"Положение о порядке периодической продажи Банком России иностранной валюты банкам, уполномоченным на открытие и ведение специальных счетов типа "С", действующим от своего имени по поручению и за счет инвесторов - нерезидентов"

(утв. ЦБ РФ 23.03.99 N 69-П)
Редакция от 23.03.1999 — Документ утратил силу, см. «Указание ЦБ РФ от 09.06.2004 N 1438-У»
Показать изменения

ЦЕНТРАЛЬНЫЙ БАНК РОССИЙСКОЙ ФЕДЕРАЦИИ

23 марта 1999 г. N 69-П

ПОЛОЖЕНИЕ
О ПОРЯДКЕ ПЕРИОДИЧЕСКОЙ ПРОДАЖИ БАНКОМ РОССИИ ИНОСТРАННОЙ ВАЛЮТЫ БАНКАМ, УПОЛНОМОЧЕННЫМ НА ОТКРЫТИЕ И ВЕДЕНИЕ СПЕЦИАЛЬНЫХ СЧЕТОВ ТИПА "С", ДЕЙСТВУЮЩИМ ОТ СВОЕГО ИМЕНИ ПО ПОРУЧЕНИЮ И ЗА СЧЕТ ИНВЕСТОРОВ - НЕРЕЗИДЕНТОВ

1. Общие положения

1.1. Настоящее Положение определяет порядок периодического проведения Банком России сессий (в дальнейшем - Сессии) по продаже иностранной валюты банкам, уполномоченным на открытие и ведение специальных счетов типа "С" (в дальнейшем - Уполномоченные банки), действующим от своего имени по поручению и за счет инвесторов - нерезидентов (в дальнейшем - Нерезиденты).

1.2. В целях настоящего Положения под иностранной валютой понимается доллар США.

2. Порядок проведения Сессий

2.1. К участию в Сессиях допускаются Уполномоченные банки, действующие от своего имени по поручению и за счет Нерезидентов.

2.2. В качестве оплаты за иностранную валюту принимаются следующие активы:

2.2.1. Денежные средства Нерезидентов на специальных счетах типа "С" (инвестиционных);

2.2.2. Денежные средства Нерезидентов на специальных счетах типа "С" (конверсионных);

2.2.3. Облигации федерального займа с фиксированным купонным доходом, выпущенные Министерством финансов Российской Федерации в соответствии с Постановлением Правительства Российской Федерации "О Генеральных условиях выпуска и обращения облигаций федеральных займов" от 15 мая 1995 г. N 458 и Условиями выпуска облигаций федерального займа с фиксированным купонным доходом, утвержденными Приказом Министерства финансов Российской Федерации от 18 августа 1998 г. N 37н (в дальнейшем - ОФЗ - ФД), владельцами которых являются Нерезиденты.

При этом в качестве оплаты за иностранную валюту принимаются выпуски ОФЗ - ФД, с которыми в течение каждого из пяти последних торговых дней, предшествующих дню проведения Сессии, заключались сделки купли - продажи на вторичном рынке Торговой системы ММВБ на сумму не менее 10 млн. рублей по номинальной стоимости.

2.3. Активы, указанные в п. 2.2 настоящего Положения, принимаются в качестве оплаты за иностранную валюту от каждого Уполномоченного банка, действующего от своего имени по поручению и за счет каждого Нерезидента, в пропорциональном соотношении, установленном Банком России.

2.4. Нерезидент - владелец ОФЗ - ФД, по поручению и за счет которого действует Уполномоченный банк, должен открыть в Субдепозитарии Уполномоченного банка раздел "Блокировано для оплаты иностранной валюты" своего счета депо и перевести на данный раздел ОФЗ - ФД, которые Нерезидент намерен использовать для оплаты иностранной валюты.

Нерезидент должен передать в Уполномоченный банк оригинал доверенности на назначение Банка России оператором раздела "Блокировано для оплаты иностранной валюты" своего счета депо по форме, указанной в Приложении 1 к настоящему Положению.

2.5. В целях настоящего Положения стоимость ОФЗ - ФД, указанных в п. 2.2.3 настоящего Положения, определяется в соответствии со средневзвешенными ценами ОФЗ - ФД, рассчитанными по итогам пяти последних торговых дней на вторичном рынке Торговой системы ММВБ, предшествующих дню проведения Сессии.

Расчет указанных средневзвешенных цен осуществляется по формуле, указанной в Приложении 2 к настоящему Положению.

2.6. Курсом продажи иностранной валюты Уполномоченным банкам за активы, указанные в п. 2.2 настоящего Положения, при проведении Сессии является официальный курс доллара США, установленный Банком России на день проведения Сессии, умноженный на коэффициент, определяемый Банком России.

Указанный коэффициент объявляется Банком России не позднее десяти рабочих дней до даты проведения Сессии.

2.7. Для участия в Сессиях Уполномоченные банки по поручению Нерезидентов в установленное время подают в Банк России заявки на покупку иностранной валюты (в дальнейшем - Заявки) по форме, указанной в Приложении 3 к настоящему Положению, а также полученные от Нерезидентов оригиналы доверенностей на назначение Банка России оператором разделов "Блокировано для оплаты иностранной валюты" своих счетов депо.

2.8. Каждый Уполномоченный банк по поручению каждого Нерезидента может подавать в Банк России для участия в каждой Сессии не более одной Заявки.

2.9. Банк России устанавливает максимальную сумму иностранной валюты, которую он готов продать Уполномоченным банкам по итогам Сессии.

2.10. Банк России устанавливает дату проведения Сессии, а также время и порядок подачи Заявок в Банк России.

2.11. Информация, указанная в пп. 2.3, 2.9 и 2.10 настоящего Положения, объявляется Банком России не позднее десяти рабочих дней до даты проведения Сессии.

2.12. По истечении времени, отведенного Уполномоченным банкам для подачи Заявок, Банк России составляет сводный реестр всех поданных в Банк России Заявок по форме, указанной в Приложении 4 к настоящему Положению.

2.13. По итогам Сессии на основании данных сводного реестра Заявок Банк России принимает решение об объеме удовлетворенных Заявок (о сумме иностранной валюты, которую Банк России готов продать Уполномоченным банкам), поданных Уполномоченными банками в Банк России.

2.14. На основании данных сводного реестра Заявок максимальная сумма иностранной валюты, которую Банк России готов продать Уполномоченным банкам по итогам Сессии, может быть увеличена в порядке, установленном Банком России.

2.15. По итогам Сессии Банк России заключает с Уполномоченными банками сделки купли - продажи иностранной валюты путем удовлетворения поданных ими в Банк России Заявок в порядке, установленном настоящим Положением.

2.16. В случае, если общая сумма покупки иностранной валюты, заявленная Уполномоченными банками на данной Сессии по поручению и за счет Нерезидентов, превышает объем удовлетворяемых Заявок, указанный объем распределяется между Уполномоченными банками пропорционально размерам их Заявок.

2.17. В случае, если по итогам Сессии Заявки (либо одна Заявка), поданные Уполномоченными банками в Банк России, были удовлетворены частично (согласно п. 2.16 настоящего Положения), Банк России заключает с Уполномоченными банками сделки купли - продажи иностранной валюты, в качестве оплаты за которую принимаются активы, указанные в п. 2.2 настоящего Положения, в пропорциональном соотношении, определенном Уполномоченными банками в поданных ими Заявках (с учетом требований, установленных в п. 2.3 настоящего Положения).

2.18. Иностранная валюта, приобретенная Уполномоченными банками по поручению и за счет Нерезидентов в соответствии с настоящим Положением, может быть свободно репатриирована Нерезидентами.

3. Порядок исполнения сделок купли - продажи иностранной валюты, заключенных по итогам Сессий

3.1. Банк России на следующий рабочий день после дня проведения Сессии направляет Уполномоченным банкам официальное сообщение об итогах проведенной Сессии по форме, указанной в Приложении 5 к настоящему Положению, а также сообщает им о заключенных с ними по итогам проведения Сессии сделках купли - продажи иностранной валюты по форме, указанной в Приложении 6 к настоящему Положению.

3.2. Уполномоченный банк, с которым по итогам проведенной Сессии были заключены сделки купли - продажи иностранной валюты, должен не позднее второго рабочего дня после дня проведения Сессии перечислить денежные средства в размере, необходимом для приобретения иностранной валюты, на счет Банка России, указанный в Приложении 6 к настоящему Положению.

3.3. Во второй рабочий день после дня проведения Сессии Банк России производит перевод ОФЗ - ФД на свой счет депо с разделов "Блокировано для оплаты иностранной валюты" счетов депо Нерезидентов, по поручению и за счет которых Уполномоченными банками были заключены сделки купли - продажи иностранной валюты, в количестве, необходимом для исполнения указанных сделок.

3.4. ОФЗ - ФД, оставшиеся на разделах "Блокировано для оплаты иностранной валюты" счетов депо Нерезидентов после исполнения сделок купли - продажи иностранной валюты, переводятся Банком России на основные разделы счетов депо Нерезидентов во второй рабочий день, следующий за днем проведения Сессии.

3.5. На третий рабочий день после дня проведения Сессии Банк России перечисляет иностранную валюту на указанные в поданных в Банк России Заявках счета Уполномоченных банков, с которыми были заключены сделки купли - продажи иностранной валюты.

3.6. В случае неисполнения Уполномоченным банком своих обязательств по заключенным с Банком России сделкам купли - продажи иностранной валюты в срок, указанный в п. 3.2 настоящего Положения, Банк России вправе отказаться от исполнения своих обязательств по указанным сделкам.

3.7. Уполномоченный банк в день получения иностранной валюты от Банка России обязан перечислить ее Нерезиденту, по поручению и за счет которого он подавал заявки на Сессию, если иное не предусмотрено договором между Уполномоченным банком и Нерезидентом.

4. Настоящее Положение вступает в силу с момента опубликования в "Вестнике Банка России".

Председатель Центрального банка
Российской Федерации
В.В.ГЕРАЩЕНКО

Приложение 1
к Положению Банка России
от 23 марта 1999 г. N 69-П

ДОВЕРЕННОСТЬ
НА НАЗНАЧЕНИЕ БАНКА РОССИИ ОПЕРАТОРОМ РАЗДЕЛА "БЛОКИРОВАНО ДЛЯ ОПЛАТЫ ИНОСТРАННОЙ ВАЛЮТЫ" СЧЕТА ДЕПО НЕРЕЗИДЕНТА

   
(Место)   Дата (прописью)

Полное наименование Нерезидента и его адрес Код ОКПО Нерезидента (либо его аналог) Наименование Субдепозитария (Уполномоченного банка) Номер счета депо Нерезидента в указанном Субдепозитарии Код Инвестора - Нерезидента в Торговой системе

Настоящим назначаем Банк России оператором раздела "Блокировано для оплаты иностранной валюты" вышеуказанного счета депо для совершения им действий, установленных Положением Банка России "О порядке периодической продажи Банком России иностранной валюты банкам, уполномоченным на открытие и ведение специальных счетов типа "С", действующим от своего имени по поручению и за счет инвесторов - нерезидентов" от 23.03.99 N 69-П.

Должность Подпись Ф.И.0.
  Печать  

Приложение 2
к Положению Банка России
от 23 марта 1999 г. N 69-П

ПОРЯДОК
РАСЧЕТА СРЕДНЕВЗВЕШЕННЫХ ЦЕН ВЫПУСКОВ ОФЗ - ФД

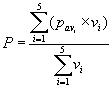
Расчет средневзвешенной цены каждого выпуска ОФЗ - ФД по итогам пяти последних торговых дней на вторичном рынке Торговой системы ММВБ, предшествующих дню проведения сессии по продаже иностранной валюты Уполномоченным банкам, осуществляется по формуле:

где P - средневзвешенная цена выпуска ОФЗ - ФД по итогам пяти торговых дней на вторичном рынке Торговой системы ММВБ, округленная до двух знаков после запятой;

- средневзвешенная цена выпуска ОФЗ - ФД, установившаяся по итогам каждого торгового дня на вторичном рынке Торговой системы ММВБ;

- оборот выпуска ОФЗ - ФД по номинальной стоимости, установившейся по итогам каждого торгового дня на вторичном рынке Торговой системы ММВБ;

i - номер торгового дня.

Приложение 3
к Положению Банка России
от 23 марта 1999 г. N 69-П

 
                               ЗАЯВКА 
        УПОЛНОМОЧЕННОГО БАНКА, ДЕЙСТВУЮЩЕГО ОТ СВОЕГО ИМЕНИ 
                ПО ПОРУЧЕНИЮ И ЗА СЧЕТ НЕРЕЗИДЕНТА, 
                    НА ПОКУПКУ ИНОСТРАННОЙ ВАЛЮТЫ 
 
    Наименование   Уполномоченного   банка   Полное   наименование
Нерезидента и его адрес Код ОКПО Нерезидента (либо его аналог) Код
Инвестора  -  Нерезидента  в  Торговой  системе Номер специального
счета  типа  "С"  (инвестиционного) Нерезидента Номер специального
счета  типа  "С"  (конверсионного)  Нерезидента  Номер  счета депо
Нерезидента

    1. Настоящим подтверждаем  наше  предложение  купить  у  Банка
России иностранную валюту в сумме ________ долларов США __________
                                                        (прописью)
на сессии по продаже иностранной валюты,  проводимой Банком России
______________ в соответствии с Положением Банка России "О порядке
    дата
периодической продажи Банком  России  иностранной  валюты  банкам,
уполномоченным на  открытие и ведение специальных счетов типа "С",
действующим от своего имени по поручению и за  счет  инвесторов  -
нерезидентов" от  23.03.99  N  69-П  (в  дальнейшем  - Положение).
Оплату иностранной   валюты   обязуемся    произвести    денежными
средствами в     размере    _________    рублей    _____    копеек
____________________________________, а также следующими ОФЗ - ФД,
           (прописью)
находящимися на  разделе  "Блокировано  для   оплаты   иностранной
валюты"    вышеуказанного   счета    депо,    стоимость   которых,
рассчитанная в соответствии с Положением,  составляет ________% от
вышеуказанной  суммы  иностранной валюты,  выраженной в российских
рублях:
 
        N выпуска ОФЗ - ФД         
       Количество (шт.)      
 
 
 
 
 
    Приобретенную  иностранную  валюту  просим  перечислить на наш
счет N _______, открытый в ____________.
    За   Уполномоченный   банк,   действующий   от своего имени по
поручению и за счет Нерезидента
Должность 
Подпись 
Ф.И.0. 
 
Печать 
Дата 

Приложение 4
к Положению Банка России
от 23 марта 1999 г. N 69-П

"Утверждаю"
________________

СВОДНЫЙ РЕЕСТР
ЗАЯВОК, ПОДАННЫХ УПОЛНОМОЧЕННЫМИ БАНКАМИ, ДЕЙСТВУЮЩИМИ ОТ СВОЕГО ИМЕНИ ПО ПОРУЧЕНИЮ И ЗА СЧЕТ НЕРЕЗИДЕНТОВ, НА СЕССИЮ ПО ПРОДАЖЕ ИНОСТРАННОЙ ВАЛЮТЫ

"__" ____________ 199_ г.
(Дата проведения Сессии)

N Наименование Уполномоченного банка Наименование Нерезидента Объем заявки (долл. США) Курс продажи долларов США Объем заявки (руб.) Продано (долл. США)
             
             
             
  ИТОГО          

Департамент операций на открытом рынке ___________/______________/

Департамент иностранных операций ___________/___________________/

Приложение 5
к Положению Банка России
от 23 марта 1999 г. N 69-П

ОФИЦИАЛЬНОЕ СООБЩЕНИЕ
БАНКА РОССИИ ОБ ИТОГАХ СЕССИИ ПО ПРОДАЖЕ ИНОСТРАННОЙ ВАЛЮТЫ УПОЛНОМОЧЕННЫМ БАНКАМ, ДЕЙСТВУЮЩИМ ОТ СВОЕГО ИМЕНИ ПО ПОРУЧЕНИЮ И ЗА СЧЕТ НЕРЕЗИДЕНТОВ

Сессия по продаже иностранной валюты Уполномоченным банкам, действующим от своего имени по поручению и за счет Нерезидентов, состоялась "__" ______ 199_ года.

Суммарный объем заявок на покупку иностранной валюты, поданных Уполномоченными банками в Банк России, составил ___ долларов США.

Курс продажи Банком России иностранной валюты Уполномоченным банкам был установлен в размере ___ рублей за один доллар США.

Сумма иностранной валюты, проданной Банком России Уполномоченным банкам, составила ____ долларов США.

От Банка России

Приложение 6
к Положению Банка России
от 23 марта 1999 г. N 69-П

 
                             СООБЩЕНИЕ 
                      БАНКА РОССИИ О СДЕЛКАХ, 
       ЗАКЛЮЧЕННЫХ ПО ИТОГАМ ПРОВЕДЕНИЯ СЕССИИ ПО ПРОДАЖЕ 
    ИНОСТРАННОЙ ВАЛЮТЫ УПОЛНОМОЧЕННОМУ БАНКУ, ДЕЙСТВУЮЩЕМУ 
      ОТ СВОЕГО ИМЕНИ ПО ПОРУЧЕНИЮ И ЗА СЧЕТ НЕРЕЗИДЕНТА 
 
    Наименование   Уполномоченного   банка   Полное   наименование
Нерезидента и его адрес Код ОКПО Нерезидента (либо его аналог) Код
Инвестора  -  Нерезидента  в  Торговой  системе Номер специального
счета  типа  "С"  (инвестиционного) Нерезидента Номер специального
счета  типа  "С"  (конверсионного)  Нерезидента  Номер  счета депо
Нерезидента

    1. Настоящим  подтверждаем согласие продать иностранную валюту
в сумме ________ долларов США __________ по    итогам   сессии  по
                              (прописью)
продаже иностранной    валюты,    проведенной    Банком     России
______________ в соответствии с Положением Банка России "О порядке
    дата
периодической продажи Банком  России  иностранной  валюты  банкам,
уполномоченным на  открытие и ведение специальных счетов типа "С",
действующим от своего имени по поручению и за  счет  инвесторов  -
нерезидентов" от  23.03.99  N  69-П.   В   оплату   за   указанную
иностранную валюту принимаем денежные средства в размере _________
рублей _____ копеек _____________________________________, а также
                                (прописью)
следующие ОФЗ - ФД, находящиеся на разделе "Блокировано для оплаты
иностранной валюты" вышеуказанного счета депо:
 
        N выпуска ОФЗ - ФД          
       Количество (шт.)     
 
 
 
 
 
    2. Просим Вас не позднее "__" ____________ 199_ г. перечислить
денежные  средства,  необходимые для оплаты иностранной валюты, на
счет Банка России N _______, открытый в ___________.
    3.   Проданная   иностранная   валюта   будет перечислена "__"
____________  199_  г.  на  счет  Уполномоченного банка N _______,
открытый в ________________.

                                                  От Банка России