Охрана природы. Атмосфера. Нормы и методы определения выбросов вредных веществ с отработавшими газами дизелей, тракторов и самоходных сельскохозяйственных машин. ГОСТ 17.2.2.05-97

(утв. Постановлением Госстандарта РФ от 25.03.98 N 81)
Редакция от 25.03.1998 — Документ не действует

МЕЖГОСУДАРСТВЕННЫЙ СОВЕТ ПО СТАНДАРТИЗАЦИИ, МЕТРОЛОГИИ И СЕРТИФИКАЦИИ

МЕЖГОСУДАРСТВЕННЫЙ СТАНДАРТ

ОХРАНА ПРИРОДЫ
АТМОСФЕРА
НОРМЫ И МЕТОДЫ ОПРЕДЕЛЕНИЯ ВЫБРОСОВ ВРЕДНЫХ ВЕЩЕСТВ С ОТРАБОТАВШИМИ ГАЗАМИ ДИЗЕЛЕЙ, ТРАКТОРОВ И САМОХОДНЫХ СЕЛЬСКОХОЗЯЙСТВЕННЫХ МАШИН

Nature protection. Atmosphere.Rates and testing methods of harmful substances ejections with exhaust gases from diesel engines, tractors and agricultural machines

ГОСТ 17.2.2.05-97

Дата введения 1999-07-01

ПРЕДИСЛОВИЕ

1. РАЗРАБОТАН Российской Федерацией

ВНЕСЕН Госстандартом России

2. ПРИНЯТ Межгосударственным Советом по стандартизации, метрологии и сертификации (протокол N 12-97 от 21 ноября 1997 г.)

За принятие проголосовали:

Наименование государства Наименование национального органа по стандартизации
Азербайджанская Республика Азгосстандарт
Республика Армения Армгосстандарт
Республика Белоруссия Госстандарт Белоруссии
Грузия Грузстандарт
Республика Казахстан Госстандарт Республики Казахстан
Киргизская Республика Киргизстандарт
Республика Молдова Молдовастандарт
Российская Федерация Госстандарт России
Республика Таджикистан Таджикгосстандарт
Туркменистан Главная государственная инспекция Туркменистана
Республика Узбекистан Узгосстандарт

3. Постановлением Государственного комитета Российской Федерации по стандартизации, метрологии и сертификации от 25 марта 1998 г. N 81 межгосударственный стандарт ГОСТ 17.2.2.05-97 введен в действие непосредственно в качестве государственного стандарта Российской Федерации с 1 июля 1999 г.

4. ВЗАМЕН ГОСТ 17.2.2.05-86

1. ОБЛАСТЬ ПРИМЕНЕНИЯ

Настоящий стандарт распространяется на: вновь изготовленные и капитально отремонтированные на ремонтных предприятиях дизели тракторов и самоходных сельскохозяйственных машин (далее - дизели); сельскохозяйственные, промышленные и лесохозяйственные дизельные тракторы, в том числе используемые в качестве базы для строительно-дорожных машин и машин, применяемых в коммунальном и лесном хозяйстве, тракторные самоходные дизельные шасси (далее - тракторы); самоходные сельскохозяйственные машины (далее - машины); находящиеся в эксплуатации тракторы и машины, предназначенные для работы или работающие в условиях неограниченного и ограниченного воздухообмена, - и устанавливает нормы выбросов вредных веществ с отработавшими газами (далее - выбросы) и методы их определения.

Стандарт не распространяется на малогабаритные тракторы, другие мобильные средства малой механизации и дизели к ним.

2. НОРМАТИВНЫЕ ССЫЛКИ

В настоящем стандарте использованы ссылки на следующие стандарты:

ГОСТ 17.2.2.02-98 Охрана природы. Атмосфера. Нормы и методы определения дымности отработавших газов дизелей, тракторов и самоходных сельскохозяйственных машин;

ГОСТ 7057-81 (СТ СЭВ 4764-84) Тракторы сельскохозяйственные. Методы испытаний

ГОСТ 18509-88 Дизели тракторные и комбайновые. Методы стендовых испытаний

ГОСТ 23734-79 Тракторы промышленные. Методы испытаний

3. ОПРЕДЕЛЕНИЯ

В настоящем стандарте применяют следующие термины с соответствующими определениями:

3.1. Выбросы - вредные вещества, поступающие в атмосферу вместе с отработавшими газами из системы выпуска дизеля, трактора или машины.

3.2. Удельный выброс - выброс, отнесенный к единице совершаемой дизелем, трактором или машиной работы на маховике или выходном вале дизеля.

3.3. Места с неограниченным и ограниченным воздухообменом - по ГОСТ 17.2.2.02.

4. ОБОЗНАЧЕНИЯ И СОКРАЩЕНИЯ

D_B - внутренний диаметр прямолинейного участка выпускного трубопровода испытательного стенда, выпускной трубы трактора или машины или удлинительного патрубка, мм.

F_A- показатель окружающей среды.

В’_окр - давление сухого воздуха, кПа.

В_окр - атмосферное давление, кПа.

фи_окр - относительная влажность окружающего воздуха, %.

P_S- парциальное давление насыщенного водяного пара при данной температуре окружающего воздуха, кПа.

Т_окр - температура окружающего воздуха, К.

d - содержание водяных паров в воздухе на входе в устройство для измерения расхода воздуха, г/кг.

F_NO_x - поправочный коэффициент на влажность для оксидов азота.

G_T - расход дизельного топлива, кг/ч.

G_B - расход воздуха, поступающего в цилиндры дизеля, кг/ч.

F_CO - поправочный коэффициент на влажность для оксида углерода (II).

G_NO_x - массовый выброс оксидов азота, г/ч.

W_NO_x - объемная концентрация оксидов азота, млн(-1).

G_CO - массовый выброс оксида углерода (II), г/ч.

W_CO - объемная концентрация оксида углерода, млн(-1).

G_CH - массовый выброс суммарных углеводородов, г/ч.

W_CH - объемная концентрация суммарных углеводородов, млн(-1).

g_NO_x - удельный выброс оксидов азота, г/(кВт729;ч).

g_CO - удельный выброс оксида углерода, г/(кВт729;ч).

g_CH- удельный выброс суммарных углеводородов, г/(кВт729;ч).

К_B- коэффициент весомости режима, на котором определяли выбросы.

N_e -мощность дизеля, укомплектованного всем обслуживающим его оборудованием и установленного на испытательном стенде, или приведенная к маховику мощность дизеля, установленного на тракторе или машине, на режиме, на котором определяли выбросы.

ВОМ - вал отбора мощности.

ПГС - поверочная газовая смесь.

5. НОРМЫ ВЫБРОСОВ

5.1. Значения удельных выбросов вновь изготовленных и капитально отремонтированных на ремонтных заводах дизелей, тракторов и машин не должны быть более норм, приведенных в таблице 1.

Таблица 1

Наименование вредных веществ Удельные выбросы, г/(кВт729;ч), при воздухообмене
неограниченном ограниченном
Оксиды азота 18,0 9,0
Оксид углерода (II) 10,0 4,0
Углеводороды 3,0 1,5

Примечания.

1. Нормы выбросов оксидов азота установлены по сумме оксидов азота, приведенных к оксиду азота (IV).

2. Нормы выбросов углеводородов установлены по сумме углеводородов, приведенных к условному составу C1H1,85

5.2. Значения удельных выбросов находящихся в эксплуатации тракторов и машин не должны быть более норм, приведенных в таблице 2.

Таблица 2

Наименование вредных веществ Удельные выбросы, г/(кВт729;ч), при воздухообмене
неограниченном ограниченном
Оксиды азота 18,0 9,0
Оксид углерода (II) 14,0 5,6
Углеводороды 4,5 2,2

6. СРЕДСТВА ИСПЫТАНИЙ

6.1. Концентрацию вредных веществ в отработавших газах измеряют с помощью быстродействующих газоанализаторов непрерывного действия:

- оксидов азота - газоанализатором хемилюминесцентного типа с преобразователем оксида азота (IV) в оксид азота (II);

- оксида углерода (II) - газоанализатором недисперсного типа с поглощением в инфракрасной части спектра;

- суммарных углеводородов - газоанализатором пламенно-ионизационного типа.

Порядок калибровки газоанализаторов - по приложению А.

6.2. Пробоотборная магистраль суммарных углеводородов и регистрирующее устройство газоанализаторов должны иметь систему подогрева, обеспечивающую их температуру 180-200 °С, а пробоотборная магистраль оксидов азота - не менее 70 °С; все нагреваемые пробоотборные магистрали должны быть снабжены противосажевым нагреваемым фильтром.

Можно использовать общую, подогреваемую до 180-200 °С, магистраль для подвода проб к различным газоанализаторам.

6.3. Пробоотборный зонд представляет собой трубку с закрытым торцом и отверстиями в ее цилиндрической части; общая площадь отверстий должна быть не менее 0,2 D(2)_B.

6.4. Испытательные стенды, оборудованные нагружающими устройствами, в том числе стенды с беговыми барабанами или с бесконечной лентой, средства измерений крутящего момента, частоты вращения коленчатого вала, хвостовика ВОМ или ведущих колес, расхода топлива, температуры моторного масла, дизельного топлива и окружающего воздуха, атмосферного давления и других параметров - по ГОСТ 18509, ГОСТ 7057 и ГОСТ 25734.

7. ПОРЯДОК ПОДГОТОВКИ К ИСПЫТАНИЯМ И УСЛОВИЯ ИХ ПРОВЕДЕНИЯ

7.1. Установка, закрепление дизеля, трактора или машины на испытательных стендах, оборудованных нагружающими устройствами, или на площадке, соединение маховика, хвостовика ВОМ, ведущих осей, шкива ременной передачи с нагружающим устройством, условия питания топливом - по ГОСТ 18509, ГОСТ 7057, ГОСТ 23734, а также по техническим условиям, эксплуатационной и ремонтной документации на тракторы и машины конкретных марок.

7.2. Выбросы дизелей определяют при стендовых испытаниях по ГОСТ 18509.

7.3. Выбросы тракторов, имеющих ВОМ, механически связанный с коленчатым валом дизеля, не являющийся синхронным и предназначенный для передачи максимальной мощности, определяют при торможении хвостовика ВОМ по ГОСТ 7057 и ГОСТ 23734.

7.4. Выбросы тракторов, имеющих ВОМ, механически связанный с коленчатым валом дизеля и являющийся синхронным и (или) не предназначенный для передачи максимальной мощности, или не имеющих ВОМ, механически связанный с коленчатым валом дизеля, определяют при торможении осей ведущих колес или при испытаниях на стендах с беговыми барабанами или с бесконечной лентой.

7.5. Выбросы машин определяют при торможении установленных на них дизелей через ведущие или ведомые шкивы ременной передачи, через ведущие или ведомые звездочки цепной передачи или через другие составные части трансмиссии или на стендах с беговыми барабанами или с бесконечной лентой.

7.6. Выбросы определяют, если конструкция тракторов и машин обеспечивает работу установленных на них дизелей на указанных в таблице 3 режимах.

Таблица 3

Частота вращения коленчатого вала дизеля Крутящий момент, % крутящего момента при полной подаче топлива на данном скоростном режиме Коэффициент весомости режима
1. Минимальная устойчивая 0 0,0833
2. Соответствующая максимальному крутящему моменту 10 0,0800
3. То же 25 0,0800
4. -"- 50 0,0800
5. -"- 75 0,0800
6. -"- 100 0,2501
7. Минимальная устойчивая 0 0,0833
8. Номинальная 100 0,1000
9. Тоже 75 0,0200
10. -"- 50 0,0200
11. -"- 25 0,0200
12. -"- 10 0,0200
13. Минимальная устойчивая 0 0,0833

7.7. Требования к установке пробоотборных зондов, к дизельному топливу и маслам - по разделу 7 ГОСТ 17.2.2.02.

7.8. Места установки газоанализаторов относительно пробоотборного зонда - по технической документации на газоанализаторы конкретных марок.

7.9. Испытания проводят при атмосферных условиях, удовлетворяющих условию (1) или приложению Б.

(1)

Значение F_А определяют по формулам:

- для дизелей без наддува или с механическим приводом компрессора, а также для тракторов и машин с такими дизелями

; (2)

- для дизелей с турбонаддувом без промежуточного охлаждения наддувочного воздуха, а также для тракторов и машин с такими дизелями

; (3)

- для дизелей с турбонаддувом и промежуточным охлаждением наддувочного воздуха, а также для тракторов и машин с такими дизелями

, (4)

где

(5)

7.10. Дизель, трактор или машина непосредственно перед измерением содержания вредных веществ в отработавших газах должны быть прогреты таким образом, чтобы значения температуры моторного масла и (или) охлаждающей жидкости дизеля находились в пределах, рекомендуемых предприятием - изготовителем дизеля, трактора или машины.

7.11. Перед началом испытаний газоанализаторы должны быть прогреты согласно инструкции по их применению.

8. ПОРЯДОК ПРОВЕДЕНИЯ ИСПЫТАНИЙ

8.1. Содержание вредных веществ в отработавших газах определяют при работе дизеля на установившихся режимах в соответствии с таблицей 3. Требования к установившимся режимам - по ГОСТ 17.2.2.02.

8.2 Испытания следует проводить в течение одного дня.

8.3. Крутящий момент во время испытаний не должен отличаться от приведенного в таблице 3 более чем на 2 %, а частота вращения - более чем на 10 об/мин.

8.4. Продолжительность отбора проб на каждом установившемся режиме должна быть не менее 4 мин.

8.5. Показания газоанализаторов фиксируют в течение не менее трех последних минут отбора проб на каждом режиме.

8.6. Выбросы дизеля, имеющего отключаемый наддув или перепускной клапан системы наддува, а также трактора и машины с таким дизелем измеряют при включенном и выключенном агрегате наддува или перепускном клапане.

8.7. Выбросы дизелей, имеющих несколько выпускных коллекторов, а также тракторов и машин, имеющих две и более выпускные трубы, следует измерять в каждом выпускном трубопроводе испытательного стенда, в каждой выпускной трубе или каждом удлинительном патрубке.

9. ПРАВИЛА ОБРАБОТКИ РЕЗУЛЬТАТОВ ИСПЫТАНИЙ

9.1. Содержание водяных паров в воздухе на входе в устройство для измерения расхода воздуха рассчитывают по формуле

. (6)

9.2. Поправочные коэффициенты на влажность для оксидов азота и оксида углерода (II) рассчитывают по формулам:

; (7)
   
. (8)

9.3. Массовые выбросы оксидов азота, оксида углерода (II) и суммарных углеводородов для каждого из 13 режимов при влажном состоянии отработавших газов рассчитывают по формулам:

; (9)
   
; (10)
   
. (11)

9.4. Если дизель, установленный на стенде или на тракторе или машине, имеет отключаемый наддув или перепускной клапан системы наддува, массовые выбросы рассчитывают при работе дизеля как с включенным, так и с отключенным наддувом или как с включенным, так и с выключенным перепускным клапаном.

9.5. Если дизель имеет несколько выпускных коллекторов, а трактор или машина с таким дизелем - несколько выпускных труб, при расчетах по формулам (7) - (11) используют среднее арифметическое всех измеренных на каждом режиме из числа указанных в таблице 3 значений объемных концентраций оксидов азота, оксида углерода (II) и суммарных углеводородов.

9.6. Мощность дизеля на каждом режиме по таблице 3 рассчитывают в соответствии с требованиями ГОСТ 18509, если дизель установлен на испытательном стенде, и ГОСТ 7057 или ГОСТ 23734, если дизель установлен на тракторе или машине. При этом должны быть учтены потери мощности в составных частях трактора или машины, а также испытательного стенда, соединяющих маховик или выходной вал дизеля с нагружающим устройством стенда.

Мощность дизеля не приводят к стандартным атмосферным условиям, температуре и плотности топлива.

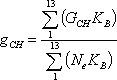
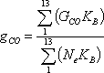
9.7. Удельные выбросы оксидов азота, оксида углерода (II) и суммарных углеводородов рассчитывают по формулам:

; (12)
   
; (13)
   
. (14)

9.8. Значения удельных выбросов оксидов азота, оксида углерода (II) и углеводородов должны быть не более норм по разделу 5.

9.9. Выбросы дизелей, имеющих отключаемый наддув или перепускной клапан системы наддува, а также тракторов и машин с такими дизелями оценивают по наибольшим удельным выбросам.

9.10. При испытаниях на топливе различных марок выбросы оценивают по результатам испытаний на топливе той марки, при использовании которой удельные выбросы оказались наибольшими.

10. ПРАВИЛА ОФОРМЛЕНИЯ РЕЗУЛЬТАТОВ ИСПЫТАНИЙ

10.1. Результаты испытаний оформляют в виде протокола. Форма протокола - по приложению В.

11. ДОПУСТИМЫЕ ПОГРЕШНОСТИ ИЗМЕРЕНИЙ

11.1. Пределы основной абсолютной погрешности средств измерений - по ГОСТ 18509, ГОСТ 7056 и ГОСТ 23734.

11.2. Погрешность при расчетах должна быть не более 0,2 %.

ПРИЛОЖЕНИЕ А
(обязательное)

ПОРЯДОК
ПРОВЕДЕНИЯ КАЛИБРОВКИ ГАЗОАНАЛИЗАТОРОВ

А.1. Калибровку газоанализаторов проводят:

- ПГС;

- оксидом азота (II) в азоте для газоанализаторов оксидов азота;

- оксидом углерода (II) в азоте для газоанализаторов оксида углерода;

- пропаном или метаном в синтетическом воздухе или азоте для газоанализаторов суммарных углеводородов;

- поверочным нулевым газом - воздухом или нулевым газом согласно инструкции на газоанализатор.

Технические характеристики ПГС и поверочного нулевого газа - по технической документации на ПГС и поверочный нулевой газ конкретных марок.

К каждой ПГС должен быть приложен паспорт, удостоверяющий ее параметры: концентрацию основного газа в газе-наполнителе, погрешность приготовления ПГС, срок годности.

А.2. Калибровку каждого используемого диапазона проводят в двух точках шкалы с помощью ПГС или нулевого газа. При этом используют ПГС, номинальное значение концентрации которой составляет более 80% шкалы проверяемого диапазона измерений.

А.3. Если после подачи ПГС в газоанализатор его показания отличаются от номинального значения ПГС не более чем на 5 % верхнего предела шкалы, параметры регулировки газоанализатора могут быть изменены для достижения необходимых показаний. В противном случае необходимо выявить неисправность, устранить ее и провести повторную калибровку.

А.4. Пробоотборную систему проверяют на герметичность.

Пробоотборник должен быть отсоединен от системы выпуска отработавших газов, а его конец - заглушен.

Насос газоанализатора должен быть включен.

После периода стабилизации все расходомеры должны показывать "0". В противном случае необходимо выявить и устранить дефект, после чего повторить испытания.

А.5. Пробоотборную линию проверяют на быстродействие.

На пробоотборник подают измерительный газ различных концентраций переключением с нуля на измерительный газ. Время подачи измерительного газа до считывания 90% поданной концентрации газа, определяющее быстродействие газоанализатора, не должно быть более указанного в технической документации на газоанализаторы конкретных марок. Если после периода стабилизации газоанализатор покажет меньшую концентрацию измерительного газа в сравнении с исходной концентрацией, необходимо выявить и устранить дефект, после чего повторить испытания.

А.6. Калибровки проводят до и после испытаний согласно п. А.2 с помощью одного и того же газа.

Результаты измерений считают достоверными, если показания газоанализаторов при калибровке до и после испытаний отличаются не более чем на 3 %.

ПРИЛОЖЕНИЕ Б
(справочное)

НОМОГРАММЫ УСЛОВИЙ ОПРЕДЕЛЕНИЯ ВЫБРОСОВ ВРЕДНЫХ ВЕЩЕСТВ С ОТРАБОТАВШИМИ ГАЗАМИ

Б.1. Выбросы определяют, если точка, соответствующая измеренным во время испытаний значениям атмосферного давления и температуры окружающего воздуха, находится внутри обозначенного на номограмме поля или на его границах.

Б.2. Номограммы, по которым устанавливают возможность определения выбросов, приведены на рисунках:

Б.1 - для дизелей без турбонаддува или с механическим приводом компрессора, а также тракторов и машин с такими дизелями;

Рисунок Б.1

Б.2 - для дизелей с турбонаддувом без промежуточного охлаждения наддувочного воздуха, а также тракторов и машин с такими дизелями;

Рисунок Б.2

Б.3 - для дизелей с турбонаддувом и промежуточным охлаждением наддувочного воздуха, а также тракторов и машин с такими дизелями.

Рисунок Б.3

ПРИЛОЖЕНИЕ В
(обязательное)

ФОРМА ПРОТОКОЛА ИСПЫТАНИЙ

Испытательная организация, дата, место проведения и вид испытаний
     
1. Марка дизеля, трактора или машины, их заводские номера и наработка
2. Завод - изготовитель трактора или машины и его адрес  
3. Завод - изготовитель дизеля и его адрес  
4. Марка дизельного топлива, на котором проводили испытания  
     
5. Значения выбросов дизеля, трактора или машины, г/(кВт729;ч), полученные во время испытаний, и установленные настоящим стандартом нормы выбросов:
- оксиды азота -    
- оксид углерода (II) -    
- углеводороды -    
     
6. Тип, марка и изготовитель газоанализаторов  
     
7. Решение о соответствии или несоответствии дизеля, трактора или машины требованиям настоящего стандарта
     
Ответственный за испытания (должность, фамилия, имя, отчество)  
     
Подпись Место печати