Ведомственные строительные нормы ВСН 49-86. Указания по повышению несущей способности земляного полотна и дорожных одежд с применением синтетических материалов

(утв. Минавтодором РСФСР от 02.04.86)
Редакция от 02.04.1986 — Документ не действует

Данный документ утратил силу с 01.01.90 в связи с изданием Приказа Госкомархитектуры от 29.12.89 N 259.


УТВЕРЖДЕНЫ
Минавтодором РСФСР
2 апреля 1986 г.

ВЕДОМСТВЕННЫЕ СТРОИТЕЛЬНЫЕ НОРМЫ

ВСН 49-86

УКАЗАНИЯ ПО ПОВЫШЕНИЮ НЕСУЩЕЙ СПОСОБНОСТИ ЗЕМЛЯНОГО ПОЛОТНА И ДОРОЖНЫХ ОДЕЖД С ПРИМЕНЕНИЕМ СИНТЕТИЧЕСКИХ МАТЕРИАЛОВ

Срок введения 1 января 1987 г.

1. Общие положения

1.1. Настоящие Указания предусматривают применение рулонных синтетических материалов (СМ) для создания армирующих, дренирующих и защитных прослоек в активной зоне земляного полотна, нижних конструктивных слоях дорожных одежд, на обочинах, в основании насыпей и на откосах, в дренажных устройствах строящихся или ремонтируемых автомобильных дорог общей сети, промышленных и сельскохозяйственных предприятий, временных автомобильных дорог, подъездных путей.

1.2. Под рулонными синтетическими материалами (называемыми в некоторых случаях также синтетическими текстильными, геотекстильными) подразумеваются тонкие, гибкие полотна, получаемые путем соединения волокон или нитей из синтетического (полиэфир, полиамид, полипропилен) или вторичного сырья, включающего в том числе несинтетические компоненты, механическими (плетение, иглопробивание), химическими (склеивание) или физическими (сплавление) способами.

1.3. Создание прослоек из СМ позволяет уменьшить расход традиционных дорожно-строительных материалов, снизить объемы земляных работ, материалоемкость дорожной конструкции, сократить сроки строительства, энергозатраты на строительных и ремонтных работах, транспортные расходы, повысить эксплуатационную надежность и сроки службы дорожной конструкции или отдельных ее элементов. Это достигается за счет выполнения СМ следующих функций:

армирования (усиление дорожных конструкций в результате перераспределения СМ возникающих в грунтовом массиве при действии нагрузок от транспортных средств и собственного веса напряжений);

дренирования (ускорение отвода воды) или гидроизоляции (уменьшение притока в земляное полотно поверхностных вод рассматривается, если СМ одновременно выполняют функции защиты или армирования);

защиты (предотвращение или замедление процесса эрозии грунтов, предотвращение взаимопроникания материалов контактирующих слоев, в том числе работа в качестве фильтра).

1.4. Возможность пополнения СМ перечисленных в п. 1.3 функций определяется соответствием их свойств требованиям п. 2.2. Эффективность применения дорожных конструкций с прослойками из СМ оценивают путем их технико-экономического сравнения с традиционными конструктивными решениями (п. 7). Общая характеристика основных областей применения СМ, рассматриваемых в настоящих Указаниях, дана в табл. 1.1.

Таблица 1. 1

N п/п Область применения Получаемый эффект Схема применения Основные функции СМ
I Земляное полотно и нижние слои дорожной одежды      
А Активная зона земляного полотна Сокращение объемов используемых дренирующих грунтов, повышение сроков службы и эксплуатационной надежности дорог   Усиление грунта, в том числе за счет снижения бокового распора (обойма), предотвращение заиления дренирующего слоя, повышение эффективности дренирования
Б Нижние слои дорожных одежд Сокращение объемов материалов, используемых в нижних слоях дорожных одежд, повышение эксплуатационной надежности и сроков службы дорог   Усиление дорожной одежды, сохранение свойств материалов слоев за счет снижения степени их взаимопроникания при строительстве и эксплуатации дорог
В Обочины Повышение эксплуатационных характеристик и сроков службы, сокращение расходов традиционных материалов   Усиление конструкции укрепления, замедление водной эрозии обочины и откоса, повышение прочности земляного полотна за счет снижения притока поверхностных вод
Г Земляное полотно постоянных дорог в сложных грунтовых условиях (слабые основания) Сокращение сроков до устройства покрытия, повышение эксплуатационной надежности, сокращение потерь традиционных материалов, улучшение условий производства работ, сокращение объемов привозных грунтов   Ускорение консолидации основания насыпи за счет улучшения условий отвода воды, сохранение механических свойств материалов за счет предотвращения взаимопроникания грунта насыпи и материалов основания, усиление основания
II Откосы      
А Общая устойчивость откосов Повышение общей устойчивости, сокращение объемов земляных работ, площади отводимых земель   Армирование откосов
Б Местная устойчивость откосов Сокращение объемов применяемых материалов, повышение эксплуатационной надежности и сроков службы конструкций защиты откосов   Замена (защита) обратного фильтра, снижение напора выклинивающихся грунтовых вод, предотвращение эрозии откоса
III Дренирование грунтов, дренажные устройства      
A Дренирование нижней части земляного полотна из грунтов повышенной влажности Сокращение сроков до устройства покрытия, объемов традиционных материалов и приводных грунтов, улучшение условий производства работ   Ускорение консолидации земляного полотна за счет улучшения условий отвода воды, защита песчаных прослоек
Б Дренажные устройства Сокращение объемов применяемых традиционных материалов, повышение сроков службы дренажных устройств   Фильтр, повышение эффективности дренирования
IV Временные дороги Повышение эксплуатационных качеств дороги, сокращение объемов применяемых традиционных материалов, улучшение условий производства работ, увеличение сроков службы, обеспечение проезда на период строительства   Усиление основания, предотвращение взаимопроникновения грунта насыпи и основания

Примечание. 1 - рулонный синтетический материал; 2 - дорожная одежда; 3 - песчаный дренирующий слой; 4 - бетонные плиты.

2. Требования к рулонным синтетическим материалам дорожного назначения

2.1. Основные виды синтетических материалов и их общая характеристика

2.1.1. Область, эффективность и целесообразность применения синтетических рулонных материалов определяются их свойствами, которые зависят от состава сырья и технологии производства.

2.1.2. Общая характеристика СМ по наиболее распространенному сырью для изготовления (полиамид, полиэфир и полипропилен) приведена в табл. 2.1.

Таблица 2.1

Показатели Сырье
Полиэфир Пилиамид Полипропилен
Водостойкость Хорошая Снижение прочности на величину до 30% при увлажнении Хорошая
Биостойкость " Хорошая "
Стойкость к действию кислотных и щелочных сред, возможных в условиях эксплуатации концентраций Снижение прочности в щелочной среде (гидроокись кальция) Снижение прочности при рН среды менее 5,5 "
Светостойкость Хорошая Плохая Плохая
Механические свойства волокон Хорошие Хорошие Низкая длительная прочность

Предпочтительным видом сырья для изготовления СМ дорожного назначения является полиэфир. Следует ограничивать применение полиамидных СМ в кислотных средах (рН<5,5), полипропиленовых - в условиях длительного действия значительной по величине нагрузки, полиэфирных - на контакте со слоями, содержащими известь, цемент.

2.1.3. Для изготовления СМ дорожного назначения может применяться вторичное сырье, в том числе содержащее несинтетические компоненты, при условии соответствия вырабатываемых на их основе рулонных материалов требованиям п. 2.2.

2.1.4. По технологии производства СМ разделяют на тканые и нетканые. Тканые СМ имеют регулярную структуру, повышенную прочность, высокий модуль упругости, но не обладают достаточной водопроницаемостью в плоскости полотна. Такие материалы целесообразно применять в случаях, когда прослойки СМ должны выполнять функции армирования, защиты, но не дренирования.

2.1.5. Свойства нетканых СМ, представляющих собой хаотичное переплетение коротких или длинных волокон, зависят от способа упрочнения (соединения волокон). Нетканые СМ упрочняют механическим, термическим или химическим способами.

Механические упрочненные (иглопробивные) нетканые синтетические материалы (типа дорнит) отличаются достаточной прочностью, высокой деформативностью, защитными свойствами, водопроницаемостью в плоскости полотна и направлении, ей нормальном. Их основные функции - дренирование и защита, в отдельных случаях при возникновении больших деформаций - армирование (например, при укладке в основание тонкой насыпи временной дороги). Термически упрочненные нетканые СМ имеют небольшую деформативность, применимы в качестве фильтров. При химическом упрочнении (склеивании) свойства получаемых полотен определяются видом связующего. Обычно такие материалы подвержены быстрому старению в условиях эксплуатации и применимы как временные элементы дорожных конструкций.

2.2. Требования к рулонным синтетическим материалам

2.2.1. Синтетические материалы должны поставляться, как правило, в рулонах массой до 80 кг, предпочтительно с длиной полотна не менее 40 м и шириной не менее 1,5 м. Исключение могут составить синтетических материалы, применяемые в дренажных конструкциях или для укрепления обочин. Рулоны необходимо транспортировать и хранить в закрытой светонепроницаемой упаковке.

2.2.2. СМ не должны иметь разрывов, вырывов и других нарушений сплошности. Максимальные отклонения от нормируемых значений по однородности (плотность и толщина), ровности кромок, ширине полотна не должны превышать 5% (не более 5 см по ширине) в сторону уменьшения от среднего значения.

2.2.3. Вид исходного сырья и структура СМ по возможности должны обеспечивать соединение отдельных полотен механическим, тепловым или другим технологически простым способом, в том числе и непосредственно на месте производства работ.

2.2.4. CM должны обладать стойкостью к воздействию воды, химически и биологически активных сред, температуры (в диапазоне - 30 - +40°С), солнечного света при его действии в течение 10 ч. Под стойкостью понимается сохранение свойств СМ во времени или их снижение до величин, обеспечивающих работоспособность конструкции на заданные сроки эксплуатации. При отсутствии данных изменение прочности СМ в процессе эксплуатации за период Т (лет) в средних грунтовых условиях может быть ориентировочно оценено путем умножения начального ее значения на поправочный коэффициент, принимаемый по табл. 1 приложения 2 или рассчитываемый по формуле

K = 1 ,   (2.1)
а Т в + 1  
         

где

а, в - параметры, зависящие от вида сырья СМ (при изготовления СМ на основе полиэфира и полипропилена а = 0,09, в = 0,5; полиамида а = 0,4, в = 1).

2.2.5. Применяемые при строительстве и ремонте дорог СМ должны отвечать требованиям по следующим основным свойствам:

предел прочности на растяжение R_p;

условный модуль деформации (упругости) при растяжении Е_д(см) (Е_см);

общее относительное удлинение при разрыве эпсилон_о;

сопротивляемость местным повреждениям;

коэффициент фильтрации К_ф;

фильтрующая способность;

стойкость к агрессивным воздействиям;

сопротивление сдвигу на контакте с грунтом.

2.2.6. При разработке и предварительном выборе новых видов СМ за основу могут быть взяты показатели их свойств, приведенные в табл. 2.2. Окончательный выбор СМ для данной области применения осуществляется с помощью расчетов, приведенных в соответствующих пунктах Указаний.

Таблица 2.2

N п/п Область применения, функциональное назначение Показатели (по п. 2.2.5)
R_p, Н/см, не менее эпсилон_о, % Е_д(см) х Н/см, Н/см, не менее Е_см, Н/см, не менее К_ф, м/сут, не менее
1 2 3 4 5 6 7
1 Активная зона земляного полотна, нижние слои дорожных одежд дороги с покрытиями:          
А усовершенствованными:          
  армирование (пп. 2.3.2, 3.2.2) 50 <30* 350 450  
  дренирование (пп. 5.1.5, 5.2.5) 40 <70* 70* 100* 100
  защита (пп. 2.3.2, 3.1.8, 3.2.3, 5.2.5) 50 <70* 150 200 20*
Б переходными и низшими:          
  армирование (пп. 2.3.2, 3.2.2) 50 <50* 250 350  
  защита (пп. 2.3. 2, 3.1.8, 3.2.3, 5.2.5) 50 <70* 100 150 20*
2 Обочины:          
  армирование и защита (пп. 2.3.2, 3.2.2, 3.2.3) 50 <70* 250 350  
  дренирование и защита (пп. 2.3.2, 3.2.3, 5.1.5, 5.2.5) 40 <70* 100* 150* 40
3 Слабые основания насыпей:          
  армирование и защита (обеспечение устойчивости основания и откосов, пп. 3.2.8, 3.2.9) 70 <50 150   20*
  дренирование и защита (ускорение консолидации основания, п. 3.1.11) 50 70-120 70*   100
4 Откосы:          
  армирование (обеспечение общей устойчивости, п. 4.2.4) 100 <50 300 400  
  защита 30 >30*     20*
5 Земляное полотно из грунтов повышенной влажности:          
  дренирование (п. 5.1.3) 30 60-120* 70* 100* 100
  защита (п. 5.1.2) 30 70* 100* 150* 20
6 Траншейный дренаж, защита и дренирование (п. 5.2.5) 30 >30*     50
7 Временные дороги на слабых основаниях, армирование и защита (п. 3.2.10) 60 70-120* 100   40

Примечания.

1. В таблице приведены показатели СМ на момент их производства.

2. Показатели, отмеченные знаком *, представляют собой наиболее приемлемые значения и строго не нормируются: знак (-) обозначает, что показатель не нормируется.

3. Пункты Указаний, на которые сделана ссылка в графе 2, содержат дополнительные требования к СМ для данной области применения и функционального назначения.

4. При необходимости выполнения СМ нескольких из перечисленных в графе 2 функций следует руководствоваться максимальными значениями показателей.

5. Значения показателей по графам 3 - 6 даны для испытаний СМ по методике одноосного растяжения (см. п. 2.3.1, приложение 1А). Их отклонение в меньшую сторону у анизотропных СМ допускается только для случая применения последних при армировании откосов и в направлении, нормальном действию растягивающих напряжений.

2.3. Методы контроля (испытаний) синтетических материалов

2.3.1. Механические характеристики СМ (R_p, Е_д(см), Е_см, эпсилон_о - см. п. 2.2.5) являются основными показателями, от которых зависит возможность, а также эффективность их применения. Они определяются предприятиями-изготовителями по ГОСТ 15902.3-79 путем одноосного растяжения образцов размерами 50х200 мм (100 мм - деформируемая часть). Упрощенный вариант данного метода, более доступный производственным подразделениям, изложен в приложении 1А.

Поскольку условия деформирования образцов в данных испытаниях не соответствуют в ряде случаев условиям деформирования СМ в дорожной конструкции, полученные результаты применимы прежде всего для сопоставления СМ различных видов, предварительного их выбора и примерной оценки области применения. Такие испытания также применимы для оценки характеристик СМ, если последние не воспринимают значительных усилий в дорожной конструкции (фильтры дренажных устройств, обратные фильтры, защитные прослойки для повышения местной устойчивости откосов). В других же случаях они должны быть дополнены испытаниями, отражающими особенности работы прослоек из СМ в реальных условиях, а именно:

при усилении верхней части дорожных конструкций, обочин, армировании слабых основании насыпей - методом сферического растяжения по приложению 1Б (возможно применение других аналогичных методов, предусматривающих испытание СМ в условиях сложного напряженного состояния);

при армировании откосов с целью повышения их общей устойчивости - методом длительного растяжения по приложению 1В.

2.3.2. В случае возможности возникновения в отдельных точках СМ значительных локальных усилий (укладка СМ на контакте с крупнофракционными материалами, например под слой гравийного или щебеночного основания дорожной одежды) должна быть оценена сопротивляемость СМ местным повреждениям в соответствии с приложением 1Г.

2.3.3. Водопроницаемость СМ, выполняющих функции дренирующих прослоек, оценивают по значениям коэффициентов фильтрации в плоскости полотна и нормальном ей направлении. В первом случае испытания проводят, пропуская воду порциями 30 см3 вдоль блока из 2 - 4 образцов CM, обжатых давлением не менее 0,01 МПа, и фиксируют время истечения. Во втором испытания проводят по методике, принятой для песка, заменяя его на блок из 20 - 30 образцов СМ. Коэффициенты фильтрации K_ф, определяют по формуле

К_ф = 864Q / tlF Дельта t, (2. 2)

где

Q - расход воды, м3;

t - время истечения, с;

l - градиент фильтрации;

F - площадь сечения образцов, см2;

Дельта t - температурная поправка (аналогично испытаниям грунтов).

Как правило, следует пользоваться данными организации и институтов по водопроницаемости СМ данного вида и табличными значениями (приложение 5).

2.3.4. Стойкость CM к агрессивным воздействиям определяет срок их службы и оценивается специальными испытаниями, проводимыми предприятиями-поставщиками или разработчиками СМ. Испытания заключаются в воздействии на образцы СМ водной среды, растворов химически активных веществ реально возможных концентраций (рН 2 - 11), биологических и температурных (в диапазоне - 30 - 40°С) факторов с оценкой изменения механических характеристик образцов. Испытания проводятся на основе ГОСТ 9.022-74 "Ткани из натуральных, искусственных и синтетических волокон, кожа искусственная и материалы пленочные. Методы испытаний на старение в природных и лабораторных условиях", ГОСТ 9.060-75 "Ткани. Метод лабораторных испытаний на устойчивость к микробиологическому разрушению", ГОСТ 12020-72 "Пластмассы. Метод определения стойких к действию химических сред". При отсутствии данных по стойкости СМ дорожные организации должны получить соответствующую информацию в специализированных организациях - разработчиках СМ.

Стойкость СМ к агрессивным воздействиям в целом или к воздействию отдельных факторов можно не оценивать при их изготовлении из чисто синтетического сырья и требуемом сроке службы не более одного года (с учетом п. 2.1.2); при сроке службы более года тех же материалов, если стойкость к воздействию отдельных факторов составляющего сырья известна; при незначительном воздействии биологических, химических и температурных факторов. Стойкость СМ к агрессивным воздействиям должна оцениваться во всех случаях, если в состав сырья входят несинтетические компоненты в любом количестве, а также если синтетические материалы упрочняются химическим способом.

2.3.5. Сопротивление сдвигу СМ на контакте с окружающим грунтом определяют во всех случаях, когда в результате внешних воздействий возможен сдвиг СМ и контактирующего с ним грунта относительно друг друга, например при армировании откосов, в соответствии с приложением 1Д.

В отдельных случаях для повышения сопротивления сдвигу на контакте в СМ целесообразно создавать отверстия диаметром 1,5 - 4 см на расстоянии до 1 - 3 м друг от друга <*>.

2.3.6. Другие из названных в п. 2.2. характеристик СМ определяют следующим образом:

поверхностную плотность (массу 1 м2) - взвешиванием образца размером 500Х500 мм с увеличением полученного результата в 4 раза. Точность взвешивания 5 гс;

толщину - замером ее по каждой из сторон пригруженного нагрузкой 1Н образца размером 50Х200 мм для нетканых и замером ее в трех точках на расстоянии не менее 20 мм от кромки полотна для других материалов с вычислением среднего значения. Точность замеров 0,05 мм. Замеры выполняют толщиномерами, микрометрами (ГОСТ 6507-78). В условиях строительных организаций допускается применение штангенциркуля;

ширину - измерением металлической линейкой (ГОСТ 427-75) с точностью до 5 см.

3. Применение синтетических материалов для усиления земляного полотна и нижних слоев дорожной одежды

3.1. Конструктивные решения

3.1.1. Принимаемые решения по введению в дорожную конструкцию прослоек из рулонных синтетических материалов должны обеспечивать максимальное использование комплекса их эксплуатационных свойств для полной реализации возможностей СМ как армирующих, дренирующих (гидроизолирующих) и защитных элементов.

В зависимости от конкретных условий строительства и ставящихся целей такие прослойки устраивают в верхней части дорожных конструкций (пп. 3.1.2 - 3.1.9) или в нижней части (основании) земляного полотна (пп. 3.1.10 - 3.1.14).

3.1.2. Усиление верхней части земляного полотна, нижних конструктивных слоев дорожной одежды и обочин направлено на повышение прочности дорожной конструкции. Оно может выполняться введением армирующей прослойки СМ тканого и нетканого типов, если их характеристики соответствуют требованиям табл. 2.2. Основные конструктивные решения приведены на рис.1 <*>.

<*> Рисунки не приводятся.

Рис. 1. Прослойки из CM в верхней части дорожных конструкций:

3.1.3. При армировании с одновременным улучшением условий дренирования прослойки СМ укладывают на всю ширину земляного полотна на контакте между песчаным дренирующим слоем и грунтом (рис. 1, а). При повышенной влажности грунтов земляного полотна возможно устройство одновременно двух прослоек из СМ (на поверхности земляного полотна и на глубине 0,5 - 0,8 м) с объединением их в обойму (рис. 1, б). В таких случаях следует использовать СМ нетканого типа, удовлетворяющие дополнительным требованиям п. 5.1.5, а при расчете учитывать положения п. 5.2.

3.1.4. При армировании верхней части дорожных конструкций, если одновременно не ставят цели улучшения условий дренирования, СМ укладывают непосредственно под нижний слой основания дорожной одежды только в пределах ширины проезжей части (рис. 1, в). К СМ в этом случае предъявляют дополнительные требования по деформативности (п. 3.2.2).

3.1.5. Если основание дорожной одежды представлено крупнофракционным материалом (щебень, гравий, шлак), прослойка СМ дополнительно выполняет защитные функции (см. п. 1.3). В этом случае можно не устраивать защитные слои из традиционных дорожно-строительных материалов, рекомендуемых п. 2.39 Инструкции по проектированию дорожных одежд нежесткого типа BCН 46-83, Минтрансстрой СССР. М.: Транспорт, 1985 г. К СМ предъявляют дополнительные требования по сопротивляемости местным повреждениям (см. п. 2.2) и деформативности (п. 3.2.3).

При небольшой распределяющей способности дорожной одежды (дороги с переходным типом покрытия) и отсутствии необходимости выполнения СМ других функций возможно устройство защитных прослоек только в пределах полос наката (рис. 1, г). Такое решение не следует применять, если грунт под СМ имеет повышенную влажность.

3.1.6. Прослойки СМ в качестве защитных целесообразно использовать также для обеспечения принятой технологии устройства слоя основания - п. 3.1.7 (песчаного дренирующего слоя - п. 5.1.2), улучшения работы сборных железобетонных покрытий - п. 3.1.8.

3.1.7. Защитные прослойки из СМ для обеспечения принятой технологии устройства основания целесообразны в сложных условиях строительства: грунты земляного полотна повышенной влажности, значительная интенсивность движения в период строительства. Они выполняют свои функции только в период строительства дороги и могут создаваться из относительно недолговечных рулонных материалов - несинтетических или включающих в значительном объеме несинтетические компоненты. В частности, защитные прослойки на период строительства могут быть устроены из дешевых рулонных бумажных материалов (приложение 6).

3.1.8. Защитные прослойки из СМ под швами сборных железобетонных плит позволяют исключить выплески песка из-под плит при нарушении его динамической устойчивости, предотвратить размыв песка под швами и кромками покрытия. Полосы СМ, шириной не менее половины ширины плиты, укладывают как под продольные, так и под поперечные швы, причем в последнем случае их выводят на откосную часть (рис. 1, д). Следует применять нетканые СМ толщиной более 3,5 мм, с коэффициентом фильтрации более 50 м/сут и прочностью более 70 Н/см.

Прослойки из СМ при двухстадийном строительстве устраивают на второй стадии после завершения консолидации грунта при перекладке плит. На дорогах IV категории они заменяют монтажный слой из песко-цемента и основание из песчано-гравийной смеси при обеспеченной морозоустойчивости конструкции.

3.1.9. Прослойки из СМ для укрепления обочин применяют в качестве армирующих, защитных, дренирующих элементов. Их укладывают только в пределах краевой укрепительной полосы (рис. 1, е), если нет необходимости в выполнении ими дренирующих (гидроизолирующих) функций и не ставится задача защиты обочины от эрозии, или в противном случае на всю ширину обочины с выводом на откосную часть (рис. 1, ж). Для обеспечения лучших условий работы конструкции укрепления обочины допустимо в отдельных случаях устраивать прослойки СМ с обратным уклоном (рис. 1, з), если это не будет способствовать дополнительному увлажнению земляного полотна (например, укладка СМ, водопроницаемых только в направлении, нормальном к плоскости полотен (сетки, тканые CM) - на водопроницаемое основание).

При выборе места расположения СМ в конструкции укрепления обочин (уровень заложения, размещение по ширине) следует учитывать положения пп. 3.1.2 - 3.1.6 Указаний. Если применяемый СМ выполняет функции гидроизолирующей прослойки и занимает не менее 2/3 ширины обочины, при расчете дорожной одежды проезжей части величина расчетной влажности грунтов земляного полотна может быть снижена на 0,04 (в долях от W_т во II - III и на 0,02 в IV - V дорожно-климатических зонах.

3.1.10. При строительстве постоянных и временных дорог в районах распространения слабых грунтов (торф, переувлажненные минеральные грунты) целесообразно применение прослоек из СМ в качестве армирующих, дренирующих и защитных элементов в нижней части (основании) насыпей, параметры которых выбираются согласно положениям действующих документов. Их устройство позволяет снизить объемы земляных работ (исключение в ряде случаев необходимости удаления слабых грунтов, сокращение расхода привозных грунтов), обеспечить устойчивость основания и откосов насыпей, сократить сроки консолидации основания дорог. Устройство прослоек также исключает (уменьшает) взаимопроникновение материалов насыпи и грунта основания, улучшает условия отсыпки и уплотнения насыпи, что облегчает технологию производства работ, сокращает потери материала насыпи.

Рис. 2. Прослойки из CM в нижней части и основании насыпи постоянных (а, б) и временных (а, г, д) дорог:

3.1.11. При устройстве насыпей постоянных дорог для решения задачи ускорения консолидации грунтов (уменьшения сроков до устройств покрытия) применяют нетканые иглопробивные СМ толщиной более 3,5 мм (толщина под нагрузкой от веса насыпи не менее 2 мм), отвечающие требованиям по водопроницаемости. Прослойку из СМ устраивают непосредственно на слабом грунте - по всей ширине подошвы насыпи с запасом не менее 1,0 м в каждую сторону (рис. 2, а). Полотна СМ укладывают с перекрытием в, назначаемым с учетом осадки насыпи (в = 0,15 + 0,2S, м), рассчитанной в соответствии с действующими нормативными документами. Ориентировочные значения осадок S (м) для насыпей высотой 2 - 3 м, возводимых на болотах глубиной до 8 м приведены в табл. 3.1.

Подобное решение рекомендуется применять, если коэффициент фильтрации песка нижней части насыпи менее 1 м/сут. Расчетную степень консолидации основания, по достижении которой допустимо устройство покрытия, можно в этом случае снизить до 0,95 от требуемой нормами для дорог не выше III категории.

Таблица 3.1

Группа болота, м Материал основания
Плотные торфы (коэффициент пористости до 15) Высокопористые торфы (коэффициент пористости более 15)
2 0,5 0,9
4 1,0 1,5
6 1,5 2,0
8 2,0 2,5

3.1.12. Обеспечение устойчивости основания и откосов постоянных дорог достигается путем увеличения жесткости нижней части насыпи. В этом случае должна быть обеспечена равнопрочность устраиваемой прослойки из СМ в поперечном направлении (п. 3.3.4). CM укладывают в один или в два слоя, объединяя их в обойму (рис.2, б). Устойчивость откосов оценивают по методике п. 3.2.7.

3.1.13. Конструкции по рис. 2, а, б применяют на дорогах II - V категорий на болотах I, II типов, а для дорог I категории с асфальтобетонным покрытием на болотах I типа. Минимальную высоту насыпи назначают из условий снегозаносимости, возвышения низа дорожной одежды над уровнем поверхностных вод и исключения упругих колебаний от проходящего транспорта.

Нижняя часть насыпи постоянных дорог может быть возведена при применении СМ из местных грунтов в следующих случаях:

на дорогах III - V категории на болотах I, II типов. Местный грунт связный с К_w <= 1,2 (K_w - коэффициент переувлажнения, отношение фактической влажности к оптимальной). СМ укладывают на поверхность местного грунта (аналогично рис. 2, г);

на дорогах IV - V категорий на болотах I, II типов. Местный грунт связный с K_w>1,2 или торф сильноразложившийся влажностью до 400 - 500%. Местный грунт заключают в замкнутую обойму (см. рис.2, б).

Толщину верхней части насыпи назначают в этих случаях расчетом исходя из исключения упругих колебаний от проходящего транспорта, но не менее 1,0 м для дорог с асфальтобетонным и 1,2 м с цементобетонным покрытием. Толщину нижней части насыпи назначают из условия возвышения низа дорожной одежды над уровнем поверхностных вод или поверхности слабого основания с учетом осадки насыпи.

3.1.14. При устройстве временных автомобильных дорог, подъездов, обеспечении проезда на период строительства в сложных грунтово-гидрологических условиях СМ укладывают непосредственно на основание (рис. 2, в), в нижней части насыпи (см. рис. 2, г) или на лежневой настил, фашинную выстилку (рис. 2, д). При этом:

насыпь по рис. 2, д устраивают на болотах I типа глубиной до 4 м, сложенных плотным торфом, на минеральных грунтах повышенной влажности, если толщина насыпи по условию обеспечения проезда (п. 3.1.15) превышает осадку насыпи за период эксплуатации не менее чем на 0,2 м (на подтопляемых участках - не менее чем на глубину поверхностных вод + 0,2 м). При возможности подтопления целесообразно отгибать край СМ на откос с анкеровкой его в теле насыпи;

насыпь на рис. 2, г устраивают па глубоких болотах I типа, сложенных торфом малой и средней влажности, на болотах II типа и в перечисленных выше случаях, когда условие превышения толщины насыпи над осадкой за период эксплуатации не соблюдается. Нижняя часть насыпи может быть отсыпана из местного торфяного грунта с обязательным его уплотнением;

Таблица 3.2

Среднемесячная интенсивность движения в одном направлении, авт/сут Минимальная толщина насыпей h_п, см, при грунтах основания
Осушенный торф (W<300%) Маловлажный торф (W=300 - 600%) Глинистый грунт (W<0,9 W_т) Заторфованный или глинистый грунт (W>0,9W_т)
Одиночные автомобили 40-60 50-70 25-40 40-60
До 50 50-80 60-90 40-60 50-80
Свыше 50 60-90 70-100 50-80 60-90
Сверхтяжелые нагрузки (разовый проезд) 60-80 60-90 40-60 60-90

Примечание. Общая продолжительность периодов эксплуатации дороги с названной интенсивностью до одного года; меньшие значения толщин принимают для насыпей из песчано-гравийных смесей оптимального состава, большие - для насыпей из мелких непылеватых песков.

насыпь толщиной 0,6 - 0,7 м по рис. 2, д устраивают на болотах II - III типов, сложенных сильносжимаемым слаборазложившимся торфом и на болотах сплавинного типа.

Минимальную толщину насыпей (см. рис.2, в, г) по условию обеспечения проезда (h_п) назначают по расчету или ориентировочно по табл. 3.2.

3.1.15. Параметры конструкций по пп. 3.1.13 и 3.1.14 принимаются согласно рекомендаций <**> и настоящих Указаний.

3.2. Методика расчета

3.2.1. Расчет дорожных конструкции с армирующими и защитными прослойками из СМ в верхней части (активная зона земляного полотна, нижние конструктивные слои дорожной одежды, обочины) проводят в два этапа. На первом этапе рассчитывают конструкцию без прослоек. При этом:

дорожную одежду проезжей части дороги рассчитывают в соответствии с Инструкцией по проектированию дорожных одежд нежесткого типа ВСН 46-83 Минтрансстроя СССР. М.: Транспорт, 1985, с учетом п.3.1.9 Указаний;

конструкции укрепления обочин рассчитывают по Техническим указаниям по укреплению обочин автомобильных дорог ВСН 39-79 Минавтодора РСФСР. М.: Транспорт, 1980.

На втором этапе после назначения вида материалов, количества и толщин слоев проводят корректировку (уменьшение) толщин, соответствующую усилению конструкции и результате применения СМ (пп. 3.2.2 - 3.2.5 Указаний). При этом:

оценивают по пп. 3.2.2 и 3.2.3 соответствие применяемого СМ требованиям по деформативности;

выполняют расчеты по п. 3.2.3 (защитные прослойки) и по п. 3.2.4 (армирующие прослойки - перерасчет толщин слоев);

оценивают по п. 3.2.5 соответствие прочности СМ действующим в конструкции напряжениям.

При уменьшении толщин слоев проводят также повторный расчет дорожной одежды по сопротивлению сдвигу в грунтах, слабосвязных материалах и сопротивлению растяжению при изгибе монолитных слоев в соответствии с ВСН 46-83, причем при расчете дорожной одежды по сопротивлению сдвигу (п. 3.36 и 3.42 ВСН 46-83) величину активных напряжений сдвига в грунте, расположенном непосредственно под армирующей или защитной прослойкой из СМ (грунт земляного полотна, песок подстилающего слоя), уменьшают в 1,2 раза. Предварительно проводят расчет дренирующего слоя с CM из условия осушения по п. 5.2, если СМ выполняют функцию дренирования.

3.2.2. Корректировку толщин и количества слоев дорожной одежды проводят по п. 3.2.4, если СМ выполняют функции армирующих прослоек при условии, что Е_см не менее 350 Н/см и удовлетворяется неравенство

0,01 f / Е_см > 0,5 Е_0 ,   (3.1)
дельта  

где

0,01 - коэффициент приведения размерностей;

f - коэффициент, зависящий от методики определения Е_см (f=2 - для методики приложения 1А, f = 1 - для методики приложения 1Б и других методик, предусматривающих проведение испытаний в условиях сложного напряженного состояния);

Е_см - условный модуль упругости СМ, принимаемый по результатам - испытаний или приложению 5, Н/см;

дельта - толщина синтетического материала, см;

Е_0 - модуль упругости на поверхности лежащих под СМ грунтовых слоев (см. п. 3.2.4), МПа.

3.2.3. Если 150 <= Е_см < 350 Н/см и прослойку из СМ укладывают на контакте "крупнофракционный материал (щебень, гравий) - грунт", модуль упругости на поверхности грунта без расчета повышают в 1,2 раза. Корректировку толщин в этом случае не выполняют, а конечный эффект от применения СМ выражают в увеличении межремонтных сроков службы (п. 7.6).

3.2.4. Корректировку толщин проводят следующим образом:

приводят к двухслойной назначенную согласно ВСН 46-83 конструкцию дорожной одежды (рис. 3, а), границей между слоями которой является прослойка СМ (рис. 3, б). Верхний слой имеет параметры (обозначения по рис. 3):

Е_ср = (h_1 Е_1 + ... + h_i Е_i) ;   (3. 2)
H  
         
Н = сумма h_i.      

Рис. 3. Схемы к расчету по п. 3.2

Рис. 4. Номограмма к расчету по п. 3.2

Нижний слой имеет модуль упругости Е_0, равный модулю упругости на поверхности лежащих под СМ грунтовых слоев. Значение Е_0 находят по номограмме (рис. 4). При укладке СМ непосредственно на поверхность земляного полотна Е_0 равен модулю упругости грунта земляного полотна;

определяют общий модуль упругости на поверхности покрытия дорожной одежды:

Е_Общ(а) = Е_Общ/альфа_1(2), где альфа_1(2) - коэффициент усиления, принимаемый по табл. 3 приложения 2 при известных значениях Е_ср, Н, Е_см, Е_0, D (D = 37 см);

уменьшают толщину одного из слоев дорожной одежды до соблюдения условия Е_Общ(а) = Е_тр, так как Е_Общ(а) > Е_Общ >= Е_тр. Для этого исходя из нового значения модуля упругости на поверхности покрытия Е_Общ(а) последовательно сверху вниз с использованием номограммы (см. рис. 4) определяют значения модулей упругости на поверхности каждого слоя дорожной одежды вплоть до слоя, толщину которого предполагается уменьшить. По той же номограмме находят его условную толщину h_i при найденном новом (увеличенном) значении модуля упругости на поверхности этого слоя и скорректированное значение этой толщины h_i из выражения

h а = 2h   - h   .   (3.3)
i i i  

Последовательность расчета показана в приложении 3А.

3.2.5. Проверку прочности прослойки СМ проводят во всех случаях (независимо от величины Е_см и выполняемых СМ функций) на действие строительных н эксплуатационных нагрузок в соответствии с критерием

сигма_а = 0,01 х 1,9 РЕ_см
эпсилон
<= R_расч = 0,01 К_р R_р ,   (3. 4)
дельта Е_0 дельта  

где

сигма_а, R_расч - соответственно напряжения, возникающие в СМ от действия колесной нагрузки, и расчетное значение прочности СМ, МПа;

0,01 - коэффициент приведения размерностей;

1,9 - коэффициент, зависящий от соотношения коэффициентов Пуассона грунта мю_о и СМ мю_см (принято мю_о = мю_см = 0,3);

P - удельное давление от колеса расчетного автомобиля, МПа; Е_0 - см. п. 3.2.2;

эпсилон - безразмерный параметр (табл. 2 приложения 2);

К_р - коэффициент, определяемый из выражения К_р = K_n/m при значении K по п. 2.2.4;

n = 0,7 для полиамидных и полиэфирных, n = 0,4 для полипропиленовых СМ (вводится, если СМ выполняют функции армирующей прослойки);

m = 1,2 (вводится при укладке СМ на контакте крупнофракционный материал - грунт);

R_p - прочность СМ по результатам испытаний (приложение 1А, Б), Н/см;

дельта - толщина прослоек СМ.

При проверке прочности на действие строительных нагрузок принимают К = 1, а параметры Н_a и Е_ср(а) (см. сноску к табл. 2 приложения 2) - равными параметрам отсыпаемого непосредственно на СМ слоя.

3.2.6. Расчет насыпей на слабом основании с прослойкой из СМ на контакт "насыпь - слабое основание" выполняют в соответствии с действующими нормативными документами, руководствуясь также дополнительными положениями:

при расчете дорожных одежд расчетное значение относительной влажности слабого грунта основания может быть уменьшено на 5 - 10%;

расчетную степень консолидации основания назначают с учетом п. 3.1.11;

при применении CM для обеспечения устойчивости основания и откосов (п. 3.1.12) расчет устойчивости откосов проводят с учетом армирующего действия СМ (пп. 3.2.7, 3.2.8, 4. 2) и оценивают соответствие механических характеристик СМ условиям его применения (пп. 3.2.9, 3.2.10).

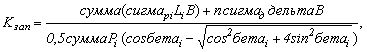
3.2.7. Коэффициент запаса устойчивости откосов насыпи с прослойкой СМ на слабом основании насыпи рассчитывают по формуле

(3.5)

где

дельта p_i - предельное значение растягивающих напряжений для грунта (п. 4.2.3);

n, дельта - количество и толщина прослоек СМ;

R_дл - длительная прочность СМ (п. 3.2.8);

P_i = гамма, F_i, B - вес каждого из блоков, на которые разбивается откос над поверхностью скольжения;

F_i, В, гамма_i, L_i - соответственно площадь, толщина, удельный вес грунта блоков и длина поверхности скольжения в их пределах;

бета_i - угол наклона поверхности скольжения в пределах i-го блока.

Если прослойки СМ расположены также в теле насыпи, расчет выполняют по п. 4.2 Указаний, заменяя сигма_р на R_дл для прослойки, расположенной в основании насыпи.

3.2.8. Значения длительной прочности СМ R_дл (по п. 3.2.7) назначают по результатам испытаний (см. приложение 1В). При использовании данных приложения 5 за R_дл принимают: для нетканых иглопробивных CM - 1,2 сигма_д, для остальных - сигма_д. Для СМ, не вошедших в таблицу приложения 5, можно ориентировочно принимать:

для тканых материалов, жестких сеток из полиамидного, полиэфирного сырья R_дл = 0,7 R_p/дельта, полипропиленового R_дл = 0,4R_р/дельта;

для нетканых иглопробивных СМ из полиамидного, полиэфирного сырья R_дл = 0,5R_р/сигма, полипропиленового R_дл = 0,2R_р/дельта, R_р - предел прочности СМ, определяемый по приложению 1А.

В любом случае величина R_дл не должна превышать значения KR_p/дельта (см. п. 2.2.4).

3.2.9. Приближенную оценку соответствия механических характеристик СМ, отвечающих требованиям табл. 2.2, условиям применения для нетканных иглопробивных и других сильно деформируемых материалов (эпсилон_0 >= 30%) выполняют в соответствии с выражением

(3.6)

где

f - см. п. 3.2.2; m_1,

H - соответственно заложение откоса и высота насыпи;

S - осадка насыпи, определяемая по действующим нормативным документам;

эпсилон_0 - общее относительное удлинение СМ при разрыве (назначается после испытаний по методике приложения 1А или по паспортным данным).

В случае применения жестких СМ с эпсилон < 30% для армирования оснований (п. 3.1.12) такую оценку выполняют исходя из условий восприятия ими всего усилия, соответствующего растягивающим напряжениям сигма_х в нижней части насыпи.

сигма   = гамма Н tg 2 (45° - фи/2),   (3.7)
х    

Н - высота насыпи;

гамма, фи - удельный вес и угол внутреннего трения грунта насыпи;

остальные обозначения по п. 3.2.8, т. е. величина сигма_х не должна превышать значения R_дл (R_дл - см. п. 3.2.8).

3.2.10. При укладке СМ в основание насыпи на лежневой настил (п. 3.1.14) должно быть проверено соблюдение условия

    3 х 10 -2 Е        
l   =   дсм ,   (3. 8)
п Р  

где

l_п - размер пустот (щелей), перекрываемых СМ, см;

P - давление песчаной засыпки на прослойку, МПа.

3.3. Особенности технологии производства работ

3.3.1. При устройстве прослоек из СМ в применяемые технологии дополнительно вводятся операции:

подготовка подстилающего прослойку грунта;

транспортировка, распределение по участку рулонов СМ, их укладка и при необходимости соединение;

отсыпка на СМ материала вышележащего слоя, его распределение и уплотнение.

Общая технологическая схема устройства прослоек из СМ приведена на рис.5.

3.3.2. Подготовка подстилающего СМ грунта состоит в профилировании его поверхности и уплотнении. Коэффициент уплотнения грунта должен соответствовать нормативным требованиям, поверхность не должна иметь колей, ям и других неровностей глубиной более 5 см.

Рис. 5. Общая технологическая схема устройства прослоек из СМ

Рис. 6. Способы укладки CM (а, б) и отсыпка на поверхность СМ материала, лежащего выше слоя (в):

При устройстве прослойки из СМ в основании насыпи, сложенном слабыми грунтами, подготовка может не выполняться, если отсутствует опасность повреждения СМ. При наличии глубокой колеи или ям их засыпают грунтом, планируют автогрейдером или бульдозером. Кустарник, деревья вырубают и спиливают в одном уровне с поверхностью. В этом случае корчевка пней может не проводиться. Если в момент производства работ на участке имеются поверхностные воды, то отсыпают защитный слой из местного грунта толщиной 20 - 30 см, но не менее чем на глубину подтопления.

3.3.3. Рулоны СМ транспортируют к месту производства работ непосредственно перед укладкой и распределяют по длине участка работ через расстояние, соответствующее длине полотна в рулоне.

3.3.4. Укладку полотен выполняют, как правило, вдоль земляного полотна путем раскатки рулонов вручную звеном из трех дорожных рабочих. После раскатки первых метров краевую часть (по ширине) полотна принимают к грунту двумя-тремя анкерами (стержни диаметром 3 - 5 мм) длиной 15 - 20 см с отогнутым верхним и заостренным нижним концами. При дальнейшей раскатке производят разравнивание полотна с небольшим продольным его натяжением и креплением к грунту анкерами (или другим способом) через 10 - 15 м (через 1,5 - 2,0 м при устройстве прослойки из CM на слабом основании). Крепление выполняют во избежание смещения полотна при действии ветровой нагрузки, укладке вышележащего слоя, а также для сохранения небольшого предварительного натяжения СМ. Полотна укладывают с перекрытием не менее 0,15 м (рис. 6, а) и при необходимости дополнительно соединяют. При устройстве прослойки из СМ в основании насыпи, сложенном слабыми грунтами, величину перекрытия назначают в соответствии с п. 3.1.11, но не менее 0,3 м.

Укладку полотен в поперечном направлении выполняют, если необходимо обеспечить равнопрочность полотна по ширине насыпи (устройство прослойки с целью обеспечения устойчивости слабого основания и откосов насыпи и невозможно обеспечить надежное соединение отдельных полотен. Величина перекрытия полотен в этом случае должна быть не менее 0,2 - 0,3 м; полотна крепят к грунту анкерами, устанавливаемыми на ширине перекрытия через 1,5 - 2,0 м.

В тяжелых грунтовых условиях возможна также укладка СМ по принципу, указанному на рис. 6, б (п. 3.3.5).

Производительность работ по укладке полотен может быть определена исходя из следующих данных: скорость раскатывания рулонов при их ширине 1,5 - 2,0 м составляет 1500 - 2000 м2/ч; потери времени на выравнивание и анкеровку полотен составляют в среднем 0,18 - 0,20 ч на одно полотно при его длине 80 - 100 м. В зависимости от условий выполнения работ, ширины полотна СМ в рулоне производительность колеблется от 1000 (грунты повышенной влажности, ширина полотна 1,5 - 2,0 м) до 10000 м2/смену (ширина полотна 4,5 м, продольная укладка).

Рис. 7. Схема установки для соединения полотен СМ тепловым способом

3.3.5. Соединение отдельных полотен СМ выполняют одним из технологически возможных способов (тепловое соединение, сшивание, склеивание и т. д.), которые наиболее приемлемы для данного вида синтетического материала и окружающих условий. Для обеспечения прочного соединения краевые зоны полотна в этих случаях перекрываются на 0,1 м. При соединении тепловым способом может быть применена установка <***>, схема которой приведена на рис. 7.

При производстве работ в сложных грунтово-гидрологических условиях (например, наличие грунтов повышенной влажности) для облегчения выполнения работ, улучшения их качества целесообразно соединение полотен частично или полностью выполнять за пределами участка строительства (на производственной базе строительной организации, предприятия-изготовителя). В этом случае выполняют укладку полотен увеличенной ширины. Раскатывают одно полотно поверх другого с соединением по краю одним из названных способов, а также иглопробиванием (в условиях предприятия-изготовителя), с последующим свертыванием в рулон, транспортировкой и раскладкой полученного блока полотен на месте производства работ (см. рис. 6, б).

3.3.6. Отсыпку на СМ материала вышележащего слоя необходимо вести с таким расчетом, чтобы СМ находился под действием дневного света не более 5 ч. Перед отсыпкой грунта проверяют качество усложненной прослойки путем визуального осмотра и фиксации сплошности, величины перекрытия, качества стыковки полотен. Также оценивают визуально качество самого СМ. По результатам осмотра составляют акт на скрытые работы, где приводят результаты осмотра, данные о поставщике и характеристики СМ, указанные в паспорте на партию СМ или на этикетках рулонов, а также данные, полученные при приемке СМ (прежде всего массу 1 м2 и толщину). В случае несоответствия фактических данных приведенным в паспорте, на этикетке или общим требованиям (п. 2.2 Указаний) производство работ следует приостановить и провести контрольные испытания образцов СМ (п. 2. 3 Указаний).

Отсыпку материала на СМ ведут по способу "от себя" без заезда занятых на строительстве машин на открытое полотно. Толщина отсыпаемого слоя в плотном теле должна быть не менее 15 см, а при устройстве прослойки из СМ на слабом основании - не менее 20 см при разовом пропуске транспорта и не менее величин, указанных в табл. 3.2 при регулярном проезде автомобилей. Разравнивание отсыпаемого непосредственно на СМ материала ведут бульдозером с последовательной срезкой и надвижкой его не менее чем за три прохода (рис. 6, в).

3.3.7. При устройстве прослойки на слабом основании уплотнение отсыпанного слоя ведут средствами, выбранными с учетом несущей способности основания. Уплотнение начинают легкими катками и выполняют от середины к краям насыпи. Последующие операции выполняют без изменения.

При планировании производства работ следует руководствоваться положениями Технологических карт по устройству дорожных одежд, и земляного полотна с применением рулонных синтетических текстильных материалов (Гипродорнии. М.: ЦБНТИ Минавтодора РСФСР, 1981), Технологической карты на возведение земляного полотна с прослойкой в основании насыпи из синтетических нетканых материалов (ВПТИТрансстрой, М.: Минтрансстрой СССР, 1985).

4. Применение синтетических материалов для обеспечения устойчивости откосов

4.1. Конструктивные решения

4.1.1. Рулонные синтетические материалы применяют как для укрепления откосов земляного полотна (повышение местной устойчивости), так и для усиления грунтового массива (повышение общей устойчивости откосов).

4.1.2. При укреплении откосов СМ служит временным или постоянным элементом, выполняющим в первую очередь функции защиты и играющим роль: покрытия на откосе, замедляющего или предотвращающего его эрозию под действием воды и ветра; арматуры, повышающей устойчивость грунтов поверхностной зоны откоса; фильтра, предотвращающего вынос частиц грунтовыми водами. В первых двух случаях применимы сплошные или мелкосетчатые СМ (сетки), в третьем - сплошные дренирующие СМ обычно нетканого типа, отвечающие требованиям раздела 2.2 настоящих Указаний. Как правило, СМ используют в комбинации с другими типами укрепления - биологическими, несущими, защитными и изолирующими.

4.1.3. CM применяют в сочетании с биологическими типами конструкций укрепления в виде посева трав различными способами (механизированный посев по предварительно нанесенному на откосы растительному грунту слоем 10 см с содержанием гумуса не менее 2%, гидропосев с мульчированием).

СМ укладывают непосредственно на поверхность откоса под растительный грунт (рис. 8, а) или с гидропосевом трав на его поверхности, для создания более плотного травяного покрова, выравнивания влажностного режима. СМ укладывают на поверхность растительного грунта с засевом трав или с гидропосевом трав непосредственно на поверхность откоса под СМ и районах с неблагоприятными для развития травяного покрова климатическими условиями или при наличии интенсивного размыва грунта для защиты семян от вымывания, создания более благоприятного температурно-влажностного режима, защиты откоса от эрозии только на период формирования травяного покрова (СМ - временный элемент, рис. 8, б). Если в последнем случае СМ должен служить в качестве постоянного элемента, над ним устраивают замыкающий слой из грунтовой засыпки толщиной не менее 5 см. В сочетании с верхним замыкающим слоем из засеянного травами растительного или дренирующего грунта толщиной 10 - 30 см нетканые СМ целесообразно использовать в выемках, сложенных глинистыми грунтами повышенной влажности, при выклинивающихся водоносных грунтах. Цель применения СМ, помимо защиты откосов от размыва поверхностными водами, - предотвращение выноса грунта и образования сплывов. СМ укладывают на поверхность откоса с выводом в траншейный дренаж (рис. 8, в).

СМ, применяемый как постоянный элемент, закрепляют на обочине (рис. 8, г). Целесообразно одновременно с откосами укреплять и обочины (рис. 8, д).

Рис. 8. Укрепление откосов земляного полотна CM в комбинации с биологическими типами укрепления

Рис. 9. Укрепление откосов земляного полотна CM в комбинации с решетчатыми конструкциями (а), бетонными плитами (б) и укрепление армированием поверхностной зоны (в)

4.1.4. CM применяют в сочетании с несущими решетчатыми сборными конструкциями укрепления с заполнением ячеек решетки щебнем 40 - 70 мм, камнем 50 - 100 мм, а также защитными изолирующими решетчатыми сборными облегченными конструкциями укрепления с заполнением ячеек решетки растительным грунтом с посевом трав, морозостойким неусадочным грунтом, торфо-песчаной, гравийно-песчаной смесями. В этом случае СМ укладывают непосредственно на поверхность отлога под решетку (рис. 9, а) в качестве фильтра. Такое решение применяют в сложных грунтовых условиях при водонеустойчивых легкоразмываемых грунтах неподтопляемых откосов, наличии выклинивающихся водоносных горизонтов в мокрых выемках, а также при защите подтопляемых откосов. Края СМ закрепляют на обочине, а при подтопляемых откосах - дополнительно и у их подошвы с заглублением под упор.

4.1.5. СМ применяют в сочетании с несущими бетонными или железобетонными, монолитными или сборными конструкциями укрепления конусов и откосов периодически подтопляемых насыпей. Они заменяют в конструкции укрепления частично или полностью обратные фильтры из других материалов. Перед укладкой СМ на откосе, сложенном связными легкоразмываемыми грунтами, следует создавать защитный слой толщиной 10 см из средне- или крупнозернистого песка. Для облегчения технологии производства работ над СМ рекомендуется устраивать монтажный песчаный слой толщиной 5 см.

СМ в зависимости от его вида, гидрологических условий подтопления, грунтовых условий, вида применяемых бетонных конструкций укрепления укладывают в один, два слоя или в один слой с дополнительным слоем над швами плит.

Рис. 10. Применение CM для повышения общей устойчивости откосов (а, б) и расчетная схема (в): 1 - СМ

Нетканые иглопробивные СМ толщиной 3 - 4 мм, как правило, указывают в случае укрепления откоса: сборными плитами, омоноличиваемыми по контуру - в один сплошной слой с дополнительным слоем шириной 0,5 м под швами; монолитным бетонным покрытием - в один сплошной слой; сборными плитами с открытыми швами - в два сплошных слоя. У бровки земляного полотна СМ закрепляют отсыпкой на него грунта, щебня, песчано-гравийной смеси, у подошвы - заглублением под упор (рис. 9, б).

4.1.6. В зонах, где вероятны разрушения откосов вследствие эрозии и размывов при временном подтоплении, в случаях если уплотнение откосных частей затруднено, если земляное полотно возводится из легкоразмываемых или резко снижающих свою прочность при увлажнении грунтов, целесообразно заглубление прослоек из СМ в откос для армирования его поверхностной зоны (рис. 9, в). Следует, как правило, обеспечивать вывод свободных концов прослоек на откос для одновременного создания поверхностной защиты или объединять прослойки в "обоймы". Величина заделки прослоек в грунт в таких случаях должна быть не менее 1,5 м, а расстояние между ними 0,5 - 0,7 м. Армирование откосов дополняют устройством защитного слоя с последующим засевом трав.

4.1.7. CM, уложенные в откос с пересечением предполагаемой поверхности скольжения (рис. 10, а), воспринимают часть растягивающих напряжений. Этим создается возможность повысить общую устойчивость откосов; обеспечить их общую устойчивость в сложных условиях строительства, например при возведении насыпи на слабом основании (п. 3.1.12); увеличить крутизну откосов, сократив тем самым объем земляных работ, площадь отводимых под строительство земель, обеспечить строительство в стесненных условиях. Количество прослоек назначают расчетом исходя из обеспечения требуемого коэффициента запаса устойчивости, а длина их заделки l_а в грунт должна превышать минимальную, назначаемую исходя из недопущения проскальзывания СМ относительно грунта (п. 4.2). При выборе места укладки прослоек СМ по высоте насыпи следует учитывать, что наиболее нагруженной от собственного веса грунта является нижняя часть насыпи. Как правило, для несвязных грунтов верхняя из прослоек должна находиться не выше чем на половине высоты насыпи и для связных - на глубине 1,0 м от поверхности насыпи, нижняя - на расстоянии 0,5 м над самой низкой точкой поверхности скольжения. В этом диапазоне армирующие слои из СМ размещают равномерно.

Для одновременного повышения и местной устойчивости прослойки укладывают с выводом на откос, а при необходимости увеличения жесткости нижней части насыпи их можно объединить в "обойму" (рис. 10, б). В этих случаях СМ способны содействовать ускорению отвода воды из тела земляного полотна.

При выводе прослоек на откос устраивают защитный замыкающий слой из растительного грунта или применяют укрепление согласно проекту.

4.2. Методика расчета общей устойчивости откосов при их армировании прослойками из синтетических материалов

4.2.1. При проектировании конструкций насыпей с армированными СМ откосами должны быть решены следующие задачи:

проведена оценка устойчивости откоса в виде расчета его коэффициента запаса и на основе этого подобрано необходимое число прослоек (пп. 4.2.2 - 4.2.5);

проведен расчет длины заделки прослойки (п. 4.2.6);

назначено распределение прослоек по высоте насыпи (п. 4.1.7).

4.2.2. Расчет коэффициента запаса устойчивости армированного СМ откоса выполняют по формуле

(4. 1)

где

сигма_pi - предельное значение растягивающих напряжений для грунта (п. 4.2.3);

n, дельта - количество прослоек СМ, их толщина;

P_i = гамма, F_i, B - вес каждого из блоков, на которые разбивается откос над поверхностью скольжения (положение линии скольжения определяется любым известным методом, например с использованием графика Ямбу - рис. 11);

F_i, В, гамма_i, L_i - соответственно площадь, толщина, удельный вес блоков и длина поверхности скольжения в их пределах (как правило, В = 1);

сигма_д - расчетное значение допустимого растягивающего напряжения для СМ (п. 4.2.4);

бета_i - угол наклона поверхности скольжения к горизонту в пределах блока.

Схема к расчету приведена на рис. 10, в.

4.2.3. Для точного определения предельного значения растягивающих напряжений для грунта сигма_pi по стандартной методике ГОСТ 12248-78 проводят испытания грунта на сдвиг при значении нормального давления сигма_n соответствующего нормальному давлению на поверхности скольжения в данном блоке i, после чего сигма_pi, рассчитывают по формуле

(4.2)

где

тау_прi - предельное значение касательного напряжения при данном сигма_ni.

При известных фактических прочностных характеристиках фи и С значение сигма_pi для данного грунта может быть рассчитано по формуле

(4.3)

где

сигма_n = 0,1 МПа.

Для примерной оценки сигма_p_i с использованием табличных значений фи и С его величина может быть найдена из следующего выражения:

сигма_pi = К_1 С. (4.4)

где

К_1 - коэффициент, принимаемый в зависимости от значения фи:

фи, град . ....... <= 3 5 7 9 11
К_1............... 0,40 0,48 0,55 0,63 0,70
фи, град ........ 13 15 17 21 >= 25
К_1 .............. 0,77 0,85 0,90 0,96 1,0

Рис. 11. График определения положения линии скольжения

4.2.4. Величину расчетного значения допустимого растягивающего напряжения для прослойки сигма_д назначают по результатам специальных испытаний (приложение 1В). Для проведения предварительных расчетов величину сигма_д допускается принимать в долях от прочности СМ при растяжении R_р (R_p назначается по паспортным данным или после испытаний по методике приложения 1А):

для тканых материалов, жестких сеток из полиамидного, полиэфирного сырья сигма_д = 0,6R_р/дельта, из полипропиленового сырья сигма_д = 0,3 R_р/дельта;

для нетканых иглопробивных СМ из полиамидного, полиэфирного сырья сигма_д = 0,25 R_р/дельта, полипропиленового сигма_д = 0,1 R_р/дельта.

В любом случае величина сигма_д не должна превышать значения КR_р/дельта (К - см. п.2.2.4).

4.2.5. Подбор числа прослоек арматуры выполняют по формуле

(4.5)

где

К_зап.тр - требуемый коэффициент запаса устойчивости откоса.

4.2.6. Длину заделки прослойки в грунт l_з определяют по формуле

l_з = 0,5 R_p ,   (4.6)
сумма (гамма i h_i tg фи' + С')  

где

R_р - предел прочности СМ на растяжение, определяемый по паспортным данным или методике приложения 1А;

гамма_i , h_i ; - удельный вес и толщина слоев грунта, расположенных над верхней из прослоек;

фи' и С' - прочностные характеристики по контакту "арматура-грунт", определяемые по результатам испытаний (приложение 1Д).

Таблица 4.1

Вид армирующего СМ Значения прочностных характеристик для
связного грунта несвязного грунта
Тканый, нетканый, сетка tg фи' = tg фи, С' = 0,1С tg фи' = 0,9 tg фи
Пленки и другие СМ с гладкой поверхностью Только по результатам испытаний tg' = 0,45 tg фи

Для примерной оценки их значения даны в табл. 4.1 в зависимости от фи и С грунта.

Значения длины заделки материала l_з (см. рис.10, а, б) должны быть не менее 2 м.

4.3. Особенности технологии производства работ

4.3.1. Основные технологические процессы по устройству различных конструкций укрепления с применением СМ назначаются в соответствии с действующими нормативно-техническими документами. Дополнительно выполняются лишь операции по укладке полотен СМ.

4.3.2. Операции по укладке СМ включают:

подготовку (при необходимости) траншеи вдоль бровки земляного полотна для закрепления прослойки в верхней его части (см. рис. 8, г);

транспортировку рулонов к месту строительства, их разгрузку и распределение вдоль откоса, подготовку рулонов к укладке;

укладку СМ;

закрепление полотен в верхней и (при необходимости) нижней частях откоса.

4.3.3. Подготовку траншеи выполняют, если не предусмотрен иной вариант закрепления прослойки СМ в верхней части откоса, например, путем укладки ее под конструкцию укрепления обочин. Траншею треугольного сечения с заложением откосов 1:2 глубиной 0,4 м или трапецеидального сечения с заложением откосов 1:1 глубиной 0,3 м и шириной пи низу 0,2 м устраивают на расстоянии 0,2 - 0,6 м от бровки земляного полотна.

4.3.4. Рулоны транспортируют и распределяют вдоль бровки через определенное расстояние, зависящее от длины материала в рулоне, длины образующей откоса, направления раскатки рулонов.

4.3.5. Укладку полотен СМ выполняют путем продольной или поперечной раскатки рулонов по поверхности откоса Характер раскатки определяется конкретными условиями строительства. Продольная раскатка рулонов технологически предпочтительна для относительно пологих откосов с заложением 1:2 и выше. Поперечная раскатка рулонов обеспечивает лучшие условия для закрепления создаваемой прослойки в верхней и нижней частях насыпи и большую сопротивляемость ее возникающим сдвигающим усилиям Такая раскатка предпочтительна для укрепления откосов насыпей значительной высоты и обязательна для повышения их общей устойчивости.

Продольную раскатку рулонов выполняют вручную полосами, начиная с нижней части насыпи с взаимным перекрытием не менее 0,2 м. В процессе раскатки полотна периодически через 10 - 15 м разравнивают и прижимают к поверхности откоса анкерами или скобами. Анкеры и скобы устанавливают в 2 - 3 точках по ширине рулона через 5 - 6 м по его длине.

Поперечную раскатку выполняют от бровки насыпи. Для этого предварительно край полотна закрепляют анкерами или скобами на поверхности насыпи, после чего рулон постепенно опускают к подошве насыпи, обрезают, полотна разравнивают с легким натяжением за нижний конец и закрепляют через 4 - 5 м анкерами или скобами. Рулон поднимают на поверхность откоса и повторяют операцию. Соседние полотна должны иметь перекрытие не менее 0,1 - 0,15 м. Перемещение рулона и нижнее положение с одновременной раскаткой и обратно можно выполнять вручную с помощью установки в центр рулона тонкой трубки или стержня и веревки.

4.3.6. Если предусмотрено дополнительное закрепление СМ у подошвы, например под упором (см. рис. 9, а, б), и в верхней части, например в траншее (п. 4.3.3), дополнительно по местам перелома траншеи выполняют прижатие полотен к грунту анкерами.

Траншею в верхней части насыпи после укладки СМ заполняют песчано-гравийной смесью, щебнем, местным грунтом и уплотняют.

При устройстве конструкций укрепления откосов по п. 4.1.6, предусматривающих заглубление СМ в тело земляного полотна, укладку полотен СМ выполняют в процессе послойного возведения земляного полотна. При этом рулоны раскатывают в продольном направлении, если ширина полотен достаточна с точки зрения их заделки в грунт или есть возможность обеспечить равнопрочность швов при соединении отдельных полотен. В остальных случаях рулоны СМ раскатывают в поперечном к оси насыпи направлении.

Раскатку рулонов выполняют от предварительно обозначенной линии разметки с периодическим разравниванием, натяжением и креплением полотен к поверхности грунта анкерами в двух-трех местах по ширине рулона и через 10 - 12 м по длине. Величина взаимного перекрытия соседних полотен - не менее 0,2 м при выводе СМ на поверхность откоса; в других случаях полотна укладывают вплотную без перекрытия.

Если предусмотрен вывод СМ на поверхность откоса, свободные его края крепятся к поверхности откоса ниже уровня укладки СМ анкерами или скобами.

5. Применение синтетических материалов для дренирования грунтов

5.1. Конструктивные решения

5.1.1 Дренирование грунтов является эффективным средством повышения прочности земляного полотна. Оно осуществляется с помощью дренирующих слоев, устраиваемых в нижней части земляного полотна для ускорения консолидации слагающих ее переувлажненных грунтов (рис. 12, а, б), непосредственно под дорожной одеждой (рис. 12, в), траншейным дренажем мелкого и глубокого заложения и т.д. (рис. 12, в, г, д, е).

Применение при их устройстве СМ позволяет сократить объем дренирующего материала и продлить срок эффективной работы дренажа за счет уменьшения (исключения) его заиливания, исключения перемешивания дренирующего материала с грунтом, ускорения отвода воды.

Рис. 12. Применение СМ для дренирования грунтов:

5.1.2. Прослойки из СМ в сочетании с песчаными дренирующими слоями в нижней части земляного полотна, рассчитываемыми согласно Методическим рекомендациям по сооружению земляного полотна автомобильных дорог из грунтов повышенной влажности (М. : Союздорнии, 1980), устраивают для защиты от перемешивания грунта и материала дренирующего слоя на период строительства (см. рис. 12, а). Для этого используют СМ, как правило, нетканого типа толщиной не менее 1,5 мм, отвечающие требованиям табл. 2.2. Толщина дренирующих слоев при применении таких СМ может быть уменьшена на 20%.

Расстояние между дренирующими слоями составляет не более 2 м для суглинков и 1,5 м для тяжелых суглинков и глин. Верхний слой должен размещаться на расстоянии не менее H' от поверхности земляного полотна в условиях, указанных в табл. 5.1.

5.1.3. Нетканые иглопробивные СМ толщиной не менее 3,5 мм при соблюдении требований по водонепроницаемости могут в таких случаях выполнять функции самостоятельных дренирующих элементов, заменяющих песчаные слои в нижней части земляного полотна. Прослойки из СМ устраивают на всю ширину насыпи с поперечном уклоном 40‰ и выводом краев полотен на откос. Для снижения степени их заиления над и под прослойкой из СМ следует создавать песчаный защитный слой минимальной толщины (см. рис. 12, б).

Таблица 5.1

Вид грунта Минимальное расстояние от поверхности земляного полотна до верхнего дренирующего слоя Н', м, при значении К_w
1,1 1,2 1,3 1,4 1,5
Легкий суглинок 3,0 2,5 2,25 2,0 1,5
Тяжелый суглинок и глина, суглинок пылеватый 5,5 5,0 4,35 3,5 2,5

Примечание. К_w - коэффициент переувлажнения грунтов земляного полотна (отношение фактической влажности к оптимальной).

5.1.4. Если отдельные полотна СМ укладывают поперек земляного полотна или при продольной укладке предусмотрено соединение полотен сшиванием, возможно одновременно решить задачу повышения общей устойчивости откосов (см. п. 4.2).

5.1.5. Прослойки из СМ в сочетании с песчаным дренирующим слоем дорожной одежды (см. рис. 12, в) устраивают из нетканых упрочненных иглопробиванием СМ, отвечающих требованиям табл. 2.2 и имеющих толщину не менее 3,5 мм и вес не менее 300 г/м2. Рекомендуемое начальное значение коэффициента фильтрации СМ в плоскости полотна при обжатии нагрузкой 0,01 МПа составляет 140 м/сут, но не менее 100 м/сут. Если предусмотрен сброс воды по прослойке из СМ непосредственно в продольный трубчатый дренаж, отношение коэффициента фильтрации СМ в нормальном плоскости полотна направлении к коэффициенту фильтрации грунта должно быть больше 2 при дренировании песчаных грунтов, больше или равно 10 при дренировании глинистых грунтов. Расчет дренирующих слоев с прослойками СМ выполняют согласно п.5.2.

5.1.6. Прослойки из СМ по п. 5.1.5 укладывают непосредственно на земляное полотно под песчаный дренирующий слой по всей ширине последнего (см. рис. 12,б), из края должны быть выведены на откосную часть не менее чем на 0,5 м. В этом случае обеспечивается эффективное функционирование дренирующего слоя, создаваемого в том числе из песков средней крупности и мелких с низким коэффициентом фильтрации (1 - 3 м/сут).

5.1.7. Если грунты земляного полотна содержат более 50% частиц размером 0,005 - 0,05 мм и менее 25% частиц крупнее 0,1 мм по массе, на контакте "CM - земляное полотно" следует предусматривать устройство технологического песчаного слоя минимальной толщины.

5.1.8. При устройстве траншейных дренажей, дренажей с трубчатыми дренами СМ используют в качестве дренирующего и защитного элемента (фильтра), обеспечивающего долговременное функционирование дренажа взамен устройства трудоемких фильтровых обсыпок. В этом случае СМ должны отвечать требованиям табл. 2.2, а возможность их применения должна быть проверена по методике, изложенной в п. 5.2.

5.2. Методика расчета

5.2.1. Расчет песчаного дренирующего слоя дорожной одежды в сочетании с прослойкой из СМ и проверка возможности применения СМ в качестве фильтра изложены соответственно в пп. 5.2.2, 5.2.4 и 5.2.5. После назначения толщины дренирующего слоя по п. 5.2.2 проводят перерасчет дорожной конструкции с введением поправки на расчетную влажность грунтов земляного полотна согласно табл. 8 приложения 2.

5.2.2. Назначение толщины песчаного дренирующего слоя с прослойкой из СМ выполняют исходя из условия временного размещения в нем воды (ВСН 46-83) и своевременного ее отвода. Расчет песчаного дренирующего слоя с прослойкой из CM из условия своевременного отвода воды выполняют в следующем порядке (приложение 3Б):

определяют расчетное значение коэффициента фильтрации СМ в плоскости полотна К_ф(р) (п. 5.2.3);

определяют расчетное значение притока воды в дренирующий слой q_p по формуле

q_р = q K_п ,   (5. 1)
1000  

где

q - среднесуточный приток воды в основание дорожной одежды;

К_п - коэффициент "пик", назначаемые по табл. 18, 19 ВСН 46-83;

определяют по номограмме (рис. 13, а, б) расчетную глубину фильтрационного потока h_р в зависимости от длины пути фильтрации l_ф, коэффициентов фильтрации СМ К_ф(р) и песка К_ф(п), поперечного уклона земляного полотна i и притока воды;

определяют по номограмме (рис. 14, а) степень увлажнения С в зависимости от i и отношения h_p/l_ф;

определяют толщину слоя, полностью насыщенного водой h_нас, по номограмме (рис.14, б) и вычисляют толщину дренирующего слоя h_д:

h_д = h_нас + h_зап, (5.2)

где

h_зап - дополнительная толщина слоя, принимаемая равной для мелких песков 0,18 - 0,20 м, песков средней крупности 0,14 - 0,15 м, крупных 0,10 - 0,12 м.

5.2.3. Определение расчетного значения коэффициента фильтрации СМ в плоскости полотна с учетом его снижения в период эксплуатации к_ф(р), выполняют в следующем порядке:

определяют по номограмме (рис. 15) величину вертикальных нормальных напряжений сигма_n от колесной нагрузки на уровне земляного полотна;

принимают в зависимости от сигма_n и i по табл. 4 приложения 2 значение коэффициента фильтрации на начало периода стабилизации заявления К_ф(с);

принимают значение времени работы дренажа в расчетный период t_г в зависимости от группы грунта земляного полотна, дорожно-климатической зоны и типа местности (табл. 7 приложения 2);

вычисляют общее число приложений колесной нагрузки N_общ за требуемый период эксплуатации дороги Т, годы

N_общ = N_пр t_г T, (5. 3)

где

N_пр - расчетная приведенная интенсивность движения (п. 3.20 ВСН 46-83);

определяют по табл.5 приложения 2 число нагружений на момент стабилизации заявления N_c в зависимости от веса CM ро W/W_т и содержания в грунте земляного полотна частиц n_а размером менее 0,05 мм;

вычисляют значение К_ф(р)

(5.4)

где

b - коэффициент, учитывающий интенсивность протекания процесса запыления в период его стабилизации (рис.16).

Значение е((-b)(N общ - N_с)) может быть найдено также по табл.6 приложения 2.

5.2.4. Рассчитанное значение К_ф(р) на конец эксплуатации должно быть не менее 20 м/сут. Если данное условие не соблюдается, следует применить СМ с большей массой, уложить дополнительный слой CM или устроить под СМ технологический песчаный слой минимальной толщины.

Рис. 13. Номограмма к расчету по п. 5.2 (определение h_p)

Рис. 14. Номограмма к расчету дренирующего слоя по п. 5.2 (определение h_нас и С)

Рис. 15. Номограмма к определению вертикальных нормальных напряжений сигма_n на уровне земляного полотна

5.2.5. Возможность применения СМ в качестве фильтров проверяют по критериям:

D   см     D   см     D   см      
15 <= 1;   15 <= 5;   50 <= 5;   (5. 5)
d   г   d   г   d   г  
85     15     50      

где

D_15 СМ, D_50 СМ - размер пор CM, меньше которого количество пор соответствует 15 и 50%:

d_15 (г), d_50 (г), d_85 (г) - диаметр частиц грунта, меньше которого содержание частиц по весу соответствует 15, 50, 85%.

Рис. 16. Графики к расчету на п. 5.2 (определение коэффициента b)

Рис. 17. График к подбору обратного фильтра (п. 5.2)

Следует считать возможным применение СМ как фильтра, если кривая распределения зерного состава грунта пересекает горизонталь, соответствующую 15% содержания частиц, правее точки а (рис. 17).

5.3. Особенности технологии производства работ

5.3.1. Устройство из СМ защитных прослоек и прослоек для улучшения условий дренирования (см. рис. 12, а, б, в) выполняют в соответствии с пп. 3.3.1 - 3.3.6. Укладку полотен ведут, начиная от бровки земляного полотна к центру с перекрытием их краев на 0,2 м и учетом запаса для выпуска на откосную часть. Соединение полотен выполняют анкерами или скобами в месте их перекрытия через 6 - 8 м по длине полотна. Если отвод воды предусмотрен по прослойке СМ непосредственно в дрену (см. рис. 12, в) или подкюветный дренаж, СМ укладывают с выпуском, достаточным для охвата дрены или контура траншеи.

Рис. 18. Порядок выполнения работ при устройстве траншейного дренаж:

5.3.2. При устройстве конструкции по рис. 12, г, е полотна укладывают вдоль траншеи, один край закрепляют на поверхности грунта анкерами, устанавливаемыми через 3 - 4 м вдоль траншеи. После этого СМ опускают в траншею, разравнивают и закрепляют второй его конец. Такое решение применяют, если ширина полотна (с учетом перекрытия концевых частей на 0,3 м) не менее периметра дренажной засыпки. В противном случае полотна СМ нарезают отдельными кусками длиной, равной периметру дренажной засыпки, и укладывают поперек траншеи с взаимным перекрытием кусков 0,2 м.

5.3.3. Дренирующий материал засыпают по оси траншеи после разравнивания, закрепления СМ и укладки дрены (если она предусмотрена проектом). Засыпку разравнивают и послойно уплотняют, обеспечивая целостность СМ и уложенной дрены. Края полотен освобождают от анкеров, заворачивают на поверхность уложенного дренирующего материала и создают слой водонепроницаемого экрана. Схематически порядок выполнения работ приведен на рис.18,а.

5.3.4. При устройстве конструкций по рис. 12,д на дно траншеи укладывают предварительно подготовленную полосу СМ требуемой ширины, укладывают на нее дрену и покрывают дрену второй полосой СМ. Полосы двух сторон от дрены прижимают к дну траншеи анкерами, устанавливаемыми через 4 - 5 м вдоль траншеи. Схематически порядок выполнения работ приведен на рис. 18,б. В сложных грунтовых условиях применяют комбинированное решение, когда конструкцию по типу рис. 18,б помещают в траншею, закрытую СМ по типу рис. 18,а.

6. Техника безопасности при применении синтетических материалов

6.1. К работе с применением рулонных синтетических материалов допускаются лица, прошедшие обучение и инструктаж по безопасности труда в соответствии с ГОСТ 12. 0.004-79 и знающие безопасные методы и приемы труда.

6.2. Работающие с вредными веществами должны быть проинструктированы об их свойствах и о мерах по оказанию первой помощи при поражении ими. Лица, допускаемые к эксплуатации дорожно-строительных машин, должны иметь удостоверения на право работы на них.

6.3. Лица, допускаемые к эксплуатации установок для соединения полотен СМ с использованием газового топлива, должны пройти обучение и получить удостоверение в соответствии с Правилами безопасности в газовом хозяйстве, утвержденными Госгортехнадзором СССР 26.06.79. В соответствии с теми же Правилами (п. 1.13) в дорожных организациях, где используются указанные выше установки, должны назначаться лица, ответственные за безопасную эксплуатацию газового хозяйства, из числа руководящих инженерно-технических работников.

6.4. Весь персонал во время работы должен пользоваться средствами индивидуальной защиты (СИЗ), предусмотренными действующими нормами (Образцы моделей средств индивидуальной защиты для работников дорожного хозяйства, Минавтодор РСФСР. М.: Транспорт, 1984).

6.5. В случае производства работ на проезжей части без прекращения движения на ней транспорта место работы должно ограждаться в соответствии с Инструкцией по организации движения и ограждению места производства дорожных работ ВСН 37-84. Организация работ в этих случаях должна исключать передвижение работающих по открытой для движения транспорта части дороги. Место работ должно быть освещено в соответствии с действующими нормами.

6.6. При производстве работ по подготовке основания под укладку СМ, а также по отсыпке верхнего покрывающего СМ слоя, его профилировании и уплотнении необходимо выполнять требования соответствующих правил и инструкций по охране труда, в частности, СНиП III-4-80 "Техника безопасности в строительстве", утвержденный Госстроем СССР 9. 06.80; Правила техники безопасности при строительстве, ремонте и содержании автомобильных дорог, утвержденные Минавтодором РСФСР 25.02.77; Типовая инструкция по технике безопасности для машиниста самоходного катка, утвержденная Минавтодором РСФСР 28.11.74; Типовая инструкция по охране труда для машиниста автогрейдера, утвержденная Минавтодором РСФСР 8. 02.78; Типовая инструкция по охране труда для машиниста бульдозера, утвержденная Минавтодором РСФСР 8.02.78; Типовая инструкция но охране труда при ремонте и содержании автомобильных дорог, утвержденная Минавтодором РСФСР 18.01.78.

6.7. На месте производства работ должны находиться средства пожаротушения и средства первой доврачебной помощи. Весь персонал должен знать, где они находятся, и уметь ими пользоваться.

6.8. Работы по погрузке и выгрузке рулонов СМ должны быть механизированы. Работы по укладке СМ должны вестись не ближе чем за 20 м от места засыпки уложенных полотен. При работах по устройству траншейного дренажа с использованием СМ вход в траншею работающим запрещается.

6.9. При работе с установкой для теплового соединения (сварки) полотен СМ необходимо перед началом работы проверить исправность всех ее узлов. Особое внимание следует обратить на исправность манометра, наличие на нем пломбы, даты последней проверки и отметки у цифры предельно допустимого давления, а также на плотность соединений редуктора и газопровода.

Проверка плотности соединений газопровода и редуктора, а также определение мест утечек газа должны производиться с помощью мыльной эмульсии или специальными приборами. Применять огонь для обнаружения утечек газа запрещается.

Перед зажиганием горелки установки следует проверить наличие необходимого давления газа в газопроводе. Отключающее устройство на газопроводе перед горелкой разрешается открывать только после поднесения к ней запальника. При зажигании горелки и ее регулировании подача газа должна производиться постепенно. При работе необходимо следить за тем, чтобы горелка работала без отрыва пламени или проскока его внутрь горелки.

Во время работы с установкой необходимо постоянно следить за показаниями манометров и работой горелки. В случае если показание давления на одном из манометров превысит допустимое или возникнут неполадки и горелке или других узлах установки, необходимо немедленно закрыть вентиль на газовом баллоне. Работу на установке разрешается возобновить только после устранения неполадок по разрешению руководителя работ.

Оставлять без присмотра установку с горящей горелкой или незакрытым вентиль на газовом баллоне запрещается. После окончания работ установку необходимо помещать в специально отведенное место, исключающее доступ посторонних лиц. При работе установки газовый баллон должен предохраняться от нагревания солнечными лучами или другими источниками тепла с тем, чтобы максимальный нагрев баллона не превышал 45°С.

6.10. При эксплуатации, хранении и транспортировании газовых баллонов необходимо соблюдать Правила устройства и безопасной эксплуатации сосудов, работающих под давлением, и Правила безопасности в газовом хозяйства.

6.11. При использовании для соединения (сварки) полотен СМ паяльной лампы необходимо соблюдать следующие требования: разрешается пользоваться только той лампой, на которую имеется паспорт с указанием результатов заводского гидравлического испытания и запускаемого рабочего давления; затоплять паяльные лампы горючим, разжигать, а также разбирать и ремонтировать их разрешается только в специально отведенных местах, где не запрещено пользоваться огнем; пробку лампы нужно завертывать плотно, до отказа.

Запрещается применять лампу без предохранительного клапана или имеющую утечку топлива; применять в лампе горючую жидкость, не предназначенную для данной лампы, а также этилированный бензин; заполнять лампу более чем на 3/4 объема ее резервуара; заправлять лампу, а также отвертывать воздушный винт или пробку, если она горит или не остыла; повышать давление в резервуаре лампы сверх допускаемого.

7. Технико-экономическая эффективность применения синтетических материалов

7.1. Технико-экономическая эффективность применения СМ определяется областью и конкретными условиями применения. Экономический эффект оценивают путем сопоставления приведенных затрат по базовому и внедряемому вариантам.

7.2. За базовый вариант принимают конструкцию дорожной одежды или насыпи, назначаемую в соответствии с действующими нормами, за внедряемый - конструкцию дорожной одежды или насыпи с прослойкой из СМ и соответствующими ее изменениями, назначенными согласно положениям настоящих Указаний (снижение толщины отдельных слоев дорожной одежды, высоты насыпи, изменение крутизны откосов и т. д.).

7.3. Снижение приведенных затрат в результате применения СМ достигается за счет:

экономии дорожно-строительных материалов, снижения объема земляных работ и общей материалоемкости дорожной конструкции в связи с уменьшением толщин отдельных слоев дорожной одежды, высоты насыпи, изменением крутизны откосов и т. д.;

снижения затрат по эксплуатации машин и основной заработной платы в связи с уменьшением затрат на транспортировку дорожно-строительных материалов, их укладку, уплотнение и т.д.;

снижения затрат на ремонт (например, увеличения срока службы между средними ремонтами) и содержание дорожной конструкции в связи с большей эксплуатационной ее надежностью;

снижения удельных капитальных вложении в производственные фонды связанные с уменьшением общей стоимости занятых на строительстве машин (прежде всего транспортных средств).

7.4. Расчет экономического эффекта проводят в соответствии с Отраслевыми методическими указаниями по определению экономической эффективности использования в дорожном строительстве новой техники, изобретений и рационализаторских предложений (Гипродорнии. М., 1978).

7.5. Приведенные затраты З по вариантам рассчитывают по формуле

З = С + Е_п х К, (7. 1)

где

К - удельные капитальные вложения (единовременные затраты) в производственные фонды,

Е_н - нормативный коэффициент (0,15);

С - себестоимость принятой единицы измерения, определяемая по формуле

С = П + Н = (П_м + П_з + П_э + П_р) + Н, (7.2)

где

П - прямые затраты, включающие стоимость материалов П_м, основную заработную плату П_э, расходы по эксплуатации машин П_э, а также затраты на ремонт и содержание в процессе эксплуатации П_р:

(7.3)

где

П_ср - затраты на средний ремонт при общем количестве ремонтов n_р за период суммирования затрат t_р (срок службы до капитального ремонта) и период между средними ремонтами t_ср;

П_т - затраты на текущий ремонт и содержание, соответствующие году их осуществления t;

Н - накладные расходы, включая 8,6% от П, 15% от П_э, а также зависящие от трудоемкости (1,9 руб. /чел.-день).

7.6. При использовании прослойки СМ для усиления верхней части дорожной конструкции без изменения толщин слоев дорожной одежды период суммирования для внедряемого варианта рассчитывают по формуле

(7.4)

где

Nпр(б), N_пр(в) - приведенные интенсивности движения для базового и внедряемого вариантов;

N_пр(б) определяют исходя из фактических данных по интенсивности движения; N_пр(в) находят но графику зависимости Е_тр = f (N) (ВСН 46-83) для найденного повышенного за счет введения прослойки СМ модуля упругости на поверхности конструкции;

j - коэффициент, зависящий от типа покрытия (для усовершенствованного капитального - 0,12, облегченного - 0,148, переходного - 0,171);

q - показатель роста интенсивности движения(1,1);

t_рб - период суммирования для базового варианта.

7.7. Годовой экономический эффект от применения СМ

Э = (З_б - З_в) А, (7.5)

где

З_в, З_б - приведенные затраты по внедряемому и базовому вариантам;

А - годовой объем работ.

7.8. Форму и порядок расчета экономического эффекта назначают в зависимости от области применения СМ с учетом также формы и порядка примера расчета, приведенного в приложении 4.

<*> А.с. N 585249 (СССР).

<**> Методические рекомендации по применению нетканых синтетических материалов при строительстве автомобильных дорог на слабых грунтах. Союздорнии, М., 1981.

<***> А. с. N 927524 (СССР).

Приложение 1

МЕТОДЫ ИСПЫТАНИЙ РУЛОННЫХ СИНТЕТИЧЕСКИХ МАТЕРИАЛОВ

А. Определение механических характеристик СМ в условиях одноосного растяжения (упрощенная методика). Механические характеристики СМ определяют растяжением образца СМ прямоугольной формы размером 5Х20 см (рис. 1). Испытуемый образец закрепляют в двух зажимах, один из которых установлен неподвижно, а через второй ступенями прикладывают нагрузку. Расстояние между зажимами (длина деформируемой части образца) 10 см. По боковым граням подвижного зажима установлены направляющие, служащие для предотвращения его перекоса в процессе испытаний. Направляющая снабжена шкалой, по которой замеряют перемещения зажима после каждой ступени нагружения и разгрузки (общая и остаточная деформации). При небольших перемещениях (3 - 5 мм при нагрузках 25 - 30 Н/см) необходимо применять более точную аппаратуру, например прогибомеры типа ПМ-130 с ценой деления не менее 0,1 мм.

Общее число ступеней нагружения принимается равным 8 - 10, причем 4 - 5 из них должны приходиться на диапазон нагрузок до 25 - 30 Н/см, а первую из них назначают равной 3 Н/см. Время выдержки на каждой ступени 15 с.

Для оценки надежности закрепления вдоль кромок подвижного и неподвижного зажимов на СМ любым красителем наносят полосы. При правильном закреплении полосы не должны отходить от зажима, а разрыв образца происходит в средней его части.

Рис. 1. Схема испытаний СМ по методу одноосного растяжения (упрощенный вариант):

Испытывают не менее 6 образцов: 3 в продольном и 3 в поперечном направлениях по отношению к направлению раскатки рулона.

Механические характеристики CM (п. 2.2.5) определяют из следующих выражений:

R_р = R' :   эпсилон_0 = 10 l_0 (Дельта l - Дельта l_н) ;   (1)
b   l_0  

Е_дсм = 100 R_1/эпсилон';
Е_см = 100 R_1/эпсилон'_у,
(2)

где

R', Дельта l - общая нагрузка, Н, и перемещение зажима, см, при разрыве образца;

эпсилон' и эпсилон' - общая и упругая относительные деформации при у нагрузке R_1 = 25 - 30 Н/см (вычисляют аналогично эпсилон_0);

Дельта l_н - перемещение зажима на первой ступени нагружения, см;

l_0 и b - соответственно длина и ширина образца, см.

Б. Определение механических характеристик СМ в условиях сложного напряженного состоянии методом сферического растяжения. Испытания СМ по методу сферического растяжения заключаются в нагружении жидкостью (маслом) защемленного по контуру круглого образца СМ диаметром 12 см (рис.2, а) через резиновую предварительно оттарированную мембрану. Для оценки механических свойств CM, как правило, достаточно 5 образцов. Испытания проводятся путем приложения к образцу ступенчатой нагрузки (5 - 6 ступеней) с разгрузкой на каждой ступени. Выдержка нагрузки на каждой ступени 15 с.

Рис. 2. Схема прибора для оценки механических свойств СМ по методу сферического растяжения (а), расчетная схема (б) и графики результирующих зависимостей (в) по этому методу:

Величину прогиба мембраны S_п замеряют на каждой ступени приложения нагрузки. Определение восстанавливающей части прогиба мембраны S_у осуществляют также на каждой ступени при разгрузке образца. Общую относительную деформацию и растягивающее усилие R_n (рис.2, б, в) рассчитывают на каждой ступени нагружения по формулам:

(3)
   
(4)

где

q - удельное давление жидкости на испытываемый образец, МПа;

r - радиус испытываемого образца, см.

Величину восстанавливающейся части относительной деформации рассчитывают по формуле (4), но при значении S_п = S_п(у) (S_п(у) - величина восстанавливающейся част общего прогиба мембраны).

Значения условных модулей упругости и деформации СМ рассчитывают по формуле (2).

В. Определение механических характеристик СМ по методу длительного растяжения. Испытания состоят в замере через определенные промежутки времени деформаций образцов, к которым приложены длительно действующие постоянные нагрузки R. Испытаниям подвергают образцы прямоугольной формы шириной 50 и длиной 20 см при длине свободно растягиваемой части l_0 = 10 см (рис. 3, а). Для примерной предварительной оценки допустимо уменьшение ширины образцов до стандартной - 5 см (приложение 1А), но с дополнительной установкой накладок, препятствующих их сужению (рис. 3, б). Конструкцию накладок назначают в зависимости от вида СМ таким образом, чтобы его структура не нарушалась. На рис.3,в представлены различные варианты накладок.

Рис. 3. Схемы испытаний по методу длительного растяжения:

Испытания выполняют в следующем порядке:

проводят предварительные испытания трех образцов СМ по методике приложения 1А, при времени выдержки на каждой из ступеней нагружения 10 мин. По их результатам назначают нагрузку R для основных испытаний. При этом если деформация эпсилон = 5% (без учета начальной - см. приложение 1А) достигается до разрыва образцов значения R в основных испытаниях принимают равными 30, 50, 70, 90% от R_5 (где R_5 - нагрузка при эпсилон = 5%). В противном случае значения принимают в долях нагрузки при разрыве R_y: для полиамидных, полиэфирных тканых и нетканых (исключая нетканые из коротких волокон при химическом способе упрочнения полотна) - 30, 45, 60, 75% от R_р; для полипропиленовых - 5, 10, 15, 20% от R_р; для остальных при отсутствии данных о свойствах - 20, 30, 40, 50, 60, 70% от R_p;

к образцам основных испытаний (см. рис.3а, б) прикладывают начальную нагрузку R_н = 3 Н/см и через t_н = 10 мин замеряют величину удлинения образца Дельта t_н с помощью прогибомеров ПМ-130 или других устройств с точностью отсчета не ниже 0,1 мм;

нагрузку R_н дополняют для каждого из образцов до одной из нагрузок R, ранее принятых по результатам предварительных испытаний. Через определенные промежутки времени проводят замер удлинении образцов Дельта l, Время замеров назначают равным 1, 2, 4, 6, 24, 48 ч. Время последующих замеров назначают в зависимости от хода деформирования образцов. Если значения R_5 <= 0,3R_p для полиамидных и полиэфирных, R_5 <= 0,05 R_р для полипропиленовых и R_5 <= 0,2 R_р для других видов материалов, а удлинение за последние 24 ч меньше 10% удлинения за первые 24 ч, испытания прекращают. В других случаях испытания проводят до достижения удлинения Дельта l = (0,1 l_0 + Дельта l_н) или до начала роста скорости деформирования образца, но не более 60 сут, время между замерами 24 ч (для примерной оценки можно ограничиться временем испытаний 48 ч).

Обработку данных выполняют в следующем порядке:

по результатам испытаний строят график зависимости относительных деформации образца (эпсилон, %) от времени наблюдении (lg t, ч) для каждого из значений постоянно действующих нагрузок R (рис. 4), где эпсилон = 100 (Дельта l - Дельта l_н)/l_0;

вычисляют значения конечных деформаций эпсилон_н при каждом из значений R, исключая те, при которых наблюдается рост скорости деформирования образца (рост угла наклона альфа прямой на рис.4 к оси lg t),

эпсилон_к = эпсилон_1 + к lg T,

где

эпсилон_1 - относительная деформация образца за время наблюдения, равное 1 ч;

к = tg альфа;

Т - требуемый срок службы.

строят график зависимостей эпсилон_к от R (рис.5). Величину допустимой нагрузки на растяжение СМ R_д принимают равной нагрузке R, соответствующей на графике эпсилон_к = f (R) значению эпсилон_к = 5%. Если на данном графике все значения эпсилон_к < 5%, то R_д принимают равным минимальному из значений R, при котором наблюдается рост скорости деформирования образца (R_4 рис. 4);

Рис. 4. График деформирования образцов СМ при длительном растяжении

определяют расчетное значение допустимого растягивающего напряжения сигма_д для CM из выражения сигма_д = R_д/дельта.

График эпсилон_к = f(R) должен быть построен не менее чем по трем точкам. Если же по результатам испытаний может быть вычислено меньше трех значений эпсилон_к, проводят дополнительные испытания (одно или два) при значениях R, меньших максимального, для которого вычислено значение эпсилон_к.

При определении величины R_дл для расчетов устойчивости откосов насыпи, возводимых на слабых основаниях (пп. 3.2.7, 3.2.8), испытания проводят при R, назначаемых в долях от R_р, как сказано ранее, в любом случае (независимо от величины эпсилон). За R_д принимают минимальное значение R при котором наблюдается рост скорости деформирования образцов (R_дл = R_д/дельта).

Г. Методика оценки сопротивляемости СМ местным повреждениям. Оценка сопротивляемости СМ местным повреждениям проводится для выяснения возможности его укладки непосредственно под крупнофракционные материалы - щебень, гравий, шлак и другие, если в процессе строительства или эксплуатации возникают значительные нагрузки на уровне укладки СМ. Методика оценки сопротивляемости СМ местным повреждениям состоит в следующем:

Рис. 5. Результирующая зависимость метода длительного растяжения

в лабораторных условиях в жесткой прямоугольной обойме размером 15Х30 см создают трехслойную модель, верхний слой которой - крупнофракционный материал, средний - образец СМ размером 15Х20 см, нижний - грунт. Размер фракций и толщина материала верхнего слоя, вид и состояние (плотность, влажность грунта нижнего слоя) должны отвечать конкретным условиям строительства. Толщину слоя грунта принимают равной 10 см;

через прямоугольный штамп размером 150Х100 мм, устанавливаемый на поверхности модели, прикладывают давление, соответствующее расчетному (0,6 МПа при оценке сопротивляемости повреждениям в период строительства, не менее 0,1 МПа в других случаях). Общее число циклов приложения нагрузки 10, с выдержкой расчетной нагрузки в течение 1 мин и последующей разгрузкой;

образец СМ извлекают из модели и визуально оценивают степень его повреждения. При отсутствии явно выраженных нарушений структуры СМ, проколов образцы разрезают на три полосы размером 5Х20 см и испытывают их в соответствии с методикой приложения 1А. Укладку на поверхность СМ крупнофракциоиных материалов считают возможной при отсутствии явно выраженных нарушений его структуры и снижении прочности не более чем на 10% для нетканых иглопробивных и 5% для других видов СМ.

Д. Методика определения сопротивления сдвигу СМ по грунту. Для определения сопротивления сдвигу СМ по грунту используют прибор, схема которого представлена на рис. 6. Он состоит из верхней и неподвижной нижней жестких прямоугольных обойм размером 10х20 см. Обе обоймы заполняют грунтом, который пригружается через штамп.СМ располагают на контакте верхней и нижней обойм. Для того чтобы исключить поперечную деформацию СМ при действии нагрузки Р_г (исключение возможности изменения площади находящегося в грунте СМ), а также его смятие при движении, СМ закрепляют в специальной рамке с помощью винтов на половину длины обойм. Снижение величины сил трения при движении рамки достигают с помощью шариков, размещенных в канавках.

Испытания проводят в следующей последовательности:

заполняют подготовленным грунтом нижнюю обойму прибора и уплотняют его через металлическую прокладку (в том случае, если в испытаниях используется грунт нарушенного сложения), срезают грунт на 2 - 3 мм выше верхней плоскости нижней обоймы;

на нижнюю обойму устанавливают рамку с закрепленным в ней образцом СМ;

заполняют подготовленным грунтом верхнюю обойму и уплотняют его (если используется грунт нарушенного сложения);

устанавливают на рамку верхнюю обойму с грунтом, на поверхность грунта устанавливают штамп и прикладывают вертикальную нагрузку Q, имитирующую вес грунта (дорожной одежды) с выдержкой до начала опыта в течение 1 ч;

при каждом из значении вертикальных нагрузок Q (не менее трех), принимаемых таким образом, чтобы диапазон их изменения охватывал реально действующую в дорожной конструкции, проводят испытания. Для этого ступенями (не менее 6 - 8 за период испытаний) прикладывают горизонтальную нагрузку с фиксацией перемещений СМ в точках А и Б (в точке А - прогибомером с закреплением струны на образец).

Время выдержки на каждой ступени горизонтальной нагрузки выбирают из расчета выполнения испытания за время не более 4 мин причем время выдержки на каждой ступени нагружения должно быть достаточно лишь для выявления стабилизации перемещения. Опыт считается законченным, если перемещение в точке Б рамки с геотекстильным материалом приобретает незатухающий характер или величина перемещений в точке А превысит 5% длины обоймы.

Рис. 6. Схема испытаний по определению сопротивляемости сдвигу СМ по грунту

Соответствующее окончанию опыта значение горизонтальной нагрузки Р_г принимается за предельное. Обработка проводится путем построения зависимости тау = f(Q), где тау = P/2F (F - площадь части образца, закрепленной в грунте), и определения значений прочностных характеристик фи', C' подобно определению фи и С на диаграмме сдвига для грунта (ГОСТ 12248-78).

Приложение 2

ТАБЛИЦЫ ЗНАЧЕНИЙ КОЭФФИЦИЕНТОВ

Таблица 1

Поправочный коэффициент К (к п. 2.2.4)

Сырье Значение поправочного коэффициента для периода эксплуатации Т, годы
1 2 4 6 8 10 12 15 18
Полиамид 0,71 0,56 0,38 0,29 0,24 0,20 0,17 0,14 0,12
Полипропилен и полиэфир 0,92 0,89 0,85 0,82 0,80 0,78 0,76 0,74 0,72

Таблица 2

Коэффициент эпсилон (к п.3.2.5)

h_э/D <*> _
эпсилон
h_э/D <*> _
эпсилон
0,25 0,195 1,50 0,04
0,50 0,160 1,75 0,031
0,75 0,118 2,00 0,024
1,00 0,077 2,25 0,010
1,25 0,053 2,50 0,013

<*> h_э = сумма h_i корень 3 степени (Е_ср/Е_0), где сумма h_i- суммарная толщина лежащих над CM слоев укрепления, см; Е_ср - средний модуль упругости этих слоев, МПа.

Е_ср = h_1 Е_1 + ...+ h_i Е_i .
сумма h_i

При проверке в период строительства принимают сумма h_i, и Е_ср равным толщине и модулю упругости отсыпаемого непосредственно на СМ слоя.

Таблица 3

Значение коэффициентов альфа (к п. 3.2.4)

Е_ср/Е_0 Значение альфа при H/D
0,3 0,6 0,9 1,2 1,5-2,0
Е_0 = 20 МПа
1,0 0,635 0,690 0,766 0,829 0,908
  0,729 0,790 0,873 0,939 0,989
3,0 0,635 0,701 0,778 0,864 0,926
  0,720 0,803 0,884 0,967 0,995
5,0 0,635 0,710 0,800 0,886 0,947
  0,720 0,813 0,912 0,978 0,998
10,0 0,637 0,722 0,837 0,913 0,966
  0,723 0,827 0,945 0,986 1,000
20,0 0,646 0,773 0,869 0,932 0,974
  0,738 0,878 0,960 0,991 1,000
40,0 0,654 0,806 0,893 0,945 0,978
  0,751 0,909 0,970 0,996 1,000
Е_0 = 28 МПа
1,0 0,637 0,712 0,792 0,877 0,938
  0,723 0,816 0,901 0,974 0,996
3,0 0,642 0,719 0,829 0,906 0,962
  0,731 0,823 0,939 0,984 1,000
5,0 0,647 0,753 0,852 0,921 0,969
  0,740 0,858 0,953 0,988 1,000
10,0 0,654 0,791 0,880 0,937 0,977
  0,752 0,896 0,965 0,993 1,000
20,0 0,666 0,824 0,902 0,950 0,983
  0,766 0,920 0,974 0,990 1,000
40,0 0,694 0,840 0,913 0,956 0,983
  0,794 0,929 0,979 0,996 1,000
Е_0 = 36 МПа
1,0 0,650 0,729 0,833 0,907 0,963
  0,744 0,834 0,941 0,985 1,000
3,0 0,654 0,775 0,864 0,937 0,972
  0,751 0,880 0,958 0,990 1,000
5,0 0,659 0,797 0,881 0,938 0,977
  0,758 0,902 0,966 0,993 1,000
10,0 0,691 0,828 0,908 0,950 0,986
  0,791 0,922 0,975 0,996 1,000
20,0 0,729 0,854 0,920 0,960 0,986
  0,832 0,936 0,982 0,997 1,000
30,0 0,749 0,867 0,927 0,964 0,988
  0,853 0,943 0,934 0,998 1,000
Е_0 = 42 МПа
1,0 0,655 0,755 0,848 0,917 0,968
  0,752 0,860 0,951 0,987 1,000
2,0 0,655 0,777 0,864 0,927 0,974
  0,752 0,882 0,958 0,990 1,000
3,0 0,658 0,792 0,876 0,934 0,974
  0,758 0,897 0,963 0,992 1,000
5,0 0,680 0,813 0,892 0,943 0,985
  0,780 0,913 0,970 0,995 1,000
10,0 0,717 0,841 0,911 0,954 0,985
  0,818 0,934 0,978 0,996 1,000
20,0 0,750 0,865 0,925 0,963 1,000
  0,854 0,946 0,984 0,997 1,000
Е_0 =50 МПа
1,0 0,675 0,794 0,875 0,933 0,978
  0,755 0,899 0,963 0,992 1,000
2,0 0,698 0,811 0,888 0,941 0,978
  0,798 0,912 0,968 0,994 1,000
3,0 0,714 0,824 0,898 0,946 1,000
  0,824 0,920 0,973 0,995 1,000
5,0 0,733 0,842 0,910 0,954 0,987
  0,836 0,932 0,978 0,996 1,000
10,0 0,760 0,865 0,924 0,963 0,987
  0,864 0,947 0,983 0,997 1,000
20,0 0,783 0,883 0,935 0,970 0,980
  0,881 0,950 0,987 0,998 1,000
Е_0 = 60 МПа
1,0 0,721 0,821 0,894 0,943 0,981
  0,823 0,918 0,971 0,995 1,000
2,0 0,738 0,836 0,904 0,950 0,981
  0,842 0,927 0,975 0,996 1,000
3,0 0,751 0,847 0,912 0,954 0,985
  0,855 0,934 0,979 0,996 1,000
5,0 0,766 0,862 0,922 0,961 0,985
  0,868 0,943 0,982 0,997 1,000
10,0 0,786 0,881 0,933 0,968 1,000
  0,883 0,956 0,986 0,998 1,000
15,0 0,798 0,889 0,938 0,972 1,000
  0,982 0,962 0,988 1,000 1,000
Е_0 = 180 МПа
1,0 0,773 0,856 0,916 0,959 0,987
  0,873 0,937 0,980 0,997 1,000
2,0 0,784 0,867 0,923 0,959 0,987
  0,882 0,946 0,983 0,997 1,000
3,0 0,792 0,875 0,928 0,963 1,000
  0,888 0,951 0,985 0,997 1,000
5,0 0,804 0,886 0,935 0,969 1,000
  0,898 0,958 0,987 0,998 1,000
10,0 0,821 0,898 0,943 0,975 1,000
  0,913 0,966 0,990 1,000 1,000
Е_0 = 80 МПа
1,0 0,802 0,877 0,931 0,966 1,000
  0,896 0,957 0,986 0,998 1,000
2,0 0,812 0,885 0,931 0,966 1,000
  0,905 0,963 0,986 0,998 1,000
3,0 0,819 0,891 0,936 0,974 1,000
  0,912 0,967 0,987 1,000 1,000
5,0 0,829 0,898 0,943 0,974 1,000
  0,920 0,972 0,990 1,000 1,000
10,0 0,843 0,908 0,952 0,974 1,000
  0,932 0,978 0,993 1,000 1,000

Примечание. Верхнее значение альфа в таблице берется при Е_см >= 600 Н/см, нижнее - при 350 <= Е_см < 600 Н/см.

Таблица 4

Значения коэффициента фильтрации в плоскости полотна СМ на начало периода стабилизации заиления К_ф(с) (к п. 5.2.3)

Поперечным уклон земляного полотна, i Удельная нагрузка от колеса автомобиля на уровне земляного полотна сигма_n, МПа Коэффициент фильтрации в плоскости полотна CM на начало периода стабилизации заиления К_ф(с), м/сут
0,02 0,2 81
  0,04 57
  0,06 33
0,03 0,02 79
  0,04 61
  0,06 42
0,04 0,02 77
  0,04 65
  0,06 52

Примечание. Значение К_ф(с) справедливы для СМ, отвечающих требованиям п.5.1.2.

Таблица 5

Число нагружений на момент стабилизации заиления N_c (тыс. автомобилей) (к п. 5.2.3)

W/W_т 0,6-0,7 0,8-0,9
n_п, % 20 40 60 80 20 40 60 80
ро, г/м2 i = 0,02
300 29,8 31,9 34,0 36,1 35,5 37,6 39,7 41,8
400 23,5 25,6 27,7 29,8 29,2 31,3 33,4 35,5
500 17,2 19,3 21,4 23,5 22,9 25,0 27,1 29,2
600 8,2 10,3 12,4 14,5 16,6 18,7 20,8 22,9
ро, г/м2 i = 0,03
300 32,8 34,9 37,0 39,1 38,4 40,5 42,6 44,7
400 26,5 28,6 30,7 32,8 32,1 34,2 36,3 38,4
500 20,2 22,3 24,4 26,5 25,8 27,9 30,0 32,1
600 13,0 16,0 18,1 20,2 19,5 21,6 23,7 25,8
ро, г/м2 i = 0,04
300 35,7 37,8 39,9 42,2 41,2 43,3 45,4 47,5
400 29,4 31,5 33,6 35,7 34,9 37,0 39,1 41,2
500 23,1 25,2 27,0 29,4 28,6 30,7 32,8 34,9
600 16,6 18,9 21,0 23,1 20,3 24,4 26,6 28,6

Примечание. i - см. табл. 4; W/W_т - расчетная влажность грунта земляного полотна: n_п - содержание в грунте частиц размером менее 0,05 мм; ро - масса СМ (на 1 м2 полотна по ГОСТ 15902.1-80).

Таблица 6

Значение коэффициента с((-b)(N_общ - N_с)) (к п. 5.2.3)

Массовая доля содержания песчаных частиц в грунте Значение коэффициента с((-b)(N_общ - N_с)) при N_общ - N_с, тыс. автомобилей
200 500 3000
30 0,96 0,90 0,82
50 0,98 0,95 0,90
75 0,99 0,98 0,95

Таблица 7

Время работы дренажа в расчетный период года t_г, сут (к п. 5.2.3)

Тип местности по увлажнению Группы грунтов в дорожно-климатических зонах
II III IV
А Б В Г А и Б В Г А и Б В Г
1 8 10 12 9 7 10 8 0 0 0
2 8 17 20 14 10 15 12 14 30 13
3 17 23 26 15 16 20 13 13 15 8

Примечание. Группы грунтов: А - пески пылеватые, супеси легкие и тяжелые (непылеватые); Б - суглинки тяжелые и пылеватые, глины; В - суглинки легкие и пылеватые; Г - супеси пылеватые.

Таблица 8

Значение снижений влажности Дельта W по сравнению с расчетной за счет применения СМ (к п. 5.2.1)

Расчетный коэффициент фильтрации СМ К_ф(р), м/сут Коэффициент фильтрации песка, К_ф(п), м/сут Значение снижения влажности Дельта W по сравнению с расчетной для грунтов
суглинков супесей
20 1 0,04 0,09
  3 0,02 0,02
40 1 3 0,04 0,03 0,10 0,03

Приложение 3

ПРИМЕРЫ РАСЧЕТА ДОРОЖНЫХ КОНСТРУКЦИЙ С ПРОСЛОЙКАМИ ИЗ СИНТЕТИЧЕСКИХ МАТЕРИАЛОВ

А. Пример расчета дорожной одежды, усиленной прослойкой из СМ (к п.3.2 Указаний). Требуется выполнить расчет дорожной одежды на участке дороги с переходным типом покрытия во II дорожно-климатической зоне, усиленной прослойкой из СМ (п. 1 приложения 5).

Исходные данные. Местность по условиям увлажнения - 2-й тип. Грунт земляного полотна - суглинок легкий.

Расчетная нагрузка - автомобиль группы А, приведенная интенсивность движения 110 авт/сут, общий модуль упругости Е_Общ = 112 МПа. Расчет дорожной одежды без прослойки из СМ выполнен в соответствии с ВСН 46-83, расчетные характеристики и толщины слоев:

расчетная относительная влажность грунта 0,9 W_т, Е_гр = 24 МПа;

основание - песок мелкий, Е_2 = 100 МПа, h_2 =20 см;

покрытие - щебень 2-го класса по принципу заклинки, Е_1 = 350 МПа, l_1 = 23 см.

Корректировка толщин дорожной одежды:

проверяют соблюдение условий п. 3.2.2: Е_см=350 Н/см и п.3.4.:

0,01fЕ_см = 0,01 х 2 х 350 = 23 > 0,5 Е_0 = 22 МПа,
дельта 0,3

где Е_0 = 44 МПа (из номограммы рис. 4 при Е_0/Е_1 = Е_гp/Е_2 = 0,24; h/D = h_2/D = 0,54; Е_Общ/Е_1 = Е_0/Е_2 = 0,44; Е_0 = 0,44Е_2;

приводят конструкцию к двухслойной: СМ расположен непосредственно под покрытием, поэтому параметры верхнего слоя Е_cp = Е_1 = 350 МПа, Н = h_1 = 23 см, нижнего слоя Е_0 = 44 МПа;

определяют Е_Общ(а) = Е_Общ/альфа_2 = 112/0,930 = 120 МПа, где Е_Общ = 112 МПа, альфа_2 равно 0,930 по табл. 3 приложения 2 при N/D = 0,62, Е_0 = 44 МПа, Е_cp/Е_0 = 350/44 = 8;

определяют значение условий толщины слоя h'i (из номограммы рис. 4, принимая Е_Общ/Е_1 - Е_Общ(а)/Е_1 = 0,34; Е_0/Е_1 - Е_0/2 = 0,12; h/D = h'_i/D = 0,80; h'_i = 0,80D = 30 см)

определяют новое значение толщины слоя щебня при устройстве в его основании прослойки из СМ [выражение (3.3)]:

h a = 2h - h' = 2 x 23 - 30 = 16 см.
1

Проверка прочности прослойки CM [по условию (3.4)]:

определяют напряжение в СМ от действия колесной нагрузки:

сигма_а = 0,019 РЕ_см
эпсилон
= 0,19 х 0,6 х 350 0,116 = 0,035 МПа,
Е_0 дельта 44 х 0,3

где

Е'_см, дельта, Е_0 - см. корректировку толщин, эпсилон = 0,116 из табл.2 приложения 2 при h_э/D=28/37 =0,76:

(см. примечание к табл.2 приложения 2); Р = 0,6 МПа;

определяют расчетное значение прочности СМ:

R_расч = 0,01 К_р R_р = 0,1 х 0,17 х 50 = 0,29 МПа,
дельта 0,3

где

R_р, дельта - см. п.1 таблицы приложения 5;

К_р = K х n/m = 0,29 x 0,7/1,2 = 0,17 (n, m см. п.3.2.5, K = 0,29 из табл.1 приложения 2);

так как сигма_а = 0,035 МПа < R_расч = 0,29 МПа, условие (3. 4) проверки прочности на период эксплуатации соблюдено;

проверяют соблюдение условия (3.4) в период строительства, поскольку прослойку из СМ устраивают непосредственно под покрытием из щебня, значения сигма _а в период строительства и эксплуатации равны, а условие (3.4) записывается в виде

сигма_а = 0,035 МПа < R_расч = 0,61 х 0,58 х 50 = 0,97 МПа,
0,3

где

К_р = K_n/m = 1 x 0,7/1,2 = 0,58.

Прочность СМ достаточна для создания прослойки в данных условиях.

Б. Пример расчета дренирующего слоя с прослойкой из СМ (к п.5.2 Указаний). Требуется назначить толщину дренирующего слоя, работающего по методу осушения на участке дороги II категории во II дорожно-климатической зоне.

Исходные данные. Местность по условиям увлажнения относится к 1-му типу. Грунт земляного полотна - суглинок пылеватый. Согласно кривой зернового состава количество глинистых частиц (d<0,0005 мм) 20%, пылеватых (d = 0,05-0,005 мм) 40%, песчаных (d=2-0,05 мм) 40%. Расчетная влажность грунта W_р = 0,9W_т.

Ширина земляного полотна равна 15 м, поперечный уклон i = 0,04.

Состав грузового движения на полосу с учетом перспективы: автомобили с нагрузкой на ось 10 т - 800 авт/сут, 7 т - 1700 авт/сут, 4 т - 2200 авт/сут. Приведенная интенсивность движения N_пр = 1456 авт/сут. Расчетный автомобиль - группа А.

Дренирующий слой создают из песка (К_ф(п) = 2 м/сут, высота капиллярного поднятия h_к = 0,4 м) с устройством прослойки из СМ дорнит Ф-2 (ро = 600 г/м2).

Определение расчетного значения коэффициента фильтрации CM в плоскости полотна К_ф(р):

по номограмме (см. рис.15) определяют сигма_п/Р = 0,07 для отношений Е_ср/Е_0 и h/D, полученных заранее при выполнении расчета на прочность. Отсюда значение вертикальных нормальных напряжений на уровне земляного полотна сигма_п = 0,07 х 0,6 = 0,04 МПа (Р = 0,6 МПа - значение удельного давления на покрытие);

по табл.4 приложения 2 для i = 0,04 и сигма_п = 0,04 МПа находят значение К_ф(с) = 65 м/сут;

по табл.7 приложения 2 для грунтов группы В, 3-го типа местности, II дорожно-климатической зоны находят t_г = 20 сут;

по формуле (5. 3) вычисляют общее число приложений нагрузки: N_общ = N_пр t_г T = 1456 x 20 x 18 = 524,1 тыс. при требуемом периоде эксплуатации дороги до капитального ремонта T = 18 лет;

по табл.5 приложения 2 для СМ с ро = 600 г/м2, грунтов с W/W_т = 0,9 и содержанием частиц размером менее 0,05 мм, n_п = 60% находят число нагружений на момент стабилизации заиления N_c =26,6 тыс. ;

по формуле (5.4) находят

где коэффициент b = 0,00004 (см. рис. 16).

Определение толщины дренирующего слоя под прослойкой из СМ:

по формуле (5.1) определяют значение притока воды:

q_р = q K_п = 5 х 1,7 = 0,0085 м3/м2 сут
1000 1000

для значения q = 5 л/м2 сут, К_п = 1,7 (табл. 18, 19 ВСН 46-83);

по номограмме (см. рис. 13) для l_ф = 7,5 м, К_ф(р) = 60 м/сут, К_ф(п) = 2 м/сут, i = 0,04 и q_р = 0,0085 находят расчетную глубину фильтрационного потока h_р = 20 см:

по номограмме (см. рис. 14, а) для i = 0,04 и отношения h_р/l_ф = 20/750 = 0,026 находят степень увлажнения С = 0,0027:

по номограмме (см. рис. 14, б) для l_ф = 7,5 м, i = 0,04, К_ф(п) = 2 м/сут, С = 0,0027 находят толщину слоя, полностью насыщенного водой, h_нас = 16 см;.

по формуле (5.2) вычисляют толщину дренирующего слоя:

h_д = h_нас + h_зап = 16 + 14 = 30 см,

где h_зап = 14 см (см. п. 5.2.2).

Приложение 4

ПРИМЕР РАСЧЕТА ТЕХНИКО-ЭКОНОМИЧЕСКОГО ЭФФЕКТА ОТ ПРИМЕНЕНИЯ СМ

1. Расчет выполняется применительно к усилению активной зоны земляного полотна и нижних конструктивных слоев дорожных одежд синтетическим рулонным материалом СМ. Применение СМ позволяет сократить расход традиционных дорожно-строительных материалов, составляющих слой дорожной одежды автомобильной дороги.

2. Экономический эффект от применения СМ определяется сравнением приведенных затрат на устройство равнопрочных конструкций оснований из щебня М 800 толщиной слоя 20 см (базовый вариант - вариант 1) и из щебня М 800 толщиной слоя 12 см на прослойке из СМ (внедряемый вариант - вариант 2) при одинаковом сроке службы дорожной одежды.

3. Расчет выполняется в соответствии с Отраслевыми методическими указаниями по определению экономической эффективности использования в дорожном строительстве новой техники, изобретений и рационализаторских предложений (Гипродорнии. М., 1978).

4. Приведенные затраты по вариантам

З = С + Е_н К,

где

С - себестоимость (табл.1);

К - капитальные вложения (табл.2); Е_н = 0,15.

Отсюда:

по варианту 1 (базовому) З_1 = 48688,3 + 0,15 х 9300 = 50 083,3 руб.;

по варианту 2 (внедряемому) З_2 = 46 007,3 + 0,15 х 6050 = 46 914,8 руб.

5. Экономическая эффективность применения СМ в расчете на 10 000 м2 (примерно 1 км дороги), определяемая как разность приведенных затрат, составляет

Э = З_1 - З_2 = 50083,3 - 46914,8 = 3168,5 руб.

При этом обеспечена экономия на 1 км дороги:

а) трудозатрат - п. 4 табл.1 (578,6 - 385,7) = 192,9 чел.-дня;

б) щебня - п.1 табл.3 (2520 - 1512) = 1008 м3;

в) машино-смен автомобилей-самосвалов - п.2, 3 табл.2.

(73,7 - 44,94) 10000 = 221,2 машино-смены.
1300

Таблица 1

Расчет себестоимости устройства 10 000 м2 основания

Показатели Ед. измерения Вариант 1 (базовый) Вариант 2 (внедряемый)
Количество Стоимость единицы измерения, руб. Сумма, руб. Количество Стоимость единицы измерения, руб. Сумма, руб.
1. Материалы (табл. 3) руб. - - 32966,7 - - 34660,5
2. Основная заработная плата рабочих (табл. 5) руб. - - 2917 - - 1940,1
3. В том числе при машинах руб. - - 28,8 - - 86,5
4. Трудовые затраты всех рабочих (см. табл. 5) чел.-дней 578,6 - - 385,7 - -
5. Расходы по эксплуатации машин (табл. 2) руб. - - 10422 - - 6674,3
Итого прямых затрат (п. 1+3+5) руб.     43417,5     41421,3
Накладные расходы:              
условно-постоянные (8,6% от прямых затрат) <*> руб.     3733,9     3562,2
зависящие от трудоемкости (1,9 руб. на 1 чел.-день) руб. - - 1099,3 - - 732,8
зависящие от основной заработной платы (15%) руб.     437,6     291
Итого накладных расходов руб.     5270,8     4586
Всего себестоимость руб.     48688,3     46007,3

Таблица 2

Состав отряда, стоимость эксплуатации и расчетные стоимости машин (капитальные вложения в основные фонды)

Сменный успех - 1400 м2

N п/п   Наименование машин и механизмов   Стоимость <1>, машиносмены, руб. Расчетная стоимость машины, тыс. руб.   Вариант 1 (базовый) Вариант 2 (внедряемый)
    Количество машино-смен Стоимость машиносмен всех машин, руб. Количество машин Стоимость машин, тыс.руб.   Количество машино-смен Стоимость машиносмен всех машин, руб. Количество машин Стоимость всех машин, тыс.руб.
1   2   3 4   5 6 7 8   9 10 11 12
1   Распределитель Д-337   37,6 10,6   0,57 <2> х 1400 = 0,97 36,5 1 10,6   0,5 <2> х 1400 = 0,85 32 1 10,6
      100 х 8,2 100 х 8,2
2   Автомобили-самосвалы ЗИЛ-555 на перевозке щебня   18 3,4   1400 х 0,2 = 73,7 1326,6 74 251,6   1400 х 0,2 = 44,21 795,8 44 49,6
      3,8 <3> 3,8 <3>
3   Автомобили ЗИЛ-555 на перевозке СМ   18 3,4               1400 = 0,73 13,1 1 3,4
    1930 <4>
4   Каток Д-552   20,6 2,9   0,65 <5> х 1400 = 2,82 58,1 3 8,7   1,65 <5> х 1400 = 2,82 58,1 3 8,7
    100 х 8,2 100 х 8,2
5   Каток Д-400-А   19,6 4,6   1,15 <5> х 1400 = 1,96 38,4 2 9,2   1,15 <5> х 1400 = 1,96 38,4 2 9,2
    100 х 8,2 100 х 8,2
6   Итого:                              
    а) стоимость машино-смен             1459,6           937,4    
    б) стоимость машин                 280,1           181,5
7   Всего на 10000 м2                              
    Основания:                              
    а) стоимость машино-смен             10422           6814,3    
( стр. 6аХ10000 )
1400
    б) стоимость машин                 9,3           6,05
( стр. 6бХ10000 ),
300000
  где 300000 м2 - годовой объем работ)  

Примечания.

<1>. СНиП IV-3-82.

<2>. ЕНиР 17-2.

<3>. Технологические карты на устройство дорожных одежд и земляного полотна с применением синтетических материалов. М.; Гипродорнии, 1981 (расчет 3). Производительность ЗИЛ-555 П-6 т/смену = 3,8 м3/смену (транспортировка щебня на 50 км).

<4>. См. п. 3 (расчет 5). П = 1930 м3/смену (транспортировка СМ на 50 км).

<5>. ЕНиР 17-11.

Таблица 3

Стоимость материалов, необходимых для устройства 10 000 м2 основания

N п/п Наименование материала Единица измерения Вариант 1 (базовый) Вариант 2 (внедряемый)
Стоимость единицы измерения <*>, руб Количество единицы измерения <**> Общая стоимость, руб. Стоимость единицы измерения <*>, руб. Количество единицы измерение <**> Общая стоимость, руб.
1 Щебень фракции 40-70 мм м3 12,21 (18,9+5Х1,26) X100=2520 30767,7 12,21 (18,9-3Х1,26) Х100=1512 18461,5
2 Щебень фракции 10-20 мм м3 14,66 1,5Х100=150 2199 14,66 1,5Х100=150 2199
3 Синтетический материал м2       1,4 10000 14000
  Итого       32966,7     34660,5

<*> См. табл. 4.

<**> ЕРЕР 27-42.

Таблица 4

Калькуляция стоимости материалов

Наименование материалов Единица измерения Наименование поставщика Вид отпускной цены Транспортные расходы на 1 т груза <**> На единицу измерения
отпускная цена наценка сбытовых и снабж. орган. стоимость тары и реквизита транспортные расходы итого франкоприобъектный склад заготовительно-складские расходы (2%) всего
Щебень фракции 40-70 мм м3 Стационарный карьер ФВСО 5,42 3,3 <*> - - 8,67 11,97 0,24 12,21
Щебень фракции 10-20 мм м3 То же " 5,42 5,7 <*> - - 8,67 14,37 0,29 14,66
Синтетический материал м2 Завод - - - - - -     1,4

<*> Отпускные цены приняты по Ценнику N 1 для III пояса.

<**> См. Калькуляции транспортных расходов. Для щебня принята транспортировка по железной дороге на расстояние 400 км и последующие автомобильные перевозки на расстояние 50 км.

Таблица 5

Калькуляция транспортных расходов на 1 т щебня. Тарифная схема 47-45 <*>

N п/п Наименование операции Наименование конечных пунктов перевозки (от - до) Расстояние перевозки (км) Стоимость на 1 т, руб.
Формула счета Всего
1 Стоимость подачи и уборки вагонов на станции назначения Станция назначения   0,5 0,5
2 Железнодорожные перевозки Станция отправления - станция назначения 400 1,7 1,7
3 Погрузочно-разгрузочные работы Станция назначения   0,31+0,15 0,46
4 Автомобильные перевозки Станция назначения - приобъектный склад 50 2,4+1,15 2,76
  Итого       5,42

<*> СНиП IV-4-82.

Таблица 6

Расчет заработной платы рабочих

N п/п Рабочие и их разряды Тарифная ставка руб./ смену Вариант 1 (базовый) Вариант 2 (внедряемый)
Количество рабочих <*> Сумма заработной платы, руб. Количество рабочих <**> Сумма заработной платы, руб.
1 Машинисты 5-го разряда 5,75 1+3+2=6 34,5 1+2+3=6 34,5
2 Водители автомобилей 3-го класса 5 74 370 45 225
3 Дорожные рабочие 2-го разряда 4,04 1 4,04 3 12,12
4 Итого за 1 смену (сменный успех 1400 м2)   81 408,54 54 271,62
5 В том числе заработная плата рабочих при машинах     4,04   12,12
6 Всего заработная плата на 10000 м2 основания (стр. 4 х 10000/1400)   578,6 2917 385,7 1940,1
7 Заработная плата рабочих при машинах на 10000 м2 (стр.3 х 10000/1400)     28,8   86,5

<*> ЕНиР 17-2, ЕниР-17-11, табл. 2.

<**> Технологические карты (см. п. 3.3.7).

Приложение 5

ОСНОВНЫЕ ХАРАКТЕРИСТИКИ ОТЕЧЕСТВЕННЫХ РУЛОННЫХ СМ

N п/п Наименование (марка) СМ, сырье, способ упрочнения Толщина, мм Ширина, мм Вес, г/м2 Минимальная прочность при растяжении R_р, Н/см Относительное удлинение при разрыве эпсилон_р, продольное (поперечное) направление, % Условный модуль упругости Е_см (деформации Е_дсм), Н/см Условный модуль упругости Е'_см (сферическое растяжение), Н/см Относительная прочность при длительном действии нагрузки к R_р, % Коэффициент фильтрации К_ф, м/сут Рекомендуемая область применения
1 2 3 4 5 6 7 8 9 10 11 12
1 Армодор 1: смесь волокон, включая несинтетические, нетканный, иглопробивной, обработанный дисперсией резины (ТУ 63. 178 ОП 09-81) 3-4 1500 900 50 30 (50) 350 (200) 500 40-50 До 40 Армирующая, защитная прослойка при усилении верхней части дорожных конструкций (активная зона земляного полотна, нижние слои дорожных одежд, обочины)
2 Армодор 2: отходы поливинилхлорида с добавками, пленочный (ТУ 63.070 ОП 37-86) 1 10001200 1500 40 20 (25) 600 (500) 1000 30-40   То же и дополнительно в качестве гидроизолирующей прослойки
3 Дорнит, нетканый, иглопробивной, смесь синтетических волокон (ТУ 21-29-81-81):                   Дренирующая, защитная и армирующая прослойка в слабых основаниях насыпей (типы 1, 2), дренирующая и защитная прослойка дренажных устройств на откосах (типы 1 - 3), защитная прослойка в нижних слоях основании дорожных одежд, на обочинах, дренирующая и защитная прослойка в сочетании с песчаными слоями (типы 1, 2)
  тип 1       70 70 (130) 150 (100) 250    
  " 2 4 850- 2500 600 60 70 (130) 150 (100) 250 50 150
  " 3       40 80 (140) 100 (50) 200    
4 Нетканый иглопробивной капроновый материал (ТУ 6-06-С105-84) 2,53,5 1500 500-800 70 150 (170) 150 (100) 250 50 80 Защитная прослойка в нижних слоях дорожных одежд, на обочинах, откосах, слабых основаниях насыпей временных дорог, в дренажных устройствах
5 СПАП: сетка из стекловолокна пропитанная (ТУ 6-11-217-76) 2 1200 370 300 3-6 Более 1000 (900)   40   Армирующая прослойка при обеспечении общей и защитная при обеспечении местной устойчивости откосов

Примечания.

1. Значение показателей по графам 6 - 8 даны для испытаний в условиях одноосного растяжения (п.2.3.1), по графе 9 - в условиях сложного напряженного состояния (сферическое растяжение - п. 2.3.1).

2. Значение показателя в графе 10 соответствует величине дельта сигма_д (пп. 3.2.8 и 4.2.4 Указаний).

3. Область и эффективность применения СМ уточняют применительно к конкретным условиям проектирования и строительства после выполнения расчетов по методикам, изложенным в соответствующих разделах Указаний.

Приложение 6

УСТРОЙСТВО ЗАЩИТНЫХ ПРОСЛОЕК ИЗ РУЛОННЫХ БУМАЖНЫХ МАТЕРИАЛОВ

Защитные прослойки из рулонных бумажных материалов устраивают для обеспечения выполнения технологии устройства слоя основания из крупнофракционных материалов, укладываемых на песчаный дренирующий слой или на грунт земляного полотна, и их защиты от перемешивания. Рулонный бумажный материал укладывают под слой основания. Для устройства прослойки используют двухслойную упаковочную бумагу (ГОСТ 8828-75) или пароводонепроницаемую бумагу (ТУ 81-04-236-79), обработанную с обеих сторон битумом. После обработки бумага должна иметь характеристики не ниже приведенных в табл. 1.

Таблица 1

Состояние образцов при испытании Прочность при растяжении R_р, Н/см Условный модуль упругости Е_см, Н/см Относительная деформация при разрыве, %
Воздушно-сухие 40 2000 2
Водонасыщенные 20 900 3
После 15 циклов замораживания-оттаивания 10 600 3

Ширина бумажного рулона предпочтительна более 1,8 м, масса не более 600 кг. Бумага должна отвечать требованиям по сопротивляемости местным повреждениям (п. 2.3.2). В случае если последняя недостаточна, бумагу укладывают в два слоя, склеивая их битумом.

Обработку бумаги битумом выполняют одновременно с ее укладкой с помощью специальной установки (рис. 7), монтируемой на самоходной машине или прицепе, при этом ширина колеи шасси должна быть менее ширины бумажного рулона. Работу ведут в следующем порядке:

Рис. 7. Схема установки для обработки битумом бумажного материала и его укладки

рулон бумаги (в случае укладки в два слоя - два рулона бумаги) устанавливают на оси. В ванну заливают горячий (t = 160 - 170°С) битум БНД 90/130 и включают горелку подогревающего устройства. Бумагу запасовывают через систему роликов и вручную протягивают до соприкосновения с поверхностью земляного полотна или слоем, на который она укладывается. Далее бумагу сматывают с рулона и протягивают через битум за счет движения машины. При обработке бумаги битумом расход его регулируется специальным устройством. Для укладки однослойных прослоек расход битума составляет 600 - 800 г/м2, при двухслойных - до 1200 г/м2.

Укладку выполняют вдоль оси дороги, начиная от обочин, с перекрытием отдельных рядом лежащих полотен на 0,15 - 0,2 м. Работы следует вести в сухую погоду при температуре воздуха не менее 5°С и силе ветра не более 6 м/с.

Отсыпка на прослойку материала вышележащего слоя ведется по способу "от себя" без заезда построечного транспорта на открытую поверхность. Разравнивание материала выполняют не менее чем за три хода, чтобы предотвратить скольжение его по бумаге, что может вызвать ее разрыв. В течение смены весь уложенный материал должен быть перекрыт вышележащим слоем.