Приказ Минэкономразвития РФ от 06.03.2006 N 66

"О проведении открытых конкурсов по отбору инвестиционных консультантов для оценки эффективности инвестиционных проектов, претендующих на предоставление государственной поддержки за счет средств инвестиционного фонда Российской Федерации"
Редакция от 06.03.2006 — Действует

МИНИСТЕРСТВО ЭКОНОМИЧЕСКОГО РАЗВИТИЯ И ТОРГОВЛИ РОССИЙСКОЙ ФЕДЕРАЦИИ

ПРИКАЗ
от 6 марта 2006 г. N 66

О ПРОВЕДЕНИИ ОТКРЫТЫХ КОНКУРСОВ ПО ОТБОРУ ИНВЕСТИЦИОННЫХ КОНСУЛЬТАНТОВ ДЛЯ ОЦЕНКИ ЭФФЕКТИВНОСТИ ИНВЕСТИЦИОННЫХ ПРОЕКТОВ, ПРЕТЕНДУЮЩИХ НА ПРЕДОСТАВЛЕНИЕ ГОСУДАРСТВЕННОЙ ПОДДЕРЖКИ ЗА СЧЕТ СРЕДСТВ ИНВЕСТИЦИОННОГО ФОНДА РОССИЙСКОЙ ФЕДЕРАЦИИ

Во исполнение пункта 23 Положения об Инвестиционном фонде Российской Федерации, утвержденного Постановлением Правительства Российской Федерации от 23 ноября 2005 г. N 694 (Собрание законодательства Российской Федерации, 2005, N 48, ст. 5043), приказываю:

1. Объявить открытые конкурсы в 2006 году по отбору инвестиционных консультантов для оценки эффективности инвестиционных проектов, претендующих на предоставление государственной поддержки за счет средств Инвестиционного фонда Российской Федерации в соответствии с приложением 1.

2. Утвердить прилагаемую конкурсную документацию на проведение открытых конкурсов по отбору инвестиционных консультантов для оценки эффективности инвестиционных проектов, претендующих на предоставление государственной поддержки за счет средств Инвестиционного фонда Российской Федерации (приложение 2).

3. Создать Единую комиссию Минэкономразвития России по отбору инвестиционных консультантов для оценки эффективности инвестиционных проектов, претендующих на предоставление государственной поддержки за счет средств Инвестиционного фонда Российской Федерации и утвердить ее состав (приложение 3).

4. Департаменту инвестиционной политики (С.В. Ганеева):

осуществить организационные мероприятия по проведению открытых конкурсов;

обеспечить опубликование в информационно-аналитическом бюллетене "Конкурсные торги" объявления о проведении открытых конкурсов, а также итогов открытых конкурсов;

обеспечить подготовку государственных контрактов и согласование их с победителями открытых конкурсов.

5. Помощнику Министра А.О. Борисенковой обеспечить размещение на внешнем сайте Министерства информации о проведении открытых конкурсов и их результатов.

6. Финансовому департаменту (С.Н. Бабарин) произвести оплату услуг инвестиционных консультантов в соответствии с государственными контрактами, заключенными Минэкономразвития России с победителями конкурсов, за счет средств федерального бюджета, предусмотренных на 2006 год по целевой статье расходов "Инвестиционный фонд".

7. Контроль за исполнением настоящего Приказа возложить на заместителя Министра Андросова К.Г.

Министр
Г.О.ГРЕФ

Приложение 1
к Приказу
Минэкономразвития России
от 6 марта 2006 г. N 66

N Лота Предмет конкурса Начальная цена, млн. руб. в 2006 году (включая НДС)
1 Оценка инвестиционных проектов в сфере комплексного содействия социально-экономическому развитию Российской Федерации через реализацию инвестиционных проектов 100,0
2 Оценка инвестиционных проектов в сфере развития инфраструктуры, в том числе транспортной, инновационной, институциональной, социальной 100,0
3 Оценка инвестиционных проектов по стимулированию экономических и социальных преобразований с целью создания условий для устойчивого экономического роста 100,0

Приложение 2
к Приказу
Минэкономразвития России
от 6 марта 2006 г. N 66

КОНКУРСНАЯ ДОКУМЕНТАЦИЯ

ЗАКУПКА УСЛУГ ИНВЕСТИЦИОННОГО КОНСУЛЬТАНТА ДЛЯ ГОСУДАРСТВЕННЫХ НУЖД

Москва 2006

ЧАСТЬ I. КОНКУРС

РАЗДЕЛ I.1. ПРИГЛАШЕНИЕ К УЧАСТИЮ В КОНКУРСЕ

Уважаемые дамы и господа!

Настоящим приглашаются к участию в конкурсе, полная информация о котором указана в Информационной карте конкурса, любые юридические лица независимо от организационно-правовой формы, формы собственности, места нахождения и места происхождения капитала или любые физические лица, в том числе индивидуальные предприниматели.

Заинтересованные лица могут скачать полный комплект настоящей конкурсной документации в электронном виде бесплатно.

На основании заявления любого заинтересованного лица, поданного в письменной форме, в том числе в форме электронного документа, в течение двух дней со дня получения соответствующего заявления экземпляр конкурсной документации на бумажном носителе предоставляется такому лицу в порядке, указанном в извещении о проведении настоящего конкурса.

Документы могут быть также направлены заинтересованным лицам по почте или курьером. После поступления соответствующего заявления и внесения платы (если такая плата установлена) документы будут незамедлительно направлены курьером, но отправитель не берет на себя ответственности за их утерю или вручение с запозданием.

На официальном сайте, указанном в Информационной карте конкурса, будут публиковаться все разъяснения, касающиеся положений настоящей конкурсной документации, а также все изменения или дополнения конкурсной документации, в случае возникновения таковых.

Вес изменения и дополнения конкурсной документации будут направляться заказными письмами или в форме электронных документов всем Участникам конкурса, направившим соответствующие заявления и получившим конкурсную документацию на бумажном носителе.

Обращаем внимание на то, что Участники размещения заказа, скачавшие комплект конкурсной документации на официальном сайте и не направившие заявления на получение конкурсной документации на бумажном носителе, должны самостоятельно отслеживать появление на официальном сайте разъяснений, изменений или дополнений конкурсной документации. Заказчик, уполномоченный орган или специализированная организация не несут обязательств или ответственности в случае неполучения такими Участниками размещения заказа разъяснений, изменений или дополнений к конкурсной документации.

РАЗДЕЛ I.2. ОБЩИЕ УСЛОВИЯ ПРОВЕДЕНИЯ КОНКУРСА

1. ОБЩИЕ СВЕДЕНИЯ

1.1. Законодательное регулирование

1.1.1. Настоящая конкурсная документация подготовлена в соответствии с Федеральным законом от 21.07.2005 N 94-ФЗ "О размещении заказов на поставки товаров, выполнение работ, оказание услуг для государственных и муниципальных нужд", Законом РСФСР от 22.03.1991 N 948-1 "О конкуренции и ограничении монополистической деятельности на товарных рынках", Гражданским кодексом РФ, Бюджетным кодексом РФ.

1.2. Заказчик, уполномоченный орган, специализированная организация

1.2.1. Заказчик (уполномоченный орган), указанный в Информационной карте конкурса, проводит конкурс, предмет и условия которого указаны в Информационной карте конкурса, в соответствии с процедурами, условиями и положениями настоящей конкурсной документации.

1.2.2. Специализированная организация, если таковая назначена Заказчиком (уполномоченным органом), указывается в Информационной карте конкурса, выполняет часть функций по организации и проведению конкурса, определенных соответствующим договором.

1.3. Предмет конкурса. Место и сроки выполнения работ (поставки)

1.3.1. Заказчик (уполномоченный орган) желает выбрать исполнителя на поставку товаров, выполнение работ, оказание услуг, информация о которых содержится в Информационной карте конкурса, в соответствии с процедурами и условиями, приведенными в конкурсной документации, в том числе в проекте государственного контракта (Часть II).

1.3.2. Победивший Участник конкурса должен будет поставить товары, выполнить работы, оказать услуги, входящие в предмет государственного контракта, в течение периода, указанного в Информационной карте конкурса, либо в конкурсном предложении победившего Участника, по цене, указанной в его конкурсной заявке.

1.3.3. Определения, зафиксированные в проекте государственного контракта, применяются во всей настоящей конкурсной документации.

1.4. Начальная цена контракта

1.4.1. Начальная цена контракта указана в Информационной карте конкурса. Данная цена не может быть превышена при заключении государственного контракта по итогам конкурса.

1.5. Источник финансирования и порядок оплаты

1.5.1. Финансирование государственного контракта на поставку товаров, выполнение работ, оказание услуг, который будет заключен по результатам данного конкурса, будет осуществляться из источника(ов), указанного(ых) в Информационной карте конкурса.

1.5.2. Порядок оплаты за поставленные товары, выполненные работы, оказанные услуги определяется в проекте государственного контракта, приведенном в конкурсной документации, и указан в Информационной карте конкурса.

1.6. Требования к участникам размещения заказа

1.6.1. В настоящем конкурсе может принять участие любое юридическое лицо независимо от организационно-правовой формы, формы собственности, места нахождения и места происхождения капитала или любое физическое лицо, в том числе индивидуальный предприниматель.

1.6.2. Участник размещения заказа должен соответствовать обязательным требованиям, а именно:

1.6.2.1. требованиям, предъявляемым законодательством Российской Федерации к лицам, осуществляющим поставки товаров, выполнение работ, оказание услуг, являющимся предметом конкурса, а именно:

а) наличие действующих лицензий на выполнение работ по предмету конкурса (если деятельность лицензируется);

б) отсутствие аффилированности с Заказчиком, уполномоченным органом, специализированной организацией, а также с их сотрудниками;

в) соответствие предмету конкурса основных видов деятельности участника (для юридических лиц - определенных на основании его учредительных документов);

1.6.2.2. требованию о непроведении ликвидации участника размещения заказа - юридического лица или непроведении в отношении участника размещения заказа - юридического лица, индивидуального предпринимателя процедуры банкротства;

1.6.2.3. требованию о неприостановлении деятельности участника размещения заказа в порядке, предусмотренном Кодексом Российской Федерации об административных правонарушениях на день рассмотрения заявки на участие в конкурсе;

1.6.2.4. требованию об отсутствии у участника размещения заказа задолженности по начисленным налогам, сборам и иным обязательным платежам в бюджеты любого уровня или государственные внебюджетные фонды за прошедший календарный год, размер которой превышает двадцать пять процентов балансовой стоимости активов участника размещения заказа по данным бухгалтерской отчетности за последний завершенный отчетный период. Участник размещения заказа считается соответствующим установленному требованию в случае, если он обжалует наличие указанной задолженности в соответствии с законодательством Российской Федерации и решение по такой жалобе на день рассмотрение заявки на участие в конкурсе не принято.

1.6.3. При размещении заказа путем проведения конкурса Заказчик (уполномоченный орган) вправе установить дополнительные требования к Участникам конкурса, которые указаны в Информационной карте конкурса:

1.6.3.1. обладание участниками размещения заказа исключительными правами на объекты интеллектуальной собственности, если в связи с исполнением государственного контракта заказчик приобретает права на объекты интеллектуальной собственности;

16.3.2. отсутствие в реестре недобросовестных поставщиков сведений об участниках размещения заказа.

1.6.4. Никакое аффилированное лицо Заказчика (уполномоченного органа), имеющее непосредственную организационно-правовую или финансовую зависимость от Заказчика (уполномоченного органа), выраженную в форме актов учредительства, финансового участия, холдинга, не может подать заявку на участие в конкурсе, если только не будет доказано, что отсутствует достаточная степень общности собственности и/или организационно-правового устройства, позволяющая Заказчику влиять на управление и принятие решений такого аффилированного лица и осуществлять контроль за его деятельностью, что вызывает конфликт интересов.

1.6.5. Юридические и физические лица, которые были привлечены Заказчиком, уполномоченным органом для выполнения услуг по организации конкурса в отношении названного выше государственного контракта, а также их дочерние структуры не являются правомочными по участию в конкурсе. Если Заказчиком, уполномоченным органом будет выявлено участие такой организации, физического лица, то такая заявка будет отклонена.

1.6.6. Участник размещения заказа, который может оказывать влияние на деятельность специализированной организации, также не может подать заявку на участие в конкурсе.

1.7. Привлечение субподрядчиков (субпоставщиков)

1.7.1. Участник размещения заказа вправе подать только одну заявку на участие в конкурсе в отношении каждого предмета конкурса (лота).

1.7.2. Участник размещения заказа может для выполнения работ по предмету конкурса привлечь субподрядные организации в случае, если это допускается в Информационной карте конкурса.

1.7.3. Информация о привлекаемых субподрядчиках (субпоставщиках), объем передаваемых работ (услуг) которым составляет более 10% от суммы государственного контракта, должна быть представлена в составе заявки на участие в конкурсе по форме, установленной в Разделе I.4 (форма 1.4.3).

1.8. Затраты на подготовку заявки на участие в конкурсе

1.8.1. Участник размещения заказа несет все расходы, связанные с подготовкой заявки и участием в конкурсе, и Заказчик, уполномоченный орган или специализированная организация ни в коем случае не будет нести ответственности или иметь обязательства в связи с такими расходами независимо от того, как проводится и чем завершается процесс торгов.

1.9. Преференции

1.9.1. Преференции учреждениям уголовно-исполнительной системы и организациям инвалидов не предусмотрены.

2. КОНКУРСНАЯ ДОКУМЕНТАЦИЯ

2.1. Содержание конкурсной документации

2.1.1. Конкурсная документация включает перечисленные ниже документы, а также дополнения, выпускаемые в соответствии с пунктом 2.3 настоящего Раздела.

Часть I. Конкурс

Раздел I.1. Приглашение к участию в конкурсе

Раздел I.2. Общие условия проведения конкурса

Раздел I.3. Информационная карта конкурса

Раздел I.4. Образцы форм и документов для заполнения Участниками размещения заказа

Часть II. Проект государственного контракта

Часть III. Техническая часть конкурсной документации

2.1.2. Участник размещения заказа обязан изучить конкурсную документацию, включая все инструкции, формы, условия и спецификации. Непредставление полной информации, требуемой по конкурсной документации, представление неверных сведений или подача заявки, в основном не отвечающей требованиям, содержащимся в конкурсной документации, является риском Участника размещения заказа, подавшего такую заявку, который может привести к отклонению его заявки.

2.1.3. Заявка участника, подготовленная не на основании официально полученной редакции конкурсной документации, но соответствующая всем требованиям заказчика (уполномоченного органа), будет рассматриваться на общих основаниях в соответствии с установленным порядком.

2.2. Разъяснение положений конкурсной документации

2.2.1. При проведении конкурса какие-либо переговоры Заказчика, уполномоченного органа, специализированной организации или конкурсной комиссии с участником размещения заказа не допускаются. В случае нарушения указанного положения конкурс может быть признан недействительным в порядке, предусмотренном законодательством Российской Федерации. Заказчик, уполномоченный орган может давать разъяснения положений конкурсной документации.

2.2.2. Любой Участник размещения заказа вправе направить в письменной форме, в том числе в форме электронного документа, Заказчику, уполномоченному органу, специализированной организации запрос о разъяснении положений конкурсной документации. В течение двух рабочих дней со дня поступления указанного запроса Заказчик, уполномоченный орган, специализированная организация обязаны направить в письменной форме или в форме электронного документа разъяснения положений конкурсной документации, если указанный запрос поступил к Заказчику, в уполномоченный орган или специализированную организацию не позднее чем за пять дней до дня окончания подачи заявок на участие в конкурсе, установленного в п. 4.1.1.

2.2.3. В течение одного дня со дня направления разъяснения положений конкурсной документации по запросу Участника размещения заказа такое разъяснение должно быть размещено Заказчиком, уполномоченным органом, специализированной организацией на официальном сайте с указанием предмета запроса, но без указания Участника размещения заказа, от которого поступил запрос. Разъяснение положений конкурсной документации не должно изменять ее суть.

2.3. Внесение изменений и дополнений в конкурсную документацию

2.3.1. Заказчик, уполномоченный орган по собственной инициативе или в соответствии с запросом Участника размещения заказа вправе внести изменения в конкурсную документацию не позднее чем за двадцать дней до дня окончания срока подачи заявок на участие в конкурсе.

2.3.2. В течение пяти дней со дня принятия решения о внесении изменений в конкурсную документацию такие изменения опубликовываются и в течение двух дней размещаются Заказчиком, уполномоченным органом, специализированной организацией в порядке, установленном для опубликования и размещения извещения о проведении открытого конкурса, и направляются заказными письмами или в форме электронных документов всем Участникам конкурса, которым была предоставлена конкурсная документация.

2.3.3. Чтобы предоставить Участникам конкурса разумное время для учета такого изменения при подготовке своих заявок Заказчик, уполномоченный орган вправе, при необходимости и по своему усмотрению, продлить срок подачи заявок в соответствии с пунктом 4.1.1 настоящего Раздела.

2.4. Отказ от проведения конкурса

2.4.1. Заказчик, уполномоченный орган вправе отказаться от проведения конкурса не позднее чем за пятнадцать дней до даты окончания срока подачи заявок на участие в конкурсе.

2.4.2. Извещение об отказе от проведения открытого конкурса со ссылкой на номер публикации с извещением о проведении конкурса опубликовывается и размещается Заказчиком, уполномоченным органом, специализированной организацией соответственно в течение пяти и двух дней со дня принятия решения об отказе от проведения открытого конкурса в порядке, установленном для официального опубликования и размещения на официальном сайте извещения о проведении открытого конкурса.

2.4.3. В течение двух дней со дня принятия указанного решения заказчиком, уполномоченным органом вскрываются конверты и направляются соответствующие уведомления всем Участникам конкурса, подавшим заявки на участие в конкурсе.

2.4.4. В случае, если в Информационной карте конкурса установлено требование обеспечения заявки на участие в конкурсе, Заказчик, уполномоченный орган возвращают участникам конкурса денежные средства, внесенные в качестве обеспечения заявок на участие в конкурсе, в течение пяти дней со дня принятия решения об отказе от проведения открытого конкурса.

3. ПОДГОТОВКА ЗАЯВКИ НА УЧАСТИЕ В КОНКУРСЕ

3.1. Формы заявки на участие в конкурсе

3.1.1. Участник размещения заказа подает заявку на участие в конкурсе в письменной форме в запечатанном конверте, в соответствии с указаниями в Информационной карте конкурса.

3.2. Язык документов, входящих в состав заявки на участие в конкурсе

3.2.1. Заявка на участие в конкурсе, все документы и корреспонденция между Заказчиком, уполномоченным органом, специализированной организацией и Участником размещения заказа, относящиеся к заявке, должны быть составлены на русском языке. Любые вспомогательные документы и печатные материалы, представленные Участником размещения заказа, могут быть написаны на другом языке, если такие материалы сопровождаются точным, заверенным надлежащим образом переводом на русский язык.

3.3. Требования к содержанию документов, входящих в состав заявки на участие в конкурсе

3.3.1. Заявка на участие в конкурсе, которую представляет Участник размещения заказа в соответствии с настоящей конкурсной документацией, должна быть подготовлена по форме, представленной в Разделе I.4 настоящей конкурсной документации, и содержать следующее:

3.3.1.1. сведения и документы об Участнике размещения заказа, подавшем такую заявку:

а) фирменное наименование (наименование), сведения об организационно-правовой форме, о месте нахождения, почтовый адрес (для юридического лица), фамилия, имя, отчество, паспортные данные, сведения о месте жительства (для физического лица), номер контактного телефона, подготовленного по форме, представленной в Разделе I.4 (Анкета Участника размещения заказа) настоящей конкурсной документации;

б) выписку или нотариально заверенную копию выписки из единого государственного реестра юридических лиц (для юридических лиц), выписку или нотариально заверенную копию выписки из единого государственного реестра индивидуальных предпринимателей (для индивидуальных предпринимателей), нотариально заверенные копии документов, удостоверяющих личность (для иных физических лиц), надлежащим образом заверенный перевод на русский язык документов о государственной регистрации юридического лица или физического лица в качестве индивидуального предпринимателя в соответствии с законодательством соответствующего государства (для иностранных лиц);

в) документ, подтверждающий полномочия лица на осуществление действий от имени Участника размещения заказа, в случае необходимости - доверенность, должным образом оформленная и свидетельствующая о том, что лицо (лица), подписывающее заявку, имеет полномочия подписать заявку, и что такая заявка имеет обязательную силу для Участника размещения заказа;

3.3.1.2. документы или копии документов, подтверждающих соответствие Участника размещения заказа установленным требованиям и условиям допуска к участию в конкурсе:

а) документы, подтверждающие внесение денежных средств в качестве обеспечения заявки на участие в конкурсе [данный пункт указывается в том случае, если требуется обеспечение заявки на участие в конкурсе];

б) документы или копии документов, подтверждающие соответствие Участника размещения заказа требованиям, предъявляемым законодательством Российской Федерации к лицам, осуществляющим выполнение работ, являющихся предметом конкурса:

- копии действующих лицензий на виды работ по предмету конкурса (если деятельность лицензируется);

3.3.1.3. предложение о функциональных характеристиках (потребительских свойствах) и качественных характеристиках товара, о качестве работ, услуг и иные предложения об условиях исполнения государственного контракта;

3.3.1.4. предложение о цене контракта (по форме, приложенной в Части II, Проект Государственного Контракта));

3.3.1.5. любые другие документы по усмотрению Участника размещения заказа, если иное не предусмотрено Информационной картой конкурса.

3.3.2. При подготовке заявки на участие в конкурсе и документов, прилагаемых к заявке, не допускается применение факсимильных подписей.

3.4. Цена и валюта конкурсной заявки

3.4.1. Цена контракта, предлагаемая Участником размещения заказа в заявке на участие в конкурсе, не может превышать начальную цену контракта, указанную в Информационной карте конкурса. В случае, если цена контракта, указанная в заявке и предлагаемая участником размещения заказа превышает начальную цену контракта, указанную в Информационной карте конкурса, данная заявка не рассматривается конкурсной комиссией на основании ее несоответствия требованиям, установленным конкурсной документацией.

3.4.2. Участник конкурса производит расчет цены государственного контракта в соответствии с требованиями технической части конкурсной документации (Часть III) и предоставляет предложение по форме, приведенной в Части II, Проект Государственного Контракта.

3.4.3. Участники размещения заказа указывают расценки и цены по всем категориям и пунктам работ, по объектам, описанным в Техническом задании. Категории, по которым цены и расценки не указаны Участником размещения заказа, будут включены в государственный контракт, но не подлежат оплате Заказчиком, уполномоченным органом после их выполнения. Считается, что они покрываются расценками и ценами по другим категориям, приведенным в Техническом задании.

3.4.4. Обоснование стоимости выполнения работ проводится с определением источников снижения начальной цены. Снижение стоимости работ, предлагаемое Участником, должно быть указано по конкретным статьям и структуре затрат. Снижение затрат по материалам должно быть обосновано. Не допускается снижение стоимости работ Участником путем применения общего понижающего коэффициента к стоимости выполнения работ без его обоснования.

3.4.5. Все налоги, пошлины и прочие сборы, которые исполнитель государственного контракта должен оплачивать в соответствии с условиями государственного контракта или на иных основаниях, должны быть включены в расценки и общую цену заявки, представленной Участником размещения заказа, если иное не предусмотрено Информационной картой конкурса.

3.4.6. Цена контракта, содержащаяся в заявке на участие в конкурсе, должна быть выражена в рублях, если иное не предусмотрено Информационной картой конкурса.

3.5. Требования к описанию поставляемого товара, работ, услуг

3.5.1. Описание поставляемого товара, работ, услуг производится в соответствии с требованиями, указанными в Информационной карте конкурса.

3.6. Требования к оформлению заявок на участие в конкурсе

3.6.1. При описании условий и предложений Участников должны приниматься общепринятые обозначения и наименования в соответствии с требованиями действующих нормативных документов.

3.6.2. Сведения, которые содержатся в заявках Участников, не должны допускать двусмысленных толкований.

3.6.3. Все документы, представленные Участниками, должны быть подписаны руководителями (уполномоченными лицами) и скреплены соответствующей печатью (все страницы представленных документов, кроме нотариально заверенных копий, должны быть парафированы/завизированы уполномоченными лицами). Подчистки и исправления не допускаются, за исключением исправлений, парафированных лицами, подписавшими заявку на участие в конкурсе (или лицами, действующими по доверенности). Все экземпляры документации должны иметь четкую печать текстов. Копии документов должны быть заверены в нотариальном порядке в случае, если указание на это содержится в Форме Описи документов, предоставляемых для участия в конкурсе (Раздел I.4).

3.6.4. Все документы, представляемые Участниками в составе заявки на участие в конкурсе, должны быть заполнены по всем пунктам.

3.6.5. Заявка на участие в конкурсе в отношении каждого предмета конкурса (лота), поданная Участником в письменной форме, оформляется следующим образом:

Участник размещения заказа должен подготовить один оригинальный экземпляр заявки на участие в конкурсе, который подшивается в один том и четко помечается "ОРИГИНАЛ". Кроме того, Участник представляет экземпляры копии заявки на участие в конкурсе, четко помеченные "КОПИИ", в количестве, требуемом в Информационной карте конкурса. В случае расхождений конкурсная комиссия будет руководствоваться оригиналом. Участник размещения заказа должен поместить оригинал и каждую копию заявки в отдельные конверты, должным образом маркированные надписями "ОРИГИНАЛ" и "КОПИЯ". Затем эти конверты запечатываются во внешний конверт. При этом на каждом внутреннем и на внешнем конверте указывается наименование открытого конкурса, на участие в котором подается данная заявка.

3.6.6. Не допускается указывать на внешнем конверте наименование (для юридического лица) или фамилию, имя, отчество (для физического лица) участника размещения заказа. Если внешний конверт не запечатан и не маркирован в соответствии с вышеуказанными требованиями, Заказчик, уполномоченный орган, специализированная организация не будут нести никакой ответственности в случае его потери или досрочного вскрытия. Если по внешнему конверту можно идентифицировать Участника размещения заказа или если конверт с заявкой на участие в конкурсе не запечатан должным образом, Заказчик, уполномоченный орган, специализированная организация не вправе принимать такую заявку.

3.6.7. В случае подачи заявок на участие в конкурсе в отношении нескольких лотов одним участником размещения заказа такие заявки подаются отдельно по каждому лоту в разных пакетах.

3.6.8. После окончания срока подачи заявок не допускается внесение изменений в заявки на участие в конкурсе.

3.6.9. Представленные в составе заявки на участие в конкурсе документы не возвращаются Участнику, за исключением обеспечения заявки на участие в конкурсе в порядке и случаях, предусмотренных в пункте 4.6 настоящего Раздела.

4. ПОДАЧА ЗАЯВКИ НА УЧАСТИЕ В КОНКУРСЕ

4.1. Срок получения и регистрации заявок на участие в конкурсе

4.1.1. Прием заявок заканчивается в день вскрытия конвертов с заявками, но не раньше времени, указанного в извещении о проведении открытого конкурса (с учетом всех изменений извещения о проведении конкурса, являющихся неотъемлемой частью извещения о проведении конкурса) и в Информационной карте конкурса.

Заказчик, уполномоченный орган оставляет за собой право продлить срок подачи заявок и внести соответствующие изменения в извещение о проведении открытого конкурса в соответствии с пунктом 2.3 настоящего Раздела.

4.1.2. Заявки на участие в конкурсе до последнего дня срока подачи заявок на участие в конкурсе (исключая последний день подачи заявок на участие в конкурсе) подаются по адресу, указанному в Информационной карте конкурса. В день окончания срока подачи заявок на участие в конкурсе такие заявки подаются на заседании конкурсной комиссии непосредственно перед вскрытием конвертов с заявками на участие в конкурсе по адресу, по которому осуществляется вскрытие конвертов с заявками на участие в конкурсе, указанному в извещении о проведении открытого конкурса, после объявления присутствующим о возможности подать заявки, изменить или отозвать поданные заявки.

4.1.3. Заявки на участие в конкурсе, направленные по почте и поступившие в последний день окончания срока подачи заявок по адресу, по которому подаются заявки на участие в конкурсе в течение всего срока поступления заявок, за исключением последнего дня срока подачи заявок, признаются опоздавшими. Участник размещения заказа при отправке заявки по почте несет риск того, что его заявка будет доставлена по неправильному адресу и признана опоздавшей (п. 4.4.1).

4.1.4. Каждый конверт с заявкой на участие в конкурсе, поступивший в срок, указанный в пункте 4.1.1 настоящего Раздела, регистрируются Заказчиком, уполномоченным органом, специализированной организацией в Журнале регистрации заявок на участие в конкурсе в порядке поступления заявок. Запись регистрации заявки должна включать регистрационный номер заявки, дату, время, способ подачи. При доставке заявки нарочным - также подпись и расшифровку подписи лица, вручившего конверт с заявкой должностному лицу Заказчика, уполномоченного органа.

4.1.5. Лицу, вручившему конверт с заявкой на участие в конкурсе, Заказчиком, уполномоченным органом, специализированной организацией выдается расписка в получении конверта с заявкой на участие в конкурсе. В случае направления заявки на участие в конкурсе по почте соответствующая расписка направляется участнику размещения заказа по почте. Такая расписка должна содержать регистрационный номер заявки на участие в конкурсе, дату, время, способ подачи, подпись и расшифровку подписи должностного лица, получившего конверт с заявкой, указанные в Журнале регистрации заявок на участие в конкурсе.

4.2. Порядок подачи заявок на участие в конкурсе

4.2.1. Заявки на участие в конкурсе в письменной форме, оформленные в соответствии с пунктом 3.6 настоящего Раздела, направляются Участниками размещения заказа таким образом, чтобы они были получены Заказчиком до окончания срока получения заявок.

4.2.2. Участники размещения заказа, подавшие заявки, Заказчик, уполномоченный орган, специализированная организация обязаны обеспечить конфиденциальность сведений, содержащихся в таких заявках, до вскрытия конвертов. Лица, осуществляющие хранение конвертов с заявками, не вправе допускать повреждение таких конвертов до момента их вскрытия.

4.2.3. Если конверт с заявкой не запечатан и не маркирован в порядке, установленном п. 3.6, Заказчик, уполномоченный орган, специализированная организация не несут ответственности за утерю конверта или его содержимого или досрочное вскрытие такого конверта.

4.2.4. В случае, если на конверте с заявкой указано наименование (для юридических лиц) или фамилия, имя, отчество (для физического лица) участника размещения заказа либо конверт не запечатан и не маркирован в порядке, установленном в п. 3.6, такие конверты с заявками могут быть не приняты Заказчиком, уполномоченным органом, специализированной организацией и возвращаются лицу, подавшему такой конверт. В случае получения такого конверта заказчиком, уполномоченным органом, специализированной организацией по почте соответствующий конверт возвращается по адресу отправителя, указанному на конверте.

4.3. Изменения и отзыв заявок на участие в конкурсе

4.3.1. Участник размещения заказа, подавший заявку на участие в конкурсе, вправе изменить или отозвать заявку на участие в конкурсе в любое время до вскрытия конкурсной комиссией конвертов путем письменного уведомления Заказчика, уполномоченного органа, специализированной организации об этом до истечения срока подачи заявок, установленного в соответствии с пунктом 4.1.1 настоящего Раздела.

4.3.2. Изменения конкурсной заявки должны готовиться и запечатываться в соответствии с пунктами 3.6 и 4.1 настоящего Раздела, конверт с комплектом документов маркироваться "ИЗМЕНЕНИЕ ЗАЯВКИ НА УЧАСТИЕ В КОНКУРСЕ" и отправляться адресату до даты вскрытия конвертов с заявками.

4.3.3. Участник размещения заказа, желающий отозвать свою конкурсную заявку, уведомляет Заказчика в письменной форме до наступления последнего срока подачи конкурсных заявок. В уведомлении в обязательном порядке должно указываться наименование организации-участника, отзывающей заявку. Возврат отозванной заявки осуществляется при вскрытии конвертов соответствующему представителю участника.

4.4. Заявки на участие в конкурсе, поданные с опозданием

4.4.1. Полученные после окончания времени приема конвертов с заявками Заказчиком (уполномоченным органом) конверты с заявками вскрываются, и в тот же день такие конверты возвращаются Участникам конкурса вместе с соответствующим уведомлением. Данные о вскрытии заявок, полученных после установленного срока окончания приема заявок на участие в конкурсе, фиксируются Заказчиком (уполномоченным органом) в соответствующем акте, который хранится с остальными документами по проведенному конкурсу.

4.5. Срок действия заявок на участие в конкурсе

4.5.1. Заявки на участие в конкурсе должны сохранять свое действие в течение срока проведения процедуры конкурса и до завершения указанной процедуры. Процедура конкурса завершается подписанием Государственного контракта или принятием решения об отмене конкурса.

4.6. Обеспечение заявок на участие в конкурсе

4.6.1. Если требуется в Информационной карте конкурса, Участники размещения заказа в составе заявки на участие в конкурсе предоставляют обеспечение заявки на сумму, выраженную в рублях и указанную в Информационной карте конкурса.

4.6.2. Обеспечение заявки должно отвечать следующим требованиям:

a) в качестве обеспечения конкурсной заявки используются только денежные средства;

b) в качестве документа, подтверждающего внесение обеспечения заявки, должно быть оригинальное платежное поручение. В том случае, если перевод денежных средств осуществляется Участником размещения заказа при помощи системы "Банк-клиент", то должна быть приложена оригинальная выписка из банка, подтверждающая факт перевода денежных средств.

4.6.3. Любая заявка на участие в конкурсе, не сопровождаемая установленным обеспечением, не будет допущена до участия в конкурсе в соответствии с пунктом 5.3.7 настоящего Раздела.

4.6.4. Обеспечение заявки на участие в конкурсе возвращается:

a) в течение пяти дней со дня принятия Заказчиком, уполномоченным органом решения об отказе от проведения открытого конкурса;

b) в течение пяти дней со дня поступления Заказчику, уполномоченному органу, специализированной организации уведомления об отзыве Участником заявки на участие в конкурсе с соблюдением положений пункта 4.3 настоящего Раздела;

c) в течение пяти дней со дня подписания протокола оценки и сопоставления заявок на участие в конкурсе или акта, подписываемого в соответствии с п. 4.4.1, Участникам, заявки которых были получены после окончания приема конвертов с заявками;

d) в течение пяти дней со дня подписания протокола рассмотрения заявок на участие в конкурсе Участнику(ам), не допущенному к участию в конкурсе;

e) в течение пяти дней со дня подписания протокола оценки и сопоставления заявок на участие в конкурсе Участникам, которые участвовали в конкурсе, но не стали победителями конкурса;

f) Участнику конкурса, заявке на участие в конкурсе которого присвоен второй номер, в течение пяти дней со дня заключения государственного контракта с победителем конкурса или с таким Участником конкурса;

g) победителю конкурса в течение пяти дней со дня заключения с ним государственного контракта.

4.6.5. Обеспечение заявки может быть удержано в следующих случаях:

4.6.6. уклонения победителя конкурса от заключения государственного контракта;

4.6.7. уклонения Участника конкурса, заявке на участие в конкурсе которого присвоен второй номер, от заключения государственного контракта, в том случае, если победитель конкурса уклонился от заключения государственного контракта;

4.6.8. непредставления победителем конкурса или Участником конкурса, заявке на участие в конкурсе которого присвоен второй номер, обеспечения исполнения обязательств по контракту в соответствии с пунктом 7.2 настоящего Раздела.

5. ВСКРЫТИЕ КОНВЕРТОВ С ЗАЯВКАМИ НА УЧАСТИЕ В КОНКУРСЕ

5.1. Порядок вскрытия конвертов

5.1.1. Публично в день, во время и в месте, указанные в Информационной карте конкурса, Конкурсной комиссией вскрываются конверты.

5.1.2. В день вскрытия конвертов, непосредственно перед вскрытием конвертов, но не раньше времени, указанного в пункте 5.1.1 настоящего Раздела, конкурсная комиссия обязана объявить присутствующим Участникам конкурса о возможности подать заявки, изменить или отозвать поданные заявки до вскрытия конвертов. Указанное объявление должно быть сделано до вскрытия первого конверта с заявкой.

5.1.3. Конкурсной комиссией вскрываются конверты, которые поступили Заказчику, уполномоченному органу, специализированной организации до времени вскрытия конвертов.

5.1.4. Наименование (для юридического лица), фамилия, имя, отчество (для физического лица) и почтовый адрес каждого Участника размещения заказа, конверт с заявкой на участие в конкурсе которого вскрывается, наличие сведений и документов, предусмотренных конкурсной документацией, условия исполнения государственного контракта, указанные в такой заявке и являющиеся критерием оценки заявок на участие в конкурсе, объявляются при вскрытии конвертов и заносятся в протокол вскрытия конвертов.

5.1.5. Участники размещения заказа, подавшие заявки на участие в конкурсе, или их представители вправе присутствовать при вскрытии конвертов. Представители участников конкурса предоставляют документ, подтверждающий полномочия лица на осуществление действий от имени Участника размещения заказа. В случае присутствия представителей участников, не являющихся первыми лицами организации, должна быть представлена доверенность на представление интересов соответствующего Участника размещения заказа по форме, прилагаемой в Разделе I.4.

5.1.6. Все присутствующие при вскрытии конвертов лица регистрируются в Листе регистрации представителей участников размещения заказа и иных лиц, составляемом и подписываемом секретарем конкурсной комиссии.

5.1.7. Протокол вскрытия конвертов ведется Конкурсной комиссией и подписывается всеми присутствующими членами Конкурсной комиссии и Заказчиком, уполномоченным органом непосредственно после вскрытия конвертов. Указанный протокол размещается Заказчиком, уполномоченным органом, специализированной организацией в день его подписания на официальном сайте.

5.1.8. Заказчик, уполномоченный орган, специализированная организация осуществляют аудиозапись вскрытия конвертов. Любой Участник размещения заказа, присутствующий при вскрытии конвертов, вправе осуществлять аудио- и видеозапись вскрытия таких конвертов. При этом такой участник должен до начала процедуры вскрытия конвертов известить Конкурсную комиссию о своем намерении осуществлять аудио- или видеозапись процедуры.

5.1.9. В случае, если по окончании срока подачи заявок на участие в конкурсе подана только одна заявка на участие в конкурсе или не подана ни одна заявка на участие в конкурсе, конкурс признается несостоявшимся.

5.2. Разъяснения предложений и запрет изменения заявок на участие в конкурсе

5.2.1. При вскрытии конвертов Конкурсная комиссия вправе потребовать от Участников конкурса представления разъяснений положений представленных ими документов и заявок на участие в конкурсе.

5.2.2. Не допускается изменение Участником размещения заказа положений представленной им заявки на участие в конкурсе.

5.2.3. Конкурсная комиссия не вправе предъявлять дополнительные требования к Участникам конкурса.

5.2.4. Полученные от участников конкурса разъяснения заявок вносятся в протокол вскрытия конвертов с заявками на участие в конкурсе.

5.3. Рассмотрение заявок на участие в конкурсе и допуск к участию в конкурсе

5.3.1. Конкурсная комиссия рассматривает заявки на участие в конкурсе на соответствие требованиям, установленным конкурсной документацией, и соответствие Участников конкурса требованиям, установленным в пункте 1.6 настоящего Раздела.

5.3.2. Срок рассмотрения заявок на участие в конкурсе не может превышать десять дней со дня вскрытия конвертов.

5.3.3. Заявкой, в основном отвечающей требованиям конкурсной документации, считается та, которая соответствует всем положениям, условиям и спецификациям конкурсной документации и не содержит существенных отклонений или оговорок. Существенным отклонением или оговоркой являются те:

а) которые любым существенным образом оказывают влияние на объем, качество или функциональные показатели поставляемого товара, выполняемых работ, оказываемых услуг;

б) которые ограничивают любым существенным образом права Заказчика, уполномоченного органа или обязательства Участника конкурса по государственному контракту, как они предусмотрены в конкурсной документации;

в) исправление которых поставит в неравные условия конкурентной борьбы других Участников, представивших в основном отвечающие существенным требованиям заявки.

5.3.4. Конкурсная комиссия может не принимать во внимание мелкие погрешности, несоответствия, неточности заявки, которые не представляют собой существенного отклонения, при условии, что такой подход не нарушит принципа беспристрастности и не окажет воздействия на относительный рейтинг какого-либо Участника конкурса, полученный им в результате проведения оценки заявки согласно пункту 5.4 настоящего Раздела.

5.3.5. Если в заявке имеются расхождения между обозначением сумм словами и цифрами, то конкурсной комиссией принимается к рассмотрению сумма, указанная словами.

5.3.6. На основании результатов рассмотрения заявок на участие в конкурсе Конкурсной комиссией принимается решение:

а) о допуске к участию в конкурсе Участника размещения заказа (о признании Участника размещения заказа, подавшего заявку на участие в конкурсе, Участником конкурса);

б) об отказе в допуске Участника размещения заказа к участию в конкурсе.

5.3.7. Участник размещения заказа не допускается до участия в конкурсе в случае:

- непредоставления определенных пунктом 3.3 настоящего Раздела документов либо наличия в таких документах недостоверных сведений об Участнике размещения заказа или о товарах, о работах, об услугах, соответственно, на поставку, выполнение, оказание которых размещается заказ;

- несоответствия требованиям, установленным в пункте 1.6 настоящего Раздела;

- наличие в реестре недобросовестных поставщиков сведений об участнике размещения заказа, если конкурсной документацией установлено такое требование;

- невнесения денежных средств в качестве обеспечения заявки на участие в конкурсе, если конкурсной документацией установлено требование обеспечения заявки;

- несоответствия заявки на участие в конкурсе требованиям конкурсной документации, в том числе:

а) заявка не соответствует форме конкурсной документации и/или не имеет в содержании обязательной информации согласно требованиям конкурсной документации;

б) документы не подписаны должным образом.

5.3.8. В случае установления недостоверности сведений, содержащихся в документах, представленных Участником размещения заказа в соответствии с пунктом 3.3 настоящего Раздела, установления факта проведения ликвидации Участника размещения заказа юридического лица или проведения в отношении Участника размещения заказа - юридического лица, индивидуального предпринимателя процедуры банкротства либо факта приостановления его деятельности в порядке, предусмотренном Кодексом Российской Федерации об административных правонарушениях, а также если у Участника размещения заказа имеется задолженность по начисленным налогам, сборам и иным обязательным платежам в бюджеты любого уровня или государственные внебюджетные фонды за прошедший календарный год, размер которой превышает двадцать пять процентов балансовой стоимости активов участника, - Заказчик, уполномоченный орган, Конкурсная комиссия вправе отстранить такого Участника от участия в конкурсе на любом этапе его проведения.

5.3.9. В случае, если на основании результатов рассмотрения заявок на участие в конкурсе принято решение об отказе в допуске к участию в конкурсе всех Участников конкурса, подавших заявки на участие в конкурсе, или о допуске к участию в конкурсе и признании участником конкурса только одного Участника размещения заказа, подавшего заявку на участие в конкурсе, конкурс признается несостоявшимся.

5.3.10. В процессе рассмотрения заявок на участие в конкурсе Конкурсной комиссией ведется протокол рассмотрения заявок на участие в конкурсе, который подписывается всеми присутствующими на заседании членами Конкурсной комиссии и Заказчиком, уполномоченным органом в день окончания рассмотрения заявок на участие в конкурсе. Протокол должен содержать сведения об Участниках размещения заказа, подавших заявки на участие в конкурсе, решение о допуске Участника размещения заказа к участию в конкурсе и о признании его Участником конкурса или об отказе в допуске Участника размещения заказа к участию в конкурсе с обоснованием такого решения. Указанный протокол в день окончания рассмотрения заявок на участие в конкурсе размещается Заказчиком, уполномоченным органом, специализированной организацией на официальном сайте.

5.3.11. Участникам размещения заказа, подавшим заявки на участие в конкурсе и признанным Участниками конкурса, и Участникам размещения заказа, подавшим заявки на участие в конкурсе и не допущенным к участию в конкурсе, направляются уведомления о принятых Конкурсной комиссией решениях не позднее дня, следующего за днем подписания указанного протокола.

5.4. Критерии и порядок оценки заявок на участие в конкурсе

5.4.1. Конкурсная комиссия осуществляет оценку и сопоставление заявок, поданных Участниками размещения заказа, признанными Участниками конкурса.

5.4.2. Срок оценки и сопоставления таких заявок не может превышать десяти дней со дня подписания протокола, указанного в пункте 5.3.10 настоящего Раздела.

5.4.3. Оценка и сопоставление заявок на участие в конкурсе осуществляются Конкурсной комиссией в целях выявления лучших условий исполнения государственного контракта в соответствии с критериями, установленными в Информационной карте конкурса.

5.4.4. Конкурсная комиссия ведет протокол оценки и сопоставления заявок на участие в конкурсе, в котором должны содержаться сведения о месте, дате, времени проведения оценки и сопоставления таких заявок, об участниках конкурса, заявки которых были рассмотрены, об условиях исполнения контракта, предложенных в таких заявках, о критериях оценки таких заявок, о принятом на основании результатов оценки и сопоставления заявок решении, о присвоении заявкам порядковых номеров, а также наименования (для юридических лиц), фамилии, имена, отчества (для физических лиц) и почтовые адреса участников конкурса, заявкам которых присвоен первый и второй номера. Протокол подписывается всеми присутствующими членами конкурсной комиссии и Заказчиком, уполномоченным органом в течение дня, следующего после дня окончания проведения оценки и сопоставления заявок. Протокол составляется в двух экземплярах, один из которых хранится у Заказчика, уполномоченного органа, второй передается победителю конкурса. Информация, относящаяся к рассмотрению, разъяснению, оценке и сопоставлению заявок, и рекомендации о присуждении государственного контракта не подлежит раскрытию Участникам конкурса или любым иным лицам, не имеющим официального отношения к этому процессу, до того, как будет объявлен победитель конкурса.

5.4.5. Конкурсная комиссия вправе отклонить заявку, получив на то предварительное согласие со стороны уполномоченного федерального органа, если он установит, что Участник размещения заказа, представивший данную заявку, предложил, дал или согласился дать, прямо или косвенно, члену Конкурсной комиссии или другому представителю государственной власти, имеющему отношение к проведению настоящего конкурса, вознаграждение в любой форме, работу или иную услугу или ценность в качестве стимула, который может повлиять на принятие Конкурсной комиссией решения, связанного с выбором победителя.

5.4.6. В случае, если Заказчику, уполномоченному органу или Конкурсной комиссии станет известен факт заключения Участником размещения заказа соглашения о зафиксированной цене или иного тайного соглашения с одним или более Участниками размещения заказа с целью оказания влияния на результаты конкурса, заявка такого Участника отклоняется. Такое отклонение заявки и его причины заносятся в протокол оценки и сопоставления заявок на участие в конкурсе, а Участнику размещения заказа, заявка которого отклонена, незамедлительно сообщается об этом путем направления соответствующего уведомления.

6. ОПРЕДЕЛЕНИЕ ПОБЕДИТЕЛЯ КОНКУРСА И ИЗВЕЩЕНИЕ О РЕЗУЛЬТАТАХ

6.1. Порядок принятия решения о присуждении контракта

6.1.1. На основании результатов оценки и сопоставления заявок на участие в конкурсе Конкурсной комиссией каждой заявке относительно других по мере уменьшения степени выгодности содержащихся в них условий исполнения контракта присваивается порядковый номер. Заявке, в которой содержатся лучшие условия исполнения контракта, присваивается первый номер.

6.1.2. Победителем конкурса признается Участник конкурса, который предложил лучшие условия исполнения контракта и заявке которого присвоен первый номер.

6.1.3. Конкурсная комиссия ведет протокол оценки и сопоставления заявок на участие в конкурсе, в котором должны содержаться сведения о месте, дате, времени проведения оценки и сопоставления таких заявок, об участниках конкурса, заявки которых были рассмотрены, об условиях исполнения контракта, предложенных в таких заявках, о критериях оценки таких заявок, о принятом на основании результатов оценки и сопоставления заявок решении о присвоении им порядковых номеров, а также наименования (для юридических лиц), фамилии, имена, отчества (для физических лиц) и почтовые адреса участников конкурса, заявкам которых присвоен первый и второй номера. Протокол подписывается всеми присутствующими членами Конкурсной комиссии и Заказчиком, уполномоченным органом в течение дня, следующего после дня окончания проведения оценки и сопоставления заявок на участие в конкурсе.

6.1.4. В случае, если после объявления победителя конкурса Заказчику, уполномоченному органу, специализированной организации станут известны факты несоответствия победителя конкурса требованиям к Участникам конкурса, заявка победителя на участие в конкурсе отклоняется и новым победителем конкурса признается Участник конкурса, заявке которого присвоен второй номер согласно протоколу оценки и сопоставления заявок.

6.2. Публикация результатов конкурса

6.2.1. Заказчик, уполномоченный орган в течение трех дней со дня подписания протокола оценки и сопоставления заявок передают победителю конкурса один экземпляр протокола и проект контракта, который составляется путем включения условий исполнения контракта, предложенных победителем конкурса в заявке, в проект контракта, прилагаемый к конкурсной документации.

6.2.2. Протокол оценки и сопоставления заявок размещается на официальном сайте и опубликовывается в официальном печатном издании Заказчиком, уполномоченным органом, специализированной организацией соответственно в течение одного дня и пяти дней после дня подписания указанного протокола.

7. ЗАКЛЮЧЕНИЕ КОНТРАКТА

7.1. Срок заключения контракта

7.1.1. Государственный контракт между победителем конкурса и Заказчиком должен быть подписан в течение срока, указанного в Информационной карте конкурса, с даты передачи проекта контракта Заказчиком или уполномоченным органом победителю конкурса в соответствии с пунктом 6.2.1 настоящего Раздела.

7.1.2. В случае, если победитель конкурса уклоняется от заключения государственного контракта, то контракт заключается с Участником конкурса, заявке которого присвоен второй номер. При этом заключение государственного контракта для Участника конкурса, заявке которого присвоен второй номер, является обязательным.

7.1.3. Заказ признается размещенным со дня заключения государственного контракта. Сведения о заключенном контракте в установленном порядке направляются Заказчиком, уполномоченным органом в Реестр государственных контрактов.

7.2. Обеспечение исполнения обязательств по контракту

7.2.1. Если Информационной картой конкурса установлено требование обеспечения исполнения государственного контракта, Участник конкурса, с которым заключается государственный контракт, должен предоставить Заказчику обеспечение исполнения государственного контракта, только в этом случае государственный контракт может быть заключен. Обеспечение исполнения государственного контракта предоставляется на сумму, указанную в Информационной карте конкурса.

7.2.2. Обеспечение исполнения государственного контракта может быть представлено в виде банковской гарантии, страхования ответственности по контракту или перечислением в качестве обеспечения на расчетный счет Заказчика денежных средств в размере обеспечения исполнения контракта, указанном в Информационной карте конкурса. Способ обеспечения исполнения государственного контракта определяется участником конкурса, с которым заключается контракт, самостоятельно.

7.2.3. Если победителем конкурса или участником конкурса, с которым заключается контракт, является бюджетное учреждение и в Информационной карте конкурса установлено обеспечение исполнения государственного контракта, - предоставление обеспечения исполнения контракта не требуется.

7.2.4. В том случае, если обеспечение исполнения государственного контракта представляется в виде банковской гарантии, то условия банковской гарантии должны соответствовать образцу, включенному в Раздел I.4 настоящей конкурсной документации.

7.2.5. В случае, если участник, с которым заключается государственный контракт, не предоставляет обеспечения исполнения контракта в течение срока, указанного в п. 7.2.1, то такой участник признается уклонившимся от заключения государственного контракта.

7.2.6. Сведения об участниках конкурса, уклонившихся от заключения государственного контракта, а также о поставщиках (исполнителях, подрядчиках), с которыми государственные контракты расторгнуты в связи с существенным нарушением ими государственных контрактов, включаются в Реестр недобросовестных поставщиков.

7.3. Права и обязанности победителя конкурса

7.3.1. Государственный контракт заключается на условиях, указанных в поданной Участником конкурса, с которым заключается контракт, заявке и в конкурсной документации, с учетом положений пункта 7.4.3 настоящего Раздела.

7.3.2. В случае, если победитель конкурса в срок, предусмотренный пунктом 7.1 настоящего Раздела, не представил Заказчику подписанный государственный контракт, переданный ему в соответствии с пунктом 6.2.1 настоящего Раздела, а также обеспечение исполнения контракта в соответствии с пунктом 7.2 настоящего Раздела, победитель конкурса признается уклонившимся от заключения государственного контракта.

7.3.3. Участник конкурса, которому Заказчик в соответствии с пунктом 7.4.3 настоящего Раздела направил проект государственного контракта, не вправе отказаться от заключения государственного контракта.

7.4. Права и обязанности заказчика

7.4.1. Заказчик вправе отказаться от заключения государственного контракта с победителем конкурса либо при уклонении победителя конкурса от заключения контракта с Участником конкурса, с которым заключается такой контракт, в случае установления факта:

a) проведения ликвидации Участника конкурса - юридического лица или проведения в отношении Участника конкурса - юридического лица, индивидуального предпринимателя процедуры банкротства;

b) приостановления деятельности указанных лиц в порядке, предусмотренном Кодексом Российской Федерации об административных правонарушениях;

c) предоставления указанными лицами заведомо ложных сведений, содержащихся в документах, предусмотренных пунктом 3.3 настоящего Раздела;

d) нахождения имущества указанных лиц под арестом, наложенным по решению суда, если на момент истечения срока заключения контракта балансовая стоимость арестованного имущества превышает двадцать пять процентов балансовой стоимости активов указанных лиц по данным бухгалтерской отчетности за последний завершенный отчетный период.

7.4.2. Заказчик вправе обратиться в суд с иском требования о понуждении победителя конкурса заключить государственный контракт, а также о возмещении убытков, причиненных уклонением от заключения контракта, либо заключить государственный контракт с Участником конкурса, заявке которого присвоен второй номер, в случае, если победитель конкурса признан уклонившимся от заключения государственного контракта в соответствии с пунктом 7.3.1 настоящего Раздела. При этом заключение государственного контракта для Участника конкурса, заявке которого присвоен второй номер, является обязательным.

7.4.3. В случае, если по окончании срока подачи заявок подана только одна заявка, конверт с указанной заявкой вскрывается и указанная заявка рассматривается и оценивается в порядке, установленном пунктами 5.3 и 5.4 настоящего Раздела. В случае, если указанная заявка соответствует требованиям и условиям, предусмотренным настоящей конкурсной документацией, Заказчик в течение трех дней со дня рассмотрения заявки обязан передать единственному Участнику конкурса, подавшему заявку, проект государственного контракта, подготовленного в соответствии с пунктом 6.2.1 настоящего Раздела. При этом государственный контракт заключается с Участником конкурса на условиях и по цене контракта, которые предусмотрены заявкой и конкурсной документацией, но цена такого контракта не может превышать начальную цену контракта, указанную в извещении о проведении открытого конкурса.

7.4.4. В случае, если конкурс признан несостоявшимся в соответствии с положениями пунктов 5.1.9 и 5.3.9 настоящего Раздела, и только один Участник размещения заказа, подавший заявку, признан Участником конкурса, Заказчик в течение трех дней со дня подписания протокола, предусмотренного пунктом 5.3.10 настоящего Раздела, обязан передать такому Участнику конкурса проект государственного контракта, подготовленного в соответствии с пунктом 6.2.1 настоящего Раздела. При этом государственный контракт заключается на условиях и по цене контракта, которые предусмотрены заявкой и конкурсной документацией, но цена такого контракта не может превышать начальную цену контракта, указанную в извещении о проведении открытого конкурса.

8. РАЗРЕШЕНИЕ СПОРОВ И РАЗНОГЛАСИЙ

8.1.1. Решение Заказчика, уполномоченного органа или Конкурсной комиссии об отстранении Участника размещения заказа от участия в конкурсе либо решение Конкурсной комиссии об отказе в допуске к участию в конкурсе может быть обжаловано таким Участником.

8.1.2. Допуск Заказчиком, уполномоченным органом или Конкурсной комиссией к участию в конкурсе Участника размещения заказа, который в соответствии с пунктом 5.3.7 настоящего Раздела не может быть допущен к участию в конкурсе, является основанием для признания судом конкурса недействительным по иску заинтересованного лица или по иску уполномоченных на осуществление контроля в сфере размещения заказов федерального органа исполнительной власти, органа исполнительной власти субъекта Российской Федерации, органа местного самоуправления.

8.1.3. Включение сведений об Участнике конкурса, уклонившемся от заключения государственного контракта, об Исполнителе, с которым государственный контракт расторгнут в связи с существенным нарушением им государственного контракта, в Реестр недобросовестных поставщиков или содержание таких сведений в Реестре недобросовестных поставщиков, равно как и неисключение данных сведений из Реестра, могут быть обжалованы заинтересованным лицом в судебном порядке.

8.1.4. Любой Участник размещения заказа имеет право обжаловать в судебном, а также досудебном порядке действия (бездействие) Заказчика, уполномоченного органа, специализированной организации, Конкурсной комиссии, если такие действия (бездействие) нарушают права и законные интересы Участника размещения заказа. Обжалование действий (бездействия) Заказчика, уполномоченного органа, специализированной организации, Конкурсной комиссии в досудебном порядке не является препятствием для обжалования Участником размещения заказа действий (бездействия) Заказчика, уполномоченного органа, специализированной организации, конкурсной комиссии в судебном порядке.

8.1.5. Обжалование действий (бездействия) Заказчика, уполномоченного органа, специализированной организации, конкурсной комиссии в досудебном порядке допускается в любое время размещения заказа, но не позднее чем через десять дней со дня подписания протокола оценки и сопоставления заявок на участие в конкурсе. По истечении указанного срока обжалование действий (бездействия) Заказчика, уполномоченного органа, специализированной организации, конкурсной комиссии осуществляется только в судебном порядке.

8.1.6. Размещение заказа может быть признано недействительным по иску заинтересованного лица или по иску уполномоченных на осуществление контроля в сфере размещения заказов федерального органа исполнительной власти, органа исполнительной власти субъекта Российской Федерации только судом.

8.1.7. Участник размещения заказа вправе подать в письменной форме жалобу на действия (бездействие) Заказчика, уполномоченного органа, специализированной организации, конкурсной комиссии при размещении заказа на выполнение работ для федеральных нужд в уполномоченный на осуществление контроля в сфере размещения заказов федеральный орган исполнительной власти.

8.1.8. Участник размещения заказа вправе подать в письменной форме жалобу на действия (бездействие) Заказчика, уполномоченного органа, специализированной организации, конкурсной комиссии при размещении заказа для нужд субъекта Российской Федерации в уполномоченный на осуществление контроля в сфере размещения заказов федеральный орган исполнительной власти или в уполномоченный на осуществление контроля в сфере размещения заказов орган исполнительной власти субъекта Российской Федерации.

8.1.9. При подаче жалобы на действия (бездействие) Заказчика, уполномоченного органа, специализированной организации, конкурсной комиссии в соответствии с пунктами 8.1.7 и 8.1.8 настоящего Раздела Участник размещения заказа направляет копию жалобы соответственно Заказчику, в уполномоченный орган, специализированную организацию, конкурсную комиссию, действия (бездействие) которых обжалуются.

8.1.10. Лица, виновные в нарушении законодательства Российской Федерации и иных нормативных правовых актов Российской Федерации о размещении заказов на выполнение работ для государственных нужд, несут дисциплинарную, гражданско-правовую, административную, уголовную ответственность в соответствии с законодательством Российской Федерации.

РАЗДЕЛ I.3. ИНФОРМАЦИОННАЯ КАРТА КОНКУРСА

Следующая информация и данные для конкретного конкурса на подлежащие закупке работы изменяют и/или дополняют положения Раздела I.2. Общие условия проведения конкурсов. При возникновении противоречия положения настоящего документа имеют приоритет над положениями Раздела I.2. Общие условия проведения конкурса.

Ссылка на пункт Раздела I.2. Общие проведения  
Пункт 1.1 Законодательное регулирование
  В дополнение к указанным нормативным актам Министерство экономического развития и торговли Российской Федерации руководствуется положениями Постановления Правительства Российской Федерации от 23 ноября 2005 г. N 694 "ОБ ИНВЕСТИЦИОННОМ ФОНДЕ РОССИЙСКОЙ ФЕДЕРАЦИИ"
Пункт 1.2.1 Наименование Заказчика
  Министерство экономического развития и торговли Российской Федерации
  Адрес организатора конкурса: 121069, Москва, Трубниковский пер., д. 19.
  Контактные лица:
  Серпокрылейко Кристина Сергеевна, тел. (495) 248-85-12;
  Васильева Ольга Вадимовна, тел. (495) 248-84-69;
  Качалина Раиса Васильевна, тел. (495) 248-86-05;
  Веб-сайт Министерства (WWW.ECONOMY.GOV.RU).
Пункт 1.2.2 Наименование специализированной организации
  Не назначена
Пункт 1.3.1 Вид и предмет конкурса
  Открытый конкурс на выбор инвестиционного консультанта в соответствии со статьей VI Постановления Правительства Российской Федерации от 23 ноября 2005 г. N 694 "ОБ ИНВЕСТИЦИОННОМ ФОНДЕ РОССИЙСКОЙ ФЕДЕРАЦИИ" на предоставление услуг по оценке инвестиционных проектов по следующим направлениям (лотам):
  Лот N 1. Оценка инвестиционных проектов в сфере комплексного содействия социально-экономическому развитию Российской Федерации через реализацию инвестиционных проектов;
  Лот N 2. Оценка инвестиционных проектов в сфере развития инфраструктуры, в том числе транспортной, инновационной, институциональной, социальной;
  Лот N 3. Оценка инвестиционных проектов по стимулированию экономических и социальных преобразований с целью создания условий для устойчивого экономического роста.
Пункт 1.3.2 Период выполнения услуг
  Планируемая дата начала: апрель 2006 г.
  Планируемая дата окончания: декабрь 2006 г.
Пункт 1.4.1 Начальная цена контракта
  Начальная цена контракта составляет:
  Лот N 1 100 млн. руб., включая НДС;
  Лот N 2 100 млн. руб., включая НДС;
  Лот N 3 100 млн. руб., включая НДС.
Пункт 1.5.1, Источник финансирования и порядок оплаты
  Работы финансируются за счет федерального бюджета. Заказчик будет иметь средства в пределах, предусмотренных Федеральным бюджетом, с учетом их фактического поступления. Оплата производится в порядке, предусмотренном в проекте государственного контракта и приведенном в Разделе II настоящей конкурсной документации.
Пункт 1.6.3 Дополнительные требования, установленные Заказчиком, уполномоченным органом
  1.6.3.1. Обладание участниками размещения заказа исключительными правами на объекты интеллектуальной собственности, если в связи с исполнением государственного контракта Заказчик приобретает права на объекты интеллектуальной собственности.
  1.6.3.2. Отсутствие в реестре недобросовестных поставщиков сведений об Участниках размещения заказа.
  1.6.3.3. Участник размещения заказа должен работать в течение последних 5 лет в качестве консультанта (организатора выпусков ценных бумаг, андеррайтера, консультанта в сделках по слиянию и поглощению) по реализации инвестиционных проектов (включая выпуск ценных бумаг), общая сумма которых составляет более 10 млрд. долларов США.
  1.6.3.4. Участник размещения заказа должен иметь опыт работы на российском рынке не менее чем 5 лет.
  1.6.3.5. Участник размещения заказа в течение последних 2 лет должен иметь рейтинг не более чем на 3 уровня ниже рейтинга высшего уровня одного из таких международных рейтинговых агентств, как "Стандард энд Пурз", "Мудис Инвестор Сервис" и "Фитч Рейтингс".
  1.6.3.6. Участник размещения заказа должен отвечать требованию независимости, то есть инвестиционный консультант не должен быть аффилированным лицом существующего и (или) будущего инвестора инвестиционного проекта.
Пункт 1.7.2 Привлечение субподрядных организаций
  Участник размещения заказа вправе для выполнения работ по предмету конкурса привлекать субподрядные организации.
  В случае привлечения субподрядных организаций на выполнение работ по предмету конкурса, объем которых превышает 10% от стоимости Государственного контракта, Участник размещения заказа должен дополнительно предоставить следующую информацию о субподрядчиках, подготовленную по форме, представленной в Разделе I.4 (Анкета Участника размещения заказа) настоящей конкурсной документации:
  1. фирменное наименование (наименование), сведения об организационно-правовой форме, о месте нахождения, почтовый адрес (для юридического лица), фамилия, имя, отчество, паспортные данные, сведения о месте жительства (для физического лица), номер контактного телефона;
  2. процентное соотношение передаваемых субподрядчикам работ от полного объема работ;
  3. сведения о наличии лицензии субподрядчиков на выполнение работ по предмету конкурса (с приложением ее копии) [если требуется];
  а также приложить оригинал предварительного договора с каждым субподрядчиком, заключенного в соответствии со статьей 429 ГК РФ.
Пункт 3.1.1 Форма заявки на участие в конкурсе
  Участник размещения заказа подает заявку на участие в конкурсе в письменной форме в запечатанном конверте.
Пункт 3.3.1 Документы, входящие в состав заявки на участие в конкурсе
  Участник размещения заказа должен приложить также копии документов, подтверждающих его соответствие требованиям пп. 1.6.3, приведенных выше.
Пункт 3.4.2 Требования к предложениям о цене контракта
  Цена контракта и единичные цены, представленные Участником размещения заказа, являются фиксированными и не подлежат корректировке в ходе выполнения государственного контракта.
Пункт 3.5.1 Требования к описанию выполняемых работ
  Участник размещения заказа должен представить в составе заявки:
  1. описание методологии;
  2. план-график работ;
  3. описание организации работ, состав группы экспертов и их функциональные обязанности;
  4. резюме на каждого представляемого эксперта;
  5. дополнительные материалы в соответствии с требованиями конкурсной документации.
Пункт 3.6.5 Требования к оформлению заявок на участие в конкурсе
  Участник размещения заказа представляет 1 (один) оригинальный экземпляр и 2 (две) копии заявки на участие в конкурсе.
Пункт 4.1.1 Срок и место получения заявок на участие в конкурсе
  Конкурсные заявки должны быть в запечатанном конверте отправлены почтой (или доставлены нарочным) по адресу: 125993, Москва, ул. 1-ая Тверская-Ямская, д. 1, 3 до 5 апреля 2006 г. до 15 часов, а по истечении указанного срока до начала вскрытия заявок по адресу: 121069, Москва, Трубниковский пер., д. 19.
  Место и время вскрытия заявок: 121069, Москва, Трубниковский пер., д. 19, 6 апреля 2006 г., 11 часов.
Пункт 4.6.1 Размер обеспечения заявок на участие в конкурсе
  Обеспечение заявки на участие в конкурсе не установлено.
Пункт 5.1.1 Дата и место вскрытия конвертов с заявками на участие в конкурсе
  11:00 часов (Московское время) "6" апреля 2006 г. Заявки на участие в конкурсе будут вскрываться по адресу: Москва, Трубниковский переулок, д. 19, каб. 431.
Пункт 5.4.3 Критерии и порядок оценки заявок на участие в конкурсе
  Заказчик осуществляет оценку и сопоставление заявок на участие в конкурсе, поданных участниками размещения заказа, признанными участниками конкурса. Оценка конкурсных заявок проводится на основании следующих критериев:
Критерий Вес, p_i
1. Качественные характеристики услуг 0.40  
Предлагаемая методология и степень ее соответствия техническому заданию   0.10
Организационная схема работы персонала   0.05
Знание местных условий Российской Федерации, в том числе в случае необходимости региональных аспектов темы   0.05
Соответствие предлагаемого персонала тематике исследования и требованиям технического задания   0.20
2. Сроки оказания услуг 0.10  
3. Цена контракта 0.50  
Итого:   1.0
По каждому из этих критериев, за исключением "Цены контракта", присваиваются балльные оценки от 1 до 5 k - ,
  где k - порядковый номер конкурсной заявки,
  i - порядковый номер критерия. В итоге каждая конкурсная заявка получает суммарную оценку, выраженную в баллах, по следующей формуле:
   
 
   
  где: N - общее количество критериев,
  p_i - вес i-го критерия, причем
   
 
   
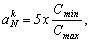
  Балльная оценка по критерию "Цена контракта" проводится в соответствии со следующей формулой:
   
 
   
  где:
  C_min - минимальная цена среди конкурсных заявок, которые до этого не были отклонены;
  С_k - цена k-й конкурсной заявки.
  В соответствии с полученными оценками Т_k Заказчик проводит ранжирование конкурсных заявок. Конкурсная заявка, получившая максимальную оценку, считается предложившей Заказчику лучшие условия исполнения контракта.
Пункт 7.1.1 Срок заключения контракта
  Государственный контракт между победителем конкурса и Заказчиком должен быть подписан в течение 15 дней со дня подписания протокола оценки и сопоставления заявок на участие в конкурсе.
Пункт 7.2.1 Размер обеспечения исполнения обязательств по контракту
  Обеспечение исполнения обязательств по контракту не установлено.

РАЗДЕЛ I.4. ОБРАЗЦЫ ФОРМ И ДОКУМЕНТОВ ДЛЯ ЗАПОЛНЕНИЯ УЧАСТНИКАМИ

I.4.1. ФОРМА ОПИСИ ДОКУМЕНТОВ, ПРЕДСТАВЛЯЕМЫХ ДЛЯ УЧАСТИЯ В КОНКУРСЕ

ОПИСЬ ДОКУМЕНТОВ,
ПРЕДСТАВЛЯЕМЫХ ДЛЯ УЧАСТИЯ В _____________ [УКАЗАТЬ: ОТКРЫТОМ/ЗАКРЫТОМ] КОНКУРСЕ НА _________ [УКАЗАТЬ НАИМЕНОВАНИЕ ПРЕДМЕТА КОНКУРСА]

Настоящим  
  (наименование организации - Участника размещения заказа)

подтверждает, что для участия в конкурсе _______ [указать название конкурса] нами направляются нижеперечисленные документы.

N N п\п Наименование Кол-во страниц
1. Заявка на участие в конкурсе (по форме I.4.2 Раздела I.4)  
2. Расчет цены контракта (Приложение к заявке на участие в конкурсе)  
3. Анкета Участника размещения заказа (по форме I.4.3 Раздела I.4)  
4. Предложение о функциональных и качественных характеристиках выполняемых работ  
5. Гарантийное письмо на обеспечение исполнения обязательств по государственному контракту (если требуется)  
6. Выписка или нотариально заверенная копия выписки из Единого государственного реестра юридических лиц, выданная ФНС России (для юридических лиц)  
7. Выписка или нотариально заверенная копия выписки из Единого государственного реестра индивидуальных предпринимателей, выданная ФНС России (для индивидуальных предпринимателей)  
8. Копии документов, удостоверяющих личность (для иных физических лиц)  
9. Надлежащим образом заверенный перевод на русский язык документов о государственной регистрации юридического лица или физического лица в качестве индивидуального предпринимателя в соответствии с законодательством соответствующего государства (для иностранных лиц)  
10. Копии действующих лицензий на виды работ, предусмотренных предметом конкурса  
11. Документ, подтверждающий перечисление обеспечения заявки на участие в конкурсе (если требуется)  
12. Другие документы, прикладываемые в соответствии с требованиями конкурсной документации  

I.4.2. ФОРМА ЗАЯВКИ НА УЧАСТИЕ В КОНКУРСЕ

На бланке организации

Дата, исх. номер

Государственному заказчику/
  Уполномоченному органу:
  [Указывается должность и Ф.И.О.
должностного лица, в чей адрес
должна быть направлена заявка]
  Специализированной организации

ЗАЯВКА НА УЧАСТИЕ В КОНКУРСЕ НА ПРАВО ЗАКЛЮЧЕНИЯ С [УКАЗЫВАЕТСЯ НАИМЕНОВАНИЕ ГОСУДАРСТВЕННОГО ЗАКАЗЧИКА] ГОСУДАРСТВЕННОГО КОНТРАКТА НА [УКАЗЫВАЕТСЯ НАИМЕНОВАНИЕ РАБОТ ПО ПРЕДМЕТУ КОНКУРСА]

1. Изучив конкурсную документацию на право заключения вышеупомянутого контракта, а также применимые к данному конкурсу законодательство и нормативно-правовые акты

(наименование организации - Участника размещения заказа)
в лице  
  (наименование должности руководителя и его Ф.И.О.)

сообщает о согласии участвовать в конкурсе на условиях, установленных в указанных выше документах, и направляет настоящую заявку.

2. Мы согласны выполнить предусмотренные конкурсом работы в соответствии с требованиями конкурсной документации и на условиях, которые мы представили в настоящем предложении, и на условиях, которые мы представили в настоящем предложении, и по цене _____________________________________________ (вставить общую цену заявки цифрами и прописью по каждому лоту отдельно).

3. Предложение имеет следующие приложения:

3.1. Технико-экономический расчет (обоснование снижения стартовой цены) ___________ на стр.;

3.2. Структура расчета цены контракта в соответствии с требованиями конкурсной документации _______ на стр.

4. Предложение имеет следующие дополнительные приложения:

4.1. График производства работ ____________ ;

да/нет

4.2. Предложение по функциональным характеристикам выполнения работ __________;

да/нет

5. Мы ознакомлены с материалами технического задания, влияющими на стоимость выполнения работ.

6. Мы согласны с тем, что в случае, если нами не были учтены какие-либо расценки на выполнение работ, составляющих полный комплекс работ по предмету конкурса, данные работы будут в любом случае выполнены в полном соответствии с Техническим заданием в пределах предлагаемой нами стоимости контракта.

7. Если наши предложения, изложенные выше, будут приняты, мы берем на себя обязательство выполнить работы в соответствии с требованиями конкурсной документации, утвержденным техническим заданием, и согласно нашим предложениям, которые мы просим включить в контракт.

8. Настоящей заявкой подтверждаем, что против

(наименование организации Участника размещения заказа)

не проводится процедура ликвидации, банкротства, деятельность не приостановлена, а также, что размер задолженности по начисленным налогам, сборам и иным обязательным платежам в бюджеты любого уровня или государственные внебюджетные фонды за прошедший календарный год не превышает ________% (значение указать цифрами и прописью) балансовой стоимости активов участника размещения заказа по данным бухгалтерской отчетности за последний завершенный отчетный период.

9. Настоящим также подтверждаем отсутствие нашей аффилированности с Заказчиком, уполномоченным органом, специализированной организацией, а также с их сотрудниками.

10. Настоящим гарантируем достоверность представленной нами в заявке информации и подтверждаем право заказчика (уполномоченного органа, специализированной организации), не противоречащее требованию формировании равных для всех участников размещения заказа условий, запрашивать у нас, в уполномоченных органах власти и у упомянутых в нашей заявке юридических и физических лиц информацию, уточняющую представленные нами в ней сведения, в том числе сведения о соисполнителях.

11. В случае, если наши предложения будут признаны лучшими, мы берем на себя обязательства подписать контракт с [указывается наименование Государственного заказчика] на выполнение работ в соответствии с требованиями конкурсной документации и условиями наших предложений, в срок ___________ [указывается срок, в течение которого должен быть заключен контракт] дней со дня подписания протокола оценки и сопоставления заявок на участие в конкурсе и проекта государственного контракта.

12. В случае, если наши предложения будут лучшими после предложений победителя конкурса, а победитель конкурса будет признан уклонившимся от заключения государственного контракта с [указывается наименование Государственного заказчика], мы обязуемся подписать данный контракт на выполнение работ в соответствии с требованиями конкурсной документации и условиями наших предложений.

13. Мы согласны с тем, что в случае признания нас победителями конкурса или принятия решения о заключении с нами государственного контракта в случае отказа от его подписания победителем конкурса и нашего уклонения от заключения контракта на выполнение работ, являющихся предметом конкурса, внесенная нами сумма обеспечения заявки на участие в конкурсе нам не возвращается и перечисляется в федеральный бюджет. [Исключить данный абзац, если требование предоставления обеспечения заявки не установлено]

14. Мы извещены о включении сведений о

(наименование организации - Участника размещения заказа)

в Реестр недобросовестных поставщиков в случае уклонения нами от заключения государственного контракта.

15. В случае признания нашей заявки как содержащей лучшие условия исполнения государственного контракта и присвоения ей первого номера нами будет представлено обеспечение исполнения государственного контракта в виде ________________________________ (банковской гарантии, страхования ответственности по контракту, денежных средств, перечисленных на расчетный счет Заказчика) на сумму ________ [сумма обеспечения устанавливается в соответствии с Информационной картой конкурса. В том случае, если обеспечение исполнения контракта не установлено, этот пункт необходимо исключить из формы заявки].

16. Сообщаем, что для оперативного уведомления нас по вопросам организационного характера и взаимодействия с Заказчиком (уполномоченным органом) и специализированной организацией [указываются те организации, которые фактически участвуют в конкурсных процедурах] нами уполномочен

(Ф.И.О., телефон работника организации - Участника)

Все сведения о проведении конкурса просим сообщать уполномоченному лицу.

17. В случае присуждения нам права заключить государственный контракт в период с даты получения протокола оценки и сопоставления заявок на участие в конкурсе и проекта государственного контракта и до подписания официального государственного контракта настоящая заявка будет носить характер предварительного заключенного нами и государственным заказчиком договора о заключении государственного контакта на условиях наших предложений.

18. Настоящая заявка действует до завершения процедуры проведения конкурса.

19. Наши юридический и фактический адреса, телефон __________, факс ____________, банковские реквизиты:

20. Корреспонденцию в наш адрес просим направлять по адресу:

21. К настоящей заявке прилагаются документы согласно описи на _____ стр.

Руководитель организации   (Фамилия И.О.)
  (подпись)  
Главный бухгалтер   (Фамилия И.О.)
  (подпись)  
МП    

I.4.3. ФОРМА АНКЕТЫ УЧАСТНИКА РАЗМЕЩЕНИЯ ЗАКАЗА

1. Полное и сокращенное наименования организации и ее организационно-правовая форма:  
(на основании Учредительных документов установленной формы (устав, положение, учредительный договор), свидетельства о государственной регистрации, свидетельства о внесении записи в единый государственный реестр юридических лиц)  
2. Предыдущие полные и сокращенные наименования организации с указанием даты переименования и подтверждением правопреемственности  
3. Регистрационные данные:  
3.1. Дата, место и орган регистрации  
(на основании Свидетельства о государственной регистрации)  
3.2. Учредители (перечислить наименования и организационно-правовую форму всех учредителей, чья доля в уставном капитале превышает 10%) и доля их участия (для акционерных обществ - на основании выписки из реестра акционеров)  
(на основании Учредительных документов установленной формы (устав, положение, учредительный договор))  
3.3. Срок деятельности организации (с учетом правопреемственности)  
3.4. Размер уставного капитала  
3.5. Номер и почтовый адрес Инспекции Федеральной налоговой службы, в которой претендент зарегистрирован в качестве налогоплательщика  
ИНН, КПП, ОГРН, ОКПО участника  

Примечание:

Вышеуказанные данные могут быть по усмотрению Участника размещения заказа подтверждены путем предоставления следующих документов:

- Устав, положение, учредительный договор;

- Свидетельство о государственной регистрации;

- Информационное письмо об учете в ЕГРПО;

- Свидетельство о постановке на учет в налоговом органе.

4. Юридический адрес участника размещения заказа Страна
Адрес
5. Почтовый адрес участника размещения заказа Страна
Адрес
Телефон
Факс
 
6. Банковские реквизиты (может быть несколько):  
6.1. Наименование обслуживающего банка  
6.2. Расчетный счет  
6.3. Корреспондентский счет  
6.4. Код БИК  

Примечание:

Должна быть представлена информация обо всех открытых счетах.

Вышеуказанные данные могут быть подтверждены путем предоставления письма из финансирующего банка об открытии расчетного счета.

7. Сведения о выданных участнику размещения заказа лицензиях, необходимых для выполнения обязательств по государственному контракту (указывается лицензируемый вид деятельности, реквизиты действующей лицензии, наименование территории, на которой действует лицензия)  
 
8. Сведения о дочерних и зависимых предприятиях (о лицах, входящих с Участником размещения заказа в одну группу лиц (в ред. ст. 105, 106 ГК Российской Федерации), в том числе об аффилированных лицах (в соответствии с определением понятия "аффилированного лица" в статье 4 Федерального закона "О конкуренции и ограничении монополистической деятельности" N 948-1 от 22.03.1991))  

В подтверждение финансовой устойчивости, а также отсутствия задолженности по начисленным налогам, сборам и иным обязательным платежам в бюджеты любого уровня или государственные внебюджетные фонды по усмотрению участника размещения заказа могут быть представлены:

- формы N 1 "Бухгалтерский баланс" и N 2 "Отчет о прибылях и убытках" за два предыдущих года и последний отчетный период отчетного года, с отметкой налоговой инспекции и заверенные печатью организации;

- акт сверки, выданный ИФНС о состоянии расчетов с бюджетами всех уровней и внебюджетными фондами за последний отчетный период, заверенный печатью организации.

Мы, нижеподписавшиеся, заверяем правильность всех данных, указанных в анкете.

В подтверждение вышеприведенных данных к анкете прикладываются следующие документы:

1. _______________ (название документа) ____ (количество страниц в документе);

2. _______________ (название документа) ____ (количество страниц в документе);

..................................................................

n. _______________ (название документа) ____ (количество страниц в документе).

Руководитель организации        
  (подпись)   (Ф.И.О.)
        М.П.
Главный бухгалтер        
  (подпись)   (Ф.И.О.)

I.4.4. ФОРМА ДОВЕРЕННОСТИ НА УПОЛНОМОЧЕННОЕ ЛИЦО, ИМЕЮЩЕЕ ПРАВО ПОДПИСИ И ПРЕДСТАВЛЕНИЯ ИНТЕРЕСОВ ОРГАНИЗАЦИИ - УЧАСТНИКА РАЗМЕЩЕНИЯ ЗАКАЗА

На бланке организации

Дата, исх. номер

ДОВЕРЕННОСТЬ N ____

г. Москва    
  (прописью число, месяц и год выдачи доверенности)
Организация - Участник размещения заказа:  
    (наименование
     
организации)
доверяет    
  (фамилия, имя, отчество, должность)

паспорт серии ______ N _______ выдан ____________ "__" ___________

представлять интересы  
  (наименование организации)

на конкурсах, проводимых [указать название государственного заказчика, уполномоченного органа].

В целях выполнения данного поручения он уполномочен представлять конкурсной комиссии необходимые документы, подписывать и получать от имени организации-доверителя все документы, связанные с его выполнением.

Подпись       удостоверяем.
  (Ф.И.О. удостоверяемого)   (Подпись удостоверяемого)  

Доверенность действительна по "__" ________________ 200_ г.

Руководитель организации        
      (Ф.И.О.)
      М.П.  
Главный бухгалтер        
      (Ф.И.О.)

I.4.5. ФОРМА БАНКОВСКОЙ ГАРАНТИИ НА АВАНСОВЫЙ ПЛАТЕЖ

КОМУ: [наименование Заказчика]
   
  АДРЕС: [адрес Заказчика]

Уважаемые дамы и господа,

Ссылаясь на Контракт ("Контракт"), заключенный ________ (дата) между вами и (наименование Консультанта) ("Консультант") на выполнение Услуг ___________________ (краткое описание Услуг), и в связи с тем, что согласно условиям вышеупомянутого Контракта Заказчик согласился выплатить или организовать выплату Консультанту аванса в размере .......................... (......%) от общей Цены Контракта, причитающейся Консультанту, а именно сумму

  .
(сумма прописью) (сумма цифрами)  

Настоящим письмом мы, нижеподписавшиеся (наименование Банка), Банк (или компания), зарегистрированный в _________________ (место регистрации) и имеющий свой официальный/главный офис по адресу _________________________ (адрес Банка), солидарно с Консультантом предоставляем безотзывную и безусловную гарантию на выплату указанных выше сумм по первому требованию Заказчика, права возражений с нашей стороны и без необходимости предъявлять первоначально требование по отношению к Консультанту, в случае, если Консультант не сможет приступить к выполнению или выполнить свои обязательства, предусмотренные условиями этого Контракта, и в этом случае откажется вернуть Заказчику весь этот аванс или его часть (в зависимости от обстоятельств).

При этом подразумевается, что обязательства Банка всегда ограничиваются суммой, равной оставшейся части аванса, и учитывают те суммы, которые Консультант периодически возвращал согласно условиям платежа по данному Контракту, что подтверждается соответствующими платежными поручениями.

Настоящая гарантия полностью остается в силе, начиная с даты, по наступлении которой Консультант получил вышеупомянутый аванс, и до наступления даты, когда Консультант полностью возвратил сумму, авансированную ему Заказчиком в соответствии с условиями Контракта. В тот момент, когда оставшаяся сумма станет равна нулю, настоящая гарантия теряет свою силу, независимо от того, будет возвращен ее оригинал или нет.

Любые претензии, предъявляемые в связи с настоящей гарантией, должны быть получены Банком в течение срока действия этой гарантии.

С уважением,

Гарант __________________________________

(Подпись полномочного лица, печать банка)

_________________________________________

(наименование банка)

_________________________________________

(адрес)

_________________________________________

(дата)

ЧАСТЬ II. ПРОЕКТ ГОСУДАРСТВЕННОГО КОНТРАКТА

ГОСУДАРСТВЕННЫЙ КОНТРАКТ НА ОКАЗАНИЕ КОНСУЛЬТАЦИОННЫХ УСЛУГ
N ________________

между  
Министерством экономического развития и торговли
Российской Федерации
 
   
и  
   
   
(наименование инвестиционного консультанта)  
   
Москва, "__" _________ 2006 г.  

ФОРМА ГОСУДАРСТВЕННОГО КОНТРАКТА

Настоящий Государственный Контракт (далее по тексту - "Контракт") заключен "__" ________________________ 2006 г. между Министерством экономического развития и торговли Российской Федерации, именуемым в дальнейшем "Заказчик", в лице

    ,
действующего на основании      
    , с одной стороны,  

и

(регистрационный номер ______________, зарегистрировано __________ регистрационной палатой ________________, основной государственный регистрационный номер в Едином государственном реестре юридических лиц ______________________), именуемым в дальнейшем "Консультант",

в лице       ,
действующего на основании      
      , с другой стороны.  

ВВИДУ ТОГО, ЧТО

(A) Заказчик попросил Консультанта оказать определенные консультационные услуги, описанные в Общих условиях Контракта, прилагаемых к настоящему Контракту (далее по тексту - "Услуги");

(B) Консультант, продемонстрировав Заказчику, что он обладает необходимой профессиональной квалификацией, персоналом и техническими ресурсами, согласился оказать Услуги на условиях, изложенных в настоящем Контракте;

(C) Заказчик в соответствии с Постановлением Правительства Российской Федерации от 23 ноября 2005 г. N 694 "ОБ ИНВЕСТИЦИОННОМ ФОНДЕ РОССИЙСКОЙ ФЕДЕРАЦИИ", Статья VI "Порядок и критерии отбора инвестиционных консультантов" и на основании протокола заседания Конкурсной комиссии от "__" _________ 2006 г. N ___________ провел конкурсный отбор такого консультанта;

В СВЯЗИ С ЭТИМ В НАСТОЯЩИЙ МОМЕНТ Стороны договариваются о нижеследующем:

1. Перечисленные ниже документы, прилагаемые к настоящему Контракту, считаются его неотъемлемой частью:

(a) Общие условия Контракта (ОУ);

(b) Специальные условия Контракта (СУ);

(c) Следующие Приложения:

Приложение A: Техническое задание

Приложение B: Требования к отчетности

Приложение C: Основной Персонал и Субконсультанты

Приложение D. Единичные фиксированные ставки вознаграждения Консультанта

Приложение E. Единичные предельные ставки возмещаемых расходов Консультанта

Приложение F. Форма запроса на оказание консультационных услуг (ЗКУ)

2. В Контракте оговариваются взаимные права и обязанности Заказчика и Консультанта, в частности то, что:

(a) Консультант должен выполнить Услуги в соответствии с положениями Контракта;

(b) Финансирование настоящего Контракта осуществляется за счет средств федерального бюджета по разделу 01, подразделу 15, целевой статье 075, виду расходов 187 бюджетной классификации Российской Федерации. Заказчик должен произвести платеж Консультанту в соответствии с положениями Контракта.

В УДОСТОВЕРЕНИЕ ЧЕГО Стороны настоящего Контракта обеспечили его подписание от своего имени в день и год, указанные в начале этого документа.

От имени и по поручению   От имени и по поручению
ЗАКАЗЧИКА   КОНСУЛЬТАНТА
     
(Подпись, ФИО, должность)   (Подпись, ФИО, должность)

ОБЩИЕ УСЛОВИЯ КОНТРАКТА

1. Общие положения

1.1. Определения

Если контекст не требует иного, указанные ниже термины имеют следующие значения в любом месте настоящего Контракта:

(a) "Применимое право" означает законы и любые другие нормативные правовые акты, имеющие силу закона в Российской Федерации (или в другой стране, которая может быть указана в Специальных условиях Контракта (СУ)), которые могут периодически издаваться и быть в силе;

(b) "Инвестиционный фонд" означает средства, предусмотренные в федеральном бюджете Российской Федерации и подлежащие использованию в целях реализации инвестиционных проектов в соответствии с Постановлением Правительства Российской Федерации от 23 ноября 2005 г. N 694 "ОБ ИНВЕСТИЦИОННОМ ФОНДЕ РОССИЙСКОЙ ФЕДЕРАЦИИ";

(c) "Контракт" означает подписанный Сторонами Контракт, к которому прилагаются настоящие Общие условия Контракта (ОУ) вместе со всеми документами, перечисленными в Статье 1 такого подписанного Контракта;

(d) "Дата вступления в силу" означает дату вступления настоящего Контракта в силу в соответствии со Статьей 2.1 ОУ;

(e) "Иностранная валюта" означает любую валюту, кроме валюты Российской Федерации;

(f) "ОУ" означает настоящие Общие условия Контракта;

(g) "Правительство" означает Правительство Российской Федерации;

(h) "Местная валюта" означает валюту Российской Федерации;

(i) "Сторона" означает Заказчика или Консультанта, в зависимости от контекста, а "Стороны" означает их обоих;

(j) "Персонал" означает физических лиц, нанятых Консультантом или любым Субконсультантом в качестве сотрудников и выделенных для выполнения Услуг или какой-либо их части; "иностранный Персонал" означает лиц, которые на момент их найма по Контракту проживали за пределами Российской Федерации; "местный Персонал" означает лиц, которые на момент их найма по Контракту проживали на территории Российской Федерации; "основной Персонал" означает Персонал, указанный в Статье 4.2(a) ОУ;

(k) "СУ" означает Специальные условия Контракта, которые могут стать поправкой или дополнением к ОУ;

(l) "Услуги" означает работу, которая должна быть выполнена Консультантом в соответствии с настоящим Контрактом, как это описано в Приложении A;

(m) "Запрос на оказание консультационных услуг" означает запрос на оказание определенных данным запросом услуг, направленный Заказчиком и подтвержденный Консультантом;

(n) "Субконсультант" означает любое физическое или юридическое лицо, с которыми Консультант заключает контракт субподряда на выполнение какой-либо части Услуг в соответствии с положениями Статьи 3.7 ОУ;

(o) "Третья сторона" означает любое физическое лицо или юридическое лицо, кроме Правительства, Заказчика, Консультанта или Субконсультанта.

1.2. Отношения Сторон

Ни одно из содержащихся здесь положений не должно интерпретироваться как создание между Заказчиком и Консультантом отношений начальника и подчиненного. В рамках настоящего Контракта Консультант полностью руководит Персоналом и Субконсультантами (если таковые имеются), которые оказывают Услуги, и несет полную ответственность за Услуги, оказываемые ими или по их поручению в соответствии с настоящим Контрактом.

1.3. Регулирующее право Контракта

Настоящий Контракт, его значение и интерпретация, а также отношения Сторон регулируются Применимым правом.

1.4. Язык

Настоящий Контракт оформлен на языке, указанном в СУ и являющемся обязательным и официальным языком для решения всех вопросов, касающихся значения или интерпретации настоящего Контракта.

1.5. Названия статей

Названия статей не ограничивают, не меняют и не влияют на смысл настоящего Контракта.

1.6. Уведомления

1.6.1. Любое уведомление, запрос или согласие, выдача которых необходима или разрешена в связи с настоящим Контрактом, должны быть в письменном виде. Любое такое уведомление, запрос или согласие считаются выданными в случае их личной доставки полномочному представителю Стороны, которой адресована эта информация, или в случае их пересылки заказной почтой, по телексу, телеграфу или факсу такой Стороне по адресу, указанному в СУ.

1.6.2. Условия вступления уведомлений в силу указаны в СУ.

1.6.3. Сторона может изменить указанный здесь адрес для направления уведомлений, направив другой Стороне уведомление о таком изменении в соответствии с положениями СУ применительно к Статье 1.6.2 ОУ.

1.7. Местонахождение

Услуги выполняются в местах, указанных в каждом отдельном Запросе на оказание консультационных услуг, а в случае, если место выполнения конкретного задания не указано, в тех местах - будь-то в Российской Федерации или в иной стране, - которые могут быть утверждены Заказчиком.

1.8. Полномочные представители

Любое действие, осуществление которого необходимо или разрешено, и любой документ, оформление которого необходимо или разрешено Заказчиком или Консультантом в рамках настоящего Контракта, могут быть предприняты или оформлены сотрудниками, указанными в СУ.

1.9. Налоги и пошлины

Если в СУ не указано иначе, Консультант, Субконсультанты и их Персонал обязаны выплатить те налоги, пошлины, сборы и другие платежи, которые могут взиматься в соответствии с Применимым правом.

2. Начало, завершение, изменение и расторжение Контракта

2.1. Вступление Контракта в силу

Настоящий Контракт вступает в силу в день ("Дата вступления в силу"), когда Заказчик направляет Консультанту уведомление с указанием о начале выполнения Услуг. Это уведомление подтверждает выполнение условий вступления в силу (если таковые имеются), перечисленных в СУ.

2.2. Расторжение Контракта в связи с его невступлением в силу

В случае, если настоящий Контракт не вступает в силу в течение указанного в СУ периода времени после подписания Контракта Сторонами, любая из Сторон может направить другой Стороне, но не менее чем за четыре (4) недели, письменное уведомление об аннулировании и потере силы настоящего Контракта, и в случае такого заявления любой из Сторон ни одна из Сторон не должна иметь в связи с этим претензий к другой Стороне.

2.3. Начало выполнения Услуг

Консультант должен приступить к оказанию Услуг по истечении периода времени после Даты вступления в силу, который указан в СУ.

2.4. Истечение срока действия Контракта

Если настоящий Контракт не расторгается раньше в соответствии со Статьей 2.9 ОУ, срок его действия истекает по окончании периода времени после Даты вступления в силу, который указан в СУ.

2.5. Полное соглашение

Настоящий Контракт содержит все условия, оговорки и положения, согласованные Сторонами.

Ни один из агентов или представителей любой из Сторон не имеет полномочий делать заявления, представления, давать обещания или заключать договоры, а Стороны не будут связаны ими или отвечать за них, если это не оговорено в настоящем Контракте.

2.6. Изменение

Условия настоящего Контракта, включая все, что касается объема Услуг, могут быть изменены только с письменного согласия обеих Сторон.

2.7. Форс-мажор

2.7.1. Определение

(a) Для целей настоящего Контракта "Форс-мажор" означает событие, находящееся вне разумного контроля Стороны и приводящее к тому, что выполнение Стороной ее обязательств по Контракту становится невозможным или настолько бессмысленным, что в данных обстоятельствах считается невозможным, и включает, но не ограничивается такими явлениями, как война, волнения, общественные беспорядки, землетрясение, пожар, взрыв, буря, наводнение или другие неблагоприятные метеорологические условия, забастовки, локауты или другие события в промышленности (за исключением тех случаев, когда такие забастовки, локауты или другие события в промышленности находятся под контролем Стороны, стремящейся предотвратить Форс-мажор), конфискация или другие действия государственных органов.

(b) Форс-мажор не охватывает (i) любые события, вызванные небрежностью или преднамеренным действием Стороны или Субконсультантов, агентов или сотрудников Стороны, (ii) любые события, которые Сторона могла бы предусмотреть при должном прилежании, чтобы (А) учесть их при заключении Контракта и (В) предотвратить преодолеть их при выполнении обязательств по настоящему Контракту.

(с) Форс-мажором не является отсутствие достаточных средств или невыполнение каких-либо платежей, предусмотренных настоящим Контрактом.

2.7.2. Ненарушение условий Контракта

Невыполнение Стороной каких-либо обязательств по Контракту не считается нарушением или несоблюдением условий настоящего Контракта, если такое невыполнение связано с событием Форс-мажора, при условии, что Сторона, пострадавшая от такого события, предприняла все разумные меры предосторожности, проявила надлежащую осмотрительность и осуществила разумные альтернативные действия, чтобы выполнить условия настоящего Контракта.

2.7.3. Необходимые меры

(a) Сторона, пострадавшая от события Форс-мажора, должна предпринять все разумные меры, чтобы в кратчайшие сроки преодолеть невозможность выполнения своих обязательств по настоящему Контракту.

(b) Сторона, пострадавшая от события Форс-мажора, должна как можно скорее уведомить другую Сторону о таком событии, по крайней мере, не позднее чем через четырнадцать (14) дней после этого события, предоставив при этом информацию о характере и причине этого события, и также, как можно скорее, сообщить о восстановлении нормальных условий.

(c) Стороны должны принять все разумные меры для сведения к минимуму последствий любого события Форс-мажора.

2.7.4. Продление срока

Любой период времени, в течение которого Сторона должна завершить какое-либо мероприятие или задание в соответствии с настоящим Контрактом, продлевается на такой период времени, в течение которого эта Сторона была не в состоянии выполнять это мероприятие в связи с Форс-мажором.

2.7.5. Консультации

Не позднее чем через тридцать (30) дней после того, как Консультант в результате события Форс-мажора оказался неспособен к выполнению существенной части Услуг, Стороны должны проконсультироваться друг с другом с целью согласования мер, которые необходимо предпринять в сложившихся обстоятельствах.

2.8. Приостановление платежей

Заказчик может, письменно уведомив Консультанта о приостановлении платежей, задержать все платежи по настоящему Контракту, если Консультант не выполняет что-либо из своих обязательств по этому Контракту, включая выполнение Услуг, при условии, что такое уведомление о приостановлении платежей (i) определяет характер невыполнения обязательств, (ii) содержит просьбу о том, чтобы Консультант исправил положение в течение периода времени, не превышающего тридцать (30) дней после получения Консультантом такого уведомления.

2.9. Расторжение Контракта

2.9.1. Заказчиком

Заказчик вправе расторгнуть настоящий Контракт, направив Консультанту соответствующее уведомление не менее чем за 30 (тридцать) дней до такого расторжения, если имело место любое из событий, предусмотренных в пунктах (a) - (f) данной Статьи 2.9.1 ОУ, и не менее чем за 60 (шестьдесят) дней до такого расторжения, в случае, если имело место событие, предусмотренное в пункте (g):

(a) если Консультант не исправляет положение с невыполнением своих обязательств по Контракту, как указано в уведомлении о приостановлении платежей в соответствии со Статьей 2.8 выше, в течение тридцати (30) дней после получения такого уведомления или в течение более длительного периода, который Заказчик может впоследствии утвердить письменно;

(b) если Консультант становится неплатежеспособным и банкротом, или же заключает соглашения со своими кредиторами в целях освобождения от задолженности, или использует законодательство в пользу дебиторов, или ликвидируется, или переходит в конкурсное управление (обязательное или добровольное);

(c) если Консультант не выполняет любое окончательное решение, вынесенное в результате арбитражного разбирательства в соответствии со Статьей 8 ОУ настоящего Контракта;

(d) если Консультант передает Заказчику рекомендации, которые оказывают существенное влияние на права, обязанности или интересы Заказчика и которые, как это известно Консультанту, являются ложными;

(e) если в результате Форс-мажора Консультант не способен выполнять существенную часть Услуг в течение периода времени не менее шестидесяти (60) дней;

(f) если Консультант, по мнению Заказчика, замешан в коррупции и мошенничестве в ходе проведения конкурсного отбора или выполнения данного Контракта. Для целей настоящей статьи: "коррупция" означает подарки, пожертвования, сокрытие или ходатайство любого размера в целях оказания влияния на действия официальных лиц в процессе конкурсного отбора или выполнения Контракта; "мошенничество" означает неправильное представление фактов с целью оказания влияния на процесс конкурсного отбора или выполнения Контракта в ущерб Заказчику и включает сговор между консультантами (до или после подачи предложений) с тем, чтобы искусственно поднять цены до неконкурентного уровня и лишить Заказчика выгод свободной и открытой конкуренции;

(g) если Заказчик по своему собственному усмотрению и по какой-либо причине решает расторгнуть настоящий Контракт;

2.9.2. Консультантом

Консультант может расторгнуть настоящий Контракт, направив Заказчику письменное уведомление не менее чем за тридцать (30) дней, которое дается после того, как имело место любое из событий, указанных в пунктах (a) - (d) данной Статьи 2.9.2 ОУ:

(a) если Заказчик не выплачивает Консультанту какой-либо платеж, причитающийся ему в связи с настоящим Контрактом и не подлежащий обсуждению в соответствии со Статьей 8 ОУ настоящего Контракта, в течение сорока пяти (45) дней после получения письменного уведомления Консультанта о просрочке такого платежа;

(b) если Заказчик существенно нарушил свои обязательства по настоящему Контракту и не исправил это положение в течение сорока пяти (45) дней (или в течение более длительного периода, который Консультант может впоследствии одобрить в письменном виде) после получения Заказчиком уведомления Консультанта с указанием такого нарушения;

(c) если в результате Форс-мажора Консультант не способен выполнять существенную часть Услуг в течение периода времени не менее шестидесяти (60) дней; или

(d) если Заказчик не выполняет любое окончательное решение, вынесенное в результате арбитражного разбирательства в соответствии со Статьей 8 ОУ настоящего Контракта.

2.9.3. Прекращение действия прав и обязанностей

После расторжения настоящего Контракта в соответствии с его Статьями 2.2 ОУ или 2.9 ОУ или же по истечении срока действия настоящего Контракта в соответствии с его Статьей 2.4 ОУ все права и обязанности Сторон по этому Контракту теряют силу, за исключением (i) тех прав и обязанностей, которые могли накопиться к моменту расторжения или истечения срока действия Контракта, (ii) обязанности соблюдения конфиденциальности, указанной в Статье 3.3 ОУ Контракта, (iii) обязанности Консультанта предоставить возможность просмотра, копирования и проверки его бухгалтерских счетов и книг, указанной в Статье 3.6(ii) ОУ Контракта, и (iv) любых прав, которые Сторона может иметь в рамках Применимого права.

2.9.4. Прекращение выполнения услуг

После расторжения настоящего Контракта на основании уведомления, направленного любой из Сторон другой Стороне в соответствии со Статьями 2.9.1 ОУ или 2.9.2 ОУ Контракта, Консультант сразу же после отправки или получения такого уведомления должен предпринять все необходимые шаги для оперативного и организованного прекращения выполнения Услуг и сделать все необходимое для сведения к минимуму связанных с этим расходов. Что касается документации, подготовленной Консультантом, а также оборудования и материалов, поставленных Заказчиком, Консультант должен действовать согласно Статьям 3.9 ОУ или 3.10 ОУ настоящего Контракта, соответственно.

2.9.5. Оплата после расторжения Контракта

После расторжения настоящего Контракта в соответствии с его Статьями 2.9.1 ОУ или 2.9.2 ОУ Заказчик должен выплатить Консультанту следующие платежи:

(a) в соответствии со Статьей 6 ОУ, вознаграждение за Услуги, удовлетворительно выполненные до наступления даты расторжения Контракта;

(b) в соответствии со Статьей 6 ОУ, компенсацию за оплачиваемые расходы, действительно понесенные до наступления даты расторжения Контракта;

(c) за исключением случаев расторжения Контракта в соответствии с пунктами (a) - (f) Статьи 2.9.1 ОУ Контракта, компенсацию любых обоснованных расходов, связанных с оперативным и должным образом оформленным расторжением Контракта, включая стоимость обратной дороги для Персонала.

2.9.6. Споры по поводу событий, связанных с расторжением Контракта

Если одна из Сторон оспаривает то, что имело место событие, указанное в пунктах (a) - (f) Статьи 2.9.1 ОУ или в Статье 2.9.2 ОУ настоящего Контракта, эта Сторона может в течение сорока пяти (45) дней после получения от другой Стороны уведомления о расторжении Контракта направить этот вопрос на рассмотрение арбитражного суда согласно Статье 8 ОУ, и Контракт не будет расторгнут по причине этого события, за исключением того случая, когда это будет сделано в соответствии с вынесенным арбитражным решением.

3. Обязанности Консультанта

3.1. Общие положения

3.1.1. Цель Контракта

Целью настоящего Контракта является определение сроков и условий, в соответствии с которыми Заказчик по мере необходимости может получать от Консультанта определенные консультационные услуги, описанные в Приложении A, не проводя предварительно процедуру выбора Консультанта. Заказчик не обязан регулярно обращаться к Консультанту с просьбой предоставить Услуги и не берет на себя никаких финансовых или каких-либо других обязательств, за исключением тех случаев, когда он по мере необходимости представляет Запрос на оказание консультационных услуг в соответствии с настоящим Контрактом. Заказчик и Консультант договорились, что все Запросы на оказание консультационных услуг в рамках настоящего Контракта будут подготовлены в формате, указанном в Приложении F к настоящему Контракту.

3.1.2. Стандарт выполнения Услуг

Консультант должен оказывать Услуги и выполнять свои обязанности по настоящему Контракту с надлежащим прилежанием, эффективностью и бережливостью в соответствии с общепринятой профессиональной методикой и практикой, должен придерживаться хорошей практики управления и применять соответствующую передовую технологию, а также безопасные и эффективные методы. В отношении любого вопроса, связанного с настоящим Контрактом или Услугами, Консультант всегда должен действовать как надежный советчик Заказчика и неизменно поддерживать и охранять законные интересы Заказчика в своих отношениях с Субконсультантами или третьими сторонами.

3.1.3. Законодательство, регулирующее выполнение Услуг

Консультант должен выполнять Услуги в соответствии с Применимым правом и предпринимать все практические шаги, обеспечивающие соответствие Применимому праву действий всех Субконсультантов, а также Персонала Консультанта и любых Субконсультантов.

3.2. Конфликт интересов

3.2.1. Консультант не должен извлекать выгоду в виде комиссионных, скидок и т.д.

Вознаграждение Консультанта, причитающееся ему в соответствии со Статьей 6 ОУ настоящего Контракта, является его единственным вознаграждением в связи с настоящим Контрактом или Услугами, и согласно Статье 3.2.2 ОУ настоящего Контракта Консультант не должен принимать к своей собственной выгоде какие-либо торговые комиссионные, торговые скидки или аналогичные им платежи в связи с деятельностью, осуществляемой на основании настоящего Контракта, или в связи с Услугами, или при выполнении своих обязательств по Контракту. Консультант должен прилагать все усилия к тому, чтобы все Субконсультанты, а также Персонал и агенты Консультанта и Субконсультанта также не получали никаких подобных дополнительных вознаграждений.

3.2.2. Требования к поставкам при реализации инвестиционных проектов

Если в рамках Услуг Консультант несет ответственность за предоставление Заказчику консультаций по вопросам оценки поставок товаров, работ или услуг, Консультант должен соблюдать при этом все применимые нормативные акты и руководства Правительства и всегда должен делать это исключительно в интересах Заказчика. Любые скидки или комиссионные, полученные Консультантом при выполнении таких обязанностей по закупкам, должны относиться на счет Заказчика.

3.2.3. Консультант и его филиалы не должны заниматься определенными видами деятельности

Консультант соглашается с тем, что в течение срока действия настоящего Контракта и после его окончания Консультант и любой из его филиалов, а также все Субконсультанты и их филиалы лишаются права предоставления товаров, работ или услуг (кроме Услуг и работ, являющихся их продолжением) для любого проекта, являющегося следствием или тесно связанного с Услугами.

3.2.4. Запрет на деятельность, приводящую к конфликту интересов

Консультант не должен принимать и должен обеспечить, чтобы его Персонал и Субконсультанты не принимали прямого или косвенного участия в каком-либо из ниже перечисленных видов деятельности:

(a) в течение срока действия настоящего Контракта: любая коммерческая или профессиональная деятельность, которая может войти в противоречие с деятельностью, порученной им по настоящему Контракту; и

(b) после окончания срока действия настоящего Контракта: любые другие виды деятельности, которые могут быть оговорены в СУ.

3.2.5. Коррупция или Мошенничество

Заказчик требует, чтобы участники размещения заказа/Поставщики/Контрактанты, участвующие в финансируемых Правительством контрактах, соблюдали самый высокий стандарт этики в течение выполнения таких контрактов. Во исполнение этой политики Заказчик:

(a) определяет, для целей настоящей статьи, термины, сформулированные ниже следующим образом:

(i) "коррупция" означает подарки, пожертвования, сокрытие или ходатайство любого размера в целях оказания влияния на действия официальных лиц в процессе конкурсного отбора или выполнения Контракта; и

(ii) "мошенничество" означает неправильное представление фактов с целью оказания влияния на процесс конкурсного отбора или выполнения Контракта в ущерб Заказчику и включает сговор между консультантами (до или после подачи предложений) с тем, чтобы искусственно поднять цены до неконкурентного уровня и лишить Заказчика выгод свободной и открытой конкуренции.

(b) Отклонит предложение, если будет установлено, что Участник, рекомендуемый для присуждения контракта, был замешан в коррупции или мошенничестве в конкуренции до или в процессе выполнения финансируемого Правительством контракта.

(c) Объявит неприемлемой на неопределенный или определенный период времени Консультанта для заключения контракта, финансируемого Заказчиком, если будет установлено, что фирма была замешана в коррупции или мошенничестве в конкуренции до или в процессе выполнения финансируемого Заказчиком контракта.

3.3. Конфиденциальность

В течение срока действия настоящего Контракта и в течение двух (2) лет после его окончания Консультант, его Субконсультанты и их Персонал не должны раскрывать никакой информации, являющейся собственностью Консультанта или имеющей конфиденциальный характер, которая связана с Услугами, настоящим Контрактом или бизнесом или деловыми операциями Заказчика, без предварительного письменного согласия Заказчика.

3.4. Материальная ответственность Консультанта

С учетом дополнительных положений (если таковые имеются), указанных в СУ, Консультант несет материальную ответственность по настоящему Контракту в соответствии с Применимым правом.

3.5. Страхование Консультанта

Консультант (i) за свой счет, но на условиях, одобренных Заказчиком, заключает и соблюдает договор о страховании от рисков, а также обеспечивает заключение и соблюдение такого договора со стороны всех своих Субконсультантов за свой счет (или за счет Субконсультантов, в зависимости от обстоятельств), причем виды рисков и общая сумма страхования должны быть указаны в СУ; (ii) по просьбе Заказчика должен предоставить Заказчику доказательства того, что такой договор о страховании был заключен и соблюдается и что причитающиеся на данный момент страховые взносы были уплачены.

3.6. Бухгалтерский учет, проверки и аудит

Консультант (i) должен вести точный и систематический бухгалтерский учет и документацию по Услугам, предусмотренным настоящим Контрактом, в соответствии с общепринятыми принципами бухгалтерского учета, в такой форме и с такой детализацией, которые четко показывают все необходимые повременные сборы и издержки, а также базы, на основе которых они выведены (включая базы, конкретно указанные в СУ); (ii) должен разрешить Заказчику или назначенному им представителю периодически и в течение одного года после истечения срока действия или расторжения Контракта проверять указанную документацию и снимать с нее копии, а также представлять ее на аудиторскую проверку аудиторскими фирмами, назначенными Заказчиком.

3.7. Действия Консультанта, требующие предварительного согласования с Заказчиком

Прежде чем предпринять любое из перечисленных ниже действий, Консультант должен предварительно получить письменное согласие Заказчика:

(a) назначение сотрудников из числа Персонала, которые перечислены в Приложении C просто по должности, а не поименно;

(b) заключение субконтракта на выполнение какой-либо части Услуг, причем здесь подразумевается, что (i) Заказчик дает свое письменное согласие на выбор Субконсультанта и условия субконтракта еще до оформления субконтракта и (ii) Консультант несет полную ответственность за выполнение Услуг Субконсультантом и его Персоналом в соответствии с настоящим Контрактом;

(c) любое другое действие, которое может быть оговорено в СУ.

3.8. Обязанности в области отчетности

Консультант должен представлять Заказчику отчеты и документацию, указанные в Приложении B к настоящему Контракту, по форме, в количестве и в сроки, оговоренные в этом Приложении.

3.9. Подготавливаемые Консультантом документы, которые становятся собственностью Заказчика

Все планы, рисунки, спецификации, чертежи, отчеты, базы данных и другие документы, а также программное обеспечение, подготовленные Консультантом для Заказчика в рамках настоящего Контракта, становятся и остаются собственностью Заказчика, и Консультант должен не позднее даты расторжения или окончания срока действия настоящего Контракта передать в распоряжение Заказчика всю такую документацию вместе с ее подробным перечнем. Консультант может оставить у себя копии этих документов и программного обеспечения. Ограничения в отношении будущего использования этих документов (если таковые имеются) оговариваются в СУ.

3.10. Оборудование и материалы, поставляемые Заказчиком

Оборудование и материалы, предоставляемые Заказчиком Консультанту или же закупленные Консультантом на средства, предоставленные Заказчиком, являются собственностью Заказчика и должны быть соответствующим образом промаркированы. После расторжения или истечения срока действия настоящего Контракта Консультант должен предоставить Заказчику инвентарный перечень такого оборудования и материалов и распорядиться этим оборудованием и материалами в соответствии с инструкциями Заказчика. Имея в своем распоряжении это оборудование и материалы, Консультант должен застраховать их (если только от Заказчика не поступит иных письменных распоряжений) за счет Заказчика на сумму, равную их полной восстановительной стоимости.

4. Персонал Консультанта и Субконсультанты

4.1. Общие положения

Консультант нанимает и предоставляет Персонал и Субконсультантов такой квалификации и с таким опытом, которые необходимы для выполнения Услуг.

4.2. Описание Персонала

(a) Должности, согласованные рабочие обязанности и минимальные требования к квалификации для каждого из представителей основного Персонала Консультанта приведены в Приложении C. Если Заказчик уже утвердил какого-либо сотрудника из числа основного Персонала, приводится также его/ее Ф.И.О.

(b) Если необходимо выполнение дополнительной работы, выходящей за пределы объема Услуг, указанного в каждом Запросе на оказание консультационных услуг, расчетные сроки использования основного Персонала, указанные в таком запросе, могут быть увеличены по письменному согласию между Заказчиком и Консультантом, при условии, что такое увеличение (за исключением достижения иных письменных договоренностей) не приведет к превышению предельной суммы выплат по настоящему Контракту, указанной в Статье 6.1(c) ОУ.

4.3. Утверждение Персонала

Основной Персонал и Субконсультанты, перечисленные по должностям и поименно в Приложении C, настоящим утверждаются Заказчиком. Что касается других основных сотрудников, которых Консультант предполагает использовать при выполнении Услуг, то здесь Консультант должен представить на рассмотрение и утверждение Заказчика копию их биографических данных и, если Заказчик не представит письменных возражений (указав их причины) в течение двадцати одного (21) календарного дня со дня получения таких биографических данных, то такой основной Персонал считается утвержденным Заказчиком.

4.4. Сверхурочные, отпуска и т.д.

(a) Для учета времени поездок считается, что иностранный Персонал, выполняющий Услуги в Российской Федерации, начал (или закончил) работать, выполняя Услуги, за один день до его прибытия (или после его отъезда) в (из) Российскую Федерацию.

(b) Основной Персонал не имеет права на получение сверхурочных, больничных или отпуска. Считается, что вознаграждение Консультанта покрывают эти позиции. Весь отпуск, на который имеет право Персонал, включается в человеко-месяцы услуг, указанные в каждом Запросе на оказание консультационных услуг. Беря отпуск, любой сотрудник должен получить предварительное согласие Консультанта, который должен проследить за тем, чтобы уход в отпуск не задерживал ход работ и не мешал осуществлению надлежащего надзора за выполнением Услуг.

4.5. Увольнение и/или замена Персонала

(a) Если Заказчик не согласится на иное, в состав основного Персонала не должны вноситься никакие изменения. Если по каким-либо причинам, не поддающимся контролю со стороны Консультанта, потребуется заменить какого-либо сотрудника из числа Персонала, Консультант заранее обеспечит замену, предоставив человека такой же или более высокой квалификации.

(b) Если Заказчик (i) обнаружит, что кто-либо из Персонала совершил серьезный проступок или был обвинен в каком-либо уголовном деянии, или (ii) имеет серьезные причины быть недовольным работой кого-либо из Персонала, то Консультант должен по письменному запросу Заказчика, где указаны причины этой просьбы, заранее обеспечить замену, предоставив человека, квалификация и опыт которого приемлемы для Заказчика.

(c) Весь Персонал, предоставляемый в качестве замены согласно вышеуказанным Статьям (a) и (b); ставки вознаграждения, применимые к таким лицам, а также все расходные статьи, подлежащие возмещению, по которым Консультант может захотеть предъявить претензию в связи с указанной заменой, должны быть предварительно одобрены Заказчиком в письменной форме. За исключением тех случаев, когда с Заказчиком достигнуты иные договоренности, (i) Консультант несет все дополнительные дорожные и другие расходы, включая расходы, связанные с увольнением и/или заменой, и (ii) вознаграждение, подлежащее выплате за весь Персонал, предоставленный в качестве замены, не должно превышать размера вознаграждения, которое было бы выплачено замененному Персоналу.

5. Обязанности Заказчика

5.1. Запрос на оказание консультационных услуг

5.1.1. Для каждого задания Заказчик представит "Запрос на оказание консультационных услуг", который в случае согласия Консультанта будет являться полным Соглашением о выполнении данного задания. Такой "Запрос на оказание консультационных услуг" будет подготовлен, согласован и подписан уполномоченными представителями Сторон как это определено статьей 1.8 ОУ. Все "Запросы на оказание консультационных услуг" регулируются условиями настоящего Контракта.

5.1.2. Консультант в течение периода, не превышающего пяти (5) рабочих дней, должен согласиться или предложить изменения Запроса на оказание консультационных услуг, направленного Заказчиком. Если в течение вышеуказанного периода не будет получено ответа или если Заказчик не примет изменение(я), предложенное Консультантом, Заказчик может немедленно запросить услуги у другого консультанта.

5.2. Содействие Консультанту

Если в СУ не указано иного, Заказчик должен предпринять все возможные усилия для обеспечения того, чтобы Правительство:

(a) выдало Консультанту, Субконсультантам и Персоналу разрешения на выполнение работ, а также всю документацию, необходимую для того, чтобы Консультант, Субконсультанты или Персонал могли предоставить Услуги;

(b) организовало для Персонала и, в случае необходимости, для членов семей Персонала оперативную выдачу всех необходимых въездных виз, разрешений на временное проживание, разрешений на обмен валюты и любых других документов, необходимых для их пребывания в Российской Федерации;

(c) обеспечило быстрое таможенное оформление любого имущества, необходимого для выполнения Услуг, а также личных вещей самого Персонала и членов семей Персонала;

(d) оказало Консультанту, Субконсультантам и Персоналу любое другое содействие, которое может быть указано в СУ.

5.3. Доступ к рабочим участкам

Заказчик гарантирует, что Консультант бесплатно получит беспрепятственный доступ ко всем рабочим участкам в Российской Федерации, доступ к которым необходим для выполнения Услуг. Заказчик несет ответственность за любой ущерб, нанесенный таким рабочим участкам или расположенному на них имуществу в связи с предоставлением такого доступа, и должен возместить Консультанту и всем сотрудникам из числа Персонала убытки от такого ущерба, за исключением случаев, когда такой ущерб вызван просчетами или небрежностью Консультанта или Субконсультантов, или их Персонала.

5.4. Изменения Применимого права

Если после даты подписания этого Контракта произойдет какое-либо изменение Применимого права в отношении налогов и пошлин, в результате которого возрастают или снижаются расходы, понесенные Консультантом при выполнении Услуг, то вознаграждение и возмещаемые расходы, выплачиваемые Консультанту по настоящему Контракту, соответственно увеличиваются или уменьшаются по согласованию Сторон Контракта, без изменения предельных сумм, указанных в Статье 6.1(b) ОУ.

5.5. Платежи

В отношении Услуг, выполненных Консультантом в рамках настоящего Контракта, Заказчик должен произвести Консультанту такие платежи и в такой форме, как это предусмотрено Статьей 6 ОУ настоящего Контракта.

6. Выплаты Консультанту

6.1. Предельная сумма расходов

(a) Каждый Запрос на оказание консультационных услуг должен содержать указание максимальной суммы, которую Заказчик выплатит Консультанту за работу его персонала в соответствии со ставками, указанными в Приложениях D и E.

(b) За исключением иных договоренностей, которые могут быть изложены в Статье 2.6 ОУ, выплаты по настоящему Контракту не должны превышать предельных сумм, указанных в СУ. Как только общая сумма расходов, понесенных при выполнении Услуг, достигнет 80% любой из этих предельных сумм, Консультант должен уведомить об этом Заказчика.

6.2. Вознаграждение и возмещаемые расходы

(a) С учетом предельных сумм, указанных в Статье 6.1(b) ОУ настоящего Контракта, Заказчик должен выплатить Консультанту за каждый согласованный Запрос на оказание консультационных услуг (i) вознаграждение, указанное в Статье 6.2(b) ОУ, и (ii) возмещаемые расходы, указанные в Статье 6.2(c) ОУ. Если это указано в СУ, такое вознаграждение подлежит ценовой корректировке, описанной в СУ.

(b) Размер вознаграждения Консультанта определяется на основании фиксированных единичных ставок Персонала и с учетом времени, реально потраченного таким Персоналом на выполнение Услуг после даты, определенной к Статьях 2.3 ОУ и 2.3 СУ (или другой даты, согласованной Сторонами в письменной форме), и с учетом дополнительных положений, указанных в СУ.

(c) Возмещаемые расходы, реально и обоснованно понесенные Консультантом при выполнении Услуг.

6.3. Валюта платежа

(a) Платежи производятся в валюте или валютах, определенных в СУ.

6.4. Порядок осуществления платежей

Оплата Услуг по каждому "Запросу на оказание консультационных услуг", оформленному в соответствии со статьей 5.1.1, осуществляются следующим образом:

(а) Заказчик обеспечивает выплату Консультанту авансового платежа, как это указано в СУ и описано ниже. Авансовый платеж подлежит выплате после того, как Консультант представит Заказчику гарантию банка, приемлемого для Заказчика, на сумму (или суммы) в валюте (или валютах), указанных в СУ, причем такая банковская гарантия (i) остается в силе до тех пор, пока этот авансовый платеж не будет полностью выплачен, как указано в СУ, и (ii) должна быть представлена по форме, приведенной в Приложении G к Контракту, или по другой форме, которую Заказчик одобрил в письменном виде.

(b) Как только это будет возможно с практической точки зрения, но не позднее чем через пятнадцать (15) дней после окончания выполнения задания по текущему "Запросу на оказание консультационных услуг", Консультант должен представить Заказчику два экземпляра следующих документов, подписанных со стороны Консультанта: акт сдачи-приемки выполненных работ, счет на оплату с учетом полученного аванса, отчет о выполненных работах, финансовый отчет с постатейной разбивкой, а также копии оплаченных счетов, чеков и других необходимых документальных материалов, подтверждающих суммы, подлежащие оплате в соответствии со Статьей 6.2(c) ОУ. В каждом финансовом отчете выделяются общие расходы, которые относятся к вознаграждению, и расходы, которые относятся к возмещаемым расходам.

(c) Услуги считаются выполненными и окончательно принятыми Заказчиком, а отчет о выполненных работах и финансовый отчет считаются одобренными Заказчиком как удовлетворительные через тридцать (30) календарных дней после получения Заказчиком документов, указанных в параграфе 6.4(b), если только в течение этих тридцати (30) дней Заказчик не направит Консультанту письменное уведомление с подробным описанием недостатков Услуг, отчета о выполненных работах или финансового отчета. После этого Консультант должен незамедлительно произвести необходимую корректировку и после ее завершения повторить вышеуказанный процесс.

(d) Заказчик должен подписать акты сдачи-приемки и произвести оплату по выставленным счетам Консультанта в течение тридцати (30) дней после получения Заказчиком документов, указанных в параграфе 6.4(b). Оплата может быть задержана только по той части финансового отчета, которая не сопровождается убедительной подтверждающей документацией. В случае обнаружения каких-либо расхождений между фактическими выплатами и затратами, которые были разрешены Консультанту, Заказчик может приплюсовать или вычесть эту разницу из любого последующего платежа.

(e) Все платежи по настоящему Контракту производятся на расчетный счет Консультанта, указанный в СУ.

7. Урегулирование споров

7.1. Досудебное разрешение разногласий

Стороны должны делать все возможное для того, чтобы миролюбиво разрешать все разногласия, возникающие по причине или в связи с настоящим Контрактом или его интерпретацией.

7.2. Урегулирование споров

Любое разногласие между Сторонами, возникшее в связи с вопросами настоящего Контракта и не поддающееся миролюбивому разрешению в течение тридцати (30) дней после получения одной Стороной просьбы другой Стороны о таком миролюбивом разрешении, может передано любой из Сторон на урегулирование в соответствии с положениями СУ.

СПЕЦИАЛЬНЫЕ УСЛОВИЯ КОНТРАКТА

6.2(b) (1) Подразумевается что, (i) что ставки вознаграждения покрывают (A) заработную плату и социальные выплаты Персонала Консультанта; (B) накладные расходы, исчисляемые с учетом средних издержек Консультанта по данным финансовых отчетов Консультанта за три последних финансовых года и включающие расходы на содержание офиса, расходы на связь и прочие административно-хозяйственные расходы; (C) прибыль Консультанта и (D) все налоги и сборы, которые должен выплатить Консультант в соответствии с Применимым правом и законодательством страны Консультанта; (ii) что в накладные расходы в качестве их составной части не допускается включение премий или других форм участия в прибыли; (iii) что любые ставки, указанные для еще не назначенных лиц, носят условный характер и подлежат рассмотрению (пересмотру) при условии письменного согласия Заказчика как только станет известен применимый размер заработной платы и пособий.
  (2) Сумма вознаграждения за период менее одного месяца рассчитывается: на основе ставки за один рабочий день для времени, фактически и непосредственно связанного с выполнением Услуг. Применимые ставки указаны в Приложении D.
  (3) Ставки вознаграждения определяются на основании конкурсного предложения Консультанта и согласовываются с учетом данных, представленных Консультантом в ходе переговоров по настоящему Контракту, причем такие данные должны быть подтверждены детальной разбивкой вышеуказанных составляющих по ставкам вознаграждения, которую Консультант составляет к концу таких переговоров. Если Заказчик сочтет (либо в результате инспектирования, либо в результате проведения аудита в соответствии со Статьей 3.6 ОУ настоящего Контракта, либо с помощью других средств), что представленная информация является неполной или неточной по существу, он будет иметь право на внесение соответствующих поправок в ставки вознаграждения, на которых отразилось такое отсутствие полноты и точности по существу. Любая такая поправка имеет ретроактивную силу, и в случае, если Заказчик уже выплатил вознаграждение до внесения подобной поправки, (i) Заказчик имеет право удержать любую лишнюю сумму выплаты из следующего платежа Консультанту, или (ii) если Заказчик больше не будет производить выплат Консультанту, Консультант обязан компенсировать Заказчику любую лишнюю сумму выплат в течение тридцати (30) дней со дня получения письменного требования Заказчика. Любое подобное требование Заказчика о возмещении затрат должно быть предъявлено в течение двенадцати (12) календарных месяцев после получения Заказчиком заключительного отчета и заключительного финансового отчета, утвержденных Заказчиком в соответствии со Статьей 6.4(d) настоящего Контракта.
6.2(c) Предельные ставки возмещаемых расходов Консультанта приведены в Приложении E. Предельные ставки определяются на основании конкурсного предложения Консультанта. Оплата производится на основании фактически произведенных расходов с приложением копий подтверждающих документов. В любом случае размер оплаты возмещаемых расходов не должен быть выше указанных в Приложении E предельных ставок.
6.3(a) Выплаты будут производиться в российских рублях по курсу Центрального банка Российской Федерации на дату, предшествующую дате платежа.
6.4(a) Нижеследующие положения определяют условия представления авансового платежа и банковской гарантии на авансовый платеж:
  1) Авансовый платеж (в эквиваленте долларов США), равный 30% от суммы первого Запроса на оказание консультационных услуг, производится в течение 30 дней с даты получения Заказчиком счета Консультанта. Авансовый платеж будет учитываться при оплате полной суммы (где остаток будет учитываться в сумме счета) счета(ов) до того момента, пока не будет учтена полная сумма авансового платежа.
6.4(e) Банковские реквизиты Консультанта:
7.2 Любой спор, разногласие или иск, возникающий по настоящему Контракту или в связи с ним, или нарушение, расторжение или недействительность настоящего Контракта подлежат урегулированию в арбитраже в соответствии с арбитражными правилами UNCITRAL, действующими на данный момент. Арбитраж будет проводиться в Московском международном арбитражном торговом суде при Торгово-промышленной палате Российской Федерации, и официальный язык арбитража - русский.

Приложение A

ТЕХНИЧЕСКОЕ ЗАДАНИЕ

[Техническое задание формируется на основании Раздела III Конкурсной документации и с учетом конкурсного предложения Участника конкурса, занявшего первое место.]

Приложение B

ТРЕБОВАНИЯ К ОТЧЕТНОСТИ

Форматы отчетов о выполненных услугах и финансовых отчетов согласовываются во время контрактных переговоров с Консультантом.

Приложение C

ОСНОВНОЙ ПЕРСОНАЛ И СУБКОНСУЛЬТАНТЫ

Ф.И.О. Должность Квалификационные требования Выполняемая работа
       
       
       
       
       
       
       

Приложение D

ЕДИНИЧНЫЕ ФИКСИРОВАННЫЕ СТАВКИ ВОЗНАГРАЖДЕНИЯ КОНСУЛЬТАНТА

(Валюта: ______________)

Ф.И.О. Должность Базовая зарплата за рабочий месяц Социал. выплаты <*> Накладные расходы <*> Промежуточный итог Прибыль <*> Налоги <*> Согласов. твердая ставка за раб. месяц Согласов. твердая ставка за раб. день
                   
                   
                   
                   
                   
                   
                   

<*> Выражено в процентах.

Подпись Дата: "__" ______ 2006 г.
Ф.И.О.:  
Должность:  

Примечание: Все вышеуказанные ставки включают все налоги и сборы в соответствии с законодательством Российской Федерации. Сумма НДС должна быть выделена в каждом счете.

Приложение E

ЕДИНИЧНЫЕ ПРЕДЕЛЬНЫЕ СТАВКИ ВОЗМЕЩАЕМЫХ РАСХОДОВ КОНСУЛЬТАНТА

(Валюта: ____________)

Ф.И.О. Должность Стоимость проживания в командировке за день Суточные, вкл. питание Надбавка за работу на выезде за день Международный проезд (туда/обратно) Проезд по территории РФ (туда/обратно) Местный транспорт
               
               
               
               
               
               
               
Подпись Дата: "__" ______ 2006 г.
Ф.И.О.:  
Должность:  

Примечание:

1) Все вышеуказанные ставки включают все налоги и сборы в соответствии с законодательством Российской Федерации.

2) Оплата производится на основании фактически произведенных расходов с приложением копий подтверждающих документов, заверенных Консультантом.

3) Фактические расходы не должны превышать указанные предельные ставки.

Приложение F

ФОРМА ЗАПРОСА НА ОКАЗАНИЕ КОНСУЛЬТАЦИОННЫХ УСЛУГ (ЗКУ)

N запроса: ____________ Дата: ___________________

ПО ГОСУДАРСТВЕННОМУ КОНТРАКТУ НА ОКАЗАНИЕ КОНСУЛЬТАЦИОННЫХ УСЛУГ
N __________ от "__" ________ 2006 г.

Согласно Контракту на оказание консультационных услуг, упоминаемому выше (далее именуемому "Контракт"), а также установленным в нем срокам и условиям Министерство экономического развития и торговли Российской Федерации (далее именуемый "Заказчик") представляет ______________________________________ (далее именуемый "Консультант") Запрос на оказание консультационных услуг (далее - ЗКУ), перечисленных ниже. Если Консультант принимает этот ЗКУ, Заказчик и Консультант настоящим согласовывают условия данного ЗКУ (далее именуемого "Соглашение"), которое будет являться неотъемлемой частью вышеуказанного Контракта и основным документом, регулирующим предоставление указанных консультационных услуг в соответствии со следующими положениями:

1. Общие ограничения и финансовые показатели

Дата окончания срока действия Контракта  
Дата начала работ по настоящему ЗКУ  
Ожидаемая дата окончания работ по настоящему ЗКУ  

(Валюта: _____________)

Предельная сумма по Контракту, включая:  
Предельная сумма вознаграждения Консультанта  
Предельная сумма возмещаемых расходов  
Всего согласовано и подписано ЗКУ на общую сумму, включая:  
Вознаграждение Консультанта в соответствии со статьей 6.2(b) ОУ Контракта  
Возмещаемые расходы в соответствии со статьей 6.2(c) ОУ Контракта  
Всего остаток незарезервированных средств по Контракту на общую сумму, включая:  
Вознаграждение Консультанта в соответствии со статьей 6.2(b) ОУ Контракта  
Возмещаемые расходы в соответствии со статьей 6.2(c) ОУ Контракта  
Общая стоимость по данному ЗКУ, включая:  
Вознаграждение Консультанта в соответствии со статьей 6.2(b) ОУ Контракта  
Возмещаемые расходы в соответствии со статьей 6.2(c) ОУ Контракта  
Классификатор сложности задания по данному ЗКУ <*>  
Предельный объем занятости Персонала (чел./мес.) для данного типа сложности ЗКУ <**>  
Планируемый объем занятости Персонала (чел./мес.)  
Место выполнения Услуг <***>  

<*> В соответствии с Техническим заданием услуги по оценке инвестиционных проектов разделены на три уровня по мере возрастания сложности выполнения задания: 1, 2 и 3.

<**> Определяется на основании конкурсного предложения Консультанта.

<***> Указываются все места фактического предоставления работы основного Персонала: головной офис, представительство Консультанта в РФ, участки работ на территории РФ.

2. Требуемые консультационные услуги

Услуги, выполняемые Консультантом по настоящему Соглашению, должны соответствовать условиям вышеуказанного Контракта об оказании консультационных услуг, а также условиям Приложения A ("Описание услуг") к настоящему Соглашению, которое является неотъемлемой частью настоящего Соглашения. Даты начала и окончания оказания услуг указаны в Разделе 1 настоящего Соглашения. Для того чтобы предоставить вышеназванные услуги, Консультант обеспечит работу Персонала, указанного в Разделе 4 настоящего Соглашения.

3. Вознаграждение

За оказанные по настоящему Соглашению услуги Заказчик осуществит выплаты Консультанту в размере, не превышающем ___________________ (включая НДС). Платежи производятся только за фактически оказанные консультационные услуги. Предельная сумма, установленная в настоящем Разделе, включает в себя вознаграждение Консультанта и возмещаемые расходы Консультанта в соответствии со статьей 6.2 ОУ Контракта. Расчеты вознаграждения Консультанта и возмещаемых расходов приведены в Разделах 4 и 5 настоящего Соглашения.

4. Расчет суммы вознаграждения Консультанта

Ф.И.О. Должность Продолжительность работы (мес./день) Согласов. твердая ставка за раб. месяц Согласов. твердая ставка за раб. день Всего
           
           
           
           
           
           
        ИТОГО (вкл. НДС):  

Примечание: Все вышеуказанные ставки включают все налоги и сборы в соответствии с законодательством Российской Федерации. Сумма НДС должна быть выделена в каждом счете.

5. Расчет предельной суммы возмещаемых расходов Консультанта

Ф.И.О. Должность Кол-во дней командировки Стоимость проживания в командировке за день Суточные, вкл. питание Надбавка за работу на выезде за день Всего командировочных расходов (3) x [(4) + (5) + (6)] Международный проезд (туда/ обратно) Проезд по территории РФ (туда/ обратно) Местный транспорт Всего (7) + (8) + (9) + (10)
(1) (2) (3) (4) (5) (6) (7) (8) (9) (10) (11)
                     
                     
                     
                     
                  ИТОГО (вкл. НДС):  

6. Порядок и сроки платежей

Платежи Консультанту должны осуществляться в соответствии со статьей 6.4 ОУ Контракта.

7. Контроль

__________________________ является уполномоченным "Представителем Заказчика" в соответствии со статьей 1.8 ОУ Контракта. Консультант будет постоянно информировать Г-на _____________________________ о ходе выполнения настоящего Соглашения об оказании консультационных услуг.

От имени и по поручению   От имени и по поручению
ЗАКАЗЧИКА   КОНСУЛЬТАНТА
     
(Подпись, ФИО, должность)   (Подпись, ФИО, должность)

К Запросу на оказание
консультационных услуг N _________

Дата: __________________

ОПИСАНИЕ УСЛУГ

(будет определено для каждого ЗКУ)

Приложение G

ФОРМА ГАРАНТИИ НА АВАНСОВЫЙ ПЛАТЕЖ

[Форма банковской гарантии указана в Разделе I.4 Конкурсной документации]

ЧАСТЬ III. ТЕХНИЧЕСКОЕ ЗАДАНИЕ

Введение

Правительство Российской Федерации Постановлением от 23 ноября 2005 г. N 694 "Об Инвестиционном фонде Российской Федерации" (далее "Постановление") образовало Инвестиционный фонд Российской Федерации (далее "Фонд").

Это Постановление определяет порядок формирования Фонда, формы, механизмы и условия предоставления государственной поддержки за счет средств Фонда (далее - государственная поддержка) для реализации инвестиционных проектов, имеющих общегосударственное значение и осуществляемых на условиях государственно-частного партнерства (далее - инвестиционные проекты), этапы и процедуру их отбора, основные требования к представляемой документации и проведению мониторинга реализации инвестиционных проектов.

Отбор инвестиционных проектов проводится в 2 этапа. На 1-м этапе осуществляется отбор инвестиционных проектов, проводимый Министерством экономического развития и торговли Российской Федерации в установленном порядке. В состав комиссии, создаваемой Министерством для проведения отбора инвестиционных проектов (далее - инвестиционная комиссия), включаются представители заинтересованных федеральных министерств. Положение об инвестиционной комиссии и регламент ее работы утверждаются Министерством экономического развития и торговли Российской Федерации.

На 2-м этапе осуществляется формирование Правительственной комиссией по инвестиционным проектам, имеющим общегосударственное значение (далее - Комиссия), перечня инвестиционных проектов из числа отобранных Министерством экономического развития и торговли Российской Федерации инвестиционных проектов. Положение о Комиссии и ее состав утверждаются Правительством Российской Федерации.

Срок проведения отбора инвестиционных проектов устанавливается Министерством экономического развития и торговли Российской Федерации. Сообщение о проведении отбора, форма заявки и методические рекомендации по ее заполнению, а также перечень необходимых документов и порядок их приема публикуются в средствах массовой информации, на сайте Правительства Российской Федерации и сайте Министерства экономического развития и торговли Российской Федерации в сети Интернет не позднее чем за 45 дней до проведения отбора. Форма заявки и методические рекомендации по ее заполнению утверждаются Министерством экономического развития и торговли Российской Федерации.

Отбор инвестиционных проектов осуществляется на основе следующих качественных критериев:

- наличие коммерческой организации, подтвердившей готовность к участию в инвестиционном проекте;

- соответствие решаемой задачи при реализации инвестиционного проекта приоритетам социально-экономического развития Российской Федерации и государственного инвестирования на среднесрочную перспективу, а также отраслевым стратегиям развития, одобренным в установленном порядке Правительством Российской Федерации;

- наличие положительных социальных эффектов, связанных с реализацией инвестиционного проекта;

- обоснование невозможности реализации инвестиционного проекта без государственной поддержки;

- соответствие сметной стоимости инвестиционных проектов минимальной стоимости инвестиционного проекта (5 млрд. рублей), установленной для получения государственной поддержки;

- наличие положительного заключения инвестиционного консультанта (выбранного инициатором заявки инвестиционного проекта) по инвестиционному проекту.

Инвестиционные проекты, прошедшие отбор на основе качественных критериев, подлежат отбору на основе количественных критериев, основанных на показателях финансовой, бюджетной и экономической эффективности.

1) Показателями финансовой эффективности являются:

a) чистая приведенная стоимость инвестиционного проекта, определяемая как накопленный дисконтированный эффект реализации инвестиционного проекта за расчетный период. Чистая приведенная стоимость характеризует превышение суммарных денежных поступлений всех инвесторов, включая частных, над суммарными затратами с учетом дисконтирования;

b) внутренняя норма доходности инвестиционного проекта.

2) Показателем бюджетной эффективности является отношение дисконтированных налоговых поступлений и (или) экономии расходов федерального бюджета, обусловленных реализацией инвестиционного проекта, к суммарному объему планируемой государственной поддержки.

3) Показателем экономической эффективности является объем вклада инвестиционного проекта в увеличение валового внутреннего продукта или валового регионального продукта.

Методики применения критериев и расчета указанных показателей (далее "Методики"), а также их предельные значения разрабатываются Министерством экономического развития и торговли Российской Федерации по согласованию с заинтересованными федеральными министерствами и утверждаются совместным приказом Министерства экономического развития и торговли Российской Федерации и Министерства финансов Российской Федерации.

Министерству экономического развития и торговли Российской Федерации (далее "Заказчик") необходимо техническое содействие инвестиционного консультанта (далее "Консультант") по оценке эффективности инвестиционных проектов на основе количественных критериев, указанных выше.

По мере необходимости Консультант по запросам Заказчика будет оказывать услуги Заказчику по оценке поступающих заявок на финансирование инвестиционных проектов в соответствии с утвержденными Методиками.

Цель задания

Провести объективную и независимую оценку поступающих Заказчику заявок на финансирование инвестиционных проектов по количественным критериям в соответствии с утвержденными Методиками и представить Заказчику обоснованные заключения по отбору таких проектов.

Порядок работ

Заказчик планирует одновременно осуществлять оценку поступающих заявок в соответствии с Постановлением по следующим направлениям (лотам):

Лот N 1. Оценка инвестиционных проектов в сфере комплексного содействия социально-экономическому развитию Российской Федерации через реализацию инвестиционных проектов;

Лот N 2. Оценка инвестиционных проектов в сфере развития инфраструктуры, в том числе транспортной, инновационной, институциональной, социальной;

Лот N 3. Оценка инвестиционных проектов по стимулированию экономических и социальных преобразований с целью создания условий для устойчивого экономического роста.

Предполагается, что по каждому направлению (лоту) заключаются отдельные контракты с разными консультантами. В зависимости от поступающих заявок на инвестиционные проекты Заказчик определяет их соответствие к одному из трех вышеперечисленных направлений и осуществляет оценку в соответствии с качественными критериями. Далее заявки, которые прошли оценку по качественным критериям, проходят оценку по количественным критериям. Заказчик формирует "Запрос на оказание консультационных услуг" (далее - ЗКУ) и направляет его Консультанту, оказывающему услуги, по соответствующему направлению (лоту). Консультант в соответствии с условиями Контракта его согласовывает и выполняет работы в соответствии с данным ЗКУ.

Объем работ

Заказчик формирует ЗКУ по оценке инвестиционных проектов в соответствии с перечнем работ, приведенным ниже. В зависимости от требуемых объемов работ ЗКУ разделены на три уровня по мере возрастания сложности выполнения задания: 1 - "стандартный", 2 - "углубленный" и 3 - "сложный".

Для проведения оценки инвестиционного проекта по ЗКУ 1-го уровня Консультант должен выполнить следующие работы:

1) Проверка правильности расчетов в соответствии с методологией, изложенной в заявке на инвестиционный проект.

2) Анализ адекватности предложенной в заявке модели расчетов:

a) полнота описания расчета финансовых показателей в соответствии с Методиками и содержанием инвестиционного проекта;

b) правильность выбора указанных в расчетах основных параметров;

c) адекватность определения исходных значений для расчетов;

d) обоснованность предложенных прогнозных сценариев.

3) Проведение альтернативных расчетов с использованием информации, доступной Консультанту, либо с использованием экспертных оценок Консультанта.

4) Определение устойчивости модели расчетов к основным параметрам, исходным данным и прогнозным сценариям.

5) Построение вероятностных оценок достижения указанных в заявке показателей на основании проведенного анализа.

6) Подготовка заключения с обоснованием полученных результатов.

Проведение оценки инвестиционного проекта по ЗКУ 2-го уровня включает те же работы, что для 1-го уровня. Дополнительно от Консультанта требуется провести изучение ситуации непосредственно с выездом на рабочие участки инвестиционного проекта.

Проведение оценки инвестиционного проекта по ЗКУ 3-го уровня включает те же работы, что для 1-го уровня. Дополнительно от Консультанта требуется провести сбор и анализ первичной информации, необходимой для проведения альтернативных расчетов, а также изучение ситуации непосредственно с выездом на рабочие участки инвестиционного проекта.

Для оценки общих трудозатрат Заказчик прогнозирует, что поток поступающих заявок по каждому из лотов может быть следующий:

1. ЗКУ 1-го уровня - 2 заявки;

2. ЗКУ 2-го уровня - 2 заявки;

3. ЗКУ 3-го уровня - 2 заявки.

Состав группы экспертов и квалификационные требования

Для выполнения данного технического задания необходимо сформировать группу (группы) консультантов в зависимости от планируемого количества заявок, указанных выше. В состав каждой группы должны входить руководитель и эксперты - специалисты по инвестициям, экономике, строительству и технологиям. Предполагается, что по каждому направлению (лоту) будет сформировано несколько групп. В целом, на каждую группу экспертов не должно приходиться более 2 одновременно выполняемых ЗКУ.

Специалисты, привлекаемые к выполнению данного технического задания, должны обладать следующим опытом и квалификацией.

Руководитель группы - авторитетный менеджер, специалист в области инвестиций, с международным опытом работы не менее 8 лет, знающий действующие нормативные акты Российской Федерации по вопросам инвестиций и экономики.

Специалисты по инвестициям и экономике должны иметь соответствующее базовое образование со знанием передовых методологий, используемых на международном уровне, знать действующее российское законодательство и иметь опыт работы по данной специальности не менее 5 лет.

Специалисты по строительству и технологиям должны иметь соответствующее базовое образование со знанием передовых технологий, используемых на международном уровне, знать требования российских технических регламентов, стандартов и норм, иметь опыт работы по данной специальности не менее 5 лет.

Требуемый график работ и объем трудозатрат

Предполагается, что все работы по данному заданию будут выполняться в период апрель 2006 г. - декабрь 2006 г.

Продолжительность выполнения работ по ЗКУ 1-го уровня - 4 недели; ЗКУ 2-го уровня - 6 недель, ЗКУ 3-го уровня - 8 недель.

Приблизительное соотношение трудозатрат между ЗКУ 1-го, 2-го, 3-го уровня составляет 1:1, 5:3.

Предельное количество трудозатрат Персонала Консультанта (чел./мес.) по ЗКУ каждого уровня указывается в его конкурсной заявке.

Организация работ

Предлагается, что Консультант будет выполнять работы, используя свои офисные помещения и оборудование. Наличие офиса в Российской Федерации обязательно. Специалисты консультанта должны быть обеспечены необходимым компьютерным оборудованием и средствами связи - междугородний телефон/факс и Интернет. Консультант должен обеспечить, в случае необходимости, услуги переводчиков для своих специалистов.

При выполнении задания по ЗКУ 2-го и 3-го уровня Консультант должен организовать командирование экспертов на рабочие участки на территории Российской Федерации. Перед выездом на рабочие участки Консультант должен письменно согласовать с Заказчиком программу визитов, включая перечень планируемых встреч и состав их участников.

Отчетность и результаты

После выполнения задания по каждому ЗКУ Консультант представляет Заказчику для утверждения отчет о выполненных работах. Отчетная документация представляется на русском языке.

Каждый такой отчет должен состоять из 2 частей. 1-я часть - это резюме с кратким изложением выполненных работ и четкими выводами и рекомендациями по рассматриваемому инвестиционному проекту. Резюме не должно превышать в объеме 3 страниц. 2-я часть - это сам отчет объемом, не превышающим 30 страниц (без приложений).

Отчетная документация должна быть представлена в бумажном виде и на магнитных носителях в формате MS Office.

Приложение 3
к Приказу
Минэкономразвития России
от 6 марта 2006 г. N 66

СОСТАВ
ЕДИНОЙ КОМИССИИ МИНЭКОНОМРАЗВИТИЯ РОССИИ ПО ОТБОРУ ИНВЕСТИЦИОННЫХ КОНСУЛЬТАНТОВ ДЛЯ ОЦЕНКИ ЭФФЕКТИВНОСТИ ИНВЕСТИЦИОННЫХ ПРОЕКТОВ, ПРЕТЕНДУЮЩИХ НА ПРЕДОСТАВЛЕНИЕ ГОСУДАРСТВЕННОЙ ПОДДЕРЖКИ ЗА СЧЕТ СРЕДСТВ ИНВЕСТИЦИОННОГО ФОНДА РОССИЙСКОЙ ФЕДЕРАЦИИ

Председатель:

Ганеева Светлана Валерьевна, директор Департамента инвестиционной политики

Члены комиссии:

1. Левченков Дмитрий Анатольевич - заместитель директора Департамента инвестиционной политики, заместитель председателя Единой комиссии

2. Быстров Максим Сергеевич - заместитель руководителя Федерального агентства по управлению особыми экономическими зонами

3. Баткибеков Саид Белетбекович - директор Департамента стратегии социально-экономических реформ

4. Поверинова Наталья Александровна - заместитель директора Департамента правового обеспечения

5. Шенцис Борис Давидович - заместитель директора Департамента корпоративного управления

6. Афанасьева Надежда Николаевна - начальник отдела НИОКР Департамента инвестиционной политики

7. Некрасова Лариса Георгиевна - начальник отдела государственных закупок Департамента государственного регулирования тарифов и инфраструктурных реформ

8. Буртоликова Екатерина Евгеньевна - начальник отдела инвестиционных программ и проектного финансирования Департамента инвестиционной политики

9. Соболь Татьяна Яковлевна - начальник отдела Финансового департамента

10. Конурин Виктор Алексеевич - заместитель директора Департамента управления делами