Приказ Минфина РФ от 10.01.2006 N 1Н

"Об утверждении Положения об обслуживании государственных сберегательных облигаций"
Редакция от 10.01.2006 — Не действует Перейти в действующую
Показать изменения

Зарегистрировано в Минюсте РФ 8 февраля 2006 г. N 7476


МИНИСТЕРСТВО ФИНАНСОВ РОССИЙСКОЙ ФЕДЕРАЦИИ

ПРИКАЗ
от 10 января 2006 г. N 1н

ОБ УТВЕРЖДЕНИИ ПОЛОЖЕНИЯ ОБ ОБСЛУЖИВАНИИ ГОСУДАРСТВЕННЫХ СБЕРЕГАТЕЛЬНЫХ ОБЛИГАЦИЙ

В соответствии с Постановлением Правительства Российской Федерации от 6 ноября 2001 г. N 771 "Вопросы эмиссии и обращения государственных сберегательных облигаций" (Собрание законодательства Российской Федерации, 2001, N 46, ст. 4361; 2004, N 23, ст. 2315) и Условиями эмиссии и обращения государственных сберегательных облигаций, утвержденными Приказом Министерства финансов Российской Федерации от 19 августа 2004 г. N 68н "Об утверждении Условий эмиссии и обращения государственных сберегательных облигаций" (зарегистрирован Министерством юстиции Российской Федерации 10 сентября 2004 г., регистрационный номер 6013), приказываю:

Утвердить прилагаемое Положение об обслуживании государственных сберегательных облигаций.

Министр
А.Л.КУДРИН

УТВЕРЖДЕНО
Приказом
Министерства финансов
Российской Федерации
от 10 января 2006 г. N 1н

ПОЛОЖЕНИЕ
ОБ ОБСЛУЖИВАНИИ ГОСУДАРСТВЕННЫХ СБЕРЕГАТЕЛЬНЫХ ОБЛИГАЦИЙ

I. Общие положения

1.1. Положение об обслуживании государственных сберегательных облигаций (далее - Положение) регулирует порядок размещения, обращения и погашения государственных сберегательных облигаций (далее - Облигации), выпускаемых в соответствии с Федеральным законом от 29 июля 1998 г. N 136-ФЗ "Об особенностях эмиссии и обращения государственных и муниципальных ценных бумаг" (Собрание законодательства Российской Федерации, 1998, N 31, ст. 3814; 2005, N 30, ст. 3101), Постановлением Правительства Российской Федерации от 6 ноября 2001 г. N 771 "Вопросы эмиссии и обращения государственных сберегательных облигаций" (Собрание законодательства Российской Федерации, 2001, N 46, ст. 4361; 2004, N 23, ст. 2315) и Условиями эмиссии и обращения государственных сберегательных облигаций, утвержденными Приказом Министерства финансов Российской Федерации от 19 августа 2004 г. N 68н "Об утверждении Условий эмиссии и обращения государственных сберегательных облигаций" (зарегистрирован Министерством юстиции Российской Федерации 10 сентября 2004 г., регистрационный номер 6013) (далее - Условия эмиссии и обращения).

1.2. Владельцами Облигаций могут быть следующие юридические лица, являющиеся резидентами Российской Федерации: страховые организации, негосударственные пенсионные фонды, акционерные инвестиционные фонды, Пенсионный фонд Российской Федерации, иные государственные внебюджетные фонды Российской Федерации (в случае, если инвестирование средств фондов в государственные ценные бумаги Российской Федерации предусмотрено законодательством Российской Федерации).

Облигации вправе приобретать следующие управляющие компании:

- осуществляющие доверительное управление средствами пенсионных накоплений в соответствии с договорами с Пенсионным фондом Российской Федерации;

- осуществляющие доверительное управление средствами акционерных инвестиционных фондов (за счет имущества указанных фондов в случае их соответствия требованиям к составу и структуре активов акционерных инвестиционных фондов, установленным законодательством Российской Федерации);

- осуществляющие доверительное управление средствами пенсионных накоплений в соответствии с договорами доверительного управления с негосударственными пенсионными фондами.

1.3. Учет отдельных Облигаций каждого выпуска осуществляется Депозитарием в виде записей по счетам "депо".

Запись по счету "депо" является основанием для осуществления прав, предусмотренных пунктом 2.3 настоящего Положения.

1.4. Облигации на вторичном рынке не обращаются. Залог Облигаций не допускается.

1.5. При размещении Облигаций на аукционе (в дату начала размещения или при размещении Облигаций дополнительного выпуска или транша) комиссионное вознаграждение Организатором торговли с Инвесторов не взимается.

II. Участники рынка Облигаций

2.1. Участниками рынка Облигаций в целях настоящего Положения являются: Эмитент, Инвестор, Агент, Депозитарий, Организатор торговли.

2.2. Эмитент - Министерство финансов Российской Федерации, действующее в соответствии с законодательством Российской Федерации.

2.3. Владельцы и управляющие компании, указанные в пункте 1.2 настоящего Положения, являются Инвесторами.

Инвесторы имеют право на:

получение доходов в виде процентов, начисляемых исходя из номинальной стоимости Облигаций (далее - процентный доход);

получение при погашении Облигаций их номинальной стоимости;

предъявление Облигаций к выкупу в даты, определенные в решении о выпуске Облигаций, и в порядке, предусмотренном настоящим Положением;

предъявление Облигаций к обмену на федеральные государственные ценные бумаги в соответствии с решением о выпуске Облигаций и в порядке, предусмотренном настоящим Положением.

Возможна передача Инвестором Облигаций другому юридическому лицу:

при реорганизации юридического лица - владельца Облигаций в случае, если вновь созданное юридическое лицо имеет право приобретать Облигации;

при передаче имущества, находящегося в доверительном управлении, от одной управляющей компании другой управляющей компании, если такая передача предусмотрена законодательством Российской Федерации.

2.4. Агент - кредитная организация, уполномоченная на основании соглашения с Эмитентом:

осуществлять проверку документов, подтверждающих право Инвестора на владение Облигациями;

открывать и осуществлять обслуживание лицевых (денежных) счетов Инвесторов;

осуществлять сбор заявок Инвесторов на участие в операциях с Облигациями в соответствии с настоящим Положением;

от имени и по поручению Эмитента размещать Облигации на аукционе или проводить дополнительное размещение не размещенных на аукционе Облигаций;

от имени и по поручению Эмитента размещать Облигации по закрытой подписке;

от имени и по поручению Эмитента за счет средств федерального бюджета осуществлять выплату процентного дохода по Облигациям, их погашение и выкуп путем перечисления денежных средств на счета Инвесторов;

от имени и по поручению Эмитента осуществлять обмен Облигаций на другие выпуски федеральных государственных ценных бумаг;

от имени и по поручению Эмитента производить обслуживание эмиссионного счета "депо" Эмитента, открытого в Депозитарии;

обеспечивать проведение расчетов по денежным средствам по сделкам с Облигациями;

предоставлять Эмитенту предусмотренные соглашением с ним сведения и отчеты о выполнении агентских функций;

осуществлять иные операции, определенные соглашением с Эмитентом.

2.5. Депозитарий - организация, уполномоченная на основании соглашения с Эмитентом:

- осуществлять хранение глобальных сертификатов выпусков Облигаций;

- открывать и осуществлять обслуживание эмиссионного счета "депо" Эмитента и счетов "депо" Инвесторов, заключивших с ним депозитарный договор;

- предоставлять Эмитенту предусмотренные соглашением с ним отчеты о выполнении функций Депозитария;

- осуществлять иные операции, определенные соглашением с Эмитентом.

2.6. Организатор торговли - организация, уполномоченная на основании договора с Эмитентом на обеспечение проведения аукционов по размещению Облигаций и иных операций с ними, предусмотренных Условиями эмиссии и обращения.

Организатор торговли регистрирует заявки Инвесторов, собранные Агентом в соответствии с настоящим Положением, обеспечивает заключение сделок с Облигациями, осуществляет ведение денежных позиций и позиций "депо" Инвесторов, составляет и предоставляет Агенту и/или Эмитенту в соответствии с настоящим Положением отчетные документы по итогам торгов.

2.7. Допускается совмещение функций Агента и Депозитария, обслуживающих рынок Облигаций.

2.8. Порядок взаимодействия Агента и Депозитария, в том числе форма и сроки обмена информацией, предусмотренной настоящим Положением, определяется соглашением между Агентом и Депозитарием, согласованным с Эмитентом.

При совмещении функций Агента и Депозитария данный порядок определяется внутренним документом кредитной организации, выполняющей в соответствии с соглашением с Эмитентом функции Агента и Депозитария.

2.9. Порядок взаимодействия Агента и Организатора торговли определяется соглашением сторон.

III. Порядок допуска Инвесторов на рынок Облигаций

3.1. К участию в проведении операций на рынке Облигаций допускаются Инвесторы, заключившие с Агентом договор об обслуживании на рынке Облигаций и депозитарный договор с Депозитарием.

3.2. Инвестор заключает с Агентом договор об обслуживании на рынке Облигаций, который определяет в том числе:

- порядок подтверждения Инвестором его права на приобретение и владение Облигациями;

- порядок участия Инвестора в операциях с Облигациями в соответствии с настоящим Положением и законодательством Российской Федерации;

- порядок расчетов по денежным средствам по итогам заключенных Инвестором сделок с Облигациями;

- права, обязанности и ответственность сторон при проведении операций с Облигациями, а также обязательства Инвестора в 3-дневный срок проинформировать Агента о невозможности приобретать и владеть Облигациями и предъявить их к выкупу.

Типовая форма договора об обслуживании на рынке Облигаций подлежит согласованию с Эмитентом.

3.3. С целью заключения договора об обслуживании на рынке Облигаций Инвестор обязан представить Агенту документы, подтверждающие право Инвестора на приобретение и владение Облигациями, а именно:

заверенную в установленном порядке копию устава Инвестора (или иного учредительного документа, в соответствии с которым он осуществляет свою деятельность);

заверенную в установленном порядке копию лицензии на осуществление соответствующих видов деятельности (для страховых организаций, негосударственных пенсионных фондов, акционерных инвестиционных фондов и управляющих компаний);

заверенную в установленном порядке копию свидетельства о регистрации Инвестора;

заверенную в установленном порядке копию свидетельства о постановке на налоговый учет Инвестора;

заверенную в установленном порядке копию договора о доверительном управлении (для управляющих компаний).

Государственные внебюджетные фонды представляют Агенту только заверенную в установленном порядке копию свидетельства о регистрации.

3.4. Агент осуществляет проверку представленных Инвестором документов и в случае их соответствия требованиям законодательства Российской Федерации заключает с Инвестором договор об обслуживании на рынке Облигаций, присваивает ему регистрационный код в соответствии с Порядком формирования регистрационных кодов Инвесторов согласно приложению 1 к настоящему Положению, а также открывает Инвестору лицевой счет для учета денежных средств по операциям с Облигациями (далее - Лицевой счет "ГСО").

На лицевой счет "ГСО" зачисляются денежные средства, поступившие с расчетного счета Инвестора для проведения операций с Облигациями, на оплату комиссионного вознаграждения по операциям с Облигациями, на оплату депозитарных услуг, денежные средства, поступившие от Эмитента, от выплаты процентного дохода по Облигациям, погашения и выкупа Облигаций.

Денежные средства, зачисленные на Лицевой счет "ГСО", могут быть направлены только:

- на покупку Облигаций;

- на оплату комиссионного вознаграждения по операциям с Облигациями;

- на оплату депозитарных услуг;

- на оплату иных операций с Облигациями, предусмотренных настоящим Положением и законодательством Российской Федерации.

Денежные средства, находящиеся на Лицевом счете "ГСО", по поручению Инвестора могут быть перечислены на его расчетный счет.

Перечисление денежных средств с Лицевого счета "ГСО" Инвестора на его расчетный счет осуществляется Агентом не позднее следующего операционного дня после получения соответствующего платежного документа Инвестора.

3.5. Данные об Инвесторе, подтвердившем свое право на владение Облигациями, включая присвоенный ему регистрационный код, направляются Агентом Депозитарию.

3.6. Депозитарный договор по обслуживанию Облигаций между Депозитарием и Инвестором заключается при наличии договора об обслуживании на рынке Облигаций.

3.7. Депозитарный договор между Депозитарием и Инвестором определяет порядок осуществления операций по счету "депо" Инвестора, порядок учета прав на Облигации на этом счете, а также права, обязанности и ответственность сторон при выполнении этих операций.

3.8. Депозитарий в соответствии с депозитарным договором с Инвестором, условиями осуществления депозитарной деятельности Депозитария, требованиями законодательства Российской Федерации и полученной от Агента информацией осуществляет открытие Инвестору счета "депо" и Специального раздела "ГСО" счета "депо" для учета прав Инвестора на Облигации.

В случае, если Инвестору был ранее открыт счет "депо" в Депозитарии, Депозитарий осуществляет открытие Специального раздела "ГСО" на этом счете.

Депозитарий включает регистрационный код Инвестора в наименование Специального раздела "ГСО" счета "депо" Инвестора.

Режим Специального раздела "ГСО" предусматривает:

- зачисление на него Облигаций по результатам их размещения на основании соответствующего поручения Агента;

- перевод Облигаций со счета "депо" Инвестора в Депозитарии на счет "депо" другого Инвестора в Депозитарии в случаях, предусмотренных законодательством Российской Федерации и условиями выпуска Облигаций;

- перевод Облигаций на эмиссионный счет "депо" Эмитента в случае выкупа Облигаций Эмитентом или обмена Облигаций Эмитентом на федеральные государственные ценные бумаги в порядке, установленном настоящим Положением и законодательством Российской Федерации;

- перевод Облигаций на счет "депо" Инвестора, открытый в другом Депозитарии, в случае расторжения Депозитарием договора с Эмитентом в установленном порядке;

- иные операции, не противоречащие условиям выпуска и обращения Облигаций.

3.9. О реквизитах Специального раздела "ГСО" счета "депо" Инвестора Депозитарий информирует Агента.

3.10. После получения от Депозитария информации о реквизитах Специального раздела "ГСО" счета "депо" Инвестора Агент направляет данные об Инвесторе, включая его регистрационный код, Организатору торговли в соответствии с заключенным между ними соглашением.

IV. Порядок размещения Облигаций

4.1. Размещение Облигаций осуществляется Агентом от имени и по поручению Эмитента на аукционе, проводимом Организатором торговли, либо по закрытой подписке.

Облигации, не размещенные на аукционе в дату начала размещения выпуска (дополнительного выпуска, транша), могут быть дополнительно размещены Агентом от имени и по поручению Эмитента путем продажи Облигаций по установленной последним цене через Организатора торговли (далее - дополнительная продажа).

Эмитент вправе проводить следующие виды аукционов по размещению Облигаций:

аукцион с размещением по различным ценам;

аукцион с размещением по единой цене.

Выпуск может быть разделен на транши. В случае разделения выпуска на транши размещение Облигаций проводится путем проведения аукционов в даты, определенные в решении о выпуске Облигаций.

Дополнительная продажа Облигаций осуществляется на аукционной основе в порядке, предусмотренном для проведения аукциона по единой цене, в даты, определенные Эмитентом, в течение периода размещения Облигаций соответствующего выпуска.

4.2. Параметры размещаемого выпуска, условия проведения аукциона в дату начала размещения выпуска (дополнительного выпуска, транша) (дата проведения аукциона, размер лимита по неконкурентным заявкам и иные существенные условия эмиссии) и условия проведения дополнительной продажи (дата проведения, выпуски Облигаций, выставляемые на дополнительную продажу, объем дополнительной продажи по каждому выпуску Облигаций) Эмитент объявляет не позднее пяти рабочих дней до даты проведения соответственно аукциона или дополнительной продажи, а также направляет Агенту документы, необходимые для проведения аукциона в дату начала размещения или дополнительной продажи и предусмотренные соглашением между ними.

Эмитент вправе также устанавливать для выпуска Облигаций размер лота, т.е. количество Облигаций, которому должен быть кратен объем заявки Инвестора на участие в аукционе в дату начала размещения или дополнительной продаже Облигаций.

Эмитент вправе устанавливать ограничение на долю одного Инвестора в общем объеме выпуска Облигаций.

Регламент проведения аукциона, содержащий информацию о времени передачи заявок на аукцион от Агента Эмитенту и ввода цены отсечения, устанавливается Агентом по согласованию с Эмитентом.

Регламент проведения аукциона и полученную от Эмитента информацию Агент доводит до сведения участников рынка Облигаций путем опубликования на официальном сайте Агента в сети Интернет, а также направляет соответствующее уведомление Организатору торговли не позднее окончания рабочего дня, следующего за днем ее получения от Эмитента.

4.3. В аукционе по размещению Облигаций и при дополнительной продаже вправе принимать участие Инвесторы, которые допущены на рынок Облигаций в соответствии с разделом 3 настоящего Положения.

4.4. Не позднее чем за 1 (один) рабочий день до даты размещения Облигаций на аукционе в дату начала размещения выпуска (дополнительного выпуска, транша) или до даты дополнительной продажи Инвестор зачисляет необходимую для покупки Облигаций сумму денежных средств на свой Лицевой счет "ГСО", открытый у Агента.

4.5. В целях обеспечения возможности Инвесторам совершать в течение торгов сделки с Облигациями Организатор торговли осуществляет установление и ведение денежных позиций и позиций "депо" Инвесторов.

Торгами называется период времени, в течение которого через Организатора торговли осуществляется заключение сделок купли-продажи Облигаций.

Денежной позицией Инвестора называется расчетная величина, выраженная в рублях, отражающая возможности Инвестора по заключению сделок с Облигациями в течение торгов.

Позицией "депо" Инвестора называется расчетная величина, выраженная в штуках Облигаций, отражающая возможность Инвестора по заключению сделок с Облигациями соответствующего выпуска в течение торгов.

Организатор торговли устанавливает начальные значения денежных позиций и позиций "депо" Инвесторов на основании полученной от Агента до начала торгов информации, соответственно о зарезервированных Инвесторами на Лицевых счетах "ГСО" денежных средств и/или о зарезервированных Инвесторами на специальных разделах "ГСО" счетов "депо" Инвесторов Облигациях.

4.6. Сбор заявок Инвесторов на участие в аукционе по размещению Облигаций и в размещении Облигаций при дополнительной продаже осуществляет Агент на основании соглашения, заключенного с Эмитентом, и соглашений, заключенных с Инвесторами.

4.7. Все поданные Агенту заявки Инвесторов на участие в аукционе в дату начала размещения выпуска (дополнительного выпуска, транша) или в дополнительной продаже регистрируются Организатором торговли.

4.8. Для участия в аукционе в дату начала размещения выпуска (дополнительного выпуска) или в дату дополнительной продажи Инвесторы подают Агенту заявки на покупку Облигаций до момента времени, определенного в договоре между ними.

4.9. Заявки Инвесторов принимаются к исполнению Агентом при наличии необходимого остатка денежных средств на принадлежащих им Лицевых счетах "ГСО" и при соблюдении всех условий, установленных Эмитентом для соответствующего аукциона или выпуска Облигаций.

4.10. Для покупки Облигаций на аукционе с размещением Облигаций по различным ценам от Инвесторов принимаются конкурентные заявки с указанием цены покупки Облигации и неконкурентные заявки, предусматривающие приобретение Облигаций по средневзвешенной цене аукциона.

Минимальная цена продажи Облигаций (цена отсечения) и средневзвешенная цена определяются Эмитентом. Средневзвешенная цена рассчитывается согласно приложению 2 к настоящему Положению. Эмитент вправе ограничивать объем неконкурентных заявок, поданных одним Инвестором (лимит неконкурентных заявок). Число конкурентных заявок, поданных одним Инвестором, не ограничено.

Поданная Агенту Инвестором конкурентная заявка на покупку Облигаций считается предложением Инвестора о заключении с Эмитентом договора купли-продажи Облигаций на указанных в заявке условиях.

Поданная Агенту Инвестором неконкурентная заявка на покупку Облигаций считается предложением Инвестора о заключении с Эмитентом договора купли-продажи Облигаций на условиях средневзвешенной цены аукциона на сумму денежных средств, указанных в заявке.

4.11. На аукционе с размещением по единой цене допускается выставление Инвестором только конкурентных заявок с указанием цены покупки Облигации. При этом Облигации размещаются по единой цене равной цене отсечения, установленной Эмитентом, и поданная Агенту Инвестором конкурентная заявка на покупку Облигаций считается предложением Инвестора о заключении с Эмитентом договора купли-продажи Облигаций в указанном в заявке количестве по цене отсечения.

4.12. В конкурентной заявке Инвестор указывает:

- регистрационный код Инвестора;

- направление сделки (всегда - покупка);

- номер выпуска Облигаций;

- количество Облигаций, выраженное в штуках;

- цена за одну Облигацию.

В неконкурентной заявке Инвестор указывает:

- регистрационный код Инвестора;

- направление сделки (всегда - покупка);

- номер выпуска Облигаций;

- количество денежных средств, направляемых на покупку Облигаций.

Количество приобретаемых Облигаций по неконкурентной заявке рассчитывается как целая часть от деления суммы денежных средств по данной заявке на средневзвешенную цену одной Облигации.

4.13. Цена Облигации выражается в процентах от номинальной стоимости Облигации с точностью, установленной Агентом по согласованию с Организатором торговли.

4.14. При заключении сделок с Облигациями стоимость Облигации состоит из цены Облигации, указанной в заявке, и накопленного процентного дохода за текущий купонный период.

Накопленный процентный (купонный) доход (далее - НКД) - часть процентного дохода, которая рассчитывается по формуле, приведенной в приложении 4 к настоящему Положению.

4.15. Организатор торговли регистрирует собранные Агентом заявки Инвесторов с соблюдением следующих условий:

- при регистрации Организатором торговли конкурентной заявки на покупку Облигаций значение денежной позиции Инвестора, установленной Организатором торговли на основании информации Агента, уменьшается на сумму денежных средств (с учетом НКД), необходимую для полного удовлетворения поданной заявки. Если получившийся результат отрицателен, данная заявка не регистрируется Организатором торговли;

- при регистрации Организатором торговли неконкурентной заявки на покупку Облигаций значение денежной позиции Инвестора, установленной Организатором торговли на основании информации Агента, уменьшается на сумму денежных средств, которая указана в заявке. Если получившийся результат отрицателен, данная заявка не регистрируется Организатором торговли;

- не подлежат регистрации Организатором торговли заявки Инвесторов, поданные с нарушением условий проведения аукциона, установленных Эмитентом.

4.16. Инвестор вправе снять свою заявку до момента времени, определенного договором между Инвестором и Агентом. При этом соблюдается следующее условие:

- при снятии заявки на покупку Облигаций (конкурентной или неконкурентной), зарегистрированной Организатором торговли, значение денежной позиции Инвестора, установленной Организатором торговли на основании информации Агента, увеличивается на сумму денежных средств, необходимую для полного удовлетворения данной заявки;

- при снятии конкурентной заявки доля неконкурентных заявок в общем объеме поданных Инвестором заявок не должна превышать лимита неконкурентных заявок, установленного Эмитентом.

4.17. По итогам регистрации заявок Инвесторов Организатор торговли формирует Сводный реестр заявок, принятых на аукцион, и передает его Агенту и Эмитенту. Сводный реестр заявок, принятых на аукцион, оформляется на бумажном носителе (и/или в виде электронного документа, если это предусмотрено соглашением сторон) в соответствии с приложением 3 к настоящему Положению.

4.18. До установленного времени объявления итогов аукциона Эмитент в пределах объявленного объема выпуска (дополнительного выпуска, транша) определяет цену отсечения и средневзвешенную цену всех удовлетворенных в ходе аукциона конкурентных заявок и передает Агенту поручение на удовлетворение заявок.

При проведении аукциона с размещением по единой цене Эмитентом устанавливается только цена отсечения.

4.19. В установленное время объявления итогов размещения Облигаций Агент в соответствии с поручением Эмитента регистрирует у Организатора торговли заявку на продажу соответственно всего объема выпуска (дополнительного выпуска, транша) или всего выставленного на дополнительную продажу объема Облигаций соответствующего выпуска по цене отсечения.

4.20. Конкурентная заявка удовлетворяется в случае, если цена, указанная в ней, не ниже цены отсечения.

Неконкурентная заявка удовлетворяется по средневзвешенной цене аукциона.

При проведении аукциона с размещением по единой цене конкурентная заявка Инвестора удовлетворяется в случае, если цена, указанная в ней, не ниже цены отсечения. Все остальные конкурентные заявки отклоняются.

4.21. При удовлетворении заявки (конкурентной или неконкурентной), поданной Инвестором на покупку Облигаций, Организатор торговли увеличивает значение позиции "депо" Инвестора на количество Облигаций, купленных в соответствии с заключенной сделкой.

Кроме того, при удовлетворении неконкурентной заявки Инвестора его денежная позиция, установленная Организатором торговли на основании информации Агента, увеличивается на разницу денежных средств по данной заявке, направленных и фактически израсходованных на покупку Облигаций.

4.22. При регистрации введенной Агентом по поручению Эмитента заявки на продажу Облигаций Организатор торговли регистрирует сделки купли-продажи Облигаций, формирует и передает Агенту Реестр сделок.

На основании полученного от Организатора торговли Реестра сделок Агент формирует и передает Инвестору Выписку из реестра сделок по форме, определенной договором между Инвестором и Агентом, которая является подтверждением заключения договора купли-продажи Облигаций между Инвестором и Эмитентом, от имени и по поручению которых действует Агент.

4.23. По итогам размещения Облигаций на аукционе в дату начала размещения выпуска (дополнительного выпуска, транша) и на основании полученного от Организатора торговли Реестра сделок Агент списывает денежные средства с Лицевых счетов "ГСО" Инвесторов в оплату приобретенных ими Облигаций и перечисляет их Эмитенту, и дает поручение Депозитарию на перевод Облигаций с раздела "В размещении" эмиссионного счета "депо" Эмитента на Специальные разделы "ГСО" счетов "депо" Инвесторов.

По итогам дополнительной продажи Облигаций и на основании полученного от Организатора торговли Реестра сделок Агент списывает денежные средства с Лицевых счетов "ГСО" Инвесторов в оплату приобретенных ими Облигаций и перечисляет их Эмитенту, и дает поручение Депозитарию на перевод Облигаций с раздела "Доразмещение" эмиссионного счета "депо" Эмитента на Специальные разделы "ГСО" счетов "депо" Инвесторов.

4.24. По завершении проводок по счетам "депо" Депозитарий подготавливает и направляет отчеты о совершенных депозитарных операциях Агенту и Инвесторам.

4.25. Не позднее следующего рабочего дня после проведения операции Агент направляет Эмитенту и Инвесторам отчетные документы по итогам размещения Облигаций.

Формы отчетных документов устанавливаются соответствующими соглашениями, заключенными между Агентом и Эмитентом и Агентом и Инвестором.

4.26. Выпуск считается состоявшимся, если на аукционе в день начала размещения выпуска (дополнительного выпуска) размещено не менее 20 (двадцати) процентов Облигаций от объявленного объема эмиссии данного выпуска.

В случае разделения выпуска на транши Эмитент должен разместить на аукционе не менее 20 (двадцати) процентов от объема транша.

В случае, если размещение транша (начиная со второго транша) признано несостоявшимся, Эмитент вправе установить иную дату в течение периода обращения Облигаций для проведения повторного размещения указанного транша Облигаций.

Положение о признании аукциона состоявшимся при размещении на нем не менее 20 (двадцати) процентов от объявленного объема эмиссии данного выпуска не распространяется на проведение аукциона по дополнительному размещению Облигаций.

4.27. Выписка Депозитария по счету депо Инвестора является подтверждением права собственности (иного вещного права), права доверительного управления Инвестора на Облигации.

4.28. Отчеты об итогах размещения Облигаций на аукционе в дату начала размещения и при дополнительной продаже, содержащие информацию о цене отсечения и/или средневзвешенной цене, доходность по итогам размещения, количество размещенных Облигаций, сумма привлеченных денежных средств при размещении Облигаций публикуются на официальных сайтах Эмитента и Агента в сети Интернет.

V. Размещение Облигаций по закрытой подписке

5.1. Размещение Облигаций по закрытой подписке осуществляется без участия Организатора торговли путем заключения договора купли-продажи Облигаций между Эмитентом и Инвестором.

5.2. Параметры выпуска Облигаций и иные существенные условия продажи Облигаций сообщаются Эмитентом Агенту не позднее двух рабочих дней до даты размещения Облигаций.

5.3. После принятия решения о выпуске Облигаций с размещением по закрытой подписке Эмитент дает Агенту поручение на зачисление Облигаций на его эмиссионный счет "депо".

5.4. Не позднее дня, установленного договором купли-продажи Облигаций между Эмитентом и Инвестором, Эмитент дает поручение Агенту на размещение Облигаций путем их перевода с эмиссионного счета "депо" Эмитента на специальный раздел "ГСО" счета "депо" Инвестора, открытого в Депозитарии.

5.5. Инвестор в день размещения Облигаций со счета, указанного в договоре купли-продажи Облигаций, перечисляет денежные средства на приобретение Облигаций на счет Эмитента, указанный в договоре купли-продажи Облигаций.

5.6. Не позднее дня размещения Облигаций Агент и Инвестор предоставляют в Депозитарий поручения на перевод Облигаций по счетам "депо" Эмитента и Инвестора.

5.7. Не позднее следующего рабочего дня после проведения операции по размещению Облигаций Агент направляет Эмитенту определенные в соглашении между ними отчетные документы.

5.8. Отчет об итогах размещения Облигаций по закрытой подписке, содержащий информацию о параметрах выпуска Облигаций, цене размещения, доходности, количестве размещенных Облигаций, публикуется на официальном сайте Эмитента в сети Интернет.

VI. Порядок выплаты процентного дохода по Облигациям

6.1. Даты выплаты процентного дохода, процентные ставки и величина процентного дохода устанавливаются в решении о выпуске Облигаций.

Процентные ставки купонного дохода могут быть постоянными (для всех купонных периодов процентная ставка совпадает) или фиксированными (для всех купонных периодов процентная ставка определена, но не совпадает).

Для краткосрочных Облигаций могут быть установлены нулевые процентные ставки купонного дохода.

6.2. Выплата Инвесторам процентного дохода осуществляется по поручению Эмитента за счет средств федерального бюджета, перечисленных Эмитентом Агенту не позднее чем за один рабочий день до даты выплаты процентного дохода.

При неполном перечислении Эмитентом денежных средств, необходимых для выплаты процентного дохода по Облигациям соответствующего выпуска, выплата Агентом процентного дохода не производится.

6.3. В соответствии с параметрами соответствующего выпуска, определенными решением о выпуске, и данными депозитарного учета по счетам "депо" Инвесторов Депозитарий за три рабочих дня до даты выплаты процентного дохода осуществляет расчет суммы причитающегося Инвесторам процентного дохода и передает указанную информацию Агенту.

Данная информация, а также сведения о количестве Облигаций соответствующего выпуска, по которым будет осуществляться выплата процентного дохода, передаются Агентом Эмитенту за два рабочих дня до даты выплаты процентного дохода.

6.4. Агент на основании поручения Эмитента и данных Депозитария осуществляет в день выплаты процентного дохода перечисление сумм процентного дохода по Облигациям на Лицевые счета "ГСО" Инвесторов и направляет не позднее следующего рабочего дня после выплаты процентного дохода отчеты Эмитенту и Инвесторам о его выплате.

6.5. В случае, если выплата процентного дохода была произведена не всем Инвесторам, Агент направляет Эмитенту информацию о причинах невыплаты с перечнем Инвесторов.

6.6. Денежные средства, не использованные на выплату процентного дохода, подлежат перечислению в федеральный бюджет не позднее дня, следующего за датой выплаты процентного дохода.

6.7. В случае поступления Агенту заявки от Инвестора на получение невостребованных ранее денежных средств от выплаты процентного дохода с наступившим сроком его выплаты Агент в течение двух рабочих дней после получения заявки от Инвестора направляет Эмитенту письмо о необходимости перечисления средств федерального бюджета на осуществление данных выплат с указанием наименования Инвестора.

6.8. Информация о выплате процентного дохода по Облигациям публикуется на официальных сайтах Эмитента и Агента в сети Интернет.

VII. Порядок погашения Облигаций.

7.1. Погашение Облигаций осуществляется по их номинальной стоимости в сроки, установленные в решении о выпуске.

7.2. Погашение Облигаций осуществляется Агентом по поручению Эмитента за счет средств федерального бюджета, перечисленных Эмитентом на счет Агента. Денежные средства перечисляются Эмитентом за один рабочий день до даты погашения Облигаций. При неполном перечислении Эмитентом денежных средств выплаты от погашения Облигаций Агентом не производятся.

7.3. На основании данных депозитарного учета по счетам "депо" Инвесторов Депозитарий по поручению Агента за три рабочих дня до даты погашения осуществляет расчет суммы денежных средств, причитающейся Инвесторам от погашения Облигаций, и направляет указанную информацию Агенту.

7.4. Агент за два рабочих дня до погашения Облигаций направляет Эмитенту информацию о сумме денежных средств, необходимой для осуществления погашения Облигаций, а также количестве погашаемых Облигаций.

7.5. Агент на основании поручения Эмитента и данных Депозитария осуществляет в дату погашения перечисление денежных средств от погашения Облигаций на Лицевые счета "ГСО" Инвесторов и передает Депозитарию поручение о переводе Облигаций со Специальных разделов "ГСО" счетов "депо" Инвесторов на раздел "В погашении" эмиссионного счета "депо" Эмитента.

7.6. По результатам проведения погашения Агент направляет не позднее следующего рабочего дня после его проведения Эмитенту отчет по форме, определенной соглашением между ними.

7.7. Отчет об итогах погашения Облигаций публикуется на официальных сайтах Эмитента и Агента в сети Интернет.

7.8. В случае, если произведено погашение не всех Облигаций погашаемого выпуска, в отчете о погашении Агент указывает объем непогашенных Облигаций с указанием причины неосуществления погашения.

7.9. Денежные средства, не использованные на погашение Облигаций, подлежат перечислению в федеральный бюджет не позднее дня, следующего за датой погашения, установленной решением о выпуске.

7.10. В случае поступления Агенту заявки от Инвестора на получение невостребованных ранее денежных средств от погашения облигаций с наступившим сроком погашения Агент в течение двух рабочих дней после получения заявки от Инвестора направляет Эмитенту письмо о необходимости перечисления средств федерального бюджета на осуществление данных выплат с указанием наименования Инвестора.

7.11. В случае, если Инвесторами Облигации не были предъявлены к погашению в течение общего срока исковой давности (три года) с даты, следующей за датой погашения, установленной решением о их выпуске, Эмитент осуществляет списание государственного внутреннего долга Российской Федерации по данным Облигациям путем перевода этих Облигаций со Специальных разделов "ГСО" счетов "депо" Инвесторов на раздел "В погашении" эмиссионного счета "депо" Эмитента.

VIII. Порядок выкупа Облигаций в даты, определенные в решении о выпуске Облигаций

8.1. Владелец Облигаций может предъявить их к выкупу в даты, определенные Эмитентом в решении о выпуске Облигаций.

Объем выкупаемых Облигаций устанавливается Эмитентом в процентах от объема Облигаций соответствующего выпуска, находящихся в обращении.

8.2. Выкуп Облигаций осуществляется Агентом на основании поручения Эмитента по номинальной стоимости за счет средств федерального бюджета. В случае, если дата выкупа не совпадает с датой выплаты процентного дохода, Инвестору помимо номинальной стоимости Облигации при выкупе выплачивается накопленный процентный доход (на дату выкупа Облигаций) по Облигации.

Предъявление Инвесторами Облигаций к выкупу осуществляется на добровольной основе.

Денежные средства, предназначенные для выкупа, перечисляются Эмитентом на счет Агента не позднее чем за один рабочий день до даты выкупа Облигаций. При неполном перечислении Эмитентом денежных средств выкуп Облигаций Агентом не производится.

Поручение Агенту на проведение выкупа Облигаций Эмитент дает за три рабочих дня до даты выкупа. В поручении указывается дата выкупа и объем Облигаций, который может предъявить к выкупу Инвестор.

8.3. Не позднее двух рабочих дней до даты проведения выкупа Облигаций Агент направляет соответствующее уведомление Организатору торговли и публикует полученную от Эмитента информацию на своем официальном сайте в сети Интернет.

8.4. Инвестор осуществляет расчет количества Облигаций, которые он может предъявить к выкупу, исходя из установленного Эмитентом процента выкупаемых Облигаций соответствующего выпуска и количества Облигаций данного выпуска, находящегося в его портфеле. При проведении расчета округление осуществляется в сторону уменьшения количества выкупаемых Облигаций.

Количество Облигаций, предъявляемых Инвестором к выкупу, может быть меньше количества Облигаций, рассчитанного в соответствии с первым абзацем настоящего пункта.

8.5. В установленный день и в установленное Агентом по согласованию с Эмитентом время приема заявок на выкуп Инвесторы подают Агенту заявки на продажу Облигаций.

В заявке на продажу Облигаций указываются:

- регистрационный код Инвестора;

- направление сделки (всегда - продажа);

- номер выпуска Облигаций;

- количество Облигаций;

- цена за одну Облигацию (всегда - номинальная стоимость).

8.6. Поданная Агенту Инвестором заявка на продажу Облигаций считается предложением Инвестора о заключении с Эмитентом договора купли-продажи Облигаций в указанном в заявке количестве по номинальной стоимости. Все поданные Агенту заявки Инвесторов на продажу Облигаций регистрируются Организатором торговли.

8.7. Заявка Инвестора на продажу Облигаций принимается к исполнению Агентом только при одновременном соблюдении следующих условий (с учетом ранее принятых к исполнению по соответствующему выкупу заявок данного Инвестора на продажу Облигаций):

- остаток Облигаций соответствующего выпуска на Специальном разделе "ГСО" счета "депо" Инвестора, по которым отсутствуют ограничения на распоряжение ими Инвестором, не меньше указанного в заявке количества Облигаций;

- количество Облигаций в заявке не превышает лимит предъявляемых к выкупу Облигаций одним Инвестором, установленный Эмитентом;

- условия заявки (цена продажи одной Облигации - номинальная стоимость; направление сделки - продажа; номер выпуска Облигаций, предъявляемых к выкупу) соответствуют установленным Эмитентом условиям выкупа Облигаций.

8.8. Организатор торговли регистрирует собранные Агентом заявки Инвесторов на продажу Облигаций с соблюдением следующих условий:

- при регистрации Организатором торговли заявки Инвестора на продажу Облигаций значение позиции "депо" Инвестора, установленной Организатором торговли на основании информации Агента, уменьшается на количество Облигаций, указанное в заявке. Если получившийся результат отрицателен, данная заявка к исполнению не принимается;

- не подлежат регистрации Организатором торговли заявки Инвесторов, поданные с нарушением условий выкупа Облигаций, установленных Эмитентом.

8.9. Инвестор вправе снять свою заявку на продажу Облигаций до момента времени, определенного договором между Инвестором и Агентом.

При снятии заявки Инвестора, зарегистрированной Организатором торговли, значение позиции "депо" Инвестора, установленной Организатором торговли на основании информации Агента, увеличивается на количество Облигаций, указанное в соответствующей заявке.

8.10. Время окончания приема Агентом заявок от Инвесторов определяется договором между Инвестором и Агентом.

8.11. По окончании приема от Инвесторов заявок на продажу Облигаций Агент в соответствии с поручением Эмитента регистрирует у Организатора торговли заявку на покупку по номинальной стоимости всех предъявленных Инвесторами к выкупу Облигаций.

8.12. При регистрации введенной Агентом по поручению Эмитента заявки на покупку Облигаций Организатор торговли регистрирует сделки купли-продажи Облигаций, формирует и передает Агенту Реестр сделок.

На основании полученного от Организатора торговли Реестра сделок Агент формирует и передает Инвестору Выписку из реестра сделок (по форме, определенной договором между Агентом и Инвестором), которая является подтверждением заключения договора купли-продажи Облигаций между Инвестором и Эмитентом, от имени и по поручению которого действует Агент.

8.13. По итогам выкупа Облигаций на основании полученного от Организатора торговли Реестра сделок Агент дает поручение Депозитарию на перевод Облигаций со Специальных разделов "ГСО" счетов "депо" Инвесторов на раздел "Выкуплено" эмиссионного счета "депо" Эмитента и производит зачисление денежных средств, полученных от Эмитента, на Лицевые счета "ГСО" Инвесторов.

8.14. В день проведения выкупа Агент подготавливает и передает Эмитенту отчетные документы о проведении выкупа, форма которых устанавливается соглашением между ними.

8.15. Остаток неиспользованных средств федерального бюджета, перечисленных Агенту для проведения выкупа Облигаций, подлежит возврату Эмитенту в день проведения выкупа.

8.16. Отчет об итогах выкупа Облигаций публикуется на официальных сайтах Эмитента и Агента в сети Интернет.

IX. Порядок выкупа Облигаций в даты, отличные от дат, определенных в решении о выпуске Облигаций

9.1. Инвестор вправе предъявить Облигации к выкупу в даты, отличные от дат, определенных в решении об их выпуске, в случае:

- приостановления действия или аннулирования у владельцев Облигаций соответствующих лицензий;

- применения к владельцам Облигаций процедуры банкротства;

- принятия решения о реорганизации (в случае, если вновь созданное юридическое лицо не имеет права приобретать Облигации) или ликвидации организации - владельца Облигаций.

9.2. При наступлении любого из указанных в пункте 9.1 настоящего Положения случаев (далее - Событие) Облигации могут быть предъявлены к выкупу:

- владельцами Облигаций;

- организацией, осуществляющей в соответствии с законодательством Российской Федерации реализацию имущества владельца Облигаций (далее - уполномоченная организация);

- управляющей компанией при передаче ей имущества, находящегося в доверительном управлении другой управляющей компании, в случаях предусмотренных законодательством Российской Федерации (далее - уполномоченная организация).

9.3. Агент в течение 3 (трех) рабочих дней с даты получения от владельца или уполномоченной организации уведомления о предъявлении к выкупу Облигаций в даты, отличные от дат, определенных в решении о выпуске, подготавливает информацию о количестве предъявляемых к выкупу Облигаций, и, вместе с заверенными Агентом копиями представленных владельцем или уполномоченной организацией документами, подтверждающими их право на проведение выкупа, передает Эмитенту.

9.4. Выкуп Облигаций Эмитентом в даты, отличные от дат, определенных в решении о выпуске, осуществляется один раз в месяц в дату, определенную Эмитентом.

9.5. Эмитент принимает решение о дате выкупа Облигаций и за один рабочий день до выкупа перечисляет Агенту из федерального бюджета денежные средства, необходимые для выкупа Облигаций, и дает поручение на его проведение.

9.6. Информация о дате и цене выкупа Облигаций доводится Агентом до владельца или уполномоченной организации на следующий рабочий день после ее получения от Эмитента.

9.7. Сумма денежных средств, необходимых для выкупа, рассчитывается исходя из количества предъявленных к выкупу Облигаций и цены выкупа. В случае, если дата выкупа не совпадает с датой выплаты процентного дохода, к указанной сумме добавляется НКД по Облигациям, рассчитанный на дату выкупа.

9.8. Цена выкупа устанавливается Эмитентом за два дня до даты его проведения и определяется для каждого выпуска Облигаций и каждой установленной Эмитентом в соответствии с пунктом 9.5 настоящего Положения даты выкупа по формуле, приведенной в приложении 7 к настоящему Положению. При этом доходность к погашению (к выкупу) рассчитывается как средневзвешенная величина из средневзвешенных доходностей, сложившихся на рынке облигаций федеральных займов по выпуску с наиболее близкой к соответствующему выпуску Облигаций дюрацией в течение 5-ти торговых сессий до даты установления цены выкупа Облигаций, взвешенных по объему торгов по данному выпуску облигаций федеральных займов.

При этом цена выкупа не может быть выше номинальной стоимости Облигации.

В случае, если цена выкупа Облигаций, рассчитанная по формуле, приведенной в приложении 7 к настоящему Положению, выше номинальной стоимости Облигаций, цена выкупа принимается равной номинальной стоимости.

Если дата выкупа не совпадает с датой выплаты процентного дохода, Инвестору выплачивается НКД, рассчитанный на дату выкупа Облигаций.

Доходность для расчета цены выкупа и цена выкупа определяются Эмитентом и публикуется на его официальном сайте в сети Интернет в форме информационного сообщения.

9.9. В день выкупа Облигаций Агент направляет Депозитарию поручение на перевод Облигаций со Специального раздела "ГСО" счета "депо" Инвестора в Депозитарии на раздел "Выкуплено" эмиссионного счета "депо" Эмитента.

9.10. Зачисление денежных средств на Лицевой счет "ГСО" Инвестора производится Агентом на основании полученного от Депозитария отчета о проведении соответствующих депозитарных операций.

9.11. В день выкупа Облигаций Агент подготавливает и передает Эмитенту отчетные документы, формы которых устанавливаются соглашением между ними.

X. Порядок обмена Облигаций

10.1. Инвестор вправе обменять Облигации, находящиеся в его в портфеле, на Облигации других выпусков или облигации федеральных займов.

Предъявление Инвесторами Облигаций к обмену осуществляется на добровольной основе.

10.2. Обмен Облигаций осуществляется Агентом по поручению Эмитента в даты, установленные решением о выпуске Облигаций. Эмитент объявляет о параметрах выпусков Облигаций или облигаций федеральных займов для обмена за 5 (пять) рабочих дней до даты проведения обмена.

10.3. Обмен Облигаций может быть осуществлен следующими способами:

- конверсия Облигаций на Облигации других выпусков (далее - конверсия);

- аукцион по обмену Облигаций на облигации федеральных займов (далее - аукцион по обмену).

10.4. Конверсия может проводиться для выпусков Облигаций, размещенных на аукционе, при дополнительной продаже или по закрытой подписке.

10.5. Аукцион по обмену может проводиться для выпусков Облигаций, размещенных на аукционе или при дополнительной продаже.

XI. Порядок проведения конверсии

11.1. При проведении конверсии единая цена выкупа Облигаций и единая цена размещения Облигаций других выпусков определяются Эмитентом.

Объем обмениваемых Облигаций соответствует фактически размещенному объему соответствующего выпуска.

11.2. Поручение на проведение конверсии, а также вся существенная информация о предстоящей конверсии (время и порядок проведения конверсии, параметры выпуска Облигаций, на который будет производиться обмен Облигаций, единая цена выкупа Облигаций, единая цена размещения Облигаций другого выпуска) направляется Эмитентом Агенту не позднее чем за 5 (пять) рабочих дней до ее проведения.

11.3. Агент публикует полученную от Эмитента информацию на своем официальном сайте в сети Интернет не позднее окончания рабочего дня, следующего за датой ее получения.

11.4. Все предъявленные Инвесторами к конверсии Облигации подлежат обмену.

Инвестор вправе предъявить к конверсии не полный объем обмениваемых Облигаций, находящихся в его портфеле.

11.5. Денежные средства при проведении конверсии Инвесторам не выплачиваются.

11.6. Эмитент обязан обеспечить на день конверсии наличие на своем эмиссионном счете "депо" в Депозитарии необходимого количества размещаемых Облигаций для проведения конверсии всех фактически размещенных обмениваемых Облигаций. При недостаточном количестве Облигаций на эмиссионном счете "депо" Эмитента конверсия не производится.

11.7. Количество причитающихся Инвесторам Облигаций других выпусков по результатам конверсии рассчитывается по формуле, приведенной в приложении 5 к настоящему Положению.

11.8. Инвесторы, которые будут принимать участие в конверсии, обязаны на день конверсии обеспечить на принадлежащих им Лицевых счетах "ГСО" наличие денежных средств, подлежащих уплате Эмитенту по результатам конверсии, и необходимых для уплаты комиссионного вознаграждения. Расчет суммы денежных средств, подлежащих уплате Эмитенту, приведен в приложении 6 к настоящему Положению.

При недостаточной сумме денежных средств на Лицевом счете "ГСО" Инвестора конверсия Облигаций, принадлежащих данному Инвестору, не производится.

11.9. Инвестор подает Агенту заявку на конверсию Облигаций, в которой указывает:

- регистрационный код Инвестора;

- направление сделки (всегда - конверсия);

- номер выпуска обмениваемых Облигаций;

- количество обмениваемых Облигаций;

- номер выпуска размещаемых Облигаций.

11.10. Инвестор вправе снять свою заявку на конверсию.

11.11. Время приема заявок на конверсию от Инвестора и момент времени, до которого Инвестор может снять заявки, определяются договором между Инвестором и Агентом по согласованию с Эмитентом.

11.12. По окончании времени приема заявок Агент направляет Эмитенту информацию о количестве Облигаций, предъявленных Инвесторами к конверсии, на основании которой Эмитент дает поручение Агенту на проведение конверсии.

11.13. Агент в соответствии с поручениями Эмитента и Инвесторов направляет Депозитарию поручения осуществить депозитарные операции по специальным разделам "ГСО" счетов "депо" Инвесторов и эмиссионному счету "депо" Эмитента и одновременно осуществляет списание денежных средств, указанных в пункте 11.8 настоящего Положения, с Лицевых счетов "ГСО" Инвесторов и перечисление их Эмитенту.

11.14. Денежные средства от проведения конверсии подлежат зачислению Агентом на счет Эмитента не позднее дня проведения конверсии.

11.15. Обмененные Облигации зачисляются на раздел "Выкуплено" эмиссионного счета "депо" Эмитента.

11.16. По результатам конверсии Агент подготавливает и передает не позднее следующего рабочего дня после проведения операции Эмитенту и Инвесторам отчетные документы по форме, установленной соответствующими соглашениями.

11.17. Отчет об итогах конверсии публикуется на официальных сайтах Эмитента и Агента в сети Интернет.

XII. Порядок проведения аукциона по обмену Облигаций

12.1. Аукцион по обмену Облигаций осуществляется в даты, установленные в решении о выпуске Облигаций.

12.2. При проведении аукциона по обмену Облигаций цена выкупаемых Облигаций и их объем определяются Эмитентом. Объем выкупаемых Облигаций устанавливается в процентном отношении от фактически размещенного объема Облигаций соответствующего выпуска. Установленное процентное отношение распространяется на объем предъявляемых Инвестором к выкупу Облигаций (от объема Облигаций выкупаемого выпуска, находящегося в его портфеле).

Цена размещаемых при обмене облигаций федеральных займов определяется на основании заявок Инвесторов, поданных на аукционе по обмену Облигаций, и равна цене отсечения, определяемой Эмитентом.

12.3. В аукционе по обмену Облигаций могут принимать участие только те Инвесторы, которые также заключили договор об обслуживании на рынке облигаций федеральных займов с официальным Дилером на рынке облигаций федеральных займов.

12.4. Поручение на проведение обмена Облигаций, а также вся существенная информация о предстоящем аукционе по обмену Облигаций (время и порядок проведения аукциона по обмену, объем и параметры выпусков облигаций федеральных займов, на которые будет производиться обмен Облигаций, цена выкупа Облигаций (без учета НКД) и объем выкупаемых Облигаций) направляется Эмитентом Агенту не позднее чем за 5 (пять) рабочих дней до его проведения.

Указанную информацию Эмитент одновременно направляет Банку России - генеральному агенту по обслуживанию выпусков облигаций федеральных займов.

12.5. Не позднее окончания рабочего дня, следующего за датой получения информации от Эмитента, Агент доводит ее до сведения Организатора торговли, а также публикует ее на своем официальном сайте в сети Интернет.

12.6. Не позднее чем за один рабочий день до установленной Эмитентом даты проведения аукциона по обмену Инвестор обязан обеспечить наличие на принадлежащем ему Лицевом счете "ГСО" денежных средств, достаточных для уплаты Эмитенту по результатам проведения обмена и необходимых для уплаты комиссионного вознаграждения.

12.7. До начала процедуры обмена Облигаций на облигации федеральных займов Эмитент обеспечивает все необходимые действия для перевода необходимого для обмена количества облигаций федеральных займов на раздел "В размещении. ГСО обмен" своего эмиссионного счета "депо", открытый в депозитарии, осуществляющем учет прав на облигации федеральных займов.

12.8. Для участия в аукционе по обмену Облигаций Инвесторы подают Агенту заявку на обмен Облигаций на облигации федеральных займов (далее - заявка на обмен). Заявка на обмен признается намерением Инвестора приобрести на аукционе облигации федеральных займов размещаемого выпуска по цене отсечения, определенной Эмитентом для данного аукциона, и, одновременно, намерением Инвестора продать (предъявить к выкупу) Эмитенту, по поручению которого действует Агент, Облигации обмениваемого (выкупаемого) выпуска по цене выкупа, установленной Эмитентом, в количестве, указанном в заявке на обмен.

В заявке на обмен Инвестор указывает:

- регистрационный код Инвестора, присвоенный ему Агентом;

- информацию о регистрационном коде Инвестора, присвоенном ему в соответствии с Положением Банка России от 25.03.2003 N 219-П "Об обслуживании и обращении выпусков федеральных государственных ценных бумаг" (зарегистрировано в Минюсте России 23 апреля 2003 г., регистрационный номер 4438);

- номер счета "депо" Инвестора, открытый дилером в Центре технического обеспечения субдепозитария Дилеров Некоммерческого партнерства "Национальный депозитарный центр" (далее - ЦТОСД НП НДЦ), на котором осуществляется или будет осуществляться учет прав Инвестора на облигации федеральных займов;

- информацию о регистрационном коде дилера, у которого Инвестор обслуживается на рынке облигаций федеральных займов, присвоенном дилеру в соответствии с Положением Банка России от 25.03.2003 N 219-П "Об обслуживании и обращении выпусков федеральных государственных ценных бумаг" (зарегистрировано в Минюсте России 23 апреля 2003 г., регистрационный номер 4438), и в субдепозитарии которого осуществляется (будет осуществляться) учет прав на принадлежащие Инвестору облигации федеральных займов;

- направление сделки (всегда - обмен);

- номер выпуска размещаемых облигаций федеральных займов;

- цена за одну облигацию федеральных займов в процентах от ее номинальной стоимости;

- номер выпуска обмениваемых Облигаций;

- количество обмениваемых Облигаций (в штуках).

Инвестор вправе подать неограниченное число заявок на обмен при условии, что совокупное количество Облигаций, предъявляемых к обмену, рассчитанное по поданным Инвестором заявкам на обмен в порядке, установленном настоящим Положением, не превышает лимит предъявляемых к выкупу Облигаций при обмене одним Инвестором, установленный Эмитентом.

12.9. Инвестор осуществляет расчет количества Облигаций, которые он может предъявить к выкупу, исходя из установленного Эмитентом процента выкупаемых Облигаций соответствующего выпуска и количеством Облигаций данного выпуска, находящегося в его портфеле. При проведении расчета округление до целого осуществляется в сторону уменьшения количества выкупаемых Облигаций.

Количество Облигаций, предъявляемых Инвестором к выкупу, может быть меньше количества Облигаций, рассчитанного согласно первому абзацу настоящего пункта.

12.10. Заявки Инвесторов на обмен принимаются Агентом к исполнению только при одновременном соблюдении следующих условий (с учетом ранее принятых к исполнению по соответствующему выкупу заявок на обмен данного Инвестора):

- остаток предъявляемых к обмену Облигаций на Специальном разделе "ГСО" счета "депо" Инвестора, по которым отсутствуют ограничения на распоряжение ими Инвестором, не меньше количества обмениваемых Облигаций;

- количество обмениваемых Облигаций не превышает лимит предъявляемых к выкупу Облигаций при обмене одним Инвестором, установленный Эмитентом;

- сумма денежных средств на Лицевом счете "ГСО" Инвестора достаточна для покупки одной облигации федеральных займов, стоимость которой рассчитывается исходя из ее цены, указанной в заявке, и НКД (в случае, если дата размещения облигаций федеральных займов не совпадает с датой выплаты процентного дохода) и уплаты комиссионного вознаграждения (по каждой заявке Инвестора);

- условия заявок на обмен соответствуют установленным Эмитентом условиям обмена Облигаций.

12.11. Инвестор вправе снять свои заявки до истечения времени приема заявок.

12.12. Время окончания приема Агентом заявок на обмен от Инвестора и момент времени, до которого Инвестор может снять свои заявки на обмен, определяются договором между Инвестором и Агентом.

12.13. Собранные Агентом заявки Инвесторов на обмен регистрируются Организатором торговли.

12.14. По итогам регистрации Организатором торговли заявок Инвесторов на обмен Облигаций Организатор торговли формирует Сводный реестр заявок на обмен и передает его Агенту и Эмитенту. Данный Сводный реестр заявок на обмен оформляется на бумажном носителе (и/или в виде электронного документа, если это предусмотрено соглашением сторон), по форме, определенной соглашением Эмитента и Организатора торговли.

12.15. На основании Сводного реестра заявок на обмен Эмитент в пределах объявленного объема размещаемого выпуска облигаций федеральных займов определяет цену отсечения, по которой будет осуществлено их размещение, и передает Агенту поручение на удовлетворение заявок на обмен.

12.16. Поручение Эмитента Агенту на удовлетворение заявок на обмен признается поручением на продажу облигаций федеральных займов тем Инвесторам, в заявках которых указана цена покупки данных облигаций, больше или равная цене отсечения, и, одновременно, указанное поручение является основанием для проведения выкупа Облигаций у вышеуказанных Инвесторов.

Стоимость одной выкупаемой Облигации рассчитывается исходя из цены выкупа Облигации и НКД в случае, если дата выкупа Облигаций не совпадает с датой выплаты процентного дохода.

Денежные средства при проведении обмена Инвесторам не выплачиваются.

12.17. Агент в соответствии с поручением Эмитента на обмен регистрирует у Организатора торговли заявку Агента на обмен, являющейся заявкой на продажу по цене отсечения соответствующего количества размещаемых облигаций федеральных займов и одновременно заявкой на покупку выкупаемых Облигаций по цене выкупа, установленной Эмитентом.

При регистрации вышеуказанной заявки Агента Организатор торговли по каждой удовлетворяемой заявке на обмен регистрирует сделки купли-продажи размещаемых облигаций федеральных займов и выкупаемых Облигаций.

12.18. После регистрации сделок купли-продажи размещаемых облигаций федеральных займов и выкупаемых Облигаций Организатор торговли формирует и передает Агенту и Эмитенту Реестр сделок, заключенных на аукционе по обмену Облигаций, форма которого определяется соглашением между Эмитентом и Организатором торговли.

12.19. Агент на основании Реестра сделок, заключенных на аукционе по обмену Облигаций, направляет Эмитенту уведомление о необходимости осуществления перевода облигаций федеральных займов на счета Инвесторов, открытые в субдепозитариях дилеров на рынке облигаций федеральных займов с приложением к нему перечня Инвесторов с указанием количества облигаций федеральных займов, приобретенных Инвесторами.

12.20. На основании полученного от Агента уведомления Эмитент, в пределах объявленного объема размещаемого выпуска облигаций федеральных займов, передает Банку России поручение на осуществление перевода облигаций федеральных займов с эмиссионного счета "депо" Эмитента на счета "депо" Инвесторов, открытые в субдепозитариях дилеров на рынке облигаций федеральных займов.

12.21. На основании полученного от Эмитента поручения, указанного в пункте 12.20 настоящего Положения, Банк России дает поручение депозитарию, осуществляющему учет прав на облигации федеральных займов, осуществить депозитарные операции по переводу облигаций федеральных займов из раздела "В размещении. ГСО обмен." эмиссионного счета "депо" Эмитента на основной раздел счетов "депо" Инвесторов, открытых дилерами в ЦТОСД НП НДЦ.

12.22. Заявки Инвесторов на обмен, в которых указана цена облигаций федеральных займов ниже цены отсечения, не удовлетворяются и обмен Облигаций не производится.

12.23. По результатам обмена Агент направляет Депозитарию поручения осуществить депозитарные операции по специальным разделам "ГСО" счетов "депо" Инвесторов и эмиссионному счету "депо" Эмитента.

12.24. Обмененные Облигации зачисляются на раздел "Выкуплено" эмиссионного счета "депо" Эмитента.

12.25. По итогам обмена Облигаций на облигации федеральных займов Агент в день проведения операции обмена производит зачисление денежных средств, полученных от Инвесторов по итогам проведения операции обмена, на лицевой счет Эмитента.

Расчет суммы денежных средств, которые Инвестор должен перечислить Эмитенту по результатам обмена, приведен в приложении 6 к настоящему Положению.

12.26. В день проведения аукциона по обмену Агент подготавливает и передает Эмитенту отчет о проведении обмена по форме, установленной соглашением между ними.

12.27. На следующий рабочий день после проведения аукциона по обмену Банк России информирует Эмитента об осуществлении перевода облигаций федеральных займов с эмиссионного счета "депо" Эмитента на счета "депо" Инвесторов, открытые дилерами в ЦТОСД НП НДЦ.

12.28. Отчеты о зачислении облигаций федеральных займов на счета "депо" Инвесторов направляются последним дилерами на рынке облигаций федеральных займов, в субдепозитариях которых открыты указанные счета "депо", в сроки, установленные договором между Инвестором и дилером.

12.29. На основании Реестра сделок, полученного от Организатора торговли, Агент формирует и передает Инвестору отчет об осуществлении операции обмена (по форме, определенной договором между Агентом и Инвестором), который является подтверждением заключения договора купли-продажи Облигаций и облигаций федеральных займов между Инвестором и Эмитентом, от имени и по поручению которых действует Агент.

12.30. Отчет об итогах обмена Облигаций публикуется на официальных сайтах Эмитента и Агента в сети Интернет.

XIII. Порядок передачи Инвестором Облигаций другому юридическому лицу

13.1. Передача Инвестором Облигаций другому юридическому лицу возможна:

- при реорганизации юридического лица - владельца Облигаций в случае, если вновь созданное юридическое лицо имеет право приобретать Облигации;

- при передаче имущества, находящегося в доверительном управлении, от одной управляющей компании другой управляющей компании, если такая передача предусмотрена законодательством Российской Федерации.

13.2. В случае принятия владельцем Облигаций решения о реорганизации юридического лица он обязан в течение 2 (двух) рабочих дней после принятия решения проинформировать Агента о данном решении и представить заверенную в установленном порядке копию решения учредителей реорганизованного юридического лица, либо органа юридического лица, уполномоченного на то учредительными документами, о реорганизации общества.

После завершения процедуры регистрации вновь образованного юридического лица ему необходимо представить Агенту документы, указанные в пункте 3.3 настоящего Положения, подтверждающие его право владеть Облигациями, а Депозитарию - поручение на изменение анкетных данных и/или, в случае разделения или выделения из состава юридического лица одного или нескольких юридических лиц в соответствии с разделительным балансом поручение на перевод принадлежащих реорганизованному юридическому лицу Облигаций со своего счета "депо" на Специальный раздел "ГСО" счета "депо" вновь образованного юридического лица либо иной управляющей компании в Депозитарии.

13.3. В случае прекращения договора доверительного управления средствами пенсионных накоплений или средствами акционерных инвестиционных фондов из-за несоответствия управляющей компании требованиям соответствующих федеральных законов, возбуждения в отношении управляющей компании процедуры банкротства, отказа учредителя управления от указанного договора по тем или иным причинам и других причин, предусмотренных соответствующим законодательством Российской Федерации, Пенсионный фонд Российской Федерации, негосударственный пенсионный фонд или акционерный инвестиционный фонд в трехдневный срок должны уведомить Агента о расторжении договора доверительного управления с управляющей компанией и заключении договора доверительного управления с другой управляющей компанией. К указанной информации прилагается заверенная в установленном порядке копия договора о доверительном управлении с новой управляющей компанией.

13.4. Агент в течение 2 (двух) рабочих дней после поступления документов от владельца Облигаций осуществляет проверку документов и дает поручение Депозитарию на проведение соответствующих изменений по счетам Инвесторов.

XIV. Состав официальной информации о выпуске и операциях с Облигациями

14.1. Агент на основании информации, полученной от Эмитента и предназначенной для публичного размещения, формирует и размещает на своем официальном сайте в сети Интернет следующие объявления для Участников рынка Облигаций:

- объявления о предстоящем размещении Облигаций;

- объявления о выплате процентного дохода по Облигациям;

- объявления о погашении выпуска Облигаций;

- объявления о выкупе Облигаций;

- объявления об обмене Облигаций.

14.2. По итогам проведения операций с Облигациями Агент формирует и размещает на своем официальном сайте в сети Интернет:

- отчет об итогах размещения (дополнительного размещения) Облигаций;

- отчет об итогах выплаты процентного дохода по Облигациям;

- отчет об итогах погашения Облигаций;

- отчет об итогах выкупа Облигаций;

- отчет об итогах обмена Облигаций.

14.3. Информация, указанная в пунктах 14.1 и 14.2 настоящего Положения, также размещается на сайте Эмитента в сети Интернет.

XV. Конфиденциальная информация

15.1. Конфиденциальной информацией признается вся информация, хранящаяся у Агента, Депозитария и Организатора торговли и не включенная в состав официальной информации.

15.2. Конфиденциальная информация не подлежит разглашению лицами, получившими ее при выполнении функций Агента, Депозитария и Организатора торговли в соответствии с настоящим Положением, если иное не предусмотрено законодательством Российской Федерации или иными нормативными актами.

15.3. Разглашением признается передача конфиденциальной информации любым способом любому лицу или группе лиц, не имеющих доступ к этой информации в силу своих служебных обязанностей.

15.4. Не признается разглашением конфиденциальной информации передача информации, выданной в форме справок и иных документов Эмитенту, а также другим организациям в соответствии с законодательством Российской Федерации.

XVI. Иные существенные условия обращения Облигаций

16.1. В случае

- приостановления действия или аннулирования соответствующих лицензий, имеющихся у владельцев Облигаций;

- применения к владельцам Облигаций процедуры банкротства;

- ликвидации организации - владельца Облигаций или ее реорганизации, если вновь созданное юридическое лицо не имеет право приобретать Облигации, владелец Облигаций обязан в течение 2 (двух) рабочих дней уведомить Агента о наступлении того или иного случая, перечисленного в данном пункте.

16.2. В течение 3 (трех) рабочих дней после наступления любого из случаев, указанных в пункте 16.1 настоящего Положения, Инвестор обязан предъявить Облигации к выкупу в порядке, установленном разделом 9 настоящего Положения.

16.3. При несвоевременном информировании владельцем Облигаций Агента о наступлении одного из перечисленных в пункте 16.1 настоящего Положения случаев или выявлении Агентом незаконного владения Облигациями владелец Облигаций обязан вернуть весь выплаченный Эмитентом процентный доход за все время незаконного владения Облигациями согласно статье 303 Гражданского кодекса Российской Федерации и уплатить Эмитенту штраф исходя из ставки рефинансирования Банка России, действующей на дату получения информации о незаконном владении Облигациями, и суммы денежных средств, подлежащей возврату Эмитенту (с даты наступления случаев, указанных выше до даты получения информации о незаконном владении Облигациями).

При расчете подлежащих уплате годовых процентов по ставке рефинансирования Банка России число дней в году (месяце) принимается равным 360 (30) дням.

16.4. Владелец Облигаций в течение 2 (двух) рабочих дней после даты выявления незаконного владения Облигациями обязан предъявить их к выкупу в порядке, установленном разделом 9 настоящего Положения, а также зачислить денежные средства, указанные в пункте 16.3 настоящего Положения, на свой Лицевой счет "ГСО" и которые на следующий рабочий день после зачисления на Лицевой счет "ГСО" Инвестора Агент перечисляет на Лицевой счет Эмитента.

В день перечисления указанных денежных средств Эмитенту Агент информирует об их перечислении Эмитенту.

В случае непредъявления Инвестором Облигаций к выкупу в установленный срок Агент обязан проинформировать об этом Эмитента не позднее третьего рабочего дня с даты выявления незаконного владения Инвестором Облигациями.

16.5. Агент периодически осуществляет выборочную проверку Инвесторов на право владения Облигациями.

Приложение 1
к Положению об обслуживании
государственных сберегательных
облигаций, утвержденному
Приказом Министерства финансов
Российской Федерации
от 10.01.2006 N 1н

ПОРЯДОК
ФОРМИРОВАНИЯ РЕГИСТРАЦИОННЫХ КОДОВ ИНВЕСТОРОВ

Регистрационный код Инвестора состоит из 11 символов и имеет следующую структуру: IGSONNWXXXX, где:

IGSO - префикс кода, который указывает на принадлежность к рынку государственных сберегательных облигаций;

NN - региональный код, присвоенный Депозитарием в зависимости от места обслуживания счета депо Инвестора;

W - тип Инвестора:

1 - страховые организации;

2 - негосударственные пенсионные фонды;

3 - акционерные инвестиционные фонды;

4 - Пенсионный фонд Российской Федерации;

5 - государственные внебюджетные фонды Российской Федерации;

6 - управляющие компании, осуществляющие доверительное управление средствами пенсионных накоплений, заключившие договор доверительного управления с негосударственными пенсионными фондами;

7 - управляющие компании, осуществляющие доверительное управление средствами пенсионных накоплений, заключившие договор доверительного управления с Пенсионным фондом Российской Федерации;

8 - управляющие компании, осуществляющие доверительное управление средствами акционерных инвестиционных фондов.

ХХХХ - порядковый номер.

Приложение 2
к Положению об обслуживании
государственных сберегательных
облигаций, утвержденному
Приказом Министерства финансов
Российской Федерации
от 10.01.2006 N 1н

ПОРЯДОК
РАСЧЕТА СРЕДНЕВЗВЕШЕННОЙ ЦЕНЫ ОБЛИГАЦИИ

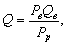
Р = SUM (P_i x Q_i) , где
SUM(Q_i)

P - средневзвешенная цена Облигаций на аукционе;

P_i - цена удовлетворенной конкурентной заявки на аукционе;

Q_i - количество Облигаций по удовлетворенной конкурентной заявке.

Приложение 3
к Положению об обслуживании
государственных сберегательных
облигаций, утвержденному
Приказом Министерства финансов
Российской Федерации
от 10.01.2006 N 1н

СВОДНЫЙ РЕЕСТР ЗАЯВОК, ПРИНЯТЫХ НА АУКЦИОН
день, число/месяц/год

Государственный регистрационный номер ценной бумаги  

Заявка Конкурентные Неконкурентные Итого (конк. и неконк.) Средневзвеш.
Цена % к номиналу Кол-во штук Доходность, % годовых Сумма к погашению нараст. итогом Сумма выручки нараст. итогом Сумма к погашению Сумма выручки Сумма к погашению нараст. итогом Сумма выручки нараст. итогом Цена % к номиналу Доходность % годовых
                     
                     
                     
                     
                     

От ММВБ _________________________

Приложение 4
к Положению об обслуживании
государственных сберегательных
облигаций, утвержденному
Приказом Министерства финансов
Российской Федерации
от 10.01.2006 N 1н

ПОРЯДОК
РАСЧЕТА ГОДОВОЙ ДОХОДНОСТИ ОБЛИГАЦИИ К ПОГАШЕНИЮ

Эффективная годовая доходность к погашению по выпускам Облигаций рассчитывается по формуле:

n                  
P + A = SUM   C_i     +   N    
      ti       T
  i = 1 (1 + Y ) 365   (1 + Y ) 365
    100     100  

Р - цена Облигации;

А - накопленный купонный доход;

Y - эффективная доходность к погашению;

ti - количество дней до выплаты i-го купона;

C_i - величина i-го купона;

n - количество купонов;

T - срок до погашения Облигации;

N - номинальная стоимость Облигации.

А = C_i x (T_i - ti), где
Т_i

C_i - величина i-го купона;

T_i - длительность i-го купонного периода в днях;

ti - число дней до выплаты i-го купона.

где

N - номинальная стоимость Облигации;

r_i - размер i-ой купонной ставки;

T_i - длительность i-го купонного периода в днях.

Приложение 5
к Положению об обслуживании
государственных сберегательных
облигаций, утвержденному
Приказом Министерства финансов
Российской Федерации
от 10.01.2006 N 1н

РАСЧЕТ КОЛИЧЕСТВА ОБЛИГАЦИЙ, ПОЛУЧАЕМЫХ ИНВЕСТОРАМИ В РЕЗУЛЬТАТЕ ОБМЕНА

Q_о = Q + 1 ,

где:

Q_о - количество Облигаций, получаемых Инвестором по результатам обмена;

где:

Qв - количество Облигаций, предъявленных Инвестором к обмену;

P_в - стоимость одной Облигации, выкупаемой у Инвесторов при обмене;

P_р - стоимость размещения одной Облигации (облигации федеральных займов) при обмене.

Примечание:

Величина Q всегда округляется в меньшую сторону до целого.

При проведении данного расчета стоимость одной выкупаемой Облигации и стоимость размещения одной Облигации (облигации федеральных займов) указываются в рублях с учетом НКД, рассчитанного на дату проведения обмена.

Приложение 6
к Положению об обслуживании
государственных сберегательных
облигаций, утвержденному
Приказом Министерства финансов
Российской Федерации
от 10.01.2006 N 1н

РАСЧЕТ СУММЫ ДЕНЕЖНЫХ СРЕДСТВ, ПЕРЕЧИСЛЯЕМОЙ ИНВЕСТОРОМ ЭМИТЕНТУ ПО РЕЗУЛЬТАТАМ ОБМЕНА

где:

D - сумма денежных средств, перечисляемая Инвестором Эмитенту по результатам обмена;

где:

Q_в - количество Облигаций, предъявленных Инвестором к обмену;

P_в - стоимость одной Облигации, выкупаемой у Инвесторов при обмене;

P_р - стоимость размещения одной Облигации (облигации федеральных займов) при обмене.

Примечание:

Величина Q всегда округляется в меньшую сторону до целого.

При проведении данного расчета стоимость одной выкупаемой Облигации и стоимость размещения одной Облигации (облигации федеральных займов) указываются в рублях с учетом НКД, рассчитанного на дату проведения обмена.

Приложение 7
к Положению об обслуживании
государственных сберегательных
облигаций, утвержденному
Приказом Министерства финансов
Российской Федерации
от 10.01.2006 N 1н

РАСЧЕТ ЦЕНЫ ВЫКУПА ОБЛИГАЦИЙ, В ДАТЫ, ОТЛИЧНЫЕ ОТ ДАТ, ОПРЕДЕЛЕННЫХ В РЕШЕНИИ О ВЫПУСКЕ ОБЛИГАЦИЙ

P - цена Облигации;

A - накопленный купонный доход;

Y - доходность к погашению (выкупу);

ti - количество дней до выплаты i-го купона;

C_i - величина i-го купона;

n - количество купонов;

N - номинальная стоимость Облигации;

Т - срок до погашения Облигаций.

Y_j - средневзвешенная доходность по выбранному выпуску облигаций федеральных займов на рынке ГКО/ОФЗ для j-ой торговой сессии;

V_j - оборот по выбранному выпуску облигаций федеральных займов на рынке ГКО/ОФЗ в j-ую торговую сессию.