Приказ ФСФР РФ от 13.12.2005 N 05-79/ПЗ-Н

"Об утверждении порядка определения показателя эффективности доверительного управления накоплениями для жилищного обеспечения военнослужащих"
Редакция от 13.12.2005 — Действует

Зарегистрировано в Минюсте РФ 19 января 2006 г. N 7382


ФЕДЕРАЛЬНАЯ СЛУЖБА ПО ФИНАНСОВЫМ РЫНКАМ

ПРИКАЗ
от 13 декабря 2005 г. N 05-79/пз-н

ОБ УТВЕРЖДЕНИИ ПОРЯДКА ОПРЕДЕЛЕНИЯ ПОКАЗАТЕЛЯ ЭФФЕКТИВНОСТИ ДОВЕРИТЕЛЬНОГО УПРАВЛЕНИЯ НАКОПЛЕНИЯМИ ДЛЯ ЖИЛИЩНОГО ОБЕСПЕЧЕНИЯ ВОЕННОСЛУЖАЩИХ

В соответствии со статьей 1022 Гражданского кодекса Российской Федерации, Федеральным законом от 20.08.2004 N 117-ФЗ "О накопительно-ипотечной системе жилищного обеспечения военнослужащих" (Собрание законодательства Российской Федерации, 2004, N 34, ст. 3532), пунктом 3 Постановления Правительства Российской Федерации от 11.11.2005 N 678 "Об утверждении типовых договоров в целях реализации Федерального закона "О накопительно-ипотечной системе жилищного обеспечения военнослужащих" (Собрание законодательства Российской Федерации, 2005, N 47, ст. 4932) и Положением о Федеральной службе по финансовым рынкам, утвержденным Постановлением Правительства Российской Федерации от 30.06.2004 N 317 (Собрание законодательства Российской Федерации, 2004, N 27, ст. 2780; 2005, N 33, ст. 3429), приказываю:

Утвердить прилагаемый Порядок определения показателя эффективности доверительного управления накоплениями для жилищного обеспечения военнослужащих.

Руководитель
О.В.ВЬЮГИН

УТВЕРЖДЕН
Приказом ФСФР России
от 13 декабря 2005 г. N 05-79/пз-н

ПОРЯДОК
ОПРЕДЕЛЕНИЯ ПОКАЗАТЕЛЯ ЭФФЕКТИВНОСТИ ДОВЕРИТЕЛЬНОГО УПРАВЛЕНИЯ НАКОПЛЕНИЯМИ ДЛЯ ЖИЛИЩНОГО ОБЕСПЕЧЕНИЯ ВОЕННОСЛУЖАЩИХ

1. Настоящий Порядок устанавливает правила определения показателя эффективности доверительного управления накоплениями для жилищного обеспечения военнослужащих (далее - показатель эффективности).

2. Показатель эффективности используется в целях определения размера упущенной выгоды, подлежащей возмещению управляющей компанией, осуществляющей доверительное управление накоплениями для жилищного обеспечения военнослужащих (далее - управляющая компания), в случаях, предусмотренных договором доверительного управления накоплениями для жилищного обеспечения военнослужащих (далее - договор доверительного управления).

3. Показатель эффективности определяется федеральным органом исполнительной власти, обеспечивающим функционирование накопительно-ипотечной системы жилищного обеспечения военнослужащих (далее - уполномоченный федеральный орган), при предъявлении им управляющей компании требования о возмещении упущенной выгоды за время доверительного управления указанными накоплениями.

4. Показатель эффективности определяется как меньшая из следующих величин:

а) 50 процентов средней доходности доверительного управления накоплениями для жилищного обеспечения военнослужащих;

б) средняя доходность доверительного управления накоплениями для жилищного обеспечения военнослужащих минус 5 процентов.

5. Средняя доходность доверительного управления накоплениями для жилищного обеспечения военнослужащих рассчитывается как средневзвешенная величина доходности доверительного управления накоплениями для жилищного обеспечения военнослужащих по каждому из договоров доверительного управления, заключенных по результатам конкурса по одному и тому же инвестиционному мандату, кроме договора доверительного управления, по которому уполномоченным федеральным органом предъявляется требование о возмещении упущенной выгоды. При этом веса определяются как доли объема накоплений для жилищного обеспечения военнослужащих, переданных в доверительное управление по каждому из договоров доверительного управления, от общего объема накоплений для жилищного обеспечения военнослужащих, переданных в доверительное управление.

6. Показатель эффективности определяется за период с даты заключения с управляющей компанией, которой уполномоченным федеральным органом предъявляется требование о возмещении упущенной выгоды, договора доверительного управления или соглашения о продлении указанного договора, до даты расторжения договора и определения размера упущенной выгоды (далее - расчетный период).

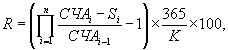
7. Доходность доверительного управления накоплениями для жилищного обеспечения военнослужащих рассчитывается отдельно по каждому договору доверительного управления по методу взвешенной по времени доходности с поправкой на денежные потоки по формуле:

где:

R - доходность доверительного управления накоплениями для жилищного обеспечения военнослужащих (в процентах годовых);

n - количество дней, в которые накопления для жилищного обеспечения военнослужащих передавались уполномоченным федеральным органом в управляющую компанию или управляющей компанией в уполномоченный федеральный орган, плюс один день;

СЧА_n - стоимость чистых активов, в которые инвестированы накопления для жилищного обеспечения военнослужащих, находящиеся в доверительном управлении управляющей компании (далее - стоимость чистых активов) по состоянию на последний рабочий день расчетного периода;

СЧА_0 - стоимость чистых активов по состоянию на последний рабочий день, предшествующий началу расчетного периода;

СЧА_i (0 < i < n) - стоимость чистых активов по состоянию на дату передачи накоплений для жилищного обеспечения военнослужащих уполномоченным федеральным органом в управляющую компанию или управляющей компанией в уполномоченный федеральный орган;

СЧА_i-1 - стоимость чистых активов по состоянию на предыдущую дату передачи накоплений для жилищного обеспечения военнослужащих уполномоченным федеральным органом в управляющую компанию или управляющей компанией в уполномоченный федеральный орган;

S_i (0 < i < n) - денежный поток, определяемый как разница между общей суммой накоплений для жилищного обеспечения военнослужащих, переданных уполномоченным федеральным органом в управляющую компанию, и общей суммой накоплений для жилищного обеспечения военнослужащих, переданных управляющей компанией в уполномоченный федеральный орган, в i-й день;

К - количество календарных дней в расчетном периоде.

При этом стоимость чистых активов определяется в порядке, установленном Федеральной службой по финансовым рынкам.