвенции.

В случае наделения органов местного самоуправления муниципальных районов полномочиями по расчету и предоставлению субвенций бюджетам городских, сельских поселений распределение указанных субвенций между бюджетами городских, сельских поселений утверждается решением представительного органа муниципального района о бюджете муниципального района.

Допускается утверждение на плановый период не распределенного между муниципальными районами объема субвенций на исполнение полномочий органов государственной власти Карачаево-Черкесской Республики по расчету и предоставлению дотации бюджетам городских, сельских поселений в размере не более 20 процентов общего объема указанных субвенций, утвержденного на первый год планового периода, и не более 20 процентов общего объема указанных субвенций, утвержденного на второй год планового периода.

При этом допускается утверждение не распределенной между муниципальными образованиями субвенции местным бюджетам из республиканского бюджета в объеме, не превышающем 5 процентов общего объема соответствующей субвенции, которая может быть распределена между местными бюджетами в порядке, установленном Правительством Карачаево-Черкесской Республики, на те же цели в процессе исполнения республиканского бюджета без внесения изменений в закон о республиканском бюджете на очередной финансовый год и плановый период.

Статья 15. Иные межбюджетные трансферты из республиканского бюджета Карачаево-Черкесской Республики местным бюджетам

1. В случаях, предусмотренных законами Карачаево-Черкесской Республики и принимаемыми в соответствии с ними иными нормативными правовыми актами органов государственной власти Карачаево-Черкесской Республики, местным бюджетам, могут быть предоставлены иные межбюджетные трансферты из республиканского бюджета на финансовое обеспечение расходных обязательств муниципальных образований.

2. Методика распределения иных межбюджетных трансфертов из республиканского бюджета и правила их предоставления устанавливаются нормативными правовыми актами Правительства Карачаево-Черкесской Республики.

Общий объем иных межбюджетных трансфертов местным бюджетам и дотаций местным бюджетам на поддержку мер по обеспечению сбалансированности местных бюджетов из республиканского бюджета не может превышать 15 процентов общего объема межбюджетных трансфертов местным бюджетам из республиканского бюджета (за исключением субвенций) и (или) расчетного объема дотации на выравнивание бюджетной обеспеченности (части расчетного объема дотации), замененной дополнительными нормативами отчислений от налога на доходы физических лиц.

Распределение иных межбюджетных трансфертов местным бюджетам, предоставляемых из республиканского бюджета, между муниципальными образованиями утверждается законом Карачаево-Черкесской Республики о бюджете Карачаево-Черкесской Республики на очередной финансовый год и плановый период и (или) принятыми в соответствии с ним нормативными правовыми актами Правительства Карачаево-Черкесской Республики.

Раздел 2. Межбюджетные трансферты, предоставляемые из местных бюджетов

Статья 16. Формы межбюджетных трансфертов, предоставляемых из местных бюджетов

1. Межбюджетные трансферты из местных бюджетов предоставляются в форме:

1) дотаций из бюджетов муниципальных районов на выравнивание бюджетной обеспеченности поселений в соответствии со статьей 17 настоящего Закона;

2) субсидий бюджетам муниципальных образований;

3) субсидий бюджету Карачаево-Черкесской Республики из местных бюджетов в случаях, установленных статьей 11 настоящего Закона;

4) субвенций из бюджетов муниципальных районов бюджетам городских, сельских поселений в случаях, установленных статьями 133 и 140 Бюджетного кодекса Российской Федерации;

5) иных межбюджетных трансфертов в соответствии со статьей 18 настоящего Закона.

2. Межбюджетные трансферты из бюджетов муниципальных районов бюджетам городских, сельских поселений (за исключением межбюджетных трансфертов на осуществление части полномочий по решению вопросов местного значения в соответствии с заключенными соглашениями) предоставляются при соблюдении органами местного самоуправления городских, сельских поселений условий, установленных правилами предоставления межбюджетных трансфертов из бюджетов муниципальных районов бюджетам городских, сельских поселений.

3. Межбюджетные трансферты (за исключением субвенций) из бюджетов муниципальных районов бюджетам городских, сельских поселений, которые предоставляются за счет республиканского бюджета, в том числе субвенций, предоставляемых бюджетам муниципальных районов на осуществление полномочий органов государственной власти Карачаево-Черкесской Республики по расчету и предоставлению дотаций бюджетам городских, сельских поселений, предоставляются при условии соблюдения соответствующими органами местного самоуправления городских, сельских поселений основных условий предоставления межбюджетных трансфертов из республиканского бюджета местным бюджетам, предусмотренных статьей 136 Бюджетного кодекса Российской Федерации.

Цели, порядок и условия предоставления межбюджетных трансфертов из местных бюджетов, источником финансового обеспечения которых являются субсидии, субвенции и иные межбюджетные трансферты, имеющие целевое назначение, из республиканского бюджета, устанавливаются муниципальными правовыми актами представительных органов муниципальных образований, принятыми в соответствии с законами и (или) иными нормативными правовыми актами Карачаево-Черкесской Республики.

Статья 17. Дотации из бюджетов муниципальных районов на выравнивание бюджетной обеспеченности поселений

1. Дотации из бюджетов муниципальных районов на выравнивание бюджетной обеспеченности поселений предоставляются поселениям, входящим в состав данного муниципального района, в соответствии с муниципальными правовыми актами представительного органа муниципального района Карачаево-Черкесской Республики, принимаемыми в соответствии с требованиями Бюджетного кодекса Российской Федерации и законодательством Карачаево-Черкесской Республики.

2. Объем и распределение дотаций на выравнивание бюджетной обеспеченности поселений из бюджета муниципального района утверждаются решением представительного органа муниципального района о бюджете муниципального района на очередной финансовый год (очередной финансовый год и плановый период).

Дотации на выравнивание бюджетной обеспеченности поселений из бюджета муниципального района, предоставляются городским и сельским поселениям, расчетная бюджетная обеспеченность которых не превышает уровень, установленный в качестве критерия выравнивания расчетной бюджетной обеспеченности городских и сельских поселений данного муниципального района.

3. Размер дотаций из бюджетов муниципальных районов бюджетам поселений определяется в соответствии с Методикой расчета дотаций из бюджетов муниципальных районов на выравнивание бюджетной обеспеченности поселений согласно приложению 6 к настоящему Закону.

Исходные данные для распределения дотаций из бюджетов муниципальных районов на выравнивание бюджетной обеспеченности поселений в обязательном порядке подлежат сверке с органами местного самоуправления поселений. Порядок и сроки сверки исходных данных устанавливаются органами местного самоуправления муниципального района.

4. В случае предоставления указанных дотаций финансовый орган муниципального района вправе заключать с главами местных администраций (руководителями исполнительно-распорядительных органов) муниципальных образований, получающих дотации на выравнивание бюджетной обеспеченности поселений из бюджета муниципального района, соглашения, которыми предусматриваются меры по социально-экономическому развитию и оздоровлению муниципальных финансов поселения.

Порядок, сроки заключения соглашений и требования к соглашениям, которые указаны в настоящей части, устанавливаются местной администрацией (исполнительно-распорядительным органом) муниципального района.

Статья 18. Субсидии, перечисляемые из бюджетов муниципальных образований в республиканский бюджет Карачаево-Черкесской Республики

1. Законом о республиканском бюджете на очередной финансовый год и плановый период может быть предусмотрено предоставление республиканскому бюджету субсидий из бюджетов городских и сельских поселений и (или) бюджетов муниципальных районов (городских округов), в которых в отчетном финансовом году расчетные налоговые доходы местных бюджетов (без учета налоговых доходов по дополнительным нормативам отчислений) превышали уровень, установленный законом о республиканском бюджете на очередной год и плановый период соответственно по городским, сельским поселениям и муниципальным районам (городским округам).

Указанный уровень не может быть установлен ниже 1,3-кратного среднего соответственно по городским, сельским поселениям или муниципальным районам (городским округам) Карачаево-Черкесской Республики уровня в расчете на одного жителя.

2. Порядок расчета субсидий из бюджетов муниципальных районов (городских округов) республиканскому бюджету определяется в соответствии с методикой согласно приложению 4 к настоящему Закону.

Субсидии из бюджетов муниципальных районов (городских округов) в соответствии с Бюджетным кодексом Российской Федерации перечисляются в республиканский бюджет Карачаево-Черкесской Республики и учитываются в доходах республиканского бюджета и в объеме дотации на выравнивание бюджетной обеспеченности муниципальных районов (городских округов).

3. Порядок расчета субсидий из бюджетов поселений республиканскому бюджету определяется в соответствии с методикой расчета субсидий из бюджетов поселений в республиканский бюджет согласно приложению 5 к настоящему Закону.

Субсидии из бюджетов поселений в соответствии с Бюджетным кодексом Российской Федерации перечисляются в республиканский бюджет Карачаево-Черкесской Республики и учитываются в доходах республиканского бюджета и при формировании объемов бюджетных ассигнований на предоставление дотаций на выравнивание бюджетной обеспеченности поселений из республиканского бюджета.

В случае наделения органов местного самоуправления муниципальных районов полномочиями органов государственной власти Карачаево-Черкесской Республики по расчету и предоставлению дотаций на выравнивание бюджетной обеспеченности поселений указанные субсидии из бюджетов городских и сельских поселений, входящих в состав территорий муниципальных районов, учитываются в доходах и расходах республиканского бюджета для распределения между бюджетами муниципальных районов в порядке, установленном абзацем вторым части 6 статьи 8 настоящего Закона.

4. Объем субсидий, подлежащих перечислению из местных бюджетов в республиканский бюджет Карачаево-Черкесской Республики, рассчитывается пропорционально превышению расчетных налоговых доходов уровня, установленного законом Карачаево-Черкесской Республики в соответствии с частью 1 настоящей статьи.

Объем указанной субсидии для отдельного муниципального образования в расчете на одного жителя не может превышать 50 процентов разницы между расчетными налоговыми доходами местного бюджета (без учета доходов по дополнительным нормативам отчислений) в расчете на одного жителя и 1,3-кратным средним уровнем расчетных налоговых доходов в расчете на одного жителя в отчетном финансовом году.

Расчетные налоговые доходы муниципального образования в расчете на одного жителя после исключения субсидии, подлежащей перечислению в республиканский бюджет, не могут быть меньше расчетных налоговых доходов в расчете на одного жителя иного муниципального образования, которое до исключения указанной субсидии имело более низкий уровень расчетных налоговых доходов в расчете на одного жителя.

5. Объемы субсидий, подлежащих перечислению из местных бюджетов в республиканский бюджет Карачаево-Черкесской Республики, утверждаются законом о республиканском бюджете на очередной финансовый год и плановый период.

6. Субсидии, указанные в части 5 настоящей статьи, предусматриваются в местном бюджете в соответствии с законом о республиканском бюджете на очередной финансовый год и плановый период. В случае невыполнения представительным органом муниципального образования указанных требований и (или) невыполнения органами местного самоуправления решения представительного органа муниципального образования о бюджете муниципального образования в части перечисления субсидий в республиканский бюджет объем субсидий взыскивается за счет отчислений от федеральных и региональных налогов и сборов, налогов, предусмотренных специальными налоговыми режимами, подлежащих зачислению в бюджет муниципального образования, местных налогов и сборов в порядке, определяемом Министерством финансов Карачаево-Черкесской Республики с соблюдением общих требований, установленных Министерством финансов Российской Федерации.

Статья 19. Иные виды межбюджетных трансфертов

Иные виды межбюджетных трансфертов из бюджета муниципального района бюджетам поселений, входящих в состав данного муниципального района, могут предоставляться в форме дотаций и субсидий в соответствии с нормативными правовыми актами представительного органа муниципального района, принимаемыми в соответствии с требованиями Бюджетного кодекса Российской Федерации.

Глава 3. Заключительные положения

Статья 20. Приведение законодательных актов и нормативных правовых актов Карачаево-Черкесской Республики в соответствие с настоящим Законом

Со дня вступления в силу настоящего Закона законодательные акты Карачаево-Черкесской Республики, нормативные правовые акты Правительства Карачаево-Черкесской Республики, нормативные правовые акты органов местного самоуправления муниципальных образований Карачаево-Черкесской Республики применяются в части, не противоречащей настоящему Закону, и подлежат приведению в соответствие с настоящим Законом в шестимесячный срок.

Статья 21. Вступление в силу настоящего Закона

1. Настоящий Закон вступает в силу со дня его официального опубликования.

2. Со дня вступления в силу настоящего Закона признать утратившими силу:

1) Закон Карачаево-Черкесской Республики от 30 декабря 2015 г. N 107-РЗ "О межбюджетных отношениях в Карачаево-Черкесской Республике";

2) Закон Карачаево-Черкесской Республики от 24 ноября 2017 г. N 51-РЗ "О внесении изменений в Закон Карачаево-Черкесской Республики "О межбюджетных отношениях в Карачаево-Черкесской Республике";

3) Закон Карачаево-Черкесской Республики от 17 декабря 2018 г. N 82-РЗ "О внесении изменений в Закон Карачаево-Черкесской Республики "О межбюджетных отношениях в Карачаево-Черкесской Республике".

Глава Карачаево-Черкесской Республики
Р.Б. ТЕМРЕЗОВ

г. Черкесск

17 декабря 2019 г.

N 64-РЗ

Приложение 1
к Закону
Карачаево-Черкесской Республики
"О межбюджетных отношениях
в Карачаево-Черкесской Республике"

МЕТОДИКА РАСЧЕТА ДОТАЦИЙ НА ВЫРАВНИВАНИЕ БЮДЖЕТНОЙ ОБЕСПЕЧЕННОСТИ ПОСЕЛЕНИЙ

1. Размер дотаций на выравнивание бюджетной обеспеченности поселений рассчитывается по отдельности для городских и сельских поселений республики исходя из объемов средств, распределяемых между городскими и сельскими поселениями, определяемых по следующим формулам:

;

,

где:

ДБОП - объем дотаций из республиканского бюджета на выравнивание бюджетной обеспеченности поселений,

ДБОГП - объем дотаций из республиканского бюджета на выравнивание бюджетной обеспеченности поселений, распределяемый между городскими поселениями,

ДБОСП - объем дотаций из республиканского бюджета на выравнивание бюджетной обеспеченности поселений, распределяемый между сельскими поселениями,

Н - численность населения Карачаево-Черкесской Республики,

НГ - суммарная численность населения Карачаево-Черкесской Республики, проживающего в городских поселениях,

НС - суммарная численность населения Карачаево-Черкесской Республики, проживающего в сельских поселениях.

2. Размер дотаций для городских поселений рассчитывается по следующей формуле:

,

где:

Дот(ГП)j - расчетный размер дотации j-му городскому на выравнивание бюджетной обеспеченности;

Hj - численность населения j-го городского поселения;

НГ - суммарная численность населения Карачаево-Черкесской Республики, проживающего в городских поселениях, получающих дотацию на выравнивание бюджетной обеспеченности поселений.

3. Размер дотаций для сельских поселений рассчитывается по следующей формуле:

,

где:

Дот(СП)j - расчетный размер дотации j-му сельскому поселению на выравнивание бюджетной обеспеченности;

Нj - численность населения j-го городского поселения;

НС - суммарная численность населения Карачаево-Черкесской Республики, проживающего в сельских поселениях, получающих дотацию на выравнивание бюджетной обеспеченности поселений.

4. Законом Карачаево-Черкесской Республики о республиканском бюджете на очередной финансовый год и плановый период может быть установлено, что дотация на выравнивание бюджетной обеспеченности поселений по согласованию с представительными органами муниципальных образований частично или полностью заменяется дополнительными нормативами отчислений от налога на доходы физических лиц. В таком случае при составлении и (или) утверждении республиканского бюджета на очередной финансовый год и плановый период дотация на выравнивание бюджетной обеспеченности поселений заменяется дополнительным нормативом отчислений от налога на доходы физических лиц. Указанный норматив рассчитывается по следующей формуле:

,

где:

- дополнительный норматив отчислений от налога на доходы физических лиц в бюджет j-го поселения;

- расчетный размер дотации j-му поселению Карачаево-Черкесской Республики на выравнивание бюджетной обеспеченности поселений;

- прогноз поступлений налога на доходы физических лиц в консолидированный бюджет Карачаево-Черкесской Республики в планируемом году с территории всех поселений Карачаево-Черкесской Республики;

- база налогообложения (экономический показатель, отражающий базу налогообложения) j-го поселения по налогу на доходы физических лиц в последнем отчетном году;

- база налогообложения (экономический показатель, отражающий базу налогообложения) всех поселений Карачаево-Черкесской Республики по налогу на доходы физических лиц в последнем отчетном году.

Средства, полученные поселением по дополнительному нормативу отчислений от налога на доходы физических лиц сверх объема расчетной дотации на выравнивание бюджетной обеспеченности поселений (части расчетной дотации), в соответствии с требованиями Бюджетного кодекса Российской Федерации, изъятию в республиканский бюджет и (или) учету при последующем распределении финансовой помощи местным бюджетам не подлежат.

Потери бюджета поселения в связи с получением средств по дополнительному нормативу отчислений от налога на доходы физических лиц в объеме ниже расчетной дотации на выравнивание бюджетной обеспеченности поселений (части расчетной дотации) компенсации из республиканского бюджета и (или) учету при последующем распределении межбюджетных трансфертов местным бюджетам не подлежат.

Приложение 2
к Закону
Карачаево-Черкесской Республики
"О межбюджетных отношениях
в Карачаево-Черкесской Республике"

МЕТОДИКА РАСЧЕТА ДОТАЦИЙ НА ВЫРАВНИВАНИЕ БЮДЖЕТНОЙ ОБЕСПЕЧЕННОСТИ МУНИЦИПАЛЬНЫХ РАЙОНОВ (ГОРОДСКИХ ОКРУГОВ)

(в ред. Закона Карачаево-Черкесской Республики от 30.11.2020 N 80-РЗ)

Методика расчета дотаций на выравнивание бюджетной обеспеченности муниципальных районов (городских округов) (далее - Методика) устанавливает порядок расчета распределения дотаций на выравнивание бюджетной обеспеченности муниципальных районов (городских округов, городских округов с внутригородским делением), а также расчет замещения части указанных дотаций дополнительными нормативами отчислений от налога на доходы физических лиц.

1. Основные понятия и определения, используемые в настоящей Методике.

Бюджетная обеспеченность муниципального района (городского округа) - отношение индекса налогового потенциала к индексу бюджетных расходов муниципального района (городского округа);

налоговая база муниципального района (городского округа) республики - стоимостная, физическая или иная характеристика объектов налогообложения, находящихся на территории муниципального образования, наделенного указанным выше статусом, обеспечивающих совокупность поступлений налогов и других обязательных платежей в бюджет муниципального района (городского округа) Карачаево-Черкесской Республики;

налоговый потенциал муниципального района (городского округа) - оценка налоговых доходов, которые могут быть получены бюджетом муниципального района (городского округа) исходя из уровня развития и структуры экономики и (или) налоговой базы из налоговых источников, закрепленных за этим муниципальным районом (городским округом);

индекс налогового потенциала муниципального района (городского округа) - отношение налогового потенциала муниципального района (городского округа) в расчете на одного жителя к аналогичному показателю в среднем по всем муниципальным районам (городским округам).

Индекс бюджетных расходов муниципального района (городского округа) показывает, во сколько раз больше (меньше) средств бюджета муниципального района (городского округа) в расчете на душу населения по сравнению со средним по всем муниципальным районам (городским округам) уровнем необходимо затратить для осуществления полномочий по решению вопросов местного значения муниципального района (городского округа) с учетом специфики социально-демографического состава населения и иных объективных факторов, влияющих на стоимость предоставляемых муниципальных услуг в расчете на одного жителя.

2. Расчет распределения дотаций на выравнивание уровня бюджетной обеспеченности муниципальных районов (городских округов).

1) Расчетный размер дотаций на выравнивание уровня бюджетной обеспеченности муниципальных районов (городских округов) (РДj) определяется по следующей формуле:

,

где:

Д - общий объем дотаций на выравнивание бюджетной обеспеченности муниципальных районов (городских округов) в планируемом финансовом году;

Tj - объем средств, необходимый для доведения уровня бюджетной обеспеченности j-го муниципального района (городского округа) до уровня бюджетной обеспеченности, установленного в качестве критерия выравнивания бюджетной обеспеченности муниципальных районов (городских округов) в планируемом финансовом году;

Т - суммарный объем средств, необходимый для доведения уровня бюджетной обеспеченности муниципальных районов (городских округов, городских округов с внутригородским делением) до уровня бюджетной обеспеченности, установленного в качестве критерия выравнивания бюджетной обеспеченности муниципальных районов (городских округов, городских округов с внутригородским делением) в планируемом финансовом году.

2) Объем средств, необходимый для доведения уровня бюджетной обеспеченности муниципального района (городского округа) до уровня бюджетной обеспеченности, установленного в качестве критерия выравнивания бюджетной обеспеченности муниципальных районов (городских округов) в планируемом финансовом году (Тj) рассчитывается по следующей формуле:

,

где:

ПДмр(го) - прогноз налоговых и неналоговых доходов бюджетов муниципальных районов (городских округов) Карачаево-Черкесской Республики в планируемом году;

Hj - численность постоянного населения j-го муниципального района (городского округа);

БОкр - уровень, установленный в качестве критерия выравнивания бюджетной обеспеченности муниципальных районов (городских округов);

БОj - бюджетная обеспеченность j-го муниципального района (городского округа);

ИБРj - индекс бюджетных расходов j-го муниципального района (городского округа);

Н - численность постоянного населения муниципальных районов (городских округов) Карачаево-Черкесской Республики;

CPj - размер субсидии из бюджета j-го муниципального района (городского округа) в республиканский бюджет, рассчитанный в соответствии с методикой согласно приложению 4 к настоящему Закону.

3) Уровень бюджетной обеспеченности, установленный в качестве критерия выравнивания бюджетной обеспеченности муниципальных районов (городских округов) (БОкр), рассчитывается по следующей формуле:

,

где:

ПД - прогноз налоговых и неналоговых доходов бюджетов муниципальных районов (городских округов) в планируемом финансовом году;

Д - общий объем дотаций на выравнивание бюджетной обеспеченности муниципальных районов (городских округов) в планируемом финансовом году;

СР - общий объем субсидий из бюджетов муниципальных районов (городских округов) в республиканский бюджет, рассчитанный в соответствии с методикой согласно приложению 4 к настоящему Закону.

При утверждении республиканского бюджета на очередной финансовый год и плановый период по согласованию с представительными органами муниципальных районов (городских округов) дотации на выравнивание бюджетной обеспеченности муниципальных районов (городских округов) могут быть полностью или частично заменены дополнительными нормативами отчислений от налога на доходы физических лиц, в части, подлежащей зачислению в республиканский бюджет. Дополнительный (дифференцированный) норматив отчислений от налога на доходы физических лиц j-му муниципальному району (городскому округу) (Нормj) рассчитывается по следующей формуле:

,

РДj - расчетный размер дотации на выравнивание бюджетной обеспеченности муниципальных районов (городских округов) j-му муниципальному району (городскому округу);

НПjндфл - налоговый потенциал j-го муниципального района (городского округа) по налогу на доходы физических лиц;

Если расчетный дополнительный (дифференцированный) норматив отчислений от налога на доходы физических лиц превышает максимально возможный норматив, определяемый как норматив отчислений от налога, подлежащий в соответствии с требованиями Бюджетного кодекса Российской Федерации, а также законов Карачаево-Черкесской Республики, зачислению в республиканский бюджет, в качестве дополнительного (дифференцированного) норматива устанавливается максимально возможный норматив. Недостающие средства передаются в бюджеты муниципальных районов (городских округов) в форме дотации на выравнивание бюджетной обеспеченности муниципальных районов (городских округов).

4) Итоговый размер дотации на выравнивание бюджетной обеспеченности муниципальных районов (городских округов, городских округов с внутригородским делением) j-му муниципальному району (городскому округу) (Дj) рассчитывается по следующей формуле:

,

где:

РДj - расчетный размер дотации на выравнивание бюджетной обеспеченности муниципальных районов (городских округов) j-му муниципальному району (городскому округу);

Нормj - дополнительный (дифференцированный) норматив отчислений от налога на доходы физических лиц в бюджет j-го муниципального района (городского округа);

НПjндфл - налоговый потенциал j-го муниципального района (городского округа) по налогу на доходы физических лиц.

3. Расчет бюджетной обеспеченности муниципального района (городского округа).

Бюджетная обеспеченность муниципального района (городского округа) (БOj) рассчитывается по следующей формуле:

,

где:

ИНПj - индекс налогового потенциала j-го муниципального района (городского округа);

ИБРj - индекс бюджетных расходов j-го муниципального района (городского округа).

4. Расчет индекса налогового потенциала муниципального района (городского округа).

1) Расчет налогового потенциала муниципального района (городского округа) производится по репрезентативной системе налогов в разрезе налогов исходя из базы налогообложения муниципального района (городского округа), прогноза поступления налогов с территории всех муниципальных районов (городских округов) в консолидированный бюджет Карачаево-Черкесской Республики, а также нормативов отчислений от налогов, установленных для бюджетов муниципальных районов (городских округов).

2) Репрезентативная система налогов включает основные налоги, зачисляемые в бюджеты муниципального района (городского округа) в соответствии с Бюджетным кодексом Российской Федерации и настоящим Законом.

К основным видам репрезентативных налогов в настоящей Методике относятся:

а) налог на доходы физических лиц;

б) акцизы на пиво;

в) доходы от уплаты акцизов на нефтепродукты;

г) налог, взимаемый в связи с применением упрощенной системы налогообложения; (в ред. Закона Карачаево-Черкесской Республики от 30.11.2020 N 80-РЗ)

д) единый сельскохозяйственный налог;

е) налог на имущество организаций;

ж) государственная пошлина за совершение федеральными органами исполнительной власти юридически значимых действий в случае подачи заявления и (или) документов, необходимых для их совершения, в многофункциональные центры;

з) налог, взимаемый в связи с применением патентной системы налогообложения. (в ред. Закона Карачаево-Черкесской Республики от 30.11.2020 N 80-РЗ)

Остальные налоги и сборы, определенные налоговым законодательством Российской Федерации, отнесены настоящей Методикой к категории "прочие налоги и сборы" и не включены в репрезентативную систему и, соответственно, не учитываются при расчете бюджетной обеспеченности муниципальных районов (городских округов).

Определение налогового потенциала бюджетов муниципальных районов (городских округов) производится с учетом действующего на момент расчета бюджета бюджетного и налогового законодательства Российской Федерации и Карачаево-Черкесской Республики, и вносимых изменений в законодательство.

Для оценки налогового потенциала по указанным репрезентативным налогам используются показатели, от которых данный налог имеет высокую степень зависимости.

Таблица 1

СОСТАВ РЕПРЕЗЕНТАТИВНОЙ СИСТЕМЫ НАЛОГОВ ДЛЯ ОЦЕНКИ НАЛОГОВОГО ПОТЕНЦИАЛА МУНИЦИПАЛЬНЫХ РАЙОНОВ (ГОРОДСКИХ ОКРУГОВ)

Наименование налога (сбора) Показатель, характеризующий налоговый потенциал Источник информации
Налог на доходы физических лиц Сумма начисленного дохода (отчет 7-НДФЛ) Управление Федеральной налоговой службы России по Карачаево-Черкесской Республике
Акцизы на пиво Объем реализации (отчет 5-ПВ) Управление Федеральной налоговой службы России по Карачаево-Черкесской Республике
Доходы от уплаты акцизов на нефтепродукты Норматив распределения доходов от уплаты акцизов на автомобильный бензин, прямогонный бензин, дизельное топливо, моторные масла для дизельных и (или) карбюраторных (инжекторных) двигателей, производимые на территории Российской Федерации приложение к закону о республиканском бюджете на очередной финансовый год и плановый период
Налог, взимаемый в связи с применением упрощенной системы налогообложения Налоговая база (отчет 5-УСН) Управление Федеральной налоговой службы России по Карачаево-Черкесской Республике
(в ред. Закона Карачаево-Черкесской Республики от 30.11.2020 N 80-РЗ)
Единый сельскохозяйственный налог Налоговая база (отчет 5-ЕСХН) Управление Федеральной налоговой службы России по Карачаево-Черкесской Республике
Налог на имущество организаций Налоговая база (отчет 5-НИО) Управление Федеральной налоговой службы России по Карачаево-Черкесской Республике
Государственная пошлина за совершение федеральными органами исполнительной власти юридически значимых действий в случае подачи заявления и (или) документов, необходимых для их совершения, в многофункциональные центры, % Численность постоянного населения Территориальный орган Федеральной службы государственной статистики по Карачаево-Черкесской Республике
Налог, взимаемый в связи с применением патентной системы налогообложения Размер потенциально возможного к получению индивидуальным предпринимателем годового дохода, исчисленного исходя из срока, на который выдан патент (отчет 1-Патент) Управление Федеральной налоговой службы России по Карачаево-Черкесской Республике
(в ред. Закона Карачаево-Черкесской Республики от 30.11.2020 N 80-РЗ)

Налоговые базы по налогам, входящим в репрезентативную систему, на основании документальных подтверждений Управления Федеральной налоговой службы по Карачаево-Черкесской Республике могут корректироваться в связи с перерегистрацией в текущем году крупных налогоплательщиков в другой муниципальный район (городской округ), снижением налоговой базы по налогоплательщику более чем на 50%, а также в связи с образованием новых (объединением действующих) муниципальных районов (городских округов) и выведением из состава муниципальных районов (городских округов) территорий поселений (части поселений), входящих в их состав.

3) Прогноз поступлений с территории всех муниципальных районов (городских округов) Карачаево-Черкесской Республики по каждому виду репрезентативных налогов рассчитывается Министерством финансов Карачаево-Черкесской Республики в соответствии с Методикой, установленной приложением 7 к настоящему Закону.

Налоговый потенциал по видам налогов по муниципальному району (городскому округу) оценивается на основании предположения одинаковой собираемости налога с налоговой базы в среднем по муниципальным районам (городским округам).

4) Индекс налогового потенциала муниципального района (городского округа) (ИНПj) рассчитывается по следующей формуле:

,

где:

НПj - налоговый потенциал j-ого муниципального района (городского округа);

Hj - численность постоянного населения j-ого муниципального района (городского округа);

Н - численность постоянного населения муниципальных районов (городских округов) Карачаево-Черкесской Республики.

5) Налоговый потенциал муниципального района (городского округа) (НПj) рассчитывается по следующей формуле:

,

где:

НПij - налоговый потенциал j-го муниципального района (городского округа) по i-му налогу (суммирование производится по всем налогам, входящим в состав репрезентативной системы налогов).

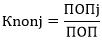
6) Налоговый потенциал муниципального района (городского округа) по отдельному налогу (НПij) рассчитывается по следующей формуле:

,

где:

Нормi - единый норматив отчислений в бюджеты муниципальных районов (городских округов) по i-му налогу в соответствии с требованиями Бюджетного кодекса Российской Федерации и настоящего Закона;

ПДi - прогноз поступлений i-го налога с территории всех муниципальных районов (городских округов) Карачаево-Черкесской Республики в консолидированный бюджет Карачаево-Черкесской Республики;

БHij - показатель, характеризующий налоговый потенциал j-го муниципального района (городского округа) по i-му налогу;

БHi - показатель, характеризующий налоговый потенциал всех муниципальных районов (городских округов) Карачаево-Черкесской Республики по i-му налогу.

7) В случае если темпы роста показателя, характеризующего налоговый потенциал по налогу на доходы физических лиц, а также налогу на имущество организаций, муниципального района (городского округа) превышают темпы роста соответствующего показателя в среднем по Карачаево-Черкесской Республике, то к значению показателя, характеризующего налоговый потенциал по налогу на доходы физических лиц, а также налогу на имущество организаций, соответствующего муниципального района (городского округа), применяется понижающий коэффициент, равный отношению темпов роста соответствующего показателя в среднем по Карачаево-Черкесской Республике и темпов роста соответствующего показателя для рассматриваемого муниципального района (городского округа).

6. Расчет индекса бюджетных расходов муниципальных районов (городских округов).

Для оценки относительных различий в расходных обязательствах муниципальных районов (городских округов) используется репрезентативная система расходных обязательств, которая включает основные виды расходных обязательств, связанные с решением вопросов местного значения муниципальных районов (городских округов). Указанные вопросы местного значения перечислены в таблице 2 настоящего приложения.

Индекс бюджетных расходов муниципального района (городского округа) (ИБРj) рассчитывается по следующей формуле:

,

где:

Kcтоимj - коэффициент стоимости предоставления муниципальных услуг j-го муниципального района (городского округа);

Kcтpj - коэффициент структуры потребителей муниципальных услуг j- го муниципального района (городского округа);

Hj - численность постоянного населения j-го муниципального района (городского округа);

Н - численность постоянного населения муниципальных районов (городских округов) Карачаево-Черкесской Республики.

Коэффициент стоимости предоставления муниципальных услуг муниципального района (городского округа) (Кстоимj) рассчитывается по следующей формуле:

,

где:

Кзпj - коэффициент заработной платы j-го муниципального района (городского округа);

Ккуj - коэффициент стоимости предоставления коммунальных услуг муниципальным учреждениям j-го муниципального района (городского округа).

Коэффициент заработной платы муниципального района (городского округа) (Кзпj) рассчитывается по следующей формуле:

,

где:

УВСj - удельный вес сельского населения в j-м муниципальном районе (городском округе);

УВС - удельный вес сельского населения Карачаево-Черкесской Республики.

Коэффициент стоимости предоставления коммунальных услуг муниципальным учреждениям муниципального района (городского округа) (Ккуj) рассчитывается по следующей формуле:

,

где:

Кводj - коэффициент стоимости водоснабжения и водоотведения j-го муниципального района (городского округа);

Ктеплj - коэффициент стоимости теплоснабжения j-го муниципального района (городского округа);

Кгазj - коэффициент стоимости газоснабжения j-го муниципального района (городского округа);

Тэлj - экономически обоснованный тариф на электроснабжение j-го муниципального района (городского округа);

Тэл - экономически обоснованный тариф на электроснабжение в среднем по Карачаево-Черкесской Республике.

Коэффициент стоимости водоснабжения и водоотведения муниципального района (городского округа) (Кводj) рассчитывается по следующей формуле:

,

где:

Тхводj - экономически обоснованный тариф на холодное водоснабжение для j-го муниципального района (городского округа);

Тподj - экономически обоснованный тариф на подогрев воды для j-го муниципального района (городского округа);

Твотj - экономически обоснованный тариф на водоотведение для j-го муниципального района (городского округа);

Txвод - экономически обоснованный тариф на холодное водоснабжение в среднем по Карачаево-Черкесской Республике;

Тпод - экономически обоснованный тариф на подогрев воды в среднем по Карачаево-Черкесской Республике;

Твот - экономически обоснованный тариф на водоотведение в среднем по Карачаево-Черкесской Республике.

Коэффициент стоимости теплоснабжения муниципального района (городского округа) (Ктеплj) рассчитывается по следующей формуле:

,

где:

Knonj - коэффициент продолжительности отопительного периода j-го муниципального района (городского округа);

Кnтэj - коэффициент потребления тепловой энергии j-го муниципального района (городского округа);

Кстэj - коэффициент стоимости тепловой энергии j-го муниципального района (городского округа);

Hj - численность постоянного населения j-го муниципального района (городского округа);

Н - численность постоянного населения муниципальных районов (городского округа) Карачаево-Черкесской Республики.

Коэффициент продолжительности отопительного периода муниципального района (городского округа) (Knonj) рассчитывается по следующей формуле:

,

где:

ПОПj - продолжительность отопительного периода в j-м муниципальном районе (городском округе);

ПОП - продолжительность отопительного периода в среднем по Карачаево-Черкесской Республике.

Коэффициент потребления тепловой энергии муниципального района (городского округа) (Кnтэj) рассчитывается по следующей формуле:

,

где:

20 - средняя температура воздуха в помещении;

Ттвj - средняя температура воздуха в течение отопительного периода в j-м муниципальном районе (городском округе);

Ттв - средняя температура воздуха в течение отопительного периода в среднем по Карачаево-Черкесской Республике.

Коэффициент стоимости тепловой энергии муниципального района (городского округа) (Кстэj) рассчитывается по следующей формуле:

,

где:

Тгкалj - стоимость выработки одной гигакалории тепловой энергии в j-м муниципальном районе (городском округе);

Тгкал - стоимость выработки одной гигакалории тепловой энергии в среднем по Карачаево-Черкесской Республике.

Коэффициент стоимости газоснабжения муниципального района (городского округа) (Кгазj) рассчитывается по следующей формуле:

,

где:

Knonj - коэффициент продолжительности отопительного периода j-го муниципального района (городского округа;

Кnгазj - коэффициент потребления природного газа j-го муниципального района (городского округа);

Kcгазj - коэффициент стоимости природного газа j-го муниципального района (городского округа);

Нj - численность постоянного населения j-го муниципального района (городского округа);

Н - численность постоянного населения муниципальных районов (городских округов) Карачаево-Черкесской Республики.

Коэффициент продолжительности отопительного периода муниципального района (городского округа) (Knonj) рассчитывается по следующей формуле:

,

ПОПj - продолжительность отопительного периода в j-м муниципальном районе (городском округе);

ПОП - продолжительность отопительного периода в среднем по Карачаево-Черкесской Республике.

Коэффициент потребления природного газа муниципального района (городского округа) (Кnгазj) рассчитывается по следующей формуле:

,

где:

20 - средняя температура воздуха в помещении;

Ттвj - средняя температура воздуха в течение отопительного периода в j-м муниципальном районе (городском округе);

Ттв - средняя температура воздуха в течение отопительного периода в среднем по Карачаево-Черкесской Республике.

Коэффициент стоимости природного газа муниципального района (городского округа) (Ксгазj) рассчитывается по следующей формуле:

,

где:

Тгкалj - стоимость отгрузки 1000 куб. м природного газа в j-м муниципальном районе (городском округе);

Тгкал - стоимость отгрузки 1000 куб. м природного газа в среднем по Карачаево-Черкесской Республике.

Коэффициент структуры потребителей муниципальных услуг муниципального района (городского округа) (Kcmpj) рассчитывается по следующей формуле:

,

где:

Кмj- коэффициент масштаба j-го муниципального района (городского округа);

Кшкj - коэффициент скорректированной численности детей, посещающих общеобразовательные учреждения в j-м муниципальном районе (городском округе);

Кплj - коэффициент плотности населения в j-м муниципальном районе (городском округе);

Кдошкj - коэффициент численности детей в возрасте от 1 до 6 лет в j-м муниципальном районе (городском округе);

Квнешкj - коэффициент численности детей, посещающих общеобразовательные учреждения по внешкольной работе с детьми в j-м муниципальном районе (городском округе);

Kdj - коэффициент дисперсности расселения в j-м муниципальном районе (городском округе).

Коэффициент масштаба муниципального района (городского округа, городского округа с внутригородским делением) (Кмj) рассчитывается по следующей формуле:

,

где:

Hj - численность постоянного населения j-го муниципального района (городского округа);

Нср - средняя численность постоянного населения муниципальных районов (городских округов).

Коэффициент скорректированной численности детей, посещающих общеобразовательные учреждения в j-м муниципальном районе (городском округе) (Кшкj) рассчитывается по следующей формуле:

,

где:

Ншкj - скорректированная численность детей, посещающих общеобразовательные учреждения в j-м муниципальном районе (городском округе);

Hj - численность постоянного населения j-го муниципального района (городского округа);

Ншк - скорректированная численность детей, посещающих общеобразовательные учреждения муниципальных районов (городских округов) Карачаево-Черкесской Республики;

H - численность постоянного населения муниципальных районов (городских округов) Карачаево-Черкесской Республики.

Коэффициент плотности населения в j-м муниципальном районе (городском округе) (Knлj) рассчитывается по следующей формуле:

,

где:

Кпопрj - коэффициент поправочный для расчета коэффициента плотности населения;

Н - численность постоянного населения муниципальных районов (городских округов) Карачаево-Черкесской Республики;

Нj - численность постоянного населения j-го муниципального района (городских округов).

;

,

где:

Кпопрj - коэффициент поправочный для расчета коэффициента плотности населения;

Нj - численность постоянного населения j-го муниципального района (городского округа);

Sj - площадь j-го муниципального района (городского округа);

Н - численность постоянного населения муниципальных районов (городских округов) Карачаево-Черкесской Республики;

S - площадь муниципальных районов (городских округов) Карачаево-Черкесской Республики.

Коэффициент численности детей в возрасте от 1 до 6 лет муниципального района (городского округа) (Кдошкj) рассчитывается по следующей формуле:

,

где:

Ндошкj - численность детей в возрасте от 1 до 6 лет в j-м муниципальном районе (городском округе);

Нj - численность постоянного населения j-го муниципального района (городского округа);

Н - численность постоянного населения муниципальных районов (городских округов) Карачаево-Черкесской Республики.

Коэффициент численности детей, посещающих общеобразовательные учреждения по внешкольной работе с детьми муниципального района (городского округа) (Квнешкj) рассчитывается по следующей формуле:

,

где:

Квнешкj - численность детей, посещающих общеобразовательные учреждения по внешкольной работе с детьми, в j-м муниципальном районе (городском округе);

Hj - численность постоянного населения j-го муниципального района (городского округа);

Н - численность постоянного населения муниципальных районов (городских округов) Карачаево-Черкесской Республики.

Коэффициент дисперсности расселения в j-м муниципальном районе (городском округе) (Кдj) рассчитывается по следующей формуле:

,

где:

УВj - удельный вес постоянного населения j-го муниципального района (городского округа), проживающего в населенных пунктах с численностью населения менее 500 человек.

Перечень вопросов местного значения муниципальных районов (городских округов), определяющих структуру репрезентативной системы расходных обязательств, а также перечень применяемых коэффициентов удорожания, приведены в таблице 2 настоящего приложения.

Таблица 2

ВОПРОСЫ МЕСТНОГО ЗНАЧЕНИЯ, ОПРЕДЕЛЯЮЩИЕ СТРУКТУРУ РЕПРЕЗЕНТАТИВНОЙ СИСТЕМЫ РАСХОДНЫХ ОБЯЗАТЕЛЬСТВ МУНИЦИПАЛЬНЫХ РАЙОНОВ (ГОРОДСКИХ ОКРУГОВ) И ПОКАЗАТЕЛИ ДЛЯ РАСЧЕТА КОЭФФИЦИЕНТА СТРУКТУРЫ ПОТРЕБИТЕЛЕЙ МУНИЦИПАЛЬНЫХ УСЛУГ

Вопросы местного значения Применяемый коэффициент удорожания Источник информации
1 2 3
Формирование, утверждение, исполнение бюджета муниципального района (городского округа), контроль за исполнением данного бюджета Коэффициент масштаба, KMj Органы статистики
Организация предоставления общедоступного и бесплатного дошкольного образования по основным общеобразовательным программам в муниципальных образовательных организациях (за исключением полномочий по финансовому обеспечению реализации основных общеобразовательных программ в соответствии с федеральными государственными образовательными стандартами) на территории муниципального района (городского округа) Коэффициент численности детей от 1 до 6 лет, Кдошкj;
Коэффициент плотности населения, Кплj
Органы статистики
Организация предоставления общедоступного и бесплатного начального общего, основного общего, среднего общего образования по основным общеобразовательным программам, (за исключением полномочий по финансовому обеспечению реализации основных общеобразовательных программ в соответствии с федеральными государственными образовательными стандартами) на территории муниципального района (городского округа) Коэффициент скорректированной численности детей, посещающих общеобразовательные учреждения, Кшкj;
Коэффициент плотности населения, Кплj
Органы статистики, Министерство образования и науки Карачаево-Черкесской Республики
Организация предоставления дополнительного образования детей в муниципальных образовательных организациях (за исключением дополнительного образования детей, финансовое обеспечение которого осуществляется органами государственной власти Карачаево-Черкесской Республики) Коэффициент плотности населения, Кплj;
Коэффициент численности детей, посещающих общеобразовательные учреждения по внешкольной работе с детьми, Квнешкj
Органы статистики, органы государственной власти Карачаево-Черкесской Республики
Осуществление в пределах своих полномочий мероприятий по обеспечению организации отдыха детей в каникулярное время, включая мероприятия по обеспечению безопасности их жизни и здоровья Коэффициент численности детей от 7 до 16 лет, Кшкj; Коэффициент плотности населения, Кплj Органы статистики
Иные вопросы местного значения муниципальных районов (городских округов) Коэффициент дисперсности расселения, Кдj Органы статистики

Приложение 3
к Закону
Карачаево-Черкесской Республики
"О межбюджетных отношениях
в Карачаево-Черкесской Республике"

МЕТОДИКА РАСЧЕТА СУБСИДИЙ БЮДЖЕТАМ МУНИЦИПАЛЬНЫХ РАЙОНОВ НА ВЫРАВНИВАНИЕ БЮДЖЕТНОЙ ОБЕСПЕЧЕННОСТИ ПОСЕЛЕНИЙ

1. Расчет субсидии бюджетам муниципальных районов на выравнивание бюджетной обеспеченности поселений (далее - субсидия) производится по отдельности для городских и сельских поселений по следующей формуле:

,

где:

СМРБОП - объем субсидии бюджетам муниципальных районов на выравнивание бюджетной обеспеченности;

ТПnj - объем средств, необходимый для доведения уровня расчетной БО n-го поселения, входящего в состав j-го муниципального района, до порогового уровня в очередном финансовом году;

ТП - суммарный объем средств, необходимый для доведения уровня расчетной бюджетной обеспеченности поселений до порогового уровня в очередном финансовом году.

2. Объем средств, необходимый для доведения уровня бюджетной обеспеченности поселения до порогового уровня:

,

где:

ТПпj - объем средств, необходимый для доведения уровня расчетной бюджетной обеспеченности j-го поселения до порогового уровня;

ПНД - прогноз налоговых доходов бюджетов поселений в очередном финансовом году;

Н - численность постоянного населения Карачаево-Черкесской Республики;

ПуБО - пороговый уровень бюджетной обеспеченности поселений;

БОпj - бюджетная обеспеченность j-го поселения;

ИБРj - индекс бюджетных расходов j-го поселения.

Hacj - численность населения j-ого поселения.

3. Уровень бюджетной обеспеченности, который принимается в качестве критерия выравнивания, устанавливается не менее порогового уровня, рассчитываемого по следующей формуле:

,

где:

ПуБО - пороговый уровень бюджетной обеспеченности поселений;

СПДП - средние подушевые доходы поселений за счет налоговых и неналоговых доходов, субсидий бюджетам муниципальных районов на выравнивание бюджетной обеспеченности;

СПНалДП - средние подушевые налоговые доходы поселений.

4. Бюджетная обеспеченность поселения рассчитывается по следующей формуле:

,

где:

БOj - бюджетная обеспеченность j-го поселения;

ИНПj - индекс налогового потенциала j-го поселения;

ИБРj - индекс бюджетных расходов j-го поселения.

5. Индекс налогового потенциала поселения рассчитывается по следующей формуле:

,

ИНПj - индекс налогового потенциала j-ого поселения;

НПj - налоговый потенциал j-ого поселения;

Насj - численность населения j-ого поселения;

НП - суммарный налоговый потенциал всех поселений;

Нас - суммарная численность населения Карачаево-Черкесской Республики.

6. Расчет налогового потенциала городского, сельского поселения производится по репрезентативной системе налогов в разрезе отдельных видов налогов исходя из базы налогообложения городского, сельского поселения, прогноза поступления данного налога с территории всех городских, сельских поселений в консолидированный бюджет Карачаево-Черкесской Республики, а также нормативов отчислений от налогов в бюджеты городских, сельских поселений соответственно. Репрезентативная система налогов включает основные налоги, зачисляемые в бюджеты поселений в соответствии с Бюджетным кодексом Российской Федерации и настоящим Законом.

7. К основным видам репрезентативных налогов городских поселений в настоящей Методике относятся:

а) налог на доходы физических лиц;

б) доходы от уплаты акцизов на нефтепродукты;

в) налог на имущество физических лиц;

г) единый сельскохозяйственный налог;

д) земельный налог.

8. К основным видам репрезентативных налогов сельских поселений в настоящей Методике относятся:

а) налог на доходы физических лиц;

б) налог на имущество физических лиц;

в) единый сельскохозяйственный налог;

г) земельный налог.

Для оценки налогового потенциала по указанным репрезентативным налогам используются показатели, от которых данный налог имеет высокую степень зависимости.

Таблица 1

СОСТАВ РЕПРЕЗЕНТАТИВНОЙ СИСТЕМЫ НАЛОГОВ ДЛЯ ОЦЕНКИ НАЛОГОВОГО ПОТЕНЦИАЛА ПОСЕЛЕНИЙ

Наименование налога Показатель, характеризующий налоговый потенциал Источник информации
Налог на доходы физических лиц Сумма начисленного дохода (отчет 7-НДФЛ) Управление Федеральной налоговой службы России по Карачаево-Черкесской Республике
Доходы от уплаты акцизов на нефтепродукты Норматив распределения доходов от уплаты акцизов на автомобильный бензин, прямогонный бензин, дизельное топливо, моторные масла для дизельных и (или) карбюраторных (инжекторных) двигателей, производимые на территории Российской Федерации приложение к закону о республиканском бюджете на очередной финансовый год и плановый период
Единый
сельскохозяйственный
налог
Налоговая база (отчет 5-ЕСХН) Управление Федеральной налоговой службы России по Карачаево-Черкесской Республике
Налог на имущество физических лиц Налоговая база (отчет 5-МН) Управление Федеральной налоговой службы России по Карачаево-Черкесской Республике
Земельный налог Налоговая база (отчет 5-МН) Управление Федеральной налоговой службы России по Карачаево-Черкесской Республике

Налоговые базы по налогам, входящим в репрезентативную систему, на основании документальных подтверждений Управления Федеральной налоговой службы по Карачаево-Черкесской Республике могут корректироваться в связи с перерегистрацией в текущем году крупных налогоплательщиков в другое поселение, снижением налоговой базы по налогоплательщику более чем на 50%, а также в связи с образованием (объединением действующих) новых муниципальных районов (городских округов) и выведением из состава муниципальных районов (городских округов) территорий поселений (части поселений), входящих в их состав.

Налоговый потенциал поселения рассчитывается по каждому отдельному налогу по единым ставкам без учета потерь от дополнительных льгот, предоставленных представительными органами поселений.

Прогноз поступлений по каждому виду репрезентативных налогов рассчитывается в соответствии с Методикой формирования прогноза доходов консолидированного бюджета Карачаево-Черкесской Республики.

Оценка налогового потенциала по видам налогов по поселению производится исходя из предположения одинаковой собираемости налога с налоговой базы в среднем по республике или средней репрезентативной налоговой ставке.

9. Средняя репрезентативная налоговая ставка рассчитывается как отношение между прогнозируемыми налоговыми поступлениями и налоговой базой данного налога по формуле:

,

где:

PCj - средняя репрезентативная налоговая ставка по i-му налогу;

ПДj - прогноз доходов по i-му налогу в консолидированный бюджет Карачаево-Черкесской Республики;

НБj - суммарная по республике налоговая база i-го налога всех поселений.

10. Расчет налогового потенциала по j-му поселению по i-му репрезентативному налогу производится путем умножения налоговой базы по i-му налогу на среднюю репрезентативную налоговую ставку и норматив отчислений в бюджет поселения по формуле:

,

где:

НПij - налоговый потенциал j-го поселения по i-му виду репрезентативного налога;

Hopмi - норматив отчислений в бюджет поселения по i-му налогу в соответствии с нормами Бюджетного кодекса Российской Федерации.

11. В конечном итоге формула для расчета налогового потенциала поселения по каждому репрезентативному налогу будет иметь вид:

,

Налоговый потенциал поселения равен сумме потенциалов по отдельным налогам и определяется по формуле:

,

где:

НПj - сумма налоговых потенциалов по видам налогов по j-му поселению.

Рассчитанный налоговый потенциал не является прогнозируемой оценкой налоговых доходов поселения и используется только для расчета индекса доходного потенциала и сравнения бюджетной обеспеченности поселения в расчете на душу населения или в абсолютном размере в целях межбюджетного регулирования.

12. Расчет индекса бюджетных расходов поселений.

Для оценки относительных различий в расходных обязательствах поселений используется репрезентативная система расходных обязательств, которая включает основные виды расходных обязательств, связанные с решением вопросов местного значения поселений. Указанные вопросы местного значения перечислены в таблице 2 настоящего приложения.

Индекс бюджетных расходов поселений рассчитывается по следующей формуле:

,

где:

ИБРj - индекс бюджетных расходов поселений;

Ei - знак суммирования;

ai - доля i-го вида расходных обязательств, входящего в состав репрезентативной системы расходов бюджетов поселений, согласно таблице 2;

ИБРji - индекс бюджетных расходов j-го поселения по i-му виду расходов репрезентативной системы расходных обязательств.

Индекс бюджетных расходов поселения по отдельному виду расходных обязательств рассчитывается по следующей формуле:

,

где

ИБРji - индекс бюджетных расходов j-го поселения по i-му виду расходных обязательств;

Пji - численность потребителей бюджетных услуг j-го поселения по i-му виду расходных обязательств, входящему в состав репрезентативной системы расходных обязательств согласно таблице 2 настоящего приложения;

K1ji... Knji - коэффициенты удорожания стоимости предоставления бюджетных услуг, отражающие факторы, влияющие на стоимость предоставляемых бюджетных услуг по i-му виду расходов репрезентативной системы расходных обязательств в расчете на одного жителя в j-м поселении;

Нj - численность населения j-го поселения, входящего в состав данного муниципального района;

Еj - знак суммирования.

Для оценки относительных различий в расходных потребностях численность потребителей бюджетных услуг каждого поселения по видам расходных обязательств репрезентативной системы расходных обязательств корректируется на коэффициенты, отражающие социально-экономические, географические и иные объективные факторы, влияющие на стоимость предоставления одного и того же объема бюджетных услуг в расчете на одного жителя.

В настоящей Методике применяются следующие коэффициенты удорожания:

1) коэффициент масштаба:

,

где:

КМj - коэффициент масштаба в j-м поселении;

Нj - численность населения j-го поселения;

Нср - средняя численность населения поселений, входящих в состав территории данного муниципального района;

2) коэффициент уровня урбанизации:

,

где:

КУj - коэффициент уровня урбанизации j го поселения;

УВГj - удельный вес городского населения j го поселения;

3) коэффициент стоимости предоставления жилищно-коммунальных услуг населению:

,

КЖКУj - коэффициент стоимости предоставления жилищно-коммунальных услуг населению j-го поселения;

СЖКУj - региональный стандарт предельной стоимости предоставления жилищно-коммунальных услуг на один квадратный метр общей площади жилья в месяц в j-м поселении в планируемом году;

СЖКУ - федеральный стандарт предельной стоимости предоставления жилищно-коммунальных услуг на один квадратный метр общей площади жилья в месяц в Карачаево-Черкесской Республике в планируемом году.

4) коэффициент стоимости предоставления коммунальных услуг бюджетным учреждениям:

,

где:

ККУj - коэффициент стоимости предоставления коммунальных услуг бюджетным учреждениям в j-м поселении;

Тводj - тариф на водоснабжение для бюджетных учреждений, рекомендуемый для j-го поселения;

Твод - тариф на водоснабжение для бюджетных учреждений, рекомендуемый для соответствующего муниципального района;

Ттеплj - тариф на теплоснабжение для бюджетных учреждений, рекомендуемый для j-го поселения;

Ттепл - тариф на теплоснабжение для бюджетных учреждений, рекомендуемый для соответствующего муниципального района;

Тэлектрj - тариф на электроэнергию для бюджетных учреждений, рекомендуемый для j-го поселения;

Тэлектр - тариф на электроэнергию для бюджетных учреждений, рекомендуемый для соответствующего муниципального района.

Перечень вопросов местного значения поселений, определяющих структуру репрезентативной системы расходных обязательств, а также перечень показателей, определяющих потребителей бюджетных услуг и применяемые к ним коэффициенты удорожания, приведены в таблице 2 настоящего приложения.

Таблица 2

ВОПРОСЫ МЕСТНОГО ЗНАЧЕНИЯ, ОПРЕДЕЛЯЮЩИЕ СТРУКТУРУ РЕПРЕЗЕНТАТИВНОЙ СИСТЕМЫ РАСХОДНЫХ ОБЯЗАТЕЛЬСТВ БЮДЖЕТОВ ПОСЕЛЕНИЙ И ПОКАЗАТЕЛИ ДЛЯ РАСЧЕТА ИХ ИНДЕКСА БЮДЖЕТНЫХ РАСХОДОВ

Вопросы местного значения Показатель, характеризующий потребителей бюджетных услуг Источник информации Применяемый коэффициент удорожания
1 2 3 4
Формирование, утверждение, исполнение бюджета поселения и контроль за исполнением данного бюджета Численность населения поселения Органы статистики Коэффициент масштаба, КМ
Организация в границах поселения электро-, тепло-, газо- и водоснабжения населения, водоотведения, снабжения населения топливом Численность населения поселения Органы статистики Коэффициент уровня урбанизации, КУ; коэффициент стоимости предоставления жилищно-коммунальных услуг населению, КЖКУ
Организация библиотечного обслуживания населения Численность населения поселения Органы статистики Коэффициент масштаба, КМ; коэффициент стоимости предоставления коммунальных услуг бюджетным учреждениям, ККУ
Создание условий для организации досуга и обеспечения жителей поселения услугами организаций культуры Численность населения поселения Органы статистики Коэффициент масштаба, КМ; коэффициент стоимости предоставления коммунальных услуг бюджетным учреждениям, ККУ
Обеспечение условий для развития на территории поселения массовой физической культуры и спорта Численность населения поселения Органы статистики Коэффициент масштаба, КМ; Коэффициент уровня урбанизации, КУ
Организация благоустройства и озеленения территории поселения,
использования и охраны городских лесов, расположенных в границах населенных пунктов поселения
Численность населения поселения Органы статистики Коэффициент масштаба, КМ; Коэффициент уровня урбанизации, КУ
Организация освещения улиц и установки указателей с названиями улиц и номерами домов Численность населения поселения Органы статистики Коэффициент уровня урбанизации, КУ
Иные вопросы местного значения поселений Численность населения поселения Органы статистики Коэффициент уровня урбанизации, КУ

Рассчитанные оценки индекса бюджетных расходов не являются планируемыми или рекомендуемыми показателями, определяющими расходы бюджетов поселений, и используются только для расчета бюджетной обеспеченности поселений в целях межбюджетного регулирования.

Приложение 4
к Закону
Карачаево-Черкесской Республики
"О межбюджетных отношениях
в Карачаево-Черкесской Республике"

МЕТОДИКА РАСЧЕТА СУБСИДИЙ ИЗ БЮДЖЕТОВ МУНИЦИПАЛЬНЫХ РАЙОНОВ (ГОРОДСКИХ ОКРУГОВ) В РЕСПУБЛИКАНСКИЙ БЮДЖЕТ КАРАЧАЕВО-ЧЕРКЕССКОЙ РЕСПУБЛИКИ

1. Размер субсидии из бюджета муниципального района (городского округа) в республиканский бюджет рассчитывается по следующей формуле:

,

где:

СПj - размер субсидии из бюджета муниципального района (городского округа) в республиканский бюджет;

ПРНДj - подушевые налоговые расчетные доходы j-го муниципального района (городского округа) в последнем отчетном году;

ПУ - пороговый уровень подушевых расчетных налоговых доходов;

Нj- численность населения j-го муниципального района (городского округа);

К1 - коэффициент изъятия, устанавливается в соответствии с требованиями Бюджетного кодекса Российской Федерации;

ИБРj - индекс бюджетных расходов j-го муниципального района (городского округа).

2. Индекс бюджетных расходов рассчитывается в соответствии с Методикой расчета дотаций из республиканского фонда финансовой поддержки муниципальных районов (городских округов) согласно приложению 2 к настоящему Закону.

Величина подушевых расчетных налоговых доходов и величина порогового уровня подушевых расчетных налоговых доходов рассчитываются по следующим формулам:

;

,

где:

ПРНДj - подушевые налоговые расчетные доходы j-го муниципального района (городского округа) в последнем отчетном году;

ФНД - фактические налоговые доходы всех муниципальных районов (городских округов) в последнем отчетном году, рассчитанные с применением нормативов отчислений в бюджеты муниципальных районов (городских округов), установленных в соответствии с требованиями Бюджетного кодекса Российской Федерации;

Н - численность населения Карачаево-Черкесской Республики;

БОj - бюджетная обеспеченность j-го муниципального района (городского округа) (рассчитывается в соответствии с Методикой расчета дотаций из республиканского фонда финансовой поддержки муниципальных районов (городских округов) согласно приложению 2 к настоящему Закону);

К2 - коэффициент превышения среднего уровня подушевых расчетных налоговых доходов муниципальных районов (городских округов), устанавливается в соответствии с требованиями Бюджетного кодекса Российской Федерации;

ПУ - пороговый уровень подушевых расчетных налоговых доходов муниципальных районов (городских округов).

Приложение 5
к Закону
Карачаево-Черкесской Республики
"О межбюджетных отношениях
в Карачаево-Черкесской Республике"

МЕТОДИКА РАСЧЕТА СУБСИДИЙ ИЗ БЮДЖЕТОВ ПОСЕЛЕНИЙ В РЕСПУБЛИКАНСКИЙ БЮДЖЕТ КАРАЧАЕВО-ЧЕРКЕССКОЙ РЕСПУБЛИКИ

1. Размер субсидий из бюджета поселения в республиканский бюджет рассчитывается по следующей формуле:

,

где:

СПj - размер субсидии из бюджета j-го поселения в республиканский бюджет;

ПРНДj - подушевые налоговые расчетные доходы j-го поселения в последнем отчетном году;

ПУ - пороговый уровень подушевых расчетных налоговых доходов поселений;

Hj - численность населения j-го поселения;

- коэффициент изъятия, устанавливается в соответствии с требованиями Бюджетного кодекса Российской Федерации.

2. Величина подушевых расчетных налоговых доходов и величина порогового уровня подушевых расчетных налоговых доходов рассчитываются по следующим формулам:

;

,

где:

ПРНДj - подушевые налоговые расчетные доходы j-го поселения в последнем отчетном году;

ФНД - фактические налоговые доходы всех поселений в последнем отчетном году;

H - численность населения Карачаево-Черкесской Республики;

ИНПj - индекс налогового потенциала j-го поселения (рассчитывается в соответствии с Методикой расчета дотаций на выравнивание бюджетной обеспеченности поселений согласно приложению 3 к настоящему Закону);

ПУ - пороговый уровень подушевых расчетных налоговых доходов поселений;

К2 - коэффициент превышения среднего уровня подушевых расчетных налоговых доходов поселений, - устанавливается в соответствии с требованиями Бюджетного кодекса Российской Федерации.

Приложение 6
к Закону
Карачаево-Черкесской Республики
"О межбюджетных отношениях
в Карачаево-Черкесской Республике"

МЕТОДИКА РАСЧЕТА ДОТАЦИЙ ИЗ БЮДЖЕТОВ МУНИЦИПАЛЬНЫХ РАЙОНОВ НА ВЫРАВНИВАНИЕ БЮДЖЕТНОЙ ОБЕСПЕЧЕННОСТИ ПОСЕЛЕНИЙ КАРАЧАЕВО-ЧЕРКЕССКОЙ РЕСПУБЛИКИ

Методика расчета дотаций из бюджетов муниципальных районов на выравнивание бюджетной обеспеченности поселений (далее - Методика) включает следующие этапы:

1) расчет бюджетной обеспеченности поселений, входящих в состав муниципального района;

2) расчет распределения дотаций из бюджетов муниципальных районов на выравнивание бюджетной обеспеченности поселений.

1. Основные понятия и определения, используемые в настоящей Методике.

Бюджетная обеспеченность поселения - отношение индекса доходного потенциала к индексу бюджетных расходов поселения;

индекс налогового потенциала поселения - отношение налогового потенциала поселения в расчете на одного жителя к аналогичному показателю в среднем по поселениям, входящим в состав данного муниципального района;

налоговый потенциал поселения - оценка налоговых доходов, которые могут быть получены бюджетом поселения исходя из уровня развития и структуры экономики и (или) налоговой базы из налоговых источников, закрепленных за этим поселением.

Индекс бюджетных расходов поселения показывает, на сколько больше (меньше) средств бюджета поселения, в расчете на душу населения, по сравнению со средним по всем поселениям муниципального района уровнем, необходимо затратить для осуществления полномочий по решению вопросов местного значения поселения с учетом специфики социально-демографического состава обслуживаемого населения и иных объективных факторов, влияющих на стоимость предоставляемых бюджетных услуг в расчете на одного жителя.

2. Расчет дотаций из бюджетов муниципальных районов на выравнивание бюджетной обеспеченности поселений.

Дотация на выравнивание бюджетной обеспеченности поселений распределяется по отдельности между городскими и сельскими поселениями, уровень бюджетной обеспеченности которых не превышает уровень бюджетной обеспеченности, соответствующий среднему уровню расходных обязательств городских и сельских поселений в планируемом году.

1) Расчет размера дотаций на выравнивание уровня бюджетной обеспеченности поселений производится по следующей формуле:

,

где:

ДОТj - размер дотации j-му поселению на выравнивание бюджетной обеспеченности поселения;

ДБОПмр - общий объем дотаций на выравнивание бюджетной обеспеченности поселений в данном муниципальном районе;

Tj - объем средств, необходимый для доведения бюджетной обеспеченности j-го поселения до уровня, соответствующего среднему уровню расходных обязательств поселений в планируемом году;

Т - суммарный объем средств, необходимый для доведения бюджетной обеспеченности поселений, входящих в состав данного муниципального района, до уровня, соответствующего среднему уровню расходных обязательств поселений в планируемом году.

2) Объем средств, необходимый для доведения уровня бюджетной обеспеченности поселения до уровня, соответствующего среднему уровню расходных обязательств поселений в планируемом году, рассчитывается по следующей формуле:

,

где:

Tj - объем средств, необходимый для доведения уровня бюджетной обеспеченности j-го поселения до уровня, соответствующего среднему уровню расходных обязательств поселений в планируемом году;

ПДпмр - прогноз налоговых доходов бюджетов поселений, входящих в состав данного муниципального района, в планируемом году;

Н - численность населения данного муниципального района;

БОпмр - уровень бюджетной обеспеченности поселений, входящих в состав данного муниципального района, который принимается в качестве критерия выравнивания;

БOj - бюджетная обеспеченность j-го поселения;

ИБРj - индекс бюджетных расходов j-го поселения;

Нj - численность населения j-го поселения.

3) Уровень бюджетной обеспеченности поселений, входящих в состав данного муниципального района, который принимается в качестве критерия выравнивания, рассчитывается по следующей формуле:

,

БОпмр - уровень бюджетной обеспеченности поселений, входящих в состав данного муниципального района, который принимается в качестве критерия выравнивания;

СПДП - средние подушевые доходы поселений за счет налоговых и неналоговых доходов, дотаций поселениям, входящим в состав муниципального района, из республиканского и местного бюджетов;

СПНалДП - средние подушевые налоговые доходы поселений.

4) Бюджетная обеспеченность поселения рассчитывается по следующей формуле:

,

где:

БOj - бюджетная обеспеченность j-го поселения;

ИНПj - индекс налогового потенциала j-го поселения;

НБPj - индекс бюджетных расходов j-го поселения.

5) Индекс налогового потенциала поселения рассчитывается по следующей формуле:

,

ИНПj - индекс налогового потенциала j-ого поселения;

НПj - налоговый потенциал j-ого поселения, входящего в состав данного муниципального района;

Hacj - численность населения j-ого поселения, входящего в состав данного муниципального района;

НП - суммарный налоговый потенциал всех поселений, входящих в состав данного муниципального района;

Нас - суммарная численность населения муниципального района Карачаево-Черкесской Республики.

6) Расчет налогового потенциала городского, сельского поселения производится по репрезентативной системе налогов в разрезе отдельных видов налогов исходя из базы налогообложения городского, сельского поселения, прогноза поступления данного налога с территории всех городских, сельских поселений в консолидированный бюджет Карачаево-Черкесской Республики, а также нормативов отчислений от налогов в бюджеты городских, сельских поселений соответственно. Репрезентативная система налогов включает основные налоги, зачисляемые в бюджеты поселений в соответствии с Бюджетным кодексом Российской Федерации и настоящим Законом.

7) К основным видам репрезентативных налогов городских поселений в настоящей Методике относятся:

а) налог на доходы физических лиц;

б) доходы от уплаты акцизов на нефтепродукты;

в) налог на имущество физических лиц;

г) единый сельскохозяйственный налог;

д) земельный налог.

8) К основным видам репрезентативных налогов сельских поселений в настоящей Методике относятся:

а) налог на доходы физических лиц;

б) налог на имущество физических лиц;

в) единый сельскохозяйственный налог;

г) земельный налог.

Для оценки налогового потенциала по указанным репрезентативным налогам используются показатели, от которых данный налог имеет высокую степень зависимости.

Таблица 1

СОСТАВ РЕПРЕЗЕНТАТИВНОЙ СИСТЕМЫ НАЛОГОВ ДЛЯ ОЦЕНКИ НАЛОГОВОГО ПОТЕНЦИАЛА ПОСЕЛЕНИЙ

Наименование налога Показатель, характеризующий налоговый потенциал Источник информации
Налог на доходы физических лиц Сумма начисленного дохода (отчет 7-НДФЛ) Управление Федеральной налоговой службы России по Карачаево-Черкесской Республике
Доходы от уплаты акцизов на нефтепродукты Норматив распределения доходов от уплаты акцизов на автомобильный бензин, прямогонный бензин, дизельное топливо, моторные масла для дизельных и (или) карбюраторных (инжекторных) двигателей, производимые на территории Российской Федерации приложение к закону о республиканском бюджете на очередной финансовый год и плановый период
Единый сельскохозяйственный налог Налоговая база (отчет 5-ЕСХН) Управление Федеральной налоговой службы России по Карачаево-Черкесской Республике
Налог на имущество физических лиц Налоговая база (отчет 5-МН) Управление Федеральной налоговой службы России по Карачаево-Черкесской Республике
Земельный налог Налоговая база (отчет 5-МН) Управление Федеральной налоговой службы России по Карачаево-Черкесской Республике

Налоговые базы по налогам, входящим в репрезентативную систему, на основании документальных подтверждений Управления Федеральной налоговой службы по Карачаево-Черкесской Республике могут корректироваться в связи с перерегистрацией в текущем году крупных налогоплательщиков в другое поселение, снижением налоговой базы по налогоплательщику более чем на 50%, а также в связи с образованием (объединением действующих) новых муниципальных районов (городских округов) и выведением из состава муниципальных районов (городских округов) территорий поселений (части поселений), входящих в их состав.

Налоговый потенциал поселения рассчитывается по каждому отдельному налогу по единым ставкам без учета потерь от дополнительных льгот, предоставленных представительными органами поселений.

Прогноз поступлений по каждому виду репрезентативных налогов рассчитывается в соответствии с Методикой формирования прогноза доходов консолидированного бюджета Карачаево-Черкесской Республики.

Оценка налогового потенциала по видам налогов по поселению производится исходя из предположения одинаковой собираемости налога с налоговой базы в среднем по муниципальному району республики или средней репрезентативной налоговой ставке.

7) Средняя репрезентативная налоговая ставка рассчитывается как отношение между прогнозируемыми налоговыми поступлениями и налоговой базой данного налога по формуле:

,

где:

PCi - средняя репрезентативная налоговая ставка по i-му налогу;

ПДi - прогноз доходов по i-му налогу с территории всех поселений данного муниципального района в консолидированный бюджет Карачаево-Черкесской Республики;

НБi - суммарная по республике налоговая база i-го налога всех поселений данного муниципального района.

8) Расчет налогового потенциала по j-му поселению по i-му репрезентативному налогу производится путем умножения налоговой базы по i-му налогу на среднюю репрезентативную налоговую ставку и норматив отчислений в бюджет поселения по формуле:

,

где:

НПij - налоговый потенциал j-го поселения по i-му виду репрезентативного налога;

Hopмi - норматив отчислений в бюджет поселения по i-му налогу в соответствии с нормами Бюджетного кодекса Российской Федерации.

9) В конечном итоге формула для расчета налогового потенциала поселения по каждому репрезентативному налогу будет иметь вид:

,

10) Налоговый потенциал поселения равен сумме потенциалов по отдельным налогам и определяется по формуле:

,

где:

НПj - сумма налоговых потенциалов по видам налогов по j-му поселению.

Рассчитанный налоговый потенциал не является прогнозируемой оценкой налоговых доходов поселения и используется только для расчета индекса доходного потенциала и сравнения бюджетной обеспеченности поселения в расчете на душу населения или в абсолютном размере в целях межбюджетного регулирования.

11) Расчет индекса бюджетных расходов поселений Для оценки относительных различий в расходных обязательствах поселений используется репрезентативная система расходных обязательств, которая включает основные виды расходных обязательств, связанные с решением вопросов местного значения поселений. Указанные вопросы местного значения перечислены в таблице 2 настоящего приложения.

Индекс бюджетных расходов поселений рассчитывается по следующей формуле:

,

где:

ИБРj - индекс бюджетных расходов поселений;

Ei - знак суммирования;

ai - доля i-го вида расходных обязательств, входящего в состав репрезентативной системы расходов бюджетов поселений, согласно таблице 2;

ИБРji - индекс бюджетных расходов j-го поселения по i-му виду расходов репрезентативной системы расходных обязательств.

Индекс бюджетных расходов поселения по отдельному виду расходных обязательств рассчитывается по следующей формуле:

,

где:

ИБРji - индекс бюджетных расходов j-го поселения по i-му виду расходных обязательств;

Пji - численность потребителей бюджетных услуг j-го поселения по i-му виду расходных обязательств, входящему в состав репрезентативной системы расходных обязательств согласно таблице 2 настоящего приложения;

K1ji... Knji - коэффициенты удорожания стоимости предоставления бюджетных услуг, отражающие факторы, влияющие на стоимость предоставляемых бюджетных услуг по i-му виду расходов репрезентативной системы расходных обязательств в расчете на одного жителя в j-м поселении;

Hj - численность населения j-го поселения, входящего в состав данного муниципального района;

Еj - знак суммирования.

Для оценки относительных различий в расходных потребностях численность потребителей бюджетных услуг каждого поселения по видам расходных обязательств репрезентативной системы расходных обязательств корректируется на коэффициенты, отражающие социально-экономические географические и иные объективные факторы, влияющие на стоимость предоставления одного и того же объема бюджетных услуг в расчете на одного жителя.

В настоящей Методике применяются следующие коэффициенты удорожания:

1) коэффициент масштаба:

,

где:

КМj - коэффициент масштаба в j-м поселении;

Нj - численность населения j-го поселения;

Нср - средняя численность населения поселений, входящих в состав территории данного муниципального района;

2) коэффициент уровня урбанизации:

,

где:

КУj - коэффициент уровня урбанизации j-го поселения;

УВГj - удельный вес городского населения j-го поселения;

3) коэффициент стоимости предоставления жилищно-коммунальных услуг населению:

,

где:

КЖКУj - коэффициент стоимости предоставления жилищно-коммунальных услуг населению j-го поселения;

СЖКУj - региональный стандарт предельной стоимости предоставления жилищно-коммунальных услуг на один квадратный метр общей площади жилья в месяц в j-м поселении в планируемом году;

СЖКУ - федеральный стандарт предельной стоимости предоставления жилищно-коммунальных услуг на один квадратный метр общей площади жилья в месяц в Карачаево-Черкесской Республике в планируемом году.

4) коэффициент стоимости предоставления коммунальных услуг бюджетным учреждениям:

,

где:

ККУj - коэффициент стоимости предоставления коммунальных услуг бюджетным учреждениям в j-м поселении;

Тводj - тариф на водоснабжение для бюджетных учреждений, рекомендуемый для j-го поселения;

Твод - тариф на водоснабжение для бюджетных учреждений, рекомендуемый для соответствующего муниципального района;

Ттеплj - тариф на теплоснабжение для бюджетных учреждений, рекомендуемый для j-го поселения;

Ттепл - тариф на теплоснабжение для бюджетных учреждений, рекомендуемый для соответствующего муниципального района;

Тэлектрj - тариф на электроэнергию для бюджетных учреждений, рекомендуемый для j-го поселения;

Тэлектр - тариф на электроэнергию для бюджетных учреждений, рекомендуемый для соответствующего муниципального района.

Перечень вопросов местного значения поселений, определяющих структуру репрезентативной системы расходных обязательств, а также перечень показателей, определяющих потребителей бюджетных услуг и применяемые к ним коэффициенты удорожания, приведены в таблице 2 настоящего приложения.

Таблица 2

ВОПРОСЫ МЕСТНОГО ЗНАЧЕНИЯ, ОПРЕДЕЛЯЮЩИЕ СТРУКТУРУ РЕПРЕЗЕНТАТИВНОЙ СИСТЕМЫ РАСХОДНЫХ ОБЯЗАТЕЛЬСТВ БЮДЖЕТОВ ПОСЕЛЕНИЙ И ПОКАЗАТЕЛИ ДЛЯ РАСЧЕТА ИХ ИНДЕКСА БЮДЖЕТНЫХ РАСХОДОВ

Вопросы местного значения Показатель, характеризующий потребителей бюджетных услуг Источник информации Применяемый коэффициент удорожания
1 2 3 4
Формирование, утверждение, исполнение бюджета поселения и контроль за исполнением данного бюджета Численность населения поселений Органы статистики Коэффициент масштаба, КМ
Организация в границах поселения электро-, тепло-, газо- и водоснабжения населения, водоотведения, снабжения населения топливом Численность населения поселений Органы статистики коэффициент уровня урбанизации, КУ; коэффициент стоимости предоставления жилищно-коммунальных услуг населению, КЖКУ
Организация библиотечного обслуживания населения Численность населения поселений Органы статистики Коэффициент масштаба, КМ; коэффициент стоимости предоставления коммунальных услуг бюджетным учреждениям, ККУ
Создание условий для организации досуга и обеспечения жителей Численность населения поселения Органы статистики Коэффициент масштаба, КМ; коэффициент
поселения услугами организаций культуры     стоимости предоставления коммунальных услуг бюджетным учреждениям, ККУ
Обеспечение условий для развития на территории поселения массовой физической культуры и спорта Численность населения поселения Органы статистики Коэффициент масштаба, КМ; Коэффициент уровня урбанизации, КУ
Организация благоустройства и озеленения территории поселения, использования и охраны городских лесов, расположенных в границах населенных пунктов поселения Численность населения поселения Органы статистики Коэффициент масштаба, КМ; Коэффициент уровня урбанизации, КУ
Организация освещения улиц и установки указателей с названиями улиц и номерами домов Численность населения поселения Органы статистики Коэффициент уровня урбанизации, КУ
Иные вопросы местного значения поселений Численность населения поселения Органы статистики Коэффициент уровня урбанизации, КУ

Рассчитанные оценки индекса бюджетных расходов не являются планируемыми или рекомендуемыми показателями, определяющими расходы бюджетов поселений, и используются только для расчета бюджетной обеспеченности поселений в целях межбюджетного регулирования.

Приложение 7
к Закону
Карачаево-Черкесской Республики
"О межбюджетных отношениях
в Карачаево-Черкесской Республике"

МЕТОДИКА РАСЧЕТА ПРОГНОЗА ДОХОДОВ КОНСОЛИДИРОВАННОГО БЮДЖЕТА КАРАЧАЕВО-ЧЕРКЕССКОЙ РЕСПУБЛИКИ

Прогнозирование доходов консолидированного бюджета Карачаево-Черкесской Республики осуществляется на основе прогноза социально-экономического развития Карачаево-Черкесской Республики на очередной финансовый год и плановый период с учетом налогового и бюджетного законодательства, действующего на момент составления проекта бюджета, а также вступающего в силу с начала прогнозируемого года, с учетом:

а) ставок налогов и сборов, установленных на территории республики федеральным и республиканским законодательством на планируемый год;

б) объема налоговых льгот, установленного на текущий финансовый год и планируемый период в соответствии с федеральным и республиканским законодательством;

в) налоговых платежей, уплачиваемых организациями по месту нахождения обособленных подразделений в соответствии с федеральным и республиканским законодательством;

г) регистрации на территории республики, снятия с учета или ликвидации бюджетообразующих организаций, в период составления проекта бюджета либо в планируемом периоде.

Прогнозирование налоговых и неналоговых доходов консолидированного бюджета Карачаево-Черкесской Республики осуществляется в следующем порядке.

Для составления проектов консолидированного и республиканского бюджетов Карачаево-Черкесской Республики на очередной финансовый год и плановый период и представления их с необходимыми документами и материалами для внесения в Народное Собрание (Парламент) Карачаево-Черкесской Республики главные администраторы доходов бюджетов бюджетной системы Карачаево-Черкесской Республики представляют в Министерство финансов Карачаево-Черкесской Республики сведения, необходимые для составления проекта бюджета на очередной финансовый год и плановый период, а именно:

а) расчет ожидаемого поступления по администрируемому виду дохода в текущем финансовом году,

б) прогнозы поступлений на очередной финансовый год и плановый период с приложением методик и подробных расчетов,

в) документальные подтверждения изменений в базовых показателях, оказывающие влияние на уменьшение и увеличение прогнозов доходов относительно фактических и ожидаемых оценок,

г) иные необходимые сведения.

Министерство финансов Карачаево-Черкесской Республики проводит анализ представленных главными администраторами расчетов на их соответствие утвержденным методикам прогнозирования доходов, нормам бюджетного и налогового законодательства, основным направлениям налоговой и бюджетной политики, прогнозу социально-экономического развития республики, объективности прогнозных оценок и делает выводы о целесообразности использования представленных сведений для составления проекта бюджета на очередной финансовый год и плановый период. В случае занижения или непредставления прогнозов главными администраторами доходов бюджета Карачаево-Черкесской Республики для формирования прогноза налоговых и неналоговых доходов бюджета республики на очередной финансовый год и плановый период Министерство финансов Карачаево-Черкесской Республики может корректировать представленные данные и использовать альтернативные варианты расчетов по отдельным видам доходов. При этом главные администраторы соответствующих видов доходов республиканского бюджета в очередном финансовом году для составления показателей кассового плана исполнения республиканского бюджета обязаны использовать объемы доходов, утвержденные законом о бюджете на очередной финансовый год и плановый период.

Приложение 8
к Закону
Карачаево-Черкесской Республики
"О межбюджетных отношениях в
Карачаево-Черкесской Республике"

МЕТОДИКА РАСЧЕТА ДИФФЕРЕНЦИРОВАННЫХ НОРМАТИВОВ ОТЧИСЛЕНИЙ В БЮДЖЕТЫ МУНИЦИПАЛЬНЫХ РАЙОНОВ И ГОРОДСКИХ ОКРУГОВ ОТ НАЛОГА, ВЗИМАЕМОГО В СВЯЗИ С ПРИМЕНЕНИЕМ УПРОЩЕННОЙ СИСТЕМЫ НАЛОГООБЛОЖЕНИЯ

(в ред. Закона Карачаево-Черкесской Республики от 30.11.2020 N 80-РЗ)

Методика расчета дифференцированных нормативов отчислений в бюджеты муниципальных районов и городских округов от налога, взимаемого в связи с применением упрощенной системы налогообложения (далее УСН), устанавливает механизм компенсации выпадающих доходов муниципальных районов и городских округов в связи с отменой единого налога на вмененный доход (далее ЕНВД) с 1 января 2021 года.

При расчете указанных дифференцированных нормативов отчислений учитываются показатели налоговой отчетности, представленные Управлением ФНС по Карачаево-Черкесской Республике.

1. Дифференцированные нормативы отчислений в муниципальный район (городской округ) от налога, взимаемого в связи с применением УСН, рассчитываются по следующей формуле:

- объем выпадающих доходов по налогу, взимаемому в связи с применением системы налогообложения в виде ЕНВД, бюджета муниципального района (городского округа);

- объем прогнозируемых поступлений по налогу, взимаемому в связи с применением системы налогообложения в виде УСН, с территории муниципального района (городского округа).

Дифференцированные нормативы отчислений устанавливаются в процентах с точностью до 1 знака после запятой.

2. Объем выпадающих доходов по налогу, взимаемому в связи с применением системы налогообложения в виде ЕНВД, бюджета муниципального района (городского округа) рассчитывается по следующей формуле:

где - прогноз объема выпадающих доходов в очередном финансовом году от налога, взимаемого в связи с применением системы налогообложения в виде ЕНВД, в консолидированный бюджет Карачаево-Черкесской Республики, по данным Управления ФНС по Карачаево-Черкесской Республике;

- Сумма налога подлежащая уплате в бюджет муниципального района (городского округа) в соответствии с отчетом Управления ФНС по Карачаево-Черкесской Республике но форме N 5-ЕНВД за 2019 год;

- консолидирующая сумма налога, подлежащая уплате с территории всех муниципальных районов (городских округов) в соответствии с отчетом Управления ФНС по Карачаево-Черкесской Республике по форме N 5-ЕНВД ла 2019 год.

3. Прогноз объема выпадающих доходов на 2021 год рассчитывается с учетом уплаты ЕНВД за 4 квартал 2020 года в 1 квартале 2021 года по следующей формуле:

где - оценка поступлений по налогу, взимаемому в связи с применением системы налогообложения в виде ЕНВД, на 2020 год по данным Управления ФНС по Карачаево-Черкесской Республике;

- прогнозируемые поступления по налогу, взимаемому в связи с применением системы налогообложения в виде ЕНВД, за 4 квартал 2020 года по данным Управления ФНС по Карачаево-Черкесской Республике;

- прогнозируемые поступления на планируемый финансовый год по надо; у, взимаемому в связи с применением патентной системы налогообложения (далее ПСН) от налогоплательщиков, перешедших с системы налогообложения в виде ЕНВД на систему налогообложения в виде ПСН, по данным Управления ФНС по Карачаево-Черкесской Республике.

Прогноз объема выпадающих доходов на 2022 и последующие годы рассчитывается по следующей формуле:

где - оценка поступлений по налогу, взимаемому в связи с применением системы налогообложения в виде ЕНВД, на 2020 год по данным Управления ФНС по Карачаево-Черкесской Республике;

- прогнозируемые поступления на планируемый финансовый год по налогу, взимаемому в связи с применением ПСН от налогоплательщиков, перешедших с системы налогообложения в виде ЕНВД на систему налогообложения в виде ПСН, по данным Управления ФНС по Карачаево- Черкесской Республике.

4. Объем прогнозируемых поступлений по налогу, взимаемому в связи с применением системы налогообложения в виде УСН, с территории муниципального района (городского округа) рассчитывается по следующей формуле:

где - прогнозируемый объем поступлений на очередной финансовый год по налогу, взимаемому в связи с применением УСН в консолидированный бюджет Карачаево-Черкесской Республики, по расчетным данным Управления ФНС по Карачаево-Черкесской Республике;

- сумма налога- подлежащая уплате за налоговый период с территории муниципального района (городского округа) в консолидированный бюджет Карачаево-Черкесской Республики в соответствии с отчетом Управления ФНС по Карачаево-Черкесской Республике по форме N 5-УСН за 2019 год;

- консолидированная сумма налога, подлежащая уплате с территории всех муниципальных районов (городских округов) в соответствии с отчетом Управления ФНС по Карачаево-Черкесской Республике по форме N 5-УСН за 2019 год.