Государственная система обеспечения единства измерений. Масса нефти и нефтепродуктов. Общие требования к методикам выполнения измерений. ГОСТ р 8.595-2004

(утв. Приказом Ростехрегулирования от 07.12.2004 N 99-СТ)
Редакция от 07.12.2004 — Документ не действует

УТВЕРЖДЕН
Приказом
Федерального агентства
по техническому регулированию
и метрологии
от 7 декабря 2004 г. N 99-ст

НАЦИОНАЛЬНЫЙ СТАНДАРТ РОССИЙСКОЙ ФЕДЕРАЦИИ

ГОСУДАРСТВЕННАЯ СИСТЕМА ОБЕСПЕЧЕНИЯ ЕДИНСТВА ИЗМЕРЕНИЙ
МАССА НЕФТИ И НЕФТЕПРОДУКТОВ
ОБЩИЕ ТРЕБОВАНИЯ К МЕТОДИКАМ ВЫПОЛНЕНИЯ ИЗМЕРЕНИЙ

State system for ensuring the uniformity of measurements. Mass of petроleum and petроleum prоducts. General requirements for prоcedures of measurements

ГОСТ Р 8.595-2004

Дата введения - 1 ноября 2005г.

Взамен ГОСТ Р 8.595-2002

1. Область применения

Настоящий стандарт распространяется на методики выполнения измерений (далее - МВИ) массы товарной нефти и нефтепродуктов (далее - продукта) в сферах распространения государственного метрологического контроля и надзора, основанные на:

- прямых методах динамических и статических измерений;

- косвенных методах динамических и статических измерений;

- косвенном методе, основанном на гидростатическом принципе.

Настоящий стандарт устанавливает основные требования к МВИ массы продукта, обусловленные особенностями измерений массы продукта.

Настоящий стандарт обязателен для применения при разработке МВИ массы продукта, транспортируемого по трубопроводам, в мерах вместимости и мерах полной вместимости.

Настоящий стандарт применяют совместно с ГОСТ Р 8.563.

2. Нормативные ссылки

В настоящем стандарте использованы ссылки на следующие стандарты:

ГОСТ 8.009-84 Государственная система обеспечения единства измерений. Нормируемые метрологические характеристики средств измерений

ГОСТ 8.207-76 Государственная система обеспечения единства измерений. Прямые измерения с многократными наблюдениями. Методы обработки результатов наблюдений. Основные положения

ГОСТ 8.346-2000 Государственная система обеспечения единства измерений. Резервуары стальные горизонтальные цилиндрические. Методика поверки

ГОСТ 8.570-2000 Государственная система обеспечения единства измерений. Резервуары стальные вертикальные цилиндрические. Методика поверки

ГОСТ 12.0.004-90 Система стандартизации безопасности труда. Организация обучения безопасности труда. Общие положения

ГОСТ 12.1.005-88 Система стандартизации безопасности труда. Общие санитарно-гигиенические требования к воздуху рабочей зоны

ГОСТ 12.4.137-84 Обувь специальная кожаная для защиты от нефти, нефтепродуктов, кислот, щелочей, нетоксичной и взрывоопасной пыли. Технические условия

ГОСТ 2477-65 Нефть и нефтепродукты. Методы определения содержания воды

ГОСТ 2517-85 Нефть и нефтепродукты. Методы отбора проб

ГОСТ 3900-85 Нефть и нефтепродукты. Методы определения плотности

ГОСТ 6370-83 Нефть, нефтепродукты и присадки. Метод определения механических примесей

ГОСТ 21534-76 Нефть. Методы определения содержания хлористых солей

ГОСТ 27574-87 Костюмы женские для защиты от общих производственных загрязнений и механических воздействий

ГОСТ 27575-87 Костюмы мужские для защиты от общих производственных загрязнений и механических воздействий

ГОСТ 29329-92 Весы для статического взвешивания. Общие технические требования

ГОСТ 30414-96 Весы для взвешивания транспортных средств в движении. Общие технические требования

ГОСТ Р 1.2-92 Государственная система стандартизации Российской Федерации. Порядок разработки государственных стандартов

ГОСТ Р 1.5-92 Государственная система стандартизации Российской Федерации. Общие требования к построению, изложению, оформлению и содержанию стандартов

ГОСТ Р 1.11-99 Государственная система стандартизации Российской Федерации. Метрологическая экспертиза проектов государственных стандартов

ГОСТ Р 1.12-99 Государственная система стандартизации Российской Федерации. Стандартизация и смежные виды деятельности. Термины и определения

ГОСТ Р 8.563-96 Государственная система обеспечения единства измерений. Методики выполнения измерений

ГОСТ Р 8.569-98 Государственная система обеспечения единства измерений. Автоцистерны для жидких нефтепродуктов. Методика поверки

ГОСТ Р 8.580-2001 Государственная система обеспечения единства измерений. Определение и применение показателей точности методов испытаний нефтепродуктов

ГОСТ Р 8.599-2003 Государственная система обеспечения единства измерений. Плотность и объем нефти. Таблицы коэффициентов пересчета плотности и массы

ГОСТ Р ИСО 5725-1-2002 Точность (правильность и прецизионность) методов и результатов измерений. Часть 1. Основные положения и определения

ГОСТ Р ИСО 5725-2-2002 Точность (правильность и прецизионность) методов и результатов измерений. Часть 2. Основной метод определения повторяемости и воспроизводимости стандартного метода измерений

ГОСТ Р ИСО 5725-3-2002 Точность (правильность и прецизионность) методов и результатов измерений. Часть 3. Промежуточные показатели прецизионности стандартного метода измерений

ГОСТ Р ИСО 5725-4-2002 Точность (правильность и прецизионность) методов и результатов измерений. Часть 4. Основной метод определения правильности стандартного метода измерений

ГОСТ Р ИСО 5725-5-2002 Точность (правильность и прецизионность) методов и результатов измерений. Часть 5. Альтернативные методы определения прецизионности стандартного метода измерений

ГОСТ Р ИСО 5725-6-2002 Точность (правильность и прецизионность) методов и результатов измерений. Часть 6. Использование значений точности на практике

ГОСТ Р 51069-97 Нефть и нефтепродукты. Метод определения плотности, относительной плотности и плотности в градусах API ареометром

ГОСТ Р 51330.0-99 (МЭК 60079-0-98) Электрооборудование взрывозащищенное. Часть 0. Общие требования

ГОСТ Р 51330.9-99 (МЭК 60079-10-95) Электрооборудование взрывозащищенное. Часть 10. Классификация взрывоопасных зон

ГОСТ Р 51858-2002 Нефть. Общие технические условия

Примечание - При пользовании настоящим стандартом целесообразно проверить действие ссылочного стандарта по указателю "Национальные стандарты", составленному по состоянию на 1 января текущего года, и по соответствующим информационным указателям, опубликованным в текущем году. Если ссылочный документ заменен (изменен), то при пользовании настоящим стандартом следует руководствоваться замененным (измененным) документом. Если ссылочный документ отменен без замены, то положение, в котором дана ссылка на него, применяют в части, не затрагивающей эту ссылку.

3. Определения

В настоящем стандарте использованы следующие термины с соответствующими определениями:

3.1 методика выполнения измерений (МВИ) массы продукта: Совокупность операций и правил, выполнение которых обеспечивает получение результатов измерений массы продукта с установленной погрешностью (неопределенностью).

3.2 погрешность измерений массы продукта: Обобщенная погрешность всех результатов измерений массы продукта при точном выполнении всех требований МВИ.

3.3 мера вместимости: Средство измерений объема продукта, имеющее свидетельство о поверке и утвержденную градуировочную таблицу.

3.4 мера полной вместимости: Средство измерений объема продукта, имеющее свидетельство о поверке и оснащенное указателем уровня наполнения (автоцистерны, прицепы-цистерны, полуприцепы-цистерны).

3.5 прямой метод динамических измерений массы продукта: Метод, основанный на прямых измерениях массы продукта с применением массомеров в трубопроводах.

3.6 прямой метод статических измерений массы продукта: Метод, основанный на прямых измерениях массы продукта статическим взвешиванием или взвешиванием в железнодорожных или автомобильных цистернах и составах в процессе их движения на весах.

3.7 косвенный метод динамических измерений массы продукта: Метод, основанный на измерениях плотности и объема продукта в трубопроводах.

3.8 косвенный метод статических измерений массы продукта: Метод, основанный на измерениях плотности и объема продукта в мерах вместимости (мерах полной вместимости).

3.9 косвенный метод, основанный на гидростатическом принципе: Метод, основанный на измерениях гидростатического давления и уровня продукта в мерах вместимости.

3.10 учетная операция: Операция, проводимая поставщиком и потребителем или сдающей и принимающей сторонами, заключающаяся в определении массы продукта для последующих расчетов, при инвентаризации и арбитраже.

3.11 стандартные условия: Условия, соответствующие температуре продукта 15°С или 20°С и избыточному давлению, равному нулю.

3.12 товарная нефть (нефть): Нефть, подготовленная к поставке потребителю в соответствии с требованиями ГОСТ Р 51858.

3.13 масса брутто товарной нефти: Масса товарной нефти, показатели качества которой соответствуют требованиям ГОСТ Р 51858.

3.14 масса балласта: Общая масса воды, солей и механических примесей в товарной нефти.

3.15 масса нетто товарной нефти: Разность массы брутто товарной нефти и массы балласта.

4. Методы измерений, реализуемые в MBИ массы продукта

4.1 Для измерений массы продукта, транспортируемого по трубопроводам, применяют:

- прямой метод динамических измерений;

- косвенный метод динамических измерений.

Для измерений массы продукта в мерах вместимости и мерах полной вместимости применяют:

- прямой метод статических измерений;

- косвенный метод статических измерений;

- косвенный метод, основанный на гидростатическом принципе.

4.2 При прямом методе динамических измерений массу продукта измеряют в трубопроводе с помощью массомера и результат измерений массы получают непосредственно.

4.3 При косвенном методе динамических измерений массу продукта определяют по результатам следующих измерений в трубопроводе:

а) плотности с помощью поточных преобразователей плотности (далее - преобразователь плотности), давления и температуры.

При отключении рабочего и отсутствии резервного преобразователя плотности плотность продукта определяют при помощи ареометра в лаборатории по ГОСТ 3900, ГОСТ Р 51069 или лабораторного плотномера в объединенной пробе, составленной из точечных проб, отобранных по ГОСТ 2517. Коэффициенты объемного расширения и сжимаемости продукта определяют в соответствии с МИ 2632 [1] или принимают для нефти по МИ 2153 [2], для нефтепродуктов по МИ 2823 [25];

б) объема продукта с помощью преобразователей расхода, давления и температуры или счетчиков жидкости.

Результаты измерений плотности и объема продукта приводят к стандартным условиям или результат измерений плотности продукта приводят к условиям измерений его объема.

4.4 При прямом методе статических измерений массу продукта определяют по результатам взвешивания на железнодорожных и автомобильных весах по ГОСТ 29329 или ГОСТ 30414 железнодорожных и автомобильных цистерн с продуктом и без него.

4.5 При косвенном методе статических измерений массу продукта определяют по результатам измерений:

а) в мерах вместимости;

- уровня продукта - стационарным уровнемером или другими средствами измерений уровня жидкости;

- плотности продукта - переносным или стационарным средством измерений плотности или ареометром по ГОСТ 3900, ГОСТ Р 51069 или лабораторным плотномером в объединенной пробе, составленной из точечных проб, отобранных по ГОСТ 2517;

- температуры продукта - термометром в точечных пробах или с помощью переносного или стационарного преобразователя температуры;

- объема продукта - по градуировочной таблице меры вместимости с использованием результата измерений уровня продукта;

б) в мерах полной вместимости:

- плотности продукта - переносным средством измерений плотности или ареометром в лаборатории по ГОСТ 3900, ГОСТ Р 51069 или лабораторным плотномером в точечной пробе продукта, отобранной по ГОСТ 2517;

- температуры продукта - переносным преобразователем температуры или термометром в точечной пробе продукта, отобранной по ГОСТ 2517;

- объема продукта, принятого равным действительной вместимости меры, значение которой нанесено на маркировочную табличку и указано в свидетельстве о поверке по ГОСТ Р 8.569, с учетом изменения уровня продукта относительно указателя уровня.

Результаты измерений плотности и объема продукта приводят к стандартным условиям по температуре 15°С или 20°С, или результат измерений плотности продукта приводят к условиям измерений его объема в мерах вместимости и мерах полной вместимости.

Коэффициент объемного расширения продукта определяют в соответствии с МИ 2632 [1] или принимают для нефти по МИ 2153 [2], для нефтепродуктов по МИ 2823 [25].

4.6 При косвенном методе, основанном на гидростатическом принципе, массу продукта в мерах вместимости определяют по результатам измерений:

- гидростатического давления столба продукта - стационарным измерителем гидростатического давления;

- уровня продукта - переносным или другим средством измерений уровня.

4.7 Массу нетто товарной нефти определяют как разность массы брутто товарной нефти и массы балласта. Массу балласта определяют как общую массу воды, солей и механических примесей в товарной нефти. Для этого определяют массовые доли воды, механических примесей и хлористых солей в товарной нефти и рассчитывают их массу.

5. Требования к MBИ массы продукта

5.1 Погрешности измерений массы продукта

5.1.1 Пределы допускаемой относительной погрешности измерений массы брутто товарной нефти и массы нефтепродукта не должны превышать:

0,40% - при прямом методе статических измерений взвешиванием на весах расцепленных цистерн;

0,50% - при прямом методе статических измерений взвешиванием на весах движущихся нерасцепленных цистерн и составов из них;

0,25% - при прямом и косвенном методах динамических измерений;

0,50% - при косвенном методе статических измерений и косвенном методе измерений, основанном на гидростатическом принципе, массы продукта от 120 т и более;

0,65% - при косвенном методе статических измерений и косвенном методе измерений, основанном на гидростатическом принципе, массы продукта до 120 т.

5.1.2 Пределы допускаемой относительной погрешности измерений массы нетто товарной нефти не должны превышать:

0,50% - при прямом методе статических измерений взвешиванием на весах расцепленных цистерн;

0,60% - при прямом методе статических измерений взвешиванием на весах движущихся нерасцепленных цистерн и составов из них;

0,35% - при прямом и косвенном методах динамических измерений;

0,60% - при косвенном методе статических измерений и косвенном методе измерений, основанном на гидростатическом принципе, от 120 т и более;

0,75% - при косвенном методе статических измерений и косвенном методе измерений, основанном на гидростатическом принципе, до 120 т.

5.2 Требования к документам на МВИ массы продукта

5.2.1 В зависимости от сложности и области применения МВИ массы продукта оформляют в виде:

- отдельного нормативного документа (далее - НД) на МВИ массы продукта (стандарта, рекомендации);

- раздела или части документа (стандарта, технических условий, конструкторского или технологического документа и т.п.).

5.2.2 Разработка, стандартизация и введение в действие документов на МВИ массы продукта - по ГОСТ Р 8.563,ГОСТ Р 1.2, ГОСТ Р 1.5, ГОСТ Р 1.12, Р 50.1.039 [3], МИ 2525 [4], МИ 2561 [5] и настоящему стандарту.

5.2.3 МВИ массы продукта подлежат аттестации по ГОСТ Р 8.563.

5.2.4 Документы на МВИ массы продукта подлежат метрологической экспертизе по ГОСТ Р 8.563 и ГОСТ Р 1.11.

5.2.5 Документы на МВИ массы продукта, предназначенные для применения в сфере обороны и безопасности Российской Федерации, подлежат метрологической экспертизе в 32 Государственном научно-исследовательском и испытательном институте Минобороны России (далее - 32 ГНИИИ МО РФ).

5.2.6 Алгоритмы и программы обработки результатов измерений, предусмотренные в документе на МВИ массы продукта, должны пройти метрологическую аттестацию по МИ 2174 [6] (в сфере обороны и безопасности Российской Федерации - в 32 ГНИИИ МО РФ).

5.3 Оценивание погрешности измерений массы продукта

5.3.1 Погрешность измерений массы оценивают следующими методами:

а) оцениванием характеристик погрешности результата измерений массы продукта, принятым в российских НД в области обеспечения единства измерений;

б) вычислением неопределенности измерений массы продукта по РМГ 43 [7];

в) вычислением правильности и прецизионности по ГОСТ Р ИСО 5725-1 - ГОСТ Р ИСО 5725-6 для показателей качества продукта, используемых для расчета его массы.

5.3.2 Требования к оцениванию характеристик погрешности измерений массы продукта

5.3.2.1 Характеристики погрешности измерений массы продукта оценивают на основании анализа источников и составляющих погрешности измерений.

5.3.2.2 Для уменьшения систематической составляющей погрешности от влияния температуры, давления и других влияющих величин на результаты измерений вводят поправки.

5.3.2.3 Оценивание погрешности измерений массы продукта при прямых методах измерений величин проводят по ГОСТ 8.207 и МИ 1552 [8].

5.3.2.4 Оценивание погрешности измерений массы продукта при косвенном методе измерений проводят по МИ 2083 [9].

5.3.2.5 Формы представления и способы округления результатов измерений должны соответствовать МИ 1317 [10].

5.4 Средства измерений и вспомогательные устройства, выбираемые для МВИ массы продукта

5.4.1 Средства измерений и вспомогательные устройства (в том числе средства вычислительной техники) выбирают при проектировании измерительной системы массы продукта в зависимости от принятых методов измерений величин, по результатам измерений которых определяют массу продукта, и оптимальных затрат на измерения, включая затраты на метрологическое обслуживание средств измерений, при условии выполнения требований к МВИ, в том числе норм погрешности измерений массы брутто товарной нефти и массы нефтепродукта, указанным в 5.1.1, и массы нетто товарной нефти, указанным в 5.1.2.

5.4.2 Рациональные методы и средства измерений и вспомогательные устройства выбирают в соответствии с МИ 1967 [11].

5.4.3 В документе на МВИ приводят перечень средств измерений и вспомогательных устройств, их обозначения, типы, нормированные метрологические характеристики (класс точности, предел допускаемой погрешности, диапазон измерений и др.) и обозначение НД, регламентирующего технические требования и (или) метрологические и основные технические характеристики этих средств измерений и вспомогательных устройств, а также указывают возможность применения средств измерений и вспомогательных средств, не приведенных в перечне, но удовлетворяющих установленным в МВИ требованиям.

5.4.4 В МВИ массы продукта должны быть указаны средства измерений, типы которых утверждены по ПР 50.2.009 [12] и внесены в Государственный реестр средств измерений.

5.5 Квалификация операторов и требования безопасности

5.5.1 К выполнению измерений и обработке их результатов допускают лиц, достигших 18 лет, имеющих квалификацию оператора не ниже 4-го разряда, прошедших курсы обучения, сдавших экзамен по технике безопасности и изучивших инструкции по эксплуатации применяемых средств измерений и вспомогательных устройств и документ на МВИ по 5.2.1.

Лица, привлекаемые к выполнению измерений, должны:

- пройти обучение и инструктаж по технике безопасности в соответствии с ГОСТ 12.0.004;

- соблюдать правила техники безопасности и пожарной безопасности, установленные для объекта, на котором проводят измерения;

- выполнять измерения в специальной одежде и обуви по ГОСТ 12.4.137, ГОСТ 27574, ГОСТ 27575;

- периодически контролировать содержание вредных веществ в воздухе рабочей зоны, которое не должно превышать предельно допускаемых концентраций, установленных в ГОСТ 12.1.005.

5.5.2 Средства измерений и вспомогательные устройства, применяемые при выполнении измерений, должны быть изготовлены во взрывозащищенном исполнении, соответствующем классу взрывоопасной зоны по ГОСТ Р 51330.0, соответствовать требованиям ГОСТ Р 51330.9 и иметь свидетельство о взрывозащищенности и разрешение Госгортехнадзора России по Правилам [13].

5.6 Требования к условиям измерений

5.6.1 В документе на МВИ массы продукта должны быть приведены номинальные значения и (или) диапазоны значений, влияющих на погрешность величин, при этом должно быть установлено:

- число измерений (наблюдений) величин, проведенных в каждой точке измерений, например число измерений уровня продукта в мерах вместимости;

- время выдержки перед регистрацией показаний средств измерений: уровня и температуры продукта в мерах вместимости, если эти значения не указаны в НД на них, и др.

5.7 Требования к обработке результатов измерений массы продукта

5.7.1 По МВИ, основанным на косвенном методе динамических измерений, измеряют плотность и объем продукта, и результаты этих измерений приводят к стандартным условиям или результаты измерений плотности продукта приводят к условиям измерений его объема.

5.7.1.1 Массу продукта m(д)_1, кг, при измерениях объема продукта, проводимых с помощью преобразователя расхода или счетчика жидкости, и его плотности, определяемой с помощью преобразователя плотности, и последующем приведении результатов измерений объема и плотности продукта к стандартным условиям вычисляют по формуле

(1)

где ро(0)_Д, V(0)_Д - плотность и объем продукта, приведенные к стандартным условиям.

Примечание - Обозначение "Д" соответствует термину "динамическое".

Плотность продукта, приведенную к стандартным условиям при температуре 15°С, ро(Д)_15, кг/м3, вычисляют по формуле

(2)

где ро(Д)_изм - плотность продукта, измеренная при температуре и давлении продукта в преобразователе плотности, кг/м3;

CTL(Д)_ро - поправочный коэффициент, учитывающий влияние температуры нв объем продукта, определенный для температуры продукта в преобразователе плотности, вычисляемый по API 2540 [14];

CPL(Д)_ро - поправочный коэффициент, учитывающий влияние давления нв объем продукта, определенный для давления продукта в преобразователе плотности, вычисляемый по API 2540 [14].

Плотность продукта, приведенную к стандартным условиям при температуре 20°С, ро(д)_20, кг/м3, вычисляют по формуле

(3)

где бета(Д)_15 - коэффициент объемного расширения продукта, вычисляемый по МИ 2632 [1] или по МИ 2823 [25] для нефтепродуктов.

Объем продукта, приведенный к температуре 15°С, V(д)_15, м3, вычисляют по формуле

(4)

где V(Д)_изм - объем продукта, измеренный при температуре и давлении продукта в преобразователе расхода или счетчике жидкости, м3;

CTL(Д)_V - поправочный коэффициент, учитывающий влияние температуры на объем продукта, определенный для температуры продукта в преобразователе расхода или счетчике жидкости, вычисляемый по API 2540 [14];

CPL(Д)_V - поправочный коэффициент, учитывающий влияние давления на объем продукта, определенный для давления продукта в преобразователе расхода или счетчике жидкости, вычисляемый по API 2540 [14].

Объем продукта V(Д)_20, м3, приведенный к температуре 20°С, вычисляют по формуле

(5)

5.7.1.2 Массу продукта m(Д)_2, кг, при измерениях объема продукта, проводимых с помощью преобразователя расхода или счетчика жидкости, и его плотности, определяемой с помощью ареометра или лабораторного плотномера в лаборатории в объединенной пробе, и последующем приведении результатов измерений объема и плотности продукта к стандартным условиям вычисляют по формуле

(6)

где V(Д)_0 - объем продукта, приведенный к стандартным условиям, м3;

ро(Д)_0 - плотность продукта, приведенная к стандартной температуре, кг/м3;

Значение V(Д)_0, м3, определяют по формуле (4) или (5).

Плотность продукта, приведенную к температуре, 15°С, ро(L)_15, кг/м3, вычисляют по формуле

(7)

где ро(Л)_изм - плотность продукта, измеряемая с помощью ареометра в лабораторных условиях (температура T_ро и избыточное давление, равное нулю), с учетом систематической погрешности метода по МИ 2153 [2] или с помощью лабораторного плотномера, кг/м3;

CTL(Л)_ро - поправочный коэффициент, учитывающий влияние температуры на объем продукта, вычисляемый по API 2540 [14];

К - поправочный коэффициент на температурное расширение стекла для ареометров, вычисляемый по МИ 2153 [2]. В случае измерений плотности с помощью лабораторного плотномера его признают равным единице.

Плотность продукта, приведенную к температуре 20°С, ро(Л)_20, кг/м3, вычисляют по формуле

(8)

где бета(Л)_15 - коэффициент объемного расширения продукта, вычисляемый по МИ 2632 [1].

Допускается плотность продукта, измеренную ареометром, приводить к плотности при стандартной температуре 15°C или 20°C по таблицам ASTM D 1250 [15], ИСО 91-1 [16], ИСО 91-2 [17] или МИ 2153 [2]для нефти и по МИ 2842 [18], МИ 2823 [25] для нефтепродуктов.

5.7.1.3 Массу продукта m(Д)_3, кг, при измерениях объема продукта, проводимых с помощью преобразователя расхода или счетчика жидкости, и его плотности, определяемой с помощью поточного преобразователя плотности, и последующем приведении результатов измерений плотности продукта к условиям измерений его объема допускается вычислять по формуле

(9)

где V(Д)_п.изм - объем продукта, измеренный при температуре и давлении продукта в преобразователе расхода или счетчике жидкости, м3;

рo(Д)_п.изм - плотность продукта, измеренная при температуре и давлении продукта в преобразователе плотности, кг/м3;

бета - коэффициент объемного расширения продукта, значения которого определяют по МИ 2632 [1] или по МИ 2823 [2] для нефтепродуктов;

T(Д)_роп - температура продукта в преобразователе плотности, °С;

P(Д)_Vп - температура продукта в преобразователе расхода или счетчике жидкости, °С;

гамма - коэффициент сжимаемости продукта, значения которого определяют по МИ 2632 [1] или по МИ 2823 [2] для нефти и МИ 2823 [25] для нефтепродуктов;

P(Д)_роп - избыточное давление продукта в преобразователе плотности, МПа;

V(Д)_Vп - избыточное давление продукта в преобразователе расхода или счетчике жидкости,МПа.

5.7.1.4 Массу продукта m(Д)_4, кг, при измерениях объема продукта, проводимых с помощью преобразователя расхода или счетчика жидкости, и плотности, определяемой с помощью ареометра по ГОСТ 3900, ГОСТ Р 51069 в объединенной пробе или с помощью лабораторного плотномера, и последующем приведении результатов измерений плотности продукта к условиям измерений его объема допускается вычислять по формуле

(10)

где ро(Л)_изм - плотность продукта, измеренная в лаборатории при температуре T(Л)_ро, кг/м3;

бета - коэффициент объемного расширения продукта, значения которого определяют по МИ 2632 [1] или по МИ 2823 [2] для нефти и МИ 2823 [25] для нефтепродуктов;

гамма - коэффициент сжимаемости продукта, значения которого определяют по МИ 2632 [1] или по МИ 2823 [2] для нефти и МИ 2823 [25] для нефтепродуктов;

P_V - избыточное давление продукта при измерении его объема, МПа;

К - поправочный коэффициент на температурное расширение стекла для ареометров, вычисляемый по МИ 2153 [2]. В случае измерений плотности с помощью лабораторного плотномера его признают равным единице.

5.7.1.5 Формулы (9), (10) применяют при разности температур при измерениях плотности и объема продукта не более 15°С. При разности температур при измерениях плотности и объема продукта более 15°С вычисления проводят по 5.7.1.2.

5.7.2 По МВИ, основанным на косвенном методе статических измерений, измеряют объем и плотность продукта в мерах вместимости или мерах полной вместимости и результаты этих измерений приводят к стандартным условиям или результаты измерений плотности продукта приводят к условиям измерений его объема.

5.7.2.1 Массу продукта m(c)_1, кг, при измерениях объема продукта в мерах вместимости и мерах полной вместимости и плотности продукта с помощью преобразователя плотности или в лаборатории в объединенной или точечной пробе и последующем приведении результатов измерений объема и плотности продукта к стандартному условию по температуре вычисляют по формуле

(11)

где ро(с)_0, V(с)_0 - плотность и объем продукта, приведенные к стандартному условию по температуре.

Примечание - Обозначение "с" соответствует термину "статическое".

Плотность продукта, приведенную к температуре 15°С, ро(с)_15, кг/м3, вычисляют по формуле

(12)

где ро(с)_изм - плотность продукта, измеренная с помощью ареометра в лаборатории или с помощью преобразователя плотности, кг/м3;

CTL(с)_ро - поправочный коэффициент, учитывающий влияние температуры на объем продукта, определенный для температуры продукта в лаборатории или в преобразователе плотности, вычисляемый по API 2540 [14];

К - поправочный коэффициент на температурное расширение стекла для ареометров, вычисляемый по МИ 2153 [2]. В случае измерений плотности с помощью лабораторного плотномера его признают равным единице.

Плотность продукта, приведенную к температуре 20°С, ро(с)_20, кг/м3, вычисляют по формуле

(13)

Объем продукта, приведенный к температуре 15°С, V(с)_15, м3, вычисляют по формуле

(14)

где V_20 - объем продукта в мере вместимости на измеряемом уровне Н, определяемый по градуировочной таблице меры вместимости, составленной при температуре 20 °С по ГОСТ 8.846, ГОСТ 8.570, МИ 2543 [19], МИ 1124 [20], РД 50-156 [21], МИ 2579 [22], МИ 1001 [23], или в мере полной вместимости на уровне продукта, соответствующем указателю уровня в соответствии с ГОСТ Р 8.569 с учетом изменения уровня продукта относительно указателя уровня, м3. Данные градуировочных таблиц соответствуют температуре стенки мер вместимости, равной 20 °С;

альфа_ст - температурный коэффициент линейного расширения материала стенки меры вместимости, значение которого принимают равным 12,5 х 10(-6) 1/°С для бетона;

альфа_s - температурный коэффициент линейного расширения средства измерений уровня продукта (например измерительной рулетки с грузом, метроштока, уровнемера поплавкового типа и др.). Его значения принимают равными:

для нержавеющей стали - 12,5 х 10(-6) 1/°С;

для алюминия - 23 х 10(-6) 1/°С.

В случае необходимости при использовании уровнемеров других типов вводят температурные поправки к измеренному уровню продукта, при этом значение коэффициента альфа_s принимают равным нулю;

Т_ст - температура стенки меры вместимости, принимаемая равной температуре продукта в мере вместимости Т(с)_v, °С;

CTL(c)_v - поправочный коэффициент, учитывающий влияние температуры на объем продукта, определенный для температуры продукта в мере вместимости или в мере полной вместимости, вычисляемый по API 2540 [14].

Объем продукта, приведенный к температуре 20°С, V(c)_20, м3, вычисляют по формуле

(15)

5.7.2.2 Плотность продукта при проведении учетных операций может быть приведена к плотности при стандартной температуре 15°С или 20°С по ASTM 1250 [15], ИСО 91-1 [16], ИСО 91-2 [17] или МИ 2153 [2] для нефти и по МИ 2842 [18] или МИ 2823 [25] для нефтепродуктов.

5.7.2.3 При проведении учетных операций плотность нефти при стандартной температуре 20°С допускается приводить к плотности нефти при стандартной температуре 15°С и наоборот по ГОСТ Р 8.599.

5.7.2.4 Массу продукта m(с)_л, кг, при приведении плотности продукта, измеренной в лаборатории, к условиям измерений объема продукта в мере вместимости или мере полной вместимости допускается вычислять по формуле

(16)

где ро(Л)_изм - плотность продукта, измеренная при температуре Т(Л)_ро, кг/м3;

бета - коэффициент объемного расширения продукта, значения которого определяют по МИ 2632 [1] или для нефти - по МИ 2153 [2], для нефтепродуктов - по МИ 2823 [25];

5.7.2.5 Формула (16) может быть применена при разности температур Т(л)_ро и Т_ст не более 15°С.

5.7.3 По МВИ, основанным на косвенном методе с применением гидростатического принципа, массу продукта m(с)_2, кг, при измерениях гидростатического давления столба продукта в мерах вместимости вычисляют по формуле

(17)

где Р - гидростатическое давление столба продукта, Па;

S_ср - средняя площадь поперечного сечения наполненной части меры вместимости, м2;

g - ускорение силы тяжести, м/с2.

5.7.3.1 Среднюю площадь S_ср, м2, вычисляют по формуле

(18)

где V_20 - объем продукта в мере вместимости на измеряемом уровне Н, определяемый по градуировочной таблице меры вместимости, м3;

альфа_ст - температурный коэффициент линейного расширения материала стенки меры вместимости, значение которого принимают равным 12,5 х 10(-6) 1/°С;

Т_ст - температура стенки меры вместимости , принимаемая равной температуре продукта в мере вместимости, °С.

5.7.4 Массу продукта m_0, кг, принятого в меру вместимости или отпущенного из нее, определяют как абсолютное значение разности масс продукта по формуле

m_0 = |m_i - m_i+1|, (19)

где m_i, m_i+1 - массы продукта, вычисленные по формуле (11) или (16) в начале или конце операции соответственно.

5.7.5 Массу нетто товарной нефти m_н, кг, вычисляют по формуле

m_н = m - m_б, (20)

где m - масса брутто товарной нефти, измеренная одним из методов по разделу 4, кг;

m_б - масса балласта, кг, вычисляется по формуле:

где W_М.В - массовая доля воды в товарной нефти, %;

W_Х.С - массовая доля хлористых солей в товарной нефти, %;

W_М.П - массовая доля механических примесей в товарной нефти, %.

5.7.5.1 Массовую долю воды в товарной нефти определяют по ГОСТ 2477. Массовую долю воды в товарной нефти допускается измерять с помощью поточного влагомера.

5.7.5.2 Массовую долю хлористых солей в товарной нефти определяют по ГОСТ 21534. Массовую долю хлористых солей в товарной нефти допускается измерять с помощью поточного солемера.

5.7.5.3 Массовую долю механических примесей в товарной нефти определяют по ГОСТ 6370. Массовую долю механических примесей в товарной нефти допускается измерять с помощью поточного анализатора.

5.8 Форма представления результатов оценивания погрешности измерений массы продукта

5.8.1 При прямом методе динамических измерений погрешностью следует считать погрешность измерений массы продукта с помощью массомера.

5.8.2 При прямом методе статических измерений погрешностью следует считать погрешность измерений массы продукта с помощью весов. Оценивание погрешности измерений массы продукта с применением весов проводят по МИ 1953 [24].

5.8.3 Пределы допускаемой относительной погрешности измерений массы продукта при косвенном методе динамических измерений дельта m(Д), %, вычисляют по формуле

(22)

где дельта V - относительная погрешность измерений объема продукта, %. За дельта V принимают относительную погрешность средства измерений объема продукта, если сумма остальных составляющих погрешности измерений объема продукта является несущественной в соответствии с ГОСТ 8.009;

дельта ро - относительная погрешность измерения плотности продукта, %;

Дельта Т_ро, Дельта Т_V - абсолютные погрешности измерений температуры продукта при измерениях его плотности и объема соответственно, °С;

бета - коэффициент объемного расширения продукта, 1/°С (приложение А);

дельта N - предел допускаемой относительной погрешности устройства обработки информации или измерительно - вычислительного комплекса (из сертификата об утверждении типа или свидетельства о проверке), %;

G - коэффициент, вычисляемый по формуле

(23)

где Т_V, Т_ро - температуры продукта при измерениях его объема и плотности, °С.

5.8.4 Пределы допускаемой относительной погрешности измерений массы продукта при косвенном методе динамических измерений и последующем приведении плотности продукта к условиям измерений его объема по 5.7.1.3 или 5.7.1.4 дельта m(д)_п, %, вычисляют по формуле

(24)

где дельта V_п - относительная погрешность измерений объема продукта, %;

дельта ро_п - относительная погрешность измерений плотности продукта, %;

дельта Т_Vро - составляющая относительной погрешности измерений массы продукта за счет абсолютных погрешностей измерений температур T(Д)_Vп, T(Д)_роп, %, вычисляемая по формуле

(25)

где Дельта Т_ро, Дельта Т_V - абсолютные погрешности измерений температур T(Д)_Vп, T(Д)_роп, °С.

5.8.5 Пределы допускаемой относительной погрешности измерений массы продукта при косвенном методе статических измерений дельта m(с)_l, %, вычисляют по формулам:

а) для мер вместимости

(26)

б) для мер полной вместимости

(27)

где дельта V_т - относительная погрешность полной меры вместимости, %;

дельта К, дельта Н - относительные погрешности составления градуировочной таблицы и измерений уровня продукта соответственно, %;

G - коэффициент, вычисляемый по формуле (23);

K_ф - коэффициент, учитывающий геометрическую форму меры вместимости, вычисляемый по формуле

(28)

где Н - уровень наполнения, мм;

Дельта V_20 - объем продукта, приходящийся на 1 мм высоты наполнения меры вместимости на измеряемом уровне наполнения, м3/мм;

V_20 - объем продукта в мере вместимости на измеряемом уровне наполнения.

Значения Дельта V_20, V_20 определяют по градуировочной таблице меры вместимости при измеряемом уровне наполнения.

Значение К_ф для вертикальных цилиндрических резервуаров, танков наливных судов прямоугольной и цилиндрической форм принимают равным единице.

5.8.6 Пределы допускаемой относительной погрешности измерений массы продукта при косвенном методе, основанном на гидростатическом принципе, дельта m(с)_2, %, вычисляют по формуле

(29)

где дельта Р, дельта Н - относительные погрешности измерений гидростатического давления и уровня продукта, %;

дельта К - относительная погрешность составления градуировочной таблицы меры вместимости, %;

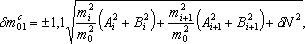
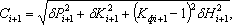
5.8.7 Пределы допускаемой относительной погрешности измерений массы продукта при проведении учетных операций дельта m(с)_0, %, вычисляют по формулам:

а) для косвенного метода статических измерений

(30)

где

где дельта К_i, дельта К_i+1 - относительные погрешности составления градуировочной таблицы при измеряемых уровнях наполнения меры вместимости H_i, H_i+1 соответственно, %;

К_ф, К_ф+1 - коэффициенты, учитывающие геометрическую форму меры вместимости при измеряемых уровнях наполнения меры вместимости H_i, H_i+1 соответственно;

Дельта Т_ро, Дельта Т_V - абсолютные погрешности измерений температур продукта Т_ро, Т_V соответственно, °С;

б) для косвенного метода, основанного на гидростатическом принципе

(31)

где

где дельта P_i, P_i+1, - относительные погрешности измерений гидростатического давления, соответствующие измеряемым уровням наполнения меры вместимости H_i, H_i+1,%;

5.8.8 Относительные погрешности измерений величин, входящих в формулы (22), (24), (26), (27) - (31), определяют с учетом инструментальной, методической и других составляющих погрешности измерений массы продукта.

5.8.9 Значения пределов допускаемой относительной погрешности измерений массы продукта, определяемые по формуле (22) или по формулам (24), (26), (27), (29) - (31), не должны превышать значений, установленных в 5.1.

5.8.10 Пределы относительной погрешности измерений массы нетто товарной нефти вычисляют по формуле

(32)

где Дельта W_М.В - абсолютная погрешность измерений массовой доли воды в товарной нефти, %;

Дельта W_М.П - абсолютная погрешность измерений массовой доли механических примесей в товарной нефти, %;

Дельта W_Х.С - абсолютная погрешность измерений массовой доли солей в товарной нефти, %;

Значение дельта m* при применении косвенных методов измерений массы продукта вычисляют по формуле

(33)

При применении прямых методов измерений массы продукта значение дельта m* принимают равным относительной погрешности измерений массы продукта с помощью массомера или весов.

Абсолютные погрешности измерений массовых долей воды, механических примесей и хлористых солей в товарной нефти определяют по результатам оценки промежуточных показателей прецизионности и правильности стандартных методов измерений в каждой лаборатории, проводящей анализы при учетных операциях, в соответствии с ГОСТ Р ИСО 5725-1 - ГОСТ Р ИСО 5725-6.

Допускается до оценки промежуточных показателей прецизионности и правильности стандартных методов измерений в каждой лаборатории определять погрешности измерений в соответствии с ГОСТ Р 8.580.

Приложение А
(справочное)

КОЭФФИЦИЕНТЫ ОБЪЕМНОГО РАСШИРЕНИЯ ПРОДУКТА БЕТА

Таблица А.1

ро, кг/м3 бета, 1/°C ро, кг/м3 бета, 1/°C
690,0-699,9 0,00130 850,0-859,9 0,00081
700,0-709,9 0,00126 860,0-869,9 0,00079
710,0-719,9 0,00123 870,0-879,9 0,00076
720,0-729,9 0,00119 880,0-889,9 0,00074
730,0-739,9 0,00116 890,0-899,9 0,00072
740,0-749,9 0,00113 900,0-909,9 0,00070
750,0-759,9 0,00109 910,0-919,9 0,00067
760,0-769,9 0,00106 920,0-929,9 0,00065
770,0-779,9 0,00103 930,0-939,9 0,00063
780,0-789,9 0,00100 940,0-949,9 0,00061
790,0-799,9 0,00097 950,0-959,9 0,00059
800,0-809,9 0,00094 960,0-969,9 0,00057
810,0-819,9 0,00092 970,0-979,9 0,00055
820,0-829,9 0,00089 980,0-989,9 0,00053
830,0-839,9 0,00086 990,0-999,9 0,00052
840,0-849,9 0,00084 - -

Примечание - Значения, приведенные в таблице, используют только для расчета относительных погрешностей МВИ массы продукта по формулам (22), (24), (26), (27), (30), (31).

БИБЛИОГРАФИЯ

[1] МИ 2632-2001 Государственная система обеспечения единства измерений. Плотность нефти и нефтепродуктов и коэффициенты объемного расширения и сжимаемости. Методы и программа расчета. С.-Пб.: ВНИИМ, 2001

[2] МИ 2153-2004 Государственная система обеспечения единства измерений. Плотность нефти. Требования к методикам выполнения измерений ареометром при учетных операциях. С.-Пб.: ВНИИМ, 2004

[3] Р 50.1.039-2002 Разработка, обновление и отмена правил и рекомендаций по стандартизации, метрологии, сертификации, аккредитации и каталогизации. М.: ИПК Изд-во стандартов, 2002

[4] МИ 2525-99 Государственная система обеспечения единства измерений. Рекомендации по метрологии государственных научных метрологических центров Госстандарта России. Порядок разработки. М.: ВНИИМС, 1999

[5] МИ 2561-99 Государственная система обеспечения единства измерений. Порядок разработки перечней организаций, которым должны быть разосланы на отзыв проекты нормативных документов ГСИ. М.: ВНИИМС, 1999

[6] МИ 2174-91 Государственная система обеспечения единства измерений. Аттестация алгоритмов и программ обработки данных при измерениях. Основные положения. Л.: ВНИИМ, 1991

[7] РМГ 43-2001 Государственная система обеспечения единства измерений. Применение "Руководства по выражению неопределенности измерений". М.: ИПК Изд-во стандартов, 2001

[8] МИ 1552-86 Государственная система обеспечения единства измерений. Измерения прямые однократные. Оценивание погрешностей результатов измерений. Л.: ВНИИМ, 1991

[9] МИ 2083-90 Государственная система обеспечения единства измерений. Измерения косвенные. Определение результатов измерений и оценивание их погрешностей. Л.: ВНИИМ, 1990

[10] МИ 1317-86 Государственная система обеспечения единства измерений. Результаты и характеристики погрешности измерений. Формы представления. Способы использования при испытаниях образцов продукции и контроле их параметров. М.: ВНИИМС, 1986

[11] МИ 1967-89 Государственная система обеспечения единства измерений. Выбор методов и средств измерений при разработке методик выполнения измерений. Общие положения. М.: ВНИИМС, 1989

[12] ПР 50.2.009-94 Государственная система обеспечения единства измерений. Порядок проведения испытаний и утверждения типа средств измерений (с Изменением N1). М.: ВНИИМС, 1994

[13] Правила сертификации электрооборудования для взрывоопасных сред

[14] API 2540 Руководство по нефтяным измерительным стандартам (таблица 54А, главы с 11.1.54.1 по 11.1.54.3, том X, первая редакция, август 1980; глава 11, раздел 2.1 М. Коэффициенты сжимаемости для углеводородов, август 1984г.)

[15] ASTM D 1250-80 Стандартное руководство по применению таблиц измерения параметров нефти и нефтепродуктов

[16] ИСО 91-1-92 Нефть и нефтепродукты. Таблицы параметров при температуре 15°С

[17] ИСО 91-2-91 Нефть и нефтепродукты. Таблицы параметров при температуре 20°С

[18] МИ 2842-2003 Государственная система обеспечения единства измерений. Плотность светлых нефтепродуктов. Таблицы пересчета плотности к 15 и 20°С и к условиям измерений объема. Казань: ВНИИР, 2003

[19] МИ 2543-99 Государственная система обеспечения единства измерений. Цистерны железнодорожные. Методика поверки объемным методом. Казань: ВНИИР, 1999

[20] МИ 1124-86 Государственная система обеспечения единства измерений. Вместимость стальных вертикальных цилиндрических резервуаров с теплоизоляцией. Методика выполнения измерений геометрическим методом. Казань: ВНИИР, 1986

[21] РД 50-156-79 Определение вместимости и градуировка железобетонных цилиндрических резервуаров со сборной стенкой вместимостью до 30000м3геометрическим методом. М.: Изд-во стандартов, 1979

[22] МИ 2579-2000 Государственная система обеспечения единства измерений. Резервуары (танки) речных и морских наливных судов. Методика поверки объемным методом. Казань: ВНИИР, 2000

[23] МИ 1001-99 Государственная система обеспечения единства измерений. Определение поправочного коэффициента на полную вместимость нефтеналивных танков судов при измерении объема нефти. Методика расчета. Казань: ВНИИР, 1999

[24] МИ 1953-88 Государственная система обеспечения единства измерений. Масса народнохозяйственных грузов при бестарных перевозках. Методика выполнения измерений. Казань: ВНИИР, 1988