ГОСУДАРСТВЕННЫЙ СТАНДАРТ РОССИЙСКОЙ ФЕДЕРАЦИИ
ЧИСТЫЕ ПОМЕЩЕНИЯ И СВЯЗАННЫЕ С НИМИ КОНТРОЛИРУЕМЫЕ СРЕДЫ
ЧАСТЬ 1
КЛАССИФИКАЦИЯ ЧИСТОТЫ ВОЗДУХА
Cleanrooms and associated controlled environments - Part 1: Classification of air cleanliness (IDT)
ГОСТ ИСО 14644-1-2002
Дата введения 2004-04-01
Предисловие
Евразийский совет по стандартизации, метрологии и сертификации (ЕАСС) представляет собой региональное объединение национальных органов по стандартизации государств, входящих в Содружество Независимых Государств. В дальнейшем возможно вступление в ЕАСС национальных органов по стандартизации других государств.
Цели, основные принципы и основной порядок проведения работ по межгосударственной стандартизации установлены ГОСТ 1.0-92 "Межгосударственная система стандартизации. Основные положения", ГОСТ 1.2-97 "Межгосударственная система стандартизации. Стандарты межгосударственные, правила, рекомендации по межгосударственной стандартизации. Порядок разработки, принятия, применения, обновления и отмены"
Сведения о стандарте
1 ПОДГОТОВЛЕН Общероссийской общественной организацией "Ассоциацией инженеров по контролю микрозагрязнений" (АСИНКОМ) и Техническим комитетом по стандартизации ТК 184 "Обеспечение промышленной чистоты"
2 ВНЕСЕН Госстандартом России
3 ПРИНЯТ Евразийским советом по стандартизации, метрологии и сертификации (протокол N 21 от 30 мая 2002 г.)
За принятие проголосовали:
4 Настоящий стандарт идентичен международному стандарту ИСО 14644-1-99 "Чистые помещения и связанные с ними контролируемые среды. Часть 1: Классификация чистоты воздуха" (Cleanrooms and associated controlled environments - Part 1: Classification of air cleanliness)
Постановлением Государственного комитета Российской Федерации по стандартизации и метрологии от 10 июня 2003 г. N 190-ст межгосударственный стандарт ГОСТ ИСО 14644-1-2002 введен в действие с 1 апреля 2004 г.
Введение
Чистые помещения и связанные с ними контролируемые среды предназначены для поддержания чистоты воздуха в определенных пределах в зависимости от требований процессов, чувствительных к загрязнениям.
Чистые помещения необходимы для производства продукции в таких отраслях как аэрокосмическая, микроэлектронная, фармацевтическая и пищевая промышленность, производство медицинских изделий и здравоохранение.
Настоящий стандарт определяет классы чистоты, которые следует использовать для обозначения чистоты воздуха в чистых помещениях и связанных с ними контролируемых средах, а также методы определения и порядок обозначения классов чистоты.
Настоящий стандарт входит в серию стандартов, связанных с чистыми помещениями и контролем загрязнений. При проектировании, задании требований, эксплуатации и контроле чистых помещений и других контролируемых сред следует учитывать многие другие факторы, кроме загрязнения частицами. Эти факторы рассматриваются в других частях международных стандартов, разрабатываемых ИСО/ТК 209.
При необходимости соответствующие органы могут вводить дополнительные условия и ограничения. В таких случаях может потребоваться корректировка применяемых методов контроля.
Серия международных стандартов ИСО 14644 подготовлена Техническим комитетом ИСО/ТК 209 Cleanrooms and associated controlled environments - Чистые помещения и связанные с ними контролируемые среды:
- Часть 1. Классификация чистоты воздуха
- Часть 2. Требования к контролю и мониторингу для подтверждения непрерывного соответствия стандарту ГОСТ Р ИСО 14644-1
- Часть 3. Методы испытаний
- Часть 4. Проектирование, строительство и ввод в эксплуатацию
- Часть 5. Эксплуатация
- Часть 6. Термины и определения
- Часть 7. Специальные устройства обеспечения чистоты.
Части 3, 5, 6 и 7 находятся в стадии разработки и их наименования могут уточняться.
1. Область применения
Настоящий стандарт устанавливает классы чистоты воздуха по концентрации взвешенных частиц (аэрозолей) в чистых помещениях и чистых зонах. Для целей классификации рассматриваются только аэродисперсные множества частиц с кумулятивным распределением концентрации частиц с размерами частиц в диапазоне 0,1-5,0 мкм.
Настоящий стандарт не дает классификацию аэродисперсных множеств, размеры частиц которых находятся вне установленного диапазона (0,1-5,0 мкм). Концентрации ультрамелких частиц (менее 0,1 мкм) и макрочастиц (более 5,0 мкм) могут использоваться для количественного описания таких аэродисперсных систем с помощью U-дескрипторов и М-дескрипторов соответственно.
Настоящий стандарт не может быть использован для характеристики физической, химической, радиологической природы аэрозолей, а также жизнеспособных частиц.
Примечание - Фактическое распределение концентраций частиц в более широких пределах размеров обычно непредсказуемо и, как правило, является переменным во времени.
2. Термины и определения
В настоящем стандарте используют следующие термины с соответствующими определениями:
2.1 Общая часть
2.1.1 чистое помещение (cleanroom): Помещение, в котором контролируется концентрация взвешенных в воздухе частиц, построенное и используемое так, чтобы свести к минимуму поступление, выделение и удержание частиц внутри помещения, и позволяющее, по мере необходимости, контролировать другие параметры, например, температуру, влажность и давление.
2.1.2 чистая зона (clean zone): Пространство, в котором контролируется концентрация взвешенных в воздухе частиц, построенное и используемое так, чтобы свести к минимуму поступление, выделение и удержание частиц внутри зоны, и позволяющее, по мере необходимости, контролировать другие параметры, например, температуру, влажность и давление.
Примечание - Чистая зона может быть открытой или замкнутой и находиться как внутри, так и вне чистого помещения.
2.1.3 система чистого помещения (installation): Чистое помещение, или одна или несколько чистых зон со всеми относящимися к ним структурами, системами подготовки воздуха, обслуживания и утилизации.
2.1.4 класс чистоты (classification): Уровень чистоты по взвешенным в воздухе частицам, применимый к чистому помещению или чистой зоне, выраженный в терминах "Класс N ИСО", который определяет максимально допустимые концентрации (частиц/м3) для заданных диапазонов размеров частиц.
Примечания
1 Концентрация определяется по уравнению (1) в 3.2.
2 В соответствии с настоящим стандартом классы чистоты ограничены пределами от класса 1 ИСО до класса 9 ИСО.
3 Пороговые значения размеров частиц (нижние пороговые значения), применяемые для классификации по настоящему стандарту, находятся в диапазоне 0,1-5,0 мкм. Для пороговых размеров частиц, находящихся вне этого диапазона, чистота воздуха может быть определена (но не классифицирована) при помощи U- или М-дескрипторов (2.3.1 или 2.3.2)*.
<*> Пороговый размер частиц ограничивает снизу диапазон размеров частиц, по которым определяется класс чистоты воздуха.
4 Промежуточные классификационные числа ИСО могут быть определены с наименьшим допустимым приращением 0,1, т. е. ряд промежуточных классов ИСО расширяется от класса 1,1 ИСО до класса 8,9 ИСО.
5 Класс чистоты может быть определен для любого из трех состояний чистых помещений (2.4).
2.2 Взвешенные в воздухе частицы - аэрозоли (airborne particles)
2.2.1 частица (particle): Твердый или жидкий объект, который в целях классификации чистоты воздуха характеризуется совокупным распределением, основанным на пороговом размере (нижнем пределе) в диапазоне 0,1-5,0 мкм.
2.2.2 размер частиц (particle size): Диаметр сферы, которая в контролирующем приборе дает отклик, равный отклику от оцениваемой частицы.
Примечание - Для дискретных счетчиков частиц, работающих на принципе рассеяния света, используется эквивалентный оптический диаметр.
2.2.3 концентрация частиц (particle concentration): Число отдельных частиц в единице объема воздуха.
2.2.4 распределение частиц по размерам (particle size distribution): Кумулятивное распределение концентрации частиц в зависимости от их размеров.
2.2.5 ультрамелкая частица (ultrafine particle): Частица с эквивалентным диаметром менее 0,1 мкм.
2.2.6 макрочастица (macroparticle): Частица с эквивалентным диаметром более 5,0 мкм.
2.2.7 волокно (fibre): Частица вытянутой формы, длина которой превышает ширину в 10 или более раз.
2.3 Дескрипторы (descriptors)
2.3.1 U-дескриптор (U-descriptor): Концентрация частиц в 1 м3 воздуха, включая ультрамелкие частицы.
Примечание - U-дескриптор может рассматриваться как верхний предел для средних значений в точках отбора проб (или как верхний доверительный предел, зависящий от числа точек отбора проб, по которому оценивается чистое помещение или чистая зона). U-дескрипторы не могут использоваться для определения классов чистоты по взвешенным в воздухе частицам, но они могут указываться независимо или совместно с классами чистоты по взвешенным в воздухе частицам.
2.3.2 М-дескриптор (M-descriptor): Концентрация макрочастиц в 1 м3 воздуха, выраженная через эквивалентный диаметр, который характеризует используемый метод контроля.
Примечание - М-дескриптор может рассматриваться как верхний предел для средних значений в точках отбора проб (или как верхний доверительный предел, зависящий от числа точек отбора проб, по которому оценивается чистое помещение или чистая зона). М-дескрипторы не могут использоваться для определения классов чистоты по взвешенным в воздухе частицам, но они могут указываться независимо или совместно с классами чистоты по взвешенным в воздухе частицам.
2.4 Состояния чистого помещения (occupancy states)
2.4.1 построение (as-built): Состояние, в котором монтаж чистого помещения завершен, все обслуживающие системы подключены, но отсутствует производственное оборудование, материалы и персонал.
2.4.2 оснащенное (at-rest): Состояние, в котором чистое помещение укомплектовано оборудованием и действует по соглашению между заказчиком и исполнителем, но персонал отсутствует.
2.4.3 эксплуатируемое (operational): Состояние, в котором чистое помещение функционирует установленным образом, с установленной численностью персонала, работающего в соответствии с документацией.
3. Классы чистоты
3.1 Состояния чистого помещения
При определении класса чистоты указывается состояние чистых помещений - "построенное", "оснащенное" или "эксплуатируемое" (2.4).
Примечание - Следует иметь в виду, что состояние "построенное" может применяться к новым или недавно реконструированным чистым помещениям или чистым зонам. После испытаний в состоянии "построенное" дальнейшие испытания выполняются по согласованию с заказчиком в состояниях "оснащенное", "эксплуатируемое" или в обоих состояниях.
3.2 Классификационное число
Чистота помещения по взвешенным в воздухе частицам обозначается классификационным числом N. Максимально допустимая концентрация частиц Сп, частиц/м3, с размерами, равными или большими заданного размера D, для данного класса чистоты определяется по формуле
где N - классификационное число ИСО, которое не должно превышать значения 9. Промежуточные числа классификации ИСО могут быть определены с наименьшим допустимым приращением N, равным 0,1;
0,1 -константа, мкм;
D - заданный размер частиц, мкм.
С_n округляется до целого числа, при этом используется не более трех значащих цифр. В таблице 1 приведены классы чистоты и соответствующие концентрации частиц с размерами, равными или большими заданных размеров. Графическое представление классов чистоты приведено в приложении А (рисунок А.1). Точное значение величины С_n определяется по формуле (1).
Классы чистоты по взвешенным в воздухе частицам для чистых помещений и чистых зон
Примечание - Из-за неопределенности , связанной с процессом счета частиц, при классификации следует использовать значения концентрации, имеющие не более трех значащих цифр.
3.3 Обозначение класса чистоты
Обозначение класса чистоты по взвешенным в воздухе частицам для чистых помещений и чистых зон включает:
a) классификационное число, выраженное как "Класс N ИСО";
b) состояние чистого помещения;
c) заданные размеры частиц и соответствующие концентрации, определенные по уравнению (1), где каждый заданный пороговый размер частиц находится в пределах 0,1-5,0 мкм.
Пример обозначения:
Класс 4 ИСО; эксплуатируемое состояние; заданные размеры частиц:
Размеры частиц, для которых следует определить концентрацию, должны быть согласованы заказчиком и исполнителем.
Если оценка должна быть сделана для более чем одного размера частиц, то каждый больший диаметр частицы (например, D 2) должен быть, по крайней мере, в 1,5 раза больше ближайшего меньшего диаметра частицы (например, D_1).
Например: D_2 >= 1,5 D_1.
4. Проверка соответствия
4.1 Принцип проверки
Соответствие чистоты воздуха заданным требованиям (классу N ИСО) проверяется по программе испытаний, согласованной заказчиком и исполнителем, с последующим оформлением результатов.
4.2 Испытания
Методика определения классов чистоты дана в приложении В. Можно использовать альтернативный метод, который имеет сопоставимую точность.
Испытания, выполняемые для проверки соответствия, должны проводиться с использованием калиброванных приборов.
4.3 Максимально допустимые концентрации взвешенных в воздухе частиц
После завершения испытаний в соответствии с 4.2 следует рассчитать средние концентрации частиц и 95 %-ный верхний доверительный предел (если это требуется) по формулам, приведенным в приложении С.
Средние концентрации частиц, рассчитанные по формуле С.1, не должны превышать максимально допустимые концентрации частиц, определенных уравнением (1) в 3.2, для заданных размеров (3.3 с).
Если число точек отбора проб более одной и менее десяти, вычисляются 95 %-ные верхние доверительные пределы (В.5.2.1 и С.3), которые не должны превышать максимально допустимые концентрации, установленные выше.
Примечание - Примеры определения классов чистоты приведены в приложении D.
При определении классов чистоты для всех заданных размеров частиц следует использовать один и тот же метод.
4.4 Протокол испытаний
Результаты испытаний каждого чистого помещения или чистой зоны должны быть оформлены в виде подробного протокола с указанием соответствия или несоответствия заданному классу чистоты по взвешенным в воздухе частицам.
Протокол испытаний должен включать:
a) наименование, адрес проверяющий организации и дату проведения испытаний;
b) обозначение настоящего стандарта;
c) четкую планировку испытуемого чистого помещения или чистой зоны (с информацией о сосед них зонах, при необходимости) и координаты всех точек отбора проб;
d) данные о назначении чистого помещения или чистой зоны с указанием классов чистоты, классификацию по ИСО, соответствующее состояние чистых помещений и заданные размеры частиц;
e) данные об использованном методе испытаний, включая любые специальные условия, относящиеся к испытаниям или к отклонениям от метода испытаний, а также данные о приборе для испытаний и копию действующего сертификата калибровки;
f) результаты испытаний, включая данные по концентрации частиц для всех точек отбора проб.
Примечание - Если концентрации ультрамелких частиц или макрочастиц определены количественно (приложение Е), то соответствующая информация должна быть включена в протокол испытаний.
ГРАФИЧЕСКОЕ ПРЕДСТАВЛЕНИЕ КЛАССОВ ЧИСТОТЫ
На рисунке А.1 дано графическое представление классов чистоты воздуха, соответствующее таблице 1 (только с целью иллюстрации). Границы классов ИСО показаны линиями, представляющими максимально допустимые концентрации для данных пороговых размеров частиц. Они основаны на вычислениях по уравнению (1) в 3.2. Поскольку линии только аппроксимируют границы классов, они не должны использоваться в расчетах.
Границы классов, показанные на графике, не могут экстраполироваться за пределами сплошных кружков, которые указывают минимальные и максимальные значения размеров частиц, применяемых для каждого из показанных классов ИСО.
Границы классов не представляют фактических распределений частиц по размерам, имеющих место в чистых помещениях и чистых зонах.
Рисунок А.1. Графическое представление границ классов ИСО
Примечания
1 С_n представляет максимально допустимую концентрацию взвешенных в воздухе частиц (частиц/м3) с размерами, равными или большими заданных значений.
2 N - заданное классификационное число ИСО.
ПРИЛОЖЕНИЕ В
(обязательное)
МЕТОДИКА
ОПРЕДЕЛЕНИЯ КЛАССОВ ЧИСТОТЫ ПРИ ПОМОЩИ ДИСКРЕТНОГО СЧЕТЧИКА ЧАСТИЦ С РАССЕЯНИЕМ СВЕТА
В.1 Принцип работы
Для определения концентрации взвешенных в воздухе частиц с размерами, равными и большими заданных значений, в указанных точках отбора проб используется дискретный счетчик частиц с рассеянием света.
В.2 Требования к счетчику
В.2.1 Счетчик частиц
Дискретный счетчик частиц - прибор с рассеянием света, предназначенный для отбора проб воздуха с регистрацией числа частиц с размерами, равными и большими заданных значений, и используемый для определения концентрации частиц при определенном порядке отбора проб.
В.2.2 Калибровка счетчика
Счетчик частиц должен иметь действующий сертификат калибровки. Периодичность и метод калибровки должны быть основаны на принятой в настоящее время практике.
В.3 Условия до испытаний
В.3.1 Подготовка чистого помещения к испытаниям
Перед испытаниями проверяется соответствие условий и параметров, влияющих на эксплуатационные характеристики чистого помещения или чистой зоны, заданным требованиям. Например, могут проверяться:
a) расход воздуха или скорость воздушного потока;
b) перепад (разность) давления воздуха;
c) герметичность ограждающих конструкций;
d) неплотности (утечки) в установленных фильтрах.
В.3.2 Подготовка счетчика частиц к работе
Подготовка калиброванного счетчика к работе производится в соответствии с инструкциями изготовителя.
В.4 Отбор пробы
В.4.1 Определение точек отбора проб
В.4.1.1 Определяется минимальное число точек отбора проб N_L по формуле
где А - площадь чистого помещения или чистой зоны, м2.
Минимальное число точек отбора проб округляют до большего целого числа.
Примечание - В случае однонаправленного горизонтального воздушного потока площадь А может рассматриваться как площадь поперечного сечения потока воздуха, перпендикулярного к направлению потока.
В.4.1.2 Точки отбора проб равномерно распределяются по площади чистого помещения или чистой зоны на высоте рабочего места.
Если заказчик указывает дополнительные точки отбора проб, их число и расположение должны быть точно определены.
Примечание - Дополнительными точками отбора проб могут быть критические точки, полученные при анализе риска.
В.4.2 Определение объема пробы для заданной точки отбора
В.4.2.1 Объем пробы рассчитывается в предположении, что в ней должно содержаться не менее 20 частиц с размерами, соответствующими наибольшему из заданных пороговых значений, причем концентрация частиц равна максимально допустимой для данного класса ИСО.
Минимальный объем пробы V_s, л, в одной точке отбора (кроме случая по 4.2.2) рассчитывается по формуле
где 20 - число частиц, которые могли бы быть сосчитаны, если бы концентрация частиц находилась на границе указанного класса;
C_n,m - максимально допустимая концентрация частиц (граница класса) для наибольшего порогового размера (из заданных размеров) частиц для данного класса чистоты.
Примечание - Для очень большого значения V_s время, требуемое для отбора пробы, может быть велико. Требуемые объем пробы и время отбора можно сократить, используя процедуру последовательного отбора проб (приложение F).
В.4.2.2 В каждой точке необходимо отобрать пробу воздуха объемом не менее 2 л. Минимальное время отбора пробы равно 1 мин.
В.4.3 Процедура отбора проб
В.4.3.1 Работа со счетчиком частиц выполняется в соответствии с инструкциями изготовителя при наличии сертификата калибровки (В.2.1-В.2.2).
В.4.3.2 Пробоотборный зонд должен быть установлен навстречу воздушному потоку. Если направление воздушного потока, из которого производится отбор пробы, не контролируется или непредсказуемо (например, неоднонаправленный воздушный поток), то вход пробоотборного зонда должен быть направлен вертикально вверх.
В.4.3.3 Объем пробы воздуха, отбираемый в каждой точке, должен быть не менее объема, полученного при расчете по В.4.2.
В.4.3.4 Если требуется только одна точка отбора проб (В.4.1), то в ней отбирается не менее трех проб воздуха для заданных размеров частиц.
В.5 Обработка результатов
В.5.1 Средняя концентрация частиц в каждой точке отбора проб
В.5.1.1 Для каждой пробы определяется концентрация частиц по заданным размерам для соответствующего класса чистоты.
Примечание - Перед тем как приступить к вычислению 95 %-ного верхнего доверительного предела следует ознакомиться с требованиями В.5.2.
В.5.1.2 Если точка отбора проб одна, то вычисляются и записываются средние значения по всем пробам для каждого размера частиц (В.4.3.4).
В.5.1.3 Если в каждой точке отбираются две или более проб, то рассчитываются средние концентрации частиц для выбранных размеров по всем пробам (В.5.1.1) согласно методике, приведенной в С.2, и оформляются результаты.
В.5.2 Условия вычисления 95 %-ного верхнего доверительного предела
В.5.2.1 Если число точек отбора проб более одной и менее десяти, то рассчитывается средняя концентрация частиц по всем точкам отбора проб, стандартное отклонение и 95 %-ный верхний доверительной предел, используя значения средних концентраций частиц для всех точек отбора проб (В.5.1) по методике, приведенной в С.3.
В.5.2.2 Если проба отбирается в одной точке или число точек отбора проб равно 10 и более, то 95 %-ный верхний доверительный предел не вычисляется.
В.6 Заключение по результатам испытаний
В.6.1 Требования классификации
Чистое помещение или чистая зона соответствуют заданному классу чистоты воздуха, если средние концентрации частиц в каждой точке отбора проб и, при необходимости, 95 %-ный верхний доверительный предел, рассчитанный согласно В.5.2, не превышают максимально допустимой концентрации, определенной по уравнению (1) в 3.2.
Если результаты испытаний не соответствуют заданному классу, то могут быть выполнены дополнительные испытания в других дополнительных, равномерно распределенных точках отбора проб. Результаты повторных расчетов, включая данные от дополнительных точек отбора проб, следует считать определяющими.
В.6.2 Обработка резко выделяющихся значений (выбросов)
Результат вычисления 95 %-ного верхнего доверительного предела может не соответствовать заданному классу ИСО. Если такое несоответствие является следствием единичного "выброса", вызванного не случайной причиной, а ошибкой в проведении счета, сбоем оборудования или слишком низкой концентрацией частиц из-за очень высокой чистоты воздуха, то этот "выброс" может быть исключен из вычислений при следующих условиях:
a) в повторные вычисления включают данные по всем оставшимся точкам отбора проб;
b) сохраняются не менее трех значений счета при повторных вычислениях;
c) из повторных вычислений исключается не более одного результата счета;
d) предполагаемая причина неправильного счета или слишком низкой концентрации частиц оформляется документально и согласовывается Заказчиком и Исполнителем.
Примечание - Значительные расхождения значений концентрации частиц в точках отбора проб могут быть обоснованными и даже иметь преднамеренный характер в зависимости от назначения испытуемого чистого помещения.
ПРИЛОЖЕНИЕ С
(обязательное)
СТАТИСТИЧЕСКАЯ ОБРАБОТКА ДАННЫХ ПО КОНЦЕНТРАЦИИ ЧАСТИЦ
С.1 Пояснение
При статистической обработке данных оценивается влияние только случайных факторов. Неслучайные факторы (например, ошибочная работа счетчика из-за повреждения или неправильной калибровки) не учитываются при статистической обработке данных.
С.2 Вычисление средней концентрации частиц в точке отбора проб 
Если в точке берется несколько проб, то средняя концентрация частиц в точке /определяется по уравнению
где х_i,1,. .. , x_i,р - концентрации частиц в разных пробах в точке i; р - число проб, взятых в точке i.
Вычисление средней концентрации частиц должно быть выполнено для каждой точки отбора проб, в которой были взяты две или более пробы.
С.3 Вычисление 95 %-ного верхнего доверительного предела
С.3.1 Принцип
Этот метод применим при числе точек отбора проб более одной и менее десяти. В этом случае данная процедура должна использоваться в дополнение к вычислениям по формуле (С.1).
С.3.2 Вычисление средней концентрации частиц по всем точкам отбора проб
Средняя концентрация частиц по всем точкам отбора проб вычисляется по формуле
где _1, . .. ,
_r - средние концентрации частиц в разных точках отбора проб, определенные по формуле (С.1).
г- число точек отбора проб.
Все средние концентрации частиц в разных точках равноценны независимо от числа взятых проб.
С.3.3 Стандартное отклонение средних концентраций частиц по точкам отбора проб S
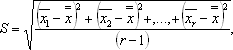
Стандартное отклонение средних концентраций частиц по точкам отбора проб S определяется по формуле
С.3.4 95 %-ный верхний доверительный предел для средней концентрации частиц
95 %-ный верхний доверительный предел, 95 %-ный ВДП, для средней концентрации частиц по всем точкам отбора проб определяют по формуле
где - средняя концентрация частиц по всем точкам отбора проб;
t _0,95 - 95-й процентиль (квантиль) t - распределения Стьюдента с r - 1 степенями свободы; S - стандартное отклонение средних концентраций частиц по точкам отбора проб; г- число точек отбора проб.
Значения процентиля t-распределения Стьюдента для 95 %-ного ВДП t_0,95 приведены в таблице С.1. Кроме того, могут использоваться t-распределения Стьюдента, имеющиеся в статистических компьютерных программах.
Таблица С.1
Значения процентиля t-распределения Стьюдента для 95 %-ного верхнего доверительного предела t_0,95
ПРИМЕРЫ ОПРЕДЕЛЕНИЯ КЛАССОВ ЧИСТОТЫ
D.1 Пример 1
D. 1.1 Рассматривается чистое помещение площадью А - 80 м2. Требуется определить класс чистоты воздуха чистого помещения в эксплуатируемом состоянии.
Заданный класс чистоты воздуха - класс 5 ИСО.
D.1.2 Выбраны два размера частиц: 0,3 мкм (D_1) и 0,5 мкм (D_2):
a) размеры частиц лежат в пределах 0,1-5,0 мкм и соответствуют классу 5 ИСО (3.3 и таблица 1);
b) требование по соотношению размеров частиц удовлетворяются (3.3, с): D_2 >= 1,5 D_1, т. е. 0,5 мкм > (1,5 x 0,3 мкм = 0,45 мкм).
D.1.3 Максимально допустимые концентрации взвешенных в воздухе частиц берутся из таблицы 1, рассчитанной по Формуле (1):
D.1.4 Число точек отбора проб N_L рассчитывается по формуле (В.1)
Полученное минимальное число точек отбора проб равно 9 и, поскольку оно меньше 10, вычисляется 95 %-ный ВДП (приложение С).
D. 1.5 Объем отдельной пробы V_s, л, для наибольшего из заданных размеров частиц (0,5 мкм) рассчитывается по уравнению (В.2)
В соответствии с требованиями настоящего стандарта минимальный объем пробы составляет 2 л, а минимальное время отбора пробы - 1 мин. В данном случае используется счетчик частиц со скоростью отбора проб 28 л/мин. В связи с этим принимается объем каждой пробы, равный 28 л.
Таким образом, этот отбор проб был основан на следующих данных:
a) V_s >= 2л (В.4.2.2);
b) С_n,m > 20 частиц/м3 (В.4.2.1);
c) время отбора >= 1 мин (В.4.2.2).
D.1.6 В данном примере в каждой точке отбора проб берется одна проба объемом 28 л (В.4.2.2). Полученные результаты счета регистрируются (В.5.1.1). Пример заполнения таблицы приводится ниже.
D.1.7 Из первичных данных (D.1.6) рассчитывается число частиц х_i, в 1 м3.
Каждое расчетное значение концентрации для частиц с размерами >=0,3 мкм и >=0,5 мкм меньше максимально допустимых значений, установленных в D.1.3.
Это удовлетворяет первой части методики определения классов чистоты (В.6.1) и поэтому вычисляется 95%-ный ВДП (приложение С).
D.1.8 Вычисление средних концентраций частиц в точках отбора проб по уравнению (С.1) не проводится, поскольку в каждой точке берется только одна проба. Средние концентрации частиц по всем точкам отбора проб рассчитываются по формуле (С.2):
D.1.9 Стандартные отклонения средних концентраций частиц по всем точкам отбора проб рассчитываются по формуле (С.З):
D.1.10 95 %-ные верхние доверительные пределы для средних концентраций частиц по всем точкам отбора проб и для заданных размеров частиц рассчитываются по уравнению (С.4). Поскольку число точек отбора проб r = 9, то значение квантиля t-распределения для этого количества точек, взятое из таблицы С.1, будет равно 1,9.
D.1.11 Заключение по результатам испытаний выполняется согласно В.6.1.
В D.1.7 показано, что концентрация частиц в каждой пробе меньше предельно допустимой концентрации частиц для данного класса. В D.1.10 показано, что расчетные значения 95 %-ного ВДП также меньше максимально допустимых значений, установленных в D.1.3.
Таким образом, чистота по взвешенным в воздухе частицам для чистого помещения удовлетворяет заданному классу.
D.2 Пример 2
D.2.1 Этот пример показывает влияние вычислений 95 %-ного ВДП на результаты.
Для чистого помещения задан класс 3 ИСО в эксплуатируемом состоянии. Число точек отбора проб равно 5. Поскольку число точек отбора проб более одной и менее десяти, то проводится вычисление 95 %-ного ВДП согласно приложению С.
В примере рассматриваются частицы с размерами D >= 0,1 мкм.
D.2.2 Максимально допустимая концентрация частиц для класса 3 ИСО для этих размеров D >= 0,1 мкм берется из таблицы 1: С_n для размеров >= 0,1 мкм = 1000 частиц/м3.
D.2.3 В каждой точке отбора проб берется только один объем пробы (В.5.1.1). Число частиц х_i, в 1 м3 определяется для каждой точки отбора проб и записывается в таблицу.
Каждое значение концентрации частиц с размерами D >= 0,1 мкм меньше максимально допустимой концентрации, установленной в D.2.2. Этот результат удовлетворяет первой части классификации (В.6.1). Далее вычисляется 95 %-ный ВДП согласно приложению С.
D.2.4 Средние концентрации частиц по всем точкам отбора проб рассчитываются по формуле (С.2).
D.2.5 Стандартное отклонение средних концентраций частиц S в точках отбора проб рассчитывается по формуле (С.3)
Поскольку число точек отбора проб r - 5, то значение процентиля f-распределения для этого количества точек, взятое из таблицы С.1, равно 2,1.
Этот пример показывает влияние одного "выброса", т. е. слишком низкой концентрации частиц в точке 5, на результат проверки по критерию 95 %-ного верхнего доверительного предела.
Поскольку вывод о несоответствии чистоты воздуха заданным требованиям основан на невыполнении критерия по 95 %-ному ВДП и является следствием единственного значения низкой концентрации частиц, то, следуя процедуре, приведенной в В.6.2, можно определить, есть ли основание пренебречь этим несоответствием.
ПРИЛОЖЕНИЕ Е
(справочное)
ОСОБЕННОСТИ СЧЕТА И ОЦЕНКИ РАЗМЕРОВ ЧАСТИЦ, НАХОДЯЩИХСЯ ВНЕ ДИАПАЗОНА РАЗМЕРОВ, ИСПОЛЬЗУЕМОГО ДЛЯ КЛАССИФИКАЦИИ
Е.1 Область применения
В некоторых случаях, обычно связанных со специфическими требованиями процесса, могут быть заданы другие уровни чистоты воздуха для множества частиц, размеры которых находятся вне диапазона размеров, применяемого при классификации. Максимально допустимая концентрация таких частиц и выбор метода испытаний, которым проверяется соответствие требованиям, являются предметом соглашения между заказчиком и исполнителем. Особенности метода испытаний и обозначения даны в Е.2 (для U-дескрипторов) и Е.З (для М-дескрипторов).
Е.2 Частицы размером менее 0,1 мкм (ультрамелкие частицы) - U-дескриптор
Е.2.1 Требования к отбору проб
Если необходимо оценить риск загрязнения, связанный с частицами размером менее 0,1 мкм, то должны быть использованы пробоотборники и процедуры измерения, учитывающие особенности характеристик таких частиц.
Число точек отбора проб m должно быть установлено в соответствии с В.4.1, и минимальный объем пробы V_s должен составлять не менее 2 л (В.4.2.2).
Е.2.2 Обозначение U-дескриптора
U-дескриптор может использоваться самостоятельно или как дополнение к классу чистоты. U-дескриптор обозначается как
где х - максимально допустимая концентрация ультрамелких частиц (число ультрамелких частиц в 1 м3 воздуха);
у - размер частицы, мкм, для которого используемый счетчик считает частицы с 50 %-ной эффективностью.
Пример. Чтобы выразить максимально допустимую концентрацию ультрамелких частиц 140000 частиц/м3 с размерами >= 0,01 мкм, следует использовать обозначение: U (140000; 0,01 мкм).
Примечания
1 Соответствующие методы определения концентрации взвешенных в воздухе частиц размером менее чем 0,1 мкм даны в [1].
2 Если U-дескриптор используется как дополнение к классу чистоты по взвешенным в воздухе частицам, то концентрация ультрамелких частиц х должна быть не менее максимально допустимой концентрации частиц (частиц/м3) с размерами >= 0,1 мкм для заданного класса ИСО.
Е.3 Частицы размером более 5,0 мкм (макрочастицы) - M-дескриптор
Е.3.1 Требования к отбору проб
Если необходимо оценить риск загрязнения, связанный с частицами размером более 5,0 мкм, то должны быть использованы пробоотборники и процедуры измерения, учитывающие особенности характеристик таких частиц.
Поскольку при выделении частиц в производственном процессе обычно преобладают макрочастицы, то выбор пробоотборника и метод контроля должны учитывать особенности производства и специфику работы чистых помещений. Следует учесть такие факторы, как плотность, форма, объем и аэродинамическое поведение частиц, а также обратить особое внимание на такие специфические виды взвешенных в воздухе частиц как волокна.
Е.3.2 Обозначение M-дескриптора
М-дескриптор может использоваться самостоятельно или как дополнение к классам чистоты ИСО. М-дескриптор обозначается как
где а - максимально допустимая концентрация макрочастиц (число макрочастиц в 1 м3 воздуха);
b -эквивалентный диаметр (диаметры), связанный с используемым методом счета макрочастиц, мкм; c - используемый метод счета.
Примечания
1 Если в отобранной пробе воздуха содержатся волокна, то они могут быть учтены дополнением к М-дескриптору отдельного дескриптора для волокон, имеющего обозначение М_fibre (а; b); с.
Пример 1. Чтобы выразить концентрацию взвешенных в воздухе частиц, равную 10000 частиц/м3 с размерами более 5,0 мкм, с использованием времяпролетного счетчика частиц, с помощью которого определяется аэродинамический диаметр частиц, обозначение должно быть следующим:
М (10000; > 5,0 мкм); времяпролетный счетчик частиц.
Пример 2. Чтобы выразить концентрацию взвешенных в воздухе частиц, равную 1000 частиц/м3, с размерами частиц от 10,0 мкм до 20,0 мкм, полученную с использованием каскадного импактора с последующим измерением размеров и счетом под микроскопом, обозначение должно быть следующим:
М(1000; 10 мкм, ... , 20 мкм); каскадный импактор с последующим определением размеров и счетом частиц под микроскопом.
2 Соответствующие методы определения концентрации взвешенных в воздухе частиц с размерами более 5,0 мкм даны в [2].
3 Если М-дескриптор используется как дополнение к классу чистоты по взвешенным в воздухе частицам, то концентрация макрочастиц а не должна быть больше максимально допустимой концентрации частиц размером 5,0 мкм для заданного класса ИСО.
ПРИЛОЖЕНИЕ F
(справочное)
МЕТОД ПОСЛЕДОВАТЕЛЬНОГО ОТБОРА ПРОБ
F.1 Область применения и ограничения
F.1.1 Область применения
Если концентрация частиц в пробе значительно ниже максимально допустимого значения, применение метода последовательного отбора проб позволяет существенно уменьшить объем и время отбора проб. Экономия времени может быть достигнута и при концентрации, близкой к максимально допустимому значению. Последовательный отбор проб воздуха применяется, в основном, для классов 1 ИСО -4 ИСО<*>.
<*> Последовательный отбор проб воздуха эффективен также для класса 5 ИСО по частицам с размерами > 5,0 мкм, контроль которых предусмотрен Правилами GMP.
Примечание - Более полная информация относительно последовательного отбора проб изложена в [3].
F.1.2 Ограничения
Главные ограничения метода последовательного отбора проб:
a) метод применяется только в тех случаях, когда для отбора пробы с количеством 20 частиц заданных размеров частиц и класса чистоты требуется длительное время;
b) обработка данных требует применения дополнительных методов контроля и анализа, в т. ч. автоматизированных;
c) поскольку проба имеет меньший объем, то точность определения концентрации частиц по этому методу ниже, чем при использовании обычного метода отбора проб по приложению В.
F.2 Основа метода
Метод основан на сравнении наблюдаемого числа частиц С (кумулятивных значений) в реальном времени относительно опорных значений счета, полученных расчетом перед началом отбора проб. Верхний С_в и нижний С_н пределы опорных значений берутся из уравнений:
верхний предел:
где Е - ожидаемое число частиц в пробе при максимально допустимой концентрации их для заданных размеров частиц и класса чистоты.
Для сравнения наблюдаемого числа частиц С и ожидаемого числа частиц Е могут использоваться графический (рисунок F.1) или табличный методы (таблица F.1).
Рисунок F.1. Границы соответствия и несоответствия классам чистоты при использовании метода последовательного отбора проб
На рисунке F.1 по оси абсцисс отложены значения ожидаемого числа частиц Е, если концентрация частиц равна максимально допустимому значению для заданных размеров частиц и класса чистоты (В.4.2). По оси ординат отложены значения наблюдаемого числа частиц С в пробе.
При отборе проб воздуха в каждой точке наблюдаемое число частиц С непрерывно сравнивается с пределами опорных значений счета (С_в и С_н), которые зависят от объема пробы и показаны линиями на рисунке F.1.
Если наблюдаемое число частиц С меньше нижнего предела опорных значений С_н (находятся ниже линии С_н) для соответствующего объема пробы, то чистота воздуха соответствует заданному классу и отбор проб прекращается.
Если наблюдаемое число частиц С превышает верхний предел опорных значений С_в (находятся выше линии С_в) для соответствующего объема пробы, то чистота воздуха не соответствует заданному классу и отбор проб прекращается.
Если наблюдаемое число частиц С остается между верхним С_в и нижним С_н пределами опорных значений счета, то отбор пробы продолжается до тех пор, пока не будет отобрана проба в соответствии с В.4.2, т. е. объем пробы будет соответствовать ожидаемому счету E, равному 20 частицам.
В таблице F.1 представлен эквивалентный метод, в котором фактическое время, затрачиваемое на отбор пробы, сравнивается с долями времени t Величина t - 1,0000 означает время, необходимое для счета 20 частиц, при чистоте воздуха, соответствующей максимально допустимому значению концентрации частиц заданных размеров для данного класса.
Таблица F.1
Верхние и нижние пределы условных долей времени для подтверждения соответствия классу чистоты
Примечание - Доли времени t исчисляются от t = 1,0000, при котором в пробе ожидается 20 частиц.
Фактическое время отбора пробы воздуха с наблюдаемым числом единиц С сравнивается с долями времени t, приведенными в таблице F.1. Если фактическое время отбора пробы окажется меньшим или равным значениям, указанным в столбце 1, то счет прекращается ввиду несоответствия заданному классу чистоты. Если фактическое время отбора пробы больше значений, указанных в столбце 3, то чистое помещение соответствует заданному классу и счет прекращается.
Если фактическое время отбора пробы воздуха остается в интервале между значениями долей времени t в столбцах 1 и 3, то счет продолжается до тех пор, пока объем пробы будет содержать ожидаемое число частиц E = 20, т. е. будет отобрана проба в соответствии с В.4.2. В крайнем случае, потребуется 21 раз сравнивать фактическое время отбора пробы со значениями долей времени t, приведенными в таблице F.1.
F.3 Порядок работы
F.3.1 Рекомендации по отбору проб
Для оценки результатов, полученных при последовательном отборе проб, может использоваться один из двух методов, представленных в F.2. При этом рекомендуется выполнять непрерывный компьютерный анализ данных.
F.3.2 Графический метод сравнения
На рисунке F.1 линиями показаны верхний и нижний пределы опорных значений счета, ограниченные по оси абсцисс ожидаемым числом частиц E = 20, которое соответствует времени (объему) отбора пробы, при котором ожидается 20 частиц заданных размеров для данного класса чистоты.
Наблюдаемое при отборе пробы число частиц С откладывается напротив ожидаемого числа частиц E для такого же объема пробы при максимально допустимой концентрации частиц заданных размеров для данного класса. С течением времени ожидаемое число частиц E увеличивается до E = 20.
При последовательном отборе проб с использованием рисунка F.1 наблюдаемое число частиц С регистрируется и полученные данные сравниваются с верхним С_в и нижним С_н пределами опорных значений, нанесенных на рисунке F.1 линиями.
Если наблюдаемое число частиц С попадает в область выше верхней линии, то отбор пробы в данной точке прекращают из-за несоответствия чистоты воздуха заданному классу.
Если наблюдаемое число частиц С попадает в область ниже нижней линии, то отбор пробы в данной точке прекращают из-за соответствия чистоты воздуха заданному классу.
Если наблюдаемое число частиц С попадает в область между верхней и нижней линиями, то отбор пробы следует продолжить.
Если наблюдаемое число частиц С равно или меньше 20 при E = 20, т. е. не пересекает верхней линии, то чистота воздуха помещения соответствует заданному классу чистоты.
F.3.3 Табличный метод сравнения
В таблице F.1 представлен метод оценки результатов, эквивалентный графическому методу и основанный на уравнениях F.1 - F.2 Время t, равное 1,0000, необходимо для отбора пробы, содержащей 20 частиц заданных размеров для данного класса при максимально допустимой концентрации частиц. В столбцах 1 и 3 приведены доли времени от этого значения.
Для последовательного отбора проб с использованием таблицы F. 1 рассчитывается время, необходимое для отбора 20 частиц при максимальной концентрации частиц заданных размеров для данного класса. Это время условно принимается за единицу (t - 1,0000) и по таблице F.1 относительно него определяются доли времени t. При отборе пробы регистрируется число частиц в зависимости от времени. Фактическое время отбора пробы воздуха с определенным числом частиц сравнивается со значениями времени, представленными в столбцах 1 и 3.
Если время отбора пробы с данным числом частиц меньше или равно представленному в столбце 1, то отбор пробы прекращают из-за несоответствия чистоты воздуха заданному классу.
Если время отбора пробы с данным числом частиц больше представленного в столбце 3, то отбор пробы прекращают ввиду соответствия чистоты воздуха заданному классу.
Если время отбора пробы находится между значениями, указанными в столбцах 1 и 3, то отбор пробы продолжают. Если отбор пробы продолжается до 21-го значения доли времени (в столбце 1) и ни одно значение наблюдаемого числа частиц (из столбца 2) не появилось раньше соответствующей доли времени (из столбца 1), то чистота воздуха соответствует заданному классу.
ПРИЛОЖЕНИЕ Н
БИБЛИОГРАФИЯ
[1] IEST-G-CC1002 Determination of the Concentration of Airborne Ultrafine Particls
(Определение концентрации взвешенных в воздухе ультрамелких частиц) Mount Prospect, Illinois: Institute of Environmental Science and Technology (1999)
[2] IEST-G-CC1003 Measurement of Airborne Macroparticl
(Измерение взвешенных в воздухе макрочастиц)
Mount Prospect, Illinois: Institute of Environmental Science and Technology (1999)
[3] IEST-G-CC1004 Sequential Sampling Plan for Use in Classification of the Particle Cleanliness of Air in Cleanrooms and Clean Zones
(Схема последовательного отбора проб для использования при классификации чистоты воздуха по частицам в чистых помещениях и чистых зонах). Mount Prospect, Illinois: Institute of Environmental Science and Technology (1999)