Производственная вибрация, вибрация в помещениях жилых и общественных зданий. Санитарные нормы. СН 2.2.4/2.1.8.566-96

(утв. постановлением Госкомсанэпиднадзора РФ от 31.10.96 N 40)

УТВЕРЖДЕНЫ
Постановлением
Госкомсанэпиднадзора РФ
от 31 октября 1996 г. N 40

Дата введения -
с момента утверждения

2.2.4. ФИЗИЧЕСКИЕ ФАКТОРЫ ПРОИЗВОДСТВЕННОЙ СРЕДЫ

2.1.8 ФИЗИЧЕСКИЕ ФАКТОРЫ ОКРУЖАЮЩЕЙ ПРИРОДНОЙ СРЕДЫ

ПРОИЗВОДСТВЕННАЯ ВИБРАЦИЯ, ВИБРАЦИЯ В ПОМЕЩЕНИЯХ ЖИЛЫХ И ОБЩЕСТВЕННЫХ ЗДАНИЙ

The sanitary norms of industrial vibration, vibration of residential and public buildings

САНИТАРНЫЕ НОРМЫ
СН 2.2.4/2.1.8.566-96

1. Разработаны Научно-исследовательским институтом медицины труда Российской Академии медицинских наук (Суворов Г.А., Прокопенко Л.В., Шкаринов Л.Н., Кравченко О.К.), Московским научно-исследовательским институтом гигиены им. Ф.Ф. Эрисмана (Карагодина И.Л., Шишкина В.В.).

2. Утверждены и введены в действие Постановлением Госкомсанэпиднадзора России от 31 октября 1996 г. N 40.

3. Введены взамен Санитарных норм и правил при работе с машинами и оборудованием, создающими локальную вибрацию, передающуюся на руки работающих N 3041-84, Санитарных норм вибрации рабочих мест N 3044-84, Санитарных норм допустимых вибраций в жилых домах N 1304-75.

1. Область применения и общие положения

1.1. Настоящие Санитарные нормы устанавливают классификацию, нормируемые параметры, предельно допустимые значения производственных вибраций, допустимые значения вибраций в жилых и общественных зданиях.

1.2. Санитарные нормы являются обязательными для всех организаций и юридических лиц на территории Российской Федерации, независимо от форм собственности, подчинения и принадлежности и физических лиц, независимо от гражданства.

1.3. Ссылки на требования санитарных норм должны быть учтены в Государственных стандартах и во всех нормативно-технических документах, регламентирующих конструктивные, технологические, сертификационные и эксплуатационные требования к производственным объектам, жилым, общественным зданиям, технологическому, инженерному, санитарно-техническому оборудованию и машинам, транспортным средствам, бытовым приборам.

1.4. Ответственность за выполнение требований Санитарных норм возлагается в установленном законом порядке на руководителей и должностных лиц предприятий, учреждений и организаций, а также граждан.

1.5. Контроль за выполнением санитарных норм осуществляется органами и учреждениями Госсанэпиднадзора России в соответствии с Законом РСФСР "О санитарно-эпидемиологическом благополучии населения" от 19.04.91 и с учетом требований действующих санитарных правил и норм.

1.6. Измерение и гигиеническая оценка вибрации, а также профилактические мероприятия должны проводиться в соответствии с руководством 2.2.4/2.1.8-96 "Гигиеническая оценка физических факторов производственной и окружающей среды" (в стадии утверждения).

1.7. С утверждением настоящих санитарных норм утрачивают силу "Санитарные нормы и правила при работе с машинами и оборудованием, создающими локальную вибрацию, передающуюся на руки работающих" N 3041-84, "Санитарные нормы вибрации рабочих мест" N 3044-84, "Санитарные нормы допустимых вибраций в жилых домах" N 1304-75.

2. Нормативные ссылки

2.1. Закон РСФСР "О санитарно-эпидемиологическом благополучии населения" от 19.04.91.

2.2. Закон Российской Федерации "Об охране окружающей природной среды" от 19.12.91.

2.3. Закон Российской Федерации "О защите прав потребителей" от 07.02.92.

2.4. Закон Российской Федерации "О сертификации продукции и услуг" от 10.06.93.

2.5. "Положение о порядке разработки, утверждения, издания, введения в действие федеральных, республиканских и местных санитарных правил, а также о порядке действия на территории РСФСР общесоюзных санитарных правил", утвержденное постановлением Совета Министров РСФСР от 01.07.91 N 375.

Постановлением Правительства РФ от 5 июня 1994 г. N 625 названное Положение признано утратившим силу

2.6. Постановление Государственного комитета санэпиднадзора России "Положение о порядке выдачи гигиенических сертификатов на продукцию" от 05.01.93 N 1.

Приказом Минздрава РФ от 9 июня 2003 г. N 243 названное постановление признано утратившим силу

3. Термины и определения

3.1. Предельно допустимый уровень (ПДУ) вибрации - это уровень фактора, который при ежедневной (кроме выходных дней) работе, но не более 40 часов в неделю в течение всего рабочего стажа, не должен вызывать заболеваний или отклонений в состоянии здоровья, обнаруживаемых современными методами исследований в процессе работы или в отдаленные сроки жизни настоящего и последующих поколений. Соблюдение ПДУ вибрации не исключает нарушение здоровья у сверхчувствительных лиц.

3.2. Допустимый уровень вибрации в жилых и общественных зданиях - это уровень фактора, который не вызывает у человека значительного беспокойства и существенных изменений показателей функционального состояния систем и анализаторов, чувствительных к вибрационному воздействию.

3.3. Корректированный уровень вибрации - одночисловая характеристика вибрации, определяемая как результат энергетического суммирования уровней вибрации в октавных полосах частот с учетом октавных поправок.

3.4. Эквивалентный (по энергии) корректированный уровень изменяющейся во времени вибрации - это корректированный уровень постоянной во времени вибрации, которая имеет такое же среднеквадратичное корректированное значение виброускорения и/или виброскорости, что и данная непостоянная вибрация в течение определенного интервала времени.

4. Классификация вибраций, воздействующих на человека

4.1. По способу передачи на человека различают:

- общую вибрацию, передающуюся через опорные поверхности на тело сидящего или стоящего человека;

- локальную вибрацию, передающуюся через руки человека.

Примечание. Вибрация, передающаяся на ноги сидящего человека и на предплечья, контактирующие с вибрирующими поверхностями рабочих столов, относится к локальной вибрации.

4.2. По источнику возникновения вибраций различают:

- локальную вибрацию, передающуюся человеку от ручного механизированного инструмента (с двигателями), органов ручного управления машинами и оборудованием;

- локальную вибрацию, передающуюся человеку от ручного немеханизированного инструмента (без двигателей), например, рихтовочных молотков разных моделей и обрабатываемых деталей;

- общую вибрацию 1 категории - транспортную вибрацию, воздействующую на человека на рабочих местах самоходных и прицепных машин, транспортных средств при движении по местности, агрофонам и дорогам (в том числе при их строительстве). К источникам транспортной вибрации относят: тракторы сельскохозяйственные и промышленные, самоходные сельскохозяйственные машины (в том числе комбайны); автомобили грузовые (в том числе тягачи, скреперы, грейдеры, катки и т.д.); снегоочистители, самоходный горно-шахтный рельсовый транспорт;

- общую вибрацию 2 категории - транспортно-технологическую вибрацию, воздействующую на человека на рабочих местах машин, перемещающихся по специально подготовленным поверхностям производственных помещений, промышленных площадок, горных выработок. К источникам транспортно-технологической вибрации относят: экскаваторы (в том числе роторные), краны промышленные и строительные, машины для загрузки (завалочные) мартеновских печей в металлургическом производстве; горные комбайны, шахтные погрузочные машины, самоходные бурильные каретки; путевые машины, бетоноукладчики, напольный производственный транспорт;

- общую вибрацию 3 категории - технологическую вибрацию, воздействующую на человека на рабочих местах стационарных машин или передающуюся на рабочие места, не имеющие источников вибрации. К источникам технологической вибрации относят: станки металло- и деревообрабатывающие, кузнечно-прессовое оборудование, литейные машины, электрические машины, стационарные электрические установки, насосные агрегаты и вентиляторы, оборудование для бурения скважин, буровые станки, машины для животноводства, очистки и сортировки зерна (в том числе сушилки), оборудование промышленности стройматериалов (кроме бетоноукладчиков), установки химической и нефтехимической промышленности и др.

Общую вибрацию категории 3 по месту действия подразделяют на следующие типы:

а) на постоянных рабочих местах производственных помещений предприятий;

б) на рабочих местах на складах, в столовых, бытовых, дежурных и других производственных помещений, где нет машин, генерирующих вибрацию;

в) на рабочих местах в помещениях заводоуправления, конструкторских бюро, лабораторий, учебных пунктов, вычислительных центров, здравпунктов, конторских помещениях, рабочих комнатах и других помещениях для работников умственного труда;

- общую вибрацию в жилых помещениях и общественных зданиях от внешних источников: городского рельсового транспорта (мелкого залегания и открытые линии метрополитена, трамвай, железнодорожный транспорт) и автотранспорта; промышленных предприятий и передвижных промышленных установок (при эксплуатации гидравлических и механических прессов, строгальных, вырубленных и других металлообрабатывающих механизмов, поршневых компрессоров, бетономешалок, дробилок, строительных машин и др.);

- общую вибрацию в жилых помещениях и общественных зданиях от внутренних источников: инженерно-технического оборудования зданий и бытовых приборов (лифты, вентиляционные системы, насосные, пылесосы, холодильники, стиральные машины и т.п.), а также встроенных предприятий торговли (холодильное оборудование), предприятий коммунально-бытового обслуживания, котельных и т.д.

4.3. По направлению действия вибрацию подразделяют в соответствии с направлением осей ортогональной системы координат:

- локальную вибрацию подразделяют на действующую вдоль осей ортогональной системы координат Xл, Yл, Zл, где ось Xл параллельна оси места охвата источника вибрации (рукоятки, ложемента, рулевого колеса, рычага управления, удерживаемого в руках обрабатываемого изделия и т.п.), ось Yл перпендикулярна ладони, а ось Zл лежит в плоскости, образованной осью Xл и направлением подачи или приложения силы (или осью предплечья, когда сила не прикладывается);

- общую вибрацию подразделяют на действующую вдоль осей ортогональной системы координат Xo, Yo, Zo, где Xo (от спины к груди) и Yo (от правого плеча к левому) - горизонтальные оси, направленные параллельно опорным поверхностям; Zo - вертикальная ось, перпендикулярная опорным поверхностям тела в местах его контакта с сиденьем, полом и т.п.

Направления координат осей приведены в приложении 1.

4.4. По характеру спектра вибрации выделяют:

- узкополосные вибрации, у которых контролируемые параметры в одной 1/3 октавной полосе частот более чем на 15 дБ превышают значения в соседних 1/3 октавных полосах;

- широкополосные вибрации - с непрерывным спектром шириной более одной октавы.

4.5. По частотному составу вибрации выделяют:

- низкочастотные вибрации (с преобладанием максимальных уровней в октавных полосах частот 1-4 Гц для общих вибраций, 8-16 Гц - для локальных вибраций);

- среднечастотные вибрации (8-16 Гц - для общих вибраций, 31,5-63 Гц - для локальных вибраций);

- высокочастотные вибрации (31,5-63 Гц - для общих вибраций, 125-1000 Гц - для локальных вибраций).

4.6. По временным характеристикам вибрации выделяют:

- постоянные вибрации, для которых величина нормируемых параметров изменяется не более чем в 2 раза (на 6 дБ) за время наблюдения;

- непостоянные вибрации, для которых величина нормируемых параметров изменяется не менее чем в 2 раза (на 6 дБ) за время наблюдения не менее 10 мин при измерении с постоянной времени 1 с, в том числе:

а) колеблющиеся во времени вибрации, для которых величина нормируемых параметров непрерывно изменяется во времени;

б) прерывистые вибрации, когда контакт человека с вибрацией прерывается, причем длительность интервалов, в течение которых имеет место контакт, составляет более 1 с;

в) импульсные вибрации, состоящие из одного или нескольких вибрационных воздействий (например, ударов) каждый длительностью менее 1 с.

5. Нормируемые параметры

5.1. Гигиеническая оценка постоянной и непостоянной вибрации, воздействующей на человека, должна производиться следующими методами:

- частотным (спектральным) анализом нормируемого параметра;

- интегральной оценкой по частоте нормируемого параметра;

- интегральной оценкой с учетом времени вибрационного воздействия по эквивалентному (по энергии) уровню нормируемого параметра.

5.2. Нормируемый диапазон частот устанавливается:

- для локальной вибрации в виде октавных полос со среднегеометрическими частотами: 8; 16; 31,5; 63; 125; 250; 500; 1000 Гц;

- для общей вибрации в виде октавных или 1/3 октавных полосах со среднегеометрическими частотами 0,8; 1; 1,25; 1,6; 2,0; 2,5; 3,15; 4,0; 5,0; 6,3; 8,0; 10,0; 12,5; 16,0; 20,0; 25,0; 31,5; 40,0; 50,0; 63,0; 80,0 Гц.

5.3. При частотном (спектральном) анализе нормируемыми параметрами являются средние квадратические значения виброскорости (v) и виброускорения (а) или их логарифмические уровни (Lv, La), измеряемые в 1/1 и 1/3 октавных полосах частот.

5.3.1. Логарифмические уровни виброскорости (Lv), в дБ, определяют по формуле:

Lv = 20 lg v , где
5 x 10 -8
     

v - среднее квадратическое значение виброскорости, м/с;

5 x 10(-8) - опорное значение виброскорости, м/с.

Соотношение между логарифмическими уровнями виброскорости в дБ и ее значениями в м/с приведены в приложении 2.

5.3.2. Логарифмические уровни виброускорения (La), в дБ, определяются по формуле:

La = 20 lg a , где
1 x 10 -6
     

a - среднее квадратическое значение виброускорения, м/с2;

1 x 10(-6) - опорное значение виброускорения, м/с2.

Соотношение между логарифмическими уровнями виброускорения в дБ и ее значениями в м/с2 приведены в приложении 3.

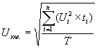
5.4. При интегральной оценке по частоте нормируемым параметром является корректированное значение виброскорости и виброускорения (U) или их логарифмические уровни (LU), измеряемые с помощью корректирующих фильтров или вычисляемые по формулам:

или

U_i, L_Ui - среднее квадратическое значение виброскорости или виброускорения (или их логарифмические уровни) в i-ой частотной полосе;

n - число частотных полос (1/3 или 1/1 октав) в нормируемом частотном диапазоне;

K_i, L_ki - весовые коэффициенты для i-ой частотной полосы соответственно для абсолютных значений или их логарифмических уровней, определяемые для локальных вибраций по табл.1, для общих вибраций - по табл.2.

Таблица 1

Значения весовых коэффициентов Ki, L_ki (дБ) для локальной вибрации

Среднегеометрические частоты октавных полос, Гц Значения весовых коэффициентов
для виброускорения для виброскорости
Ki L_ki Ki L_ki
8 1,0 0 0,5 -6
16 1,0 0 1,0 0
31,5 0,5 -6 1,0 0
63 0,25 -12 1,0 0
125 0,125 -18 1,0 0
250 0,063 -24 1,0 0
500 0,0315 -30 1,0 0
1000 0,016 -36 1,0 0

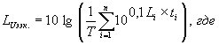
5.5. При интегральной оценке вибрации с учетом времени ее воздействия по эквивалентному (по энергии) уровню нормируемым параметром является эквивалентное корректированное значение виброскорости или виброускорения (Uэкв.) или их логарифмический уровень (LUэкв.), измеренное или вычисленное по формуле:

или

U_i - корректированное по частоте значение контролируемого параметра виброскорости (v, Lv), м/с, или виброускорения (a, La), м/с2;

t_i - время действия вибрации, ч;

n - общее число интервалов вибрации.

Таблица 2

Значения весовых коэффициентов K_i и L_ki, дБ

Среднегеометрические частоты полос, Гц Общая вибрация
для виброускорения
в 1/3 октаве в 1/1 октаве
Zo Xo, Yo Zo Xo, Yo
Ki L_ki Ki L_ki Ki L_ki Ki L_ki
0,8 0,45 -7 1,0 0        
1,0 0,5 -6 1,0 0 0,5 -6 1,0 0
1,25 0,56 -5 1,0 0        
1,6 0,63 -4 1,0 0        
2,0 0,71 -3 1,0 0 0,71 -3 1,0 0
2,5 0,8 -2 0,8 -2        
3,15 0,9 -1 0,63 -4        
4,0 1,0 0 0,5 -6 1,0 0 0,5 -6
5,0 1,0 0 0,4 -8        
6,3 1,0 0 0,315 -10        
8,0 1,0 0 0,25 -12 1,0 0 0,25 -12
10,0 0,8 -2 0,2 -14        
12,5 0,63 -4 0,16 -16        
16,0 0,50 -6 0,125 -18 0,5 -6 0,125 -18
20,0 0,4 -8 0,1 -20        
25,0 0,315 -10 0,08 -22        
31,5 0,25 -12 0,063 -24 0,25 -12 0,063 -24
40,0 0,2 -14 0,05 -26        
50,0 0,16 -16 0,04 -28        
63,0 0,125 -18 0,0315 -30 0,125 -18 0,0315 -30
80,0 0,1 -20 0,025 -32        

Примечание: при оценке общей вибрации категории 2 и 3 значения весовых коэффициентов для направлений Xo, Yo принимаются равными значениям для направления Zo.

Среднегеометрические частоты полос, Гц Общая вибрация
для виброскорости
в 1/3 октаве в 1/1 октаве
Zo Xo, Yo Zo Xo, Yo
Ki L_ki Ki L_ki Ki L_ki Ki L_ki
0,8 0,045 -27 0,4 -8        
1,0 0,063 -24 0,5 -6 0,045 -25 0,5 -6
1,25 0,09 -21 0,63 -4        
1,6 0,125 -18 0,8 -2        
2,0 0,188 -15 1,0 0 0,16 -16 0,9 -1
2,5 0,25 -12 1,0 0        
3,15 0,35 -9 1,0 0        
4,0 0,5 -6 1,0 0 0,45 -7 1,0 0
5,0 0,63 -4 1,0 0        
6,3 0,8 -2 1,0 0        
8,0 1,0 0 1,0 0 0,9 -1 1,0 0
10,0 1,0 0 1,0 0        
12,5 1,0 0 1,0 0        
16,0 1,0 0 1,0 0 1,0 0 1,0 0
20,0 1,0 0 1,0 0        
25,0 1,0 0 1,0 0        
31,5 1,0 0 1,0 0 1,0 0 1,0 0
40,0 1,0 0 1,0 0        
50,0 1,0 0 1,0 0        
63,0 1,0 0 1,0 0 1,0 0 1,0 0
80,0 1,0 0 1,0 0        

Примечание: при оценке общей вибрации категории 2 и 3 значения весовых коэффициентов для направлений Xo, Yo принимаются равными значениям для направления Zo.

6. Предельно допустимые значения производственной вибрации и допустимые значения вибрации в жилых и общественных зданиях

6.1. Предельно допустимые величины нормируемых параметров производственной локальной вибрации при длительности вибрационного воздействия 480 мин (8 ч) приведены в табл.3.

Таблица 3

Предельно допустимые значения производственной локальной вибрации

Среднегеометрические частоты октавных полос, Гц <*> Предельно допустимые значения по осям Xл, Yл, Zл
виброускорения виброскорости
м/с2 дБ м/с x 10(-2) дБ
8 1,4 123 2,8 115
16 1,4 123 1,4 109
31,5 2,8 129 1,4 109
63 5,6 135 1,4 109
125 11,0 141 1,4 109
250 22,0 147 1,4 109
500 45,0 153 1,4 109
1000 89,0 159 1,4 109
Корректированные и эквивалентные корректированные значения и их уровни 2,0 126 2,0 112

<*> Работа в условиях воздействия вибрации с уровнями, превышающими настоящие санитарные нормы более чем на 12 дБ (в 4 раза) по интегральной оценке или в какой-либо октавной полосе, не допускается.

6.2. Предельно допустимые величины нормируемых параметров вибрации рабочих мест при длительности вибрационного воздействия 480 мин (8 ч) приведены в таблицах:

вибрации категории 1 - транспортной вибрации - в табл.4;

вибрации категории 2 - транспортно-технологической вибрации - в табл.5;

вибрации категории 3 - технологической вибрации типа "а" - в табл.6;

вибрации категории 3 - технологической вибрации типа "б" - в табл.7;

вибрации категории 3 - технологической вибрации типа "в" - в табл.8.

6.3. Допустимые значения нормируемых параметров вибрации в жилых помещениях и общественных зданиях приведены в табл.9 и 10.

Таблица 4

Предельно допустимые значения вибрации рабочих мест категории 1 - транспортной

Среднегеометрические частоты полос, Гц Предельно допустимые значения виброускорения
м/с2 дБ
в 1/3 октаве в 1/1 октаве в 1/3 октаве в 1/1 октаве
Zo Xo, Yo Zo Xo, Yo Zo Xo, Yo Zo Xo, Yo
0,8 0,70 0,22     117 107    
1,0 0,63 0,22 1,10 0,40 116 107 121 112
1,25 0,56 0,22     115 107    
1,6 0,50 0,22     114 107    
2,0 0,45 0,22 0,79 0,45 113 107 118 113
2,5 0,40 0,28     112 109    
3,15 0,35 0,35     111 111    
4,0 0,32 0,45 0,56 0,79 110 113 115 118
5,0 0,32 0,56     110 115    
6,3 0,32 0,70     110 117    
8,0 0,32 0,89 0,63 1,60 110 119 116 124
10,0 0,40 1,10     112 121    
12,5 0,50 1,40     114 123    
16,0 0,63 1,80 1,10 3,20 116 125 121 130
20,0 0,79 2,20     118 127    
25,0 1,00 2,80     120 129    
31,5 1,30 3,50 2,20 6,30 122 131 127 136
40,0 1,60 4,50     124 133    
50,0 2,00 5,60     126 135    
63,0 2,50 7,00 4,50 13,00 128 137 133 142
80,0 3,20 8,90     130 139    
Корректированные и эквивалентные корректированные значения и их уровни     0,56 0,40     115 112

Продолжение таблицы 4

Среднегеометрические частоты полос, Гц Предельно допустимые значения виброскорости
м/с x 10(-2) дБ
в 1/3 октаве в 1/1 октаве в 1/3 октаве в 1/1 октаве
Zo Xo, Yo Zo Xo, Yo Zo Xo, Yo Zo Xo, Yo
0,8 14,00 4,50     129 119    
1,0 10,00 3,50 20,00 6,30 126 117 132 122
1,25 7,10 2,80     123 115    
1,6 5,00 2,20     120 113    
2,0 3,50 1,78 7,10 3,50 117 111 123 117
2,5 2,50 1,78     114 111    
3,15 1,79 1,78     111 111    
4,0 1,30 1,78 2,50 3,20 108 111 114 116
5,0 1,00 1,78     106 111    
6,3 0,79 1,78     104 111    
8,0 0,63 1,78 1,30 3,20 102 111 108 116
10,0 0,63 1,78     102 111    
12,5 0,63 1,78     102 111    
16,0 0,63 1,78 1,10 3,20 102 111 107 116
20,0 0,63 1,78     102 111    
25,0 0,63 1,78     102 111    
31,5 0,63 1,78 1,10 3,20 102 111 107 116
40,0 0,63 1,78     102 111    
50,0 0,63 1,78     102 111    
63,0 0,63 1,78 1,10 3,20 102 111 107 116
80,0 0,63 1,78     102 111    
Корректированные и эквивалентные корректированные значения и их уровни     1,10 3,20     107 116

Таблица 5

Предельно допустимые значения вибрации рабочих мест категории 2 - транспортно-технологической

Среднегеометрические частоты полос, Гц Предельно допустимые значения по осям Xo, Yo, Zo
виброускорения виброскорости
м/с2 дБ м/с x 10(-2) дБ
1/3 окт 1/1 окт 1/3 окт 1/1 окт 1/3 окт 1/1 окт 1/3 окт 1/1 окт
1,6 0,25   108   2,50   114  
2,0 0,22 0,40 107 112 1,80 3,50 111 117
2,5 0,20   106   1,30   108  
3,15 0,18   105   0,98   105  
4,0 0,16 0,28 104 109 0,63 1,30 102 108
5,0 0,16   104   0,50   100  
6,3 0,16   104   0,40   98  
8,0 0,16 0,28 104 109 0,32 0,63 96 102
10,0 0,20   106   0,32   96  
12,5 0,25   108   0,32   96  
16,0 0,32 0,56 110 115 0,32 0,56 96 101
20,0 0,40   112   0,32   96  
25,0 0,50   114   0,32   96  
31,5 0,63 1,10 116 121 0,32 0,56 96 101
40,0 0,79   118   0,32   96  
50,0 1,00   120   0,32   96  
63,0 1,30 2,20 122 127 0,32 0,56 96 101
80,0 1,60   124   0,32   96  
Корректированные и эквивалентные корректированные значения и их уровни   0,28   109   0,56   101

Таблица 6

Предельно допустимые значения вибрации рабочих мест категории 3 - технологической типа "а"

Среднегеометрические частоты полос, Гц Предельно допустимые значения по осям Xo, Yo, Zo
виброускорения виброскорости
м/с2 дБ м/с x 10(-2) дБ
1/3 окт 1/1 окт 1/3 окт 1/1 окт 1/3 окт 1/1 окт 1/3 окт 1/1 окт
1,6 0,089   99   0,89   105  
2,0 0,079 0,14 98 103 0,63 1,30 102 108
2,5 0,070   97   0,45   99  
3,15 0,063   96   0,32   96  
4,0 0,056 0,10 95 100 0,22 0,45 93 99
5,0 0,056   95   0,18   91  
6,3 0,056   95   0,14   89  
8,0 0,056 0,10 95 100 0,11 0,22 87 93
10,0 0,070   97   0,11   87  
12,5 0,089   99   0,11   87  
16,0 0,110 0,20 101 106 0,11 0,20 87 92
20,0 0,140   103   0,11   87  
25,0 0,180   105   0,11   87  
31,5 0,220 0,40 107 112 0,11 0,20 87 92
40,0 0,280   109   0,11   87  
50,0 0,350   111   0,11   87  
63,0 0,450 0,79 113 118 0,11 0,20 87 92
80,0 0,560   115   0,11   87  
Корректированные и эквивалентные корректированные значения и их уровни   0,10   100   0,20   92

Таблица 7

Предельно допустимые значения вибрации рабочих мест категории 3 - технологической типа "б"

Среднегеометрические частоты полос, Гц Предельно допустимые значения по осям Xo, Yo, Zo
виброускорения виброскорости
м/с2 дБ м/с x 10(-2) дБ
1/3 окт 1/1 окт 1/3 окт 1/1 окт 1/3 окт 1/1 окт 1/3 окт 1/1 окт
1,6 0,035   91   0,350   97  
2,0 0,032 0,056 90 95 0,250 0,500 94 100
2,5 0,028   89   0,180   91  
3,15 0,025   88   0,130   88  
4,0 0,022 0,040 87 92 0,089 0,180 85 91
5,0 0,022   87   0,070   83  
6,3 0,022   87   0,056   81  
8,0 0,022 0,040 87 92 0,045 0,089 79 85
10,0 0,028   89   0,045   79  
12,5 0,035   91   0,045   79  
16,0 0,045 0,079 93 98 0,045 0,079 79 84
20,0 0,056   95   0,045   79  
25,0 0,070   97   0,045   79  
31,5 0,089 0,160 99 104 0,045 0,079 79 84
40,0 0,110   101   0,045   79  
50,0 0,140   103   0,045   79  
63,0 0,180 0,320 105 110 0,045 0,079 79 84
80,0 0,220   107   0,045   79  
Корректированные и эквивалентные корректированные значения и их уровни   0,040   92   0,079   84

Таблица 8

Предельно допустимые значения вибрации рабочих мест категории 3 - технологической типа "в"

Среднегеометрические частоты полос, Гц Предельно допустимые значения по осям Xo, Yo, Zo
виброускорения виброскорости
м/с2 дБ м/с x 10(-2) дБ
1/3 окт 1/1 окт 1/3 окт 1/1 окт 1/3 окт 1/1 окт 1/3 окт 1/1 окт
1,6 0,0130   82   0,130   88  
2,0 0,0110 0,020 81 86 0,089 0,180 85 91
2,5 0,0100   80   0,063   82  
3,15 0,0089   79   0,045   79  
4,0 0,0079 0,014 78 83 0,032 0,063 76 82
5,0 0,0079   78   0,025   74  
6,3 0,0079   78   0,020   72  
8,0 0,0079 0,014 78 83 0,016 0,032 70 76
10,0 0,0100   80   0,016   70  
12,5 0,0130   82   0,016   70  
16,0 0,0160 0,028 84 89 0,016 0,028 70 75
20,0 0,0200   86   0,016   70  
25,0 0,0250   88   0,016   70  
31,5 0,0320 0,056 90 95 0,016 0,028 70 75
40,0 0,0400   92   0,016   70  
50,0 0,0500   94   0,016   70  
63,0 0,0630 0,110 96 101 0,016 0,028 70 75
80,0 0,0790   98   0,016   70  
Корректированные и эквивалентные корректированные значения и их уровни   0,014   83   0,028   75

Таблица 9

Допустимые значения вибрации в жилых помещениях, палатах больниц, санаториев

Среднегеометрические частоты полос, Гц Допустимые значения по осям Xо, Yо, Zо
виброускорения виброскорости
м/с2 x 10(-3) дБ м/с x 10(-4) дБ
2 4,0 72 3,2 76
4 4,5 73 1,8 71
8 5,6 75 1,1 67
16 11,0 81 1,1 67
31,5 22,0 87 1,1 67
63 45,0 93 1,1 67
Корректированные и эквивалентные корректированные значения и их уровни 4,0 72 1,1 67

Примечания.

1. В дневное время в помещениях допустимо превышение нормативных уровней на 5 дБ.

2. Для непостоянной вибрации к допустимым значениям уровней, приведенным в табл.9, вводится поправка - 10 дБ, а абсолютные значения умножаются на 0,32.

3. В палатах больниц и санаториев допустимые уровни вибраций нужно снижать на 3 дБ.

Таблица 10

Допустимые значения вибрации в административно-управленческих помещениях и в помещениях общественных зданий

Среднегеометрические частоты полос, Гц Допустимые значения по осям Xо, Yо, Zо
виброускорения виброскорости
м/с2 x 10(-3) дБ м/с x 10(-3) дБ
2 10,0 80 0,79 84
4 11,0 81 0,45 79
8 14,0 83 0,28 75
16 28,0 89 0,28 75
31,5 56,0 95 0,28 75
63 110,0 101 0,28 75
Корректированные и эквивалентные корректированные значения и их уровни 10 80 0,28 75

Примечания.

1. Для непостоянной вибрации к допустимым значениям уровней, приведенным в табл.10, вводится поправка - 10 дБ, а абсолютные значения умножаются на 0,32.

2. Для помещений школ, учебных заведений, читальных залов библиотек вводится поправка - 3 дБ.

Список литературы

1. Суворов Г.А., Шкаринов Л.Н., Денисов Э.И. Гигиеническое нормирование производственных шумов и вибраций. - М.: Медицина, 1984. - 240 с.

2. Гигиеническая оценка физических факторов производственной и окружающей среды: Руководство 2.2.4/2.1.8.000-97 (в стадии утверждения).

3. Суворов Г.А., Бутковская З.М., Хунданов Л.Л. Производственная вибрация /гигиенические аспекты/. - М., 1996. - 72 с.

4. Допустимые уровни шума, вибрации и требования к звукоизоляции в жилых и общественных зданиях: МГСН 2.04.97 (Московские городские строительные нормы). - М. - 37 с.

Приложение 1
(справочное)

РИС. 1. НАПРАВЛЕНИЕ КООРДИНАТНЫХ ОСЕЙ ПРИ ДЕЙСТВИИ ВИБРАЦИИ

Общая вибрация

Положение стоя Положение сидя
а)

Локальная вибрация

При охвате цилиндрических, торцовых и близких к ним поверхностей
   
При охвате сферических поверхностей
б)

Приложение 2
(справочное)

Таблица П.1

СООТНОШЕНИЕ МЕЖДУ ЛОГАРИФМИЧЕСКИМИ УРОВНЯМИ ВИБРОСКОРОСТИ В ДБ И ЕЕ ЗНАЧЕНИЯМИ В М/С

Десятки, дБ Единицы, дБ
0 1 2 3 4
50 1,6x10(-5) 1,8x10(-5) 2,0x10(-5) 2,2x10(-5) 2,5x10(-5)
60 5,0x10(-5) 5,6x10(-5) 6,3x10(-5) 7,1x10(-5) 7,9x10(-5)
70 1,6x10(-4) 1,8x10(-4) 2,0x10(-4) 2,2x10(-4) 2,5x10(-4)
80 5,0x10(-4) 5,6x10(-4) 6,3x10(-4) 7,1x10(-4) 7,9x10(-4)
90 1,6x10(-3) 1,8x10(-3) 2,0x10(-3) 2,2x10(-3) 2,5x10(-3)
100 5,0x10(-3) 5,6x10(-3) 6,3x10(-3) 7,1x10(-3) 7,9x10(-3)
110 1,6x10(-2) 1,8x10(-2) 2,0x10(-2) 2,2x10(-2) 2,5x10(-2)
120 5,0x10(-2) 5,6x10(-2) 6,3x10(-2) 7,1x10(-2) 7,9x10(-2)
130 1,6x10(-1) 1,8x10(-1) 2,0x10(-1) 2,2x10(-1) 2,5x10(-1)
140 5,0x10(-1) 5,6x10(-1) 6,3x10(-1) 7,1x10(-1) 7,9x10(-1)
Десятки, дБ Единицы, дБ
5 6 7 8 9
50 2,8x10(-5) 3,2x10(-5) 3,5x10(-5) 4,0x10(-5) 4,5x10(-5)
60 8,9x10(-5) 1,0x10(-4) 1,1x10(-4) 1,3x10(-4) 1,4x10(-4)
70 2,8x10(-4) 3,2x10(-4) 3,5x10(-4) 4,0x10(-4) 4,5x10(-4)
80 8,9x10(-4) 1,0x10(-3) 1,1x10(-3) 1,3x10(-3) 1,4x10(-3)
90 2,8x10(-3) 3,2x10(-3) 3,5x10(-3) 4,0x10(-3) 4,5x10(-3)
100 8,9x10(-3) 1,0x10(-2) 1,1x10(-2) 1,3x10(-2) 1,4x10(-2)
110 2,8x10(-2) 3,2x10(-2) 3,5x10(-2) 4,0x10(-2) 4,5x10(-2)
120 8,9x10(-2) 1,0x10(-1) 1,1x10(-1) 1,3x10(-1) 1,4x10(-1)
130 2,8x10(-1) 3,2x10(-1) 3,5x10(-1) 4,0x10(-1) 4,5x10(-1)
140 8,9x10(-1) 1,0 1,1 1,3 1,4

Приложение 3
(справочное)

Таблица П.2

СООТНОШЕНИЕ МЕЖДУ ЛОГАРИФМИЧЕСКИМИ УРОВНЯМИ ВИБРОУСКОРЕНИЯ В ДБ И ЕЕ ЗНАЧЕНИЯМИ В М/С2

Десятки, дБ Единицы, дБ
0 1 2 3 4
70 3,2x10(-3) 3,5x10(-3) 4,0x10(-3) 4,5x10(-3) 5,0x10(-3)
80 1,0x10(-2) 1,1x10(-2) 1,3x10(-2) 1,4x10(-2) 1,6x10(-2)
90 3,2x10(-2) 3,5x10(-2) 4,0x10(-2) 4,5x10(-2) 5,0x10(-2)
100 1,0x10(-1) 1,1x10(-1) 1,3x10(-1) 1,4x10(-1) 1,6x10(-1)
110 3,2x10(-1) 3,5x10(-1) 4,0x10(-1) 4,5x10(-1) 5,0x10(-1)
120 1,0 1,1 1,3 1,4 1,6
130 3,2 3,5 4,0 4,5 5,0
140 1,0x10 1,1x10 1,3x10 1,4x10 1,6x10
150 3,2x10 3,5x10 4,0x10 4,5x10 5,0x10
160 1,0x10(2) 1,1x10(2) 1,3x10(2) 1,4x10(2) 1,6x10(2)
Десятки, дБ Единицы, дБ
5 6 7 8 9
70 5,6x10(-3) 7,0x10(-3) 7,9x10(-3) 7,9x10(-3) 8,9x10(-3)
80 1,8x10(-2) 2,0x10(-2) 2,2x10(-2) 2,5x10(-2) 2,8x10(-2)
90 5,6x10(-2) 6,3x10(-2) 7,0x10(-2) 7,9x10(-2) 8,9x10(-2)
100 1,8x10(-1) 2,0x10(-1) 2,2x10(-1) 2,5x10(-1) 2,8x10(-1)
110 5,6x10(-1) 6,3x10(-1) 7,0x10(-1) 7,9x10(-1) 8,9x10(-1)
120 1,8 2,0 2,2 2,5 2,8
130 5,6 6,3 7,0 7,9 8,9
140 1,8x10 2,0x10 2,2x10 2,5x10 2,8x10
150 5,6x10 6,3x10 7,0x10 7,9x10 8,9x10
160 1,8x10(2) 2,0x10(2) 2,2x10(2) 2,5x10(2) 2,8x10(2)

Приложение 4
(рекомендуемое)

РАСЧЕТ КОРРЕКТИРОВАННЫХ И ЭКВИВАЛЕНТНЫХ КОРРЕКТИРОВАННЫХ ЗНАЧЕНИЙ ВИБРАЦИИ И ИХ УРОВНЕЙ

1. Расчет корректированного уровня вибрации может производиться двумя способами:

а) с использованием значений вибрации, измеренных в октавных полосах частот - по формуле п.5.4;

б) путем энергетического суммирования логарифмических уровней вибрации (в дБ) с использованием табличных значений поправок к разности слагаемых уровней.

В табл.П.3 и П.4 даны два варианта расчета корректированного уровня производственной локальной вибрации, проведенного с использованием данных конкретных измерений.

При обработке чугунного литья рубильным молотком типа КЕ-16 в результате измерений уровней виброскорости в октавных полосах частот были получены следующие данные:

Таблица П.3

Пример расчета корректированного уровня виброскорости по формуле п.5.4 (вариант I)

Среднегеометрические частоты октавных полос, Гц Уровни виброскорости, дБ Абсолютные значения виброскорости, м/с Обозначение Значение весовых коэффициентов, Ki
8 108 1,3 x 10(-2) U1 0,5
16 112 2,0 x 10(-2) U2 1
31,5 120 5,0 x 10(-2) U3 1
63 116 3,2 x 10(-2) U4 1
125 111 1,8 x 10(-2) U5 1
250 107 1,1 x 10(-2) U6 1
500 104 7,9 x 10(-3) U7 1
1000 103 7,1 x 10(-3) U8 1

Требуется определить корректированное значение виброскорости. По формуле:

находим:
 

Таблица П.4

Пример расчета корректированного уровня виброскорости путем энергетического суммирования (вариант II)

Среднегеометрические частоты октавных полос, Гц Уровни виброскорости, дБ Значение весовых коэффициентов, Ki Корректированные октавные уровни виброскорости, дБ Данные попарного энергетического суммирования уровней виброскорости с учетом поправок по табл.П.5
8 108 -6 102      
        112,4    
16 112 0 112      
          121,9  
31,5 120 0 120      
        121,5    
63 116 0 116      
            123
125 111 0 111      
        112,5    
250 107 0 107      
          113,5  
500 104 0 104      
        106,5    
1000 103 0 103      

В таблице П.4 показан пример расчета корректированного уровня производственной локальной вибрации путем энергетического суммирования уровней виброскорости, измеренных в октавных полосах частот. Энергетическое суммирование уровней виброскорости производят попарно, последовательно: 102 и 112 (разность - 10 дБ), поправка по таблице П.5, равная 0,4 дБ, прибавляется к большему уровню 112 дБ, что дает 112,4 дБ; 120 и 116 (разность - 4 дБ), поправка - 1,5 дБ, сумма - 121,5 дБ и т.д. Аналогичное сложение полученных сумм дает окончательный результат в виде корректированного уровня виброскорости, равного 123 дБ.

Таблица П.5

Значения добавок, дельта L, в зависимости от разности слагаемых уровней

Разность слагаемых уровней L1 - L2, дБ 0 1 2 3 4 5 6 7 8 9 10
Добавка, дельта L, дБ 3 2,5 2,2 1,8 1,5 1,2 1 0,8 0,6 0,5 0,4

2. Расчет эквивалентного корректированного уровня вибрации.

Эквивалентный по энергии корректированный уровень, являющийся одночисловой характеристикой непостоянной вибрации, рассчитывается путем усреднения фактических уровней с учетом времени действия каждого по формуле п.5.5:

где: L1, L2, ... Ln - уровни виброскорости (или виброускорения), действующие в течение времени t1, t2, ... tn соответственно;

T = t1 + t2 + ... + tn - общее время действия вибрации в мин или ч.

Таблица П.6

Пример расчета эквивалентного уровня вибрации

Корректированные уровни виброскорости, дБ Время действия вибрации данного уровня в течение смены согласно технологическому регламенту, ч Поправка на время действия вибрации данного уровня по табл.П.7 Уровни виброскорости с учетом поправок на время действия фактора, дБ Эквивалентный корректированный уровень виброскорости, полученный путем попарного энергетического суммирования уровней по табл.П.5
108 1 -9 99  
107 2 -6 101 103,2
115 0,5 -12 103 106
110 1 -9 101 107,2
104 3 -4,2 100 108

Таблица П.7

Значения поправок к корректированному уровню на время действия вибрации для расчета эквивалентного уровня

Время действия, ч 8 7 6 5 4 3 2 1 0,5 15 мин 5 мин
Время в % от 8-часовой смены 100 88 75 62 60 38 25 12 6 3 1
Поправка, дБ 0 -0,6 -1,2 -2 -3 -4,2 -6 -9 -12 -15 -20