Вода. Общие требования к отбору проб. ГОСТ р 51592-2000

(утв. Постановлением Госстандарта РФ от 21.04.2000 N 117-СТ)
Редакция от 21.04.2000 — Документ не действует

ГОСУДАРСТВЕННЫЙ СТАНДАРТ РОССИЙСКОЙ ФЕДЕРАЦИИ

ВОДА. ОБЩИЕ ТРЕБОВАНИЯ К ОТБОРУ ПРОБ

Waterrequirements for sampling

ГОСТ Р 51592-2000

Дата введения 1 июля 2001 г.

Принят и введен в действие постановлением Госстандарта РФ от 21 апреля 2000 г. N 117-ст.

1. Область применения

Настоящий стандарт распространяется на любые типы вод и устанавливает общие требования к отбору, транспортированию и подготовке к хранению проб воды, предназначенных для определения показателей ее состава и свойств.

2. Нормативные ссылки

ГОСТ 17.1.3.08-82 Охрана природы. Гидросфера. Правила контроля качества морских вод

ГОСТ 17.1.5.04-81 Охрана природы. Гидросфера. Приборы и устройства для отбора, первичной обработки и хранения проб природных вод. Общие технические условия

ГОСТ 17.1.5.05-85 Охрана природы. Гидросфера. Общие требования к отбору проб поверхностных и морских вод, льда и атмосферных осадков

3. Общие положения

3.1 Целью отбора проб является получение дискретной пробы, отражающей качество исследуемой воды.

Отбор проб проводят для:

- исследования качества воды для принятия корректирующих мер при обнаружении изменений кратковременного характера;

- исследования качества воды для установления программы исследований или обнаружения изменений долгосрочного характера;

- определения состава и свойств воды по показателям, регламентированным в нормативных документах (НД);

- идентификации источников загрязнения водного объекта.

3.2 В зависимости от цели и объекта исследования разрабатывают программу исследований и, при необходимости, проводят статистическую обработку данных по отбору проб по приложению А. Состав и содержание программы в зависимости от исследуемого объекта - по ГОСТ 17.1.5.05, ГОСТ 17.1.3.08 и [1].

3.3 Место отбора проб и периодичность отбора устанавливают в соответствии с программой исследования в зависимости от водного объекта.

3.4 Типы отбираемых проб приведены в приложении Б.

3.5 Объем взятой пробы должен соответствовать установленному в НД на метод определения конкретного показателя с учетом количества определяемых показателей и возможности проведения повторного исследования.

3.6 Метод отбора проб выбирают в зависимости от типа воды, глубины пробоотбора, цели исследований и перечня определяемых показателей с таким расчетом, чтобы исключить (свести к минимуму) возможные изменения определяемого показателя в процессе отбора.

3.7 Пробы воды должны быть подвергнуты исследованию в течение сроков, указанных в 5.5, с соблюдением условий хранения. Выбранный метод подготовки отобранных проб к хранению должен быть совместим с методом определения конкретного показателя, установленного в НД. При этом, если в НД на метод определения указаны условия хранения проб, то соблюдают условия хранения проб, регламентированные в НД.

О длительности хранения пробы воды делают отметку в протоколе испытаний.

При нарушении условий транспортирования или хранения исследование пробы проводить не рекомендуется.

3.8 Все процедуры отбора проб должны быть строго документированы. Записи должны быть четкими, осуществлены надежным способом, позволяющим провести идентификацию пробы в лаборатории без затруднений.

3.9 При отборе проб должны строго соблюдаться требования безопасности, отвечающие действующим нормам и правилам.

4. Требования к оборудованию для отбора проб

4.1 Критериями для выбора емкости, используемой для отбора и хранения проб, являются:

- предохранение состава пробы от потерь определяемых показателей или от загрязнения другими веществами;

- устойчивость к экстремальным температурам и разрушению; способность легко и плотно закрываться; необходимые размеры, форма, масса; пригодность к повторному использованию;

- светопроницаемость;

- химическая (биологическая) инертность материала, использованного для изготовления емкости и ее пробки (например, емкости из боросиликатного или известково-натриевого стекла могут увеличить содержание в пробе кремния или натрия);

- возможность проведения очистки и обработки стенок, устранения поверхностного загрязнения тяжелыми металлами и радионуклидами.

Допускается применение одноразовых емкостей для отбора проб.

4.2 Для отбора твердых и полужидких проб используют кружки или бутыли с широким горлом.

4.3 Емкости для проб на паразитологические показатели должны быть оснащены плотно закрывающимися пробками. Не допускается отбор проб в открытые емкости типа ведра.

4.4 Емкости с закручивающимися крышками, узким и широким горлом должны быть снабжены инертными пластмассовыми (например, из политетрафторэтилена) или стеклянными пробками. Не допускается применять резиновые прокладки и смазку, если емкость предназначена для отбора проб с целью определения органических и микробиологических показателей.

4.5 Для хранения проб, содержащих светочувствительные ингредиенты (включая морские водоросли), применяют емкости из светонепроницаемого или неактиничного стекла с последующим размещением их в светонепроницаемую тару на весь период хранения пробы.

4.6 Емкости для проб, предназначенных для определения микробиологических показателей, должны:

- выдерживать высокие температуры при стерилизации (в том числе пробки и защитные колпачки);

- предохранять от внесения загрязнений;

- изготовляться из материалов, не влияющих на жизнедеятельность микроорганизмов;

- иметь плотно закрывающиеся пробки (силиконовые или из других материалов) и защитные колпачки (из алюминиевой фольги, плотной бумаги).

4.7 Пробоотборники должны:

- минимизировать время контакта между пробой и пробоотборником;

- изготовляться из материалов, не загрязняющих пробу;

- иметь гладкие поверхности;

- быть сконструированы и изготовлены применительно к пробе воды для соответствующего анализа (химический, биологический или микробиологический).

4.8 Пробы отбирают вручную специальными приспособлениями или с применением автоматизированного оборудования.

При разработке и выборе автоматизированного оборудования для отбора проб воды учитывают следующие основные факторы с учетом программы отбора проб:

- прочность конструкции;

- устойчивость к коррозии и биоповреждениям в воде;

- простота эксплуатации и управления;

- возможность самопроизвольной очистки от засорения твердыми частицами;

- возможность измерения отобранного объема пробы;

- обеспечение корреляции аналитических данных с пробами, отобранными вручную;

- емкости для проб должны легко выниматься, очищаться и собираться;

- обеспечение минимального объема пробы 0,5 дм3;

- обеспечение хранения пробы в темноте и обеспечение хранения температуре- и времязависящих проб при температуре 4°С на период не менее 24 ч при температуре окружающей среды до 40°С;

- регулировка при необходимости скорости жидкости для предотвращения разделения фаз;

- наличие выпускного устройства с минимальным внутренним диаметром 12 мм и установленной заслонкой по потоку для предотвращения загрязнения и накопления твердых частиц;

- возможность повторных поступлений проб в отдельные емкости для отбора проб;

- защита конструкции пробоотборника от избыточной влажности (атмосферной и испарений исследуемой воды) и от обледенения в холодный период года.

Оборудование переносного пробоотборника должно быть легким, защищенным от воздействия атмосферных явлений и приспособленным к работе в широком диапазоне условий окружающей среды.

4.9 Общие требования к оборудованию для отбора проб приведены в ГОСТ 17.1.5.04 и приложении В.

4.10 Общие требования к подготовке емкостей перед отбором проб приведены в приложении Г.

5. Подготовка проб к хранению

5.1 Для подготовки отобранной пробы к хранению в зависимости от определяемого показателя проводят при необходимости:

- фильтрование (центрифугирование);

- консервацию;

- охлаждение (замораживание).

5.2 Фильтрование (центрифугирование) проб

5.2.1 Взвешенные вещества, осадки, морские водоросли и микроорганизмы удаляют при взятии пробы или тотчас после этого фильтрованием проб через фильтровальную бумагу или мембранный фильтр или центрифугированием. Фильтрование применяют также для разделения растворимых и нерастворимых форм, подлежащих определению.

Фильтрование не применяют, если фильтр задерживает один или более ингредиентов, подлежащих определению.

5.2.2 Фильтр должен быть тщательно промыт перед применением, а при необходимости стерилизован, быть совместимым с методом определения показателя и не должен вносить дополнительных загрязнений.

5.3 Охлаждение (замораживание) проб

5.3.1 Пробу охлаждают (замораживают) сразу после отбора.

5.3.2 После охлаждения (замораживания) емкости с пробами размещают и транспортируют в охлаждающих ящиках или рефрижераторах.

5.3.3 Охлаждение проводят в тающем льде или в рефрижераторе до температуры 2-5°С с последующим размещением пробы в темном месте.

5.3.4 Замораживание до температуры минус 20°С применяют с целью увеличения продолжительности хранения пробы. При этом контролируют способ замораживания и оттаивания пробы для возврата ее к исходному состоянию после оттаивания.

5.3.5 При замораживании проб применяют емкости из полимерных материалов (например, из поливинилхлорида).

5.3.6 Пробы, предназначенные для микробиологических анализов и определения летучих органических веществ, замораживанию не подлежат.

5.4 Консервация проб

5.4.1 Для консервации проб применяют:

- кислоты;

- щелочные растворы;

- органические растворители;

- биоциды;

- специальные реактивы для определения некоторых показателей (например, кислорода, цианидов, сульфидов).

Примечания

1 Не допускается применять для консервации хлорид ртути и фенилацетат ртути.

2 Не допускается применять консерванты, содержащие вещества (ионы, элементы), подлежащие определению в отобранной пробе.

5.4.2 При консервации используемое вещество добавляют непосредственно в пробу после ее отбора или в пустую емкость до отбора проб.

5.4.3 Добавление консервантов учитывают при определении показателя и при обработке результатов определений.

Примечание - Для консервации проб предпочтительно применять концентрированные растворы консервантов с целью использования их в малых объемах. Если при добавлении консерванта изменение объема пробы не превышает 5%, то при определениях можно пренебречь соответствующим разведением.

5.4.4 Консерванты предварительно испытывают на возможность дополнительного внесения ими загрязнений и сохраняют их в достаточном количестве для проведения контрольных испытаний.

Предельная концентрация вносимых с консервантами загрязнений определяется требованиями методики определения соответствующих показателей.

5.5 Основные рекомендуемые методы консервации и хранения отобранных проб, предназначенных для проведения определений конкретных показателей, приведены для:

- обобщенных показателей в таблице 1;

- химических показателей в таблице 2;

- органолептических показателей в таблице 3;

- радиационной безопасности в таблице 4;

- микробиологических показателей в таблице 5;

- биологических показателей в таблице 6.

5.6 Пригодность метода хранения (консервации) для конкретных показателей приведена в таблице 7.

Таблица 1

Методы хранения и консервации проб для определения обобщенных показателей

Наименование показателя Материал, из которого изготовлена емкость для отбора и хранения проб Метод хранения и консервации Максимально рекомендуемый срок хранения Место проведения определений показателя Примечание
Водородный показатель Полимерный материал или стекло     На месте отбора проб Определение следует проводить как можно скорее и предпочтительнее на месте после отбора пробы
Транспортирование при температуре ниже температуры отбора проб 6 ч Лаборатория
Общая минерализация, сухой остаток Полимерный материал или стекло Охлаждение до 2-5°С 24 ч Лаборатория  
Жесткость общая Полимерный материал или стекло   24 ч Лаборатория Допускается хранение в течение 48 ч, кроме проб с удельной электропроводностью более 70 мСм/м. Не допускается применять серную кислоту
Окисляемость перманганатная Стекло Подкисление до рН менее 2 серной кислотой, охлаждение до 2-5°С и хранение в темном месте 2 сут Лаборатория Определение следует проводить как можно скорее
Полимерный материал Замораживание до минус 20°С 1 мес Лаборатория
Фенольный индекс Боросиликатное стекло Добавление 1 г сульфата меди на 1 дм3 пробы и подкисление фосфорной кислотой до рН менее 2, хранение в темном месте при 5-10°С 24 ч Лаборатория Условия хранения выбирают в зависимости от метода определения показателя
Кислотность и щелочность Полимерный материал или стекло Охлаждение до 2-5°С 24 ч Лаборатория Предпочтительно выполнение определений на месте отбора проб (особенно для проб с высокой концентрацией растворенных газов)
БПК (биохимическое потребление кислорода) Стекло   24 ч Лаборатория  
ХПК (химическое потребление кислорода) Стекло Подкисление серной кислотой до рН менее 2, охлаждение до 2-5°С и хранение в темном месте 5 сут Лаборатория  
Полимерный материал Замораживание до минус 20°С 1 мес Лаборатория  
Удельная электропроводность Полимерный материал или стекло Охлаждение до 2-5°С 24 ч Лаборатория Предпочтительно выполнение определений на месте отбора проб
Взвешенные и оседающие вещества Полимерный материал или стекло   24 ч Лаборатория Определение следует проводить как можно скорее. Предпочтительно выполнение определений на месте отбора проб

Таблица 2

Методы хранения и консервации проб для определения химических показателей

Наименование показателя Материал, из которого изготовлена емкость для отбора и хранения проб Метод хранения и консервации Максимально рекомендуемый срок хранения Место проведения определений показателя Примечание
Аммиак и ионы аммония (суммарно) Полимерный материал или стекло Подкисление серной кислотой до рН менее 2, охлаждение до 2-5°С 24 ч Лаборатория  
Охлаждение до 2-5°С 6 ч
Азот органических соединений Полимерный материал или боросиликатное стекло Подкисление серной кислотой до рН менее 2, охлаждение до 2-5°С и хранение в темном месте 24 ч Лаборатория Подкисление не проводят, если эта же проба будет использована для определения аммиака
Алюминий (суммарно) Полимерный материал Подкисление до рН менее 2 1 мес Лаборатория  
Алюминий (растворенный <*>) Полимерный материал Фильтрование на месте отбора проб и подкисление фильтрата до рН менее 2 1 мес Лаборатория Растворенные <*> в воде формы алюминия и адсорбировавшийся на взвешенных частицах алюминий допускается определять в одной и той же пробе
Барий (растворенный <*>) Полимерный материал или боросиликатное стекло Фильтрование на месте отбора проб и подкисление фильтрата до рН менее 2 1 мес Лаборатория Не допускается применять серную кислоту
Барий (суммарно) Полимерный материал или боросиликатное стекло Подкисление до рН менее 2 1 мес Лаборатория Не допускается применять серную кислоту
Бензол Стекло Хранение при температуре 2-5°С. При наличии активного хлора добавление 20 мг тиосульфата натрия на дм3 пробы 3 сут Лаборатория Заполнение емкости без воздушного пространства и транспортирование при температуре 2-5°С
Бенз(а)пирен Стекло Добавление растворителя, используемого для экстракции; хранение при температуре 2-5°С. При наличии активного хлора добавление 20 мг тиосульфата натрия на 1 дм3 пробы 1 сут Лаборатория Экстракцию пробы проводят не позднее 1 сут с момента отбора пробы
Бериллий Полимерный материал или стекло Подкисление до рН менее 2 72 ч Лаборатория  
Бор и его соединения (суммарно) Полимерный материал или стекло, не содержащее бор   3 сут Лаборатория  
Бромиды и неорганические соединения брома Полимерный материал или стекло Охлаждение до 2-5°С 24 ч Лаборатория Пробы следует предохранять от прямого воздействия солнечных лучей
Гидразин Стекло Подкисление соляной кислотой и хранение в темном месте 24 ч Лаборатория  
Гидрокарбонаты Полимерный материал или стекло Охлаждение до 2-5°С 24 ч Лаборатория  
Диоксид углерода Полимерный материал или стекло   На месте отбора    
Йодиды Стекло Охлаждение до 2-5°С 24 ч Лаборатория Пробы следует предохранять от прямого воздействия солнечных лучей
Подщелачивание до рН = 11 1 мес Лаборатория
Железо (суммарно) Полимерный материал или боросиликатное стекло Подкисление до рН менее 2 1 мес Лаборатория Рекомендуется определять сразу после определения неустойчивых показателей
Железо (II) Полимерный материал или боросиликатное стекло Подкисление до рН менее 2 соляной кислотой и удаление атмосферного кислорода 24 ч На месте отбора проб или в лаборатории Рекомендуется определять сразу после определения неустойчивых показателей
Жиры, масла, углеводороды Стекло Экстракция (по возможности) на месте отбора проб и охлаждение до 2-5°С 24 ч Лаборатория Емкость перед отбором проб должна быть промыта веществом для экстракции. После отбора проб добавляют вещество, применяемое для экстракции в соответствии с методом определения показателя, или проводят экстракцию на месте отбора проб
Кадмий (суммарно) Полимерный материал или боросиликатное стекло Охлаждение до 2-5°С 1 мес Лаборатория  
Кадмий (растворенный*) Полимерный материал или боросиликатное стекло Фильтрование на месте отбора проб и подкисление фильтрата до рН менее 2 1 мес Лаборатория Растворенные <*> в воде формы кадмия и адсорбировавшийся на взвешенных частицах кадмий допускается определять в одной и той же пробе
Кальций Полимерный материал или стекло   24 ч Лаборатория Допускается хранение в течение 48 ч, кроме проб с удельной электропроводностью более 70 мСм/м
Подкисление до рН менее 2 1 мес Лаборатория Не допускается применение серной кислоты
Калий Полимерный материал   1 мес Лаборатория  
Подкисление до рН менее 2 1 мес Лаборатория Подкисление позволяет определять калий в той же пробе, что и другие металлы
Кислород Полимерный материал или стекло     На месте отбора проб  
Полимерный материал Фиксация кислорода при отборе проб и хранение в темном месте 4 сут Лаборатория Фиксацию кислорода проводят в соответствии с требованиями конкретных методов определения показателя
Кобальт (суммарно) Полимерный материал или боросиликатное стекло Подкисление до рН менее 2 1 мес Лаборатория  
Кобальт (растворенный <*>) Полимерный материал Фильтрование на месте отбора проб и подкисление фильтрата до рН менее 2 1 мес Лаборатория Растворенные <*> в воде формы кобальта и адсорбировавшийся на взвешенных частицах кобальт допускается определять в одной и той же пробе
Кремний Полимерный материал Охлаждение до 2-5°С 5 сут Лаборатория При необходимости определения растворенных форм пробу при отборе фильтруют через мембранный фильтр
Литий Полимерный   1 мес Лаборатория  
  Подкисление до рН менее 2 1 мес Лаборатория Подкисление позволяет определять литий в той же пробе, что и другие металлы
Магний Полимерный материал или стекло   24 ч Лаборатория Допускается хранение в течение 48 ч, кроме проб с удельной электропроводностью более 70 мСм/м
Магний Полимерный материал или стекло Подкисление до рН менее 2 1 мес Лаборатория Не допускается применение серной кислоты
Марганец (суммарно) Полимерный материал Подкисление до рН менее 2 1 мес Лаборатория  
Марганец (растворенный <*>) Полимерный материал Фильтрование на месте отбора проб и подкисление фильтрата до рН менее 2 1 мес Лаборатория Растворенные <*> в воде формы марганца и адсорбировавшийся на взвешенных частицах марганец допускается определять в одной и той же пробе
Медь (суммарно) Полимерный материал или боросиликатное стекло Подкисление до рН менее 2 1 мес Лаборатория  
Медь (растворенная <*>) Полимерный материал или боросиликатное стекло Фильтрование на месте отбора проб и подкисление фильтрата до рН менее 2 1 мес Лаборатория Растворенные <*> в воде формы меди и адсорбировавшуюся на взвешенных частицах медь допускается определять в одной и той же пробе
Молибден (суммарно) Полимерный материал или стекло Подкисление до рН менее 2 72 ч Лаборатория  
Мышьяк (суммарно) Полимерный материал или стекло Подкисление до рН менее 2 1 мес Лаборатория Используют соляную кислоту, если метод определения основан на восстановлении всех форм мышьяка до летучего мышьяковистого водорода
Нефть и нефтепродукты (суммарно) Стекло Экстракция (по возможности на месте) и охлаждение до 2-5°С 24 ч Лаборатория Емкость перед отбором проб должна быть промыта веществом для экстракции. После отбора проб необходимо добавить вещество, применяемое для экстракции в соответствии с методом определения, или провести экстракцию на месте отбора проб
Никель (суммарно) Полимерный материал Подкисление до рН менее 2 1 мес Лаборатория  
Никель (растворенный <*>) Полимерный материал Фильтрование на месте отбора проб и подкисление фильтрата до рН менее 2 1 мес Лаборатория Растворенные <*> в воде формы никеля и адсорбировавшийся на взвешенных частицах никель допускается определять в одной и той же пробе
Нитраты Полимерный материал или стекло Подкисление до рН менее 2 или охлаждение до 2-5°С или добавление 2-4 см3 хлороформа и охлаждение до 2-5°С 24 ч Лаборатория Не допускается применение азотной кислоты
Фильтрование через мембранный фильтр с размером пор 0,45 мкм и охлаждение до 2-5°С 48 ч Лаборатория Для грунтовых и поверхностных вод
Нитриты Полимерный материал или стекло Охлаждение до 2-5°С 24 ч Лаборатория Не допускается применение азотной кислоты
Озон (остаточный)       На месте отбора проб Стабильность состава растворов падает с повышением температуры и рН
Олово (суммарно) Полимерный материал или боросиликатное стекло Подкисление до рН менее 2 14 сут Лаборатория При наличии оловоорганических соединений применяют уксусную кислоту и пробу замораживают. В этом случае определение проводят как можно быстрее
Органические соединения хлора (хлорорганические соединения) Стекло Подкисление азотной кислотой до рН менее 2, охлаждение до 2-5°С, хранение в темном месте. При наличии активного хлора добавление 20 мг тиосульфата натрия на дм3 пробы 3 сут Лаборатория Определение следует проводить как можно скорее
Пестициды органические соединения, содержащие хлор) Стекло Добавление вещества, применяемого для экстракции по конкретному методу определения; охлаждение до 2-5°С и хранение в темном месте 5 сут Лаборатория Вещество, применяемое для экстракции, добавляют немедленно после отбора пробы или проводят экстракцию на месте отбора проб
Пестициды (органические соединения, содержащие фосфор) Стекло Охлаждение до 2-5°С и хранение в темном месте 24 ч Лаборатория Экстракцию проводят немедленно после отбора проб или не позднее 24 ч после отбора проб
Поверхностно-активные вещества (катионогенные) Стекло Охлаждение до 2-5°С 48 ч Лаборатория Для исключения адсорбции на стенке емкости добавляют 5 мг/дм3 простого алкилового эфира неионогенных поверхностно-активных веществ
Поверхностно-активные вещества (анионогенные) Стекло Подкисление до рН менее 2 серной кислотой охлаждение до 2-5°С 48 ч Лаборатория  
Добавление 2-4 см3 хлороформа на 1 дм3 пробы, охлаждение до 2-5°С 7 сут
Поверхностно-активные вещества (неионогенные) Стекло Добавление 40% раствора формальдегида и охлаждение до 2-5°С 1 мес Лаборатория При отборе проб емкость должна быть заполнена полностью
Полиакриламид Стекло     Лаборатория Определение следует проводить как можно скорее
Полифосфаты Полимерный материал или стекло Добавление 2-4 см3 хлороформа на 1 дм3 пробы и охлаждение до 2-5°С 24 ч Лаборатория  
Ртуть (суммарно) Боросиликатное стекло Подкисление до рН менее 2 и добавление двухромовокислого калия 1 мес Лаборатория  
Селен Стекло или боросиликатное стекло Подкисление до рН менее 1, но если в пробе присутствуют селениды, то пробу подщелачивают гидроксидом натрия до рН более 11 1 мес Лаборатория  
Силикаты (растворенные), силикаты (суммарно) Полимерный материал Фильтрование на месте отбора пробы, подкисление серной кислотой до рН менее 2 и охлаждение до 2-5°С 24 ч Лаборатория  
Свинец (суммарно) Полимерный материал или боросиликатное стекло Подкисление до рН менее 2 1 мес Лаборатория Не допускается применять серную кислоту
Свинец (растворенный*) Полимерный материал или боросиликатное стекло Фильтрование на месте отбора проб и подкисление фильтрата до рН менее 2 1 мес Лаборатория Не допускается применять серную кислоту
Соли ортофосфорной кислоты (суммарно) Стекло или боросиликатное стекло Охлаждение до 2-5°С 24 ч Лаборатория Определение следует проводить как можно скорее
Соли ортофосфорной кислоты (растворенные) Стекло или боросиликатное стекло Фильтрование на месте при отборе проб. Охлаждение до 2-5°С 24 ч Лаборатория Определение следует проводить как можно скорее
Серебро (суммарно) Полимерный материал или боросиликатное стекло Подкисление до рН менее 2 1 мес Лаборатория Не допускается применять соляную кислоту. Для некоторых видов серебра добавляют цианид в соответствии с НД на метод определения показателя
Серебро (растворенное <*>) Полимерный материал или боросиликатное стекло Фильтрование на месте отбора проб и подкисление фильтрата до рН менее 2 1 мес Лаборатория Не допускается применять соляную кислоту. Для некоторых видов серебра добавляют цианид в соответствии с НД на метод определения показателя
Стронций Полимерный материал или стекло Подкисление 10% раствором азотной кислоты до рН менее 2 72 ч Лаборатория Не допускается применять серную кислоту
Сульфаты Полимерный материал или стекло Охлаждение до 2-5°С 7 сут Лаборатория Для предотвращения возможного образования сероводорода в пробу сточной воды добавляют пероксид водорода. Для проб с БПК более 200 мг/дм3 вместо пероксида водорода добавляют соляную кислоту
Сульфиды (в том числе легколетучие) Полимерный материал или стекло Добавление углекислого натрия с последующим добавлением уксуснокислого цинка в количествах в зависимости от метода определения 24 ч Лаборатория Емкости с пробами заполняют до верха. Определение следует проводить как можно скорее
Сульфиты Полимерный материал или стекло Добавление 1 см3 2,5% раствора этилендиаминтетрауксусной кислоты на 100 см3 пробы при ее отборе 48 ч Лаборатория  
Тяжелые металлы (кроме ртути) Полимерный материал или боросиликатное стекло см. Алюминий  
Углерод органический Стекло Подкисление серной кислотой до рН менее 2, охлаждение до 2-5°С и хранение в темном месте 7 сут Лаборатория Метод хранения зависит от конкретного метода определения показателя
Полимерный материал Замораживание до минус 20°С 1 мес
Уран (суммарно) Полимерный материал Подкисление до рН менее 2 1 мес Лаборатория  
Уран (растворенный*) Полимерный материал Фильтрование на месте отбора проб и подкисление фильтрата до рН менее 2 1 мес Лаборатория  
Фториды Полимерный материал (за исключением полифторэтиленового)   1 мес Лаборатория  
Фенолы Боросиликатное стекло Охлаждение до 2-5°С и хранение в темном месте. При наличии активного хлора добавление 20 мг тиосульфата натрия на 1 дм3 пробы 24 ч Лаборатория  
Подщелачивание до рН более 11 (в зависимости от метода определения)
Формальдегид Стекло Добавление 5 см3 раствора серной кислоты (1:1) на 1 дм3 пробы 10 сут Лаборатория При отсутствии консервации пробы определение показателя проводят не позднее 6 ч с момента отбора пробы
Фосфор (растворенный <*>) Стекло Фильтрация на месте и охлаждение до 2-5°С 24 ч Лаборатория При определении низких концентраций рекомендуется применение емкостей из йодинизированного стекла (бутыль можно йодинизировать, помещая несколько кристаллов йода в закрываемую емкость, которую затем нагревают до 60°С в течение 8 ч). Следует учитывать, что йод может выщелачивать пробу и влиять на результаты определений
Фосфор (суммарно) Стекло Охлаждение до 2-5°С 24 ч Лаборатория При определении низких концентраций рекомендуется применение емкостей из йодинизированного стекла (бутыль можно йодинизировать, помещая несколько кристаллов йода в закрываемую емкость которую затем нагревают до 60°С в течение 8 ч). Следует учитывать, что йод может выщелачивать пробу и влиять на результаты определений
Подкисление до рН менее 2 серной кислотой 1 мес Лаборатория
Хлориды Полимерный материал или стекло   1 мес Лаборатория  
Хлор остаточный Полимерный материал или стекло     На месте отбора проб Определение следует проводить как можно скорее
Хром (VI) Полимерный материал или боросиликатное стекло Охлаждение до 2-5°С 24 ч Лаборатория  
Хром (суммарно) Полимерный материал или боросиликатное стекло Подкисление до рН менее 2 1 мес Лаборатория  
Хлорофилл Полимерный материал или стекло Охлаждение до 4°С 24 ч Лаборатория При транспортировании емкость размещают в темном месте
Фильтрование и замораживание осадка 1 мес Лаборатория При транспортировании емкость размещают в темном месте
Хлороформ и другие летучие галогенорганические соединения Стекло Добавление раствора серной кислоты и хранение при комнатной температуре 6 ч Лаборатория Заполнение емкости без воздушного пространства и транспортирование при температуре 2-5°С. При наличии активного хлора добавляют 20 мг тиосульфата натрия на 1 дм3
Хранение при температуре 2-5°С 48 ч
Цианиды (легковыделяемые и суммарно) Полимерный материал или стекло Методы хранения и консервации выбирают в зависимости от конкретного метода определения показателя  
Цинк (суммарно) Полимерный материал Подкисление до рН менее 2 1 мес Лаборатория  
Цинк (растворенный <*>) Полимерный материал Фильтрование на месте отбора проб и подкисление фильтрата до рН менее 2 1 мес Лаборатория Растворенные <*> в воде формы цинка и адсорбировавшийся на взвешенных частицах цинк допускается определять в одной и той же пробе

<*> Растворенный означает, что определяемый показатель проходит через фильтр размером пор 0,45 мкм.

Примечания

1 Если срок хранения не указан, то хранение не допускается.

2 Здесь и далее во всех таблицах стандарта к полимерным материалам относят полиэтилен, политетрафторэтилен, поливинилхлорид. Ограничения по применению конкретного полимерного материала устанавливают в НД на метод определения конкретного показателя.

3 При определении летучих органических веществ в воде, содержащей активный хлор, в пробу необходимо добавлять 20 мг тиосульфата натрия на 1 дм3 пробы.

Таблица 3

Методы хранения и консервации проб для определения органолептических показателей

Наименование показателя Материал, из которого изготовлена емкость для отбора и хранения проб Метод хранения и консервации Максимально рекомендуемый срок хранения Место проведения определений показателя Примечание
Запах Стекло Охлаждение до 2-5°С 6 ч Лаборатория Допускается определять на месте отбора проб
Привкус Стекло   2 ч Лаборатория Определение проводят при отсутствии подозрений на бактериальное загрязнение и отсутствие веществ в опасных концентрациях
Цветность Полимерный материал или стекло     На месте отбора проб  
Охлаждение до 2-5°С и хранение в темном месте 24 ч Лаборатория  
Мутность Полимерный материал или стекло   24 ч Лаборатория Предпочтительно проводить определение на месте отбора проб

Таблица 4

Методы хранения и консервации проб для определения радиационной безопасности воды

Наименование показателя Материал, из которого изготовлена емкость для отбора и хранения проб Метод хранения и консервации Максимально рекомендуемый срок хранения Место проведения определений показателя Примечание
Альфа-активность бета-активность (кроме радиоактивного йода) Полимерный материал При необходимости отдельного определения растворенных и взвешенных веществ пробу сразу фильтруют. Добавляют (20+-1) см3 50% азотной кислоты на 1 дм3 пробы до рЌ менее 1, хранят в темном месте при температуре 2-5°С Как можно быстрее Лаборатория  
Радиоактивный йод Полимерный материал (1. Предварительно в емкость помещают кристаллы нерадиоактивного йода и выдерживают при температуре 60°С до образования пленки на стенках емкости. Затем емкость ополаскивают этанолом и моют водой до прекращения вымывания йода. 2. Или применяют йодид натрия как носитель) Добавляют раствор едкого натра до значения pH 8,0+-0,1; добавляют (0,1+-0,01) г нерадиоактивного йодида натрия на 1 дм3 пробы; добавляют 2-4 см3 10% раствора гипохлорита натрия на 1 дм3 пробы, обеспечивая наличие свободного хлора Как можно быстрее Лаборатория После добавления йодида проба не должна быть кислой (особенно если одна и та же проба предназначена для определения альфа- и бета-активности). Для подщелачивания не допускается применять аммиак
Гамма-активность Полимерный материал Фильтрование пробы если в пробе присутствуют взвешенные частицы и требуется раздельное определение их активности или осадок в пробе быстро не растворяется). При этом пробу фильтруют и исследуют как две отдельные пробы; добавление количественно известного объема раствора, содержащего нерадиоактивные изотопы определяемого элемента. Пробы, содержащие металлы, подкисляют до рН менее 2; хранение в плотно закрытых емкостях в темном месте при температуре 2-5°С Продолжительность хранения проб устанавливают в зависимости от периода полураспада определяемого элемента Лаборатория Используемая кислота не должна вызывать осаждение или улетучивание определяемых показателей. Отбор проб проводят с учетом отдельного определения изотопов радона и радиоактивного йода
Изотопы радона. Радий по радону Боросиликатное стекло (Емкость должна иметь пробку с входной и выходной трубками с кранами) Если в пробе отсутствуют взвешенные частицы, то ее подкисляют азотной кислотой до рН менее 2; хранят при температуре ниже температуры отбора пробы Как можно быстрее (но не более 48 ч) из-за короткого периода полураспада Лаборатория или на месте отбора пробы Емкости из полимерного материала могут быть проницаемы для радона. Емкость по возможности заполняют, опуская в воду и закрывая под водой. Газообразный радон может образовывать аэрозоли с полонием и т.п. Пробу транспортируют в перевернутом вниз крышкой виде. Не допускается замораживание пробы
Плутоний Боросиликатное стекло Подкисляют азотной кислотой до рН менее 1 14 сут Лаборатория Объем пробы от 1 до 5дм3
Радий Полимерный материал Подготовка пробы аналогична указанной для показателей альфа- и бета-активности. Подкисляют азотной кислотой до рН менее 1, отметив количество добавляемой кислоты При добавлении 30 мг/дм3 хлорида бария - 2 мес; при определении изотопов 226, 228 - 2 сут; при определении изотопа 224 - немедленно Лаборатория Кроме методов определения радия по радону. Не допускается применять серную кислоту
Радиоактивный стронций Полимерный материал Подготовка пробы аналогична указанной для показателей альфа- и бета-активности, но в качестве носителя допускается добавлять небольшое количество раствора нерадиоактивного нитрата стронция Как можно быстрее (в течение 14 сут) Лаборатория Не допускается применять серную кислоту
Радиоактивный цезий Полимерный материал Подготовка пробы аналогична указанной для показателей альфа- и бета-активности, но в качестве носителя допускается добавлять небольшое количество раствора нерадиоактивного нитрата цезия 14 сут Лаборатория  
Тритий и тритированная вода Боросиликатное стекло Необходимо избегать обмена пробы с атмосферой или нерадиоактивной водой Как можно быстрее (в течение 1 мес) Лаборатория  
Уран Полимерный материал Подкисляют азотной кислотой до рН менее 1 14 сут Лаборатория Объем пробы от 1 до 5 дм3

Примечания

1 Следует избегать загрязнения проб, особенно если их активность очень низкая. При этом следует учитывать, что могут оказать влияние места отбора, имеющие заметную активность почвы, воздуха и воды, отличную от активности отобранной пробы, а также лаборатории, оснащенные приборами и оборудованием, содержащими радиоактивные элементы.

2 Емкости из некоторых полимерных материалов становятся влагопроницаемыми при многомесячном хранении проб воды, в связи с чем концентрация активных элементов в пробе может слегка возрастать

3 При сборе осадков требования данной таблицы являются дополнительными к требованиям по отбору проб осадков. При сборе осадков из-за продолжительности их отбора следует обязательно указать даты начала и окончания сбора. После сбора пробы при необходимости добавляют вещество для консервации или носитель

4 Необходимо указание точной даты отбора пробы для введения при необходимости поправки на снижение активности из-за распада определяемого показателя

5 В зависимости от активности определяемого показателя принимают необходимые меры безопасности.

Таблица 5

Методы хранения и консервации проб для определения микробиологических показателей

Наименование показателя Материал, из которого изготовлена емкость для отбора и хранения проб Метод хранения и консервации Максимально рекомендуемый срок хранения Место проведения определений показателя Примечание
Общее число микроорганизмов; общие колиформы; термотолерантные колиформы; стрептококки; сальмонелла; шигелла и др. Стерильная емкость Охлаждение до 2-10°С 6 ч Лаборатория Для хлорированной или бромированной воды пробы отбирают в емкости, содержащие тиосульфат натрия (из расчета 10 мг тиосульфата натрия на 500 см3 пробы). Для воды, содержащей токсичные металлы (бериллий, ртуть, кадмий, таллий) массовой концентрацией более 0,01 мг/дм3, в емкости до их стерилизации добавляют 0,3 см3 15% раствора НТА (нитрилотриуксусная кислота) на 500 см3 пробы. Если пробу нельзя охладить при транспортировании, то анализ выполняют не позднее чем через 2 ч

Таблица 6

Методы хранения и консервации проб для определения биологических показателей

Наименование показателя Материал, из которого изготовлена емкость для отбора и хранения проб Метод хранения и консервации Максимально рекомендуемый срок хранения Место проведения определений показателя Примечание
Подсчет и идентификация          
Бентосные макробеспозвоночные:
большие пробы Полимерный материал или стекло Добавление 70% этилового спирта 1 год Лаборатория Пробу подготавливают (например фильтруют) для увеличения концентрации определяемого показателя
Полимерный материал или стекло Добавление 40% раствора формальдегида, нейтрализованного боратом натрия, до получения 2- 5% его концентрации в пробе 1 год Лаборатория Пробу фильтруют для увеличения концентрации определяемого показателя
малые пробы (например, коллекции) Полимерный материал или стекло Хранение в растворе, состоящем из 70% этилового спирта, 40% формальдегида и глицерина (в соотношениях 100:2:1 соответственно) Неопределенный Лаборатория Требуются специальные методы консервации групп беспозвоночных, для которых данные методы хранения не допускаются (например пластинчатые глисты)
Перифитон, фитопланктон Полимерный материал или стекло Добавление 1 части раствора Люголя на 100 частей пробы (раствор Люголя: 20 г йодида калия и 10 г йода на 1 дм3 воды. Хранят в емкости из темного стекла) 3 мес Лаборатория Пробы следует хранить в темном месте, периодически добавляя раствор люголя до слабой желтой окраски
Добавление 40% раствора формальдегида до получения 2% его концентрации в пробе 1-3 года Лаборатория  
Зоопланктон Полимерный материал или стекло Добавление 40% раствора формальдегида до получения 4% его концентрации в пробе или 96% талового спирта, доводя его концентрацию до 70% 1-3 года Лаборатория  
Исследование в натуральном и высушенном виде
Макрофиты; перифитон; фитопланктон; зоопланктон. Рыбы Полимерный материал или стекло Охлаждение до 2-5°С 24 ч На месте отбора пробы или в лаборатории Не допускается замораживать. Определение следует проводить как можно быстрее, но не позднее 24 ч после отбора пробы
  24 ч На месте отбора проб
Испытания на токсичность Полимерный материал или стекло Охлаждение до 2-5°С 48 ч Лаборатория Продолжительность хранения зависит от метода определения
Замораживание до минус 20°С 14 сут Лаборатория  

Таблица 7

Метод хранения (консервации) Наименование определяемых показателей, для которых метод хранения (консервации)
пригоден не пригоден
Консервация до рН менее 2 (подкисление) Щелочные металлы Цианиды
Алюминий Сульфиды
  Аммиак (но не для анализов свободно выделяющегося и общего) Карбонаты, бикарбонаты, углекислый газ
  Мышьяк Сульфиты, диоксид серы
  Щелочно-земельные и редкоземельные металлы Тиосульфата Нитриты
  Нитраты Фосфонаты
  Жесткость общая Мыла и сложные эфиры
  Фосфор общий Гексаметилентетрамин
  Тяжелые металлы  
Консервация до рН более 11 (подщелачивание) Йодиды Большинство органических соединений Тяжелые металлы, особенно многовалентные. Некоторые металлы из растворимых анионов при более высоких валентностях
    Аммиак, аммоний
    Амины, амиды
    Фосфор общий
    Гидразин
    Гидроксиламин
Охлаждение до температуры 2-5°С Кислотность  
Щелочность  
  Аммоний  
  Бромиды и соединения брома  
  Хлорофилл  
  Азот органических соединений  
  Удельная электропроводность  
  Нитраты  
  Нитриты  
  Запах  
  Фосфаты, орто  
  Фосфор  
  Сульфаты  
  Поверхностно-активные вещества (катионогенные)  
  Сухой остаток  
  Общий остаток  
  Биологические показатели  
Замораживание до минус 20°С Хлорофилл Бентос, если необходимо определять в его различных состояниях
  ХПК
  Биологические показатели Растворенные газы
  Органический углерод Микроорганизмы для идентификации
  Перманганатный индекс Растворы, требующие гомогенизации
  Испытания на токсичность  

Примечания

1 Не допускается применять:

- серную кислоту для консервации проб, предназначенных для определения кальция, стронция, бария, радия, свинца;

- соляную кислоту для консервации проб, предназначенных для определения серебра, таллия, свинца, висмута, ртути, сурьмы;

- азотную кислоту для консервации проб, предназначенных для определения оловоорганических соединений, нитратов и нитритов.

2 При замораживании проб многоатомные кислоты могут деполимеризоваться, поэтому необходимо уточнить пригодность метода до его применения.

3 При замораживании проб осадок и полимеризация могут повлиять на результаты определений.

4 Показатели, не перечисленные в таблице, не могут быть определены из проб, законсервированных данными методами.

6. Требования к оформлению результатов отбора проб

6.1 Сведения о месте отбора проб и условиях, при которых они были отобраны, указывают на этикетке и прикрепляют к емкости для отбора проб. Допускается кодировать данную информацию при помощи нанесения на емкость для отбора проб несмывающейся краской шифра (кода).

6.2 Результаты определений, выполненных на месте, вносят в протокол испытаний, который заполняется и комплектуется на месте отбора пробы.

6.3 Результаты отбора проб заносят в акт об отборе, который должен содержать следующую информацию:

- расположение и наименование места отбора проб с координатами и любой другой информацией о местонахождении;

- дату отбора;

- метод отбора;

- время отбора;

- климатические условия окружающей среды при отборе проб;

- температуру воды при отборе пробы (при необходимости);

- метод подготовки к хранению (при необходимости);

- цель исследования воды;

- другие данные в зависимости от цели отбора проб;

- должность, фамилию и подпись исполнителя.

6.4 Пробы аномальных материалов должны иметь описание наблюдаемой аномалии.

7. Транспортирование проб

7.1 Емкости с пробами упаковывают таким образом, чтобы упаковка не влияла на состав пробы и не приводила к потерям определяемых показателей при транспортировании, а также защищала емкости от возможного внешнего загрязнения и поломки.

7.2 При транспортировании емкости размещают внутри тары (контейнера, ящика, футляра и т.п.), препятствующей загрязнению и повреждению емкостей с пробами. Тара должна быть сконструирована так, чтобы препятствовать самопроизвольному открытию пробок емкостей.

7.3 Пробы, подлежащие немедленному исследованию, группируют отдельно и отправляют в лабораторию.

7.4 Для биологических показателей пробы питьевых "чистых" и речных "грязных" вод должны доставляться в отдельных промаркированных контейнерах. После доставки проб контейнеры подлежат дезинфекционной обработке.

8. Приемка проб в лаборатории

8.1 Пробы, поступающие в лабораторию для исследования, должны быть зарегистрированы в журнале учета с обязательным указанием числа емкостей для каждой пробы.

8.2 Пробы хранят в условиях, исключающих любое загрязнение емкостей для отбора проб и предотвращающих любое изменение в составе проб (например, рефрижераторные камеры, прохладные и темные помещения).

Приложение А
(справочное)

СТАТИСТИЧЕСКАЯ ОБРАБОТКА ДАННЫХ ПО ОТБОРУ ПРОБ

А.1 Составление программ отбора проб

В программе отбора проб время и частоту отбора проб определяют после проведения тщательной предварительной работы, в ходе которой обрабатываются полученные статистические данные. Если в точке отбора проб качество воды нестабильно и подвержено случайным или систематическим изменениям, полученные значения статистических параметров, таких как среднее арифметическое значение, среднее квадратическое отклонение и максимумы, являются лишь оценками реальных параметров, от которых они, как правило, отличаются.

В случае, когда изменения носят чисто случайный характер, расхождения между этими оценками и реальными значениями могут быть вычислены статистическими методами, причем эти расхождения, как правило, уменьшаются с увеличением числа отобранных проб. После установления частоты отбора проб полученные данные должны периодически пересматриваться с целью внесения необходимых изменений.

В А.2 - А.5 настоящего приложения приводится пример использования статистической обработки параметра (среднее арифметическое значение) исходя из предположения нормального распределения.

А.2 Доверительный интервал

На практике доверительный интервал L для среднего арифметического значения п результатов определяют при данном доверительном уровне интервала, в котором располагается истинное (реальное) среднее арифметическое значение.

А.3 Доверительный уровень

Доверительный уровень есть вероятность, при которой реальное среднее арифметическое значение входит в вычисленный доверительный интервал L.

Доверительный интервал на доверительном уровне 95%-ного среднего значения некоторой концентрации, определенный из пробы, для которой получено n результатов, означает, что в 95 случаях из 100 интервал содержит реальное значение .

В том случае, если отобрано большее число проб, частота случаев, при которых интервал будет включать , приблизится к 95%.

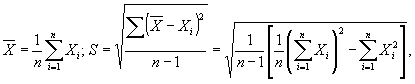
А.4 Для некоторого числа результатов n оценка среднего арифметического и среднего квадратического отклонения S проводится по формуле

где X_i - отдельное значение.

Если n бесконечно увеличивается, то S мало отличается от сигма и доверительный интервал, определенный по некоторому числу n результатов,

есть интервал + - KS , где К в соответствии с
корень кв.n

Таблица А.1

Доверительный уровень, % 99 98 95 90 80 68 50
К 2,58 2,33 1,96 1,64 1,28 1,00 0,67

Для оценки среднего арифметического значения результатов при нормальном распределении с данным доверительным интервалом L на выбранном доверительном уровне необходимое число проб составляет

( Ксигма ) 2 ,
L

если известно значение сигма.

Если известно только значение S, то разница по сравнению с предыдущим числом проб невелика, если рассчитана при достаточно большом числе n.

А.5 Случайные и систематические изменения качества воды

Случайные изменения, как правило, распределяются по закону нормального распределения или по закону логарифмического нормального распределения. Систематические изменения могут иметь либо одно направление, либо могут быть циклическими, либо соответствовать сочетанию обоих типов. Характер изменений может быть различным для различных параметров, определяемых для одной и той же воды. Если доминирующее изменение носит случайный характер, время отбора проб не имеет большого значения с точки зрения статистики. Если систематические изменения носят циклический характер, время отбора имеет важное значение как для определения всего цикла, так и для установления максимальных или минимальных концентраций.

Периоды отбора проб должны быть достаточно регулярны, если систематические изменения имеют одно и то же направление. В каждом из указанных случаев число проб определяется в большинстве случаев с помощью развернутых статистических методов. Если периодические систематические изменения не наблюдаются или имеют незначительный характер по сравнению со случайными колебаниями, достаточно отобрать такое число проб, чтобы допустимая неустойчивость среднего арифметического значения параметра соответствовала данному доверительному интервалу. Например, если распределение нормальное в соответствии с вышеизложенным, то доверительный интервал L среднего арифметического значения п результатов при данном доверительном уровне вычисляют по формуле

L = 2Kсигма ,
корень кв. n

где сигма - среднее квадратическое отклонение распределения.

Следовательно, если требуемый доверительный интервал составляет 10% реального среднего арифметического значения при требуемом доверительном уровне 95%, а среднее квадратическое отклонение составляет 20% среднего арифметического значения, формула меняется

L = 2 х 1,96 х 20 ,
корень кв. n

где корень кв. n = 7,84 и n = 61.

Это означает частоту отбора проб: 2 пробы в день за 1 мес или 1-2 пробы в неделю за год.

Приложение Б
(справочное)

ТИПЫ ОТБИРАЕМЫХ ПРОБ

Б.1 Типы проб, методы отбора и их преимущественное использование приведены в таблице Б.1

Таблица Б.1

Тип пробы Область применения
1 Точечные пробы Отбор точечных проб применяют, когда поток воды неоднороден; значения определяемых показателей непостоянны; использование составной пробы делает неясными различия между отдельными пробами; при исследовании возможного наличия загрязнения или для определения времени (в случае автоматического отбора проб) его появления, а также при проведении обширной программы отбора проб.
  Точечные пробы предпочтительнее, если цель программы отбора проб - оценить качество воды по отношению к нормативам содержания (предельно допустимых концентраций) показателей в воде, установленных в НД, а также рекомендуются для определения неустойчивых показателей (концентрация растворенных газов, остаточного хлора, растворимых сульфидов и др.)
2 Периодический отбор:  
- периодические пробы времязависящие Пробы отбирают в одну или более емкостей. За фиксированное время (используя устройство отсчета времени начала и окончания отбора) в каждую емкость для отбора проб отбирается один и тот же установленный объем
  Примечание - Время отбора может зависеть от определяемого показателя
- периодические пробы потокозависящие Пробы различных объемов берутся за постоянные интервалы времени, объем зависит от потока. Метод отбора применяют, если изменения в составе воды и скорость потока не взаимосвязаны
- периодические пробы объемозависящие Для каждой единицы объема потока воды проба берется независимо от времени. Метод отбора применяют, если изменения в составе воды и скорость потока не взаимосвязаны
3 Непрерывный отбор:  
- непрерывные пробы, отобранные при постоянной скорости потока Пробы позволяют получить все сведения о показателях воды за период отбора проб, но во многих случаях не обеспечивают информацией о различиях в концентрациях определяемых показателей
- непрерывные пробы, отобранные при непостоянной скорости потока Пробы отбирают пропорционально потоку воды. Метод используют при определении состава большого объема воды. Это наиболее точный метод отбора проб проточной волы, если скорость потока и концентрация определяемых показателей изменяются значительно
4 Отбор проб сериями: Серия проб воды, отобранных на различных
- пробы глубинного профиля глубинах исследуемой воды в конкретном месте
- пробы профиля площади Серия проб воды, отобранных на определенной глубине исследуемой воды в различных местах
5 Составная проба Составная проба может быть получена вручную или автоматически независимо от места отбора проб (например, непрерывно взятые пробы могут быть соединены вместе для получения составных проб).
  Составные пробы применяют в случаях, когда требуются усредненные данные о составе воды
6 Пробы большого объема Пробы объемом от 50 дм3 до нескольких кубических метров. Пробу отбирают в емкость (цистерну) пропусканием измеренного объема через фильтр в зависимости от определяемого показателя (например, ионообменный фильтр или фильтр с активированным углем используют для отбора проб некоторых пестицидов, фильтр из полипропилена со средним диаметром пор 1 мкм - для криптоспоридий).
  При подаче воды под давлением для контроля потока применяют регулирующий клапан. Насос располагают после фильтра и после измерителя; если пробу отбирают для определения легколетучего показателя, то насос располагают ближе к месту отбора пробы, измеритель - после фильтра. При отборе пробы воды, содержащей взвешенные твердые частицы, которые могут загрязнять фильтр, применяют дополнительные фильтры, расположенные параллельно. При использовании более одного фильтра пробу рассматривают как составную пробу.
  Сточная вода, для которой режим отбора проб предусматривает возврат в основную часть исследуемой воды, из которой отбирают пробы, должна возвращаться достаточно далеко от точки отбора проб, чтобы она не могла влиять на воду, из которой отбирают пробы

Приложение В
(рекомендуемое)

ОБОРУДОВАНИЕ ДЛЯ ОТБОРА ПРОБ

В.1 Оборудование для отбора точечных проб на определенной глубине

Для отбора точечных проб на заданной глубине применяют батометры.

Допускается отбор проб воды бутылью. Бутыль закрывают пробкой, к которой прикреплен шнур, и вставляют в тяжелую оправу или к ней подвешивают груз на тросе (шнуре, веревке). Бутыль опускают в воду на заранее выбранную глубину, затем пробку вынимают при помощи шнура, бутыль заполняется водой до верха, после чего вынимается. Перед закрытием бутыли пробкой слой воды сливается так, чтобы под пробкой оставался небольшой слой воздуха.

Целесообразно применять специальные бутыли для отбора проб, например бутыли с откачанным воздухом.

Пробу воды с небольшой глубины (особенно зимой) отбирают бутылью, прикрепленной к шесту.

Для исследования вертикального профиля воды при ее слоистой структуре допускается применять стакан с делениями, пластмассовый цилиндр или цилиндр из нержавеющей стали, открытый с обоих концов. В точке отбора проб цилиндр перед поднятием на поверхность закрывают с обоих концов специальным устройством (управляющим тросом).

В.2 Оборудование для отбора проб донных отложений

В.2.1 Отбор проб донных отложений проводят дночерпателями, соответствующими по их массе или способу действия залеганию нижнего слоя грунта.

В.2.2 Для отбора проб донных отложений с лодки или катера в зависимости от типа грунта применяют дночерпатели следующих моделей:

- коробочный дночерпатель;

- ковшовый дночерпатель.

Спуск и подъем облегченных моделей дночерпателей с площадью захвата 1/40 м2 выполняют с помощью механической лебедки или удерживая дночерпатель руками. Утяжеленные дночерпатели и дночерпатели с площадью захвата 1/25 м2 опускают с судна при помощи электрической лебедки.

В.2.3 Для отбора проб в прибрежных зонах водных объектов на глубине до 2,5 м применяют:

- дночерпатели, опускаемые на штанге (площадь захвата 1/40 м2);

- трубчатый дночерпатель (площадь захвата 1/250 м2).

Выбор дночерпателя проводят в зависимости от места отбора проб, скорости движения воды, типа фунта и имеющегося лодочного оборудования.

В.2.4 Для исследования вертикального профиля донных отложений применяют стержневой пробоотборник.

В.2.5 Для проведения качественного анализа бентоса отбор проб проводят дночерпателями, скребками, драгами или тралами различной конструкции. Скребки применяют на мелководных участках водоема, драги - как на мелководных, так и на глубоких участках.

В.3 Автоматическое оборудование для отбора проб

Применяют два основных типа автоматических пробоотборников - времязависящие и объемозависящие. Времязависящие пробоотборники отбирают дискретные, составные или непрерывные пробы, но не учитывают различия в потоке. Объемозависящие отбирают эти же типы проб с учетом различия в потоке.

Автоматические пробоотборники могут распределять пробы в емкости для отбора проб, изготовленные из различных материалов и содержащие различные вещества для консервации проб.

Инструментальные зонды, используемые для мониторинга или контроля потока рек, могут использоваться для приведения в действие автоматического оборудования для отбора проб.

Для отбора больших объемов воды применяют автоматизированную систему, которая позволяет на месте определять концентрацию контролируемого показателя.

В.4 Оборудование для отбора проб микробиологических показателей

Для большинства проб пригодны стерилизованные бутыли из стекла или одноразовая посуда из полимерных материалов. Для отбора проб на глубине (например, в озерах или водохранилищах) применяют приборы, аналогичные указанным в В.1. Батометры должны быть изготовлены из материала, выдерживающего суховоздушную или паровую стерилизацию.

Вся используемая аппаратура, включая насосы и насосное оборудование, должна быть свободна от загрязнений (промыта) и не должна дополнительно вносить новые микроорганизмы.

В.5 Оборудование для отбора проб радиологических показателей

Оборудование для отбора проб аналогично В.1.

Пробы отбирают в стеклянные или пластмассовые бутыли, предварительно очищенные моющим средством, разбавленной азотной кислотой и тщательно промытые водой.

В.6 Оборудование для отбора проб растворенных газов (летучих веществ)

Пробы, пригодные для правильного определения растворимых газов, должны быть получены только с помощью оборудования, которое собирает пробы перемещением воды быстрее, чем перемещение воздуха из пробоотборника.

Если для отбора проб растворенных газов используют насосы, то необходимо, чтобы вода накачивалась под давлением, которое не должно опускаться значительно ниже атмосферного давления. Пробу закачивают непосредственно в хранилище или емкость.

Допускается отбирать пробы для определения растворенного кислорода, используя бутыль или черпак. При этом следует учитывать, что концентрация растворенного кислорода из-за контакта между пробой и воздухом изменяется в зависимости от степени насыщения воды газом.

При отборе пробы в бутыли из крана или насоса гибкая инертная трубка, по которой поступает вода, должна доходить до дна бутыли для обеспечения наполнения жидкостью от дна бутыли.

Сбор проб растворенного кислорода из воды, покрытой льдом, выполняют так, чтобы предотвратить влияние воздуха на пробу.

В.7 Оборудование для отбора биологических проб

В.7.1 Фитопланктон

Для отбора проб фитопланктона используют:

- батометры;

- планктонные сети.

При использовании сети на мелководье применяют буксирование за лодкой, на глубоких местах - тотальный лов от дна к поверхности.

В.7.2 Зоопланктон

Отбор проб зоопланктона проводится следующими методами:

- методы, представляющие комбинацию водозачерпывания и одновременного отделения планктона от воды в самой воде с помощью планктонных сетей, планктоночерпателей;

- методы, представляющие комбинацию раздельного водозачерпывания и последующего отделения от воды, что осуществляется фильтрацией через сетку или отстаиванием.

Метод отбора проб зависит от типа водоема, его глубины и размеров.

Для качественного сбора зоопланктона применяют планктонные сети различных конструкций, используемые с лодок, плота, судна, опуская их вручную или с помощью лебедки. Маленькие планктонные сети можно забрасывать с берега, не допуская зачерпывания грунта.

Для количественного сбора зоопланктона в зависимости от цели исследований применяют:

- количественные сети;

- батометры;

- емкости (кружки, ведра и т.п.).

В.7.3 Перифитон

Отбор проб перифитона проводят двумя методами:

- отбор проб с естественных субстратов;

- отбор проб с помощью искусственных субстратов.

Отбор проб с естественных субстратов проводят с помощью скребков, ножа, скальпеля, пинцета или столовой ложки с заточенным краем.

В качестве искусственных субстратов используют предметные стекла. Стекла укрепляют вертикально, в текучих водоемах - параллельно течению во избежание оседания детрита, грязи, мусора и т.п. Стекла вставляют в пенопластовые поплавки (резиновые пробки), поплавки надевают на трос. Длительность экспозиции определяется географическим положением, качеством воды изучаемого объекта, сезоном года, целью исследования, но не менее 14 сут.

В.7.4 Макрофиты

Для качественного отбора проб в зависимости от глубины воды используют следующее оборудование:

- водяные грабельки трех- и шестизубовые (при глубине воды не более 2 - 3 м);

- якорьки-кошки, двусторонние водяные грабли (при глубине более 2,5 - 3 м);

- мотки колючей проволоки с грузом;

- драги различных конструкций;

- смотровые трубы, изготовленные из металла, дерева и любого другого материала, или рупор (маску для аквалангистов).

Для количественного отбора проб дополнительно применяют рамы различных типов площадью 1; 0,5 и 0,25 м2 и других размеров, квадратные, прямоугольные, круглые, изготовленные из дерева, алюминиевых или синтетических труб и других материалов с расчетом на их плавучесть.

Для отбора проб на фитомассу используют следующее оборудование:

- косу с лезвием длиной от пятки до конца 20 - 25 см, изготовленную из обыкновенной косы, у которой под углом срезают конец лезвия;

- зарослечерпатели (зарослевырезыватели) различных конструкций;

- "тростниковые ножницы".

В.7.5 Макрозообентос

Метод отбора выбирают в зависимости от ряда параметров: глубины воды, течения потока, вида объекта отбора и т.п.

Для отбора проб применяют сачки, скребки, дночерпатели или тралы и другие способы сбора.

В.7.6 Рыбы

Рыбы могут быть собраны активно и пассивно в зависимости от места распространения и цели отбора проб.

В ручьях и реках глубиной до 2 м отбор проб проводят по методике электрической ловли рыбы с применением однородных полей постоянного тока и импульсных полей постоянного и переменного тока. На больших реках для отбора проб используют разнообразные механизмы.

Для медленнотекущих рек и стоячих вод предпочтительны сетевые методы. Сети для активной ловли рыбы (кошельковый невод или траловая сеть) применяют в воде, свободной от заграждений. Сети для пассивной ловли рыбы (крючки, траловые сети или рыболовные сети и другие ловушки) применяют там, где встречаются заграждения или водоросли. Специальные ловушки, встроенные в плотину, используют для мигрирующей рыбы.

Методики отбора проб рыбы выбирают в зависимости от приспособлений (размер ячейки сети, характеристики электрического поля), повадок рыб, правовых ограничений на использование электрических ловушек для ловли рыб, состояния пробы рыбы (живая или мертвая).

Приложение Г
(рекомендуемое)

ПОДГОТОВКА ЕМКОСТЕЙ ДЛЯ ОТБОРА ПРОБ

Г.1 Подготовка емкостей для отбора проб, предназначенных для определения химических показателей

Г.1.1 Емкости для отбора проб должны быть тщательно промыты, чтобы свести к минимуму возможные загрязнения пробы. Тип применяемого для промывки вещества выбирают в зависимости от определяемых показателей и материала емкости.

Г.1.2 Новую стеклянную посуду ополаскивают раствором моющего средства для удаления пыли и следов упаковочного материала с последующей промывкой дистиллированной или деионизованной водой. Посуду заполняют 1 моль/дм3 раствора азотной или соляной кислоты и выдерживают не менее 1 сут, затем тщательно ополаскивают дистиллированной или деионизованной водой.

Г.1.3 При определении фосфатов, кремния, бора и поверхностно-активных веществ для промывки емкостей не допускается использовать растворы моющих средств.

Г.1.4 Ранее использованные стеклянные емкости моют хромовой смесью, тщательно ополаскивают водой, обрабатывают водяным паром, затем ополаскивают дистиллированной или деионизованной водой и сушат струей осушенного воздуха. Допускается использовать вместо хромовой смеси концентрированную серную кислоту. Не допускается применять хромовую смесь для емкостей, используемых для отбора и хранения проб, предназначенных для определения хрома.

Пластмассовые емкости ополаскивают ацетоном, разбавленной соляной кислотой, тщательно промывают водой, ополаскивают дистиллированной или деионизованной водой и сушат струей воздуха.

Г.2 Подготовка емкостей для отбора проб, предназначенных для определения органических веществ

Для отбора проб применяют только стеклянные емкости предпочтительно коричневого стекла.

Емкости моют раствором моющего средства, тщательно ополаскивают дистиллированной или деионизованной водой, сушат в сушильном шкафу при 105°С в течение 2 ч и охлаждают, затем ополаскивают дистиллированной или деионизованной водой и окончательно сушат струей очищенного воздуха или азота.

Г.3 Подготовка емкостей для отбора проб, предназначенных для определения микроорганизмов

Г.3.1 Емкости промывают раствором нейтрального моющего средства и тщательно ополаскивают дистиллированной водой до полного удаления моющих средств и других посторонних примесей и высушивают.

Г.3.2 Емкости для отбора проб закрывают силиконовыми или другими пробками, кроме ватно-марлевых, а также колпачками, изготовленными из фольги, плотной бумаги и др.

В емкостях с притертой пробкой между стенкой горлышка и пробкой перед стерилизацией прокладывают полоску тонкой бумаги.

Г.3.3 Новые пробки кипятят 30 мин в 2%-ном растворе двууглекислого натрия и пять раз промывают водопроводной водой (кипячение и промывание повторяют дважды), затем кипятят 30 мин в дистиллированной воде, высушивают, заворачивают в бумагу или фольгу и стерилизуют в паровом стерилизаторе.

Пробки, использованные ранее, обеззараживают, кипятят 30 мин в водопроводной воде с нейтральным моющим средством, промывают в водопроводной воде, высушивают, монтируют и стерилизуют.

Г.3.4 Стерилизацию емкостей для отбора проб проводят в сушильном шкафу при температуре 160-170°С в течение 1 ч с момента достижения указанной температуры. Простерилизованные емкости вынимают из сушильного шкафа только после его охлаждения ниже 60°С.

Емкости, имеющие элементы материалов, разрушающихся при температуре 160°С, стерилизуют в паровом стерилизаторе при температуре (121+-2)°С (10(5) Па) в течение 20 мин.

Г.3.5 Большие емкости (молочные фляги, металлические ведра и т.п.) допускается обрабатывать путем обжига их внутренней поверхности с использованием этилового спирта.

Г.4 Подготовка емкостей для отбора проб, предназначенных для паразитологического анализа, - по [2]

Г.5 Подготовка емкостей для отбора проб, предназначенных для определения радиоактивного загрязнения

Емкости промывают раствором моющего средства, азотной кислотой и тщательно ополаскивают дистиллированной водой.

Приложение Д
(справочное)

БИБЛИОГРАФИЯ

[1] ИСО 5667-1 - 1980 Качество воды. Отбор проб. Руководство по составлению программ отбора проб

[2] МУК 4.1.668-97 Методические указания. Санитарно-паразитологическое исследование воды. Утверждены Минздравом России