Приказ Мининформсвязи РФ от 29.09.2006 N 127

"Об утверждении Административного регламента Федеральной службы по надзору в сфере связи по исполнению государственной функции по выдаче разрешений на применение франкировальных машин"
Редакция от 29.09.2006 — Документ не действует

Зарегистрировано в Минюсте РФ 31 октября 2006 г. N 8425


МИНИСТЕРСТВО ИНФОРМАЦИОННЫХ ТЕХНОЛОГИЙ И СВЯЗИ РОССИЙСКОЙ ФЕДЕРАЦИИ

ПРИКАЗ
от 29 сентября 2006 г. N 127

ОБ УТВЕРЖДЕНИИ АДМИНИСТРАТИВНОГО РЕГЛАМЕНТА ФЕДЕРАЛЬНОЙ СЛУЖБЫ ПО НАДЗОРУ В СФЕРЕ СВЯЗИ ПО ИСПОЛНЕНИЮ ГОСУДАРСТВЕННОЙ ФУНКЦИИ ПО ВЫДАЧЕ РАЗРЕШЕНИЙ НА ПРИМЕНЕНИЕ ФРАНКИРОВАЛЬНЫХ МАШИН

В соответствии с пунктом 7 Порядка разработки и утверждения административных регламентов исполнения государственной функции и административных регламентов предоставления государственных услуг, утвержденного Постановлением Правительства Российской Федерации от 11 ноября 2005 г. N 679 (Собрание законодательства Российской Федерации, 2005, N 47, ст. 4933), приказываю:

1. Утвердить прилагаемый Административный регламент Федеральной службы по надзору в сфере связи по исполнению государственной функции по выдаче разрешений на применение франкировальных машин.

2. Направить настоящий Приказ на государственную регистрацию в Министерство юстиции Российской Федерации.

3. Контроль за исполнением настоящего Приказа возложить на заместителя Министра информационных технологий и связи Российской Федерации Б.Д. Антонюка.

Министр
Л.Д.РЕЙМАН

УТВЕРЖДЕН
Приказом
Министерства информационных
технологий и связи
Российской Федерации
от 29 сентября 2006 г. N 127

АДМИНИСТРАТИВНЫЙ РЕГЛАМЕНТ ФЕДЕРАЛЬНОЙ СЛУЖБЫ ПО НАДЗОРУ В СФЕРЕ СВЯЗИ ПО ИСПОЛНЕНИЮ ГОСУДАРСТВЕННОЙ ФУНКЦИИ ПО ВЫДАЧЕ РАЗРЕШЕНИЙ НА ПРИМЕНЕНИЕ ФРАНКИРОВАЛЬНЫХ МАШИН

I. Общие положения

1. Административный регламент Федеральной службы по надзору в сфере связи по исполнению государственной функции по выдаче разрешений на применение франкировальных машин (далее - Регламент) определяет сроки и последовательность действий (административных процедур) Федеральной службы по надзору в сфере связи (далее - Россвязьнадзор), территориальных органов Россвязьнадзора и их структурных подразделений, порядок взаимодействия между структурными подразделениями и между должностными лицами Россвязьнадзора и территориальных органов Россвязьнадзора, а также порядок взаимодействия Россвязьнадзора, территориальных органов Россвязьнадзора и их структурных подразделений с юридическими лицами и индивидуальными предпринимателями при осуществлении полномочий по выдаче разрешений на применение франкировальных машин.

2. Исполнение государственной функции по выдаче разрешений на применение франкировальных машин осуществляется в соответствии с:

Федеральным законом от 17 июля 1999 г. N 176-ФЗ "О почтовой связи" (Собрание законодательства Российской Федерации, 1999, N 29, ст. 3697; 2004, N 35, ст. 3607; 2005, N 1 (часть I), ст. 25);

Постановлением Правительства Российской Федерации от 30 июня 2004 г. N 318 "Об утверждении Положения о Федеральной службе по надзору в сфере связи" (Собрание законодательства Российской Федерации, 2004, N 27, ст. 2781; 2005, N 18, ст. 1682);

Приказом Министерства информационных технологий и связи Российской Федерации от 18 марта 2005 г. N 29 "Об организации выдачи разрешений на применение франкировальных машин" (не подлежит государственной регистрации, письмо Министерства юстиции Российской Федерации от 6 мая 2005 г. N 07/4258-10Д).

3. Исполнение государственной функции по выдаче разрешений на применение франкировальных машин (далее - разрешения) включает в себя:

предоставление государственной услуги, связанной с исполнением государственной функции по выдаче разрешений;

осуществление государственной функции по выдаче разрешений.

3.1. Предоставление государственной услуги, связанной с исполнением государственной функции по выдаче разрешений, осуществляется по заявлению (обращению) лица и включает в себя следующие административные процедуры:

оформление разрешения;

переоформление разрешения;

аннулирование разрешения;

предоставление информации из базы данных выданных разрешений.

3.2. Осуществление государственной функции по выдаче разрешений включает в себя следующие административные процедуры:

учет выданных разрешений;

формирование и ведение базы данных выданных разрешений.

4. Исполнение государственной функции по выдаче разрешений осуществляется Россвязьнадзором и территориальными органами Россвязьнадзора.

II. Требования к порядку предоставления государственной услуги

5. Порядок информирования о предоставлении государственной услуги, связанной с исполнением государственной функции по выдаче разрешений

5.1. Место нахождения Федеральной службы по надзору в сфере связи: Москва, ул. Тверская, д. 7.

Почтовый адрес для направления обращений: Федеральная служба по надзору в сфере связи, ул. Тверская, д. 7, Москва, 125375.

Электронный адрес для направления обращений: nadzor@minsvyaz.ru.

Место нахождения экспедиции Федеральной службы по надзору в сфере связи: Москва, ул. Тверская, д. 7, 3-й подъезд.

Часы работы экспедиции:

Понедельник - четверг 10.00 - 18.00
Пятница 10.00 - 17.00
Суббота Выходной день
Воскресенье Выходной день.

Информация о месте нахождения территориальных органов Россвязьнадзора, территории оказания государственной услуги, почтовом и электронном адресах для направления заявок, документов и обращений, контактных телефонах размещена на официальном сайте Россвязьнадзора информационного портала Министерства информационных технологий и связи Российской Федерации по электронному адресу www.mininform.ru (далее - Сайт).

Часы работы и приема посетителей в Россвязьнадзоре и территориальных органах Россвязьнадзора (время местное):

Понедельник - четверг 9.00 - 18.00
Пятница 9.00 - 16.45
Перерыв 12.00 - 12.45
Суббота Выходной день
Воскресенье Выходной день.

5.2. Консультации по процедурам выдачи разрешений могут предоставляться:

по письменным обращениям;

по телефону;

по электронной почте.

5.2.1. При консультировании по письменным обращениям ответ на обращение направляется по почте в адрес заявителя в срок, не превышающий 30 дней со дня поступления письменного обращения.

5.2.2. При осуществлении консультирования по телефону должностные лица Россвязьнадзора обязаны, в соответствии с поступившим запросом, предоставить информацию по следующим вопросам:

сведения о нормативных актах по вопросам выдачи разрешений;

сведения об обязательных требованиях, установленных для франкировальных машин;

место размещения на Сайте блок-схем последовательности действий при исполнении государственной функции по выдаче разрешений на применение франкировальных машин (приложение N 1) и информации о выданных разрешениях.

Иные вопросы рассматриваются в Россвязьнадзоре только на основании соответствующего письменного обращения.

При осуществлении консультирования по телефону должностные лица территориального органа Россвязьнадзора обязаны, в соответствии с поступившим запросом, предоставить информацию по следующим вопросам:

информацию о входящих номерах, под которыми зарегистрированы в системе делопроизводства территориального органа Россвязьнадзора заявления о выдаче разрешений;

сведения о нормативных актах по вопросам выдачи разрешений;

сведения об обязательных требованиях, установленных для франкировальных машин;

информацию о дате и времени проведения проверки соответствия франкировальной машины обязательным требованиям для выдачи разрешения;

информацию по конкретному заявлению о выдаче разрешения о результатах проверки соответствия франкировальной машины обязательным требованиям;

место размещения на Сайте блок-схем последовательности действий при исполнении государственной функции по выдаче разрешений на применение франкировальных машин (приложение N 1) и информации о выданных разрешениях.

Иные вопросы рассматриваются территориальным органом Россвязьнадзора только на основании соответствующего письменного обращения.

5.2.3. При консультировании по электронной почте ответ на обращение по вопросам, перечисленным в п. 5.2.2, направляется на электронный адрес заявителя в срок, не превышающий 2 рабочих дней со дня поступления обращения.

В иных случаях ответ на обращение направляется по электронной почте на электронный адрес заявителя в срок, не превышающий 30 дней со дня поступления обращения.

6. Оформление разрешения

6.1. Государственная услуга предоставляется на основании письменного заявления в территориальный орган Россвязьнадзора (приложение N 2). Письменное заявление может быть направлено по почте или доставлено заявителем непосредственно в территориальный орган Россвязьнадзора, на территории осуществления полномочий которого предполагается использовать франкировальную машину.

6.2. Получателями разрешений являются юридические лица или индивидуальные предприниматели (далее - владельцы франкировальных машин), желающие использовать франкировальные машины при оформлении письменной корреспонденции в соответствии с обязательными требованиями в области почтовой связи.

6.3. В заявлении указываются:

полное наименование юридического лица (ФИО индивидуального предпринимателя), его место нахождения (место жительства) и почтовый адрес, ИНН (для филиала дополнительно КПП), телефон, факс;

наименование модели (серии) франкировальной машины;

место установки франкировальной машины;

возможные дата и время проведения проверки.

6.4. К заявлению прилагаются:

копия технического паспорта франкировальной машины;

нотариально заверенная копия свидетельства о постановке владельца франкировальной машины на учет в налоговом органе;

копия договора с организацией федеральной почтовой связи (филиалом организации) на оказание услуг почтовой связи с использованием франкировальной машины (для организаций федеральной почтовой связи (их филиалов), являющихся владельцами франкировальных машин, предоставление договора на оказание услуг почтовой связи не требуется);

копии имеющихся сертификатов соответствия;

оттиск клише франкировальной машины.

6.5. На основании заявления территориальным органом Россвязьнадзора проводится проверка соответствия франкировальной машины обязательным требованиям (далее - проверка).

6.6. Результатом предоставления государственной услуги, связанной с исполнением государственной функции по выдаче разрешений, является выдача соответствующего разрешения (приложение N 3).

Разрешение выдается на основании положительного акта проверки.

6.7. Выдача разрешения осуществляется территориальным органом Россвязьнадзора в срок, не превышающий 30 дней со дня регистрации заявления о выдаче разрешения.

Извещение о выдаче разрешения направляется или вручается заявителю в письменной форме в течение 5 дней со дня оформления разрешения.

6.8. Срок действия разрешений не ограничивается.

6.9. При утрате разрешения или его порче по заявлению владельца франкировальной машины (приложение N 4) оформляется новое разрешение.

В заявлении указываются:

полное наименование юридического лица (ФИО индивидуального предпринимателя), его место нахождения (место жительства) и почтовый адрес, ИНН (для филиала дополнительно КПП), телефон, факс;

наименование модели (серии) франкировальной машины;

место установки франкировальной машины;

номер и дата выдачи утраченного (испорченного) разрешения;

причина оформления нового разрешения.

К заявлению прилагаются документы, указанные в п. 6.4 настоящего Регламента. Дополнительно к заявлению прилагается испорченное разрешение.

В этом случае проверка не проводится. Срок выдачи нового разрешения - 15 дней со дня регистрации заявления.

6.10. За рассмотрение заявлений и выдачу разрешений плата с заявителей не взимается.

7. Переоформление разрешения

7.1. Государственная услуга предоставляется на основании письменного заявления в территориальный орган Россвязьнадзора (приложение N 5). Письменное заявление может быть направлено по почте или доставлено заявителем непосредственно в территориальный орган Россвязьнадзора, на территории осуществления полномочий которого используется или предполагается использовать (при перемещении из одного субъекта Российской Федерации в другой субъект Российской Федерации) франкировальную машину.

7.2. Получателями переоформленных разрешений являются:

новый владелец ранее зарегистрированной франкировальной машины;

владелец зарегистрированной франкировальной машины при ее перемещении для использования из одного субъекта Российской Федерации в другой субъект Российской Федерации;

владелец зарегистрированной франкировальной машины при изменении организационно-правовой формы или наименования владельца;

владелец зарегистрированной франкировальной машины при замене клише календарного почтового штемпеля или клише государственного знака почтовой оплаты (далее - ГЗПО).

7.3. В заявлении указываются:

полное наименование юридического лица (ФИО индивидуального предпринимателя), его место нахождения (место жительства) и почтовый адрес, ИНН (для филиала дополнительно КПП);

наименование модели (серии) франкировальной машины;

место установки франкировальной машины;

причина переоформления разрешения;

номер и дата выдачи переоформляемого разрешения;

возможные дата и время проведения проверки.

К заявлению прилагаются документы, указанные в п. 6.4 настоящего Регламента. Дополнительно к заявлению прилагается переоформляемое разрешение.

7.4. На основании заявления территориальным органом Россвязьнадзора проводится проверка.

7.5. Результатом предоставления государственной услуги, связанной с исполнением государственной функции по выдаче разрешений, является выдача переоформленного разрешения (приложение N 3).

Разрешение выдается на основании положительного акта проверки.

7.6. Выдача разрешения осуществляется территориальным органом Россвязьнадзора в срок, не превышающий 30 дней со дня регистрации заявления о переоформлении разрешения.

Извещение о выдаче разрешения направляется или вручается заявителю в письменной форме в течение 5 дней со дня оформления разрешения.

7.7. Срок действия разрешений не ограничивается.

7.8. За рассмотрение заявлений и переоформление разрешений плата с заявителей не взимается.

8. Аннулирование разрешения

8.1. Государственная услуга предоставляется на основании письменного заявления владельца франкировальной машины в территориальный орган Россвязьнадзора (приложение N 6). Письменное заявление может быть направлено по почте или доставлено заявителем непосредственно в территориальный орган Россвязьнадзора, которым было выдано аннулируемое разрешение.

8.2. Получателями государственной услуги являются владельцы франкировальных машин, имеющие разрешения и желающие прекратить использование франкировальных машин.

8.3. В заявлении указываются:

полное наименование юридического лица (ФИО индивидуального предпринимателя), его место нахождения (место жительства) и почтовый адрес, ИНН (для филиала дополнительно КПП), телефон, факс;

наименование модели (серии) франкировальной машины;

место установки франкировальной машины;

номер и дата выдачи аннулируемого разрешения.

К заявлению прилагается аннулируемое разрешение.

8.4. Результатом предоставления государственной услуги, связанной с исполнением государственной функции по выдаче разрешений, является аннулирование разрешения.

8.5. Аннулирование разрешения осуществляется территориальным органом Россвязьнадзора в срок, не превышающий 10 дней со дня регистрации заявления об аннулировании разрешения.

Извещение об аннулировании разрешения направляется или вручается заявителю в письменной форме в течение 5 дней со дня аннулирования разрешения.

8.6. За рассмотрение заявлений и аннулирование разрешений плата с заявителей не взимается.

III. Административные процедуры при исполнении государственной функции по выдаче разрешения на применение франкировальной машины

9. Оформление разрешения

9.1. Регистрация полученного заявления и присвоение ему входящего номера осуществляется должностными лицами структурного подразделения территориального органа Россвязьнадзора, ответственного за делопроизводство, не позднее дня, следующего за днем получения.

9.2. В течение рабочего дня зарегистрированное заявление направляется в структурное подразделение территориального органа Россвязьнадзора, ответственное за осуществление государственного надзора и контроля в области почтовой связи, для планирования и проведения проверки.

9.3. Начальник (замещающее его должностное лицо) структурного подразделения территориального органа Россвязьнадзора, ответственного за осуществление государственного надзора и контроля в области почтовой связи, в течение трех рабочих дней со дня получения зарегистрированного заявления вносит в письменной форме руководителю территориального органа Россвязьнадзора (замещающему его должностному лицу) предложения о сроках проведения проверки и составе ее участников с приложением проекта приказа территориального органа Россвязьнадзора (приложение N 7). Проект приказа предварительно согласовывается с заинтересованными структурными подразделениями территориального органа Россвязьнадзора.

9.4. О проведении проверки заявитель уведомляется не позднее чем за 5 дней до ее начала (приложение N 8).

Копия приказа о проведении проверки, заверенная гербовой печатью территориального органа Россвязьнадзора, предъявляется должностным лицом территориального органа Россвязьнадзора, проводящим проверку, руководителю или замещающему его должностному лицу юридического лица или индивидуальному предпринимателю одновременно с удостоверением государственного инспектора Российской Федерации по надзору за связью и информатизацией.

Должностными лицами территориального органа Россвязьнадзора, проводящими проверку, проверяется соответствие франкировальной машины обязательным требованиям путем визуального осмотра франкировальной машины, осуществления контрольного оттиска клише франкировальной машины, снятия показания авансового счетчика франкировальной машины, изучения технического паспорта франкировальной машины и имеющихся у владельца сертификатов соответствия франкировальной машины, предусмотренных законодательством Российской Федерации. Оттиск клише франкировальной машины используется при оформлении разрешения.

По результатам проверки должностными лицами территориального органа Россвязьнадзора, проводящими проверку, составляется акт проверки (приложения N 9 и N 10) в 2-х экземплярах, в котором делается один из двух возможных выводов:

в положительном акте проверки - франкировальная машина соответствует обязательным требованиям в области почтовой связи;

в отрицательном акте проверки - франкировальная машина не соответствует обязательным требованиям в области почтовой связи.

Акт проверки утверждается руководителем территориального органа Россвязьнадзора или замещающим его должностным лицом. В течение трех рабочих дней после окончания проверки один экземпляр акта проверки с копиями приложений вручается руководителю юридического лица или его заместителю, индивидуальному предпринимателю или их представителям под расписку либо направляется почтовым отправлением с уведомлением о вручении, которое приобщается к экземпляру акта, остающемуся в территориальном органе Россвязьнадзора.

9.5. После утверждения положительного акта проверки должностные лица структурного подразделения территориального органа Россвязьнадзора, ответственного за осуществление государственного надзора и контроля в области почтовой связи, производят оформление разрешения.

9.6. Разрешение подписывается руководителем территориального органа Россвязьнадзора (замещающим его должностным лицом) и заверяется гербовой печатью территориального органа Россвязьнадзора.

9.7. В разрешении указываются:

1) наименование территориального органа Россвязьнадзора, выдавшего разрешение;

2) серия и номер разрешения;

3) полное наименование (ФИО) владельца франкировальной машины и его ИНН;

4) наименование субъекта Российской Федерации, на территории которого применяется франкировальная машина;

5) наименование модели (серии) франкировальной машины;

6) наименование изготовителя (производителя) франкировальной машины;

7) дата выпуска франкировальной машины;

8) регистрационный номер ГЗПО франкировальной машины;

9) дата и место выдачи разрешения.

9.8. К оборотной стороне разрешения прикрепляется контрольный оттиск клише франкировальной машины.

9.9. После подписания разрешения и заверения его гербовой печатью должностные лица структурного подразделения территориального органа Россвязьнадзора, ответственного за осуществление государственного надзора и контроля в области почтовой связи, изготавливают копию разрешения, которая хранится в системе делопроизводства структурного подразделения территориального органа Россвязьнадзора, ответственного за осуществление государственного надзора и контроля в области почтовой связи.

Разрешение ламинируется.

9.10. Должностное лицо структурного подразделения территориального органа Россвязьнадзора, ответственного за осуществление государственного надзора и контроля в области почтовой связи, подготавливает извещение владельцу франкировальной машины об оформлении разрешения, времени и месте его выдачи.

9.11. Отправка извещения осуществляется должностными лицами структурного подразделения территориального органа Россвязьнадзора, ответственного за делопроизводство. Отправка извещения осуществляется в течение 5 дней со дня оформления разрешения почтовым отправлением с уведомлением о вручении, которое приобщается к экземпляру акта, остающемуся в территориальном органе Россвязьнадзора.

9.12. Выдача разрешения осуществляется должностными лицами структурного подразделения территориального органа Россвязьнадзора, ответственного за осуществление государственного надзора и контроля в области почтовой связи.

Выдача разрешения может осуществляться:

путем направления по почте;

путем вручения владельцу франкировальной машины или его представителю.

9.13. Направление разрешения по почте осуществляется на основании письменной просьбы заявителя с указанием почтового адреса, на который должно быть направлено разрешение. Разрешение направляется вместе с сопроводительным письмом, которое готовится должностными лицами структурного подразделения территориального органа Россвязьнадзора, ответственного за осуществление государственного надзора и контроля в области почтовой связи.

Отправка разрешения осуществляется в течение 5 дней со дня регистрации письменной просьбы заявителя должностными лицами структурного подразделения территориального органа Россвязьнадзора, ответственного за делопроизводство. Отправка разрешения осуществляется почтовым отправлением с уведомлением о вручении, которое приобщается к экземпляру акта, остающемуся в территориальном органе Россвязьнадзора.

9.14. Вручение разрешения владельцу франкировальной машины или его представителю осуществляется должностными лицами структурного подразделения территориального органа Россвязьнадзора, ответственного за осуществление государственного надзора и контроля в области почтовой связи, при наличии документов, подтверждающих полномочия владельца франкировальной машины или его представителя.

При вручении разрешения оформляется расписка о получении.

Вручение разрешения осуществляется в соответствии с графиком приема посетителей в территориальном органе Россвязьнадзора, установленным пунктом 5.1 настоящего Регламента.

9.15. Поступившее от владельца франкировальной машины в территориальный орган Россвязьнадзора испорченное разрешение приводится в негодность должностным лицом структурного подразделения территориального органа Россвязьнадзора, ответственного за осуществление государственного надзора и контроля в области почтовой связи, путем его перфорации. Перфорированное разрешение хранится в системе делопроизводства структурного подразделения территориального органа Россвязьнадзора, ответственного за осуществление государственного надзора и контроля в области почтовой связи.

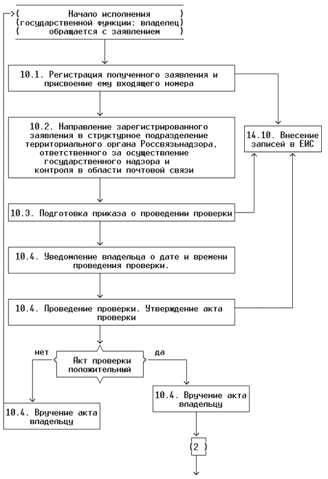
10. Переоформление разрешения

10.1. Регистрация полученного заявления и присвоение ему входящего номера осуществляется должностными лицами структурного подразделения территориального органа Россвязьнадзора, ответственного за делопроизводство, не позднее дня, следующего за днем получения.

10.2. В течение рабочего дня зарегистрированное заявление направляется в структурное подразделение территориального органа Россвязьнадзора, ответственное за осуществление государственного надзора и контроля в области почтовой связи, для планирования и проведения проверки.

10.3. Начальник (замещающее его должностное лицо) структурного подразделения территориального органа Россвязьнадзора, ответственного за осуществление государственного надзора и контроля в области почтовой связи, в течение трех рабочих дней со дня получения зарегистрированного заявления вносит в письменной форме руководителю территориального органа Россвязьнадзора (замещающему его должностному лицу) предложения о сроках проведения проверки и составе ее участников с приложением проекта приказа территориального органа Россвязьнадзора (приложение N 7). Проект приказа предварительно согласовывается с заинтересованными структурными подразделениями территориального органа Россвязьнадзора.

10.4. О проведении проверки заявитель уведомляется не позднее чем за 5 дней до ее начала (приложение N 8).

Копия приказа о проведении проверки, заверенная гербовой печатью территориального органа Россвязьнадзора, предъявляется должностным лицом территориального органа Россвязьнадзора, проводящим проверку, руководителю или замещающему его должностному лицу юридического лица или индивидуальному предпринимателю одновременно с удостоверением государственного инспектора Российской Федерации по надзору за связью и информатизацией.

Должностными лицами территориального органа Россвязьнадзора, проводящими проверку, проверяется соответствие франкировальной машины обязательным требованиям путем визуального осмотра франкировальной машины, осуществления контрольного оттиска клише франкировальной машины, снятия показания авансового счетчика франкировальной машины, изучения технического паспорта франкировальной машины и имеющихся у владельца сертификатов соответствия франкировальной машины, предусмотренных законодательством Российской Федерации. Оттиск клише франкировальной машины используется при оформлении разрешения.

По результатам проверки должностными лицами территориального органа Россвязьнадзора, проводящими проверку, составляется акт проверки (приложения N 9 и N 10) в 2-х экземплярах, в котором делается один из двух возможных выводов:

в положительном акте проверки - франкировальная машина соответствует обязательным требованиям в области почтовой связи;

в отрицательном акте проверки - франкировальная машина не соответствует обязательным требованиям в области почтовой связи.

Акт проверки утверждается руководителем территориального органа Россвязьнадзора или замещающим его должностным лицом. В течение трех рабочих дней после окончания проверки один экземпляр акта проверки с копиями приложений вручается руководителю юридического лица или его заместителю, индивидуальному предпринимателю или их представителям под расписку либо направляется почтовым отправлением с уведомлением о вручении, которое приобщается к экземпляру акта, остающемуся в территориальном органе Россвязьнадзора.

10.5. После утверждения положительного акта должностные лица структурного подразделения территориального органа Россвязьнадзора, ответственного за осуществление государственного надзора и контроля в области почтовой связи, производят переоформление разрешения.

10.6. Разрешение подписывается руководителем территориального органа Россвязьнадзора (замещающим его должностным лицом) и заверяется гербовой печатью территориального органа Россвязьнадзора.

10.7. В разрешении указываются данные, приведенные в п. 9.7 настоящего Регламента.

10.8. К оборотной стороне разрешения прикрепляется контрольный оттиск клише франкировальной машины.

10.9. После подписания разрешения и заверения его гербовой печатью должностные лица структурного подразделения территориального органа Россвязьнадзора, ответственного за осуществление государственного надзора и контроля в области почтовой связи, изготавливают копию разрешения, которая хранится в системе делопроизводства структурного подразделения территориального органа Россвязьнадзора, ответственного за осуществление государственного надзора и контроля в области почтовой связи.

Разрешение ламинируется.

10.10. Должностное лицо структурного подразделения территориального органа Россвязьнадзора, ответственного за осуществление государственного надзора и контроля в области почтовой связи, подготавливает извещение владельцу франкировальной машины о переоформлении разрешения, времени и месте его выдачи.

10.11. Отправка извещения осуществляется должностными лицами структурного подразделения территориального органа Россвязьнадзора, ответственного за делопроизводство. Отправка извещения осуществляется в течение 5 дней со дня оформления разрешения почтовым отправлением с уведомлением о вручении, которое приобщается к экземпляру акта, остающемуся в территориальном органе Россвязьнадзора.

10.12. Выдача разрешения осуществляется должностными лицами структурного подразделения территориального органа Россвязьнадзора, ответственного за осуществление государственного надзора и контроля в области почтовой связи.

Выдача разрешения может осуществляться:

путем направления по почте;

путем вручения владельцу франкировальной машины или его представителю.

10.13. Направление разрешения по почте осуществляется на основании письменной просьбы заявителя с указанием почтового адреса, на который должно быть направлено разрешение. Разрешение направляется в течение 5 дней со дня регистрации письменной просьбы вместе с сопроводительным письмом, которое готовится должностными лицами структурного подразделения территориального органа Россвязьнадзора, ответственного за осуществление государственного надзора и контроля в области почтовой связи.

Отправка разрешения осуществляется должностными лицами структурного подразделения территориального органа Россвязьнадзора, ответственного за делопроизводство. Отправка разрешения осуществляется почтовым отправлением с уведомлением о вручении, которое приобщается к экземпляру акта, остающемуся в территориальном органе Россвязьнадзора.

10.14. Вручение разрешения владельцу франкировальной машины или его представителю осуществляется должностными лицами структурного подразделения территориального органа Россвязьнадзора, ответственного за осуществление государственного надзора и контроля в области почтовой связи, при наличии документов, подтверждающих полномочия владельца франкировальной машины или его представителя.

При вручении разрешения оформляется расписка о получении.

Вручение разрешения осуществляется в соответствии с графиком приема посетителей в территориальном органе Россвязьнадзора, установленным пунктом 5.1 настоящего Регламента.

10.15. Поступившее вместе с заявлением в территориальный орган Россвязьнадзора переоформляемое разрешение приводится в негодность должностным лицом структурного подразделения территориального органа Россвязьнадзора, ответственного за осуществление государственного надзора и контроля в области почтовой связи, путем его перфорации. Перфорированное разрешение хранится в системе делопроизводства структурного подразделения территориального органа Россвязьнадзора, ответственного за осуществление государственного надзора и контроля в области почтовой связи.

11. Аннулирование разрешения

11.1. Регистрация полученного заявления и присвоение ему входящего номера осуществляется должностными лицами структурного подразделения территориального органа Россвязьнадзора, ответственного за делопроизводство, не позднее дня, следующего за днем получения.

11.2. В течение рабочего дня зарегистрированное заявление направляется в структурное подразделение территориального органа Россвязьнадзора, ответственное за осуществление государственного надзора и контроля в области почтовой связи, для рассмотрения и аннулирования разрешения.

11.3. Должностное лицо структурного подразделения территориального органа Россвязьнадзора, ответственного за осуществление государственного надзора и контроля в области почтовой связи, подготавливает извещение владельцу франкировальной машины об аннулировании разрешения.

11.4. Отправка извещения осуществляется должностными лицами структурного подразделения территориального органа Россвязьнадзора, ответственного за делопроизводство. Отправка извещения осуществляется в течение 5 дней со дня аннулирования разрешения почтовым отправлением с уведомлением о вручении, которое хранится в системе делопроизводства структурного подразделения территориального органа Россвязьнадзора, ответственного за осуществление государственного надзора и контроля в области почтовой связи.

11.5. Поступившее от владельца франкировальной машины в территориальный орган Россвязьнадзора вместе с заявлением аннулируемое разрешение приводится в негодность должностным лицом структурного подразделения территориального органа Россвязьнадзора, ответственного за осуществление государственного надзора и контроля в области почтовой связи, путем его перфорации. Аннулированное разрешение хранится в системе делопроизводства структурного подразделения территориального органа Россвязьнадзора, ответственного за осуществление государственного надзора и контроля в области почтовой связи.

12. Предоставление информации из базы данных выданных разрешений

12.1. Россвязьнадзор и территориальные органы Россвязьнадзора рассматривают запросы о получении информации из базы данных выданных разрешений. Запросы направляются по адресам, указанным в пункте 5.1 настоящего Регламента.

12.2. Информация из базы данных выданных разрешений может быть предоставлена Россвязьнадзором или территориальным органом Россвязьнадзора по конкретному разрешению или по конкретному владельцу франкировальной машины.

12.3. Информация по конкретному разрешению предоставляется при наличии серии и номера разрешения в следующем объеме:

наименование территориального органа Россвязьнадзора, выдавшего разрешение;

полное наименование (ФИО) владельца франкировальной машины;

наименование субъекта Российской Федерации, на территории которого применяется франкировальная машина;

наименование модели (серии) франкировальной машины;

наименование изготовителя (производителя) франкировальной машины;

дата выпуска франкировальной машины;

регистрационный номер ГЗПО франкировальной машины;

дата и место выдачи разрешения.

В зависимости от формы обращения информация по конкретной франкировальной машине может быть предоставлена:

по телефону;

по электронной почте;

в письменной форме;

в электронном виде с использованием средств Сайта.

В случае предоставления информации из базы данных выданных разрешений по телефону, с целью увеличения числа обрабатываемых запросов, объем предоставляемой информации в процессе одного телефонного соединения ограничивается запросами о получении информации по 5 разрешениям различных владельцев франкировальных машин, либо по наличию разрешений у одного владельца франкировальных машин, но не более чем по 10 разрешениям.

В случае предоставления информации из базы данных выданных разрешений по электронной почте ответ на обращение направляется по электронной почте на электронный адрес заявителя в срок, не превышающий 5 дней со дня поступления обращения.

В случае предоставления информации из базы данных выданных разрешений в письменной форме ответ на обращение направляется почтой в адрес заявителя в срок, не превышающий 15 дней со дня поступления письменного обращения.

В случае предоставления информации из базы данных выданных разрешений в электронном виде с использованием средств Сайта ответ на сформированный запрос направляется немедленно после его обработки.

12.4. Информация по конкретному владельцу франкировальной машины может быть предоставлена:

по телефону;

по электронной почте;

в письменной форме;

в электронном виде с использованием средств Сайта.

Информация по конкретному владельцу франкировальной машины предоставляется в объеме, указанном в пункте 12.3, при наличии в обращении одного из следующих параметров либо их совокупности:

наименование владельца франкировальной машины;

ИНН (КПП) владельца франкировальной машины;

регистрационный номер ГЗПО франкировальной машины;

место нахождения владельца франкировальной машины.

При формировании запроса с использованием средств Сайта информация вводится в соответствующие поля бланка запроса.

12.5. Государственная услуга, связанная с исполнением государственной функции по выдаче разрешений, по предоставлению информации из базы данных выданных разрешений не оказываются в случае:

невозможности по указанным параметрам точно идентифицировать франкировальную машину (владельца франкировальной машины);

отсутствия в запросе параметра (параметров), указанного в пункте 12.4 настоящего Регламента.

12.6. За рассмотрение обращения о получении информации из базы данных выданных разрешений плата не взимается.

13. Учет выданных разрешений

13.1. Изготовление бланков разрешений осуществляется Россвязьнадзором на основе письменных заявок территориальных органов Россвязьнадзора.

13.2. Формирование заявки на изготовление бланков разрешений осуществляется должностным лицом структурного подразделения территориального органа Россвязьнадзора, ответственного за осуществление государственного надзора и контроля в области почтовой связи. Количество имеющихся в территориальном органе Россвязьнадзора бланков разрешений должно быть не менее количества бланков, расходуемого за квартал.

Заявка оформляется на бланке территориального органа Россвязьнадзора, подписывается руководителем территориального органа Россвязьнадзора или замещающим его должностным лицом и направляется в Россвязьнадзор.

13.3. Регистрация полученной заявки и присвоение ей входящего номера осуществляется должностными лицами структурного подразделения Россвязьнадзора, ответственного за делопроизводство, не позднее дня, следующего за днем получения.

В течение рабочего дня зарегистрированная заявка направляется в структурное подразделение Россвязьнадзора, ответственное за материально-техническое обеспечение, для организации изготовления заказанных бланков.

13.4. После изготовления бланков разрешений должностное лицо структурного подразделения Россвязьнадзора, ответственного за материально-техническое обеспечение Россвязьнадзора, подготавливает сопроводительное письмо в территориальный орган Россвязьнадзора с указанием количества изготовленных бланков, их серии и номеров.

13.5. Отправка изготовленных бланков вместе с сопроводительным письмом осуществляется должностными лицами структурного подразделения Россвязьнадзора, ответственного за делопроизводство. Отправка бланков осуществляется с использованием средств фельдъегерской почтовой связи.

13.6. Учет количества изготовленных и отправленных в территориальные органы Россвязьнадзора бланков разрешений ведет должностное лицо структурного подразделения Россвязьнадзора, ответственного за материально-техническое обеспечение Россвязьнадзора.

13.7. В Россвязьнадзоре ведется учет изготовленных бланков разрешений по территориальным органам Россвязьнадзора. В территориальных органах Россвязьнадзора ведется учет полученных бланков разрешений и выданных разрешений по сериям и номерам бланков разрешений.

13.8. Серия бланков разрешений закрепляется Россвязьнадзором за каждым территориальным органом Россвязьнадзора, согласно приложению N 11.

13.9. Регистрация полученного сопроводительного письма с бланками разрешений и присвоение ему входящего номера осуществляется должностными лицами структурного подразделения территориального органа Россвязьнадзора, ответственного за делопроизводство, не позднее дня, следующего за днем получения.

13.10. В течение рабочего дня зарегистрированное сопроводительное письмо с бланками разрешений направляется в структурное подразделение территориального органа Россвязьнадзора, ответственное за осуществление государственного надзора и контроля в области почтовой связи, для проверки поступивших бланков по количеству и качеству.

13.11. Для учета бланков и выданных разрешений в системе документооборота территориальных органов Россвязьнадзора используется книга учета выданных разрешений на применение франкировальных машин (далее - книга учета разрешений). Учет выданных разрешений по каждому субъекту Российской Федерации ведется отдельно. Все поступившие бланки заносятся в порядке возрастания их номеров в книгу учета разрешений.

13.12. Книга учета разрешений содержит следующие поля:

1) серия и номер разрешения;

2) дата выдачи;

3) модель (серия) франкировальной машины;

4) регистрационный номер ГЗПО франкировальной машины;

5) наименование (ФИО) владельца франкировальной машины;

6) ФИО лица, получившего разрешение на руки;

7) номер и дата доверенности (иного документа) лица, получившего разрешение на руки;

8) роспись в получении.

13.13. Испорченные при оформлении бланки разрешений подлежат уничтожению по акту. В книге учета разрешений в графу "Роспись в получении" вносится запись "Испорчено при выписке" и указывается дата и номер акта об уничтожении бланка.

14. Формирование и ведение базы данных выданных разрешений

14.1. База данных выданных разрешений ведется в виде дел и в электронном виде. Дело на каждую франкировальную машину ведется отдельно. При эксплуатации одним владельцем нескольких франкировальных машин допускается ведение одного дела по их владельцу.

14.2. При поступлении заявления о выдаче разрешения в структурном подразделении территориального органа Россвязьнадзора, ответственном за осуществление государственного надзора и контроля в области почтовой связи, формируется дело на данную франкировальную машину. В указанное дело подшиваются в хронологическом порядке все документы, связанные с выдачей разрешения или использованием франкировальной машины.

14.3. В деле должны находиться:

1) заявление, включая приложенные к нему владельцем франкировальной машины документы;

2) копия разрешения;

3) акты проверок, в том числе по соблюдению порядка использования данной франкировальной машины;

4) иные документы, связанные с выдачей разрешения или использованием данной франкировальной машины.

14.4. После оформления разрешения должностное лицо структурного подразделения территориального органа Россвязьнадзора, ответственного за осуществление государственного надзора и контроля в области почтовой связи, в течение рабочего дня заполняет книгу учета разрешений.

В случае направления разрешения по почте на основании письменной просьбы владельца франкировальной машины в графе "N и дата доверенности" делается запись о поступившей просьбе "письмо от ______ N ___, вх. N ___", в графе "роспись в получении" указываются реквизиты исходящего письма с разрешением "зак. письмо N ___ от ______".

При вручении разрешения владельцу франкировальной машины или его представителю должностное лицо структурного подразделения территориального органа Россвязьнадзора, ответственного за осуществление государственного надзора и контроля в области почтовой связи, проверяет полномочия указанных лиц, вносит в книгу учета разрешений необходимые записи в соответствующие графы, получает роспись уполномоченного лица и вручает разрешение. Доверенность на получение разрешения подшивается в дело на франкировальную машину.

14.5. После выдачи разрешения взамен испорченного должностное лицо структурного подразделения территориального органа Россвязьнадзора, ответственного за осуществление государственного надзора и контроля в области почтовой связи, в течение рабочего дня в книге учета разрешений делает отметку о приведении в негодность испорченного разрешения с указанием номера и даты выдачи нового разрешения.

14.6. После переоформления разрешения должностное лицо структурного подразделения территориального органа Россвязьнадзора, ответственного за осуществление государственного надзора и контроля в области почтовой связи, в течение рабочего дня в книге учета разрешений делает отметку о приведении в негодность переоформляемого разрешения с указанием номера и даты нового разрешения.

14.7. После аннулирования разрешения должностное лицо структурного подразделения территориального органа Россвязьнадзора, ответственного за осуществление государственного надзора и контроля в области почтовой связи, в течение рабочего дня в книге учета разрешений делает отметку о приведении в негодность разрешения с указанием номера и даты извещения об аннулировании разрешения.

14.8. Электронная база данных о выданных разрешениях является подсистемой Единой информационной системы Россвязьнадзора (далее - ЕИС).

14.9. Формирование и ведение электронной базы данных осуществляется на основании следующих документов:

зарегистрированного заявления о выдаче (переоформлении, аннулировании) разрешения;

приказа территориального органа Россвязьнадзора о проведении проверки;

акта проверки;

выданного (переоформленного, аннулированного) разрешения.

14.10. Внесение информации в базу данных ЕИС осуществляется должностными лицами структурного подразделения территориального органа Россвязьнадзора, ответственного за осуществление государственного надзора и контроля в области почтовой связи. Внесение данных осуществляется на этапах получения или оформления документов, указанных в пункте 14.9 Регламента.

14.11. В электронной базе данных ЕИС заполняются следующие поля:

1) дата поступления заявления;

2) регистрационный номер заявления;

3) номер разрешения;

4) дата выдачи разрешения;

5) изготовитель (производитель) франкировальной машины;

6) модель (серия) франкировальной машины;

7) дата изготовления франкировальной машины;

8) номер ГЗПО франкировальной машины;

9) место установки франкировальной машины;

10) полное наименование владельца (ФИО индивидуального предпринимателя);

11) ИНН владельца (для филиала организации дополнительно КПП);

12) место нахождения (место жительства) владельца;

13) почтовый адрес владельца;

14) телефон владельца;

15) факс владельца;

16) адрес электронной почты владельца;

17) полное наименование организации федеральной почтовой связи (ее филиала) <*>;

18) ИНН организации федеральной почтовой связи (ее филиала, для филиала дополнительно КПП) <*>;

19) место нахождения организации федеральной почтовой связи (ее филиала) <*>;

20) почтовый адрес организации федеральной почтовой связи (ее филиала) <*>;

21) телефон организации федеральной почтовой связи (ее филиала) <*>;

22) факс организации федеральной почтовой связи (ее филиала) <*>;

23) адрес электронной почты организации федеральной почтовой связи (ее филиала) <*>;

24) номер договора на оказание услуг почтовой связи <**>;

25) дата договора на оказание услуг почтовой связи <**>;

26) полное наименование объекта федеральной почтовой связи, принимающего от владельца франкировальной машины письменную корреспонденцию;

27) почтовый адрес объекта федеральной почтовой связи, принимающего от владельца франкировальной машины письменную корреспонденцию;

28) телефон объекта федеральной почтовой связи, принимающего от владельца франкировальной машины письменную корреспонденцию;

29) факс объекта федеральной почтовой связи, принимающего от владельца франкировальной машины письменную корреспонденцию;

30) адрес электронной почты объекта федеральной почтовой связи, принимающего от владельца франкировальной машины письменную корреспонденцию;

31) номер приказа территориального органа Россвязьнадзора о проведении проверки;

32) дата приказа территориального органа Россвязьнадзора о проведении проверки;

33) номер акта проверки;

34) дата утверждения акта проверки;

35) выводы по результатам проверки;

36) статус разрешения (новое, переоформленное, аннулированное).

<*> Для организаций федеральной почтовой связи, являющихся владельцами франкировальных машин, заполнение полей 17 - 23 повторяет заполнение полей 10 - 16.

<**> Для организаций федеральной почтовой связи, являющихся владельцами франкировальных машин, заполнение полей не требуется.

15. Предоставление информации из базы данных выданных разрешений

15.1. Регистрация полученного запроса информации из базы данных выданных разрешений и присвоение ему входящего номера осуществляется должностными лицами структурного подразделения Россвязьнадзора или территориального органа Россвязьнадзора, ответственного за делопроизводство, не позднее дня, следующего за днем получения.

15.2. В течение рабочего дня зарегистрированный запрос направляется в структурное подразделение Россвязьнадзора или территориального органа Россвязьнадзора, ответственное за осуществление государственного надзора и контроля в области почтовой связи, для рассмотрения и подготовки ответа.

15.3. В зависимости от формы поступившего запроса ответ на него должен быть подготовлен должностными лицами структурного подразделения Россвязьнадзора или территориального органа Россвязьнадзора, ответственного за осуществление государственного надзора и контроля в области почтовой связи, в сроки, указанные в пункте 5 настоящего Регламента.

15.4. Регистрация ответа на письменный запрос информации из базы данных выданных разрешений и присвоение ему исходящего номера осуществляется должностными лицами структурного подразделения Россвязьнадзора или территориального органа Россвязьнадзора, ответственного за делопроизводство.

16. Решения Россвязьнадзора, принятые в рамках предоставления государственных услуг, связанных с исполнением государственной функции по выдаче разрешений, могут быть обжалованы:

Министру информационных технологий и связи Российской Федерации;

в судебном порядке.

Решения территориального органа Россвязьнадзора, принятые в рамках предоставления государственных услуг, связанных с исполнением государственной функции по выдаче разрешений, могут быть обжалованы:

Руководителю Россвязьнадзора;

Министру информационных технологий и связи Российской Федерации;

в судебном порядке.

Решения территориального органа Россвязьнадзора, принятые в рамках исполнения государственной функции по выдаче разрешений, могут быть обжалованы:

Руководителю Россвязьнадзора;

Министру информационных технологий и связи Российской Федерации;

в судебном порядке.

Приложение N 1
к Административному регламенту
Федеральной службы по надзору
в сфере связи по исполнению
государственной функции
по выдаче разрешений на применение
франкировальных машин

БЛОК-СХЕМЫ ПОСЛЕДОВАТЕЛЬНОСТИ ДЕЙСТВИЙ ПРИ ИСПОЛНЕНИИ ГОСУДАРСТВЕННОЙ ФУНКЦИИ ПО ВЫДАЧЕ РАЗРЕШЕНИЙ НА ПРИМЕНЕНИЕ ФРАНКИРОВАЛЬНЫХ МАШИН

Условные обозначения

               
(     )   Начало или завершение административной процедуры
                 
          Операция, действие, мероприятие
                 
      /\          
               
<       >   Ситуация выбора, принятие решения
      \/          
               
                 
             
  (   )     Межстраничная ссылка, переход к следующей странице блок-схемы
             

Используемые сокращения

Владелец - владелец франкировальной машины;

ЕИС - Единая информационная система Россвязьнадзора;

Разрешение - разрешение на применение франкировальной машины;

Проверка - проверка соответствия франкировальной машины обязательным требованиям.

Блок-схема
общей структуры последовательности действий при выдаче разрешения на применение франкировальной машины

Блок-схема
общей структуры последовательности действий при аннулировании разрешения на применение франкировальной машины

( Начало исполнения )      
( государственной функции: владелец )      
( обращается с заявлением )      
             
  \/        
  1. Регистрация заявления        
         
             
  \/     \/
  3. Рассмотрение заявления     2. Внесение записей в ЕИС
          /\
  \/        
  4. Аннулирование разрешения        
         
             
  \/        
  5. Извещение владельца об аннулировании разрешения        
             
  \/        
( Окончание исполнения )      
( государственной функции )      

Блок-схема
административных процедур по выдаче разрешения на применение франкировальной машины

Блок-схема
административных процедур по выдаче разрешения на применение франкировальной машины

Блок-схема
административных процедур по выдаче разрешения на применение франкировальной машины взамен утраченного (испорченного)

Блок-схема
административных процедур по переоформлению разрешения на применение франкировальной машины

Блок-схема
административных процедур по переоформлению разрешения на применение франкировальной машины

Блок-схема
административных процедур при аннулировании разрешения на применение франкировальной машины

( Начало исполнения )      
( государственной функции: владелец )      
( обращается с заявлением )      
             
  \/        
  11.1. Регистрация полученного заявления и присвоение ему входящего номера        
         
             
  \/     \/
  11.2. Направление зарегистрированного заявления в структурное подразделение территориального органа Россвязьнадзора, ответственного за осуществление государственного надзора и контроля в области почтовой связи     14.10. Внесение записей в ЕИС
          /\
  \/        
  11.4. Отправка владельцу извещения об аннулировании разрешения по почте почтовым отправлением с уведомлением о вручении        
         
             
  \/        
  11.5. Приведение в негодность аннулируемого разрешения        
             
  \/        
( Окончание исполнения )      
( государственной функции )      

Приложение N 2
к Административному регламенту
Федеральной службы по надзору
в сфере связи по исполнению
государственной функции
по выдаче разрешений на применение
франкировальных машин

                      ОБРАЗЕЦ ЗАЯВЛЕНИЯ
    О ВЫДАЧЕ РАЗРЕШЕНИЯ НА ПРИМЕНЕНИЕ ФРАНКИРОВАЛЬНОЙ МАШИНЫ
 
                          ЗАЯВЛЕНИЕ <*>
    о выдаче разрешения на применение франкировальной машины
 
1. Владелец
франкировальной
машины:             ______________________________________________
                     (наименование, организационно-правовая форма
                          юридического лица в соответствии с
                         учредительными документами или Ф.И.О.
                           индивидуального предпринимателя)
  Место нахождения: ______________________________________________
                         (место нахождения (место жительства)
                           юридического лица (индивидуального
                                  предпринимателя))
  Почтовый адрес:   ______________________________________________
                               (адрес для переписки)
ИНН (КПП): ________ Телефон: ___________ Факс: ___________________
2. Наименование модели (серии)
франкировальной машины:         __________________________________
3. Место установки
франкировальной машины:         __________________________________
4. Возможные дата и время
проведения проверки:            __________________________________
 
    Владелец франкировальной                 Подпись владельца
           машины                         франкировальной машины и
 (должность, Ф.И.О. полностью)                     печать
______________________________            ________________________
                                   МП
 

   <*>   К   заявлению   прилагаются:  копия технического паспорта
франкировальной машины; нотариально заверенная копия свидетельства
о  постановке владельца франкировальной машины на учет в налоговом
органе;  копия  договора с организацией федеральной почтовой связи
(филиала   организации)   на   оказание   услуг   почтовой связи с
использованием    франкировальной    машины;    копии    имеющихся
сертификатов соответствия, оттиск клише франкировальной машины.
 
 
 

Приложение N 3
к Административному регламенту
Федеральной службы по надзору
в сфере связи по исполнению
государственной функции
по выдаче разрешений на применение
франкировальных машин

                         ОБРАЗЕЦ БЛАНКА
         РАЗРЕШЕНИЯ НА ПРИМЕНЕНИЕ ФРАНКИРОВАЛЬНОЙ МАШИНЫ
 
                           Герб России
 
          МИНИСТЕРСТВО ИНФОРМАЦИОННЫХ ТЕХНОЛОГИЙ И СВЯЗИ
                       РОССИЙСКОЙ ФЕДЕРАЦИИ
 
           ФЕДЕРАЛЬНАЯ СЛУЖБА ПО НАДЗОРУ В СФЕРЕ СВЯЗИ
                         (РОССВЯЗЬНАДЗОР)
 
          Управление Россвязьнадзора по ________________
 
                            РАЗРЕШЕНИЕ
 
               НА ПРИМЕНЕНИЕ ФРАНКИРОВАЛЬНОЙ МАШИНЫ
                         СЕРИЯ 00 N 0000
 
выдано ___________________________________________________________
__________________________________ ИНН ___________________________
для применения на территории _____________________________________
франкировальной машины
Модель (серия) машины ____________________________________________
Изготовитель (производитель) _____________________________________
Дата выпуска _____________________________________________________
Регистрационный номер ГЗПО _______________________________________
 
Руководитель                                                 (ФИО)
 
(М.П.)
 
Дата выдачи разрешения __________________         г. _____________
 
                                                   СЕРИЯ 00 N 0000
 
 
 

Приложение N 4
к Административному регламенту
Федеральной службы по надзору
в сфере связи по исполнению
государственной функции
по выдаче разрешений на применение
франкировальных машин

                     ОБРАЗЕЦ ЗАЯВЛЕНИЯ
              О ВЫДАЧЕ РАЗРЕШЕНИЯ НА ПРИМЕНЕНИЕ
          ФРАНКИРОВАЛЬНОЙ МАШИНЫ ВЗАМЕН УТРАЧЕННОГО
                      ИЛИ ИСПОРЧЕННОГО
 
                          ЗАЯВЛЕНИЕ <*>
     о выдаче разрешения на применение франкировальной машины
                взамен утраченного (испорченного)
 
1. Владелец
франкировальной
машины:             ______________________________________________
                     (наименование, организационно-правовая форма
                          юридического лица в соответствии с
                         учредительными документами или Ф.И.О.
                           индивидуального предпринимателя)
  Место нахождения: ______________________________________________
                         (место нахождения (место жительства)
                           юридического лица (индивидуального
                                  предпринимателя))
  Почтовый адрес:   ______________________________________________
                               (адрес для переписки)
ИНН (КПП): ________ Телефон: ___________ Факс: ___________________
2. Наименование модели (серии)
франкировальной машины:         __________________________________
3. Место установки
франкировальной машины:         __________________________________
4. Номер и дата выдачи
утраченного (испорченного)
разрешения                      __________________________________
5. Причина оформления
нового разрешения <**>:         __________________________________
 
    Владелец франкировальной                 Подпись владельца
           машины                         франкировальной машины и
 (должность, Ф.И.О. полностью)                     печать
______________________________            ________________________
                                   МП
 

   <*> К заявлению прилагается испорченное разрешение.
   <**>  В  качестве причины выдачи нового разрешения указывается:
утрата разрешения; порча разрешения.
 
 
 

Приложение N 5
к Административному регламенту
Федеральной службы по надзору
в сфере связи по исполнению
государственной функции
по выдаче разрешений на применение
франкировальных машин

                        ОБРАЗЕЦ ЗАЯВЛЕНИЯ
            О ПЕРЕОФОРМЛЕНИИ РАЗРЕШЕНИЯ НА ПРИМЕНЕНИЕ
                      ФРАНКИРОВАЛЬНОЙ МАШИНЫ
 
                          ЗАЯВЛЕНИЕ <*>
            о переоформлении разрешения на применение
                      франкировальной машины
 
1. Владелец
франкировальной
машины:             ______________________________________________
                     (наименование, организационно-правовая форма
                          юридического лица в соответствии с
                         учредительными документами или Ф.И.О.
                           индивидуального предпринимателя)
  Место нахождения: ______________________________________________
                         (место нахождения (место жительства)
                           юридического лица (индивидуального
                                  предпринимателя))
  Почтовый адрес:   ______________________________________________
                               (адрес для переписки)
ИНН (КПП): ________ Телефон: ___________ Факс: ___________________
2. Наименование модели (серии)
франкировальной машины:         __________________________________
3. Место установки
франкировальной машины:         __________________________________
4. Причина переоформления
разрешения на применение
франкировальной машины <**>:    __________________________________
5. Номер и дата выдачи
переоформляемого разрешения     __________________________________
6. Возможные дата и время
проведения проверки             __________________________________
 
    Владелец франкировальной                 Подпись владельца
           машины                         франкировальной машины и
 (должность, Ф.И.О. полностью)                     печать
______________________________            ________________________
                                   МП
 

   <*>  К заявлению прилагаются: переоформляемое разрешение; копия
технического    паспорта    франкировальной    машины; нотариально
заверенная    копия    свидетельства    о    постановке  владельца
франкировальной  машины на учет в налоговом органе; копия договора
с  организацией  федеральной почтовой связи (филиалом организации)
на  оказание услуг почтовой связи с использованием франкировальной
машины;  копии  имеющихся  сертификатов соответствия, оттиск клише
франкировальной машины.
   <**> В качестве причины указывается: смена владельца; изменение
территории  использования; изменение организационно-правовой формы
(изменение  названия)  владельца  франкировальной  машины,  замена
клише франкировальной машины.
 
 
 

Приложение N 6
к Административному регламенту
Федеральной службы по надзору
в сфере связи по исполнению
государственной функции
по выдаче разрешений на применение
франкировальных машин

                        ОБРАЗЕЦ ЗАЯВЛЕНИЯ
            ОБ АННУЛИРОВАНИИ РАЗРЕШЕНИЯ НА ПРИМЕНЕНИЕ
                      ФРАНКИРОВАЛЬНОЙ МАШИНЫ
 
                          ЗАЯВЛЕНИЕ <*>
            об аннулировании разрешения на применение
                      франкировальной машины
 
1. Владелец
франкировальной
машины:             ______________________________________________
                     (наименование, организационно-правовая форма
                          юридического лица в соответствии с
                         учредительными документами или Ф.И.О.
                           индивидуального предпринимателя)
  Место нахождения: ______________________________________________
                         (место нахождения (место жительства)
                           юридического лица (индивидуального
                                  предпринимателя))
  Почтовый адрес:   ______________________________________________
                               (адрес для переписки)
ИНН (КПП): ________ Телефон: ___________ Факс: ___________________
2. Наименование модели (серии)
франкировальной машины:         __________________________________
3. Место установки
франкировальной машины:         __________________________________
4. Номер и дата выдачи
аннулируемого разрешения        __________________________________
 
    Владелец франкировальной                 Подпись владельца
           машины                         франкировальной машины и
 (должность, Ф.И.О. полностью)                     печать
______________________________            ________________________
                                   МП
 

   <*> К заявлению прилагается аннулируемое разрешение.
 
 
 

Приложение N 7
к Административному регламенту
Федеральной службы по надзору
в сфере связи по исполнению
государственной функции
по выдаче разрешений на применение
франкировальных машин

                        ОБРАЗЕЦ ПРИКАЗА
               О ПРОВЕДЕНИИ ПРОВЕРКИ СООТВЕТСТВИЯ
         ФРАНКИРОВАЛЬНОЙ МАШИНЫ ОБЯЗАТЕЛЬНЫМ ТРЕБОВАНИЯМ
 
      Бланк приказа территориального органа Россвязьнадзора
 
    О проведении проверки соответствия франкировальной машины
    модели ____________ обязательным требованиям по заявлению
    _________________________________________________________
 
    В  соответствии с Положением о Федеральной службе по надзору в
сфере связи,  утвержденным Постановлением Правительства Российской
Федерации от 30.06.2004 N 318,   в  целях реализации полномочий по
выдаче разрешений на применение франкировальных машин
 
ПРИКАЗЫВАЮ:
 
    1. Провести в срок с ________ по _______ проверку соответствия
франкировальной  машины, владельцем которой является (наименование
юридического  лица   или   фамилия,   инициалы     индивидуального
предпринимателя),  обязательным   требованиям  в области  почтовой
связи   на   основании  обращения владельца франкировальной машины
(заявление от _______ N _________).
    2. Для проведения проверки создать комиссию в составе:
Фамилия Имя Отчество       Должность, председатель
Фамилия Имя Отчество       Должность
         ...                             ...
    N. Контроль   за   исполнением настоящего приказа возложить на
_______________ (Фамилия).
 
    Руководитель                               (инициалы, фамилия)
 
 
 

Приложение N 8
к Административному регламенту
Федеральной службы по надзору
в сфере связи по исполнению
государственной функции
по выдаче разрешений на применение
франкировальных машин

                       ОБРАЗЕЦ УВЕДОМЛЕНИЯ
                О ПРОВЕДЕНИИ ПРОВЕРКИ СООТВЕТСТВИЯ
         ФРАНКИРОВАЛЬНОЙ МАШИНЫ ОБЯЗАТЕЛЬНЫМ ТРЕБОВАНИЯМ
 
    Бланк территориального органа
          Россвязьнадзора                   Наименование владельца
                                            франкировальной машины
 
                                            Почтовый адрес
  
                           УВЕДОМЛЕНИЕ
 
    В соответствии с Положением о Федеральной службе по надзору  в
сфере  связи, утвержденным Постановлением Правительства Российской
Федерации   от   30.06.2004 N 318, в целях выдачи разрешения    на
применение франкировальной   машины Управлением Федеральной службы
по надзору в сфере связи по _____________ в период с ____ по _____
будет   проведена   проверка  соответствия франкировальной машины,
владельцем которой является (наименование юридического   лица  или
фамилия,   инициалы индивидуального предпринимателя), обязательным
требованиям в области почтовой связи (заявление от _____ N _____).
    В   целях   проведения   проверки   Вам необходимо подготовить
документы согласно прилагаемому перечню.
    Прошу   Вас   обеспечить   доступ   представителей  Управления
Федеральной службы по надзору в сфере связи по ___________________
к   проверяемой   франкировальной   машине, участие представителей
(наименование   юридического    лица    или    фамилия,   инициалы
индивидуального   предпринимателя)    при   проведении  проверки и
оперативное представление необходимых документов.
 
Приложение: на __ л., в 1 экз.
 
Подпись должностного лица                      (инициалы, фамилия)
 
 
 

Приложение N 9
к Административному регламенту
Федеральной службы по надзору
в сфере связи по исполнению
государственной функции
по выдаче разрешений на применение
франкировальных машин

                         ОБРАЗЕЦ АКТА
          ПРОВЕРКИ СООТВЕТСТВИЯ ФРАНКИРОВАЛЬНОЙ МАШИНЫ
                    ОБЯЗАТЕЛЬНЫМ ТРЕБОВАНИЯМ
 
 Бланк территориального органа              Утверждаю
        Россвязьнадзора         __________________________________
                                (должность лица, утвердившего акт)
                                __________________________________
                                   (подпись, инициалы, фамилия)
                                     "__" ___________ 20__ г.
 
                               АКТ
    проверки соответствия франкировальной машины обязательным
                         требованиям <*>
 
N _____________                           ________________________
                                          (место составления акта)
 
    1. Фамилия, имя, отчество и должность лица (лиц), проводившего
проверку.
    2. Основание проведения проверки.
    3. Наименование (ФИО) владельца франкировальной машины.
    4.  Фамилия,  имя, отчество, должность представителя владельца
франкировальной машины, присутствовавшего при проведении проверки.
    5.  Лицензия  на осуществление деятельности в области оказания
услуг связи.
    6. Дата проведения проверки.
    7. Время проведения проверки.
    8. Место (места) проведения проверки.
    9. Способ проведения проверки.
    10. Сведения о результатах проверки.
    11. Приложение.
    12.  Дата  и  время  составления  акта  проверки  соответствия
франкировальной машины обязательным требованиям.
    13. Подпись должностного лица (лиц), проводившего проверку.
    14.  Сведения  об  ознакомлении  с актом проверки соответствия
франкировальной  машины  обязательным  требованиям уполномоченного
представителя владельца франкировальной машины.
    15.   Сведения   о   вручении   акта   проверки   соответствия
франкировальной  машины  обязательным  требованиям уполномоченному
представителю владельца франкировальной машины.
    16. Номер дела.
 

    <*>  Конкретное  размещение  и оформление полей на бланке акта
проверки    соответствия    франкировальной    машины обязательным
требованиям     определяются     условиями     и     возможностями
автоматизированной  обработки  указанного  акта и его приложений с
использованием   информационных   систем,   в   том  числе средств
вычислительной   техники   и   связи,   реализующих информационные
процессы.