Качество воздуха. Обработка данных по температуре, давлению и влажности. ГОСТ р ИСО 8756-2005

(утв. Приказом Ростехрегулирования от 31.05.2005 N 109-СТ)
Редакция от 31.05.2005 — Действует с 01.04.2006

ФЕДЕРАЛЬНОЕ АГЕНТСТВО ПО ТЕХНИЧЕСКОМУ РЕГУЛИРОВАНИЮ И МЕТРОЛОГИИ

НАЦИОНАЛЬНЫЙ СТАНДАРТ РОССИЙСКОЙ ФЕДЕРАЦИИ

КАЧЕСТВО ВОЗДУХА
ОБРАБОТКА ДАННЫХ ПО ТЕМПЕРАТУРЕ, ДАВЛЕНИЮ И ВЛАЖНОСТИ

Air quality. Handling of temperature, pressure and humidity data

ГОСТ Р ИСО 8756-2005

Дата введения - 2006-04-01

Предисловие

Задачи, основные принципы и правила проведения работ по государственной стандартизации в Российской Федерации установлены ГОСТ Р 1.0-92 "Государственная система стандартизации Российской Федерации. Основные положения" и ГОСТ Р 1.2-92 "Государственная система стандартизации Российской Федерации. Порядок разработки государственных стандартов"

Сведения о стандарте

1 ПОДГОТОВЛЕН Открытым акционерным обществом "Научно-исследовательский центр контроля и диагностики технических систем" (ОАО "НИЦ КД") на основе собственного аутентичного перевода стандарта, указанного в пункте 4

2 ВНЕСЕН Техническим комитетом по стандартизации ТК 457 "Качество воздуха"

3 УТВЕРЖДЕН И ВВЕДЕН В ДЕЙСТВИЕ Приказом Федерального агентства по техническому регулированию и метрологии от 31 мая 2005 г. N 109-ст

4 Настоящий стандарт идентичен международному стандарту ИСО 8756:1994 "Качество воздуха. Обработка данных по температуре, давлению и влажности" (ISO 8756:1994 "Air quality - Handling of temperature, pressure and humidity data")

5 ВВЕДЕН ВПЕРВЫЕ

Информация об изменениях к настоящему стандарту публикуется е указателе "Национальные стандарты", а текст изменений - в информационных указателях "Национальные стандарты". В случае пересмотра или отмены настоящего стандарта соответствующая информация будет опубликована в информационном указателе "Национальные стандарты"

Настоящий стандарт не может быть полностью или частично воспроизведен, тиражирован и распространен в качестве официального издания без разрешения Федерального агентства по техническому регулированию и метрологии

1. Область применения

Настоящий стандарт устанавливает методы корректировки результатов измерений качества воздуха введением поправок на изменения температуры, давления и влажности за период отбора проб, а также стандартные условия по температуре, давлению и влажности, используемые при представлении результатов.

Настоящий стандарт применяют при обработке результатов измерений качества атмосферного воздуха, воздуха рабочей зоны, а также измерений выбросов стационарных источников.

2. Корректировка результатов измерений качества воздуха в связи с изменением температуры, давления и влажности в течение определенного периода отбора проб

2.1 Атмосферный воздух и воздух рабочей зоны

2.1.1 Общие положения

Атмосферные температура, давление и влажность изменяются за период отбора проб, который имеет продолжительность от нескольких минут до нескольких недель, в зависимости от места (воздух рабочей зоны или атмосферный воздух) и цели проведения измерений. Давление и абсолютная влажность изменяются медленно, а температура изменяется внезапными скачками. Например, изменение давления в течение суток составляет 4000 Па и происходит плавно со скоростью 200 Па/ч, а изменения температуры достигают 20 °С в течение нескольких часов, хотя в отапливаемых помещениях рабочей зоны температура остается постоянной. В некоторых производственных помещениях промышленных цехов (например возле доменных печей) изменения температуры могут быть внезапными и сильными.

В зависимости от методов измерения качества воздуха изменяется влияние влажности на объем отобранной пробы воздуха. Учет влияния влажности зависит от используемого метода.

2.1.2 Период отбора проб длительностью до 15 мин

Атмосферные температура, давление и влажность изменяются незначительно в течение любого периода длительностью до 15 мин, и поэтому поправки на изменения не нужны.

В данном случае атмосферные температуру и давление (при необходимости абсолютную или относительную влажность) измеряют во время отбора проб.

2.1.3 Период отбора проб длительностью до 1 ч

Атмосферное давление почти не изменяется за период отбора проб длительностью до 1 ч, но температура может претерпевать значительные изменения даже при нормальных погодных условиях.

Атмосферное давление измеряют один раз во время периода отбора проб, температуру - в начале и конце периода отбора проб, при этом записывают среднее значение. При необходимости абсолютную или относительную влажность за период отбора проб измеряют один раз, предпочтительно в середине периода.

2.1.4 Период отбора проб длительностью до 12 ч

Атмосферные температуру и давление (при необходимости абсолютную или относительную влажность) измеряют в начале периода отбора проб и затем через каждый 1 ч. При расчете результатов измерений используют средние значения.

Если невозможно измерить температуру, давление и влажность в пределах часовых интервалов, измерения проводят с максимальной частотой на протяжении всего периода отбора проб и затем рассчитывают средневзвешенные по времени значения (см. примечание 1).

Если невозможно измерить температуру, давление и влажность во время отбора пробы, измерения проводят в начале и конце периода отбора проб, а при следующей обработке результатов измерений используют средние значения. Эта процедура менее точная, чем использование средневзвешенных по времени значений.

Частота измерений температуры, давления и влажности зависит от их изменений за время отбора проб и допускаемой погрешности проводимых измерений. Необходимость измерения влажности устанавливают в соответствии с используемым методом измерения качества воздуха.

Примечание 1 - Средневзвешенные по времени значения не дают среднего по времени значения за период отбора проб, но разница между истинным средним значением и средневзвешенным по времени значением является незначительной и существенно не влияет на общую ошибку текущего измерения параметра качества воздуха.

2.1.5 Период отбора проб длительностью более 12 ч

Температуру, давление и абсолютную или относительную влажность измеряют в начале периода отбора проб. Показания записывают через короткие интервалы времени (предполагаемая длительность интервала - 6 ч) в течение периода отбора проб для получения точного среднего значения для всего периода. Необходимость измерения влажности зависит от используемого метода измерения качества воздуха. Частота измерений температуры и давления зависит от их колебаний и допускаемой погрешности конечного результата (см. примечание 1).

Для периодов отбора проб длительностью 1 неделя и более при условии, что записывающие устройства недоступны, используют термометры максимума и минимума для записи ежедневных значений экстремумов.

2.2 Выбросы стационарных источников

2.2.1 Общие положения

Изменения атмосферных давления, температуры и влажности имеют незначительное влияние на результаты измерения выбросов из-за трудности и неточности отбора проб газообразных выбросов из промышленных цехов.

Объемы отобранного газа приводят к соответствующим температуре и давлению, а объемы влажного газа - к сухой массе, даже если газ в объеме (или потоке) измерительного устройства не является сухим.

2.2.2 Периоды отбора проб любой длительности

Отбор проб газообразных выбросов проводят в соответствии с используемой методикой выполнения измерений и с учетом измерений температуры, давления и влажности выбросов.

3. Стандартные условия по температуре, давлению и влажности

Параметры качества воздуха измеряют при разных значениях температуры, давления и влажности. Результаты приводят к стандартным условиям для достоверного сравнения измеренных параметров качества воздуха в различных местах, разное время и различных климатических условиях.

Для методов измерения качества воздуха рекомендуется считать стандартными следующие условия:

- давление- 101,3 кПа;

- температура - 273 К (0 °С).

Влияние влажности на объем пробы различно для разных методов измерения. Стандартное значение влажности используют только тогда, когда это возможно (например при измерении выбросов стационарных источников), из-за сложности корректировки результатов.

В данных случаях стандартное значение влажности - ноль (сухой газ) <1>.

<1> Термодинамические свойства пара являются справочными данными [1], [2].

4. Представление результатов измерений качества воздуха

Стандартные температура и давление, приведенные в разделе 3, не соответствуют температуре и давлению, характерным для обычных условий проведения измерений в разных регионах земного шара, что затрудняет сравнимость результатов измерений качества воздуха.

Результаты измерений качества воздуха представляют следующим образом:

а) указывают температуру и давление (при необходимости влажность), при которых проводили измерения (см. примечание 2);

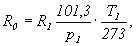
b) приводят к стандартным условиям, используя следующую формулу

(1)

где R_0 - результат, выраженный в единицах массы на единицу объема воздуха, кг/м3, или количества вещества на единицу объема воздуха, моль/м3, при стандартных температуре и давлении;

R_1 - результат, выраженный в единицах массы на единицу объема воздуха, кг/м3, или количества вещества на единицу объема воздуха, моль/м3, при температуре Т_1, К, и давлении p_1, кПа. (см. примечания 2 и 3);

с) приводят ссылку на установленные стандартные условия для проверки соответствия национальным стандартам и директивам, например, 20 °С или 25 °С и 101,3 кПа для воздуха рабочей зоны и атмосферного воздуха.

Примечание 2 - Значения температуры Т_1 и давления p_1, при которых проводили измерения, выражают единичными, средними, средневзвешенными по времени значениями в соответствии с разделом 2.

Примечание 3 - Учет поправки на влажность не включен. В подобном случае используют процедуру, указанную в конкретной методике выполнения измерений качества воздуха.

Библиография

[1] Keenan J.N., Keyes F.G., Hill P.G., Moore J.G. Steam Tables; Thermodynamic Properties of Water Including Vapour, Liquid and Solid Phases (International System of Units - S.I.): New York, Chichester, Brisbane, Toronto: John Wiley and Sons, 1978

[2] Schmidt E. Properties of Water and Steam In Si-Units; 0 - 800 °C, 0 - 1000 bar 3rd, enl. Print./ed. By Ulrich Grigull; Berlin, Heidelberg, New York: Springer; Munchen: Oldenbourg, 1982