Приказ Минрегиона РФ от 13.07.2006 N 83

"Об утверждении Методики расчета норм потребления газа населением при отсутствии приборов учета газа"
Редакция от 13.07.2006 — Действует

Зарегистрировано в Минюсте РФ 27 июля 2006 г. N 8115


МИНИСТЕРСТВО РЕГИОНАЛЬНОГО РАЗВИТИЯ РОССИЙСКОЙ ФЕДЕРАЦИИ

ПРИКАЗ
от 13 июля 2006 г. N 83

ОБ УТВЕРЖДЕНИИ МЕТОДИКИ РАСЧЕТА НОРМ ПОТРЕБЛЕНИЯ ГАЗА НАСЕЛЕНИЕМ ПРИ ОТСУТСТВИИ ПРИБОРОВ УЧЕТА ГАЗА

В соответствии с пунктом 3 Постановления Правительства Российской Федерации от 13 июня 2006 г. N 373 "О порядке установления нормативов потребления газа населением при отсутствии приборов учета газа" <*> приказываю:

<*> Собрание законодательства Российской Федерации, 2006, N 25, ст. 2733.

1. Утвердить прилагаемую Методику расчета норм потребления газа населением при отсутствии приборов учета газа.

2. Департаменту жилищно-коммунального хозяйства довести Методику расчета норм потребления газа населением при отсутствии приборов учета газа до органов исполнительной власти субъектов Российской Федерации и оказывать им помощь по ее практическому применению.

Министр
В.А.ЯКОВЛЕВ

Приложение
к Приказу Министра
от 13 июля 2006 г. N 83

МЕТОДИКА
РАСЧЕТА НОРМ ПОТРЕБЛЕНИЯ ПРИРОДНОГО ГАЗА НАСЕЛЕНИЕМ ПРИ ОТСУТСТВИИ ПРИБОРОВ УЧЕТА ГАЗА

I. Область применения

Методика предназначена для расчета норм потребления природного газа населением при отсутствии приборов учета газа, а также в случае их неисправности или истечения межповерочного периода.

Органы исполнительной власти субъектов Российской Федерации при определении норм потребления природного газа населением руководствуются настоящей Методикой.

II. Общие положения

2.1. Нормы (объем) потребления природного газа на бытовые нужды населения устанавливаются по следующим направлениям его использования:

- пищеприготовление;

- приготовление горячей воды для хозяйственных и санитарно-гигиенических нужд (включая стирку белья) в условиях отсутствия централизованного горячего водоснабжения:

- при наличии газового водонагревателя;

- при отсутствии газового водонагревателя;

- индивидуальное (поквартирное) отопление жилых помещений (жилых домов, квартир, комнат);

- отопление бань, теплиц, гаражей;

- содержание животных (лошадей, коров, свиней, овец и коз, домашней птицы) в личном подсобном хозяйстве (приготовление кормов, подогрев воды для питья и санитарных целей).

2.2. При использовании в жилых помещениях газа по нескольким направлениям объемы потребления природного газа, определенные по соответствующим нормам, складываются.

2.3. Для удобства расчеты норм производятся исходя из равномерного распределения потребляемого газа по месяцам года.

Нормы потребления газа на приготовление пищи и горячей воды устанавливаются в кубических метрах на одного человека в месяц.

Нормы потребления газа на отопление жилых помещений устанавливаются в кубических метрах на один квадратный метр отапливаемой площади или на один кубический метр отапливаемого объема.

Отапливаемая площадь здания определяется как площадь этажей (в том числе и мансардного, отапливаемых цокольного и подвального) здания, измеряемая в пределах внутренних поверхностей наружных стен, включая площадь, занимаемую перегородками и внутренними стенами. В отапливаемую площадь здания не включаются площади теплых чердаков и подвалов, подвала (подполья), холодных неотапливаемых веранд, а также холодного чердака или его части, не занятой под мансарду.

Отапливаемый объем здания определяется как произведение отапливаемой площади этажа на внутреннюю высоту, измеряемую от поверхности пола первого этажа до поверхности потолка последнего этажа.

Нормы потребления газа на отопление бань, теплиц, гаражей устанавливаются в кубических метрах на один кубический метр отапливаемого объема.

Нормы потребления газа на содержание животных в личном подсобном хозяйстве устанавливаются в кубических метрах по видам животных: на одну лошадь, корову, свинью, овцу, козу, на десять голов домашней птицы.

2.4. Нормы потребления газа на бытовые нужды населения определяются теплотехническими расчетами с учетом требований действующих нормативных документов, устанавливающих нормы расхода теплоты на соответствующие цели.

2.5. Нормы потребления природного газа населением рассчитываются для каждого региона (субъекта Российской Федерации) (далее - региона) с учетом его природно-климатических, демографических и социально-экономических особенностей.

III. Определение норм потребления природного газа на пищеприготовление

3.1. Нормы потребления газа на приготовление пищи при установке в жилых помещениях газовых плит определяются на основании годовых норм расхода теплоты, приведенных в приложении А.

3.2. Расчет среднемесячной нормы потребления природного газа на пищеприготовление Н_1, м3/чел., производится по формуле:

(1)

где Q_1 - годовая норма расхода теплоты на пищеприготовление, МДж/чел. (ккал/чел.);

- средняя фактическая теплота сгорания природного газа по региону, МДж/м3 (ккал/м3); определяется как средняя величина за предшествующие 3 - 5 лет;

12 - количество месяцев в году, мес.;

K_1 - территориальный коэффициент, учитывающий особенности газопотребления в данном регионе (природно-климатические условия, демографические условия, уровень развития сферы коммунально-бытового обслуживания), а также учитывающий повышенное потребление газа при отсутствии приборов учета газа.

Значения коэффициентов K_1 по регионам приведены в приложении Б.

IV. Определение норм потребления природного газа на приготовление горячей воды в условиях отсутствия централизованного горячего водоснабжения

4.1. Приготовление горячей воды в условиях отсутствия централизованного горячего водоснабжения производится с использованием газового водонагревателя, а при его отсутствии - с использованием газовой плиты.

4.2. Нормы потребления газа на приготовление горячей воды определяются на основании годовых норм расхода теплоты, приведенных в приложении А.

4.3. Расчет среднемесячной нормы потребления природного газа на приготовление горячей воды с использованием газового водонагревателя Н_2, м3/чел., производится по формуле:

(2)

где Q_2 - годовая норма расхода теплоты на приготовление горячей воды при наличии газового водонагревателя, МДж/чел. (ккал/чел.);

K_2 - территориальный коэффициент, учитывающий природно-климатические условия региона, а также учитывающий повышенное потребление газа при отсутствии приборов учета газа.

Значения коэффициентов K_2 по регионам приведены в приложении Б.

4.4. Расчет среднемесячной нормы потребления природного газа на приготовление горячей воды в условиях отсутствия газового водонагревателя Н_3, м3/чел., производится по формуле:

(3)

где Q_3 - годовая норма расхода теплоты на приготовление горячей воды при отсутствии газового водонагревателя, МДж/чел. (ккал/чел.);

K_3 - территориальный коэффициент, учитывающий природно-климатические условия региона, а также учитывающий повышенное потребление газа при отсутствии приборов учета газа.

Значения коэффициентов K_3 по регионам приведены в приложении Б.

V. Определение норм потребления природного газа на индивидуальное (поквартирное) отопление жилых помещений

5.1. Нормы потребления природного газа на отопление жилых помещений, имеющих индивидуальное (поквартирное) отопление и не оснащенных приборами учета газа, определяются в соответствии с расчетными годовыми расходами тепловой энергии. При этом исходными данными для расчетов являются:

- климатические параметры региона;

- параметры микроклимата в жилых помещениях;

- усредненные объемно-планировочные показатели жилых зданий;

- распределение жилищного фонда в регионе по материалу стен и физическому износу;

- средневзвешенные КПД отопительных аппаратов и печей.

5.2. Средняя по региону месячная норма потребления природного газа на отопление жилых зданий (домов) , м3/(м2 x мес.) или м3/(м3 x мес.), в зависимости от наличия информации по жилищному фонду определяется по одному из двух вариантов:

- укрупненно на основе общих статистических данных по жилищному фонду региона;

- дифференцированно для характерных групп жилых зданий (домов) с последующим усреднением в соответствии с долей группы зданий.

5.3. При использовании общих статистических данных по жилищному фонду величина , м3/(м2 x мес.) или м3/(м3 x мес.), рассчитывается на основе средней площади одной квартиры по региону.

5.4. При дифференцированном расчете норм для характерных групп жилых зданий (домов) среднюю по региону месячную норму потребления природного газа на отопление , м3/(м2 x мес.) или м3/(м3 x мес.), рассчитывают как средневзвешенную величину по долям характерных групп зданий (домов):

(4)

где ()_i - среднемесячная норма газопотребления на отопление для характерной i-той группы зданий, м3/(м2 x мес.) или м3/(м3 x мес.);

d_i - доля i-той группы зданий в общей по региону площади квартир с индивидуальным (поквартирным) отоплением при отсутствии приборов учета газа;

m - число рассматриваемых групп зданий.

При расчетах норм потребления газа на отопление в качестве характерных групп выделяют здания (дома), которые различаются по:

- объемно-планировочным показателям (величине отапливаемой площади A_от, внутренней высоте этажа здания h_от и числу этажей);

- материалу стен зданий (домов);

- физическому износу зданий (домов).

Усредненные объемно-планировочные показатели, необходимые для выполнения расчетов для наиболее распространенных в регионах характерных групп жилых зданий (домов), представлены в приложении В.

При определении региональных норм потребления газа на отопление с помощью указанной в приложении Г формы выделяются несколько (i) характерных групп зданий (домов), имеющих наибольшую долю d_i в жилищном фонде региона. Дальнейшие расчеты выполняются по усредненным объемно-планировочным показателям для одного здания из каждой i-той характерной группы с последующим усреднением норм газопотребления (); по формуле (4).

5.5. Расчет среднемесячной нормы потребления газа на отопление жилых зданий (домов) для выделенной характерной группы производится:

- либо в расчете на 1 м2 отапливаемой площади , м3/(м2 x мес.)

(5)

- либо в расчете на 1 м3 отапливаемого объема , м3/(м3 x мес.)

(6)

где - расчетный среднегодовой расход природного газа на отопление здания, м3/год;

A_от - отапливаемая площадь здания, м2;

V_от - отапливаемый объем здания, м3.

5.6. Расчетный годовой расход природного газа на отопление складывается из расходов газа в отопительный и переходный периоды года:

(7)

где - расход тепловой энергии на отопление здания в течение отопительного периода, характеризующегося средней суточной температурой наружного воздуха, равной и ниже 8 град. C, МДж;

- то же в переходный период, в течение которого необходимо продолжать отопление с целью недопущения снижения температуры внутренних поверхностей ограждающих конструкций ниже температуры точки росы внутреннего воздуха, МДж;

Ню_от - КПД отопительной системы; для отопительных печей ню_от = = 0,65...0,75, для газовых отопительных аппаратов и котлов различных типов ню_от = 0,75...0,82. В зависимости от сроков эксплуатации и технического состояния отопительных устройств величины их КПД могут значительно отличаться от указанных выше.

5.7. Расход тепловой энергии на отопление здания в течение отопительного периода , МДж, учитывает общие теплопотери здания через наружные ограждающие конструкции, бытовые тепловыделения и теплопоступления через окна от солнечной радиации и определяется по формуле:

(8)

где t_в - расчетная средняя температура внутреннего воздуха здания, град. C, принимаемая по минимальным значениям оптимальной температуры жилых зданий в интервале 20 - 22 град. C;

- температура наружного воздуха наиболее холодной пятидневки, град. C, обеспеченностью 0,92;

K_инф - условный коэффициент теплопередачи здания, учитывающий теплопотери за счет инфильтрации и вентиляции, Вт/(м2 x град. C);

- градусо-сутки отопительного периода - показатель, представляющий собой температурно-временную характеристику района строительства здания и используемый для расчетов потребления топлива и отопительной нагрузки здания в течение отопительного периода, град. C x сут.;

- продолжительность отопительного периода, сут.;

- средняя за отопительный период величина солнечной радиации на вертикальные поверхности при действительных условиях облачности, МДж/м2;

- общая площадь внутренних поверхностей ограждающих строительных конструкций, отделяющих отапливаемые помещения от неотапливаемых, от наружного воздуха и от грунта, м2;

A_F - суммарная площадь световых проемов, м2.

Значения величин , , , принимаются по приложению Д для конкретных регионов.

Величины и A_F определяются в соответствии с выбранной характерной группой зданий по приложению В.

Коэффициент K_инф рассчитывается по алгоритму, изложенному в приложении Е.

5.8. Расход тепловой энергии на отопление здания в течение переходного периода , МДж, определяется по формуле:

(9)

где - градусо-сутки переходного периода, град. C x сут.;

- продолжительность переходного периода, сут.;

- средняя за переходный период величина солнечной радиации на вертикальные поверхности при действительных условиях облачности, МДж/м2.

Значения величин , , принимаются по приложению Д для конкретных регионов.

Продолжительность переходного периода - расчетный период времени работы системы отопления жилого здания, представляющий собой среднее статистическое число суток в году, когда средняя суточная температура наружного воздуха выше 8 град. C, но ниже 14 град. C. Продолжительность переходного периода определяется местными природно-климатическими условиями региона и уровнем энергетической эффективности зданий, составляющих жилищный фонд в регионе.

5.9. Перечни исходных данных и получаемых результатов при расчетах норм потребления природного газа на отопление жилых зданий (домов) приведены в форме, рекомендуемой в приложении Ж.

VI. Определение норм потребления природного газа на отопление бань, теплиц, гаражей

6.1. Расчет среднемесячной (при равномерном распределении по месяцам года) нормы потребления природного газа , м3/(м3 x мес.), на отопление индивидуальных бань производится по формуле:

(10)

где - расчетный годовой расход природного газа на отопление бани, м3/год.

6.2. Расчетный годовой расход природного газа на отопление бани складывается из расходов газа в отопительный и неотопительный периоды года:

(11)

где - расход тепловой энергии на отопление бани в течение отопительного периода, МДж;

- то же в неотопительный период, МДж.

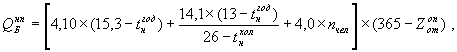
6.3. Расход тепловой энергии на отопление бани в течение отопительного периода , МДж (при одном натопе в неделю и продолжительности натопа 12 часов), определяется по формуле:

(12)

где - средняя температура наружного воздуха за отопительный период, град. C;

n_чел - число человек, одновременно пользующихся баней, чел.

6.4. Расход тепловой энергии на отопление бани в течение неотопительного периода , МДж, определяется по формуле:

(13)

где - средняя годовая температура наружного воздуха, град. C.

Величины , , , принимаются по приложению Д для конкретных регионов.

6.5. Расчет среднемесячной (при равномерном распределении по месяцам года) нормы потребления природного газа , м3/(м3 x мес.), на отопление теплиц производится по формуле:

(14)

где - расчетный годовой расход природного газа на отопление теплицы, м3/год;

A_тепл - площадь теплицы, м2.

6.6. Расчетный годовой расход природного газа на отопление теплицы определяется по формуле:

(15)

где - расход тепловой энергии на отопление теплицы в течение сезона ее работы, МДж.

6.7. Расход тепловой энергии на отопление теплицы в течение сезона ее работы , МДж, определяется по формуле:

(16)

где - продолжительность сезона работы теплицы в отапливаемом режиме, сут.

6.8. Расчет среднемесячной (при равномерном распределении по месяцам года) нормы потребления природного газа , м3/(м3 x мес.), на отопление индивидуальных гаражей производится по формуле:

(17)

где - расчетный годовой расход природного газа на отопление гаража, м3/год.

6.9. Расчетный годовой расход природного газа на отопление гаража определяется по формуле:

(18)

где - расход тепловой энергии на отопление гаража в течение отопительного периода, МДж.

6.10. Расход тепловой энергии на отопление гаража в течение отопительного периода , МДж, определяется по формуле:

(19)

Величины , , принимаются по приложению Д для конкретных регионов.

6.11. Для получения средневзвешенных по региону значений исходных данных, необходимых для расчетов норм потребления природного газа на отопление бань, теплиц и гаражей, пользоваться формой, указанной в приложении И.

VII. Определение норм потребления природного газа на содержание животных в личном подсобном хозяйстве

7.1. При содержании животных в личном подсобном хозяйстве расход природного газа обуславливается затратами теплоты на приготовление кормов (с учетом запаривания грубых кормов, корнеплодов и клубнеплодов), а также на подогрев воды для питья и санитарных целей.

7.2. Нормы потребления газа на приготовление кормов и подогрев воды для различных животных и птиц, содержащихся в личном подсобном хозяйстве, определяются на основании годовых норм расхода теплоты, приведенных в приложении К.

7.3. Расчет среднемесячной суммарной нормы потребления природного газа на приготовление кормов и подогрев воды для всего поголовья животных и птиц в домашнем хозяйстве , м3/мес., производится по формулам:

(20)
   
(21)

где Q_i - годовая норма расхода теплоты для приготовления кормов и подогрева воды на одно животное, МДж/голову (ккал/голову); (для птиц - на десять голов);

n_i - имеющееся поголовье животных (лошадей, коров, свиней, овец, коз) и птиц (кур, индеек, уток, гусей), голов.

Значения Q_i для различных животных и птиц приведены в приложении К.

Приложение А
к Методике расчета норм
потребления природного
газа населением при
отсутствии приборов
учета газа

ГОДОВЫЕ НОРМЫ РАСХОДА ТЕПЛОТЫ НАСЕЛЕНИЕМ НА ПРИГОТОВЛЕНИЕ ПИЩИ И ГОРЯЧЕЙ ВОДЫ

Направления потребления природного газа Годовые нормы расхода теплоты
МДж/чел. Ккал/чел.
Пищеприготовление 4 100 970 x 10(3)
Приготовление горячей воды в условиях отсутствия централизованного горячего водоснабжения:    
- при наличии газового водонагревателя; 5 900 1 430 x 10(3)
- при отсутствии газового водонагревателя 1 900 460 x 10(3)

Приложение Б
к Методике расчета норм
потребления природного
газа населением при
отсутствии приборов
учета газа

ТЕРРИТОРИАЛЬНЫЕ КОЭФФИЦИЕНТЫ К ГОДОВЫМ НОРМАМ РАСХОДА ТЕПЛОТЫ НА ПРИГОТОВЛЕНИЕ ПИЩИ И ГОРЯЧЕЙ ВОДЫ

Наименование региона (субъекта Российской Федерации) Коэффициенты к годовым нормам расхода теплоты по направлениям использования газа
Пищеприготовление, K_1 Приготовление горячей воды в условиях отсутствия централизованного горячего водоснабжения
при наличии газового водонагревателя, K_2 при отсутствии газового водонагревателя, K_3
1 2 3 4
Центральный федеральный округ
1. Белгородская область 1,11 1,19 1,20
2. Брянская область 1,17 1,23 1,24
3. Владимирская область 1,23 1,26 1,28
4. Воронежская область 1,14 1,22 1,22
5. Ивановская область 1,26 1,28 1,30
6. Калужская область 1,20 1,25 1,26
7. Костромская область 1,25 1,29 1,30
8. Курская область 1,16 1,22 1,23
9. Липецкая область 1,14 1,23 1,24
10. Московская область 1,19 1,27 1,28
11. город Москва 0,92 1,26 1,27
12. Орловская область 1,15 1,24 1,25
13. Рязанская область 1,20 1,25 1,26
14. Смоленская область 1,17 1,25 1,26
15. Тамбовская область 1,16 1,23 1,24
16. Тверская область 1,23 1,27 1,28
17. Тульская область 1,18 1,24 1,25
18. Ярославская область 1,23 1,28 1,30
Северо-Западный федеральный округ
19. Республика Карелия 1,25 1,31 1,33
20. Республика Коми 1,29 1,36 1,39
21. Архангельская область 1,31 1,35 1,38
22. Ненецкий АО 1,49 1,47 1,52
23. Вологодская область 1,26 1,31 1,33
24. Калининградская область 1,09 1,17 1,18
25. Ленинградская область 1,24 1,29 1,30
26. Новгородская область 1,19 1,26 1,27
27. Псковская область 1,18 1,24 1,25
28. город Санкт-Петербург 1,14 1,25 1,26
Южный федеральный округ
29. Республика Адыгея 0,97 1,07 1,05
30. Республика Дагестан 0,94 1,04 1,03
31. Республика Ингушетия 1,03 1,08 1,07
32. Кабардино-Балкарская Республика 1,01 1,12 1,11
33. Республика Калмыкия 1,07 1,12 1,12
34. Карачаево-Черкесская Республика 1,04 1,13 1,12
35. Республика Северная Осетия 1,04 1,15 1,14
36. Чеченская Республика 1,03 1,09 1,08
37. Краснодарский край 0,92 1,06 1,05
38. Ставропольский край 1,00 1,12 1,11
39. Астраханская область 1,00 1,11 1,10
40. Волгоградская область 1,06 1,15 1,15
41. Ростовская область 1,00 1,12 1,12
Приволжский федеральный округ
42. Республика Башкортостан 1,20 1,29 1,31
43. Республика Марий Эл 1,26 1,30 1,32
44. Республика Мордовия 1,23 1,26 1,28
45. Республика Татарстан 1,20 1,29 1,30
46. Удмуртская Республика 1,26 1,31 1,33
47. Чувашская Республика 1,24 1,29 1,31
48. Кировская область 1,29 1,33 1,35
49. Нижегородская область 1,20 1,27 1,29
50. Оренбургская область 1,21 1,26 1,27
51. Пензенская область 1,20 1,25 1,27
52. Пермский край 1,26 1,33 1,35
53. Самарская область 1,11 1,25 1,27
54. Саратовская область 1,17 1,22 1,23
55. Ульяновская область 1,22 1,28 1,30
Уральский федеральный округ
56. Курганская область 1,30 1,33 1,35
57. Свердловская область 1,27 1,34 1,36
58. Тюменская область 1,26 1,35 1,37
59. Ханты-Мансийский АО 1,36 1,43 1,46
60. Ямало-Ненецкий АО 1,55 1,56 1,65
61. Челябинская область 1,26 1,32 1,34
Сибирский федеральный округ
62. Алтайский край 1,28 1,34 1,36
63. Иркутская область 1,35 1,40 1,43
64. Усть-Ордынский Бурятский АО 1,49 1,45 1,49
65. Кемеровская область 1,31 1,37 1,40
66. Новосибирская область 1,30 1,37 1,40
67. Омская область 1,30 1,35 1,38
68. Томская область 1,33 1,39 1,42
Дальневосточный федеральный округ
69. Республика Саха (Якутия) 1,67 1,66 1,73
70. Хабаровский край 1,27 1,33 1,36
71. Сахалинская область 1,25 1,31 1,33

Приложение В
к Методике расчета норм
потребления природного
газа населением при
отсутствии приборов
учета газа

УСРЕДНЕННЫЕ ОБЪЕМНО-ПЛАНИРОВОЧНЫЕ ПОКАЗАТЕЛИ ЖИЛЫХ ЗДАНИЙ (ДОМОВ) ДЛЯ РАСЧЕТА НОРМ ПОТРЕБЛЕНИЯ ГАЗА НА ОТОПЛЕНИЕ

Отапливаемая площадь A_от, м2 Отапливаемый объем V_от, м3; общая площадь ограждающих конструкций , м2, отделяющих отапливаемые помещения от неотапливаемых, от наружного воздуха и от грунта; суммарная площадь световых проемов A_F, м2, при различной внутренней высоте этажа здания h_от, м
h_от 2,0 2,3 2,5 2,7 3,0
1 2 3 4 5 6 7
Дома жилые одноэтажные одноквартирные и блокированные
от 15 до 25 V_от 40,0 46,0 50,0 54, 60,0
76,0 81,4 85,0 88,6 94,0
A_F 3,6 4,1 4,5 4,9 5,4
от 26 до 35 V_от 54,0 62,1 67,5 72,9 81,0
96,0 102,3 106,5 110,7 117,0
A_F 4,2 4,8 5,3 5,7 6,3
от 36 до 45 V_от 80,0 92,0 100,0 108,0 120,0
132,0 139,8 145,0 150,2 158,0
A_F 5,2 6,0 6,5 7,0 7,8
от 46 до 65 V_от 108,0 124,2 135,0 145,8 162,0
168,0 177,0 183,0 189,0 198,0
A_F 6,0 6,9 7,5 8,1 9,0
от 66 до 95 V_от 160,0 184,0 200,0 216,0 240,0
232,0 242,8 250,0 257,2 268,0
A_F 7,2 8,3 9,0 9,7 10,8
от 96 до 120 V_от - 248,4 270,0 291,6 324,0
- 312,6 321,0 329,4 342,0
A_F - 9,7 10,5 11,3 12,6
от 121 до 145 V_от - 310,5 337,5 364,5 405,0
- 380,4 390,0 399,6 414,0
A_F - 11,0 12,0 13,0 14,4
от 146 до 175 V_от - 372,6 405,0 437,4 486,0
- 448,2 459,0 469,8 486,0
A_F - 12,4 13,5 14,6 16,2
от 176 до 205 V_от - 434,7 472,5 510,3 567,0
- 516,0 528,0 540,0 558,0
A_F - 13,8 15,0 16,2 18,0
Здания жилые одноэтажные многоквартирные
от 115 до 170 V_от 355,0 383,4 426,0 454,4 497,0
450,0 460,4 476,0 486,4 502,0
A_F 13,0 14,0 15,6 16,6 18,2
от 171 до 225 V_от 495,0 534,6 594,0 633,6 693,0
582,0 594,0 612,0 624,0 642,0
A_F 15,0 16,2 18,0 19,2 21,0
Здания жилые двухэтажные многоквартирные
от 300 до480 V_от 990,0 1069,2 1188,0 1267,2 1386,0
732,0 756,0 792,0 816,0 852,0
A_F 30,0 32,4 36,0 38,4 42,0
от 481 до 660 V_от 1440,0 1555,2 1728,0 1843,2 2016,0
1038,0 1069,2 1116,0 1147,2 1194,0
A_F 39,0 42,1 46,8 49,9 54,6
от 661 до 840 V_от 1890,0 2041,2 2268,0 2419,2 2646,0
1344,0 1382,4 1440,0 1478,4 1536,0
A_F 48,0 51,8 57,6 61,4 67,2
Здания жилые трехэтажные многоквартирные
от 460 до 730 V_от 1485,0 1603,8 1782,0 1900,8 2079,0
882,0 918,0 972,0 1008,0 1062,0
A_F 45,0 48,6 54,0 57,6 63,0
от 731 до 1000 V_от 2160,0 2332,8 2592,0 2764,8 3024,0
1233,0 1279,8 1350,0 1396,8 1467,0
A_F 58,5 63,2 70,2 74,9 81,9
от 1001 до 1270 V_от 2835,0 3061,8 3402,0 3628,8 3969,0
1584,0 1641,6 1728,0 1785,6 1872,0
A_F 72,0 77,8 86,4 92,2 100,8

Приложение Г
к Методике расчета норм
потребления природного
газа населением при
отсутствии приборов
учета газа

РАСПРЕДЕЛЕНИЕ В ЖИЛИЩНОМ ФОНДЕ РЕГИОНА ХАРАКТЕРНЫХ ГРУПП ЖИЛЫХ ЗДАНИЙ (ДОМОВ) С ПОТРЕБЛЕНИЕМ ПРИРОДНОГО ГАЗА ДЛЯ ИНДИВИДУАЛЬНОГО (ПОКВАРТИРНОГО) ОТОПЛЕНИЯ

Характерные группы домов по отапливаемой площади, м2 Доля <*> в жилищном фонде региона, %, при высоте этажа жилых зданий (домов), м Примечание
от 2,0 до 2,5 от 2,6 до 3,0 от 3,1 до 3,5
1 2 3 4 5
Дома жилые одноэтажные одноквартирные и блокированные
от 15 до 25        
от 26 до 35        
от 36 до 45        
от 46 до 65        
от 66 до 95        
от 96 до 120        
от 121 до 145        
от 146 до 175        
от 176 до 205        
Дома жилые одноэтажные многоквартирные
до 150        
от 150 до 240        
от 241 до 330        
от 331 до 420        
свыше 420        
Здания жилые двухэтажные многоквартирные
до 300        
от 300 до 480        
от 481 до 660        
от 661 до 840        
свыше 840        
Здания жилые трехэтажные многоквартирные
до 460        
от 460 до 730        
от 731 до 1000        
от 1001 до 1270        
свыше 1270        
Другие жилые здания
         
         
Итого по региону: 100%  

<*> По возможности указать или укрупненно оценить доли (по отапливаемой площади) характерных групп жилых зданий (домов) в жилищном фонде Вашего региона.

Приложение Д
к Методике расчета норм
потребления природного
газа населением при
отсутствии приборов
учета газа

КЛИМАТИЧЕСКИЕ ПАРАМЕТРЫ ДЛЯ РАСЧЕТА НОРМ ПОТРЕБЛЕНИЯ ПРИРОДНОГО ГАЗА НА ОТОПЛЕНИЕ

Наименование региона (субъекта Российской Федерации) , град. C , град. C Отопительный период Переходный период
, град. C , сут. , град. C x сут. , МДж/м2 V, м/с , сут. , град. C x сут. , МДж/м2
1 2 3 4 5 6 7 8 9 10 11
ЦЕНТРАЛЬНЫЙ Федеральный округ                    
1. Белгородская область -23 6,4 -1,9 191 4 565 1 617 5,3 60 664 413
2. Брянская область -26 5,1 -2,3 205 4 982 1 876 4,7 60 661 451
3. Владимирская область -28 3,9 -3,5 213 5 432 1 666 3,4 65 718 561
4. Воронежская область -26 5,6 -3,1 196 4 920 1 495 4,2 60 655 451
5. Ивановская область -30 3,3 -3,9 219 5 672 1 292 4,2 67 739 332
6. Калужская область -27 4,4 -2,9 210 5 229 1 780 3,9 67 735 528
7. Костромская область -32 3,1 -4,7 228 6 088 1 987 4,9 61 667 574
8. Курская область -26 5,5 -2,4 198 4 831 1 929 4,4 62 679 450
9. Липецкая область -27 5,1 -3,4 202 5 131 1 801 4,8 66 726 562
10. Московская область -28 3,8 -3,1 216 5 422 1 794 3,8 68 743 579
11. город Москва -28 4,1 -3,1 214 5 371 1 777 3,8 68 743 579
12. Орловская область -26 4,9 -2,7 205 5 063 1 870 4,8 61 672 449
13. Рязанская область -27 4,3 -3,5 208 5 304 1 921 4,8 60 663 501
14. Смоленская область -26 4,3 -2,4 215 5 246 1 598 5,0 69 755 546
15. Тамбовская область -28 5,0 -3,7 201 5 166 1 797 4,0 63 693 469
16. Тверская область -29 3,8 -3,0 218 5 450 1 938 4,1 64 704 561
17. Тульская область -27 4,7 -3,0 207 5 175 1 767 4,0 67 737 528
18. Ярославская область -31 3,2 -4,0 221 5 746 1 315 4,3 65 717 554
СЕВЕРО-ЗАПАДНЫЙ Федеральный округ                    
1. Республика Карелия -29 2,3 -3,1 240 6 024 1 653 3,9 57 622 518
2. Республика Коми -41 -6 -9,1 306 9 517 2 322 5,8 46 502 484
3. Архангельская область -31 0,8 -4,4 253 6 679 1 936 3,7 53 587 547
4. Вологодская область -32 2,3 -4,1 231 6 029 1 901 4,4 60 663 569
5. Калининградская область -19 7,1 1,1 193 4 034 1 916 4,1 83 912 598
6. Ленинградская область -29 3,2 -2,9 228 5 677 2 132 4,2 63 691 576
7. город Санкт-Петербург -26 4,4 -1,8 220 5 236 1 270 2,8 63 691 509
8. Мурманская область -27 0,2 -3,2 275 6 930 1 967 5,6 50 546 597
9. Новгородская область -27 4,0 -2,3 221 5 370 1 682 4,6 65 715 568
10. Псковская область -26 4,8 -1,6 212 5 003 1 653 3,9 67 739 560
ЮЖНЫЙ Федеральный округ                    
1. Республика Адыгея -19 10,9 2,3 148 2 916 1 070 3,0 57 627 348
2. Республика Дагестан -14 11,8 2,7 148 2 856 978 5,8 59 647 456
3. Республика Ингушетия -18 10,4 0,9 160 3 376 1 003 2,0 53 587 421
4. Кабардино-Балкарская Республика -18 9,1 0,6 168 3 595 1 250 1,8 52 571 338
5. Республика Калмыкия -23 8,9 -1,2 173 4 083 1 387 6,5 48 532 428
6. Карачаево-Черкесская Республика -18 8,8 0,6 169 3 617 1 321 3,2 52 568 467
7. Республика Северная Осетия -18 8,1 0,4 174 3 758 1 165 1,6 52 570 418
8. Чеченская Республика -18 10,4 0,9 160 3 376 1 003 2,0 53 587 421
9. Краснодарский край -19 11,1 2,0 149 2 980 1 075 2,9 49 541 356
10. Ставропольский край -19 9,1 0,9 168 3 545 1 300 4,4 50 550 325
11. Астраханская область -23 9,5 -1,2 167 3 874 1 337 4,3 48 530 423
12. Волгоградская область -25 8,0 -2,2 178 4 343 1 501 4,4 52 572 466
13. Ростовская область -22 8,9 -0,6 171 3 865 1 398 4,4 55 603 462
ПРИВОЛЖСКИЙ Федеральный округ                    
1. Республика Башкортостан -35 2,8 -5,9 213 5 943 2 016 3,5 56 611 528
2. Республика Марий Эл -34 2,6 -5,1 220 5 962 2 050 4,7 55 605 460
3. Республика Мордовия -30 3,9 -4,5 209 5 539 1 832 5,8 54 594 432
4. Республика Татарстан -32 3,1 -5,2 215 5 848 1 534 4,3 58 643 489
5. Удмуртская Республика -34 2,3 -5,6 222 6 127 1 920 4,0 54 599 450
6. Чувашская Республика -32 3,0 -4,9 217 5 837 1 629 5,0 56 616 469
7. Кировская область -33 1,6 -5,4 231 6 329 2 103 3,9 58 635 587
8. Нижегородская область -31 3,6 -4,1 215 5 611 1 662 3,7 57 623 498
9. Оренбургская область -31 4,0 -6,3 202 5 717 2 268 4,5 44 485 396
10. Пензенская область -29 4,2 -4,5 207 5 486 1 920 4,8 54 594 430
11. Пермский край -36 1,5 -6,8 254 7 315 2 114 3,3 56 615 563
12. Самарская область -30 4,2 -5,2 203 5 522 1 843 4,0 48 523 441
13. Саратовская область -27 5,3 -4,3 196 5 155 1 979 4,4 51 561 467
14. Ульяновская область -31 3,2 -5,4 212 5 809 1 650 3,4 53 583 454
УРАЛЬСКИЙ Федеральный округ                    
1. Курганская область -37 1,5 -7,7 216 6 415 2 373 4,4 54 594 567
2. Свердловская область -35 1,2 -6,0 230 6 440 2 262 3,7 58 643 582
3. Тюменская область -38 0,9 -7,2 225 6 570 2 092 3,6 50 555 509
4. Челябинская область -34 2,0 -7,7 236 7 009 2 280 3,0 55 605 560
СИБИРСКИЙ Федеральный округ                    
1. Республика Алтай -38 -0,5 -8,3 231 6 999 3 474 1,9 50 550 605
2. Республика Бурятия -37 -1,7 -10,4 237 7 679 2 570 2,5 49 538 456
3. Республика Тыва -47 -3,4 -15,0 225 8 325 2 628 1,4 47 517 490
4. Республика Хакасия -40 0,3 -9,7 225 7 133 2 572 2,8 48 528 460
5. Алтайский край -39 1,3 -7,7 221 6 564 2 446 3,9 50 550 526
6. Красноярский край -40 0,5 -7,1 234 6 809 2 197 3,8 44 486 429
7. Иркутская область -36 -0,9 -8,5 240 7 320 2 475 2,3 56 619 537
8. Кемеровская область -39 0,0 -8,3 231 6 999 2 423 4,9 50 550 502
9. Новосибирская область -39 0,2 -8,7 230 7 061 2 328 3,9 51 562 491
10. Омская область -37 0,6 -8,4 221 6 718 2 264 5,0 52 567 508
11. Томская область -42 -0,5 -9,6 252 7 963 2 631 4,7 53 586 550
12. Читинская область -38 -2,9 -11,4 242 8 083 2 677 2,4 43 478 416
ДАЛЬНЕВОСТОЧНЫЙ Федеральный округ                    
1. Республика Саха (Якутия) -54 -10,2 -20,6 256 10 906 2 839 1,9 46 506 613
2. Приморский край -24 5,0 -3,9 196 5 076 2 412 6,9 66 727 500
3. Хабаровский край -31 1,4 -9,3 211 6 604 2 647 5,3 72 791 632
4. Амурская область -34 0,1 -10,6 218 7 107 2 303 2,9 50 550 482
5. Еврейская автономная область -32 0,6 -10,4 219 7 096 2 647 2,0 72 790 632
6. Камчатская область -20 2,1 1,6 259 5 284 2 677 2,9 54 595 540
7. Магаданская область -29 -3,5 -7,1 288 8 381 2 740 5,2 69 759 957
8. Сахалинская область -24 2,2 -4,3 230 6 049 3 179 3,4 67 739 626

Приложение Е
к Методике расчета норм
потребления природного
газа населением при
отсутствии приборов
учета газа

АЛГОРИТМ ОПРЕДЕЛЕНИЯ УСЛОВНОГО КОЭФФИЦИЕНТА ТЕПЛОПЕРЕДАЧИ ЗДАНИЯ С УЧЕТОМ ТЕПЛОПОТЕРЬ ЗА СЧЕТ ИНФИЛЬТРАЦИИ И ВЕНТИЛЯЦИИ

Е.1 Условный коэффициент теплопередачи здания K_инф, Вт/(м2 x град. C), учитывающий теплопотери за счет инфильтрации и вентиляции, определяется по формуле:

(Е.1)

где c_в - удельная теплоемкость воздуха, равная 1,0 кДж/(кг x град. C);

n_в - средняя кратность воздухообмена здания за отопительный период, ч(-1), определяемая по Е.2;

бета_V - коэффициент снижения объема воздуха в здании, учитывающий наличие внутренних ограждающих конструкций; рекомендуется бета_V = 0,85;

V_от - отапливаемый объем здания, м3 (см. приложение В);

- общая площадь внутренних поверхностей ограждающих строительных конструкций, отделяющих отапливаемые помещения от неотапливаемых, от наружного воздуха и от грунта, м2 (см. приложение В);

k - коэффициент учета влияния встречного теплового потока в светопрозрачных конструкциях, для окон с двойными раздельными переплетами k = 0,8;

- средняя плотность приточного воздуха за отопительный период, кг/м3

(Е.2)

t_в - расчетная средняя температура внутреннего воздуха здания, град. C, принимаемая по минимальным значениям оптимальной температуры жилых зданий в интервале 20 - 22 град. C;

- средняя температура наружного воздуха, град. C, за отопительный период, принимается для конкретного региона в соответствии с приложением Д.

Е.2 Средняя кратность воздухообмена здания за отопительный период n_в, ч(-1), рассчитывается с учетом суммарного воздухообмена за счет вентиляции и инфильтрации по формуле:

(Е.3)

где L_в - количество приточного воздуха, поступающего в здание через систему вентиляции, м3/ч, определяемое по Е.3;

G_инф - количество воздуха, инфильтрующегося в здание через ограждающие конструкции, кг/ч, определяемое по Е.4.

Е.3 Минимальная производительность системы вентиляции жилого здания (дома) должна обеспечивать не менее однократного обмена объема воздуха в течение одного часа.

Количество приточного воздуха, поступающего в жилое здание (дом) через систему вентиляции при неорганизованном (естественном) притоке, L_в, м3/ч, следует определять по формуле:

(E.4)

где b_в - коэффициент превышения минимального количества приточного воздуха при естественной вентиляции, по практическим данным b_в = 1,1...3,0.

Е.4 Суммарное количество воздуха, поступающего в жилое здание (дом) за счет инфильтрации через ограждающие и светопрозрачные конструкции, а также через входные двери, G_инф, кг/ч, определяется по формулам:

(E.5)
   
(E.6)
   
(E.7)
   
(E.8)

где - количество воздуха, инфильтрующегося в здание (дом) через ограждающие конструкции (за исключением заполнений световых проемов и входных дверей), кг/ч;

- то же, через светопрозрачные конструкции, кг/ч;

- то же, через входные двери, кг/ч;

A_F - суммарная площадь световых проемов, м2; значения A_F для различных зданий приведены в приложении В;

A_дв - общая площадь входных дверей, м2; для одной входной двери в среднем A = 2 м2;

P(дв) - разность давлений воздуха на наружной и внутренней поверхностях ограждающих конструкций, Па, определяется по Е.5;

- нормируемое сопротивление воздухопроницанию ограждающих конструкций здания, м2 x ч x Па/кг;

- то же, светопрозрачных конструкций, м2 x ч x Па/кг; для окон в деревянных переплетах = 0,167 м2 x ч x Па/кг;

- то же, входных дверей, м2 x ч x Па/кг; для входных дверей жилых зданий = 0,452 м2 x ч x Па/кг.

Е.5 Разность давлений воздуха на наружной и внутренней поверхностях ограждающих конструкций P, Па, определяется по формуле:

(E.9)

где h_зд - высота здания (от уровня пола первого этажа до верха вытяжной шахты), м;

_н - удельный вес наружного воздуха, Н/м3, определяемый по формуле:

(E.10)

_в - то же, внутреннего воздуха, Н/м3;

(E.11)

v - средняя скорость ветра за отопительный период, м/с, принимается для конкретного региона в соответствии с приложением Д.

Е.6 В результате воздействия природно-климатических факторов и жизнедеятельности человека с течением времени происходит утрата первоначальных технико-эксплуатационных качеств жилых зданий (воздухопроницаемости, тепловой защиты, прочности, устойчивости и др.).

Физический износ жилых зданий (отдельных конструкций, элементов или их участков) оценивается по конкретным признакам износа и их количественной оценке.

Е.7 Учет физического износа, обуславливающего превышение нормируемой воздухопроницаемости конструкций и элементов жилых зданий, приводит к увеличению условного коэффициента теплопередачи здания K_инф, рассчитанного по формуле (Е.1).

Действительное значение условного коэффициента теплопередачи здания , Вт/(м2 x град. C), учитывающего теплопотери за счет инфильтрации и вентиляции в эксплуатируемых жилых зданиях, определяется по формуле:

(E.12)

где k_инф - условный коэффициент теплопередачи здания, учитывающий теплопотери за счет инфильтрации и вентиляции, Вт/(м2 x град. C), определяемый по формуле (Е.1);

r - коэффициент превышения нормируемой воздухопроницаемости в эксплуатируемых жилых зданиях, доли единицы.

Приложение Ж
к Методике расчета норм
потребления природного
газа населением при
отсутствии приборов
учета газа

ПЕРЕЧЕНЬ ИСХОДНЫХ ДАННЫХ И РЕЗУЛЬТАТОВ РАСЧЕТА НОРМ ПОТРЕБЛЕНИЯ ПРИРОДНОГО ГАЗА НА ОТОПЛЕНИЕ ЖИЛЫХ ЗДАНИЙ (ДОМОВ)

Таблица Ж.1

Используемые для расчета исходные данные и их источники

Перечень исходных данных, необходимых для расчета норм Обозначение Размерность Источник данных Значение
Климатические параметры
Температура наружного воздуха наиболее холодной пятидневки, обеспеченностью 0,92; для конкретного региона принимается отдельно град. C Приложение Д  
Средняя температура наружного воздуха за отопительный период, для конкретного региона принимается отдельно град. C Приложение Д  
Продолжительность отопительного периода, для конкретного региона принимается отдельно сут. Приложение Д  
Продолжительность переходного периода сут. Приложение Д  
Средняя за отопительный период величина солнечной радиации на вертикальные поверхности (стены и окна) при действительных условиях облачности с учетом суммирования по четырем фасадам здания МДж/м2 Приложение Д  
Средняя за переходный период величина солнечной радиации на вертикальные поверхности при действительных условиях облачности МДж/м2 Приложение Д  
Средняя скорость ветра за отопительный период, принимается для конкретного региона v м/с Приложение Д  
Параметры микроклимата в помещениях жилых зданий
Расчетная средняя температура внутреннего воздуха здания, принимаемая по минимальным значениям оптимальной температуры жилых зданий в интервале 20 - 22 град. C t_в град. C Нормативная документация  
Усредненные объемно-планировочные показатели жилых зданий (для характерной группы зданий)
Отапливаемая площадь здания A_от м2 Приложение В  
Внутренняя высота здания h_от м Приложение В  
Отапливаемый объем здания V_от м3 Приложение В  
Общая площадь наружных ограждающих конструкций м2 Приложение В  
Суммарная площадь световых проемов жилого здания A_F м2 Приложение В  
Суммарная площадь дверных проемов A_дв м2 Приложение Е  
Число этажей жилого здания (дома) N - -  
Высота жилого здания (дома) h_зд м h_от x (N + 1,5)  
Физическое состояние жилищного фонда        
Сопротивление воздухопроницанию материалов и конструкций стен м2 x ч x Па/кг -  
Коэффициент превышения нормируемой воздухопроницаемости r доли ед. -  
Эффективность использования природного газа        
Средняя фактическая теплота сгорания природного газа по региону за предшествующие 3...5 лет МДж/м3 -  
Средневзвешенный КПД установленных отопительных устройств (аппаратов и печей), зависящий от условий и продолжительности эксплуатации Ню_от доли ед. -  

Таблица Ж.2

Результаты расчета норм потребления газа на отопление

Перечень результатов расчетов Обозначение Размерность Значение
Общие теплопотери здания через наружные ограждающие конструкции за отопительный период МДж  
Бытовые теплопоступления в течение отопительного периода МДж  
Теплопоступления через окна от солнечной радиации в течение отопительного периода МДж  
Расход тепловой энергии на отопление здания в течение отопительного периода МДж  
Общие теплопотери здания через наружные ограждающие конструкции за переходный период МДж  
Бытовые теплопоступления в течение переходного периода МДж  
Теплопоступления через окна от солнечной радиации в течение переходного периода МДж  
Расход тепловой энергии на отопление здания в течение переходного периода МДж  
Расчетный расход природного газа на отопление здания за отопительный период м3/год  
Расчетный расход природного газа на отопление здания за переходный период м3/год  
Расчетный среднегодовой расход природного газа на отопление м3/год  
Среднемесячная норма потребления природного газа на отопление в расчете на 1 м2 отапливаемой площади м3/(м2 x мес.)  
Среднемесячная норма потребления природного газа на отопление в расчете на 1 м3 отапливаемого объема м3/(м3 x мес.)  

Приложение И
к Методике расчета норм
потребления природного
газа населением при
отсутствии приборов
учета газа

ИСХОДНЫЕ ДАННЫЕ ДЛЯ РАСЧЕТА РЕГИОНАЛЬНЫХ НОРМ ПОТРЕБЛЕНИЯ ПРИРОДНОГО ГАЗА НА ОТОПЛЕНИЕ БАНЬ, ТЕПЛИЦ, ГАРАЖЕЙ

Таблица И.1

Отопление индивидуальных бань

Наименование показателя Варианты значений показателя Относительная доля варианта показателя, % Средневзвешенное значение показателя
Вид ограждающих конструкций бани кирпичные    
каменные  
деревянные  
из др. материалов  
Размеры бани в плане, м x м 3 x 4    
4 x 5  
5 x 6  
6 x 8  
Продолжительность одного натопа (зимой), час 6    
9  
12  
15  
Число натопов в неделю 1    
2 - 3  
4 - 5  
6 - 7  
Количество человек, пользующихся баней 2    
4  
6  
10  

Таблица И.2

Отопление теплиц и оранжерей

Наименование показателя Варианты значений показателя Относительная доля варианта показателя, % Средневзвешенное значение показателя
Размеры теплицы (оранжереи) в плане, м x м 4 x 8    
6 x 12  
8 x 16  
другие  
Отапливаемый объем теплицы (оранжереи), м3 60 - 120    
150 - 250  
300 - 400  
Продолжительность отопительного сезона, мес. 1 - 2    
2 - 3  
3 - 4  
4 - 5  

Таблица И.3

Отопление индивидуальных гаражей

Наименование показателя Варианты значений показателя Относительная доля варианта показателя, % Средневзвешенное значение показателя
Вид ограждающих конструкций гаража кирпичные    
каменные  
деревянные  
из др. материалов  
Размеры гаража в плане, м x м 5 x 3    
6 x 4  
6 x 6  
8 x 10  
Температура внутреннего воздуха в гараже, град. C 5 - 8    
10 - 12  
12 - 15  
15 - 18  
Продолжительность отопительного сезона, мес. 2 - 3    
3 - 4  
4 - 5  
5 - 6  

Приложение К
к Методике расчета норм
потребления природного
газа населением при
отсутствии приборов
учета газа

ГОДОВЫЕ РАСХОДЫ ТЕПЛОТЫ НА ПРИГОТОВЛЕНИЕ КОРМОВ И ПОДОГРЕВ ВОДЫ ДЛЯ ДОМАШНЕГО СКОТА

Назначение расходуемого природного газа Годовой расход теплоты на одну голову
Животное или птицы МДж/год ккал/год
Приготовление кормов с учетом запаривания грубых кормов, корнеплодов и клубнеплодов Лошадь 1 700 400 x 10(3)
Корова 4 200 1 000 x 10(3)
Свинья 8 400 2 000 x 10(3)
Овца или коза 400 95 x 10(3)
Подогрев воды для питья и санитарных целей Одно животное 420 100 x 10(3)
Приготовление влажных кормов для птиц Куры (на десять голов) 84 20 x 10(3)
Индейки (на десять голов) 126 30 x 10(3)
Утки, гуси (на десять голов) 168 40 x 10(3)