Приказ ФТС РФ от 14.03.2005 N 191

"Об утверждении Программы совершенствования морской службы таможенных органов и авиации Федеральной таможенной службы на 2005-2007 годы"
Редакция от 14.03.2005 — Действует

ФЕДЕРАЛЬНАЯ ТАМОЖЕННАЯ СЛУЖБА

ПРИКАЗ
от 14 марта 2005 г.N 191

ОБ УТВЕРЖДЕНИИ ПРОГРАММЫ СОВЕРШЕНСТВОВАНИЯ МОРСКОЙ СЛУЖБЫ ТАМОЖЕННЫХ ОРГАНОВ И АВИАЦИИ ФЕДЕРАЛЬНОЙ ТАМОЖЕННОЙ СЛУЖБЫ НА 2005-2007 ГОДЫ

Во исполнение решения коллегии ФТС России от 17 февраля 2005 года "Об итогах работы таможенных органов Российской Федерации в 2004 году и задачах на 2005 год" приказываю:

1. Утвердить прилагаемую программу совершенствования морской службы таможенных органов и авиации Федеральной таможенной службы на 2005-2007 годы (далее - Программа).

2. Управлению организации силового обеспечения (Е.В. Жарков) совместно со структурными подразделениями ФТС России, региональными таможенными управлениями обеспечить:

а) организацию работы по безусловному выполнению Программы;

б) ежеквартальное представление руководству ФТС России отчетов о ходе и итогах выполнении Программы.

3. Заместителю руководителя ФТС России Н.А. Волобуеву осуществлять контроль за исполнением настоящего приказа.

Руководитель
генерал-полковник
таможенной службы
А.Е.ЖЕРИХОВ

Приложение
к приказу ФТС России
от 14.03.2005 N 191

ПРОГРАММА СОВЕРШЕНСТВОВАНИЯ МОРСКОЙ СЛУЖБЫ ТАМОЖЕННЫХ ОРГАНОВ И АВИАЦИИ ФЕДЕРАЛЬНОЙ ТАМОЖЕННОЙ СЛУЖБЫ НА 2005 - 2007 ГОДЫ

I. Введение

Программа совершенствования морской службы и авиации Федеральной таможенной службы на период 2005 - 2007 годы (далее - Программа) разработана для реализации положений Таможенного кодекса Российской Федерации, в том числе в целях повышения эффективности деятельности таможенных органов при проведении таможенного контроля товаров и транспортных средств с использованием морских (речных) и воздушных судов таможенных органов. Программа разработана как дополнение Целевой программы развития таможенной службы Российской Федерации (ЦПРТС) на 2004-2008 годы, в которой не были предусмотрены мероприятия по совершенствованию морской службы и авиации таможенных органов на перспективу и может применяться при планировании деятельности таможенных органов в условиях реструктуризации, федеральных органов исполнительной власти и постоянно меняющегося бюджетного финансирования.

Правовую основу Программы составляют Конституция Российской Федерации, Таможенный кодекс Российской Федерации, постановления Правительства Российской Федерации "Об авиации Государственного таможенного комитета Российской Федерации" и "Об утверждении порядка использования морских (речных) судов таможенных органов Российской Федерации для целей таможенного контроля", нормативные правовые акты Минэкономразвития России и Федеральной таможенной службы.

Программа призвана обеспечить совершенствование таможенного контроля с использованием морских (речных) и воздушных судов таможенных органов Российской Федерации.

В целях оперативного реагирования на внезапно изменяющуюся обстановку в районах между действующими пунктами пропуска товаров и транспортных средств активно используются подразделения Службы силового обеспечения таможенных органов регионов, в том числе морские (речные) и воздушные суда, специальные отряды быстрого реагирования и подразделения таможенной охраны.

Нахождение морского (речного) или воздушного судна таможенного органа, выполняющего оперативно-служебные задачи вне пунктов пропуска, является сдерживающим фактором для потенциальных нарушителей таможенного законодательства.

Практика применения морских (речных) и воздушных судов таможенных органов в рамках специальных операций, оперативно-разыскных и оперативно-поисковых мероприятий в составе мобильных отрядов силовых подразделений таможенных органов подтверждает необходимость не только их наличия, но и дальнейшего совершенствования тактики их использования.

Основные понятия, используемые в Программе:

- судно таможенного органа - морское (речное) или воздушное судно, которое имеет символику таможенных органов Российской Федерации: флаг, эмблему (и вымпел на морских и речных судах), указывающую на его принадлежность к таможенным органам Российской Федерации.

- экипаж судна таможенного органа - подразделение, состоящее из должностных лиц таможенного органа, соблюдающих служебную дисциплину и находящихся под командованием командира судна.

Каждый член экипажа имеет специальную подготовку и соответствующий занимаемой должности сертификат (диплом, квалификационное свидетельство), выдаваемый согласно установленному порядку, а также свидетельство, удостоверяющее его годность к службе на морских (речных) или воздушных судах по состоянию здоровья;

- досмотровая группа - специально уполномоченные должностные лица таможенного органа, непосредственно обеспечивающие соблюдение таможенного законодательства Российской Федерации и международных договоров Российской Федерации, контроль по исполнению которых возложен на таможенные органы Российской Федерации;

- специальный отряд быстрого реагирования - силовое подразделение специального назначения, предназначенное для выполнения служебных и специальных задач по обеспечению деятельности должностных лиц таможенных органов при осуществлении таможенного контроля, их охраны и личной безопасности;

- таможенная территория Российской Федерации - сухопутная территория Российской Федерации, ее внутренние морские воды и территориальное море, российская часть вод пограничных рек и озер, а также воздушное пространство над ними.

Таможенная территория Российской Федерации включает в себя также находящиеся в исключительной экономической зоне Российской Федерации и на континентальном шельфе Российской Федерации искусственные острова, установки и сооружения, над которыми Российская Федерация осуществляет юрисдикцию в соответствии с законодательством Российской Федерации.

Пределы таможенной территории Российской Федерации являются таможенной границей Российской Федерации;

- внутренние морские воды Российской Федерации - воды, расположенные в сторону берега от исходных линий, от которых отмеряется ширина территориального моря Российской Федерации.

Внутренние морские воды являются составной частью территории Российской Федерации;

- территориальное море Российской Федерации - примыкающий к сухопутной территории или к внутренним морским водам морской пояс шириной 12 морских миль, отмеряемых от исходных линий.

Определение территориального моря применяется также ко всем островам Российской Федерации.

Внешняя граница территориального моря является Государственной границей Российской Федерации;

- таможенный контроль - совокупность мер, осуществляемых таможенными органами в целях обеспечения соблюдения таможенного законодательства Российской Федерации;

- таможенное наблюдение - гласное, целенаправленное, систематическое или разовое, непосредственное или опосредованное (с применением технических средств) визуальное наблюдение уполномоченными должностными лицами таможенных органов за перевозкой товаров и транспортных средств, находящихся под таможенным контролем, совершением с ними грузовых и иных операций;

- таможенный досмотр товаров и транспортных средств - осмотр товаров и транспортных средств, связанный со снятием пломб, печатей и иных средств идентификации товаров, вскрытием упаковки товаров или грузового помещения транспортного средства либо емкостей, контейнеров и иных мест, где находятся или могут находиться товары, проводимый уполномоченными должностными лицами таможенного органа;

сопровождение транспортных средств, перевозящих товары в соответствии с внутренним таможенным транзитом, которое осуществляется должностными лицами таможенных органов исключительно в целях обеспечения соблюдения таможенного законодательства Российской Федерации при внутреннем таможенном транзите.

II. Основные направления совершенствования морской службы и авиации таможенных органов

Цель Программы - реализация положений Таможенного кодекса Российской Федерации, оптимизация деятельности морской службы и авиации Федеральной таможенной службы в целях повышения эффективности таможенного контроля в пределах территориального моря, внутренних морских водах, в российской части вод пограничных рек и озер, а также на территории, прилегающей к таможенной границе Российской Федерации.

Задачами Программы являются:

- совершенствование существующей нормативно-правовой базы и разработка новых нормативных правовых документов по деятельности морской службы и авиации, экипажей морских (речных) и воздушных судов таможенных органов Российской Федерации;

- оптимизация организационно-штатной структуры морской службы и авиации, экипажей таможенных судов, укрепление их кадрового потенциала, социальной защищенности;

- оснащение (переоснащение) таможенных органов Российской Федерации современными морскими (речными) и воздушными судами;

- поддержание морских (речных) и воздушных судов таможенных органов в технически исправном состоянии (организация плановых ремонтов техники с выполнением работ по ее модернизации), развитие материально-технической и ремонтной базы, совершенствование инфраструктуры базирования судов;

- повышение эффективности таможенного контроля в территориальном море, во внутренних морских водах, в российской части вод пограничных рек и озер, а также на территории, прилегающей к таможенной границе Российской Федерации;

- совершенствование системы мер, направленных на противодействие контрабанде и иным преступлениям, административным правонарушениям в области таможенного дела вне пунктов пропуска.

Для достижения поставленной цели необходимо повысить эффективность применения морских (речных) и воздушных судов, связанной с наполнением доходной части федерального бюджета.

Основные показатели результатов деятельности таможенных органов с применением морских (речных) и воздушных судов указаны в таблице:

Задача, программа, показатели, мероприятия Единица измерения Отчетный период Плановый период
2002 год 2003 год 2004 год 2005 год 2006 год 2007 год
1 2 3 4 5 6 7 8
Задача. Уменьшение потенциальных угроз государству, вызванных перемещением запрещенных или нелегальных товаров (в т. ч. морских биоресурсов), которые могут нанести вред обществу или подорвать экономику Российской Федерации.
Социально-экономические результаты:
- обеспечение экономической безопасности;
- защита рынка, производителя и стимулирование развития экономики;
- снижение уровня криминализации внешнеторговой деятельности.
Программа. Обеспечение таможенного контроля в объеме, необходимом и достаточном для соблюдения законодательства Российской Федерации.
Показатели конечного результата
Задержано судов-нарушителей (автотранспортных средств) ед. 70 79 107 110 135 146
Предотвращено незаконное перемещение товаров и материальных ценностей млн.руб. 59,789 64,51 26,98 40,5 73,3 90,1
Выявлено и пресечено нарушений таможенного законодательства ед. 118 175 70 100 180 219
Увеличение потока транспортных средств в пунктах пропуска при выполнении таможенного контроля воздушными судами таможенных органов вне пунктов пропуска процент (%) 112 118 120 128 131 134
Мероприятия
Совершенствование законодательной базы морской и авиационной деятельности, приведение ее в соответствие с требованиями Международных конвенций и договоров по вопросам мореплавания, морского законодательства и нормативных правовых документов государственной авиации Российской Федерации;
Оптимизация организационно-штатной структуры морских и авиационных подразделений;
Организация работы с кадрами, повышение уровня подготовки кадров;
Строительство объектов таможенной инфраструктуры;
Проведение среднего ремонта морских (речных) судов и капитально-восстановительного ремонта авиационной техники, закупленной в 1991-1994 годах;
Доведение летно-технических характеристик воздушных судов, выпущенных в 1990 - 1995 годах, до уровня, соответствующего новым международным нормам;
Внедрение системы обслуживания авиационной техники по техническому состоянию;
Модернизация эксплуатируемых морских (речных) судов;
Приобретение новых морских (речных) и воздушных судов;
Централизованная закупка комплектующих агрегатов и оборудования, взамен выработавших назначенный ресурс;

Таким образом, реализация мероприятий Программы позволит повысить эффективность деятельности таможенных органов при проведении таможенного контроля товаров и транспортных средств в пределах территориального моря и внутренних вод Российской Федерации, а также на территории, прилегающей к таможенной границе, с использованием морских (речных) и воздушных судов, обеспечить соблюдение таможенного законодательства Российской Федерации, укрепить кадровый потенциал и повысить социальный статус должностных лиц морских (речных) и авиационных подразделений.

Показатели конечного результата подлежат уточнению при формировании федерального бюджета на содержание таможенных органов на очередной год в зависимости от ассигнований, выделяемых на реализацию Программы.

1. Обоснование применения и совершенствования морских и авиационных подразделений таможенных органов для целей таможенного контроля

В целях оперативного реагирования на складывающуюся обстановку, как на сухопутной таможенной границе между установленных пунктов пропуска, так и в территориальном море, во внутренних морских водах, в российской части вод пограничных рек и озер, а также на территории, прилегающей к таможенной границе Российской Федерации, в системе таможенных органов приказом ГТК России от 30.07.97 N 460 была создана морская служба, а постановлением Правительства Российской Федерации от 08.02.2002 N 87 - авиация ГТК России, разработана Программа создания морских и авиационных подразделений таможенных органов.

В связи с большой протяженностью таможенной границы Российской Федерации (23114,6 км, из них 8605,4 км (37,3%) составляют морские, озерные и речные участки) и ее недостаточной обустроенностью с государствами ближнего зарубежья, возникла объективная необходимость организации противодействия незаконному перемещению товаров и транспортных средств через таможенную границу Российской Федерации вне установленных пунктов пропуска.

Решение данной проблемы нашло отражение в разделе XIV "Федеральной целевой программы развития таможенной службы Российской Федерации на 1996-1997 годы и на период до 2000 года", утвержденной постановлением Правительства Российской Федерации от 01.09.96 N 1052, в котором был определен порядок создания морских и авиационных подразделений, приобретение новой морской и авиационной техники, а также объемы их финансирования.

К концу 2000 года предусматривалось приобрести для таможенных органов - 65 ед. морских и речных судов, а также 4 вертолета и 2 самолета, однако фактически было приобретено только 9 ед. морских и речных судов.

По состоянию на 01.01.2005 года таможенные органы Российской Федерации располагают:

- 39 морскими и речными судами (Северо-Западное таможенное управление - 11 ед., Южное таможенное управление - 18 ед., Сибирское таможенное управление - 1 ед. и Дальневосточное таможенное управление - 9 ед.), из них 16 ед. морально устаревших проектов (41% судового состава). Несмотря на принимаемые экипажами меры по поддержанию таможенных судов в технически исправном состоянии до 2012 года все устаревшие суда станут непригодными к использованию по прямому предназначению;

-12 вертолетами (Центральное таможенное управление - 1ед., Сибирское таможенное управление - 1 ед., Уральское таможенное управление - 1 ед., Северо-Западное таможенное управление - 2 ед., Южное таможенное управление - 2 ед., Приволжское таможенное управление - 1 ед., Дальневосточное таможенное управление - 4 ед.).

2. Правовое обеспечение деятельности морских и авиационных подразделений таможенных органов

В Таможенном кодексе Российской Федерации (статьи 388 и 409) концептуально отражены вопросы применения воздушных, морских и речных судов таможенных органов при проведении таможенного контроля, а также права таможенных органов при осуществлении таможенного контроля с использованием судов.

Морские (речные) и воздушные суда относятся к особой категории транспортных средств таможенных органов. Суда используются, как правило, непосредственно у Государственной границы, в любых погодных условиях, и как правило, при противодействии (в том числе и вооруженном) нарушителей таможенного законодательства Российской Федерации.

Это возлагает особую ответственность на должностных лиц и экипажи судов, которые должны выполнять требования законодательства Российской Федерации, регламентирующие использование транспортных средств, а также международные Правила судоходства и аэронавигации.

Совершенствование законодательной и правовой базы обеспечивающей деятельность морских и авиационных подразделений, должно быть организовано постоянно в течение всего периода реализации Программы и направлено на:

- совершенствование организации и функционирования морской службы и авиации таможенных органов;

- создание справочно-технической базы организации эксплуатации судов;

- совершенствование форм и методов служебного взаимодействия морских и авиационных подразделений с правоохранительными подразделениями таможенных органов, организации и проведения совместных специальных операций, оперативно-разыскных и оперативно-поисковых мероприятий;

- укрепление социального статуса и социальной защищенности плавающего и летного состава, повышение престижности службы в морских и авиационных подразделениях, внесение необходимых изменений и дополнений в законодательство Российской Федерации.

3. Совершенствование организации эксплуатации и ремонта морской (речной) техники, оснащение таможенных органов современными морскими (речными) судами

В настоящее время 41% морских (речных) судов таможенных органов устаревших проектов и выработавших установленные сроки эксплуатации. Учитывая их общее техническое состояние, необходимость проведения всех

видов ремонтов, а также ежегодные требования надзорных подразделений Военно-Морского Флота по вопросам обеспечения безопасности мореплавания, предусматриваются следующие ориентировочные сроки ремонтов судов и их списания с баланса таможенных органов:

N п/п Таможенный орган, наименование судна, проект, год постройки Планируемый год ремонтов и списаний судов
2005 2006 2007
1 Архангельская таможня
ТС-593, пр. 18602, 1996 года ТР ТР ТР
2 Балтийская таможня
ТС-585, пр. 371у, 1989 года ТР ТР ТР
ТС-589, пр. 1404, 1989 года ТР ТР ТР
3. Кингисеппская таможня
ТС-59О,пр.141О1, 1984 года ТР Сп -
ТС-504, пр. 14081, 1994 года ТР ТР ТР
4. Петрозаводская таможня
ТС-591, "Мурена", 1994 года Сп - -
5. Псковская таможня
ТС-500, пр. 14081, 1993 года ТР ТР ТР
6. Калининградская таможня
ТС-505, пр. 14081,1994 года ТР ТР ТР
7. Неманская таможня
ТС-510, пр. 14081,1995 года ТР ТР ТР
ТС-511, пр. 14081, 1996 года ТР ТР ТР
8. Южное таможенное управление
ТС-594пр.1462, 1996 года ТР ТР СР
9. Ростовская таможня
ТС-506, пр. 14081, 1994 года ТР ТР ТР
TC-515 пр. 14081, 1998 года ТР ТР ТР
10. Таганрогская таможня
ТС-509, пр. 14081,1994 года ТР ТР ТР
ТС-583,пр. 371у, 1987 года ТР ТР ТР
11. Краснодарская таможня
ТС-502, пр. 14081, 1996 года ТР ТР ТР
ТС-514, пр.14081, 1998 года ТР ТР ТР
12. Туапсинская таможня
ТС-584, пр. 371у, 1988 года ТР ТР Сп
13. Астраханская таможня
ТС-580, пр. РВ-1415, 1993 года ТР ТР ТР
ТС-501, пр.14081, 1994 года ТР ТР ТР
ТС-503, пр.14081, 1994 года ТР ТР ТР
14. Владивостокская таможня
ТС-587, пр. 371у, 1989 года ТР ТР ТР
ТС-581, пр. РВ-1415, 1992 года ТР ТР ТР
15. Амурская таможня
ТС-507, пр.14081, 1994 года ТР ТР ТР
16. Хабаровская таможня
ТС-508, пр. 14081, 1994 года ТР ТР ТР
ТС-512, пр.14081, 1998 года ТР ТР ТР
17. Хасанская таможня
ТС-586, пр. 371у, 1989 года ТР ТР ТР
  Итого списывается по годам: 1 1 1

ТР - текущий ремонт; СР - средний ремонт; Сп - списание судна.

Накопленный опыт применения и эксплуатации судов в период с 1994 по 2004 год, а также предложения региональных таможенных управлений и таможен, имеющих в своем подчинении морские и речные суда, подтверждают проблему дальнейшего оснащения таможенных органов морскими и речными судами, которую целесообразно реализовывать по основным 3 типам судов, вместо имеющихся в настоящее время 10 типов, а именно:

малое таможенное судно (МТС) водоизмещением 10-15 тонн с экипажем не менее 3 человек;

среднее таможенное судно (СТС) водоизмещением 30 - 50 тонн с экипажем не менее 6 человек;

большое таможенное судно (БТС) водоизмещением 100 - 600 тонн и более с экипажем 14-24 человека.

Кроме того, каждый тип судов должен различаться по скоростным характеристикам: тихоходные суда со скоростью до 12 узлов и скоростные суда со скоростью 35-50 узлов. Тихоходные суда предназначены в основном для решения задач службы с плановым режимом деятельности сотрудников. Скоростные суда предназначены для решения оперативных задач (противодействие судам-нарушителям, их перехват; таможенное наблюдение, оказание помощи и спасание терпящих бедствие на воде).

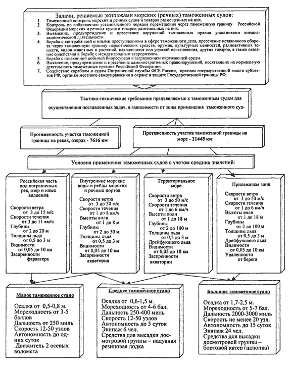
Основные требования к морским (речным) таможенным судам, планируемых к оснащению таможенных органов

N п/п Тактико-технические элементы таможенных судов Водоизмещение, тонны
10-15 30-50 100 - 600
1. Осадка габаритная (метры) от 0,5 до 0,8 от 0,6 до 1,0 от 1,7 до 2,5
2. Мореходность (баллы) от 3 до 5 от 4 до 6 5-7
3. Скорость (узлы)
- тихоходные суда 12 12-14 -
- скоростные суда до 50 до 50 не менее 20
4. Дальность плавания (мили) не менее 250 не менее 400 2000 - 3000
5. Автономность (сутки) не менее 1 не менее 3 15
6. Экипаж (чел.) 3-5 6-9 14-24
7. Пассажировместимость (чел.) 5 6 10
8. Движитель 2 осевых водомета 2 гребных винта или 2 осевых водомета 1 -2 гребных винта

Таможенные суда предназначены:

- водоизмещением 10-15 тонн для несения службы на мелководных реках, озерах и внутренних рейдах морских портов;

- водоизмещением 30 - 50 тонн для несения службы в морских портах, на внешних рейдах и в морских районах примыкающих к портам, а также на крупных реках;

- водоизмещением 100 - 600 тонн и более для несения службы в территориальном море, внутренних морских водах без ограничений.

Общие требования к таможенным судам вытекают из общих условий эксплуатации и выполнения задач по обеспечению таможенного наблюдения и таможенного контроля (приложение 1).

Функциональная пригодность является главным критерием применимости таможенного судна как средства призванного удовлетворять потребности таможенного органа при осуществлении таможенного наблюдения и таможенного контроля, сокращения времени их проведения, повышения оптимизации и эффективности.

Составляющими функциональной пригодности таможенного судна являются:

кораблестроительные и мореходные качества, обеспечивающие выполнение задач таможенного наблюдения и таможенного контроля в максимальном диапазоне погодных условий: непотопляемость, остойчивость, хорошая управляемость на малых ходах;

- навигационное вооружение, обеспечивающие безопасность плавания;

- оснащенность таможенного судна необходимым для производства таможенного контроля специальным технологическим оборудованием для обнаружения радиоактивных материалов и др.;

- комплекс организационно-технических мероприятий, обеспечивающих готовность таможенного судна к выполнению задач таможенного наблюдения и таможенного контроля и сокращения времени их проведения.

В связи с тем, что интенсивность работы таможенного органа зависит от грузопотока на данном участке, а время проведения таможенного контроля является экономической категорией, влияющей на время доставки грузов и длительность простоя судов в порту и на рейдах, необходимо обеспечение минимального времени на подготовительные операции, таких как доставка досмотровых групп к местам проведения таможенного контроля.

Техническая сторона этого вопроса заключается в повышении технической готовности таможенного судна за счет снижения времени на заправку топливом и техническое обслуживание, прогрев двигателей, доставку, посадку и высадку досмотровой группы, а также переходы к месту проведения таможенного контроля.

Организационная часть заключается в оптимизации состава морских подразделений таможенного органа, рациональном береговом техническом обеспечении, правильно построенном графике дежурств таможенных судов и их экипажей и других мероприятий.

Одно из важных требований, предъявляемых к таможенным судам - все комплектующие изделия должны соответствовать современным требованиям отечественного и мирового судостроения, а планируемая эксплуатация судна должна быть ориентирована на использование топлива, масла, смазки и специальных жидкостей из числа марок, производимых в Российской Федерации.

Планируемое количество морских и речных судов для оснащения таможенных органов Российской Федерации

N п/п Наименование таможенного органа Районы деятельности таможенного органа Наличие судов по состоянию на 01.07. 2004 Потребность в морских (речных) Таможенных судах (количество, год поставки)
Водоизмещение (в тоннах)
10-15 30-50 100-600
Северо-Западное таможенное управление
1. Петрозаводская таможня Онежское озеро 1 1
-----------
2007 г.
- -
2. Калининградская таможня внутренний и внешний рейды п. Калининград, Балтийск, Пионерский, южная часть Балтийского моря 2 1
-----------
2005 г.
- -
  Итого таможенных судов: 2 - -
Южное таможенное управление
1. Сочинская таможня внутренний и внешний рейды п. Сочи, территориальное море, внутренние морские воды 1 - 1
-----------
2006 г.
-
2. Новороссийская таможня внутренний и внешний рейды п. Геленджик, п. Новороссийск, п. Анапа, территориальное море, внутренние морские воды 1 1 м/лодка
-----------
2005 г.
(для ТС-100)
3. Туапсинская таможня внутренний и внешний рейды п. Туапсе, территориальное море, внутренние морские воды 1 - - 1
-----------
2005 г.
Итого надувных резиновых лодок: 1 -
Итого таможенных судов: - 1 1
Дальневосточное таможенное управление
1. Сахалинская таможня территориальное море, внутренние морские воды о. Сахалин и Курильских островов 3 1 м/лодка
-----------
2005 г.
(для БТС П.Матвеев)
- -
  2 м/лодки
-----------
2006 г.
(для БТС "П.Верещагин" и"В.Кирсанов")
Итого надувных резиновых лодок: 3 - -
Всего надувных резиновых лодок: 4
Всего таможенных судов: 2 1 1

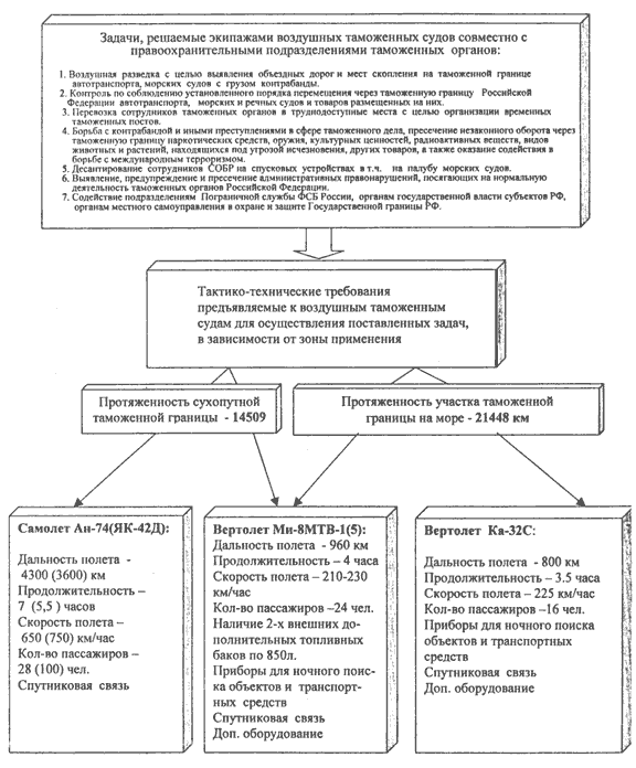
4. Совершенствование организации эксплуатации и ремонта авиационной техники, оснащение таможенных органов современными воздушными судами

Воздушные суда таможенных органов имеют высокую эффективность при совместном взаимодействии с оперативными, группами от правоохранительных подразделений таможенных органов, подвижными мобильными группами СОБР и морскими (речными) судами таможенных органов, незаменимы при ведении воздушной разведки и преследовании быстроходных судов-нарушителей и автотранспорта. Многолетняя практика применения вертолетов показала, что наиболее сбалансированные показатели (эксплуатационные, стоимостные) имеют вертолеты типа Ми-8МТВ-5, выпускаемые в Российской Федерации. Для целей взаимодействия региональных таможенных управлений необходимо их оснащение транспортными самолетами средней грузоподъемности. Учитывая, что выбор таких самолетов ограничен и учитывая фактор первоначальной стоимости, а также стоимости последующей его эксплуатации, предпочтение отдано самолетам Ан-74 и Як-42 Д (приложение 2).

По вопросам централизованной закупки таможенных судов и запасных частей к ним морская и авиационная служба осуществляет взаимодействие со структурным подразделением, занимающимся тыловым обеспечением таможенных органов.

Планируемое количество воздушных судов для оснащения таможенных органов Российской Федерации

N п/п Централизованная закупка (наименование воздушного судна) Таможенный орган - получатель Срок исполнения Исполнитель, соисполнители
1. Вертолет МИ-8МТВ-5 УТУ 2006 год ГУТО, ГФЭУ, УОСО
2. Самолет АН-74 СТУ 2007 год

Авиационная техника (вертолеты) закуплена в основном в 1991-1994 годах, имеет назначенный технический ресурс до списания 30 лет, при условии своевременного выполнения капитально-восстановительных ремонтов с периодичностью 7-9 лет и не нуждается в списании ни по одному из параметров.

Модернизация и дооборудование авиационной техники

Модернизация авиационной техники таможенных органов является непременным условием для достижения высокой эффективности ее использования при проведении специальных операций, что позволяет в полной мере реализовать профессиональные возможности летного состава при полетах днем и ночью, в простых и сложных метеорологических условиях. Кроме того, модернизация авиационной техники позволит решить вопросы увеличения дальности и продолжительности беспосадочного полета почти в два раза (дополнительные топливные баки), возможности посадки и взлета вертолета Ми-8МТВ-1 на водную поверхность (баллонеты), применения стрелкового вооружения с борта вертолета при задержании нарушителей таможенного законодательства (шкворневые и турельные установки), повышения эффективности воздушной разведки (фотооборудование, прожекторные и звуковещательные установки).

Немаловажным является вопрос использования воздушных судов таможенных органов при работе вблизи государственной границы Российской Федерации. Для этих целей требуется установка дополнительного навигационного и радионавигационного оборудования, систем опознавания и современных средств связи, прежде всего - спутниковой. Потребное количество систем, устанавливаемых на воздушные суда указаны в таблице:

N п/п Устанавливаемая система ЦТУ УТУ ЮТУ ПТУ СТУ СЗТУ ДВТУ Всего
1. Дополнительные топливные баки - 1 1 - - 2 2 6
2. Прожектор ПБП-ДРИШ-575 - - 1 - 1 2 3 7
3. УКВ радиостанция FTL-2011 - - 1 - 1 2 2 6
4. Звуковещательная станция ЗСВС - - 1 - 1 2 3 7
5. Самолетный ответчик СО-72 1 2 2 1 1 1 2 10
6. Тепловизор 1 2 2 1 1 2 4 13
7. Система навигации 1 2 2 1 1 1 1 9
8. Система имитации видимости 1 1 1 1 1 - 1 б
9. Аварийный радиобуй АРБ-ПК 1 2 2 1 1 2 4 13
10. Система опознавания 1 2 2 1 1 2 4 13
11. Система приводнения (баллонеты) - - 1 - - 1 2 4

5. Организация взаимодействия структурных подразделений таможенных органов при проведении специальных операций, оперативно-розыскных и оперативно-поисковых мероприятий

Эффективность использования морских (речных) и воздушных судов при проведении специальных операций, оперативно - розыскных и оперативно-поисковых мероприятий может быть значительно повышена в результате заранее спланированного комплексного взаимодействия всех силовых подразделений таможенного органа под единым руководством начальника таможенного органа.

Кроме того, морские (речные) и воздушные суда работают более эффективно при проведении комплексных крупномасштабных оперативно-розыскных мероприятий, в которых задействованы силовые структуры различных органов исполнительной власти Российской Федерации.

Немаловажным фактором в деле повышения эффективности являются внезапность начала операций и их непрерывность. Внезапность достигается путем проведения непосредственно перед началом операции отвлекающих маневров, в том числе проведением демонстрационных выходов морских (речных) судов и полетов вертолетов. Одной из составляющих внезапности является наличие в районах проведения специальных операций подготовленных и оборудованных скрытых мест стоянки морских (речных) судов, посадочных площадок для вертолетов, что позволяет сократить время перехвата судна-нарушителя и подлетное время.

Порядок взаимодействия морской службы и авиации в различных условиях обстановки (незаконный промысел морских биоресурсов в 12-ти мильной зоне, пресечение незаконного оборота через таможенную границу наркотических средств, оружия, культурных ценностей, радиоактивных веществ, видов животных и растений, находящихся под угрозой исчезновения, а также оказание содействия в борьбе с международным терроризмом), особенности использования на борту морских (речных) и воздушных судов групп правоохранительных подразделений органов исполнительной власти Российской Федерации определяется приказом таможенного органа, на балансе которого находятся таможенные суда.

Непрерывность проведения операции предполагает постоянное взаимодействие таможенных судов в районе проведения мероприятий, для чего необходимым условием является наличие устойчивой УКВ- и KB- связи.

Непрерывность проведения операции предполагает также постоянное пребывание таможенных судов в районе проведения мероприятий, для чего необходимым условием является наличие в регионе нескольких морских (речных) и воздушных судов, или дополнительное применение таможенных судов одной из таможен в зонах ответственности других таможен.

Экипажи воздушных судов таможенных органов могут привлекаться к выполнению операций "вахтовым" методом, когда воздушные суда несут службу в районах вероятного нарушения таможенной границы вдали от мест постоянного базирования, либо практиковать смену судов или замену их экипажей (только для воздушных судов).

При недостаточном количестве в регионе воздушных судов и острой необходимости в проведении операции, таможенные суда соседнего региона могут привлекаться к участию в операции после получения соответствующего разрешения руководства Федеральной таможенной службы.

6. Совершенствование организационно-штатной структуры морской службы и авиации таможенных органов

Учитывая число морских (речных) торговых и пассажирских портов, принимающих суда из-за рубежа, "прозрачность" сухопутной границы со странами ближнего зарубежья, в число первоочередных задач, требующих особого внимания, выдвигается задача контроля территориального моря, внутренних морских вод (в том числе, акваторий портов), российской части вод пограничных рек и озер, а также контроля сухопутной таможенной границы между установленными пунктами пропуска в целях предотвращения незаконного перемещения через границу товаров и транспортных средств.

При разработке и утверждении штатных расписаний подразделений морской и авиационной служб таможенных органов были заложены требования - каждое подразделение должно содержать минимальный набор высококвалифицированных специалистов, способных обеспечить безопасную и безаварийную эксплуатацию морских (речных) и воздушных судов в соответствии с действующим законодательством Российской Федерации.

Общая оперативная обстановка, требования Таможенного кодекса Российской Федерации к таможенному контролю товаров и транспортных средств с использованием морских (речных) и воздушных судов таможенных органов, а также особенности каждого региона требуют централизации управления морскими и авиационными подразделениями, дальнейшего оптимизированного развития морской службы и авиации как одних из составных частей таможенных органов.

Планируемое оснащение таможенных органов Российской Федерации новыми таможенными судами и активизация их деятельности в территориальном море, во внутренних морских водах, в российской части вод пограничных рек и озер, в воздушном пространстве над ними, потребует увеличения существующей штатной численности морских и авиационных подразделений, в том числе и для вновь формируемых экипажей морских (речных) и воздушных судов с учетом существующих нормативов.

Авиация Федеральной таможенной службы должна быть реформирована с учетом перехода воздушных судов в состав государственной авиации, что предполагает необходимость осуществления функций не свойственных гражданской авиации. В частности, для контроля и управления воздушным движением, а также согласования вопросов с военным сектором Единой системы управления воздушным движением, необходимо создание авиационной диспетчерской группы, которая должна функционировать круглосуточно. Общая для всей государственной авиации Система поиска и спасания предполагает необходимость наличия в авиационных подразделениях соответствующих специалистов для переукладки парашютов и обслуживания поисково-спасательных средств, имеющихся на воздушном судне.

Анализ деятельности морских и авиационных подразделений и таможенных судов в период с 1994 по 2004 год показал несовершенство существующей системы обеспечения их функционирования по организационно-штатным и кадровым вопросам и вопросам материально-технического снабжения. Это приводит к замещению должностей сотрудников этих подразделений специалистами других подразделений, совмещению должностей, а также их сокращению, в том числе и в экипажах таможенных судов.

Установленные должности и специальные звания сотрудников морских и авиационных подразделений и членов экипажей таможенных судов, наличие ряда проблем их социальной защищенности, а также отсутствие престижности службы на морских (речных) и воздушных таможенных судах приводит к текучести кадрового потенциала этих подразделений, в том числе к увольнению со службы высококвалифицированных специалистов, профессиональных моряков и летчиков с большим опытом службы, плавательным цензом и летным стажем.

В целях эффективного применения морских (речных) и воздушных судов для таможенного контроля, их безаварийной эксплуатации и материально-технического обеспечения, а также предупреждения аварийных происшествий, травматизма и гибели членов экипажей таможенных судов, целесообразно общую координацию по решению вопросов, связанных с морской (речной) и авиационной техникой, возложить на морскую и авиационную службы таможенных органов, через начальника управления организации силового обеспечения и курирующего заместителя руководителя Федеральной таможенной службы.

III. Финансирование реализации Программы

Финансирование мероприятий Программы осуществляется в пределах средств, предусматриваемых федеральным бюджетом на содержание таможенных органов на очередной год.

При формировании плана приобретения судов в качестве критерия отбора может быть выбран показатель минимума затрат на удовлетворение потребностей таможенного органа.

1. Финансирование строительства (достройки) и приобретения морских и речных судов

Ориентировочная стоимость морских и речных судов отечественного судостроения (по состоянию на 01.12.2004 года):

- надувная резиновая лодка (бортовая) - 450 000 рублей;

- судно водоизмещением 10-15 тонн - 3 500 000 рублей;

- судно водоизмещением 30-50 тонн - 7 000 000 рублей;

- судно водоизмещением 100-600 тонн - 26 000 000 рублей.

п/п Водоизмещение судна (тонн) Ориентир. стоимость (рублей) Потребное кол-во (ед.) Сроки приобретения новых морских (речных) судов для таможенных органов (год приобретения, достройки)
2005 2006 2007
1. мотолодка 450 000 4 2 2 -
2. 10-15 3 500 000 2 1 - 1
3. 30-50 7 000 000 1 - 1 -
4. 100-600 10292229.57 1 1 (достройка) - -
Итого мотолодок по годам: 2 2 -
Итого судов по годам: 2 1 1

Ориентировочные объемы расходов по годам на приобретение морской техники

Год приобретения новой морской техники Ориентировочные объемы расходов (рублей)
2005 год (мотолодка - 2 ед., МТС -1 ед., БТС - 1 ед.) 14 692 229,57
2006 год (мотолодка - 2 ед., СТС - 1 ед.) 7 900 000
2007 год (МТС -1 ед.) 3 500 000
Итого 26 092 229,57

2. Финансирование приобретения воздушных судов

Ориентировочная стоимость воздушных судов отечественного авиастроения (по состоянию на 01.12.2004 года):

- самолет АН-74 - 315 000 000 рублей;

- вертолет МИ-8МТВ-5 - 165 000 000 рублей.

Ориентировочные объемы расходов по годам на приобретение авиационной техники

Год приобретения новой авиационной техники Ориентировочные объемы расходов (рублей)
2006 год (МИ-8МТВ-5 - 1 ед.) 165 000 000
2007 год (АН-74 -1 ед.) 315 000 000
Итого: 480 000 000

Объемы финансирования работ по модернизации и дооборудованию воздушных судов (рублей) в ценах 2004 года

N п/п РТУ Потребность денежных средств по годам Итого
2005 2006 2007
1. УТУ 5 300 000 1000 000 750 000 7 050 000
2. ЮТУ 2 500 000 - 750 000 3 250 000
3. ПТУ - 3 600 000 750 000 4 350 000
4. ЦТУ - - 750 000 750 000
5. СЗТУ 2 500 000 2 500 000 - 5 000 000
6. СТУ - 700 000 4 100 00 4 800 000
7. ДВТУ - 2 500 000 6 600 U00 9 100 000
Стоимость работ 10 300 000 10 300 000 13 700 000 34 300 000
Итого - 34 300 000

Объемы финансирования (без учета расходов на текущее содержание морской службы и авиации таможенных органов) на 2005 - 2007 годы составят:

- на морскую службу-26,1 млн. рублей;

- на авиацию - 514,3 млн. рублей.

Ежегодные объемы финансирования мероприятий Программы подлежат уточнению при формировании федерального бюджета на содержание таможенных органов на очередной год.

IV. Механизм реализации Программы

Механизм реализации Программы предусматривает осуществление организационной, организационно-штатной и контрольной деятельности, обеспечивающих осуществление функционирования и развития морской службы и авиации таможенных органов Российской Федерации.

Организационная деятельность по реализации Программы осуществляется посредством:

- конкретизации мер, предусмотренных Программой на соответствующий год;

- разработки годовых планов мероприятий реализации Программы. Организационно-штатная деятельность осуществляется посредством:

- оптимизации организационно-штатной структуры морской службы и авиации таможенных органов, экипажей таможенных судов, укреплении их кадрового потенциала;

- ежегодной корректировки штатных расписаний в регионах при обязательном участии представителей морских (речных) и авиационных подразделений на местах.

Контрольная деятельность осуществляется посредством:

- документального контроля, включающего ежемесячный, полугодовой и итоговый отчеты о выполнении Программы за соответствующий год;

- контроля за ходом строительства (приобретения) морских, речных и воздушных судов;

- фактического контроля деятельности морских (речных) и авиационных подразделений и экипажей судов при плановых инспекторских проверках в регионах.

V. Заключительные положения

Программа определяет основные направления функционирования и развития морской службы и авиации таможенных органов Российской Федерации на 2005 - 2007 годы, главные принципы и приоритетные направления деятельности морских (речных) и воздушных судов для целей таможенного контроля в территориальном море, внутренних морских водах, в российской части вод пограничных рек и озер.

Реализация Программы будет способствовать повышению эффективности таможенного контроля с применением морских (речных) и воздушных судов, укреплению роли таможенных органов Российской Федерации в морском пограничном пространстве, на территории, прилегающей к таможенной границе России.

Начальник Управления
силового обеспечения
генерал-майор таможенной службы
Е.В.ЖАРКОВ

Приложение 1
к Программе

Приложение 2
к Программе