Постановление Правительства Москвы от 24.12.2024 N 3151-ПП

"О внесении изменений в правовые акты города Москвы"
Редакция от 24.12.2024 — Действует с 24.12.2024

ПРАВИТЕЛЬСТВО МОСКВЫ

ПОСТАНОВЛЕНИЕ
от 24 декабря 2024 г. N 3151-ПП

О ВНЕСЕНИИ ИЗМЕНЕНИЙ В ПРАВОВЫЕ АКТЫ ГОРОДА МОСКВЫ

В соответствии с Законом города Москвы от 8 июля 2009 г. N 25 "О правовых актах города Москвы" Правительство Москвы постановляет:

1. Внести изменения в постановление Правительства Москвы от 25 апреля 2006 г. N 273-ПП "О совершенствовании порядка установления ставок арендной платы за землю в городе Москве" (в редакции постановлений Правительства Москвы от 17 октября 2006 г. N 806-ПП, от 28 августа 2007 г. N 741-ПП, от 11 сентября 2007 г. N 796-ПП, от 10 июня 2008 г. N 494-ПП, от 28 октября 2008 г. N 1010-ПП, от 27 января 2009 г. N 46-ПП, от 24 марта2009 г. N 222-ПП, от 30 июня 2009 г. N 643-ПП, от 1 декабря 2009 г. N 1325-ПП, от 16 июня 2011 г. N 276-ПП, от 25 апреля 2012 г. N 190-ПП, от 21 мая 2012 г. N 229-ПП, от 18 июля 2012 г. N 344-ПП, от 10 сентября 2012 г. N 477-ПП, от 18 июня 2013 г. N 387-ПП, от 10 октября 2013 г. N 664-ПП, от 17 апреля 2014 г. N 194-ПП, от 27 августа 2014 г. N 490-ПП, от 23 декабря 2014 г. N 805-ПП, от 24 февраля 2015 г. N 68-ПП, от 17 июня 2015 г. N 367-ПП, от 28 августа 2015 г. N 554-ПП, от 24 ноября 2015 г. N 769-ПП, от 29 марта 2016 г. N 114-ПП, от 15 июня 2016 г. N 325-ПП, от 6 сентября 2016 г. N 555-ПП, от 24 января 2017 г. N 10-ПП, от 5 апреля 2017 г. N 169-ПП, от 30 июня 2017 г. N 400-ПП, от 1 августа 2017 г. N 499-ПП, от 20 марта 2018 г. N 196-ПП, от 5 июня 2018 г. N 519-ПП, от 19 июня 2018 г. N 586-ПП, от 16 октября 2018 г. N 1260-ПП, от 18 декабря 2018 г. N 1591-ПП, от 9 апреля 2019 г. N 335-ПП, от 10 июля 2019 г. N 866-ПП, от 6 августа 2019 г. N 1012-ПП, от 6 августа 2019 г. N 1013-ПП, от 31 декабря 2019 г. N 1874-ПП, от 10 апреля 2020 г. N 362-ПП, от 28 апреля 2020 г. N 467-ПП, от 24 августа 2020 г. N 1348-ПП, от 25 августа 2020 г. N 1352-ПП, от 13 октября 2020 г. N 1698-ПП, от 19 ноября 2020 г. N 2019-ПП, от 18 мая 2021 г. N 613-ПП, от 31 августа 2021 г. N 1347-ПП, от 10 декабря 2021 г. N 1974-ПП, от 24 декабря 2021 г. N 2196-ПП, от 28 декабря 2021 г. N 2226-ПП, от 22 марта 2022 г. N 406-ПП, от 22 марта 2022 г. N 407-ПП, от 26 мая 2022 г. N 928-ПП, от 7 июня 2022 г. N 996-ПП, от 6 сентября 2022 г. N 1950-ПП, от 1 ноября 2022 г. N 2377-ПП, от 15 ноября 2022 г. N 2523-ПП, от 28 декабря 2022 г. N 3041-ПП, от 15 марта 2023 г. N 398-ПП, от 12 апреля 2023 г. N 618-ПП, от 23 августа 2023 г. N 1616-ПП, от 28 августа 2023 г. N 1625-ПП, от 19 декабря 2023 г. N 2636-ПП, от 19 декабря 2023 г. N 2637-ПП, от 18 января 2024 г. N 49-ПП, от 19 февраля 2024 г. N 305-ПП, от 5 апреля 2024 г. N 714-ПП, от 10 апреля 2024 г. N 766-ПП, от 18 апреля 2024 г. N 831-ПП, от 2 июля 2024 г. N 1385-ПП, от 17 июля 2024 г. N 1650-ПП, от 23 июля 2024 г. N 1687-ПП, от 8 августа 2024 г. N 1816-ПП, от 12 августа 2024 г. N 1821-ПП, от 27 августа 2024 г. N 1963-ПП, от 3 сентября 2024 г. N 2006-ПП, от 10 сентября 2024 г. N 2044-ПП, от 23 октября 2024 г. N 2410-ПП, от 12 ноября 2024 г. N 2525-ПП, от 22 ноября 2024 г. N 2652-ПП, от 24 декабря 2024 г. N 3135-ПП), дополнив приложение 8 к постановлению абзацами в следующей редакции:

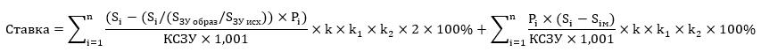
"В случае если земельный участок, на котором планируется строительство (реконструкция) жилого здания, гостиницы, образован в соответствии с проектом межевания территории, утвержденным в соответствии с Градостроительным кодексом Российской Федерации, и если с даты постановки такого земельного участка с увеличением площади исходного земельного участка на государственный кадастровый учет прошло менее 5 лет, ставка арендной платы за такой земельный участок определяется по формуле:

, где:

n - количество видов функционального назначения помещений в объекте(ах) капитального строительства в соответствии с градостроительным планом земельного участка;

i - вид функционального назначения объекта(ов) капитального строительства и (или) помещения i-го вида функционального назначения в объекте(ах) капитального строительства в соответствии с градостроительным планом земельного участка;

- общая площадь объекта капитального строительства, в том числе помещений, измеряемая в габаритах наружных стен по внешнему обмеру, i-го вида функционального назначения в объекте(ах) капитального строительства (кв.м);

- площадь образованного земельного участка (кв.м);

- площадь исходного земельного участка (кв.м);

- базовый стоимостный показатель помещения i-го вида функционального назначения в объекте(ах) капитального строительства (рублей за один квадратный метр помещения i-го вида функционального назначения). Определяется в соответствии с таблицей 1 настоящего приложения. При отсутствии в кадастровом квартале стоимостного показателя объекта капитального строительства, расположенного за пределами территории города Москвы, применяется базовый стоимостный показатель, равный 115 502,39 рубля за кв.м для жилой застройки и 71 051,37 рубля за кв.м для гостиниц и объектов временного проживания;

- применяемая в расчете площадь i-го функционального назначения объекта капитального строительства, в том числе помещений, измеряемая в габаритах наружных стен по внешнему обмеру (кв.м);

k - коэффициент ренты. Определяется в соответствии с таблицей 2 настоящего приложения. Для земельных участков, расположенных за пределами территории города Москвы, применяется коэффициент ренты, равный 0,1000. При этом для целей, указанных в пунктах 3.5(1).1 и 3.7.1.1 настоящего постановления, размер коэффициента ренты уменьшается на 15 процентов;

- коэффициент изменения цен, установленный на дату обращения. Устанавливается правовым актом Департамента городского имущества города Москвы на основании официальной ежеквартальной статистической информации Федеральной службы государственной статистики об уровне цен на рынке жилья в городе Москве, размещенной на официальном сайте Федеральной службы государственной статистики в информационно-телекоммуникационной сети Интернет;

- коэффициент доходности земельного участка равняется 1. В случае если кадастровая стоимость земельного участка установлена в размере его рыночной стоимости, коэффициент доходности не может быть меньше 1 и определяется согласно настоящему приложению;

КСЗУ - кадастровая стоимость земельного участка (рублей).

В случае если земельный участок, на котором в том числе расположен объект культурного наследия и планируется строительство (реконструкция) жилого здания, гостиницы, образован в соответствии с проектом межевания территории, утвержденным в соответствии с Градостроительным кодексом Российской Федерации, и если с даты постановки такого земельного участка с увеличением площади исходного земельного участка на государственный кадастровый учет прошло менее 5 лет, ставка арендной платы за такой земельный участок определяется с учетом площади объектов капитального строительства (Sp), применяемой в расчете и определяемой согласно настоящему приложению.".

2. Внести изменение в постановление Правительства Москвы от 10 сентября 2013 г. N 593-ПП "Об утверждении Порядка определения платы за изменение вида разрешенного использования земельного участка, находящегося в собственности физического лица или юридического лица, на другой вид такого использования, предусматривающий строительство и (или) реконструкцию объекта капитального строительства, и Перечня видов объектов капитального строительства, имеющих важное социально-экономическое значение для города Москвы, при строительстве и (или) реконструкции которых плата за изменение вида разрешенного использования земельного участка не взимается" (в редакции постановлений Правительства Москвы от 24 февраля 2015 г. N 69-ПП, от 10 июля 2018 г. N 672-ПП, от 31 июля 2018 г. N 835-ПП, от 10 июля 2019 г. N 866-ПП, от 24 августа2020 г. N 1348-ПП, от 19 ноября 2020 г. N 2019-ПП, от 1 марта2021 г. N 233-ПП, от 28 сентября 2021 г. N 1538-ПП, от 10 декабря 2021 г. N 1974-ПП, от 24 декабря 2021 г. N 2196-ПП, от 28 декабря 2021 г. N 2226-ПП, от 22 марта 2022 г. N 407-ПП, от 26 мая 2022 г. N 928-ПП, от 28 декабря 2022 г. N 3041-ПП, от 30 мая 2023 г. N 983-ПП, от 19 февраля 2024 г. N 305-ПП, от 10 апреля 2024 г. N 766-ПП, от 27 августа 2024 г. N 1963-ПП, от 10 сентября 2024 г. N 2044-ПП, от 22 ноября 2024 г. N 2652-ПП, от 24 декабря 2024 г. N 3135-ПП), дополнив приложение 1 к постановлению пунктом 2.1(2) в следующей редакции:

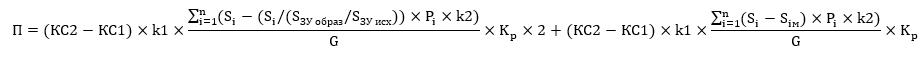
"2.1(2). В случае если земельный участок, находящийся в частной собственности, на котором планируется строительство (реконструкция) жилого здания, гостиницы, образован в соответствии с проектом межевания территории, утвержденным в соответствии с Градостроительным кодексом Российской Федерации, и если с даты постановки такого земельного участка с увеличением площади исходного земельного участка на государственный кадастровый учет прошло менее 5 лет, плата за изменение вида разрешенного использования такого земельного участка определяется по формуле:

, где:

П - размер платы за изменение вида разрешенного использования земельного участка (рублей);

КС2 - кадастровая стоимость земельного участка с измененным видом разрешенного использования, рассчитанная исходя из максимального удельного показателя кадастровой стоимости земельного участка для устанавливаемых видов разрешенного использования, утвержденного в установленном порядке правовым ак-том Правительства Москвы на дату обращения, указанного в пункте 2(1) настоящего Порядка (рублей);

КС1 - установленная кадастровая стоимость земельного участка на дату обращения, указанного в пункте 2(1) настоящего Порядка (рублей);

k1 - коэффициент изменения цен, установленный на дату обращения, указанного в пункте 2(1) настоящего Порядка. Устанавливается правовым актом Департамента городского имущества города Москвы на основании официальной ежеквартальной статистической информации Федеральной службы государственной статистики об уровне цен на рынке жилья в городе Москве, размещенной на официальном сайте Федеральной службы государственной статистики в информационно-телекоммуникационной сети Интернет;

n - количество видов функционального назначения помещений в объекте(ах) капитального строительства в соответствии с решением Градостроительно-земельной комиссии города Москвы или проектной документацией, согласованной уполномоченным органом исполнительной власти;

i - вид функционального назначения объекта(ов) капитального строительства и (или) помещения i-го вида функционального назначения в объекте(ах) капитального строительства в соответствии с решением Градостроительно-земельной комиссии города Москвы;

- общая площадь объекта капитального строительства, в том числе помещений, измеряемая в габаритах наружных стен по внешнему обмеру, i-го вида функционального назначения в объекте(ах) капитального строительства (кв.м);

- площадь образованного земельного участка (кв.м);

- площадь исходного земельного участка (кв.м);

- базовый стоимостный показатель помещения i-го вида функционального назначения в объекте (ах) капитального строительства (рублей за один квадратный метр помещения i-го вида функционального назначения). Определяется в соответствии с таблицей 1 приложения 8 к постановлению Правительства Москвы от 25 апреля 2006 г. N 273-ПП "О совершенствовании порядка установления ставок арендной платы за землю в городе Москве";

- применяемая в расчете площадь i-го функционального назначения объекта капитального строительства, в том числе помещений, измеряемая в габаритах наружных стен по внешнему обмеру (кв.м);

k2 - коэффициент местоположения, равный:

- 1 - для изменения вида разрешенного использования земельного участка на вид разрешенного использования земельного участка, предусматривающий строительство (реконструкцию) жилого здания, гостиницы;

- 0,001 - для изменения вида разрешенного использования земельного участка на вид разрешенного ис-пользования земельного участка, предусматривающий строительство (реконструкцию) объектов капитального строительства иного нежилого функционального назначения;

- коэффициент ренты. Определяется в соответствии с таблицей 2 приложения 8 к постановлению Правительства Москвы от 25 апреля 2006 г. N 273-ПП "О совершенствовании порядка установления ставок арендной платы за землю в городе Москве";

G - коэффициент разницы кадастровых стоимостей.

Коэффициент разницы кадастровых стоимостей (G) рассчитывается по формуле:

G = (КС2 - КС1) x 1,00001, где:

КС2 - кадастровая стоимость земельного участка с измененным видом разрешенного использования, рассчитанная исходя из максимального удельного показателя кадастровой стоимости земельного участка для устанавливаемых видов разрешенного использования, утвержденного в установленном порядке правовым ак-том Правительства Москвы на дату обращения, указанного в пункте 2(1) настоящего Порядка (рублей);

КС1 - установленная кадастровая стоимость земельного участка на дату обращения, указанного в пункте 2(1) настоящего Порядка (рублей).

В случае если земельный участок, находящийся в частной собственности, на котором в том числе расположен объект культурного наследия и планируется строительство (реконструкция) жилого здания, гостиницы, образован в соответствии с проектом межевания территории, утвержденным в соответствии с Градостроительным кодексом Российской Федерации, и если с даты постановки такого земельного участка с увеличением площади исходного земельного участка на государственный кадастровый учет прошло менее 5 лет, плата за изменение вида разрешенного использования такого земельного участка определяется с учетом площади объектов капитального строительства (Sp), применяемой в расчете и определяемой согласно пункту 2.1 настоящего Порядка.".

3. Внести изменение в постановление Правительства Москвы от 8 апреля 2015 г. N 166-ПП "Об утверждении Порядка определения размера платы за увеличение площади земельных участков, находящихся в частной собственности, в результате их перераспределения с земельными участками, находящимися в собственности города Москвы, землями или земельными участками, государственная собственность на которые не разграничена" (в редакции постановлений Правительства Москвы от 17 мая 2016 г. N 257-ПП, от 30 сентября 2024 г. N 2198-ПП), дополнив приложение к постановлению пунктом 7 в следующей редакции:

"7. Размер платы, в случае если видом разрешенного использования земельного участка, подлежащего передаче в частную собственность, предусматривается строительство (реконструкция) жилого здания, гостиницы, определяется по следующей формуле:

, где:

П - размер платы за перераспределение земельных участков (рублей);

КС2 - кадастровая стоимость земельного участка, подлежащего передаче в частную собственность, после увеличения площади земельного участка, находящегося в частной собственности, в результате перераспределения с земельными участками, находящимися в собственности города Москвы, землями или земельными участками, государственная собственность на которые не разграничена;

КС1 - исходная кадастровая стоимость перераспределенного земельного участка;

k1 - коэффициент изменения цен, установленный на дату обращения. Устанавливается правовым актом Департамента городского имущества города Москвы на основании официальной ежеквартальной статистической информации Федеральной службы государственной статистики об уровне цен на рынке жилья в городе Москве, размещенной на официальном сайте Федеральной службы государственной статистики в информационно-телекоммуникационной сети Интернет;

n - количество видов функционального назначения помещений в объекте(ах) капитального строительства в соответствии с решением Градостроительно-земельной комиссии города Москвы или проектной документацией, согласованной уполномоченным органом исполнительной власти;

- общая площадь объекта капитального строительства, в том числе помещений, измеряемая в габаритах наружных стен по внешнему обмеру, i-го вида функционального назначения в объекте(ах) капитального строительства (кв.м);

i - вид функционального назначения объекта(ов) капитального строительства и (или) помещения i-го вида функционального назначения в объекте(ах) капитального строительства в соответствии с решением Градостроительно-земельной комиссии города Москвы;

- площадь образованного земельного участка (кв.м);

- площадь исходного земельного участка (кв.м);

- базовый стоимостный показатель помещения i-го вида функционального назначения в объекте (ах) капитального строительства (рублей за один квадратный метр помещения i-го вида функционального назначения). Определяется в соответствии с таблицей 1 приложения 8 к постановлению Правительства Москвы от 25 апреля 2006 г. N 273-ПП "О совершенствовании порядка установления ставок арендной платы за землю в городе Москве";

k2 - коэффициент местоположения, равный:

- 1 - для изменения вида разрешенного использования земельного участка на вид разрешенного использования земельного участка, предусматривающий строительство (реконструкцию) жилого здания, гостиницы;

- 0,001 - для изменения вида разрешенного использования земельного участка на вид разрешенного использования земельного участка, предусматривающий строительство (реконструкцию) объектов капитального строительства иного нежилого функционального назначения;

- коэффициент ренты. Определяется в соответствии с таблицей 2 приложения 8 к постановлению Правительства Москвы от 25 апреля 2006 г. N 273-ПП "О совершенствовании порядка установления ставок арендной платы за землю в городе Москве";

G - коэффициент разницы кадастровых стоимостей.

Коэффициент разницы кадастровых стоимостей (G) рассчитывается по формуле:

G = (КС2 - КС1) x 1,00001, где:

КС2 - кадастровая стоимость земельного участка, подлежащего передаче в частную собственность, после увеличения площади земельного участка, находящегося в частной собственности, в результате перераспределения с земельными участками, находящимися в собственности города Москвы, землями или земельными участками, государственная собственность на которые не разграничена;

КС1 - исходная кадастровая стоимость перераспределенного земельного участка.".

4. Контроль за выполнением настоящего постановления возложить на заместителя Мэра Москвы в Правительстве Москвы по вопросам градостроительной политики и строительства Ефимова В.В.

Мэр Москвы
С.С. СОБЯНИН