Распоряжение Правительства Москвы от 16.05.2014 N 242-РП

"Об утверждении Методических рекомендаций по применению методов определения начальной (максимальной) цены контракта, цены контракта, заключаемого с единственным поставщиком (подрядчиком, исполнителем)"
Редакция от 17.04.2018 — Не действует Перейти в действующую
Показать изменения

ПРАВИТЕЛЬСТВО МОСКВЫ

РАСПОРЯЖЕНИЕ
от 16 мая 2014 г. N 242-РП

ОБ УТВЕРЖДЕНИИ МЕТОДИЧЕСКИХ РЕКОМЕНДАЦИЙ ПО ПРИМЕНЕНИЮ МЕТОДОВ ОПРЕДЕЛЕНИЯ НАЧАЛЬНОЙ (МАКСИМАЛЬНОЙ) ЦЕНЫ КОНТРАКТА, ЦЕНЫ КОНТРАКТА, ЗАКЛЮЧАЕМОГО С ЕДИНСТВЕННЫМ ПОСТАВЩИКОМ (ПОДРЯДЧИКОМ, ИСПОЛНИТЕЛЕМ)

(в ред. Распоряжений Правительства Москвы от 03.12.2014 N 711-РП, от 26.12.2014 N 765-РП, от 12.07.2016 N 341-РП, от 06.12.2016 N 639-РП, от 13.12.2016 N 656-РП, от 24.05.2017 N 235-РП, от 10.08.2017 N 411-РП, от 17.04.2018 N 208-РП)

В соответствии с частью 20.1 статьи 22 Федерального закона от 5 апреля 2013 г. N 44-ФЗ "О контрактной системе в сфере закупок товаров, работ, услуг для обеспечения государственных и муниципальных нужд":

1. Утвердить Методические рекомендации по применению методов определения начальной (максимальной) цены контракта, цены контракта, заключаемого с единственным поставщиком (подрядчиком, исполнителем) (приложение). (в ред. Распоряжения Правительства Москвы от 13.12.2016 N 656-РП)

2. Установить, что:

2.1. Департамент экономической политики и развития города Москвы разъясняет заказчикам города Москвы Методические рекомендации по применению методов определения начальной (максимальной) цены контракта, цены контракта, заключаемого с единственным поставщиком (подрядчиком, исполнителем), и иные вопросы, относящиеся к определению начальной (максимальной) цены контракта, цены контракта, заключаемого с единственным поставщиком (подрядчиком, исполнителем). (в ред. Распоряжения Правительства Москвы от 13.12.2016 N 656-РП)

2.2. Департамент экономической политики и развития города Москвы организует проведение экспертными организациями проверки достоверности определения начальной (максимальной) цены контракта, цены контракта, заключаемого с единственным поставщиком (подрядчиком, исполнителем). (в ред. Распоряжений Правительства Москвы от 03.12.2014 N 711-РП, от 13.12.2016 N 656-РП)

Проверку достоверности определения начальной (максимальной) цены контракта (договора) по закупкам, сведения о которых составляют государственную тайну, осуществляют Департамент экономической политики и развития города Москвы и Главное контрольное управление города Москвы, за исключением закупок работ в отношении объектов, проектная документация по которым в соответствии с Градостроительным кодексом Российской Федерации не подлежит государственной экспертизе либо сметная стоимость которых не подлежит проверке достоверности (в том числе текущий ремонт, благоустройство, устройство пешеходных зон, снос, локальные мероприятия, ремонтно-реставрационные работы). (в ред. Распоряжений Правительства Москвы от 12.07.2016 N 341-РП, от 24.05.2017 N 235-РП)

2.2(1). Взаимодействие заказчиков города Москвы и экспертных организаций при проведении проверки достоверности определения начальной (максимальной) цены контракта, цены контракта, заключаемого с единственным поставщиком (подрядчиком, исполнителем), осуществляется с помощью Единой автоматизированной информационной системы торгов города Москвы. (в ред. Распоряжения Правительства Москвы от 03.12.2014 N 711-РП)

2.3. Начальная (максимальная) цена контракта, цена контракта, заключаемого с единственным поставщиком (подрядчиком, исполнителем), указанные в извещениях об осуществлении закупок, размещенных в Единой информационной системе в сфере закупок до дня вступления в силу настоящего распоряжения, не подлежат приведению в соответствие с Методическими рекомендациями по применению методов определения начальной (максимальной) цены контракта, цены контракта, заключаемого с единственным поставщиком (подрядчиком, исполнителем) (пункт 1 настоящего распоряжения). (в ред. Распоряжения Правительства Москвы от 13.12.2016 N 656-РП)

3. Настоящее распоряжение вступает в силу со дня его подписания, за исключением пунктов 1.5 и 2.1.2 приложения к настоящему распоряжению.

Пункт 2.1.2 приложения к настоящему распоряжению вступает в силу с 1 июля 2014 г.

Пункт 1.5 приложения к настоящему распоряжению вступает в силу с 1 января 2015 г.

4. Контроль за выполнением настоящего распоряжения возложить на заместителя Мэра Москвы в Правительстве Москвы по вопросам экономической политики и имущественно-земельных отношений Сергунину Н.А.

Мэр Москвы
С.С. СОБЯНИН

Приложение
к распоряжению
Правительства Москвы
от 16 мая 2014 г. N 242-РП

МЕТОДИЧЕСКИЕ РЕКОМЕНДАЦИИ ПО ПРИМЕНЕНИЮ МЕТОДОВ ОПРЕДЕЛЕНИЯ НАЧАЛЬНОЙ (МАКСИМАЛЬНОЙ) ЦЕНЫ КОНТРАКТА, ЦЕНЫ КОНТРАКТА, ЗАКЛЮЧАЕМОГО С ЕДИНСТВЕННЫМ ПОСТАВЩИКОМ (ПОДРЯДЧИКОМ, ИСПОЛНИТЕЛЕМ)

(в ред. Распоряжений Правительства Москвы от 03.12.2014 N 711-РП, от 26.12.2014 N 765-РП, от 12.07.2016 N 341-РП, от 06.12.2016 N 639-РП, от 13.12.2016 N 656-РП, от 24.05.2017 N 235-РП, от 10.08.2017 N 411-РП, от 17.04.2018 N 208-РП)

1. Общие положения

1.1. Методические рекомендации по применению методов определения начальной (максимальной) цены контракта, цены контракта, заключаемого с единственным поставщиком (подрядчиком, исполнителем)(далее - Методические рекомендации) устанавливают общие правила формирования начальной (максимальной) цены контракта, цены контракта, заключаемого с единственным поставщиком (подрядчиком, исполнителем) (далее - НМЦК), применения методов определения и обоснования НМЦК и источники информации о ценах товаров, работ, услуг, которые могут быть использованы для ее определения. (в ред. Распоряжения Правительства Москвы от 13.12.2016 N 656-РП)

1.2. Настоящие Методические рекомендации применяются органами исполнительной власти города Москвы, государственными учреждениями города Москвы и государственными унитарными предприятиями города Москвы при определении НМЦК в соответствии с Федеральным законом от 5 апреля 2013 г. N 44-ФЗ "О контрактной системе в сфере закупок товаров, работ, услуг для обеспечения государственных и муниципальных нужд" (далее - заказчики города Москвы). (в ред. Распоряжения Правительства Москвы от 13.12.2016 N 656-РП)

1.3. Определение НМЦК, за исключением НМЦК на поставку указанных в пункте 1.3(1) настоящих Методических рекомендаций товаров, если цены (тарифы) на товары, работы, услуги подлежат государственному регулированию или установлены правовыми актами Правительства Москвы, осуществляется заказчиками города Москвы на основании цен (тарифов), утвержденных в установленном порядке. (в ред. Распоряжений Правительства Москвы от 06.12.2016 N 639-РП, от 13.12.2016 N 656-РП)

1.3(1). Определение НМЦК на поставку лекарственных препаратов для медицинского применения осуществляется заказчиками города Москвы в порядке, установленном Министерством здравоохранения Российской Федерации. (в ред. Распоряжения Правительства Москвы от 17.04.2018 N 208-РП)

1.3(2). Пункт утратил силу. (в ред. Распоряжения Правительства Москвы от 17.04.2018 N 208-РП)

1.3(3). Пункт утратил силу. (в ред. Распоряжения Правительства Москвы от 17.04.2018 N 208-РП)

1.4. В случае, если НМЦК равна либо превышает 10 миллионов рублей, заказчики города Москвы до размещения извещения о проведении конкурса, аукциона получают заключения экспертной организации о проверке достоверности определения НМЦК, за исключением формирования НМЦК при осуществлении закупок: (в ред. Распоряжения Правительства Москвы от 03.12.2014 N 711-РП)

1) работ по строительству, реконструкции, реставрации объектов, проектная документация в отношении которых в соответствии с законодательством подлежит государственной экспертизе либо проверке достоверности определения сметной стоимости;

2) товаров, работ, услуг, если НМЦК определяется на основании цен (тарифов), подлежащих государственному регулированию или установленных правовыми актами Правительства Москвы и утвержденных в установленном порядке; (в ред. Распоряжений Правительства Москвы от 06.12.2016 N 639-РП, от 17.04.2018 N 208-РП)

3) подпункт утратил силу. (в ред. Распоряжения Правительства Москвы от 24.05.2017 N 235-РП)

4) товаров, работ, услуг, если НМЦК определяется на основании предельных значений цен, вносимых на рассмотрение Межведомственной рабочей группы по проверке обоснованности заявленных потребностей с начальной (максимальной) ценой контракта от 100 млн.рублей (далее МРГ) Департаментом экономической политики и развития города Москвы и рекомендуемых решением МРГ; (в ред. Распоряжения Правительства Москвы от 12.07.2016 N 341-РП)

5) работ по капитальному ремонту объектов капитального строительства. (в ред. Распоряжения Правительства Москвы от 24.05.2017 N 235-РП)

6) лекарственных препаратов, включенных в перечень жизненно необходимых и важнейших лекарственных препаратов; (в ред. Распоряжения Правительства Москвы от 17.04.2018 N 208-РП)

7) лекарственных препаратов, которые предназначены для назначения пациенту при наличии медицинских показаний (индивидуальная непереносимость, по жизненным показаниям) по решению врачебной комиссии, которое отражается в медицинских документах пациента и журнале врачебной комиссии. (в ред. Распоряжения Правительства Москвы от 17.04.2018 N 208-РП)

1.4(1). Проверка достоверности определения НМЦК (пункт 1.4 настоящих Методических рекомендаций) осуществляется: (в ред. Распоряжения Правительства Москвы от 13.12.2016 N 656-РП)

1.4(1).1. Пункт утратил силу. (в ред. Распоряжения Правительства Москвы от 10.08.2017 N 411-РП)

1.4(1).2. Государственным автономным учреждением города Москвы "Московская государственная экспертиза" в соответствии с государственным заданием по контрактам на выполнение работ в отношении объектов, проектная документация по которым в соответствии с Градостроительным кодексом Российской Федерации не подлежит государственной экспертизе либо сметная стоимость которых не подлежит проверке достоверности (в том числе текущий ремонт, благоустройство, устройство пешеходных зон, снос, локальные мероприятия, ремонтно-реставрационные работы), НМЦК которых равна либо превышает 10 миллионов рублей. (в ред. Распоряжений Правительства Москвы от 13.12.2016 N 656-РП, от 24.05.2017 N 235-РП, от 10.08.2017 N 411-РП)

1.4(1).3. Государственным бюджетным учреждением города Москвы "Городское агентство управления инвестициями" в соответствии с государственным заданием по контрактам на поставку товаров (работ, услуг) (за исключением работ, указанных в пункте 1.4(1).2 настоящих Методических рекомендаций), НМЦК которых равна либо превышает 10 миллионов рублей, в том числе: (в ред. Распоряжения Правительства Москвы от 10.08.2017 N 411-РП)

1) по контрактам на поставку товаров (работ, услуг), связанных с подготовкой и утверждением документов территориального планирования, градостроительного зонирования и документации по планировке территорий; (в ред. Распоряжения Правительства Москвы от 10.08.2017 N 411-РП)

2) по контрактам на поставку лекарственных препаратов (за исключением лекарственных препаратов, указанных в подпунктах 6 и 7 пункта 1.4 настоящих Методических рекомендаций); (в ред. Распоряжений Правительства Москвы от 10.08.2017 N 411-РП, от 17.04.2018 N 208-РП)

3) по контрактам на оказание услуг аренды помещений и иных объектов недвижимого имущества по контрактам, заключаемым с единственным поставщиком. (в ред. Распоряжения Правительства Москвы от 10.08.2017 N 411-РП)

1.4(2). Срок проведения проверки достоверности определения НМЦК составляет не более 15 календарных дней. (в ред. Распоряжения Правительства Москвы от 03.12.2014 N 711-РП)

1.4(3). При проведении проверки достоверности определения НМЦК на выполнение работ в отношении объектов, проектная документация по которым в соответствии с Градостроительным кодексом Российской Федерации не подлежит государственной экспертизе либо сметная стоимость которых не подлежит проверке достоверности: (в ред. Распоряжений Правительства Москвы от 03.12.2014 N 711-РП, от 13.12.2016 N 656-РП)

1) осуществляется проверка комплектности представленной документации (задание на проектирование, задание на выполнение инженерных изысканий, результаты инженерных изысканий, проектная документация (при необходимости ее разработки), сметная документация, расчет НМЦК, протокол НМЦК и иные обосновывающие материалы); (в ред. Распоряжения Правительства Москвы от 03.12.2014 N 711-РП)

2) осуществляется проверка проектной документации на соответствие составу и требованиям к содержанию разделов проектной документации, установленным правовыми актами Российской Федерации с учетом задания на проектирование; (в ред. Распоряжения Правительства Москвы от 03.12.2014 N 711-РП)

3) проводится изучение и оценка расчетов, содержащихся в сметной документации, в целях установления их соответствия сметным нормативам, включенным в территориальный реестр сметных нормативов, зарегистрированный в установленном порядке, физическим объемам работ, конструктивным, организационно-технологическим и другим решениям, предусмотренным проектной документацией, дефектными ведомостями, техническими заданиями; (в ред. Распоряжения Правительства Москвы от 03.12.2014 N 711-РП)

4) осуществляется проверка наличия обоснований затрат, предусмотренных в сметной документации, для расчета которых не установлены сметные нормативы, либо конструктивных, технологических и других решений, предусмотренных проектной документацией, а также материалов инженерных изысканий, подтверждающих необходимость выполнения работ, расходы на которые включены в сметную документацию; (в ред. Распоряжения Правительства Москвы от 03.12.2014 N 711-РП)

5) осуществляется проверка обоснованности выбранного метода (методов) определения НМЦК; (в ред. Распоряжения Правительства Москвы от 03.12.2014 N 711-РП)

6) осуществляется проверка источников информации, использованных при определении НМЦК; (в ред. Распоряжения Правительства Москвы от 03.12.2014 N 711-РП)

7) проводятся маркетинговое (состояние рынка) и статистическое (в отношении предыдущих закупок) исследования (сбор, обобщение и анализ информации в отношении стоимости и условий выполнения работ); (в ред. Распоряжения Правительства Москвы от 03.12.2014 N 711-РП)

8) осуществляется проверка применения поправочных коэффициентов, применяемых в целях оптимизации бюджетных средств, направляемых на закупку товаров, работ услуг; (в ред. Распоряжений Правительства Москвы от 03.12.2014 N 711-РП, от 13.12.2016 N 656-РП)

9) осуществляется проверка применения показателей стоимости объектов, комплексов и видов работ для строительства в городе Москве, утвержденных Департаментом экономической политики и развития города Москвы, или наличия обоснования применения иных показателей. (в ред. Распоряжения Правительства Москвы от 03.12.2014 N 711-РП)

1.4(4). Допускается проведение одной повторной проверки в случае внесения изменений в техническое задание и (или) задание на проектирование. Срок проведения повторной проверки достоверности определения НМЦК составляет: (в ред. Распоряжения Правительства Москвы от 03.12.2014 N 711-РП)

1) для контрактов, НМЦК которых равна либо превышает 10 миллионов рублей, но составляет менее 50 миллионов рублей, - не более 4 рабочих дней; (в ред. Распоряжения Правительства Москвы от 03.12.2014 N 711-РП)

2) для контрактов, НМЦК которых равна либо превышает 50 миллионов рублей, - не более 8 рабочих дней. (в ред. Распоряжения Правительства Москвы от 03.12.2014 N 711-РП)

Для проведения повторной проверки заказчик города Москвы направляет письменное обращение в экспертную организацию об отзыве полученного ранее экспертного заключения. Повторное обращение должно содержать пояснения о причинах внесения изменений в техническое задание с документальным подтверждением (новое техническое задание и другие обосновывающие документы). (в ред. Распоряжения Правительства Москвы от 03.12.2014 N 711-РП)

Экспертная организация по результату рассмотрения обращения аннулирует выданное ранее экспертное заключение, уведомив об этом Департамент экономической политики и развития города Москвы, и выдает новое экспертное заключение. (в ред. Распоряжения Правительства Москвы от 03.12.2014 N 711-РП)

При этом в новом экспертном заключении отражается информация о причинах его выдачи, указываются изменения в соответствии с новым техническим заданием, а также отражается информация об аннулировании выданного ранее экспертного заключения. (в ред. Распоряжения Правительства Москвы от 03.12.2014 N 711-РП)

1.4(5). Результат проверки достоверности определения НМЦК оформляется в виде заключения о достоверности (положительное заключение) или недостоверности (отрицательное заключение) определения НМЦК. В отрицательном заключении помимо замечаний указывается рекомендуемая НМЦК. (в ред. Распоряжения Правительства Москвы от 03.12.2014 N 711-РП)

1.5. Определение НМЦК осуществляется заказчиками города Москвы при формировании плана-графика закупок, в процессе подготовки документации о закупке.

1.6. К информации о ценах товаров, работ, услуг, которая может быть использована для целей определения НМЦК, относятся:

1) сведения из Единой автоматизированной информационной системы торгов города Москвы (далее - ЕАИСТ), в том числе подсистемы "Портал поставщиков" ЕАИСТ;

2) сведения из Единой информационной системы в сфере закупок товаров, работ, услуг (далее - ЕИС) (до ввода в эксплуатацию ЕИС - сведения, размещенные на официальном сайте Российской Федерации в информационно-телекоммуникационной сети Интернет для размещения информации о размещении заказов на поставки товаров, выполнение работ, оказание услуг www.zakupki.gov.ru (далее - официальный сайт) и данные о товарах, работах, услугах, приведенные на сайтах в информационно-телекоммуникационной сети Интернет поставщиков, подрядчиков, исполнителей;

3) информация о ценах на товары, работы, услуги, содержащаяся в каталогах, издаваемых российскими и иностранными поставщиками, подрядчиками, исполнителями;

4) информация о ценах на товары, работы, услуги, содержащаяся в российских и иностранных информационно-справочных бюллетенях о ценах на основные товары, работы, услуги, выпускаемых в печатной и электронной форме или размещаемых в информационно-телекоммуникационной сети Интернет;

5) информация о ценах на товары, работы, услуги, содержащаяся в специализированных периодических печатных изданиях, статистических и аналитических обзорах, других печатных и Интернет-изданиях;

6) содержащиеся в реестре контрактов сведения о контрактах, заключенных по итогам осуществления закупок, которые исполнены и по которым не взыскивались неустойки (штрафы, пени) в связи с неисполнением или ненадлежащим исполнением обязательств, предусмотренных этими контрактами, а также о контрактах со сроком действия от одного года и более, с даты заключения которых прошло не менее трех месяцев и находящихся в стадии исполнения, и сведения, содержащиеся в заявках, поданных на участие в конкурсе, аукционе (в том числе аукционе в электронной форме), запросе котировок, запросе предложений; (в ред. Распоряжения Правительства Москвы от 26.12.2014 N 765-РП)

7) информация о ценах на товары, работы, услуги, содержащаяся в отраслевых сборниках (справочниках);

8) действующие цены рынка закупаемых товаров, работ, услуг;

9) данные государственной статистической отчетности о ценах товаров, работ, услуг;

10) информация о ценах производителей;

11) информация о котировках на российских биржах и иностранных биржах;

12) информация о котировках на электронных площадках;

13) информация о рыночной стоимости объектов оценки, определенной в соответствии с законодательством, регулирующим оценочную деятельность в Российской Федерации, или законодательством иностранных государств.

1.7. Для определения НМЦК подлежат использованию сведения о ценах, полученные не ранее чем за 6 месяцев до дня размещения извещения об осуществлении закупок, за исключением случаев, когда поставщик, подрядчик, исполнитель уведомил заказчика города Москвы о цене с иным сроком ее действия.

1.8. Определение НМЦК осуществляется с учетом срока поставки товара, выполнения работ, оказания услуг и цены поставки товара, выполнения работ, оказания услуг в течение соответствующих месяцев (лет) планируемого периода исполнения контракта.

1.9. Информация о ценах, предлагаемых поставщиками, подрядчиками, исполнителями, используется для определения НМЦК после получения на их основе средних значений, отражающих сложившийся уровень цен.

Обеспечение создания условий конкуренции и состязательности при осуществлении закупок и расширение спектра моделей и круга поставщиков, подрядчиков, исполнителей - потенциальных участников закупок достигается при использовании среднего арифметического значения из средних цен товара и среднего арифметического значения цены работы, услуги, определяемых по совокупности оцененных предложений поставщиков, подрядчиков, исполнителей. (в ред. Распоряжения Правительства Москвы от 17.04.2018 N 208-РП)

1.10. При определении НМЦК на поставку товаров, выполнение работ, оказание услуг, за исключением закупок, за исключением проведения конкурсов по объектам капитального строительства, заказчикам города Москвы наряду с другими методами рекомендуется использовать метод анализа цен, содержащихся в реестре контрактов, заключенных по итогам размещения закупок. (в ред. Распоряжения Правительства Москвы от 13.12.2016 N 656-РП)

Метод анализа цен, содержащихся в реестре контрактов, заключенных по итогам осуществления закупок, заключается в анализе цен контрактов, которые исполнены и по которым не взыскивались неустойки (штрафы, пени) (не ранее чем за два года до даты размещения извещения о проведении конкурса) в связи с неисполнением или ненадлежащим исполнением обязательств, предусмотренных этими контрактами, а также цен контрактов, с даты заключения которых прошло не менее трех месяцев и находящихся в стадии исполнения, с учетом положений пункта 1.11 настоящих Методических рекомендаций. (в ред. Распоряжений Правительства Москвы от 26.12.2014 N 765-РП, от 17.04.2018 N 208-РП)

1.11. Содержащиеся в реестре контрактов сведения о контрактах, заключенных по итогам осуществления закупок, заявках на участие в закупках применяются с учетом условий выполнения контракта, а также с учетом фактического и (или) прогнозного изменения потребительских цен на товары, работы, услуги (инфляции) и изменения курса валют. (в ред. Распоряжения Правительства Москвы от 26.12.2014 N 765-РП)

1.12. Определение НМЦК проводится с использованием следующих методов:

1) анализ рыночной стоимости закупаемых товаров, работ, услуг;

2) составление смет;

3) затратный метод;

4) нормативный метод;

5) тарифный метод;

6) анализ стоимости аналогов с последующей корректировкой;

7) метод удельных показателей;

8) параметрический метод;

9) метод анализа цен, содержащихся в реестре контрактов, заключенных по итогам осуществления закупок;

10) иные методы, предусмотренные законодательством.

1.13. При выборе метода определения НМЦК заказчики города Москвы руководствуются принципом эффективности расходования бюджетных средств, предусматривающим, что при осуществлении закупок заказчики города Москвы должны исходить из необходимости достижения заданных результатов с использованием наименьшего объема средств или достижения наилучшего результата с использованием определенного объема средств.

1.14. Определение НМЦК производится с учетом налога на добавленную стоимость (далее - НДС) по ставкам, установленным для соответствующего вида товаров, работ и услуг, за исключением случаев, когда уплата НДС в соответствии с законодательством Российской Федерации о налогах и сборах не производится. Информация о ставках НДС, использованных при расчете НМЦК, или об их отсутствии указывается в извещении об осуществлении закупок.

1.15. НМЦК оформляется заказчиком города Москвы в виде протокола начальной (максимальной) цены контракта (цены лота) по форме согласно приложению 1 к настоящим Методическим рекомендациям.

2. Определение НМЦК при осуществлении закупок товаров, работ, услуг

2.1. Общие методы определения НМЦК при осуществлении закупок товаров, работ, услуг

2.1.1. Пункт утратил силу. (в ред. Распоряжения Правительства Москвы от 26.12.2014 N 765-РП)

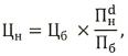
2.1.2. Нормативный метод заключается в расчете НМЦК на основе требований к закупаемым товарам, работам, услугам, установленных в соответствии со статьей 19 Федерального закона от 5 апреля 2013 г. N 44-ФЗ "О контрактной системе в сфере закупок товаров, работ, услуг для обеспечения государственных и муниципальных нужд" в случае, если такие требования предусматривают установление предельных цен товаров, работ, услуг.

2.1.3. НМЦК нормативным методом определяется по формуле:

где:

- НМЦК;

V - количество (объем) закупаемого товара (работы, услуги);

- предельная цена единицы товара, работы, услуги, установленная в рамках нормирования в сфере закупок.

2.1.4. При определении НМЦК нормативным методом используется информация о предельных ценах товара, работы, услуги, размещенная в ЕИС (до ввода в эксплуатацию ЕИС - размещенная на официальном сайте).

2.1.5. Нормативный метод применяется для определения НМЦК (если цена товара, работы, услуги нормируется в соответствии с законодательством Российской Федерации) совместно с методом анализа рыночной стоимости закупаемых товаров, работ, услуг. При этом полученная НМЦК не может превышать значения, рассчитанного в соответствии с пунктом 2.1.3 настоящих Методических рекомендаций.

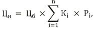
2.1.6. Тарифный метод подлежит применению, если в соответствии с законодательством Российской Федерации цены закупаемых товаров, работ, услуг подлежат государственному регулированию или установлены правовыми актами Правительства Москвы. Тарифный метод не рекомендуется применять к ценам товаров, работ, услуг, не ниже которых в соответствии с законодательством Российской Федерации осуществляются закупки, поставки или продажа таких товаров, работ, услуг.

2.1.7. НМЦК тарифным методом определяется по формуле:

где:

- НМЦК;

V - количество (объем) закупаемого товара (работы, услуги);

- установленная цена (тариф) единицы товара, работы, услуги.

2.1.8. При определении НМЦК с применением метода анализа рыночной стоимости закупаемых товаров, работ, услуг и метода анализа стоимости аналогов с последующей корректировкой указываются сведения о цене на аналогичные (сопоставимые) товары, содержащиеся в подсистеме "Портал поставщиков" ЕАИСТ (при их наличии), либо сведения об отсутствии такой информации.

2.2. Определение НМЦК при осуществлении закупок товаров с применением метода анализа рыночной стоимости закупаемых товаров, работ, услуг

2.2.1. Определение НМЦК на поставку товаров с применением метода анализа рыночной стоимости закупаемых товаров, работ, услуг производится на основании анализа цен на товары разных производителей, отвечающих требованиям заказчика города Москвы к функциональным и качественным характеристикам, потребительским свойствам товара.

2.2.2. Для определения НМЦК используются цены не менее трех видов товара с одинаковыми характеристиками разных производителей, входящих в ценовую группу, отвечающую потребностям и финансовым возможностям заказчика города Москвы.

При наличии существенных различий в ценах на поставку идентичных видов товара разных производителей, в том числе иностранных (более 25% цены товара), решение о выборе видов товара для расчета НМЦК принимается исходя из:

- степени соответствия качественных характеристик (свойств) товара потребностям заказчика города Москвы;

- финансовых возможностей заказчика города Москвы.

2.2.3. При сборе данных о ценах на товары заказчик города Москвы использует цены, предлагаемые тремя или более поставщиками одной ценовой группы, осуществляющими поставку товаров в соответствии с требованиями заказчика города Москвы к условиям поставки, срокам годности, гарантии качества товара и иным характеристикам товара.

2.2.4. НМЦК на поставку товаров из числа сложных технических средств, поставляемых преимущественно иностранными поставщиками, определяется заказчиком города Москвы на основе действующих цен поставщиков, уполномоченных производителями осуществлять реализацию товара на территории Российской Федерации (далее - официальные дилеры).

2.2.5. Сбор информации о действующих ценах осуществляется путем получения прейскуранте в/прайс-листов от поставщиков с указанием срока действия указанных цен, в том числе по факсимильной связи, электронной почте, а при отсутствии возможности их получения - записи цен, указанных на ценниках организаций, осуществляющих торговую деятельность, с подтверждением правильности этих цен соответствующей организацией.

2.2.6. При осуществлении закупки товаров иностранного производства, за пределами территории Российской Федерации, информация о действующих ценах (или подтверждение цен, указанных на сайтах в информационно-телекоммуникационной сети Интернет) должна быть получена путем направления письменных запросов производителям, официальным дилерам или поставщикам такого товара.

2.2.7. При осуществлении закупки товаров, оснащаемых техническими средствами, не входящими в стандартную комплектацию, предлагаемую поставщиками, производится сбор данных о ценах на отдельные составные элементы, входящие в требуемую комплектацию.

2.2.8. Сведения, полученные в результате сбора информации, заносятся в таблицы цен расчета НМЦК:

1) при осуществлении закупки товара в стандартной комплектации согласно приложению 2 к настоящим Методическим рекомендациям;

2) при осуществлении закупки товара, оснащенного техническими средствами, предусматривающими дополнительную комплектацию, сопутствующие и другие услуги, работы, в том числе специальную комплектацию, поставку запасных частей, техническое обслуживание согласно приложению 3 к настоящим Методическим рекомендациям.

2.2.9. НМЦК определяется на основе средней стоимости видов товара. Для определения НМЦК принимается среднее арифметическое значение из рассчитанных средних цен за единицу. Полученное значение цены округляется до тысяч рублей. (в ред. Распоряжений Правительства Москвы от 12.07.2016 N 341-РП, от 17.04.2018 N 208-РП)

2.3. Определение НМЦК при осуществлении закупок товаров с применением метода анализа стоимости аналогов с последующей корректировкой

2.3.1. При применении данного метода НМЦК определяется на основе цен на товары, выбранные в качестве аналогов (далее - товары-аналоги) с учетом комплектации, определяемой технической спецификацией.

Характеристики товаров-аналогов раскрываются заказчиком города Москвы в документации об осуществлении закупок, в извещении об осуществлении закупок.

2.3.2. Для определения НМЦК используются цены не менее трех видов товара-аналога разных поставщиков, входящих в ценовую группу, отвечающую потребностям и финансовым заказчика города Москвы.

2.3.3. При наличии существенных различий в ценах на поставку сходных видов товара разных поставщиков, в том числе иностранных (более 25% цены товара), решение о выборе видов товара для расчета НМЦК принимается исходя из:

1) степени соответствия качественных характеристик (свойств) товара потребностям заказчика города Москвы;

2) финансовых возможностей заказчика города Москвы.

2.3.4. При сборе данных о ценах на товары заказчик города Москвы использует цены, предлагаемые тремя или более поставщиками одной ценовой группы, осуществляющими поставку товаров в соответствии с требованиями заказчика города Москвы к условиям поставки, срокам годности, гарантии качества товара и иным характеристикам товара.

2.3.5. Сведения, полученные в результате сбора информации, заносятся в таблицу цен расчета НМЦК согласно приложению 4 к настоящим Методическим рекомендациям.

2.3.6. В расчет НМЦК включается стоимость элементов комплектации, не содержащихся в товаре-аналоге, но предусмотренных техническими спецификациями и подлежащими включению в состав закупаемого товара (при их наличии).

При этом исключается стоимость элементов комплектации товаров- аналогов, не требующихся заказчику города Москвы.

2.3.7. При расчете НМЦК используются средние значения стоимости элемента комплектации, не содержащегося в товаре-аналоге, но предусмотренного техническими спецификациями и подлежащего включению в состав закупаемого товара, а при использовании ценовых данных из одного источника - стоимость такого элемента.

2.3.8. НМЦК определяется на основе средней стоимости видов товара. Для определения НМЦК принимается среднее арифметическое значение из рассчитанных средних цен за единицу. Полученное значение цены округляется до тысяч рублей. (в ред. Распоряжения Правительства Москвы от 17.04.2018 N 208-РП)

2.4. Определение НМЦК при осуществлении закупок товаров с применением параметрического метода

2.4.1. Параметрический метод используется в случаях, если изменение основного параметра товара не влечет за собой принципиальных конструктивных изменений иных параметров товара с соответствующим увеличением либо снижением его стоимости, при отсутствии сведений о действующих ценах на товары с требующимися техническими характеристиками, но при наличии сведений о ценах на однородные товары.

2.4.2. Определение НМЦК на поставку товаров, уровень цен на которые предопределяется одним основным параметром, существенным для заказчика города Москвы (например, вес, мощность, производительность, скорость и иные параметры), производится путем расчета удельной цены основного параметра.

2.4.3. Расчет НМЦК с применением показателя "удельная цена основного параметра" осуществляется по форме согласно приложению 5 к настоящим Методическим рекомендациям. Для определения НМЦК используются цены не менее трех видов товара, различающихся между собой по величине одного основного параметра, выбранного заказчиком города Москвы. В перечень видов включаются товары, имеющие значения основного параметра, отличающиеся от требуемого заказчику города Москвы значения.

2.4.4. Для определения НМЦК товара, требующегося заказчику города Москвы, производится расчет удельной цены основного параметра товара по формуле:

где:

- удельная цена основного параметра товара;

Ц - цена существующего товара;

П - значение основного параметра существующего товара.

2.4.5. Цена единицы товара, требующегося заказчику города Москвы, рассчитывается как произведение среднего значения показателя "удельная цена основного параметра" товара и значения основного параметра товара, требующегося заказчику города Москвы.

2.4.6. НМЦК рассчитывается как произведение цены единицы товара, требующегося заказчику города Москвы и количества товара, предусмотренного документацией об осуществлении закупок, в извещении об осуществлении закупок.

2.4.7. Определение НМЦК на поставку товаров, изготавливаемых на заказ, на основе данных о ценах однородных товаров, различающихся между собой по величине двух и более параметров, осуществляется путем проведения оценки по балльной системе (далее - оценка в баллах).

2.4.8. Для осуществления оценки в баллах производится отбор наиболее существенных параметров, присущих закупаемому товару и однородным товарам, с учетом степени их влияния на функциональные (потребительские) характеристики, свойства товара. Число выбираемых параметров ограничивается до трех - четырех. Из перечня однородных товаров выбирается базовая модель, обладающая параметрами, в наибольшей мере отвечающими требованиям заказчика города Москвы.

2.4.9. Расчет НМЦК на поставку товара, изготавливаемого на заказ, производится путем присуждения параметрам товара баллов в следующей последовательности:

1) каждому отобранному параметру базовой модели товара экспертным путем присуждается определенное количество баллов с учетом их значения для выполнения товаром определенных функций, а также роли в формировании цены товара. Сумма баллов, начисляемых каждому параметру, не должна превышать 20 баллов;

2) после присвоения каждому параметру базовой модели товара баллов производится сложение баллов выбранных параметров базовой модели товара. При этом общая сумма баллов выбранных параметров базовой модели товара не должна превышать величины, равной произведению 20 баллов на число выбранных параметров;

3) стоимость одного балла оценки параметров базовой модели товара рассчитывается как отношение цены базовой модели товара к сумме баллов выбранных параметров;

4) изменение количества баллов, присуждаемых параметрам закупаемого товара, по сравнению с базовой моделью товара определяется экспертным путем.

2.4.10. НМЦК на поставку товара, изготавливаемого на заказ, рассчитывается как произведение присужденной ему суммы баллов и стоимости одного балла базовой модели товара.

2.4.11. НМЦК на поставку товара из числа технически сложных, дорогостоящих, крупных партий товаров с новыми характеристиками, отличными от имеющихся на рынке, определяется с использованием индексного параметрического метода.

2.4.12. НМЦК с применением индексного параметрического метода определяется на основании данных о нескольких однородных товарах, в наибольшей степени соответствующих техническим требованиям заказчика города Москвы. Цены однородных товаров корректируются с учетом стоимости дополнительных параметров, требующихся заказчику города Москвы (например, габариты, мощность, производительность, новые функции и иные параметры).

2.4.13. Для определения НМЦК на поставку товара производится построение параметрических рядов однотипных моделей товара, различающихся между собой по величине параметров, изменение которых требуется заказчику города Москвы.

Параметрический ряд представляет собой последовательный ряд цен моделей товара, отражающий изменения параметров товара, требующихся заказчику города Москвы. На основе параметрического ряда устанавливаются зависимости между изменением параметров товара и соответствующим ему изменением цен на единицу товара.

Выявленные зависимости используются для определения НМЦК на поставку товара, отвечающего требованиям заказчика города Москвы.

2.4.14. Определение расчетной цены товара, отвечающего требованиям заказчика города Москвы, производится с использованием следующих формул:

- цена товара, отвечающего требованиям заказчика города Москвы;

- цена базовой модели товара;

- коэффициент изменения i-ro параметра товара, отвечающего требованиям заказчика города Москвы, по сравнению с базовой моделью товара;

- коэффициент значимости i-ro параметра товара (степень количественного изменения (снижения или повышения) данного параметра), устанавливающийся на основе экспертных оценок в процентном отношении либо в долях единицы;

n - количество выбранных параметров;

i - параметры товара, отвечающего требованиям заказчика города Москвы;

где:

- цена товара, отвечающего требованиям заказчика города Москвы;

- цена базовой модели товара;

- значение параметра товара, отвечающего требованиям заказчика города Москвы;

- значение параметра базовой модели товара;

d - корректирующий коэффициент, величина которого определяется экспертным путем в интервале 0,6-0,8.

2.5. Определение НМЦК при осуществлении закупок услуг, работ с применением метода анализа рыночной стоимости закупаемых товаров, работ, услуг

2.5.1. НМЦК методом анализа рыночной стоимости закупаемых товаров, работ, услуг определяется с использованием действующих цен на оказание закупаемых услуг и работ.

2.5.2. Для определения НМЦК используются цены, установленные тремя или более участниками рынка, специализирующимися на оказании услуг, выполнении работ, требующихся заказчику города Москвы, зарекомендовавших себя с положительной стороны на рынке закупаемых видов услуг, работ и имеющих опыт работы на соответствующем рынке работ и услуг 5 и более лет.

2.5.3. В зависимости от вида услуг, работ расчет НМЦК производится на основе:

1) стоимости единицы времени: нормо-час, нормо-день;

2) стоимости единицы вида услуг, работ;

3) стоимости других единиц измерения, принятых для установления цен.

2.5.4. Определение НМЦК с применением метода анализа рыночной стоимости закупаемых товаров, работ, услуг, работ производится на основании усредненных цен, рассчитанных как среднее арифметическое единичных цен.

2.5.5. Расчет НМЦК с применением метода анализа рыночной стоимости закупаемых товаров, работ, услуг, осуществляется по форме согласно приложению 6 к настоящим Методическим рекомендациям.

2.6. Определение НМЦК при осуществлении закупок услуг с применением затратного метода

2.6.1. Затратный метод применяется в случае невозможности применения иных методов, предусмотренных подпунктами 1-2, 4-9 пункта 1.12 настоящих Методических рекомендаций, или в дополнение к иным методам.

2.6.2. Затратный метод заключается в определении НМЦК как суммы произведенных затрат и обычной для определенной сферы деятельности прибыли. При определении произведенных затрат учитываются обычные в подобных случаях прямые и косвенные затраты на производство или приобретение и (или) реализацию товаров, работ, услуг, затраты на транспортировку, хранение, страхование и иные затраты.

2.6.3. Информация об обычной прибыли для определенной сферы деятельности может быть получена заказчиком города Москвы исходя из анализа контрактов, размещенных в ЕИС, ЕАИСТ, на официальном сайте, других общедоступных источников информации, в том числе информации информационно-ценовых агентств, общедоступных результатов изучения рынка, а также результатов изучения рынка, проведенного по инициативе заказчика города Москвы.

2.7. Определение НМЦК при осуществлении закупок услуг с применением метода анализа стоимости аналогов с последующей корректировкой

2.7.1. При осуществлении закупок услуг сходного объема и качества, ранее закупаемых заказчиком, расчет НМЦК производится с использованием метода анализа стоимости аналогов с последующей корректировкой.

2.7.2. Корректировка цены аналогов производится с учетом:

1) увеличения/сокращения количества единиц затраченного рабочего времени или иных принятых единиц измерения цен;

2) количества и качества закупаемых товаров, других расходов, если их приобретение необходимо для оказания услуг;

3) инфляции с использованием индексов потребительских цен для города Москвы, публикуемых на официальном сайте Департамента экономической политики и развития города Москвы в информационно- телекоммуникационной сети Интернет.

2.8. Определение НМЦК при осуществлении закупок работ и услуг с применением метода составления смет (в ред. Распоряжения Правительства Москвы от 17.04.2018 N 208-РП)

При определении НМЦК с применением метода составления смет, составление таких смет производится в соответствии с нормативными правовыми актами Российской Федерации, правовыми актами федеральных органов исполнительной власти, правовыми актами города Москвы, в том числе отраслевыми нормативами, методическими рекомендациями, содержащими указания по составлению смет.

При этом в случае отсутствия в указанных правовых актах отражения действующих цен, необходимых для расчета сметной стоимости выполнения работ и услуг, применяются действующие цены из иных источников информации, предусмотренных пунктом 1.6 настоящих Методических рекомендаций. (в ред. Распоряжения Правительства Москвы от 17.04.2018 N 208-РП)

2.9. Определение НМЦК при осуществлении закупок работ с применением метода удельных показателей

2.9.1. Определение НМЦК на выполнение ряда технологически и конструктивно несложных работ производится с использованием удельных показателей, характеризующих стоимость единицы выполняемой работы, (например, стоимость устройства квадратного метра газона, стоимость ремонта километра автомобильной дороги).

2.9.2. Сведения о значениях удельных показателей могут быть получены на основании источников, предусмотренных в пункте 1.6 настоящих Методических рекомендаций, либо рассчитаны на основе данных о стоимости выполнения однородных работ (далее - работа-аналог) по формуле:

где:

- удельный показатель работы;

- стоимость выполнения работы-аналога;

- объем выполнения работы-аналога в натуральных показателях.

2.9.3. Для расчета НМЦК на основе удельного показателя работы используется формула:

где:

- НМЦК;

- удельный показатель работы;

- требуемый объем выполнения работы в натуральных показателях.

2.10. Определение НМЦК при осуществлении закупок научно- исследовательских и опытно-конструкторских работ с применением метода составления смет

2.10.1. При определении НМЦК на выполнение работ, не предусматривающих дорогостоящих лабораторных и других исследований и не требующих больших затрат на приобретение материалов и привлечение технических ресурсов для выполнения работ (более 25 процентов от общей стоимости указанных работ) применяется метод составления смет.

2.10.2. Для расчета НМЦК используется укрупненный показатель стоимости единицы рабочего времени специалиста, включающий в себя размер оплаты труда, страховых взносов в Пенсионный фонд Российской Федерации, Фонд социального страхования Российской Федерации, Федеральный фонд обязательного медицинского страхования, а также страховых взносов на обязательное социальное страхование от несчастных случаев на производстве и профессиональных заболеваний, накладные расходы (в том числе на применение персонального компьютера и периферийного оборудования, другого оборудования, используемого для выполнения работ), сметную прибыль, расходы на уплату налогов.

2.10.3. При определении укрупненного показателя стоимости единицы рабочего времени специалистов, необходимых для выполнения работ, заказчик города Москвы использует источники информации, предусмотренные пунктом 1.6 настоящих Методических рекомендаций.

При этом заказчиком города Москвы учитываются:

- предложения юридических лиц и (или) индивидуальных предпринимателей, выполнявших предусмотренные техническим заданием работы или аналогичные работы и имеющих специалистов требуемой квалификации;

- уровень и уникальность квалификации требующихся специалистов (опыт работы, профессиональное образование, в том числе дополнительное, ученая степень).

2.10.4. Расчет стоимости рабочего времени специалистов производится отдельно для каждого вида работ по формуле:

где:

- стоимость рабочего времени специалистов, затраченного на выполнение вида работ;

- укрупненный показатель единицы стоимости рабочего времени каждого специалиста необходимой квалификации;

- количество единиц рабочего времени каждого специалиста необходимой квалификации, необходимых для выполнения вида работ;

j - вид работ;

i - специалист необходимой квалификации;

n - количество специалистов, необходимых для выполнения вида работ.

2.10.5. Стоимость рабочего времени всех специалистов, затраченного на выполнение объема работ, предусмотренного техническим заданием, определяется по формуле:

где:

- стоимость рабочего времени всех специалистов, затраченного на выполнение объема работ, предусмотренного техническим заданием;

стоимость рабочего времени специалистов, затраченного на выполнение вида работ;

j - вид работ;

k - количество видов работ, предусмотренных техническим заданием.

2.10.6. Стоимость рабочего времени вспомогательного и технического персонала, если его привлечение требуется для выполнения работ, определяется как процент от общей стоимости рабочего времени специалистов. Размер процента определяется экспертным путем исходя из конкретных особенностей объекта закупки.

2.10.7. НМЦК рассчитывается по следующей формуле:

где:

- НМЦК;

- стоимость рабочего времени всех специалистов, затраченного на выполнение объема работ, предусмотренного техническим заданием;

- стоимость рабочего времени вспомогательного и технического персонала;

- затраты на приобретение информации, материалов, необходимых для выполнения технического задания, а также другие затраты (расходы на командировки, транспортные расходы, расходы на приобретение документации и иные подобные расходы).

2.10.8. Расчет затрат на приобретение информации, материалов, необходимых для выполнения технического задания, а также других затрат (расходы на командировки, транспортные расходы, расходы на приобретение документации и иные подобные расходы) производится на основе действующих цен.

3. Особенности определения НМЦК на работы по строительству, реконструкции, капитальному ремонту объектов капитального строительства и строительных работ, выполняемых на объектах, не являющихся объектами капитального строительства

3.1. Особенности методов определения НМЦК

3.1.1. Определение НМЦК осуществляется с использованием методов, предусмотренных пунктом 1.12 настоящих Методических рекомендаций, при осуществлении следующих закупок:

а) услуг по исполнению функций технического заказчика на период выполнения проектно-изыскательских работ;

б) проектно-изыскательских работ;

в) услуг по исполнению функций технического заказчика на период строительства, реконструкции, капитального ремонта объектов капитального строительства и строительных работ, выполняемых на объектах, не являющимися объектами капитального строительства;

г) работ по строительству, реконструкции, капитальному ремонту объектов капитального строительства и строительных работ на объектах, не являющихся объектами капитального строительства;

д) на поставку оборудования.

3.1.2. НМЦК при осуществлении закупок на комбинацию двух и более объектов закупок, указанных в пункте 3.1.1 настоящих Методических рекомендаций, в случаях, предусмотренных законодательством, определяется путем сложения НМЦК каждого вида закупок, определенных в соответствии с настоящими Методическими рекомендациями.

3.1.3. НМЦК при осуществлении единой закупки услуг по исполнению функций технического заказчика на период выполнения проектно- изыскательских работ, на период строительства (реконструкции, капитального ремонта объектов), на выполнение проектно-изыскательских работ, на выполнение подрядных работ и на поставку оборудования (далее - услуги управляющей компании на строительство объекта "под ключ") при наличии проектной документации определяется путем сложения НМЦК каждого вида закупок, определенных в соответствии с разделами 3.2 - 3.6 настоящих Методических рекомендаций.

3.1.4. При отсутствии проектной документации НМЦК на оказание услуг управляющей компании на строительство объекта "под ключ" определяется с применением метода анализа стоимости аналогов с последующей корректировкой (стоимость выполненных проектно-изыскательских работ или строительных работ в отношении объектов-аналогов с последующей ее корректировкой).

Для определения НМЦК на оказание услуг управляющей компании на строительство объекта "под ключ" информация о стоимости выполненных работ по объектам-аналогам рассматривается заказчиком города Москвы в увязке с техническими параметрами объектов и их технико-экономическими показателями.

3.1.5. Расчет стоимости выполненных работ с применением метода анализа стоимости объектов-аналогов с последующей корректировкой производится путем:

1) оценки стоимости дополнительных элементов (например, вспомогательных сооружений и других элементов) путем сравнения цен двух и более объектов-аналогов, имеющих или не имеющих такие элементы;

2) применения удельных показателей (например, затрат на 1 кв. м общей площади объекта) в случае, если сравниваемые объекты-аналоги, будучи сходными функционально, различаются по площади, мощности и другим показателям;

3) корректировки стоимости объекта-аналога на коэффициент инфляции.

3.1.6. Корректировка стоимости объектов-аналогов выполняется с применением показателей стоимости объектов, комплексов и видов работ для строительства в Москве в текущих ценах, утвержденных Департаментом экономической политики и развития города Москвы на соответствующий период и опубликованных на официальном сайте Департамента экономической политики и развития города Москвы в информационно- телекоммуникационной сети Интернет.

3.1.7. Расчет НМЦК на оказание услуг управляющей компании на строительство объекта "под ключ" оформляется в соответствии с приложением 11 к настоящим Методическим рекомендациям.

3.1.8. Оформление результатов произведенных заказчиками города Москвы затрат на строительство (учет общей стоимости строительства) объектов капитального строительства осуществляется по форме согласно приложению 12 к настоящим Методическим рекомендациям.

3.2. Определение начальной (максимальной) цены контракта (цены лота) при осуществлении закупок услуг по исполнению функций технического заказчика на период выполнения проектно-изыскательских работ

НМЦК при осуществлении закупок услуг по исполнению функций технического заказчика на период выполнения проектно-изыскательских работ определяется в размере 5 процентов от стоимости проектно- изыскательских работ.

3.3. Определение начальной (максимальной) цены контракта (цены лота) при осуществлении закупок проектно-изыскательских работ

3.3.1. Определение НМЦК при осуществлении закупок проектно- изыскательских работ производится с применением следующих методов:

1) составление смет;

2) метод удельных показателей;

3) анализ стоимости аналогов с последующей корректировкой;

4) затратный метод.

3.3.2. Расчет НМЦК оформляется в соответствии с приложением 7 к настоящим Методическим рекомендациям.

3.4. Определение начальной (максимальной) цены контракта (цены лота) при осуществлении закупок услуг по исполнению функций технического заказчика на период строительства, реконструкции, капитального ремонта объектов капитального строительства и строительных работ, выполняемых на объектах, не являющихся объектами капитального строительства

3.4.1. НМЦК на оказание услуг по исполнению функций технического заказчика на период строительства, реконструкции, капитального ремонта объектов капитального строительства и строительных работ, выполняемых на объектах, не являющихся объектами капитального строительства определяется по формуле:

где:

- НМЦК;

- стоимость услуг по проведению строительного контроля при осуществлении строительства, реконструкции, капитального ремонта объектов капитального строительства и строительных работ, выполняемых на объектах, не являющихся объектами капитального строительства;

- стоимость дополнительных работ и (или) услуг, осуществляемых техническим заказчиком в период строительства, реконструкции, капитального ремонта объектов капитального строительства и строительных работ, выполняемых на объектах, не являющихся объектами капитального строительства.

Размер затрат на содержание службы заказчика и проведение строительного контроля в период строительства, реконструкции, капитального ремонта объектов капитального строительства и строительных работ, выполняемых на объектах, не являющихся объектами капитального строительства, определяется в соответствии с нормативами, утвержденными органом исполнительной власти города Москвы, осуществляющим функции по выработке государственной политики и нормативно-правовому регулированию в сфере сметного нормирования и ценообразования в градостроительном проектировании, проектировании и строительстве объектов государственного заказа города Москвы.

Стоимость затрат на содержание службы заказчика и осуществление строительного контроля определяется:

- в отношении объектов, проектная документация по которым подлежит государственной экспертизе в соответствии с Градостроительным кодексом Российской Федерации и сметная стоимость которых подлежит проверке достоверности, - на основании положительного заключения Государственного автономного учреждения города Москвы "Московская государственная экспертиза" (далее - Мосгосэкспертиза) о достоверности определения сметной стоимости и утвержденного в установленном порядке расчета сметной стоимости работ в текущим уровне цен;

- в отношении объектов, проектная документация по которым в соответствии с Градостроительным кодексом Российской Федерации не подлежит экспертизе и сметная стоимость которых подлежит проверке достоверности, - на основании положительного заключения Мосгосэкспертизы о достоверности определения сметной стоимости и утвержденного в установленном порядке расчета сметной стоимости работ в текущим уровне цен;

- в отношении объектов, проектная документация по которым в соответствии с Градостроительным кодексом Российской Федерации не подлежит государственной экспертизе и сметная стоимость которых не подлежит проверке достоверности, - на основании расчета сметной стоимости в текущем уровне цен, утвержденного правовым актом заказчика.

3.4.2. При определении НМЦК учитываются затраты на следующие работы и услуги:

1) вынос трассы объекта в натуру (на местность);

2) подпункты утратили силу. (в ред. Распоряжения Правительства Москвы от 17.04.2018 N 208-РП)

3) услуги военизированных горноспасательных отрядов;

4) перевозка негабаритных грузов;

5) связанные с использованием технологических окон (время, в течение которого прекращается движение по железной дороге) для ремонтных и строительно-монтажных работ на железной дороге (использование "железнодорожных окон");

6) подпункт утратил силу. (в ред. Распоряжения Правительства Москвы от 17.04.2018 N 208-РП)

7) обследование зданий, сооружений, строений;

8) мониторинг зданий, сооружений, строений;

9) научное сопровождение;

10) компенсационное озеленение (по решению заказчика города Москвы);

11) экспертиза промышленной безопасности;

12) авторский надзор;

13) ввод объекта в эксплуатацию (без учета затрат на проведение контрольно-геодезической съемки подземных коммуникаций и сооружений, подземных частей зданий и сооружений); (в ред. Распоряжения Правительства Москвы от 17.04.2018 N 208-РП)

14) прочие работы и затраты, производимые техническим заказчиком;

15) содержание службы заказчика и осуществление строительного контроля;

16) резерв средств на непредвиденные работы и затраты (начисляется в процентах от суммы затрат, производимых техническим заказчиком, в зависимости от вида строительства, реконструкции и капитального ремонта объектов).

3.4.3. При этом показатели сметной стоимости по главам сводного сметного расчета в составе утвержденной проектной документации в текущем уровне цен корректируются на прогнозный индекс инфляции на период строительства, реконструкции, капитального ремонта объектов.

Прогнозный индекс инфляции на период строительства, реконструкции, капитального ремонта объектов рассчитывается как среднее арифметическое между прогнозными коэффициентами инфляции на месяц начала и месяц окончания работ (независимо от нормативного срока выполнения работ), утвержденными Департаментом экономической политики и развития города Москвы на соответствующий период и опубликованными на официальном сайте Департамента экономической политики и развития города Москвы в информационно-телекоммуникационной сети Интернет.

3.4.4. Расчет НМЦК на оказание услуг по исполнению функций технического заказчика на период строительства, реконструкции, капитального ремонта объектов капитального строительства и строительных работ, выполняемых на объектах, не являющихся объектами капитального строительства оформляется в соответствии с приложением 8 к настоящим Методическим рекомендациям.

3.5. Определение начальной (максимальной) цены контракта (цены лота) при осуществлении закупок работ по строительству, реконструкции, капитальному ремонту объектов капитального строительства и строительных работ, выполняемых на объектах, не являющихся объектами капитального строительства

3.5.1. НМЦК на выполнение работ по строительству, реконструкции, капитальному ремонту объектов капитального строительства и строительных работ, выполняемых на объектах, не являющихся объектами капитального строительства (далее - подрядные работы) определяется:

1) в отношении объектов, проектная документация по которым подлежит государственной экспертизе в соответствии с Градостроительным кодексом Российской Федерации и сметная стоимость которых подлежит проверке достоверности, - на основании положительного заключения Мосгосэкспертизы о достоверности определения сметной стоимости и утвержденного в установленном порядке расчета сметной стоимости работ в текущим уровне цен;

2) в отношении объектов, проектная документация по которым в соответствии с Градостроительным кодексом Российской Федерации не подлежит экспертизе и сметная стоимость которых подлежит проверке достоверности, - на основании положительного заключения Мосгосэкспертизы о достоверности определения сметной стоимости и утвержденного в установленном порядке расчета сметной стоимости работ в текущим уровне цен;

3) в отношении объектов, проектная документация по которым в соответствии с Градостроительным кодексом Российской Федерации не подлежит государственной экспертизе и сметная стоимость которых не подлежит проверке достоверности, - на основании расчета сметной стоимости в текущем уровне цен, утвержденного правовым актом заказчика.

3.5.2. При определении НМЦК учитываются затраты на следующие работы и услуги:

1) строительно-монтажные работы по итогам глав 1 -9 сводного сметного расчета;

2) прочие затраты, производимые генеральным подрядчиком, передаваемые (поручаемые) заказчиком города Москвы;

3) инженерное оборудование;

4) охранные услуги;

5) пусконаладочные работы;

6) компенсационное озеленение (по решению заказчика города Москвы);

7) резерв средств на непредвиденные работы и затраты (начисляется в процентах от суммы работ и затрат, осуществляемых генеральным подрядчиком, в зависимости от вида строительства).

3.5.3. НМЦК на выполнение подрядных работ определяется в следующем порядке:

3.5.3.1. Показатели сметной стоимости строительства по главам сводного сметного расчета в составе утвержденной проектной документации в текущем уровне цен корректируются на прогнозный индекс инфляции на период строительства.

3.5.3.2. Прогнозный индекс инфляции на период строительства рассчитывается как среднее арифметическое между прогнозными коэффициентами инфляции на месяц начала и окончания работ (независимо от нормативного срока выполнения работ), утвержденными Департаментом экономической политики и развития города Москвы на соответствующий период и опубликованными на официальном сайте Департамента экономической политики и развития города Москвы в информационно- телекоммуникационной сети Интернет.

3.5.4. Заказчики города Москвы обеспечивают разработку сметной документации в составе проектной документации по строительству, реконструкции, капитальному ремонту объектов капитального строительства и строительным работам, выполняемым на объектах, не являющихся объектами капитального строительства на основе территориальных сметных нормативов для Москвы (ТСН-2001) в двух уровнях цен - со сметной стоимостью, определенной в уровне цен по состоянию на 1 января 2000 г. и текущем уровне цен.

В случае когда период между датой формирования протокола НМЦК и датой текущего уровня цен утвержденной сметной стоимости строительства не превышает два года, заказчики города Москвы обеспечивают пересчет сметной стоимости строительства в текущий уровень цен на момент формирования НМЦК с применением обобщенных индексов инфляции, утвержденных Департаментом экономической политики и развития города Москвы на соответствующий период и опубликованных на официальном сайте Департамента экономической политики и развития города Москвы в информационно-телекоммуникационной сети Интернет.

В случае когда период между датой формирования протокола НМЦК и датой текущего уровня цен утвержденной сметной стоимости строительства превышает два года, пересчет сметной стоимости строительства в текущий уровень цен на момент формирования НМЦК осуществляется с применением соответствующих коэффициентов пересчета сметной стоимости строительно- монтажных работ по видам работ, либо с применением обобщенных индексов инфляции за соответствующий период. Заказчики города Москвы обеспечивают пересчет сметной стоимости строительства исходя из условия получения минимальной сметной стоимости строительства в текущем уровне цен. Пересчитанная сметная стоимость строительства утверждается правовым актом заказчика города Москвы.

3.5.5. НМЦК на выполнение подрядных работ, нормативный срок проведения которых согласно проекту организации строительства составляет до трех лет (включительно), определяется с учетом нормативных или директивных сроков строительства по формуле:

где:

- НМЦК;

- сметная стоимость работ, подлежащих выполнению генеральным подрядчиком соответственно в 1-й, 2-й и 3-й годы строительства объекта;

- прогнозный индекс инфляции за первый год строительства объекта, определяемый как среднее арифметическое между коэффициентом инфляции на начало строительства объекта и коэффициентом инфляции на декабрь первого года строительства объекта;

- прогнозный индекс, учитывающий инфляцию за первый и второй годы строительства объекта. Рассчитывается как произведение прогнозного коэффициента инфляции, устанавливаемого нарастающим итогом на декабрь первого года строительства объекта, и прогнозного индекса инфляции на второй год строительства объекта, определенного как среднее арифметическое между коэффициентом инфляции на январь второго года строительства объекта и коэффициентом инфляции на декабрь второго года строительства объекта;

- прогнозный индекс, учитывающий инфляцию за три года строительства объекта. Рассчитывается как произведение прогнозного коэффициента инфляции, устанавливаемого нарастающим итогом на декабрь второго года строительства объекта, и прогнозного индекса инфляции на третий год строительства объекта, определенного как среднее арифметическое между коэффициентом инфляции на январь третьего года строительства объекта и коэффициентом инфляции на месяц окончания строительства объекта в третьем году.

3.5.6. Расчет НМЦК на выполнение подрядных работ оформляется в соответствии с приложением 9 к настоящим Методическим рекомендациям.

3.6. Определение начальной (максимальной) цены контракта (цены лота) на поставку оборудования

3.6.1. НМЦК на поставку оборудования определяется на основании стоимости такого оборудования, указанной в составе утвержденной сметной стоимости строительства объекта.

3.6.2. В случаях когда период между датой оформления протокола НМЦК и датой утверждения стоимости оборудования в составе сводного сметного расчета стоимости строительства превышает 6 месяцев, стоимость оборудования подлежит пересчету в соответствии с разделами 2.1 - 2.4 настоящих Методических рекомендаций.

3.6.3. В случае изменения проектных решений, перечня, стоимости оборудования относительно утвержденных проектных решений, перечня, стоимости оборудования заказчик города Москвы готовит актуализированный перечень оборудования по измененным разделам с указанием стоимости оборудования в текущем уровне цен на дату составления данного перечня и представляет его для рассмотрения в Мосгосэкспертизу. Одновременно с перечнем оборудования представляется рабочая документация в части, касающейся монтажа указанного оборудования.

Мосгосэкспертиза обеспечивает в течение 10 рабочих дней проведение проверки соответствия перечня оборудования и его характеристик ранее утвержденным проектным решениям и характеристикам объекта в соответствии с ранее утвержденной проектной документацией, а также проводит проверку стоимости такого оборудования. Заказчик города Москвы, получив положительное заключение Мосгосэкспертизы, формирует протокол НМЦК.

Заказчик города Москвы вправе принять решение не направлять в Мосгосэкспертизу такие перечни и разделы проектной документации. В этом случае измененный перечень оборудования и его сметная стоимость утверждаются правовым актом заказчика города Москвы и заказчик города Москвы формирует протокол НМЦК.

3.6.4. Расчет НМЦК на поставку оборудования оформляется в соответствии с приложением 10 к настоящим Методическим рекомендациям.

3.7. Определение начальной (максимальной) цены контракта (цены лота) на выполнение остатков работ по строительству, реконструкции, капитальному ремонту объектов капитального строительства и строительных работ, выполняемых на объектах, не являющихся объектами капитального строительства

НМЦК на выполнение остатков работ и услуг по строительству, реконструкции, капитальному ремонту объектов капитального строительства и строительных работ, выполняемых на объектах, не являющихся объектами капитального строительства, определяется по формуле:

где:

- НМЦК;

- сметная стоимость остатков работ в текущем уровне цен на дату текущего уровня цен сводного сметного расчета стоимости строительства в составе проектной документации, получившей положительное заключение Мосгосэкспертизы;

- фактический коэффициент инфляции на момент проведения повторной закупки, определяется перемножением обобщенных индексов инфляции, утвержденных Департаментом экономической политики и развития города Москвы на соответствующий период и опубликованных на официальном сайте Департамента экономической политики и развития города Москвы в информационно-телекоммуникационной сети Интернет;

- прогнозный индекс инфляции на период выполнения остатков работ, определяемый как среднее арифметическое между прогнозными коэффициентами инфляции на месяц начала и окончания работ, утвержденными Департаментом экономической политики и развития города Москвы на соответствующий период и опубликованными на официальном сайте Департамента экономической политики и развития города Москвы в информационно-телекоммуникационной сети Интернет. При этом срок выполнения остатков работ определяется заказчиком города Москвы на основании проекта организации строительства с учетом срока выполненных работ.

где:

- общая сметная стоимость работ в текущем уровне цен сводного сметного расчета стоимости строительства в составе проектной документации, получившей положительное заключение Мосгосэкспертизы;

- сметная стоимость выполненных работ в текущем уровне цен на дату текущего уровня цен сводного сметного расчета стоимости строительства в составе проектной документации, получившей положительное заключение Мосгосэкспертизы.

где:

- стоимость выполненных работ, подтвержденная актами о приемке выполненных работ и справками о стоимости выполненных работ и затрат, подписанными заказчиком города Москвы, в текущем уровне цен в смешанных ценах с учетом тендерного снижения;

- прогнозный индекс инфляции на период выполнения работ, учтенный в цене, указанной в расторгнутом контракте;

- коэффициент тендерного снижения цены, указанной в расторгнутом контракте.

Приложение 1
к Методическим рекомендациям

ПРОТОКОЛ НАЧАЛЬНОЙ (МАКСИМАЛЬНОЙ) ЦЕНЫ КОНТРАКТА (ЦЕНЫ ЛОТА)

Объект закупки (лот)  
 
 
   
Начальная (максимальная) цена контракта по данному лоту составляет  
 
   
(сумма цифрами и прописью)
   
Начальная (максимальная) цена контракта включает в себя расходы на перевозку, страхование, уплату таможенных пошлин, налогов и других обязательных платежей
 
   
Приложение:  
Расчет начальной (максимальной) цены контракта.  
   
Заказчик города Москвы:  

Приложение 2
к Методическим рекомендациям

ОПРЕДЕЛЕНИЕ НАЧАЛЬНОЙ (МАКСИМАЛЬНОЙ) ЦЕНЫ КОНТРАКТА (ЦЕНЫ ЛОТА) НА ПОСТАВКУ ТОВАРОВ БЕЗ ДОПОЛНИТЕЛЬНОЙ КОМПЛЕКТАЦИИ И ПРЕДОСТАВЛЕНИЯ СОПУТСТВУЮЩИХ УСЛУГ, РАБОТ

(в ред. Распоряжений Правительства Москвы от 12.07.2016 N 341-РП, от 17.04.2018 N 208-РП)

Лот N _________________ Способ определения поставщика (подрядчика, исполнителя) ________________________

Категории Цены поставщиков Средняя цена за единицу Цены поставщиков Среднее арифметическое значение цена за единицу Цены поставщиков Средняя цена за единицу Начальная (максимальная) цена Сведения о цене на аналогичные (сопоставимые) товары, содержащиеся в подсистеме "Портал поставщиков" ЕАИСТ
1 2 3 4 5 6 7 8 9 10 11 12 13 14 15
(в ред. Распоряжения Правительства Москвы от 17.04.2018 N 208-РП)
Поставщики X X X X X
(в ред. Распоряжения Правительства Москвы от 12.07.2016 N 341-РП)
Наименование товара, технические характеристики X X
Количество единиц товара X X
Модель, производитель       X
Цена за единицу товара       Средняя из средних цен за единицу
(в ред. Распоряжения Правительства Москвы от 12.07.2016 N 341-РП)
Итого X X X X X X X X X X X X Средняя из средних цен на весь объем X
(в ред. Распоряжения Правительства Москвы от 12.07.2016 N 341-РП)
Наименование товара, технические характеристики X X
Количество единиц товара X X
Модель, производитель X
Цена за ед. единицу товара Средняя из средних цен за единицу
(в ред. Распоряжения Правительства Москвы от 12.07.2016 N 341-РП)
Итого X X X X X X X X X X X X Средняя из средних цен на весь объем X
(в ред. Распоряжения Правительства Москвы от 12.07.2016 N 341-РП)
Наименование товара, тех. технические характеристики X X
Количество единиц товара X X
Модель, производитель X
Цена за единицу товара Средняя из средних цен за единицу
(в ред. Распоряжения Правительства Москвы от 12.07.2016 N 341-РП)
Итого X X X X X X X X X X X X Средняя из средних цен на весь объем X
(в ред. Распоряжения Правительства Москвы от 12.07.2016 N 341-РП)
Итого товары X X X X X X X X X X X X X

Ф.И.О. и должность лица, получившего указанные сведения _______________________________ Подпись_____________________

Дата составления ___________________

Примечания:

1. При осуществлении закупок товаров за пределами территории Российской Федерации, на условиях, предусматривающих выплату поставщиком таможенных пошлин, налогов и сборов, установленных законодательством Российской Федерации, таблица дополняется соответствующей строкой.

2. Средняя цена за единицу рассчитывается как среднее арифметическое цен, предложенных поставщиками по каждой модели товара, при этом необходимо учитывать наличие (отсутствие) доставки товара.

3. Расчет стоимости всего объема закупаемого товара производится на основании цен каждого опрошенного поставщика. Результаты расчетов указываются в строке "Итого". Строка "Итого товары" используется для суммирования итоговых цен всех наименований (позиций) закупаемого товара и используется при закупке двух и более наименований товара в рамках одного контракта (лота). При закупке одного наименования товара в строку "Итого товары" переносятся данные строки "Итого".

4. В строке "Поставщики" заполняется количество граф, которое увеличивается или уменьшается в соответствии с количеством опрошенных поставщиков. (в ред. Распоряжения Правительства Москвы от 12.07.2016 N 341-РП)

5. В графе 15 указывается наименование поставщика, модель, цена на аналогичные (сопоставимые) товары, содержащиеся в подсистеме "Портал поставщиков ЕАИСТ. При отсутствии в подсистеме "Портал поставщиков" соответствующей информации указывается "информация отсутствует".

6. Графы и строки, заполненные символом "X" не заполняются.

Приложение 3
к Методическим рекомендациям

ОПРЕДЕЛЕНИЕ НАЧАЛЬНОЙ (МАКСИМАЛЬНОЙ) ЦЕНЫ КОНТРАКТА (ЦЕНЫ ЛОТА) НА ПОСТАВКУ ТОВАРОВ С ДОПОЛНИТЕЛЬНОЙ КОМПЛЕКТАЦИЕЙ И ПРЕДОСТАВЛЕНИЕМ СОПУТСТВУЮЩИХ И ДРУГИХ УСЛУГ, РАБОТ

(в ред. Распоряжений Правительства Москвы от 12.07.2016 N 341-РП, от 17.04.2018 N 208-РП)

Лот N ____________________ Способ определения поставщика (подрядчика, исполнителя) ___________________________

Категории Цены поставщиков Средняя цена за единицу Цены поставщиков Средняя цена за единицу Цены поставщиков Среднее арифметическое значение цена за единицу Начальная (максимальная) цена Сведения о цене на аналогичные (сопоставимые) товары, содержащиеся в подсистеме "Портал Поставщиков" ЕАИСТ
1 2 3 4 5 6 7 8 9 10 11 12 13 14 15
(в ред. Распоряжения Правительства Москвы от 17.04.2018 N 208-РП)
Наименование поставщиков X X X X X
Наименование товара, технические характеристики X X
Количество единиц товара X X
Модель, производитель X
Цена за единицу товара - всего Средняя из средних цен за единицу
(в ред. Распоряжения Правительства Москвы от 12.07.2016 N 341-РП)
в том числе: X X X X X
X X X X
X X X X
X ф X X X
X X X X
Итого X X X X X X X X X X X X Средняя из средних цен на весь объем X
(в ред. Распоряжения Правительства Москвы от 12.07.2016 N 341-РП)
Наименование товара, технические характеристики X
Количество единиц товара X
Модель, производитель
Цена за единицу товара - всего Средняя из средних цен за единицу
(в ред. Распоряжения Правительства Москвы от 12.07.2016 N 341-РП)
в том числе: X X X X X
X X X X
X X X X
X X X X
Итого X X X X X X X X X X X X Средняя из средних цен на весь объем X
(в ред. Распоряжения Правительства Москвы от 12.07.2016 N 341-РП)
Итого товары X X X X X X X X X X X X X

Ф.И.О. и должность лица, получившего указанные сведения ____________________________ Подпись _____________________

Дата составления ____________________

Примечания:

1. При осуществлении закупок товаров за пределами территории Российской Федерации, на условиях, предусматривающих выплату поставщиком таможенных пошлин, налогов и сборов, установленных законодательством Российской Федерации, таблица дополняется соответствующей строкой.

2. Средняя цена за единицу рассчитывается как среднее арифметическое цен, предложенных поставщиками по каждой модели товара, при этом необходимо учитывать наличие (отсутствие) доставки товара.

Средние арифметические значения рассчитываются для каждой модели товара, включая все комплектующие. Графы "Средняя цена" для отдельных элементов комплектации не заполняются.

3. Расчет стоимости всего объема закупаемого товара производится на основании цен каждого опрошенного поставщика. Результаты расчетов указываются в строке "Итого". Строка "Итого товары" используется для суммирования итоговых цен всех наименований (позиций) закупаемого товара и используется при закупке двух и более наименований товара в рамках одного лота (контракта). При закупке одного наименования товара в строку "Итого товары" переносятся данные строки "Итого".

4. В строке "Наименование поставщиков" указывается наименование поставщика, его адрес, ИНН, Ф.И.О. уполномоченного лица, контактный телефон или его порядковый номер с указанием в сноске его наименования, адреса, ИНН, Ф.И.О. уполномоченного лица, контактный телефон. Число граф может быть уменьшено или увеличено в соответствии с числом опрошенных поставщиков.

5. В строке "в том числе:" указывается наименование товара в базовой или иной комплектации, дополнительные элементы, запасные части, расходные материалы, сопутствующие и иные услуги, работы, предусмотренные контрактом. Цены указываются в расчете на единицу закупаемого товара.

6. В графе 15 указывается наименование поставщика, модель, цена на аналогичные (сопоставимые) товары, содержащиеся в подсистеме "Портал поставщиков" ЕАИСТ. При отсутствии в подсистеме "Портал поставщиков" соответствующей информации указывается "информация отсутствует".

7. Графы и строки, заполненные символом "X" не заполняются.

Приложение 4
к Методическим рекомендациям

ОПРЕДЕЛЕНИЕ НАЧАЛЬНОЙ (МАКСИМАЛЬНОЙ) ЦЕНЫ КОНТРАКТА (ЦЕНЫ ЛОТА) НА ПОСТАВКУ ТОВАРОВ С ИСПОЛЬЗОВАНИЕМ МЕТОДА АНАЛИЗА СТОИМОСТИ ТОВАРОВ-АНАЛОГОВ С ПОСЛЕДУЮЩЕЙ КОРРЕКТИРОВКОЙ

(в ред. Распоряжения Правительства Москвы от 17.04.2018 N 208-РП)

Лот N _____________________ Способ определения поставщика (подрядчика, исполнителя) _________________________

Категории Цены поставщиков Средняя цена за единицу Цены поставщиков Средняя цена за единицу Цены поставщиков Средняя цена за единицу Начальная (максимальная) цена Сведения о цене на аналогичные (сопоставимые) товары, содержащиеся в подсистеме "Портал Поставщиков" ЕАИСТ
1 2 3 4 5 6 7 8 9 10 11 12 13 14 15
Наименование поставщиков X X X X X
Наименование товара, технические характеристики X X
Количество единиц товара X X
Модель, производитель X
Цена за единицу товара - всего Среднее арифметическое значение из средних цен за единицу
(в ред. Распоряжения Правительства Москвы от 17.04.2018 N 208-РП)
в том числе: X X X X X
X X X X
X X X X
X X X X
X X X X
Итого X X X X X X X X X X X X Наибольшая из средних цен на весь объем X
Наименование товара, технические характеристики X
Количество единиц товара X
Модель, производитель
Цена за единицу товара - всего Наибольшая из средних цен за единицу
в том числе: X X X X X
X X X X
X X X X
X X X X
Итого X X X X X X X X X X X X Наибольшая из средних цен на весь объем X
Итого товары X X X X X X X X X X X X X
                             

Ф.И.О. и должность лица, получившего указанные сведения _________________________ Подпись _____________________

Дата составления _____________________

Примечания:

1. При формировании таблицы число граф устанавливается в соответствии с числом выбранных моделей товаров- аналогов, исходя из количества поставщиков и (или) источников информации о ценах на соответствующую модель товара-аналога.

2. Средняя цена за единицу рассчитывается как среднее арифметическое цен, предложенных поставщиками по каждой модели товара-аналога, при этом необходимо учитывать наличие (отсутствие) доставки товара.

3. При заполнении таблицы в строке "Стоимость товара-аналога" указываются цены на модели товаров-аналогов, предлагаемые разными поставщиками и (или) полученные из разных источников.

В строках "Элементы, исключаемые из комплектации товара-аналога" указываются цены на элементы комплектации товаров-аналогов, не требующиеся заказчику города Москвы, и подлежащие исключению из стоимости товара-аналога (если таковые имеются). В строках "Дополнительные элементы, включаемые в комплектацию товара", указываются элементы комплектации, не содержащиеся в товаре-аналоге, но предусмотренные техническими спецификациями и подлежащие включению в состав закупаемого товара (если таковые имеются). При отсутствии сведений о ценах на каждый элемент из всех используемых источников информации могут использоваться данные, получаемые из одного источника (от одного поставщика).

В строке "Стоимость товара-аналога в требуемой комплектации" указывается стоимость товара-аналога в комплектации, соответствующей техническим спецификациям. Указанная строка заполняется только при заполнении строки "Элементы, исключаемые из комплектации товара-аналога" и "Дополнительные элементы, включаемые в комплектацию товара". В этом случае в графах "Средняя цена за единицу" указываются средние значения, рассчитанные на основе данных о ценах, полученных от каждого поставщика (источника).

В остальных случаях заполнению подлежат только графы "Средняя цена за единицу", в которые записываются результаты расчета стоимости товаров-аналогов в требуемой комплектации на основе усредненных значений цен товаров-аналогов и элементов, исключаемых и дополнительно включаемых в его комплектацию.

При необходимости таблица дополняется строками, отражающими стоимость запасных частей, сопутствующих услуг, работ, дополнительных сроков и объемов гарантии качества товара и иные элементы, а также стоимость доставки, если таковые предусмотрены.

4. В строке "Наименование поставщиков" указывается наименование поставщика, его адрес, ИНН, Ф.И.О. уполномоченного лица, контактный телефон или его порядковый номер с указанием в сноске его наименования, адреса, ИНН, Ф.И.О. уполномоченного лица, контактный телефон. Число столбцов может быть уменьшено или увеличено в соответствии с числом опрошенных поставщиков.

5. В графе 15 указывается наименование поставщика, модель, цена на аналогичные (сопоставимые) товары, содержащиеся в подсистеме "Портал поставщиков" ЕАИСТ. При отсутствии в подсистеме "Портал поставщиков" соответствующей информации указывается "информация отсутствует".

6. Графы и строки, заполненные символом "X" не заполняются.

Приложение 5
к Методическим рекомендациям

ОПРЕДЕЛЕНИЕ НАЧАЛЬНОЙ (МАКСИМАЛЬНОЙ) ЦЕНЫ КОНТРАКТА (ЦЕНЫ ЛОТА) НА ПОСТАВКУ ТОВАРОВ С ИСПОЛЬЗОВАНИЕМ ПАРАМЕТРИЧЕСКОГО МЕТОДА С ПРИМЕНЕНИЕМ ПОКАЗАТЕЛЯ УДЕЛЬНОЙ ЦЕНЫ ОСНОВНОГО ПАРАМЕТРА

Лот N ___________________ Способ определения поставщика (подрядчика, исполнителя) _____________________________

Категории Модель товара Среднее значение Новый товар
N1 N2 N3
Значение основного параметра товара X
Цена единицы товара X
Удельная цена основного параметра товара X
Количество X X X X
Начальная (максимальная) цена контракта (цена лота) X X X X

Ф.И.О. и должность лица, получившего указанные сведения _________________________ Подпись _____________________

Дата составления _____________________

Примечания:

1. В строке "Значение основного параметра товара" указываются величины основного параметра товара, характерного для моделей, включенных в перечень, а также нового товара, требующегося заказчику города Москвы. В строке "Цена единицы товара" указываются цены товаров моделей, включенных в перечень.

2. Результат, полученный по формуле пункта 2.4.4 настоящих Методических рекомендаций, заносится в строку

"Удельная цена основного параметра товара". В графе "Среднее значение" указывается среднее арифметическое значение удельной цены основного параметра товара.

3. В строку "Цена единицы товара" графы "Новый товар" заносятся результаты произведения среднего значения показателя "Удельная цена основного параметра товара" и значения, указанного в строке "Значение основного параметра" графы "Новый товар". В строку "Начальная (максимальная) цена контракта (цена лота)" графы "Новый товар" заносятся результаты произведения значения, указанного в строке "Цена единицы товара" графы "Новый товар" и значения, указанного в строке "Количество" графы "Новый товар".

4. Графы и строки, заполненные символом "X" не заполняются.

Приложение 6
к Методическим рекомендациям

ОПРЕДЕЛЕНИЕ НАЧАЛЬНОЙ (МАКСИМАЛЬНОЙ) ЦЕНЫ КОНТРАКТА (ЦЕНЫ ЛОТА) НА ВЫПОЛНЕНИЕ РАБОТ, ОКАЗАНИЕ УСЛУГ С ИСПОЛЬЗОВАНИЕМ МЕТОДА АНАЛИЗА РЫНОЧНОЙ СТОИМОСТИ ЗАКУПАЕМЫХ ТОВАРОВ, РАБОТ, УСЛУГ

(в ред. Распоряжения Правительства Москвы от 13.12.2016 N 656-РП)

Лот N ___________________ Способ определения поставщика (подрядчика, исполнителя) _____________________________

Наименование работы, услуги Основные характеристики Единица измерения Цена за единицу Количество работ, услуг Стоимость работ, услуг
Источники информации Средняя цена
Итого начальная (максимальная) цена контракта (цена лота)
Дата сбора данных
Срок действия цен

Ф.И.О. и должность лица, получившего указанные сведения _________________________ Подпись _____________________

Дата составления _____________________

Примечания:

1. Для каждого вида работ, услуг, включенных в состав контракта (лота), в таблицу заносятся следующие данные: - наименование закупаемого вида работ, услуг (графа "Наименование работы, услуги");

- основные качественные и иные характеристики закупаемого вида работы, услуги и (или) требования, предъявляемые к предоставляющим их фирмам (графа "Основные характеристики");

- единица измерения стоимости работ, услуг (графа "Единица измерения");

- наименования опрошенных юридических лиц, индивидуальных предпринимателей, физических лиц, выполняющих работы, предоставляющих услуги требуемого качества, с указанием в сносках к таблице их адреса, ИНН, Ф.И.О. уполномоченного лица, контактного телефона (заголовки граф "Цены за единицу");

- цены за единицу, полученные от юридических лиц, индивидуальных предпринимателей, физических лиц, выполняющих работы, оказывающих соответствующие услуги (графы "Цены за единицу");

- количественные показатели единиц закупаемого вида работ, услуг (например нормо-часы), виды работ, услуг и другие показатели (графа "Количество работ, услуг").

2. Стоимость каждого вида работ, услуг производится на основании усредненных цен, рассчитанных как среднее арифметическое единичных цен.

2.1. При определении стоимости каждого вида работ, услуг на основе усредненных цен в таблицу заносятся следующие данные, полученные расчетным путем:

- среднее арифметическое единичных цен работ, услуг (графа "Средняя цена");

- стоимость вида работ, услуг, полученная как произведение средних единичных цен (графа "Средняя цена") и объема закупаемых работ, услуг (графа "Количество работ, услуг"), указывается в графе "Стоимость работ, услуг".

2.2. НМЦК рассчитывается путем сложения данных, содержащихся в графе "Стоимость работ, услуг".

Приложение 7
к Методическим рекомендациям

РАСЧЕТ НАЧАЛЬНОЙ (МАКСИМАЛЬНОЙ) ЦЕНЫ КОНТРАКТА (ЦЕНЫ ЛОТА) НА ВЫПОЛНЕНИЕ ПРОЕКТНО-ИЗЫСКАТЕЛЬСКИХ РАБОТ

по объекту: ____________________________________________________________________________________________________

по адресу: _____________________________________________________________________________________________________

Основания для расчета:

1. Градостроительный план земельного участка (ГПЗУ) от ________________ N ________.

2. Постановление Правительства Москвы от ________________ N ________.

3. Техническое задание.

4. Технологическое задание (при необходимости).

5. Нормативные документы (справочники, методики и иные документы), в соответствии с которыми выполнен расчет.

тыс. рублей

Наименование работ Стоимость работ в текущих ценах на момент формирования начальной (максимальной) цены контракта "квартал" "год" Прогнозный индекс инфляции на период проектирования Начальная (максимальная) цена контракта с учетом прогнозного индекса инфляции на период проектирования
Инженерные изыскания (при необходимости) <2>
Разработка проектной документации К инфляции проектирования <1>
Резерв на непредвиденные работы и затраты (по решению заказчика города Москвы)
Стоимость без учета НДС
НДС (размер ставки, в %)
Стоимость с учетом НДС

Продолжительность проектирования - ____________ месяцев (в том числе получение положительного заключения Государственного автономного учреждения города Москвы "Московская государственная экспертиза" два месяца)

Заказчик города Москвы:

<1> Начальная (максимальная) цена контракта с учетом продолжительности проектных работ определяется как произведение стоимости работ в текущем уровне цен на дату формирования на прогнозный индекс инфляции, учитывающий продолжительность проектных работ (К инфляции проектирования).

Прогнозный индекс инфляции на период проектирования (К инфляции проектирования) определяется делением значения коэффициента инфляции стоимости предпроектных, проектных и других работ соответствующего периода окончания работ на значение коэффициента инфляции соответствующего периода начала работ. Значение полученного числа после запятой делится пополам и эта величина прибавляется к единице.

<2> Стоимость инженерных изысканий на период выполнения работ не индексируется.

Приложение 8
к Методическим рекомендациям

РАСЧЕТ НАЧАЛЬНОЙ (МАКСИМАЛЬНОЙ) ЦЕНЫ КОНТРАКТА (ЦЕНЫ ЛОТА) НА ОКАЗАНИЕ УСЛУГ ПО ИСПОЛНЕНИЮ ФУНКЦИЙ ТЕХНИЧЕСКОГО ЗАКАЗЧИКА НА ПЕРИОД СТРОИТЕЛЬСТВА, РЕКОНСТРУКЦИИ, КАПИТАЛЬНОГО РЕМОНТА ОБЪЕКТОВ КАПИТАЛЬНОГО СТРОИТЕЛЬСТВА И СТРОИТЕЛЬНЫХ РАБОТ, ВЫПОЛНЯЕМЫХ НА ОБЪЕКТАХ, НЕ ЯВЛЯЮЩИХСЯ ОБЪЕКТАМИ КАПИТАЛЬНОГО СТРОИТЕЛЬСТВА

(в ред. Распоряжения Правительства Москвы от 17.04.2018 N 208-РП)

по объекту: ____________________________________________________________________________________________________

по адресу: _____________________________________________________________________________________________________

Основания для расчета:

1. Правовой акт об утверждении проектной документации, включая сводный сметный расчет стоимости строительства объекта, от ________________ г. N ________.

2. Заключение Государственного автономного учреждения города Москвы "Московская государственная экспертиза" от ________________ г. N ________.

3. Утвержденный сводный сметный расчет.

тыс. рублей

Наименование работ и услуг <1> Утвержденная сметная стоимость строительства в текущем уровне цен на 20 г. Сметная стоимость строительства в текущем уровне цен, пересчитанная на момент формирования цены Прогнозный индекс инфляции на оказание услуг по исполнению функций технического заказчика на период строительства Начальная (максимальная) цена контракта с учетом прогнозного индекса инфляции на период строительства 20 г.
1 2 3 4 5
Вынос трассы объекта в натуру (на местность) К инфляции проектирования
Строка Контрольная геодезическая и топографическая съемка - Утратила силу.
(в ред. Распоряжения Правительства Москвы от 17.04.2018 N 208-РП)
Услуги военизированных горноспасательных отрядов К инфляции строительства
Перевозка негабаритных грузов К инфляции строительства
Использование "железнодорожных окон" X
Строка Страхование строительных рисков - Утратила силу.
(в ред. Распоряжения Правительства Москвы от 17.04.2018 N 208-РП)
Обследование зданий, строений, сооружении К инфляции проектирования
Мониторинг здании,строении, сооружении К инфляции проектирования
Научное сопровождение К инфляции проектирования
Компенсационное озеленение <3> X
Экспертиза промышленной безопасности X
Авторский надзор К инфляции проектирования
Ввод объекта в эксплуатацию <5> К инфляции строительства
(в ред. Распоряжения Правительства Москвы от 17.04.2018 N 208-РП)
Прочие работы и затраты, производимые техническим заказчиком К инфляции строительства
Содержание службы заказчика и осуществление строительного контроля По расчету
Резерв на непредвиденные работы и затраты <4> По расчету
Стоимость без учета НДС
НДС (размер ставки, в%)
Стоимость с учетом НДС

Продолжительность строительства по проекту организации строительства (ПОС) - ________ месяцев

Начало строительства _____________20_____ г.,

окончание строительства _____________20_____ г.

Расчет прогнозного индекса инфляции К инфляции строительства: (________ + _________) / 2 =

По строкам с указанием символа "X" в графе 4 прогнозный индекс инфляции не начисляется.

Заказчик города Москвы:

<1> Заполняется в соответствии со структурой работ и услуг по исполнению функций заказчика на период выполнения работ в составе утвержденного сводного сметного расчета стоимости строительства.

Сноска <2> - Утратила силу. (в ред. Распоряжения Правительства Москвы от 17.04.2018 N 208-РП)

<3> По решению заказчика города Москвы.

<4> Решение о включении в начальную (максимальную) цену контракта резерва средств на непредвиденные работы и затраты и распределении средств на непредвиденные работы и затраты между подрядной организацией и техническим заказчиком, порядок расходования непредвиденных работ и затрат принимается заказчиком города Москвы, в соответствии с условиями контракта и конкурсной документации.

Резерв средств на непредвиденные работы и затраты начисляется в процентах от суммы затрат, поручаемых техническому заказчику в размере в зависимости от вида строительства.

<5> Без учета затрат на проведение контрольно-геодезической съемки подземных коммуникаций и сооружений, подземных частей зданий и сооружений - для работ, организованных органами исполнительной власти города Москвы или подведомственными им организациями на объектах государственной собственности города Москвы. (в ред. Распоряжения Правительства Москвы от 17.04.2018 N 208-РП)

Приложение 9
к Методическим рекомендациям

РАСЧЕТ НАЧАЛЬНОЙ (МАКСИМАЛЬНОЙ) ЦЕНЫ КОНТРАКТА (ЦЕНЫ ЛОТА) НА ВЫПОЛНЕНИЕ ПОДРЯДНЫХ РАБОТ ПО СТРОИТЕЛЬСТВУ, РЕКОНСТРУКЦИИ, КАПИТАЛЬНОМУ РЕМОНТУ ОБЪЕКТОВ КАПИТАЛЬНОГО СТРОИТЕЛЬСТВА И СТРОИТЕЛЬНЫХ РАБОТ, ВЫПОЛНЯЕМЫХ НА ОБЪЕКТАХ, НЕ ЯВЛЯЮЩИХСЯ ОБЪЕКТАМИ КАПИТАЛЬНОГО СТРОИТЕЛЬСТВА

по объекту: ____________________________________________________________________________________________________

по адресу: _____________________________________________________________________________________________________

Основания для расчета:

1. Правовой акт об утверждении проектной документации, включая сводный сметный расчет стоимости строительства объекта, от ________________ г. N ________.

2. Заключение Государственного автономного учреждения города Москвы "Московская государственная экспертиза" от ________________ г. N ________.

3. Утвержденный сводный сметный расчет, либо утвержденный локальный сметный расчет.

тыс. рублей

Наименование работ и услуг <1> Утвержденная сметная стоимость строительства в текущем уровне цен на 20 г. Сметная стоимость строительства в текущем уровне цен, пересчитанная на момент формирования цены Прогнозный индекс инфляции на оказание услуг по исполнению функций технического заказчика на период строительства Начальная (максимальная) цена контракта с учетом прогнозного индекса инфляции на период строительства 20 г.
1 2 3 4 5
Вынос трассы объекта в натуру (на местность) К инфляции проектирования
Контрольная геодезическая и топографическая съемка К инфляции проектирования
Услуги военизированных горноспасательных отрядов К инфляции строительства
Перевозка негабаритных грузов К инфляции строительства
Использование "железнодорожных окон" X
Страхование строительных рисков <2> К инфляции строительства
Обследование зданий, строений, сооружении К инфляции проектирования
Мониторинг здании,строении, сооружении К инфляции проектирования
Научное сопровождение К инфляции проектирования
Компенсационное озеленение <3> X
Экспертиза промышленной безопасности X
Авторский надзор К инфляции проектирования
Ввод объекта в эксплуатацию К инфляции строительства
Прочие работы и затраты, производимые техническим заказчиком К инфляции строительства
Содержание службы заказчика и осуществление строительного контроля По расчету
Резерв на непредвиденные работы и затраты <4> По расчету
Стоимость без учета НДС
НДС (размер ставки, в%)
Стоимость с учетом НДС

Продолжительность строительства по проекту организации строительства (ПОС) - _________ месяцев.

Начало строительства _____________20_____ г.,

окончание строительства _____________20_____ г.

Расчет прогнозного индекса инфляции К инфляции строительства: (________ + _________) / 2 =

По строкам с указанием символа "X" в графе 4 прогнозный индекс инфляции не начисляется.

Заказчик города Москвы:

<1> Заполняется в соответствии со структурой работ, выполняемых подрядной организацией, в составе утвержденного сводного сметного расчета стоимости строительства.

<2> К инфляции строительства - прогнозный индекс инфляции на период строительства.

<3> По решению заказчика города Москвы.

<4> Решение о включении в начальную (максимальную) цену контракта резерва средств на непредвиденные работы и затраты и распределении средств на непредвиденные работы и затраты между подрядной организацией и техническим заказчиком, а также порядке расходования средств на непредвиденные работы и затраты принимается заказчиком города Москвы в соответствии с условиями контракта и конкурсной документацией.

Резерв средств на непредвиденные работы и затраты начисляется в процентах от суммы работ и затрат, производимых подрядчиком в зависимости от вида строительства.

Приложение 10
к Методическим рекомендациям

РАСЧЕТ НАЧАЛЬНОЙ (МАКСИМАЛЬНОЙ) ЦЕНЫ КОНТРАКТА (ЦЕНЫ ЛОТА) НА ПОСТАВКУ ОБОРУДОВАНИЯ

по объекту: ____________________________________________________________________________________________________

по адресу: _____________________________________________________________________________________________________

Основания для расчета:

1. Правовой акт об утверждении проектной документации, включая сводный сметный расчет стоимости строительства объекта, от ________________ г. N ________.

2. Заключение Государственного автономного учреждения города Москвы "Московская государственная экспертиза" от ________________ г. N ________.

3. Утвержденный сводный сметный расчет, либо утвержденный локальный сметный расчет.

4. Предложения поставщиков.

тыс. рублей

Наименование оборудования Начальная (максимальная) цена контракта (цена лота)
Стоимость без учета НДС
НДС (размер ставки, в %)
Стоимость с учетом НДС

Заказчик города Москвы:

Приложение 11
к Методическим рекомендациям

РАСЧЕТ НАЧАЛЬНОЙ (МАКСИМАЛЬНОЙ) ЦЕНЫ КОНТРАКТА (ЦЕНЫ ЛОТА) ПРИ ОСУЩЕСТВЛЕНИИ ЕДИНОЙ ЗАКУПКИ УСЛУГ ПО ИСПОЛНЕНИЮ ФУНКЦИЙ ТЕХНИЧЕСКОГО ЗАКАЗЧИКА НА ПЕРИОД ВЫПОЛНЕНИЯ ПРОЕКТНО-ИЗЫСКАТЕЛЬСКИХ РАБОТ, НА ПЕРИОД СТРОИТЕЛЬСТВА (РЕКОНСТРУКЦИИ, КАПИТАЛЬНОГО РЕМОНТА ОБЪЕКТОВ), НА ВЫПОЛНЕНИЕ ПРОЕКТНО-ИЗЫСКАТЕЛЬСКИХ РАБОТ, НА ВЫПОЛНЕНИЕ ПОДРЯДНЫХ РАБОТ И НА ПОСТАВКУ ОБОРУДОВАНИЯ (УСЛУГИ УПРАВЛЯЮЩЕЙ КОМПАНИИ НА СТРОИТЕЛЬСТВО ОБЪЕКТА "ПОД КЛЮЧ")

по объекту: ____________________________________________________________________________________________________

по адресу: _____________________________________________________________________________________________________

Основания для расчета:

1. Правовой акт об утверждении проектной документации, включая сводный сметный расчет стоимости строительства объекта, от ________________ г. N ________.

2. Заключение Государственного автономного учреждения города Москвы "Московская государственная экспертиза" от ________________ г. N ________.

тыс. рублей

Наименование работ и затрат Утвержденная сметная стоимость строительства объекта-аналога в текущем уровне цен на 20 г. Прогнозный индекс инфляции Начальная (максимальная) цена контракта с учетом прогнозного индекса инфляции
Стоимость услуг по исполнению функций технического заказчика
Стоимость проектно-изыскательских работ
Стоимость услуг по исполнению функций технического заказчика на период строительства
Стоимость выполнения подрядных работ и затрат
Стоимость оборудования
Итого

Заказчик города Москвы:

Приложение 12
к Методическим рекомендациям

ПРОТОКОЛ СТОИМОСТИ СТРОИТЕЛЬСТВА ОБЪЕКТА _________________________________________

по адресу: __________________________________________________________________________

Основания для расчета:

1. Правовой акт об утверждении проектной документации, включая сводный сметный расчет стоимости строительства объекта,от ________________ г. N ________.

2. Заключение Государственного автономного учреждения города Москвы "Московская государственная экспертиза" от ________________ г. N ________.

3. Решение конкурсной комиссии от ___________________________ г.

в ценах 20___ года, тыс. рублей

Наименование работ и затрат Стоимость работ, услуг и затрат в текущем уровне цен с учетом прогнозных индексов инфляции на период проектирования и строительства 20___ г. по результатам торгов
Всего В том числе
по исполнению функций технического заказчика на период проектирования по исполнению функций технического заказчика на период строительства на выполнение подрядных работ заказчика города Москвы
1 2 3 4 5 6
Общая площадь объекта
Встроенно-пристроенные помещения
Подземная автостоянка
Стоимость услуг по исполнению функций технического заказчика с выполнением проектных работ По результатам закупок
Стоимость услуг по исполнению функций технического заказчика на период строительства По результатам закупок
Стоимость выполнения подрядных работ и затрат По результатам закупок
Стоимость оборудования По результатам закупок
Компенсационные выплаты <1> затраты заказчика города Москвы
Стоимость без учета НДС
Плата за подключение к инфраструктуре субъектов естественных монополий <1> затраты заказчика города Москвы
Стоимость с учетом НДС

Снижение стоимости оказания услуг по исполнению функций технического заказчика с выполнением проектных работ по результатам торгов составляет _____________ рублей

Снижение стоимости оказания услуг по исполнению функций технического заказчика на период строительства по результатам торгов составляет ________________ рублей

Снижение стоимости выполнения подрядных работ по результатам торгов составляет ________________ рублей

Снижение стоимости поставки оборудования по результатам торгов составляет ________________ рублей

Заказчик города Москвы:

<1> Затраты оплачиваются заказчиком города Москвы