Приказ ФСФР РФ от 15.12.2005 N 05-83/ПЗ-Н

"О внесении изменений в Приказ Федеральной службы по финансовым рынкам от 30.03.2005 N 05-8/ПЗ-Н "Об утверждении Положения о составе и структуре активов акционерных инвестиционных фондов и активов паевых инвестиционных фондов", а также в Положение о порядке и сроках определения стоимости чистых активов акционерных инвестиционных фондов, стоимости чистых активов паевых инвестиционных фондов, расчетной стоимости инвестиционных паев паевых инвестиционных фондов, а также стоимости чистых активов акционерных инвестиционных фондов в расчете на одну акцию, утвержденное Приказом Федеральной службы по финансовым рынкам от 15.06.2005 N 05-21/ПЗ-Н"
Редакция от 15.12.2005 — Документ утратил силу, см. «Указание ЦБ РФ от 25.08.2015 N 3758-У»
Показать изменения

Зарегистрировано в Минюсте РФ 19 января 2006 г. N 7387


ФЕДЕРАЛЬНАЯ СЛУЖБА ПО ФИНАНСОВЫМ РЫНКАМ

ПРИКАЗ
от 15 декабря 2005 г. N 05-83/пз-н

О ВНЕСЕНИИ ИЗМЕНЕНИЙ В ПРИКАЗ ФЕДЕРАЛЬНОЙ СЛУЖБЫ ПО ФИНАНСОВЫМ РЫНКАМ ОТ 30.03.2005 N 05-8/ПЗ-Н "ОБ УТВЕРЖДЕНИИ ПОЛОЖЕНИЯ О СОСТАВЕ И СТРУКТУРЕ АКТИВОВ АКЦИОНЕРНЫХ ИНВЕСТИЦИОННЫХ ФОНДОВ И АКТИВОВ ПАЕВЫХ ИНВЕСТИЦИОННЫХ ФОНДОВ", А ТАКЖЕ В ПОЛОЖЕНИЕ О ПОРЯДКЕ И СРОКАХ ОПРЕДЕЛЕНИЯ СТОИМОСТИ ЧИСТЫХ АКТИВОВ АКЦИОНЕРНЫХ ИНВЕСТИЦИОННЫХ ФОНДОВ, СТОИМОСТИ ЧИСТЫХ АКТИВОВ ПАЕВЫХ ИНВЕСТИЦИОННЫХ ФОНДОВ, РАСЧЕТНОЙ СТОИМОСТИ ИНВЕСТИЦИОННЫХ ПАЕВ ПАЕВЫХ ИНВЕСТИЦИОННЫХ ФОНДОВ, А ТАКЖЕ СТОИМОСТИ ЧИСТЫХ АКТИВОВ АКЦИОНЕРНЫХ ИНВЕСТИЦИОННЫХ ФОНДОВ В РАСЧЕТЕ НА ОДНУ АКЦИЮ, УТВЕРЖДЕННОЕ ПРИКАЗОМ ФЕДЕРАЛЬНОЙ СЛУЖБЫ ПО ФИНАНСОВЫМ РЫНКАМ ОТ 15.06.2005 N 05-21/ПЗ-Н

В соответствии с Федеральным законом от 29.11.2001 N 156-ФЗ "Об инвестиционных фондах" (Собрание законодательства Российской Федерации, 2001, N 49, ст. 4562; 2004, N 27, ст. 2711) и Положением о Федеральной службе по финансовым рынкам, утвержденным постановлением Правительства Российской Федерации от 30.06.2004 N 317 (Собрание законодательства Российской Федерации, 2004, N 27, ст. 2780; 2005, N 33, ст. 3429), приказываю:

1. Внести в приказ Федеральной службы по финансовым рынкам от 30.03.2005 N 05-8/пз-н "Об утверждении Положения о составе и структуре активов акционерных инвестиционных фондов и активов паевых инвестиционных фондов" (зарегистрирован в Министерстве юстиции Российской Федерации 14.04.2005, регистрационный N 6513) следующие изменения:

1.1 в пункте 2.3 слова: "в течение одного года" заменить словами: "в течение двух лет";

1.2 в пункте 2.4 слова: "до истечения двух лет" заменить словами: "до истечения трех лет".

2. Внести в Положение о составе и структуре активов акционерных инвестиционных фондов и активов паевых инвестиционных фондов, утвержденное приказом Федеральной службы по финансовым рынкам от 30.03.2005 N 05-8/пз-н (далее - Положение), следующие изменения:

2.1. В пункте 1.4:

1) дополнить абзацем пятым следующего содержания:

"в случае, если в список ценных бумаг для расчета индекса включены облигации, их рыночная стоимость рассчитывается с учетом накопленного процентного (купонного) дохода;";

2) абзацы пятый - девятый считать соответственно абзацами шестым - десятым;

2.2. Абзац второй пункта 1.5 после слов: "или консолидации акций акционерных обществ" дополнить словами: ", при конвертации ценных бумаг";

2.3. В пункте 7.3:

1) в абзацах шестом - восьмом слова: "(внесения соответствующих изменений и дополнений в правила доверительного управления паевым инвестиционным фондом)" заменить словами: "(вступления в силу изменений и дополнений в правила доверительного управления паевым инвестиционным фондом, предусматривающих, что паевой инвестиционный фонд относится к категории фондов особо рисковых (венчурных) инвестиций)";

2) абзац двенадцатый исключить;

3) абзацы тринадцатый - пятнадцатый считать соответственно абзацами двенадцатым - четырнадцатым;

2.4. В пункте 9.2:

1) абзац первый изложить в следующей редакции:

"9.2. В состав активов акционерного инвестиционного фонда и/или активов закрытого паевого инвестиционного фонда, относящихся к категории фондов недвижимости, могут также входить имущественные права по обязательству из договора (далее - инвестиционный договор), заключенного с юридическим лицом, которому принадлежит право собственности или иное вещное право, включая право аренды, на земельный участок, выделенный в установленном порядке для целей строительства объекта недвижимости, и (или) имеющим разрешение на строительство объекта недвижимости на указанном земельном участке (далее - застройщик) либо с юридическим лицом, инвестирующим денежные средства или иное имущество в строительство объекта недвижимости и имеющим право на получение в собственность построенного объекта недвижимости или его части (далее - инвестор), при соблюдении следующих условий:";

2) подпункт 2 изложить в следующей редакции:

"2) предметом инвестиционного договора является обязанность акционерного инвестиционного фонда (управляющей компании акционерного инвестиционного фонда или паевого инвестиционного фонда) участвовать в финансировании строительства (создания) объекта недвижимости и обязанность застройщика (инвестора) передать в состав имущества, составляющего инвестиционные резервы акционерного инвестиционного фонда, или имущества, составляющего паевой инвестиционный фонд, построенный (созданный) объект недвижимости, жилое или нежилое помещение в этом объекте или долю в праве собственности на этот объект (далее - объект инвестирования), при наличии разрешения на ввод в эксплуатацию построенного (созданного) объекта недвижимости;";

3) в подпункте 3 слова: "его назначение и иные характеристики" заменить словами: "и его назначение";

4) подпункт 5 изложить в следующей редакции:

"5) в случае если объектом инвестирования является нежилое помещение, не входящее в состав общего имущества в строящемся многоквартирном доме, или доля в праве общей собственности на такое помещение, инвестиционным договором определено функциональное назначение такого помещения".

5) подпункт 6 изложить в следующей редакции:

"6) инвестиционным договором определены конкретный объект инвестирования, подлежащий передаче в состав имущества, составляющего инвестиционные резервы акционерного инвестиционного фонда, или имущества, составляющего паевой инвестиционный фонд, и срок его передачи;";

6) подпункт 7 изложить в следующей редакции:

"7) акционерный инвестиционный фонд (управляющая компания акционерного инвестиционного фонда или паевого инвестиционного фонда) не несет за счет имущества, составляющего инвестиционные резервы акционерного инвестиционного фонда, или имущества, составляющего паевой инвестиционный фонд, риск случайной гибели или случайного повреждения построенного (созданного) объекта недвижимости либо жилого или нежилого помещения в таком объекте, которые или доля в праве общей собственности на которые являются объектом инвестирования, до передачи этого объекта инвестирования в состав имущества, составляющего инвестиционные резервы акционерного инвестиционного фонда, или имущества, составляющего паевой инвестиционный фонд;";

7) в подпункте 8:

слова: "обязанность застройщика" заменить словами: "обязанность застройщика (инвестора)";

слова "уплаченные управляющей компанией акционерного инвестиционного фонда или паевого инвестиционного фонда" исключить;

8) в подпункте 9 слова: "за нарушение застройщиком" заменить словами: "за нарушение застройщиком (инвестором)";

9) дополнить абзацем следующего содержания:

"В случае если имущественные права по инвестиционным договорам приобретаются в состав активов акционерных инвестиционных фондов или активов закрытых паевых инвестиционных фондов, относящихся к категории фондов недвижимости, в результате уступки требования в соответствии с гражданским законодательством Российской Федерации, предусмотренные настоящим пунктом условия применяются с учетом условий сделки по уступке имущественных прав по инвестиционным договорам.";

2.5. Дополнить Положение пунктами 9.3 и 9.4 следующего содержания:

"9.3. В состав активов акционерного инвестиционного фонда и активов закрытого паевого инвестиционного фонда, относящихся к категории фондов недвижимости, могут также входить имущественные права по обязательствам из договоров, на основании которых осуществляется строительство (создание) объектов недвижимого имущества, при соблюдении следующих условий:

договор заключен в письменной форме;

предметом договора является обязанность лица, с которым заключен договор, в предусмотренный договором срок своими силами и (или) с привлечением других лиц обеспечить строительство (создание) объекта недвижимости или построить (создать) указанный объект и передать в состав имущества, составляющего инвестиционные резервы акционерного инвестиционного фонда, или имущества, составляющего паевой инвестиционный фонд, построенный (созданный) объект недвижимости, и обязанность акционерного инвестиционного фонда (управляющей компании акционерного инвестиционного фонда или паевого инвестиционного фонда) принять указанный объект недвижимости и оплатить его;

строительство (создание) объекта недвижимости осуществляется на земельном участке, который (право аренды которого) составляет активы акционерного инвестиционного фонда или активы паевого инвестиционного фонда и который выделен в установленном порядке для целей строительства (создания) указанного объекта недвижимости;

акционерный инвестиционный фонд (управляющая компания акционерного инвестиционного фонда или паевого инвестиционного фонда) не несет за счет имущества, составляющего инвестиционные резервы акционерного инвестиционного фонда, или имущества, составляющего паевой инвестиционный фонд, риск случайной гибели или случайного повреждения построенного (созданного) объекта недвижимости до его передачи в состав имущества, составляющего инвестиционные резервы акционерного инвестиционного фонда, или имущества, составляющего паевой инвестиционный фонд.

9.4. В состав активов акционерного инвестиционного фонда или активов закрытого паевого инвестиционного фонда, относящегося к категории фондов недвижимости, могут также входить имущественные права по обязательствам из договоров, на основании которых осуществляется реконструкция объектов недвижимости, составляющих активы акционерного инвестиционного фонда или активы паевого инвестиционного фонда, при соблюдении следующих условий:

договор заключен в письменной форме;

предметом договора является обязанность лица, с которым заключен договор, в предусмотренный этим договором срок своими силами и (или) с привлечением других лиц обеспечить проведение работ по реконструкции объекта недвижимости, составляющего активы акционерного инвестиционного фонда или активы паевого инвестиционного фонда, и обязанность акционерного инвестиционного фонда (управляющей компании акционерного инвестиционного фонда или паевого инвестиционного фонда) принять результаты работ и оплатить их;

акционерный инвестиционный фонд (управляющая компания акционерного инвестиционного фонда или паевого инвестиционного фонда) не несет риск случайной гибели или случайного повреждения результатов работ по реконструкции объекта недвижимости до их принятия.";

2.6. Пункт 9.3 считать соответственно пунктом 9.5, изложив его в следующей редакции:

"9.5 Структура активов закрытого паевого инвестиционного фонда и акционерного инвестиционного фонда, относящихся к категории фондов недвижимости, должна соответствовать одновременно следующим требованиям:

оценочная стоимость государственных ценных бумаг Российской Федерации, государственных ценных бумаг субъектов Российской Федерации, муниципальных ценных бумаг, облигаций российских хозяйственных обществ, облигаций иностранных коммерческих организаций, ценных бумаг международных финансовых организаций и ценных бумаг иностранных государств может составлять не более 30 процентов стоимости активов;

не менее двух третей рабочих дней в течение одного календарного года оценочная стоимость объектов недвижимого имущества, имущественных прав на недвижимое имущество, имущественных прав по обязательствам из договоров участия в долевом строительстве объектов недвижимого имущества, имущественных прав по обязательствам из инвестиционных договоров, имущественных прав из договоров, предусмотренных пунктами 9.3 и 9.4 настоящего Положения, и (или) акций (долей) российских хозяйственных обществ, осуществляющих деятельность по проектированию, строительству зданий и сооружений, инженерные изыскания для строительства зданий и сооружений и (или) деятельность по реставрации объектов культурного наследия (памятников истории и культуры), должна составлять не менее 40 процентов стоимости активов;

стоимость проектно-сметной документации может составлять не более 10 процентов стоимости активов;

оценочная стоимость акций акционерных инвестиционных фондов и инвестиционных паев паевых инвестиционных фондов может составлять не более 10 процентов стоимости активов;

денежные средства, находящиеся во вкладах в одной кредитной организации, могут составлять не более 25 процентов стоимости активов;

оценочная стоимость недвижимого имущества, находящегося на территории иностранных государств, имущественных прав на такое имущество, ценных бумаг иностранных государств, ценных бумаг международных финансовых организаций, акций иностранных акционерных обществ и облигаций иностранных коммерческих организаций может составлять не более 20 процентов стоимости активов;

стоимость долей в уставных капиталах обществ с ограниченной ответственностью может составлять не более 30 процентов стоимости активов;

количество обыкновенных акций закрытого акционерного общества должно составлять не менее 25 процентов общего количества размещенных обыкновенных акций этого акционерного общества, по которым зарегистрированы отчеты об итогах выпуска, а в случае приобретения акций при учреждении закрытого акционерного общества - не менее 25 процентов общего количества обыкновенных акций, размещаемых учредителям в соответствии с договором о создании общества;

количество инвестиционных паев паевого инвестиционного фонда может составлять не более 30 процентов количества выданных инвестиционных паев этого паевого инвестиционного фонда;

оценочная стоимость ценных бумаг одного эмитента (за исключением государственных ценных бумаг Российской Федерации и государственных ценных бумаг субъектов Российской Федерации) может составлять не более 35 процентов стоимости активов.

Требование абзаца третьего настоящего пункта применяется по истечении одного года с даты завершения формирования закрытого паевого инвестиционного фонда (с даты выдачи лицензии на осуществление деятельности инвестиционных фондов) или с даты вступления в силу изменений и дополнений в правила доверительного управления закрытым паевым инвестиционным фондом (в инвестиционную декларацию акционерного инвестиционного фонда), предусматривающих, что акционерный инвестиционный фонд или паевой инвестиционный фонд относится к категории фондов недвижимости, если указанными правилами (инвестиционной декларацией) не установлен меньший срок.";

2.7. Пункт 10.1 изложить в следующей редакции:

"10.1. В состав активов закрытого паевого инвестиционного фонда, относящегося к категории ипотечных фондов, могут входить денежные средства, включая иностранную валюту, на счетах и во вкладах в кредитных организациях, а также соответствующие требованиям, установленным настоящим Положением:

государственные ценные бумаги Российской Федерации;

государственные ценные бумаги субъектов Российской Федерации;

денежные требования по обеспеченным ипотекой обязательствам из кредитных договоров или договоров займа и права залогодержателя по договорам об ипотеке, с соблюдением условий, предусмотренных в пункте 10.2 настоящего Положения;

закладные, удостоверяющие денежные требования из кредитных договоров или договоров займа и права залогодержателя по договорам об ипотеке, с соблюдением условий, предусмотренных в пункте 10.2 настоящего Положения;

денежные требования по обязательствам из кредитных договоров или договоров займа, по которым кредиты или займы предоставлены для уплаты цены по договорам участия в долевом строительстве объектов недвижимого имущества, заключенных в соответствии с Федеральным законом "Об участии в долевом строительстве многоквартирных домов и иных объектов недвижимости и о внесении изменений в некоторые законодательные акты Российской Федерации", а также права залогодержателя по договорам залога имущественных прав по указанным договорам участия в долевом строительстве;

ипотечные ценные бумаги;

объекты недвижимого имущества, являющиеся предметом ипотеки, обеспечивающей исполнение обязательств, денежные требования по которым составляют активы фонда, - в случае обращения взыскания на указанные объекты;

имущественные права по обязательствам из договоров участия в долевом строительстве, заключенным в соответствии с Федеральным законом "Об участии в долевом строительстве многоквартирных домов и иных объектов недвижимости и о внесении изменений в некоторые законодательные акты Российской Федерации", являющиеся предметом залога, обеспечивающего исполнение обязательств, денежные требования по которым составляют активы фонда, - в случае обращения взыскания на указанные имущественные права.";

2.8. Пункт 10.2 изложить в следующей редакции:

"10.2. Денежные требования по обеспеченным ипотекой обязательствам из кредитных договоров или договоров займа, а также закладные, удостоверяющие такие требования, могут входить в состав активов закрытого паевого инвестиционного фонда, относящегося к категории ипотечных фондов, при соблюдении следующих условий:

денежные требования по обязательствам, обеспеченным ипотекой индивидуальных жилых домов, квартир, и требования по обязательствам, обеспеченным ипотекой иного недвижимого имущества, за исключением земельных участков, ипотека на которые установлена в порядке соблюдения правил статьи 69 Федерального закона от 16.07.98 N 102-ФЗ "Об ипотеке (залоге недвижимости)" (Собрание законодательства Российской Федерации, 1998, N 29, ст. 3400; 2001, N 46, ст. 4308; 2002; N 7, ст. 629; N 52, ст. 5135; 2004, N 6, ст. 406; N 27, ст. 2711; N 45, ст. 4377; 2005, N 1, ст. 40, 42), не входят в состав активов одного и того же закрытого паевого инвестиционного фонда, относящегося к категории ипотечных фондов;

сумма основного долга по кредитному договору или договору займа не превышает 90 процентов от рыночной стоимости (денежной оценки) недвижимого имущества, выступающего предметом ипотеки;

рыночная стоимость (денежная оценка) недвижимого имущества (предмета ипотеки) определена оценщиком паевого инвестиционного фонда или иным оценщиком, действующим в соответствии с законодательством, регулирующим оценочную деятельность Российской Федерации, на дату не ранее чем за 6 месяцев до дня предоставления кредита или займа;

недвижимое имущество, выступающее предметом ипотеки, застраховано от рисков утраты или повреждения в пользу кредитора по обеспеченному ипотекой обязательству на весь срок действия кредитного договора или договора займа; при этом страховая сумма составляет не менее суммы остатка задолженности по кредиту или займу.

Денежные требования по обязательствам, обеспеченным ипотекой земельных участков, предприятий, зданий и сооружений, жилых домов и квартир, могут входить в состав активов закрытого паевого инвестиционного фонда, относящегося к категории ипотечных фондов, с учетом особенностей, установленных Федеральным законом "Об ипотеке (залоге недвижимости)".

Не могут входить в состав активов закрытого паевого инвестиционного фонда, относящегося к категории ипотечных фондов, денежные требования по обязательствам, обеспеченным последующей ипотекой.";

2.9. В пункте 10.3:

1) абзац первый после слов: "из кредитных договоров" дополнить словами "или договоров займа", а после слов: "по которым кредиты" - словами "или займы";

2) абзац второй после слов: "по указанным кредитным договорам" дополнить словами: "или договорам займа", а после слов: "предоставлены кредиты" - словами: "или займы";

3) абзац третий после слов: "по кредитному договору" дополнить словами: "по договору займа", а после слов: "предоставления кредита" - словами: "или займа";

4) в абзаце четвертом:

слова: "имеющим лицензию на осуществление оценочной деятельности" заменить словами: "действующим в соответствии с законодательством, регулирующим оценочную деятельность Российской Федерации";

дополнить абзац после слов: "предоставления кредита" словами: "или займа";

2.10. В пункте 10.4:

1) абзац второй изложить в следующей редакции:

"не менее двух третей рабочих дней в течение одного календарного года сумма требований по кредитным договорам или договорам займа и оценочная стоимость закладных и ипотечных ценных бумаг должны составлять не менее 65 процентов стоимости активов;";

2) абзац третий после слов: "по кредитным договорам" дополнить словами: "или договорам займа", а после слов: "по которым кредиты" - дополнить словами: "или займы";

3) абзац четвертый после слов: "по одному кредитному договору" дополнить словами: "или договору займа".

4) абзац шестой изложить в следующей редакции:

"Требование абзаца второго настоящего пункта применяется по истечении одного года с даты завершения формирования закрытого паевого инвестиционного фонда или с даты вступления в силу изменений и дополнений в правила доверительного управления закрытым паевым инвестиционным фондом, предусматривающих, что паевой инвестиционный фонд относится к категории ипотечных фондов, если указанными правилами или изменениями и дополнениями в них не предусмотрен меньший срок.";

2.11. В пункте 12.2:

1) слова: "заключения договора купли-продажи" заменить словами: "заключения договора, на основании которого они приобретаются,";

2) дополнить пункт после слов: "инвестиционные паи открытых паевых инвестиционных фондов" словами: "ценные бумаги, включенные в котировальный список "А" (первого или второго уровня) фондовой биржи,".

3. Внести в Положение о порядке и сроках определения стоимости чистых активов акционерных инвестиционных фондов, стоимости чистых активов паевых инвестиционных фондов, расчетной стоимости инвестиционных паев паевых инвестиционных фондов, а также стоимости чистых активов акционерных инвестиционных фондов в расчете на одну акцию, утвержденное приказом Федеральной службы по финансовым рынкам от 15.06.2005 N 05-21/пз-н (зарегистрировано в Министерстве юстиции Российской Федерации 11.07.2005, регистрационный N 6769) (далее - Положение о порядке и сроках), следующие изменения:

3.1. В абзаце пятом пункта 4:

1) слова: "ставка дисконтирования" заменить словами: "ставка (ставки) дисконтирования";

2) дополнить пункт после слов: "не может быть менее" словами: "двух третей";

3.2. Дополнить пункт 11 после слов "признаваемой котировке, определенной этим организатором торговли на рынке ценных бумаг в порядке, установленном настоящим Положением" дополнить словами", с учетом требований к деятельности по организации торговли на рынке ценных бумаг, установленных нормативными правовыми актами федерального органа исполнительной власти по рынку ценных бумаг".

3.3. Пункт 11.1 изложить в следующей редакции:

"11.1 оценочная стоимость инвестиционного пая паевого инвестиционного фонда и ипотечного сертификата участия признается равной их расчетной стоимости на дату определения стоимости активов, а если на эту дату расчетная стоимость инвестиционного пая или ипотечного сертификата участия не определялась, - на последнюю дату ее расчета, предшествующую дате определения стоимости активов;";

3.4. Дополнить Положение о порядке и сроках пунктами 11.2 и 11.3 следующего содержания:

"11.2 оценочная стоимость облигаций, срок погашения которых наступил, признается равной:

номинальной стоимости облигаций - до момента поступления денежных средств в счет их погашения в состав активов акционерного инвестиционного фонда или активов паевого инвестиционного фонда;

нулю - с момента поступления денежных средств в счет их погашения в состав активов акционерного инвестиционного фонда или активов паевого инвестиционного фонда;

11.3 в случае неисполнения эмитентом обязательств по выплате суммы основного долга по облигации в течение 30 дней, ее оценочная стоимость уменьшается на дату истечения указанного срока 30 процентов, а в дальнейшем ежедневно уменьшается на величину, определяемую исходя из 30 процентов годовых.";

3.5. Пункт 11.2 считать пунктом 11.4;

3.6. Пункт 14 дополнить абзацем следующего содержания:

"В случае если доходом по государственным ценным бумагам Российской Федерации или ценным бумагам иностранных государств, условия эмиссии и обращения которых не предусматривают возможности их обращения на вторичном рынке, является дисконт, то есть разница между номинальной стоимостью ценной бумаги и ценой ее приобретения (без учета расходов на приобретение), или дисконт и процент (купон), оценочная стоимость таких ценных бумаг определяется исходя из условий их эмиссии, содержащихся в решении о выпуске (дополнительном выпуске) ценных бумаг, и подлежит перерасчету на дату определения стоимости чистых активов с учетом равномерного отнесения дисконтного дохода на оценочную стоимость таких ценных бумаг. До момента первого перерасчета такие ценные бумаги оцениваются по стоимости их приобретения (без учета расходов на приобретение).";

3.7. Пункт 17 изложить в следующей редакции:

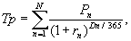
"17. Оценочная стоимость денежных требований по обязательствам из кредитных договоров или договоров займа признается равной текущей совокупной стоимости оставшихся платежей по таким требованиям, дисконтированной по схеме сложного процента на дату определения стоимости активов с использованием ставки (ставок), предусмотренной (предусмотренных) Правилами, по формуле:

где

Тр - оценочная стоимость денежного требования по обязательству из кредитного договора или договора займа;

N - количество периодов, по окончании которых должником по требованию должны быть выплачены соответствующие платежи (платежных периодов). В случае если количество платежных периодов зависит от значения процентной ставки, которая может изменяться (требование с плавающей процентной ставкой), количество платежных периодов определяется исходя из фактического значения процентной ставки, установленного на дату определения стоимости активов;

Р_n - сумма платежа по требованию за n-ый платежный период. Для требования с плавающей процентной ставкой, в котором сумма платежа зависит от значения процентной ставки в каждый платежный период, сумма такого платежа за n-ый платежный период определяется исходя из фактического значения процентной ставки, установленного на дату определения стоимости активов;

n - порядковый номер платежного периода, начиная с даты определения стоимости активов;

D_n - количество дней до даты осуществления n-го платежа;

r_n - ставка дисконтирования в процентах годовых, предусмотренная в Правилах.";

3.8. В пункте 21:

1) абзац шестой изложить в следующей редакции:

"Положения абзацев первого, второго и четвертого настоящего пункта применяются до возникновения признаваемой котировки акций (облигаций), включенных в состав активов акционерного инвестиционного фонда или активов паевого инвестиционного фонда.";

2) дополнить пункт абзацем следующего содержания:

"Положения абзаца третьего настоящего пункта применяются до возникновения признаваемой котировки акций или до проведения их оценки оценщиком акционерного инвестиционного фонда или паевого инвестиционного фонда.";

3.9. Дополнить Положение о порядке и сроках пунктами 21.1 - 21.3 следующего содержания:

"21.1. Оценочная стоимость закладных определяется в порядке, установленном для определения оценочной стоимости денежных требований по обязательствам из кредитных договоров или договоров займа.

21.2. Оценочная стоимость составляющей активы акционерного инвестиционного фонда или активы паевого инвестиционного фонда проектно-сметной документации, на основе которой построен (создан) объект недвижимого имущества, признается равной нулю с момента включения указанного объекта в состав активов акционерного инвестиционного фонда или активов паевого инвестиционного фонда.

Оценочная стоимость составляющей активы акционерного инвестиционного фонда или активы паевого инвестиционного фонда проектно-сметной документации, на основе которой реконструирован объект недвижимого имущества, составляющий указанные активы, признается равной нулю с момента изменения стоимости реконструированного объекта недвижимого имущества в результате его переоценки после принятия работ по реконструкции указанного объекта.

21.3. Оценочная стоимость имущественных прав по обязательствам из договоров, на основании которых осуществляется строительство (создание) объекта недвижимого имущества на земельном участке, который (право аренды которого) составляет активы акционерного инвестиционного фонда или активы паевого инвестиционного фонда, или реконструкция объектов недвижимого имущества, составляющих указанные активы, признается равной сумме денежных средств, перечисленных в оплату соответствующих договоров на дату определения стоимости чистых активов.";

3.10. В пункте 22:

1) слова: "имущества, не указанного в пунктах 11, 13 - 21 настоящего Положения" заменить словами: "имущества, не указанного в пунктах 11,13 - 21, 21.1 - 21.3 настоящего Положения";

2) дополнить пункт абзацем следующего содержания:

"Оценочная стоимость составляющего активы акционерного инвестиционного фонда или активы паевого инвестиционного фонда земельного участка, на котором находится здание, строение или сооружение, составляющие указанные активы, доли в праве общей собственности на такой земельный участок, права аренды такого земельного участка или права пользования таким земельным участком может отдельно не определяться, если его стоимость учитывается в оценочной стоимости приобретенного здания, строения или сооружения.";

3.11. В пункте 24:

1) абзац первый изложить в следующей редакции:

"24. В расчет стоимости активов акционерного инвестиционного фонда или активов паевого инвестиционного фонда, если иное не предусмотрено настоящим Положением, принимается также дебиторская задолженность, возникшая в результате совершения сделок с указанными активами, в том числе, в результате заключения договоров, на основании которых осуществляется подготовка проектно-сметной документации, а также договоров, на основании которых осуществляется ремонт объектов недвижимости, составляющих указанные активы.";

2) дополнить пункт абзацами следующего содержания:

"Дебиторская задолженность признается равной нулю (погашается) в момент исполнения сделок, в результате совершения которых она возникла, в том числе в момент включения в состав активов акционерного инвестиционного фонда или активов паевого инвестиционного фонда подготовленной проектно-сметной документации.

Дебиторская задолженность, возникшая в результате заключения договоров, на основании которых осуществляется ремонт объекта недвижимости, составляющего активы акционерного инвестиционного фонда или активы паевого инвестиционного фонда, признается равной нулю (погашается) одновременно с изменением стоимости отремонтированного объекта недвижимости в результате его переоценки.";

3.12. В пункте 32:

1) дополнить пункт абзацем пятым следующего содержания:

"В случае если в течение календарного месяца, за который определяется резерв расходов на выплату вознаграждения, осуществлялось формирование интервального или закрытого паевого инвестиционного фонда, расчетная величина вознаграждения определяется исходя из соотношения суммы стоимостей чистых активов на каждый день календарного месяца к числу дней в календарном месяце. При этом стоимость чистых активов за те дни, когда она не определялась, признается равной последней определенной стоимости чистых активов."

2) абзац пятый считать абзацем шестым, изложив его в следующей редакции:

"Размер сформированного резерва предстоящих расходов на выплату вознаграждения управляющей компании, специализированному депозитарию, аудитору, оценщику акционерного инвестиционного фонда или паевого инвестиционного фонда, лицу, осуществляющему ведение реестра акционеров акционерного инвестиционного фонда, и лицу, осуществляющему ведение реестра владельцев инвестиционных паев паевого инвестиционного фонда, уменьшается на суммы выплачиваемого указанным лицам вознаграждения за услуги, оказанные в течение календарного года.";

3.13. Пункт 35 после слов: "в том числе" дополнить словами: "обязательств по выплате вознаграждения управляющей компании, специализированному депозитарию, аудитору, оценщику акционерного инвестиционного фонда или паевого инвестиционного фонда, лицу, осуществляющему ведение реестра акционеров акционерного инвестиционного фонда, и лицу, осуществляющему ведение реестра владельцев инвестиционных паев паевого инвестиционного фонда";

3.14. В пунктах 39.1 и 40.1 слово: "ежедневно" заменить словами: "каждый рабочий день";

3.15. В пункте 46:

1) абзацы четвертый и пятый после слов: "в справке о стоимости чистых активов" дополнить словами: "и приложениях к ней";

2) дополнить пункт абзацем следующего содержания:

"Информация указывается в справке о стоимости чистых активов и отчете об изменении стоимости чистых активов в рублях с точностью до второго знака после запятой.";

3.16. Пункт 48 изложить в следующей редакции:

"48. В составе информации о забалансовых рисках акционерного инвестиционного фонда или паевого инвестиционного фонда представляется информация о требованиях и обязательствах такого фонда, не включаемых в расчет стоимости чистых активов, в том числе о требованиях и обязательствах по опционам, форвардным и фьючерсным контрактам, о премиях по опционам и об активах, обремененных залогом.

Информация о премиях по опционам должна содержать суммарную текущую стоимость премий по опционам, по которым акционерный инвестиционный фонд (управляющая компания акционерного инвестиционного фонда или паевого инвестиционного фонда) является управомоченным лицом, и суммарную текущую стоимость премий по опционам, по которым акционерный инвестиционный фонд (управляющая компания акционерного инвестиционного фонда или паевого инвестиционного фонда) является обязанным лицом.

Информация о требованиях и обязательствах по опционам, форвардным и фьючерсным контрактам должна содержать сведения об объеме открытых позиций по таким сделкам (контрактам), определенном в следующем порядке:

по опционам - путем суммирования общих размеров обязательств по опционным контрактам, заключенным на основании одной и той же спецификации;

по фьючерсным контрактам - исходя из количества контрактов и их котировальных цен;

по форвардным контрактам - исходя из количества контрактов и их цен исполнения.

Общий размер обязательств по опционам, заключенным на основании одной и той же спецификации, зарегистрированной в федеральном органе исполнительной власти по рынку ценных бумаг, признается равным большей из двух величин:

а) размер обязательств по опционам, предоставляющим право продажи базового актива (далее - опционы "пут");

б) размер обязательств по опционам, предоставляющим право покупки базового актива (далее - опционы "колл").

Размер обязательств по опционам "пут" признается равным большей из двух величин:

а) сумма цен исполнения опционов "пут", по которым акционерный инвестиционный фонд (управляющая компания акционерного инвестиционного фонда или паевого инвестиционного фонда) является обязанным лицом;

б) разность между суммой цен исполнения опционов "пут", по которым акционерный инвестиционный фонд (управляющая компания акционерного инвестиционного фонда или паевого инвестиционного фонда) является управомоченным лицом, и суммой цен исполнения опционов "пут", по которым акционерный инвестиционный фонд (управляющая компания акционерного инвестиционного фонда или паевого инвестиционного фонда) является обязанным лицом.

Размер обязательств по опционам "колл" признается равным большей из двух величин:

а) сумма цен исполнения опционов "колл", по которым акционерный инвестиционный фонд (управляющая компания акционерного инвестиционного фонда или паевого инвестиционного фонда) является обязанным лицом;

б) разность между суммой цен исполнения опционов "колл", по которым акционерный инвестиционный фонд (управляющая компания акционерного инвестиционного фонда или паевого инвестиционного фонда) является управомоченным лицом, и суммой цен исполнения опционов "колл", по которым акционерный инвестиционный фонд (управляющая компания акционерного инвестиционного фонда или паевого инвестиционного фонда) является обязанным лицом.";

3.17. В абзаце пятом пункта 49 слова: "(на 5 и более процентов)" заменить словами: "(на 10 и более процентов за отчетный квартал)";

3.18. Внести изменения в форму справки о стоимости чистых активов акционерного инвестиционного фонда (стоимости чистых активов паевого инвестиционного фонда), изложив ее в редакции согласно приложению к настоящему приказу.

4. Настоящий приказ вступает в силу с 01.03.2006.

5. Контроль за исполнением настоящего приказа возложить на заместителя руководителя Федеральной службы по финансовым рынкам С.К. Харламова.

Руководитель
О.В.ВЬЮГИН

Приложение
к Приказу Федеральной службы
по финансовым рынкам
от 15 декабря 2005 г. N 05-83/пз-н

СПРАВКА
О СТОИМОСТИ ЧИСТЫХ АКТИВОВ АКЦИОНЕРНОГО ИНВЕСТИЦИОННОГО ФОНДА (СТОИМОСТИ ЧИСТЫХ АКТИВОВ ПАЕВОГО ИНВЕСТИЦИОННОГО ФОНДА)

 
(полное фирменное наименование акционерного инвестиционного фонда либо тип и название паевого инвестиционного фонда)
   
(дата и номер предоставления лицензии на осуществление деятельности инвестиционного фонда и наименование лицензирующего органа либо дата регистрации правил доверительного управления паевым инвестиционным фондом федеральным органом исполнительной власти по рынку ценных бумаг и регистрационный номер)
   
(полное фирменное наименование управляющей компании, место нахождения, номер телефона управляющей компании, номер и дата предоставления лицензии на осуществление деятельности по управлению инвестиционными фондами, паевыми инвестиционными фондами и негосударственными пенсионными фондами, наименование лицензирующего органа)
   
Дата определения стоимости чистых активов  
   

Вид имущества Код стр. Сумма (оценочная стоимость) на ______ (указывается текущая дата составления справки) Сумма (оценочная стоимость) на ______ (указывается предыдущая дата составления справки)
1 2 3 4
Активы:      
Денежные средства на счетах всего, в том числе: 010    
- в рублях 011    
- в иностранной валюте 012    
Денежные средства во вкладах - всего, в том числе: 020    
- в рублях 021    
- в иностранной валюте 022    
Государственные ценные бумаги Российской Федерации 030    
Государственные ценные бумаги субъектов Российской Федерации 040    
Муниципальные ценные бумаги 050    
Облигации российских хозяйственных обществ (кроме облигаций с ипотечным покрытием) 060    
Акции российских акционерных обществ 070    
Инвестиционные паи паевых инвестиционных фондов 080    
Ипотечные ценные бумаги - всего, в том числе: 090    
- облигации с ипотечным покрытием 091    
- ипотечные сертификаты участия 092    
Векселя, выданные российскими хозяйственными обществами 100    
Ценные бумаги иностранных эмитентов - всего, в том числе: 110    
- ценные бумаги иностранных государств 111    
- ценные бумаги международных финансовых организаций 112    
- акции иностранных акционерных обществ 113    
- облигации иностранных коммерческих организаций 114    
Закладные 120    
Денежные требования по обеспеченным ипотекой обязательствам из кредитных договоров или договоров займа и права залогодержателя по договорам об ипотеке (за исключением удостоверенных закладными) 130    
Денежные требования по обязательствам из кредитных договоров или договоров займа, по которым кредиты (займы) предоставлены для уплаты цены по договорам участия в долевом строительстве объектов недвижимого имущества и права залогодержателя по договорам залога имущественных прав по указанным договорам 140    
Доли в российских обществах с ограниченной ответственностью 150    
Недвижимое имущество, находящееся на территории Российской Федерации, - всего, в том числе: 160    
- объекты незавершенного строительства 161    
Недвижимое имущество, находящееся на территории иностранных государств, - всего, в том числе: 170    
- объекты незавершенного строительства 171    
Имущественные права на недвижимое имущество, находящееся на территории Российской Федерации, - всего, в том числе: 180    
- право аренды недвижимого имущества 181    
Имущественные права на недвижимое имущество, находящееся на территории иностранных государств, всего, в том числе: 190    
- право аренды недвижимого имущества 191    
Имущественные права по обязательствам из договоров участия в долевом строительстве объектов недвижимого имущества 200    
Имущественные права по обязательствам из инвестиционных договоров 210    
Имущественные права по обязательствам из договоров, на основании которых осуществляется строительство (создание) объектов недвижимости на земельном участке, составляющем активы акционерного инвестиционного фонда или активы паевого инвестиционного фонда 220    
Имущественные права по обязательствам из договоров, на основании которых осуществляется реконструкция объектов недвижимости, составляющих активы акционерного инвестиционного фонда или активы паевого инвестиционного фонда 230    
Проектно-сметная документация 240    
Иное имущество 250    
Дебиторская задолженность - всего, в том числе: 260    
- средства, находящиеся у профессиональных участников рынка ценных бумаг 261    
- дебиторская задолженность по сделкам купли-продажи имущества 262    
- дебиторская задолженность по процентному (купонному) доходу по денежным средствам на счетах и во вкладах, а также по ценным бумагам 263    
- прочая дебиторская задолженность 264    
Итого сумма активов: (строки 010 + 020 + 030 + 040 + 050 + 060 + 070 + 080 + 090 + 100 + 110 + 120 + 130 + 140 + 150 + 160 + 170 + 180 + 190 + 200 + 210 + 220 + 230 + 240 + 250 + 260) 270    
Обязательства:      
Кредиторская задолженность 300    
Резерв предстоящих расходов на выплату вознаграждения 310    
Резерв для возмещения предстоящих расходов, связанных с доверительным управлением открытым паевым инвестиционным фондом 320    
Итого сумма обязательств (строки 300 + 310 + 320) 330    
Стоимость чистых активов: (строка 270 - строка 330) 400    
Количество размещенных акций акционерного инвестиционного фонда (количество выданных инвестиционных паев паевого инвестиционного фонда) - штук 500    
Стоимость чистых активов акционерного инвестиционного фонда в расчете на одну акцию (расчетная стоимость инвестиционного пая паевого инвестиционного фонда) (строка 400 / строка 500) 600    
Наименование должности руководителя акционерного инвестиционного фонда (управляющей компании паевого инвестиционного фонда)   /И.О. Фамилия/
Наименование должности уполномоченного лица акционерного инвестиционного фонда (управляющей компании паевого инвестиционного фонда), ответственного за ведение бухгалтерского учета фонда   /И.О. Фамилия/
Наименование должности уполномоченного лица специализированного депозитария акционерного инвестиционного фонда (специализированного депозитария паевого инвестиционного фонда)   /И.О. Фамилия/