Положение о правилах обязательного страхования гражданской ответственности владельца опасного объекта за причинение вреда в результате аварии на опасном объекте

(утв. ЦБ РФ от 28.12.2016 N 574-П)
Редакция от 28.12.2016 — Не действует Перейти в действующую
Показать изменения

Зарегистрировано в Минюсте России 15 марта 2017 г. N 45962


ЦЕНТРАЛЬНЫЙ БАНК РОССИЙСКОЙ ФЕДЕРАЦИИ

28 декабря 2016 г. N 574-П

ПОЛОЖЕНИЕ
О ПРАВИЛАХ ОБЯЗАТЕЛЬНОГО СТРАХОВАНИЯ ГРАЖДАНСКОЙ ОТВЕТСТВЕННОСТИ ВЛАДЕЛЬЦА ОПАСНОГО ОБЪЕКТА ЗА ПРИЧИНЕНИЕ ВРЕДА В РЕЗУЛЬТАТЕ АВАРИИ НА ОПАСНОМ ОБЪЕКТЕ

На основании статьи 9 Федерального закона от 27 июля 2010 года N 225-ФЗ "Об обязательном страховании гражданской ответственности владельца опасного объекта за причинение вреда в результате аварии на опасном объекте" (Собрание законодательства Российской Федерации, 2010, N 31, ст. 4194; 2011, N 43, ст. 5971; 2013, N 9, ст. 874; N 30, ст. 4084; N 52, ст. 7010; 2014, N 45, ст. 6154; 2016, N 11, ст. 1483; N 22, ст. 3094; N 26, ст. 3819) (далее - Федеральный закон "Об обязательном страховании гражданской ответственности владельца опасного объекта за причинение вреда в результате аварии на опасном объекте") настоящее Положение устанавливает правила обязательного страхования гражданской ответственности владельца опасного объекта за причинение вреда в результате аварии на опасном объекте.

Глава 1. Порядок заключения, изменения, продления, расторжения (прекращения) договора обязательного страхования, в том числе перечень документов, необходимых для осуществления указанных процедур

1.1. Договор обязательного страхования гражданской ответственности владельца опасного объекта за причинение вреда в результате аварии на опасном объекте (далее - обязательное страхование) заключается путем вручения страхователю на основании его письменного заявления страхового полиса обязательного страхования по образцу согласно приложению 1 к настоящему Положению. Страховой полис обязательного страхования вручается страховщиком страхователю после уплаты им страховой премии или первого страхового взноса.

1.2. Страховой полис обязательного страхования является документом строгой отчетности.

1.3. Для заключения договора обязательного страхования страхователь представляет страховщику следующие документы:

заявление об обязательном страховании по форме согласно приложению 2, 3 или 4 к настоящему Положению в зависимости от вида опасного объекта с приложениями к нему в соответствии с установленным профессиональным объединением страховщиков порядком определения вреда, который может быть причинен в результате аварии на опасном объекте, максимально возможного количества потерпевших и уровня безопасности опасного объекта (далее - порядок определения вреда), которые предоставляются страхователю страховщиком при его обращении для заключения договора обязательного страхования;

копию свидетельства о регистрации опасного производственного объекта в государственном реестре опасных производственных объектов или копию выписки из Российского регистра гидротехнических сооружений в соответствии с законодательством Российской Федерации о безопасности гидротехнических сооружений;

копии документов, подтверждающих право собственности и (или) владения опасным объектом;

копию карты учета опасного производственного объекта в государственном реестре опасных производственных объектов и копию документа, содержащего сведения, характеризующие опасный производственный объект, подготовленного для регистрации опасных производственных объектов в государственном реестре опасных производственных объектов в соответствии с законодательством Российской Федерации о промышленной безопасности;

сведения о количестве и характере наступивших страховых случаев, об осуществленных и о предстоящих страховых выплатах, рассматриваемых и неурегулированных требованиях потерпевших о страховых выплатах в период действия указанного договора (далее - сведения об обязательном страховании) - при заключении договора обязательного страхования на новый срок с другим страховщиком по форме согласно приложению 5 к настоящему Положению.

Документы, предусмотренные абзацем третьим настоящего пункта, представляются страхователями - владельцами опасных производственных объектов, подлежащих регистрации в государственном реестре опасных производственных объектов в соответствии с законодательством Российской Федерации о промышленной безопасности опасных производственных объектов или владельцами гидротехнических сооружений, подлежащих внесению в Российский регистр гидротехнических сооружений в соответствии с законодательством Российской Федерации о безопасности гидротехнических сооружений.

Документы, предусмотренные абзацем четвертым настоящего пункта, представляются только при осуществлении обязательного страхования в отношении автозаправочных станций жидкого моторного топлива, лифтов, подъемных платформ для инвалидов, эскалаторов (за исключением эскалаторов в метрополитенах), пассажирских конвейеров (движущихся пешеходных дорожек). В остальных случаях страхователь представляет указанные документы по требованию страховщика.

Предусмотренная абзацем пятым настоящего пункта копия карты учета опасного производственного объекта в государственном реестре опасных производственных объектов представляется страхователями - владельцами опасных производственных объектов, зарегистрированных в государственном реестре опасных производственных объектов до 14 февраля 2017 года.

1.4. При заключении договора обязательного страхования до регистрации опасного производственного объекта страхователь вместе с заявлением об обязательном страховании представляет страховщику копию документа, содержащего сведения, характеризующие опасный производственный объект, подготовленного для регистрации опасных производственных объектов в государственном реестре опасных производственных объектов в соответствии с законодательством Российской Федерации о промышленной безопасности.

После государственной регистрации опасного производственного объекта страхователь обязан сообщить регистрационный номер опасного производственного объекта в течение трех рабочих дней страховщику, который на основании полученных данных вносит соответствующую запись в страховой полис обязательного страхования, а также представить страховщику предусмотренные пунктом 1.3 настоящего Положения документы, за исключением представленных до регистрации опасного производственного объекта заявления об обязательном страховании и копии документа, содержащего сведения, характеризующие опасный производственный объект, подготовленного для регистрации опасных производственных объектов в государственном реестре опасных производственных объектов в соответствии с законодательством Российской Федерации о промышленной безопасности.

1.5. Страховая сумма при заключении договора обязательного страхования определяется по каждому опасному объекту.

Для гидротехнических сооружений, входящих в состав комплекса гидротехнических сооружений (гидроузел), созданного в рамках единого технического решения и выполняющего единую задачу, страховая сумма определяется по комплексу гидротехнических сооружений в целом.

Для находящихся на расстоянии менее 500 метров друг от друга опасных производственных объектов, подлежащих декларированию в случае суммарного количества обращающегося на них опасного вещества, равного или превышающего предельно допустимое количество, страховая сумма определяется исходя из данных, указанных в декларации промышленной безопасности опасных производственных объектов, составленной в отношении комплекса опасных производственных объектов.

В целях установления в договоре обязательного страхования размера страховой суммы максимально возможное количество потерпевших, жизни или здоровью которых может быть причинен вред в результате аварии на опасном объекте, определяется в соответствии с установленными профессиональным объединением страховщиков требованиями в отношении порядка определения вреда.

1.6. Заявление об обязательном страховании является неотъемлемой частью страхового полиса обязательного страхования.

1.7. При заключении договора обязательного страхования стороны могут осуществлять следующие действия.

1.7.1. Страховщик может провести за свой счет экспертизу опасного объекта в целях оценки вреда, который может быть причинен в результате аварии на опасном объекте, максимально возможного количества потерпевших и (или) уровня безопасности опасного объекта, в том числе с привлечением специализированных организаций и (или) специалистов, имеющих соответствующее разрешение на ее проведение в соответствии с законодательством Российской Федерации. В этом случае страхователь обязан содействовать в проведении назначенной страховщиком экспертизы опасного объекта, в том числе обеспечить доступ представителей страховщика, специализированных организаций и (или) специалистов на опасный объект и представить необходимую техническую и иную документацию.

1.7.2. Согласно пункту 2 части 1 статьи 12 Федерального закона "Об обязательном страховании гражданской ответственности владельца опасного объекта за причинение вреда в результате аварии на опасном объекте" страховщик вправе в письменной форме запросить у федерального органа исполнительной власти, осуществляющего в пределах своей компетенции функции по контролю и надзору в области безопасности соответствующих опасных объектов, федерального органа исполнительной власти, уполномоченного на решение задач в области защиты населения и территорий от чрезвычайных ситуаций природного и техногенного характера, иных органов государственной власти и органов местного самоуправления в пределах их компетенции и получить от них сведения о выполнении страхователем норм и правил эксплуатации опасного объекта, установленных в соответствии с законодательством Российской Федерации.

1.7.3. Страхователь вправе требовать от страховщика разъяснения условий обязательного страхования и проведения консультаций по заключению договора обязательного страхования.

1.7.4. Страхователь и страховщик осуществляют иные права и обязанности, установленные соответственно статьями 11 и 12 Федерального закона "Об обязательном страховании гражданской ответственности владельца опасного объекта за причинение вреда в результате аварии на опасном объекте".

1.8. В случае повреждения или утраты страхового полиса обязательного страхования в период его действия страхователю на основании письменного заявления страховщик бесплатно выдает его дубликат.

1.9. Договор обязательного страхования вступает в силу со дня исполнения страхователем обязанности по уплате страховой премии или первого страхового взноса либо с иного определенного договором обязательного страхования дня при условии, что страховая премия или первый страховой взнос уплачены до дня вступления в силу договора обязательного страхования.

Для применения коэффициента страховых тарифов, зависящего от уровня безопасности опасного объекта, в том числе с учетом соблюдения требований технической и пожарной безопасности при эксплуатации опасного объекта, готовности к предупреждению, локализации и ликвидации чрезвычайной ситуации, возникшей в результате аварии на опасном объекте, уровень безопасности опасного объекта определяется в соответствии с порядком определения вреда.

Страховая премия подлежит уплате единовременным платежом при заключении договора обязательного страхования, если иное не предусмотрено договором обязательного страхования. Договором обязательного страхования может быть предусмотрена уплата страховой премии в рассрочку двумя равными платежами, при этом второй страховой взнос должен быть уплачен в срок, не превышающий четырех месяцев с момента уплаты первого страхового взноса, или равными ежеквартальными платежами при условии уплаты каждого очередного взноса не позднее чем за тридцать календарных дней до окончания оплаченного периода.

Уплата страховой премии осуществляется наличными деньгами с учетом ограничений, установленных Указанием Банка России от 7 октября 2013 года N 3073-У "Об осуществлении наличных расчетов", зарегистрированным Министерством юстиции Российской Федерации 23 апреля 2014 года N 32079 ("Вестник Банка России" от 21 мая 2014 года N 45), или в безналичном порядке. Обязанность по уплате страховой премии (очередного страхового взноса) считается исполненной со дня поступления денежных средств на банковский счет или в кассу страховщика.

1.10. В период действия договора обязательного страхования страхователь обязан незамедлительно сообщить страховщику о ставших ему известными значительных изменениях в обстоятельствах, сообщенных страховщику при заключении договора обязательного страхования (в том числе при увеличении вреда, который может быть причинен в результате аварии на опасном объекте, и максимально возможного количества потерпевших), если эти изменения могут существенно повлиять на увеличение страхового риска.

Значительными во всяком случае являются изменения в сведениях, указанных страхователем при заключении договора обязательного страхования, влекущие изменение существенных условий договора обязательного страхования и размера страховой премии.

1.11. После получения информации об увеличении страхового риска страховщик вправе потребовать изменения условий договора обязательного страхования или уплаты дополнительной страховой премии соразмерно увеличению страхового риска. Если страхователь возражает против изменения условий договора обязательного страхования или уплаты дополнительной страховой премии, страховщик вправе потребовать расторжения договора обязательного страхования в порядке, предусмотренном гражданским законодательством Российской Федерации. Соглашение о расторжении договора обязательного страхования должно быть заключено в письменной форме в виде отдельного документа, подписанного сторонами.

1.12. Досрочное расторжение (прекращение) договора обязательного страхования не прекращает обязанности страховщика выплатить страховое возмещение по страховым случаям, наступившим в период действия договора обязательного страхования. Не прекращается также обязанность страхователя по уплате страховой премии, исполнение которой к моменту прекращения договора обязательного страхования просрочено.

1.13. При уменьшении вреда, который может быть причинен в результате аварии на опасном объекте, и максимально возможного количества потерпевших, страхователь вправе требовать изменения условий договора обязательного страхования, в том числе уменьшения размера страховой премии пропорционально уменьшению страхового риска.

1.14. Страховщик обязан в течение тридцати рабочих дней со дня поступления требования страхователя об изменении условий договора обязательного страхования в связи с уменьшением страхового риска, включая уменьшение размера страховой премии, рассмотреть такое требование и оформить изменения, вносимые в договор обязательного страхования, или отказать в письменной форме во внесении изменений, если страхователем не подтвержден факт уменьшения страхового риска.

1.15. Внесение изменений в договор обязательного страхования, влекущих изменение размера страховой премии, осуществляется путем внесения соответствующей записи в раздел "Особые отметки" страхового полиса обязательного страхования с указанием даты и времени внесения изменений и заверения изменений подписью представителя страховщика, печатью страховщика (при наличии) и выдачи переоформленного страхового полиса обязательного страхования на следующий рабочий день после возвращения страхователем ранее выданного страхового полиса обязательного страхования. Возвращенный страхователем страховой полис обязательного страхования хранится у страховщика вместе со вторым экземпляром переоформленного страхового полиса обязательного страхования. На первоначальном и переоформленном страховых полисах обязательного страхования делается отметка о переоформлении с указанием даты переоформления и номеров первоначального и переоформленного страхового полиса обязательного страхования.

Внесение изменений в договор обязательного страхования, не влекущих изменение размера страховой премии, может осуществляться как путем выдачи переоформленного страхового полиса обязательного страхования в соответствии с абзацем первым настоящего пункта, так и путем внесения соответствующих записей в раздел "Особые отметки", либо на оборотную сторону ранее выданного страхователю страхового полиса обязательного страхования. Внесенные изменения удостоверяются подписью уполномоченного лица страховщика и печатью (при наличии).

1.16. Продление договора обязательного страхования осуществляется путем заключения договора обязательного страхования на новый срок с выдачей страхового полиса обязательного страхования.

1.17. При продлении договора обязательного страхования на новый срок со страховщиком, с которым был заключен предыдущий договор обязательного страхования, подача заявления об обязательном страховании и представление страхователем сведений о страховании и документов, предусмотренных пунктом 1.3 настоящего Положения, не требуется, если сведения, указанные ранее в заявлении об обязательном страховании, не изменились.

1.18. При расторжении (прекращении) договора обязательного страхования страховщик, с которым у страхователя был заключен договор обязательного страхования, по требованию страхователя представляет ему сведения об обязательном страховании.

1.19. Сведения об обязательном страховании при прекращении договора обязательного страхования представляются страховщиком бесплатно по форме согласно приложению 5 к настоящему Положению.

1.20. Договор обязательного страхования досрочно прекращается в следующих случаях:

ликвидации страхователя - юридического лица или смерти страхователя - индивидуального предпринимателя, за исключением случаев, предусмотренных законодательством Российской Федерации;

смены владельца опасного объекта в период действия договора обязательного страхования, если новый владелец опасного объекта не уведомил страховщика в течение тридцати календарных дней со дня вступления во владение опасным объектом в письменной форме (договор обязательного страхования прекращается с 24 часов 00 минут местного времени последнего дня указанного тридцатидневного срока);

прекращения возможности наступления страхового случая и существования страхового риска по обстоятельствам иным, чем страховой случай (в том числе прекращение соответствия опасного объекта требованиям к опасным объектам, владельцы которых обязаны осуществлять обязательное страхование);

в иных случаях, предусмотренных законодательством Российской Федерации.

1.21. Договор обязательного страхования может быть расторгнут (прекращен) на основании письменного уведомления:

по требованию страхователя;

по требованию страховщика в случае просрочки уплаты страховой премии (очередного страхового взноса) более чем на тридцать календарных дней;

по соглашению сторон.

1.22. Датой расторжения (прекращения) договора обязательного страхования по требованию страхователя или страховщика считается дата получения другой стороной уведомления, направленного стороной - инициатором прекращения действия договора обязательного страхования.

Датой досрочного прекращения действия договора обязательного страхования по обстоятельствам, указанным в абзацах втором, четвертом и пятом пункта 1.20 настоящего Положения, считается дата события, которое явилось основанием для его досрочного прекращения и возникновение которого подтверждено документами уполномоченных органов, если такие документы должны составляться, а в ином случае - другим документальным подтверждением.

1.23. В случае досрочного прекращения действия договора обязательного страхования по обстоятельствам, указанным в абзаце втором пункта 1.20, в абзацах втором и третьем пункта 1.21 настоящего Положения, страховая премия по договору обязательного страхования страхователю не возвращается.

В случае досрочного прекращения действия договора обязательного страхования по обстоятельствам, указанным в абзаце третьем пункта 1.20 настоящего Положения, а также при расторжении договора обязательного страхования по требованию страхователя в случае прекращения соответствия опасного объекта требованиям Федерального закона "Об обязательном страховании гражданской ответственности владельца опасного объекта за причинение вреда в результате аварии на опасном объекте" к опасным объектам, владельцы которых обязаны осуществлять обязательное страхование, страхователь имеет право потребовать возврата части уплаченной им страховой премии пропорционально неистекшему сроку страхования за вычетом осуществленных страховщиком расходов на осуществление обязательного страхования и отчислений в резерв для финансирования компенсационных выплат в соответствии со структурой страховых тарифов, установленной Банком России в соответствии с частью 3 статьи 7 Федерального закона "Об обязательном страховании гражданской ответственности владельца опасного объекта за причинение вреда в результате аварии на опасном объекте".

В случае досрочного прекращения действия договора обязательного страхования по обстоятельствам, указанным в абзаце четвертом пункта 1.20 и абзаце четвертом пункта 1.21 настоящего Положения, страховщик имеет право на часть страховой премии пропорционально времени, в течение которого действовал договор обязательного страхования.

Глава 2. Действия лиц при осуществлении обязательного страхования, в том числе при наступлении страхового случая, а также перечень необходимых документов, которые страхователь должен представить страховщику

2.1. При наступлении события, имеющего признаки страхового случая, страхователь обязан осуществить следующие действия.

2.1.1. В течение 24 часов с момента аварии на опасном объекте сообщить об этом страховщику в письменной форме (по факсу, по электронной почте или непосредственно вручить сообщение страховщику).

По требованию страхователя страховщик подтверждает в письменной форме получение сообщения. В дальнейшем страхователь обязан передать страховщику или направить ему по почте подписанные уполномоченным лицом и заверенные печатью (при наличии печати) страхователя оригиналы уведомлений, ранее направленных по электронной почте или по факсу.

2.1.2. Принять разумные и доступные в сложившихся обстоятельствах меры, чтобы уменьшить размер возможного вреда. В целях настоящего Положения под разумными и доступными мерами понимаются:

меры, направленные на уменьшение последствий аварии и возможных убытков, сохранение жизни и здоровья потерпевших, которые должны быть приняты страхователем в соответствии с установленными требованиями законодательства Российской Федерации в области безопасности соответствующих опасных объектов;

иные меры, согласованные со страховщиком.

2.1.3. В случае причинения вреда имуществу потерпевшего - информировать потерпевшего о необходимости сообщить страховщику о причинении вреда имуществу потерпевшего в целях проведения осмотра представителем страховщика поврежденного имущества, места причинения вреда и (или) фиксирования состояния поврежденного имущества.

2.1.4. Представить страховщику заявление о наступлении события, имеющего признаки страхового случая, в котором указываются:

дата наступления аварии;

предполагаемая причина наступления аварии на опасном объекте, ее продолжительность, интенсивность и другие характеризующие ее признаки;

характер и предполагаемый размер вреда;

предположительное количество физических и юридических лиц, жизни, здоровью и имуществу которых мог быть причинен вред;

контактное лицо на месте события, имеющего признаки страхового случая;

точный адрес места события, имеющего признаки страхового случая, или его координаты.

2.1.5. Незамедлительно представлять потерпевшим сведения о страховщике, в том числе наименование (фирменное наименование) страховщика, адрес (место нахождения), режим работы и номера телефонов, а если событие, имеющее признаки страхового случая, привело к возникновению чрезвычайной ситуации, в трехдневный срок со дня наступления данного события опубликовать указанную информацию в печатном органе по адресу (месту нахождения) опасного объекта.

2.1.6. Привлечь страховщика к расследованию причин аварии, в случае если в соответствии с законодательством Российской Федерации для расследования причин аварии не предусматривается создание комиссии с участием представителя федерального органа исполнительной власти, осуществляющего в пределах своей компетенции функции по контролю и надзору в области безопасности соответствующих опасных объектов, либо его территориального органа.

2.2. Страхователь должен в течение пяти рабочих дней со дня получения акта о причинах и об обстоятельствах аварии на опасном объекте, иных документов о видах и размерах причиненного вреда направить страховщику копии указанных документов.

2.3. Страховщик вправе запрашивать у органов государственной власти и органов местного самоуправления в пределах их компетенции и получать от них документы и сведения, устанавливающие или подтверждающие причины и обстоятельства аварии на опасном объекте, причины и обстоятельства чрезвычайной ситуации, размеры причиненного вреда, факт нарушения условий жизнедеятельности.

Страховщик обязан в течение пяти рабочих дней со дня, когда ему стало известно о наступлении события, имеющего признаки страхового случая, разместить на своем сайте в информационно-телекоммуникационной сети "Интернет" следующую информацию:

дату и место события, имеющего признаки страхового случая;

наименование страхователя;

порядок и условия осуществления страховых выплат;

перечень документов, необходимых для принятия решения об осуществлении страховых выплат;

адрес места нахождения, режим работы, номера телефонов страховщика.

2.4. Для получения страховой выплаты потерпевший или лица, имеющие право на получение страховой выплаты, или их уполномоченные представители представляют страховщику:

заявление о страховой выплате;

документ, удостоверяющий личность;

документы, удостоверяющие родственные связи или соответствующие полномочия лиц, являющихся представителями потерпевшего, и (или) доверенность;

документы, подтверждающие причинение вреда потерпевшему в результате аварии на опасном объекте и размер причиненного вреда в соответствии с перечнями документов, предусмотренными главой 3 настоящего Положения, в зависимости от вида причиненного вреда;

сведения, содержащие банковские реквизиты для получения страхового возмещения, в случае если выплата страхового возмещения будет осуществляться в безналичном порядке.

Потерпевший (представитель потерпевшего) и (или) страхователь представляют страховщику оригиналы или копии документов. В случае представления копий документов страховщик вправе запросить подлинники этих документов для подтверждения верности представленных копий.

При представлении оригиналов документов страховщик за свой счет снимает с них копии и незамедлительно возвращает оригиналы документов представившему их лицу, за исключением предусмотренного абзацем вторым настоящего пункта заявления о страховой выплате.

2.5. После получения заявления о страховой выплате и прилагаемых к нему документов страховщик регистрирует его в журнале учета убытков по договорам страхования и выдает потерпевшему или его законному представителю документ, подтверждающий получение указанного заявления и документов.

2.6. В случае обращения потерпевшего за возмещением вреда непосредственно к страхователю страхователь до удовлетворения требований о возмещении причиненного вреда должен незамедлительно сообщить страховщику о поступивших требованиях и в течение пяти рабочих дней со дня такого обращения направить ему копии соответствующих документов. При этом страхователь обязан действовать в соответствии с указаниями страховщика, а в случае если страхователю предъявлен иск о возмещении вреда, причиненного в результате аварии на опасном объекте, привлечь страховщика к участию в судебном разбирательстве. В противном случае страховщик вправе выдвинуть в отношении требования о страховой выплате возражения, которые он имел в отношении требований о возмещении причиненного вреда.

2.7. Страховщик вправе направить своего представителя к страхователю для участия в работе с претензиями потерпевших и определения размера вреда, причиненного потерпевшим.

Глава 3. Порядок определения размера страховой выплаты и ее осуществления, перечень необходимых документов, в том числе содержащих персональные данные потерпевших

3.1. Страховая выплата в части возмещения вреда, причиненного жизни потерпевшего, осуществляется в размере, установленном пунктом 1 части 2 статьи 8 Федерального закона "Об обязательном страховании гражданской ответственности владельца опасного объекта за причинение вреда в результате аварии на опасном объекте".

3.2. Право на получение страховой выплаты в случае смерти потерпевшего имеют лица, которые в соответствии с гражданским законодательством имеют право на возмещение вреда в результате смерти потерпевшего (кормильца).

При отсутствии лиц, указанных в абзаце первом настоящего пункта, право на получение страховой выплаты в случае смерти потерпевшего имеют супруг, родители, дети умершего, лица, у которых потерпевший находился на иждивении.

3.3. Страховая выплата лицам, указанным в пункте 3.2 настоящего Положения, осуществляется в равных долях исходя из общей суммы страховой выплаты в части возмещения вреда, причиненного жизни потерпевшего. Размер долей определяется страховщиком исходя из количества предъявленных ему требований вместе с документами, подтверждающими причинение вреда и его размер, лицами, указанными в пункте 3.2 настоящего Положения, на момент составления страховщиком страхового акта по предъявленным требованиям.

3.4. В случае если страховщик в срок осуществил страховую выплату лицу (лицам), указанному (указанным) в пункте 3.2 настоящего Положения, иные лица, имеющие право на возмещение вреда в случае смерти потерпевшего и не заявившие страховщику свои требования до принятия им решения о страховой выплате, имеют право обратиться с требованием о возмещении вреда непосредственно к причинителю вреда в порядке, предусмотренном гражданским законодательством Российской Федерации.

3.5. Страховая выплата в части возмещения вреда лицам, имеющим право на возмещение вреда в результате смерти каждого потерпевшего, осуществляется независимо от выплат, причитающихся по другим видам страхования, в том числе по обязательному социальному страхованию.

3.6. Для получения страховой выплаты лица, указанные в абзаце первом пункта 3.2 настоящего Положения, или их законные представители представляют страховщику:

свидетельство о смерти потерпевшего (кормильца);

свидетельство о браке - при обращении за страховой выплатой в отношении супруга, находившегося на дату смерти на иждивении умершего потерпевшего (кормильца);

свидетельство о рождении ребенка (детей) - при обращении за страховой выплатой в отношении несовершеннолетних детей умершего потерпевшего (кормильца), находившихся на дату смерти на его иждивении, или детей, родившихся после его смерти;

справку, подтверждающую факт установления инвалидности - при обращении за страховой выплатой в отношении инвалидов, находившихся на дату смерти на иждивении умершего потерпевшего (кормильца);

справку организации, осуществляющей образовательную деятельность, о том, что член семьи умершего потерпевшего, имеющий право на возмещение вреда, обучается в этой организации - при обращении за страховой выплатой в отношении обучающегося лица, находившегося на дату смерти на иждивении умершего потерпевшего (кормильца).

медицинское заключение, выданное в соответствии с Порядком выдачи медицинскими организациями справок и медицинских заключений, утвержденным приказом Министерства здравоохранения и социального развития Российской Федерации от 2 мая 2012 года N 441н "Об утверждении Порядка выдачи медицинскими организациями справок и медицинских заключений", зарегистрированным Министерством юстиции Российской Федерации 29 мая 2012 года N 24366 (Российская газета от 6 июня 2012 года) (далее - медицинское заключение), результаты медицинской экспертизы, выданные и оформленные в соответствии с законодательством Российской Федерации в сфере охраны здоровья граждан, о необходимости постороннего ухода - при обращении за страховой выплатой в отношении лица, находившегося на момент наступления страхового случая на иждивении умершего потерпевшего, нуждавшегося в постороннем уходе;

справку органа, осуществляющего назначение и выплату пенсии нетрудоспособному гражданину, справку службы занятости, заключение медицинской организации о том, что один из родителей, супруг либо другой член семьи погибшего не работает и занят уходом за его родственниками, - при обращении за страховой выплатой в отношении неработающих членов семьи, находившихся на момент наступления страхового случая на иждивении погибшего, занятых уходом за его родственниками.

иной документ, подтверждающий факт нахождения на иждивении у умершего потерпевшего.

Для получения страховой выплаты лица, указанные в абзаце втором пункта 3.2 настоящего Положения, или их законные представители представляют страховщику:

свидетельство о смерти;

свидетельство о заключении брака - при обращении за страховой выплатой в отношении супруга потерпевшего;

свидетельство о рождении ребенка (детей) - при обращении за страховой выплатой в отношении родителей или детей потерпевшего.

3.7. Страховая выплата в части возмещения расходов на погребение каждого потерпевшего включает в себя расходы на погребение и возмещается лицу, которое их понесло, в размере не более чем установленном пунктом 2 части 2 статьи 6 Федерального закона "Об обязательном страховании гражданской ответственности владельца опасного объекта за причинение вреда в результате аварии на опасном объекте".

3.8. При предъявлении требований о возмещении расходов на погребение страховщику представляются:

копия свидетельства о смерти потерпевшего;

документы, подтверждающие размер осуществленных необходимых расходов на погребение.

3.9. Размер страховой выплаты в части возмещения вреда, причиненного здоровью каждого потерпевшего, определяется в зависимости от характера и степени его повреждения, причиненного в результате аварии на опасном объекте, в размере не более чем установленном пунктом 3 части 2 статьи 6 Федерального закона "Об обязательном страховании гражданской ответственности владельца опасного объекта за причинение вреда в результате аварии на опасном объекте" на каждого потерпевшего.

Страховая выплата в части возмещения вреда, причиненного здоровью потерпевшего, осуществляется независимо от выплат, причитающихся по другим видам страхования, в том числе по обязательному социальному страхованию.

3.10. Для получения страховой выплаты в части возмещения вреда, причиненного здоровью, страховщику представляются:

документы, выданные и оформленные в соответствии с порядком, установленным законодательством Российской Федерации в сфере охраны здоровья граждан, медицинской организацией, в которую был доставлен или обратился самостоятельно потерпевший, независимо от ее организационно-правовой формы с указанием характера полученных потерпевшим травм и увечий, диагноза и периода нетрудоспособности;

выданное в установленном законодательством Российской Федерации в сфере охраны здоровья граждан порядке заключение медицинской экспертизы о степени утраты профессиональной трудоспособности, а при отсутствии профессиональной трудоспособности - о степени утраты общей трудоспособности (при наличии);

справка, подтверждающая факт установления потерпевшему инвалидности или категории "ребенок-инвалид" (при наличии).

3.11. Страховая выплата в части возмещения вреда, причиненного здоровью потерпевшего, осуществляется в срок, установленный абзацем вторым пункта 3.51 настоящего Положения, поэтапно:

по факту причинения вреда здоровью потерпевшего осуществляется фиксированная страховая выплата, размер которой определяется в соответствии с пунктом 3.12 настоящего Положения;

при установлении инвалидности осуществляется дополнительная фиксированная страховая выплата, размер которой определяется в соответствии с пунктом 3.13 настоящего Положения.

В случае если потерпевшим представлены документы по установлению инвалидности, не позволяющие осуществить фиксированную страховую выплату, размер которой определяется в соответствии с пунктом 3.12 настоящего Положения, осуществляется дополнительная фиксированная страховая выплата, размер которой определяется в соответствии с пунктом 3.13 настоящего Положения.

3.12. Фиксированная страховая выплата определяется в зависимости от характера и степени повреждения здоровья на основании документов, представленных в соответствии с абзацем вторым пункта 3.10 настоящего Указания, в соответствии с нормативами определения размера страховой выплаты потерпевшему исходя из характера и степени повреждения здоровья, предусмотренными Правилами расчета суммы страхового возмещения при причинении вреда здоровью потерпевшего, утвержденными постановлением Правительства Российской Федерации от 15 ноября 2012 года N 1164 "Об утверждении Правил расчета суммы страхового возмещения при причинении вреда здоровью потерпевшего" (Собрание законодательства Российской Федерации, 2012, N 47, ст. 6512; 2013, N 36, ст. 4578; 2015, N 9, ст. 1335) (далее - Правила расчета суммы страхового возмещения при причинении вреда здоровью потерпевшего).

Потерпевший по своему желанию и за свой счет может провести медицинскую экспертизу для определения степени тяжести причиненного вреда здоровью. Заключение судебно-медицинской экспертизы, проводимое при производстве по делу об административном правонарушении или по уголовному делу, имеет преимущественное значение при определении степени тяжести причиненного вреда здоровью.

3.13. Дополнительная фиксированная страховая выплата осуществляется потерпевшему, если вследствие причинения вреда здоровью потерпевшего в результате аварии на опасном объекте медико-социальной экспертизой установлена группа инвалидности или категория "ребенок-инвалид".

Размер дополнительной фиксированной страховой выплаты определяется в зависимости от стойкого расстройства функций организма (ограничения жизнедеятельности и необходимости социальной защиты) и группы инвалидности в соответствии с Правилами расчета суммы страхового возмещения при причинении вреда здоровью потерпевшего.

Дополнительная фиксированная страховая выплата осуществляется страховщиком в случае установления потерпевшему инвалидности в размере разницы между суммой дополнительной фиксированной страховой выплаты с учетом установленной группы инвалидности и ранее осуществленной фиксированной страховой выплатой в зависимости от характера и степени повреждения здоровья потерпевшего.

В случае если ранее фиксированная страховая выплата, размер которой определяется в соответствии с пунктом 3.12 настоящего Положения, не осуществлялась и потерпевшим представлены документы по установлению инвалидности, не позволяющие ее осуществить, осуществляется дополнительная фиксированная страховая выплата с учетом установленной группы инвалидности.

В целях установления причинно-следственной связи причинения вреда здоровью и установления группы инвалидности потерпевшему вследствие аварии на опасном объекте страховщик вправе направить потерпевшего на медицинскую экспертизу. В этом случае медицинская экспертиза проводится за счет страховщика.

В случае если потерпевший к моменту наступления страхового случая имел инвалидность по иным основаниям, то при установлении инвалидности в связи с аварией на опасном объекте страховщик вправе направить потерпевшего на медицинскую экспертизу на предмет получения заключения медицинской экспертизы о группе инвалидности исключительно по критериям ограничения жизнедеятельности, которое наступило именно вследствие аварии на опасном объекте. В указанном случае страховщик осуществляет дополнительную фиксированную страховую выплату на основании заключения медицинской экспертизы о группе инвалидности, которая соответствует той степени ограничения жизнедеятельности, которая наступила вследствие аварии на опасном объекте.

3.14. В случае если по результатам медицинской экспертизы или исследования, проведенных в том числе учреждениями судебно-медицинской экспертизы при производстве по делу об административном правонарушении, производстве по уголовному делу, а также по обращению потерпевшего, характер и степень повреждения здоровья потерпевшего соответствуют большему размеру страховой выплаты, определенной в соответствии с пунктом 3.12 настоящего Положения, страховщик осуществляет дополнительную страховую выплату в следующем порядке:

дополнительная страховая выплата осуществляется в сумме разницы между суммой, подлежащей выплате в соответствии с представленным заключением медицинской экспертизы и общей суммой фиксированных выплат, осуществленных страховщиком;

совокупный размер фиксированной и дополнительной страховых выплат в счет возмещения вреда здоровью потерпевшего не может превышать размера страховой выплаты, указанного в пункте 3 части 2 статьи 6 Федерального закона "Об обязательном страховании гражданской ответственности владельца опасного объекта за причинение вреда в результате аварии на опасном объекте";

дополнительная страховая выплата страховщиком не осуществляется, если сумма, подлежащая выплате в соответствии с представленным заключением медицинской экспертизы не превышает общую сумму выплаченной фиксированной выплаты.

3.15. Размер страховой выплаты в части возмещения вреда, причиненного в связи с нарушением условий жизнедеятельности, определяется исходя из понесенных потерпевшим расходов, связанных с переездом к месту временного поселения и обратно, проживанием в месте временного поселения, приобретением жизненно важных материальных средств в размере не более чем установленном пунктом 4 части 2 статьи 6 Федерального закона "Об обязательном страховании гражданской ответственности владельца опасного объекта за причинение вреда в результате аварии на опасном объекте".

3.16. Факт нарушения условий жизнедеятельности устанавливается в соответствии с Порядком установления факта нарушения условий жизнедеятельности при аварии на опасном объекте, утвержденным приказом Министерства Российской Федерации по делам гражданской обороны, чрезвычайным ситуациям и ликвидации последствий стихийных бедствий от 30 декабря 2011 года N 795 "Об утверждении Порядка установления факта нарушения условий жизнедеятельности при аварии на опасном объекте, включая критерии, по которым устанавливается указанный факт", зарегистрированным Министерством юстиции Российской Федерации 11 марта 2012 года N 23433, 1 августа 2016 года N 43055 (Российская газета от 21 марта 2012 года, Бюллетень нормативных актов федеральных органов исполнительной власти от 29 августа 2016 года N 35).

В соответствии с частью 7 статьи 8 Федерального закона "Об обязательном страховании гражданской ответственности владельца опасного объекта за причинение вреда в результате аварии на опасном объекте" документы, подтверждающие факт нарушения условий жизнедеятельности на определенной территории, выдаются по требованию потерпевших органами местного самоуправления, наделенными полномочиями по решению вопросов организации и осуществления мероприятий по гражданской обороне, защите населения и территории от чрезвычайных ситуаций в границах такой территории.

Страховая выплата в части возмещения вреда, причиненного в связи с нарушением условий жизнедеятельности, осуществляется в сумме 800 рублей за каждые сутки фактического периода нарушения условий жизнедеятельности, пока не доказано, что расходы потерпевшего соответствуют большему размеру страховой выплаты.

В случае если фактические расходы потерпевшего, связанные с переездом к месту временного поселения и обратно, проживанием в месте временного поселения, приобретением жизненно важных материальных средств превышают указанную фиксированную страховую выплату, осуществляется дополнительная страховая выплата в сумме разницы между фактическими расходами, понесенными потерпевшим и подтвержденными документами, указанными в пунктах 3.19 - 3.21 настоящего Положения, и фиксированной страховой выплатой, осуществленной страховщиком.

Совокупный размер фиксированной и дополнительной страховых выплат в счет возмещения вреда в связи с нарушением условий жизнедеятельности потерпевшего не может превышать размера страховой выплаты, указанного в пункте 4 части 2 статьи 6 Федерального закона "Об обязательном страховании гражданской ответственности владельца опасного объекта за причинение вреда в результате аварии на опасном объекте".

3.17. Потерпевший по требованию о возмещении вреда, причиненного в связи с нарушением условий жизнедеятельности, представляет страховщику:

документы, подтверждающие факт нарушения условий жизнедеятельности, выдаваемые органами местного самоуправления, наделенными полномочиями по решению вопросов организации и осуществления мероприятий по гражданской обороне, защите населения и территорий от чрезвычайных ситуаций;

документы, подтверждающие расходы потерпевшего, связанные с переездом к месту временного поселения и (или) обратно, проживанием в месте временного поселения, приобретением жизненно важных материальных средств (при наличии).

3.18. Расходы, связанные с переездом к месту временного поселения и (или) обратно, независимо от наличия документов, подтверждающих осуществленные расходы потерпевшим, возмещаются при следовании потерпевшего:

железнодорожным транспортом - по тарифу жесткого вагона с 4-местным купе (за исключением фирменных поездов и вагонов повышенной комфортности);

водным транспортом - по стоимости билета пассажирского места третьей категории;

автомобильным транспортом - по тарифу перевозки пассажиров определенным видом транспорта, за исключением такси;

воздушным транспортом - по стоимости билета в салоне экономического класса.

3.19. В расходы, указанные в пункте 3.18 настоящего Положения, включаются оплата услуг по продаже проездных документов и плата за пользование в железнодорожном транспорте постельными принадлежностями.

В случае если переезд осуществлялся на личном транспорте потерпевшего, возмещению подлежат документально подтвержденные расходы на топливо.

3.20. Расходы потерпевшего в связи с проживанием в месте временного поселения возмещаются в размере фактических расходов, подтвержденных соответствующими документами (счетами гостиниц, договорами аренды квартиры (комнаты) и другими документами), в размере не более стоимости проживания в номере стандартного типа (эконом-класса) в гостинице 3-звездочного класса исходя из цен, сложившихся в соответствующем субъекте Российской Федерации.

3.21. Расходы потерпевшего в связи с приобретением жизненно важных материальных средств, включающих в себя в том числе посуду, постельные принадлежности, медикаменты, средства личной гигиены и санитарии, средства ухода за детьми, продукты питания, одежду, обувь и иные жизненно важные материальные средства, возмещаются страховщиком на основании документов, подтверждающих такие расходы потерпевшего (чеков, счетов и иных документов).

3.22. Размер страховой выплаты в части возмещения вреда, причиненного имуществу потерпевшего, определяется с учетом реального ущерба, причиненного повреждением имущества, в размере не более:

установленного пунктом 5 части 2 статьи 6 Федерального закона "Об обязательном страховании гражданской ответственности владельца опасного объекта за причинение вреда в результате аварии на опасном объекте", - в части возмещения вреда, причиненного имуществу каждого потерпевшего - физического лица, за исключением вреда, причиненного в связи с нарушением условий жизнедеятельности;

установленного пунктом 6 части 2 статьи 6 Федерального закона "Об обязательном страховании гражданской ответственности владельца опасного объекта за причинение вреда в результате аварии на опасном объекте", - в части возмещения вреда, причиненного имуществу каждого потерпевшего - юридического лица.

Для целей определения размера страховой выплаты в рамках обязательного страхования под реальным ущербом, причиненным потерпевшему повреждением имущества, понимается стоимостное выражение повреждения или полной гибели имущества юридических лиц (основных и оборотных фондов), объектов незавершенного строительства, имущества граждан, сельскохозяйственной продукции и объектов аквакультуры.

3.23. В случае повреждения зданий, строений, сооружений, объектов незавершенного строительства, оборудования, товарно-материальных ценностей (материально-производственных запасов, товаров, готовой продукции), транспортных средств и иного имущества потерпевшего размер страховой выплаты определяется исходя из расходов, необходимых для приведения имущества в состояние, в котором оно находилось до аварии на опасном объекте.

3.24. В состав восстановительных расходов включаются:

расходы на приобретение материалов и запасных частей, необходимые для ремонта (восстановления) имущества;

расходы на оплату работ по ремонту (восстановлению) имущества;

расходы на доставку материалов и запасных частей к месту ремонта, расходы на доставку имущества к месту ремонта и обратно, на доставку ремонтных бригад к месту ремонта и обратно.

3.25. В затраты на восстановление имущества не включаются расходы, связанные с работами по изменению и (или) улучшению характеристик поврежденного имущества (достройкой, дооборудованием, модернизацией, реконструкцией и другими работами).

3.26. Размер страховой выплаты в случае полной гибели имущества потерпевшего определяется исходя из рыночной стоимости имущества, определенной на момент аварии на опасном объекте, за вычетом стоимости пригодных для дальнейшего использования остатков этого имущества, если таковые имеются.

3.27. Для целей определения размера страховой выплаты в рамках обязательного страхования под полной гибелью понимаются случаи, когда ремонт поврежденного имущества невозможен либо стоимость ремонта поврежденного имущества равна его рыночной стоимости или превышает указанную стоимость на момент наступления аварии на опасном объекте.

3.28. Потерпевшим, занимающимся производством товаров, возмещается сумма расходов на производство утраченной в результате аварии на опасном объекте произведенной ими готовой продукции.

3.29. В размер страховой выплаты в части возмещения вреда, причиненного имуществу, указанному в пункте 3.23 настоящего Положения, в том числе в случае полной гибели имущества потерпевшего, включаются расходы на расчистку территории, на которой находилось имущество потерпевшего, от обломков поврежденного или погибшего имущества потерпевшего, возникших в результате аварии на опасном объекте, расходы, осуществленные потерпевшим с целью спасания имущества, расходы по обеспечению сохранности поврежденного имущества для целей проведения его осмотра представителем страховщика, расходы на рекультивацию земель сельскохозяйственного назначения, плодородие которых снизилось в результате аварии на опасном объекте.

В размер страховой выплаты также включается стоимость услуг независимого эксперта за независимую экспертизу о размере причиненного вреда, если такая экспертиза проводилась за счет потерпевшего.

3.30. При причинении вреда сельскохозяйственным товаропроизводителям, в том числе ведущим личное подсобное хозяйство, возмещению страховщиком подлежит ущерб имуществу в соответствии с пунктом 3.23 настоящего Положения и сельскохозяйственной продукции в связи с ее утратой (гибелью) или частичной утратой в соответствии с пунктами 3.31 - 3.40 настоящего Положения.

3.31. Размер страховой выплаты в связи с утратой (гибелью) или частичной утратой урожая сельскохозяйственной культуры и (или) многолетних насаждений определяется исходя из стоимости количественных потерь урожая сельскохозяйственной культуры и (или) многолетних насаждений.

3.32. Урожай сельскохозяйственной культуры и (или) многолетних насаждений считается погибшим, если сельскохозяйственная культура и (или) многолетние насаждения уничтожены или непригодны для дальнейшего использования либо возможные затраты на сбор пригодной для дальнейшего использования сельскохозяйственной продукции, оставшейся на поврежденных площадях, превышают ее стоимость.

Урожай сельскохозяйственной культуры и (или) многолетних насаждений считается частично утраченным, если урожайность, полученная сельскохозяйственным товаропроизводителем в текущем году с посевной (посадочной) площади в результате причинения вреда, ниже средней пятилетней урожайности сельскохозяйственной культуры и (или) многолетних насаждений с посевной (посадочной) площади, сложившейся за пять лет, предшествующих году, в котором наступила авария на опасном объекте.

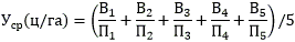
3.33. Размер ущерба в связи с утратой (гибелью) или частичной утратой урожая сельскохозяйственной культуры и (или) многолетних насаждений определяется как стоимость утраченного урожая с площади, на которой посевы (посадки) сельскохозяйственной культуры и (или) многолетних насаждений признаны погибшими или поврежденными. Размер ущерба определяется для каждой культуры по формуле:

,

где:

А1 - размер ущерба в связи с утратой (гибелью) или частичной утратой урожая сельскохозяйственной культуры и (или) многолетних насаждений (в рублях);

Пг - размер посевной (посадочной) площади, на которой посевы (посадки) признаны погибшими в результате аварии на опасном объекте (гектаров);

Уср - средняя урожайность сельскохозяйственной культуры и (или) многолетних насаждений с посевной (посадочной) площади, сложившаяся за пять лет, предшествующих году, в котором наступила авария на опасном объекте (центнеров с гектара), которая определяется по формуле:

,

где:

, , , , - валовый сбор урожая сельскохозяйственной культуры и (или) многолетних насаждений, полученный сельхозтоваропроизводителем за пять лет, предшествующих году, в котором наступила авария на опасном объекте (центнеров), по данным Федеральной службы государственной статистики;

, , , , - посевная (посадочная) площадь сельскохозяйственной культуры и (или) многолетних насаждений сельхозтоваропроизводителя за пять лет, предшествующих году, в котором наступила авария на опасном объекте (гектаров), по данным Федеральной службы государственной статистики;

Уф - урожайность сельскохозяйственной культуры и (или) многолетних насаждений с посевной (посадочной) площади, сложившаяся у сельхозтоваропроизводителя в текущем году (центнеров с гектара), которая определяется по формуле:

,

где:

Вф - валовый сбор урожая сельскохозяйственной культуры и (или) многолетних насаждений в текущем году (центнеров) по данным Федеральной службы государственной статистики;

Пф - посевная (посадочная) площадь сельскохозяйственной культуры и (или) многолетних насаждений в текущем году (гектаров) по данным Федеральной службы государственной статистики;

Ц - средняя цена реализации одного центнера сельскохозяйственной продукции, сложившаяся по субъекту Российской Федерации за год, предшествующий году, в котором наступила авария на опасном объекте, по данным Федеральной службы государственной статистики, а по кормовым культурам - по фактической себестоимости, сложившейся у сельхозтоваропроизводителя за год, предшествующий году, в котором наступила авария на опасном объекте (в рублях).

3.34. При периодичности плодоношения по семечковым многолетним насаждениям один раз в два года средняя урожайность определяется по годам, соответствующим году, в котором наступила авария на опасном объекте (при наступлении аварии в четном году средняя урожайность определяется за пять четных лет, а при наступлении аварии на опасном объекте в нечетном году - за пять нечетных лет из последних десяти лет).

3.35. В случае отсутствия у сельхозтоваропроизводителя данных для определения средней урожайности сельскохозяйственной культуры и (или) многолетних насаждений за предшествующие пять лет при наступлении аварии на опасном объекте в расчет принимается средняя урожайность с посевной (посадочной) площади за период, данные по которому отсутствуют (за пять лет или несколько лет из пяти лет):

по административно-территориальному образованию субъекта Российской Федерации, в котором находится сельхозтоваропроизводитель;

по административно-территориальному образованию субъекта Российской Федерации, находящемуся на наименьшем расстоянии от места нахождения сельхозтоваропроизводителя или его территориально обособленного подразделения, где выращивается сельскохозяйственная культура;

по субъекту Российской Федерации, в котором находится сельхозтоваропроизводитель;

по субъекту Российской Федерации, находящемуся на наименьшем расстоянии от места нахождения сельхозтоваропроизводителя или его территориально обособленного подразделения, где выращивается сельскохозяйственная культура.

3.36. В случае отсутствия в Российской Федерации официальной статистической информации об урожайности сельскохозяйственной культуры и (или) многолетних насаждений за пять лет, предшествующих году, в котором наступила авария на опасном объекте, сельхозтоваропроизводители определяют среднюю урожайность сельскохозяйственной культуры и (или) многолетних насаждений за период, по которому имеются данные Федеральной службы государственной статистики.

3.37. В случае отсутствия в субъекте Российской Федерации официальной статистической информации о ценах на отдельные виды сельскохозяйственной продукции цены принимаются на основании официальных статистических данных субъекта Российской Федерации, находящегося на наименьшем расстоянии от места нахождения сельхозтоваропроизводителя или его территориально обособленного подразделения, где выращивается сельскохозяйственная культура, а при отсутствии у сельхозтоваропроизводителя данных о фактической себестоимости кормовых культур - данные о фактической себестоимости:

по административно-территориальному образованию субъекта Российской Федерации, в котором находится сельхозтоваропроизводитель;

по административно-территориальному образованию субъекта Российской Федерации, находящемуся на наименьшем расстоянии от места нахождения сельхозтоваропроизводителя или его территориально обособленного подразделения, где выращивается сельскохозяйственная культура;

по субъекту Российской Федерации, в котором находится сельхозтоваропроизводитель;

по субъекту Российской Федерации, находящемуся на наименьшем расстоянии от места нахождения сельхозтоваропроизводителя или его территориально обособленного подразделения, где выращивается сельскохозяйственная культура.

3.38. Размер страховой выплаты в связи с утратой (гибелью) посадок многолетних насаждений определяется исходя из стоимости насаждений, потерявших жизнеспособность. Размер ущерба в связи с утратой (гибелью) посадок многолетних насаждений определяется по формуле:

,

где:

А2 - размер ущерба в результате утраты (гибели) посадок многолетних насаждений (в рублях);

Кн - количество погибших многолетних насаждений (в штуках);

Сп - стоимость одного многолетнего насаждения (в рублях), определяемая:

в отношении многолетних насаждений в плодоносящем возрасте, - по балансовой стоимости посадок многолетних насаждений по данным бухгалтерского учета на момент наступления аварии на опасном объекте;

в отношении многолетних насаждений в неплодоносящем возрасте, - по сумме затрат на выращивание посадок многолетних насаждений по данным бухгалтерского учета на момент наступления аварии на опасном объекте.

3.39. При причинении вреда сельскохозяйственным животным страховщиком возмещается ущерб в результате гибели или вынужденного убоя животного вследствие аварии на опасном объекте.

3.40. Размер ущерба в связи с гибелью (утратой) или вынужденным убоем животных и (или) птицы вследствие аварии на опасных объектах определяется в зависимости от способа их учета:

как произведение количества голов погибших (утраченных) или вынужденно убитых животных и стоимости одной головы на момент гибели животных или на момент причинения повреждений, приведших к вынужденному убою, за вычетом стоимости годных остатков;

как произведение живого веса погибших (утраченных) или вынужденно убитых животных и стоимости единицы живого веса на момент гибели животных или на момент причинения повреждений, приведших к вынужденному убою, за вычетом стоимости годных остатков.

Стоимость одной головы или единицы живого веса для животных и птицы, выращиваемых (содержащихся) промышленным способом или в крестьянских (фермерских) хозяйствах, определяется по рыночной стоимости.

3.41. При причинении вреда рыбоводной инфраструктуре страховщиком возмещается ущерб имуществу в соответствии с пунктом 3.23 настоящего Положения и ущерб в связи с гибелью (утратой) или вынужденным уничтожением объектов аквакультуры в соответствии с пунктом 3.42 настоящего Положения.

3.42. В зависимости от способа учета погибших (утраченных) или вынужденно уничтоженных объектов аквакультуры размер страховой выплаты определяется как произведение количественных потерь (фактическая биомасса или число голов) погибших или вынужденно уничтоженных объектов аквакультуры и стоимости единицы биомассы или одной головы объектов аквакультуры.

Стоимость одной головы или единицы живого веса погибших или вынужденно уничтоженных объектов аквакультуры на дату страхового случая определяется как рыночная стоимость на указанную дату. При отсутствии данных о рыночной стоимости стоимость одной головы или единицы живого веса погибших или вынужденно уничтоженных объектов аквакультуры рассчитывается на основании данных о стоимости затрат согласно технологическим циклам выращивания до даты наступления аварии на опасном объекте.

3.43. При отсутствии возможности получения информации о рыночной стоимости имущества из официальных источников стоимость поврежденного или полностью погибшего имущества определяется на основании документов, предъявленных потерпевшим для подтверждения его стоимости.

3.44. Для получения страховой выплаты в связи с повреждением или полной гибелью имущества потерпевший представляет страховщику следующие документы:

документы, подтверждающие имущественный интерес потерпевшего или лица, имеющего право на получение страховой выплаты, связанный с владением, пользованием или распоряжением поврежденным или погибшим имуществом;

справку органов местного самоуправления или иных компетентных органов, подтверждающую факт повреждения или гибели имущества потерпевшего в результате аварии;

опись поврежденного, погибшего или утраченного имущества;

документы, подтверждающие расходы потерпевшего в связи с гибелью или повреждением имущества (данные бухгалтерского и аналитического учета, справки государственных органов, подтверждающие цены на урожай сельскохозяйственной продукции и другие документы);

документы, подтверждающие обоснованность вынужденного убоя сельскохозяйственных животных (предписание, постановление ветеринарной службы и другие документы), если такие документы должны составляться в соответствии с требованиями законодательства Российской Федерации;

заключение независимой экспертизы о размере причиненного вреда, если проводилась независимая экспертиза, или заключение независимой экспертизы об обстоятельствах и размере вреда, причиненного имуществу, если проведение такой экспертизы было организовано потерпевшим самостоятельно;

документы, подтверждающие оплату услуг независимого эксперта, если экспертиза проводилась за счет потерпевшего;

документы, подтверждающие оказание и оплату услуг по спасанию и обеспечению сохранности поврежденного имущества, если потерпевший требует возмещения соответствующих расходов;

иные документы в обоснование требования о возмещении причиненного вреда, в том числе сметы, счета, договоры об оказании услуг.

3.45. При наступлении страхового случая страховщик возмещает страхователю расходы, осуществленные им в целях уменьшения убытков (вреда) в результате аварии, повлекшей наступление страхового случая, если такие расходы были необходимы или были осуществлены для выполнения указаний страховщика.

Расходы в целях уменьшения убытков (вреда), подлежащих возмещению страховщиком, должны быть возмещены страховщиком страхователю, даже если соответствующие меры оказались безуспешными.

3.46. В части возмещения расходов страхователя в целях уменьшения вреда от страхового случая страховщик возмещает фактически осуществленные необходимые расходы страхователя для осуществления разумных и доступных в сложившихся обстоятельствах мер, направленных на спасение людей и локализацию последствий аварии на опасном объекте, или фактические расходы страхователя, осуществленные для выполнения указаний страховщика при наступлении аварии на опасном объекте.

3.47. Для возмещения расходов в целях уменьшения вреда от страхового случая страхователь должен предъявить страховщику документы, подтверждающие действия страхователя по уменьшению вреда в результате аварии и размер осуществленных им расходов.

3.48. В случае если размер вреда, причиненного потерпевшим, превышает размер страховой суммы по договору обязательного страхования, расходы, осуществленные страхователем в целях уменьшения вреда от страхового случая, возмещаются пропорционально отношению размера страховой суммы к размеру причиненного вреда.

3.49. Страховая выплата осуществляется страховщиком на основании документов, необходимых для осуществления страховой выплаты, установленных пунктами 2.4, 3.6, 3.8, 3.10, 3.17 - 3.21, 3.44 и 3.47 настоящего Положения, в зависимости от вида вреда, причиненного в результате аварии на опасном объекте, а также в соответствии с Правилами расчета суммы страхового возмещения при причинении вреда здоровью потерпевшего.

Для подтверждения оплаты приобретенных товаров, выполненных работ и (или) оказанных услуг страховщику представляются оригиналы документов.

3.50. В требовании о страховой выплате потерпевший обязан сообщить страховщику свои персональные данные, необходимые для осуществления страховщиком страховой выплаты.

Непредставление потерпевшим персональных данных, необходимых для осуществления страховщиком страховой выплаты, и согласия на их обработку влечет невозможность осуществления страховщиком страховой выплаты.

3.51. После получения акта о причинах и об обстоятельствах аварии на опасном объекте, заявления потерпевшего и документов, подтверждающих причинение вреда и его размер, страховщиком в течение двадцати рабочих дней составляется страховой акт.

В течение двадцати пяти рабочих дней со дня получения акта о причинах и об обстоятельствах аварии на опасном объекте, заявления потерпевшего о страховой выплате, документов, подтверждающих причинение вреда и его размер, страховщик обязан осуществить страховую выплату потерпевшему или направить лицу, обратившемуся с заявлением о страховой выплате, страховой акт, содержащий мотивированный отказ в страховой выплате.

3.52. Если стороны не достигнут согласия в определении размера причиненного вреда, то любая из сторон вправе потребовать назначения независимой экспертизы, а при сохранении разногласий - обратиться в суд в соответствии со статьей 28 Федерального закона "Об обязательном страховании гражданской ответственности владельца опасного объекта за причинение вреда в результате аварии на опасном объекте".

3.53. По заявлению потерпевшего и после представления документов, подтверждающих, что произошедшее событие является страховым случаем, страховщик вправе до полного определения размера подлежащего возмещению вреда осуществить часть страховой выплаты, соответствующую фактически определенной части указанного вреда.

3.54. Страховая выплата осуществляется:

потерпевшим - физическим лицам, указанным в пунктах 3.1 - 3.44 настоящего Положения (для потерпевших - физических лиц), - наличными деньгами или путем перечисления на указанный ими банковский счет;

потерпевшим - юридическим лицам, указанным в пунктах 3.22 - 3.44 настоящего Положения, - путем перечисления на указанный ими банковский счет.

3.55. Возмещение расходов страхователя, осуществленных в целях уменьшения убытков в связи с аварией на опасном объекте, осуществляется путем безналичного перечисления денежных средств на банковский счет страхователя.

3.56. Днем исполнения страховщиком обязанности по осуществлению страховой выплаты считается день поступления денежных средств на банковский счет потерпевшего или день выплаты денежных средств из кассы страховщика.

3.57. Совокупный предельный размер всех страховых выплат по договору обязательного страхования, связанных с одной аварией на опасном объекте, не может превышать размер страховой суммы по договору обязательного страхования, установленный в соответствии с частью 1 статьи 6 Федерального закона "Об обязательном страховании гражданской ответственности владельца опасного объекта за причинение вреда в результате аварии на опасном объекте".

3.58. Если размер вреда, причиненного потерпевшему, превышает предельный размер страховой выплаты, установленный Федеральным законом "Об обязательном страховании гражданской ответственности владельца опасного объекта за причинение вреда в результате аварии на опасном объекте", разницу между страховой выплатой и фактическим размером вреда возмещает владелец опасного объекта.

3.59. В случае если страховые выплаты должны быть осуществлены нескольким потерпевшим и сумма их требований, предъявленных страховщику на день первой страховой выплаты по этому страховому случаю, превышает размер страховой суммы:

в первую очередь удовлетворяются требования о возмещении вреда, причиненного жизни или здоровью потерпевших - физических лиц;

во вторую очередь удовлетворяются требования о возмещении вреда, причиненного имуществу потерпевших - физических лиц, в том числе в связи с нарушением условий жизнедеятельности;

в третью очередь удовлетворяются требования о возмещении вреда, причиненного имуществу потерпевших - юридических лиц.

3.60. В первую очередь требований о возмещении вреда также включаются требования от представителей потерпевшего, пропавшего без вести в результате аварии на опасном объекте. Право на получение страхового возмещения возникает у представителей такого потерпевшего, но не ранее объявления потерпевшего умершим в установленном законом порядке. Размер страховой выплаты для такого потерпевшего рассчитывается как для умершего потерпевшего.

При недостаточности страховой суммы для удовлетворения требований потерпевших первой очереди страховые выплаты таким потерпевшим производятся пропорционально отношению страховой суммы к сумме их требований.

3.61. При недостаточности части страховой суммы, оставшейся после удовлетворения требований потерпевших одной очереди, для полного возмещения вреда потерпевшим следующей очереди страховые выплаты осуществляются в рамках соответствующей очереди пропорционально отношению страховой суммы (ее оставшейся части) к сумме требований потерпевших.

3.62. Требования страхователя о возмещении расходов, осуществленных страхователем в целях уменьшения вреда от страхового случая, удовлетворяются после выполнения обязательств по страховым выплатам перед потерпевшими.

3.63. Потерпевший обязан возвратить страховщику полученную страховую выплату (или ее соответствующую часть), если в течение предусмотренных законодательством Российской Федерации сроков исковой давности обнаружится такое обстоятельство, которое по закону или в соответствии с настоящим Положением полностью или частично лишает потерпевшего права на ее получение.

3.64. Страховщик вправе предъявить регрессное требование в пределах осуществленной страховой выплаты к страхователю, если:

вред был причинен в результате аварии на опасном объекте, возникшей вследствие невыполнения страхователем предписаний (указаний) федерального органа исполнительной власти, осуществляющего в пределах своей компетенции функции по контролю и надзору в области безопасности соответствующих опасных объектов, и (или) федерального органа исполнительной власти, уполномоченного на решение задач в области защиты населения и территорий от чрезвычайных ситуаций, данных в соответствии с их компетенцией;

умышленные действия (бездействие) физического лица, выполнявшего работу на основании трудового договора (контракта) со страхователем, либо по гражданско-правовому договору, повлекли за собой причинение вреда потерпевшим, в том числе в результате контролируемых взрыва, выброса опасных веществ, сброса воды из водохранилища, жидких отходов промышленных и сельскохозяйственных организаций.

Глава 4. Заключительные положения

4.1. Настоящее Положение подлежит официальному опубликованию и в соответствии с решением Совета директоров Банка России (протокол заседания Совета директоров Банка России от 16 декабря 2016 года N 33) вступает в силу со дня вступления в силу постановления Правительства Российской Федерации о признании утратившим силу постановления Правительства Российской Федерации от 3 ноября 2011 года N 916 "Об утверждении Правил обязательного страхования гражданской ответственности владельца опасного объекта за причинение вреда в результате аварии на опасном объекте" (Собрание законодательства Российской Федерации, 2011, N 47, ст. 6647; 2012, N 19, ст. 2441; 2013, N 20, ст. 2504; N 36, ст. 4578; 2014, N 10, ст. 1035; 2015, N 11, ст. 1607).

Председатель Центрального банка
Российской Федерации
Э.С. НАБИУЛЛИНА

Приложение 1
к Положению Банка России
от 28 декабря 2016 года N 574-П
"О правилах обязательного страхования
гражданской ответственности
владельца опасного объекта
за причинение вреда в результате
аварии на опасном объекте"

СТРАХОВОЙ ПОЛИС
ОБЯЗАТЕЛЬНОГО СТРАХОВАНИЯ ГРАЖДАНСКОЙ ОТВЕТСТВЕННОСТИ ВЛАДЕЛЬЦА ОПАСНОГО ОБЪЕКТА ЗА ПРИЧИНЕНИЕ ВРЕДА В РЕЗУЛЬТАТЕ АВАРИИ НА ОПАСНОМ ОБЪЕКТЕ
(серия ____ N _____________)

________________________________________________ (далее - страховщик) и ____________________________________________________ (далее - страхователь) в соответствии с Федеральным законом "Об обязательном страховании гражданской ответственности владельца опасного объекта за причинение вреда в результате аварии на опасном объекте" и правилами обязательного страхования гражданской ответственности владельца опасного объекта за причинение вреда в результате аварии на опасном объекте на основании заявления об обязательном страховании гражданской ответственности владельца опасного объекта за причинение вреда в результате аварии на опасном объекте заключили договор обязательного страхования.

1. Владелец опасного объекта:  
  (полное наименование)
Иные владельцы опасного объекта:  
  (полное наименование)

2. Объектом страхования являются имущественные интересы владельца опасного объекта, связанные с его обязанностью возместить вред, причиненный потерпевшим в результате аварии на опасном объекте.

3. Страховым случаем является наступление гражданской ответственности страхователя по обязательствам, возникающим вследствие причинения вреда потерпевшим в период действия договора обязательного страхования, которое влечет за собой обязанность страховщика произвести страховую выплату потерпевшим.

4. Договор обязательного страхования заключен в отношении следующего опасного объекта:

наименование опасного объекта  
адрес (место нахождения) опасного объекта  
регистрационный номер опасного объекта  

5. Страховая сумма по договору страхования: ________ рублей.

6. Страховой тариф: __________ (процентов).

7. Страховая премия: _________ рублей уплачивается:

единовременно
в рассрочку 2 равными платежами
в рассрочку 4 равными ежеквартальными платежами

в следующем порядке:

первый взнос ______ рублей уплачен "__" _________ 20__ г.

второй взнос ______ рублей подлежит уплате до "__" _________ 20__ г.

третий взнос ______ рублей подлежит уплате до "__" _________ 20__ г.

четвертый взнос ______ рублей подлежит уплате до "__" ________ 20__ г.

8. Срок действия договора обязательного страхования:

с "__" ________ 20__ г.

по "__" _________ 20__ г.

9. Особые отметки:  

Заявление об обязательном страховании гражданской ответственности владельца опасного объекта за причинение вреда в результате аварии на опасном объекте, а также приложения к заявлению являются неотъемлемой частью настоящего страхового полиса обязательного страхования.

С Правилами обязательного

страхования гражданской

ответственности владельца

опасного объекта за причинение

вреда в результате аварии

на опасном объекте ознакомлен.

Страхователь   Страховщик (представитель страховщика)
                     
(наименование)   (наименование)
Адрес (место нахождения)     Адрес (место нахождения)  
                     
М.П. <1>   (   )   М.П. <1>   (   )
  (личная подпись)   (ф.и.о. уполномоченного лица)       (личная подпись)   (ф.и.о. уполномоченного лица)  
                     
Дата выдачи страхового полиса обязательного страхования     "__" ___________ 20__ г.              

<1> При наличии.

Приложение 2
к Положению Банка России
от 28 декабря 2016 года N 574-П
"О правилах обязательного страхования
гражданской ответственности
владельца опасного объекта
за причинение вреда в результате
аварии на опасном объекте"

ЗАЯВЛЕНИЕ
ОБ ОБЯЗАТЕЛЬНОМ СТРАХОВАНИИ ГРАЖДАНСКОЙ ОТВЕТСТВЕННОСТИ ВЛАДЕЛЬЦА ОПАСНОГО ОБЪЕКТА ЗА ПРИЧИНЕНИЕ ВРЕДА В РЕЗУЛЬТАТЕ АВАРИИ НА ОПАСНОМ ОБЪЕКТЕ (ДЛЯ ОПАСНОГО ПРОИЗВОДСТВЕННОГО ОБЪЕКТА)
от "__" ___________ 20__ г.

I. Сведения о страхователе (владельце опасного производственного объекта)

1. Страхователь                      
  (полное наименование юридического лица или инициалы, фамилия индивидуального предпринимателя)
                     
(дата рождения индивидуального предпринимателя)   (ИНН юридического лица или индивидуального предпринимателя)
                     
(свидетельство о регистрации юридического лица либо документ, удостоверяющий личность индивидуального предпринимателя)   (серия)   (номер)
2. Адрес (место нахождения) страхователя  
                     
(индекс)   (государство, республика, край, область)   (район)
                     
(населенный пункт)   (улица)   (дом)   (корпус)   (квартира)
                       
3. Руководитель страхователя - юридического лица  
      (инициалы, фамилия, должность)
                       

4. Реквизиты ИНН ОКПО ОКВЭД
КПП ОГРН  
Расчетный счет Корреспондентский счет
Банк БИК
5. Контактная информация лица, ответственного за страхование Инициалы, фамилия
адрес электронной почты номер контактного телефона

Прошу заключить договор обязательного страхования в соответствии с Федеральным законом "Об обязательном страховании гражданской ответственности владельца опасного объекта за причинение вреда в результате аварии на опасном объекте" на срок с "__" ______________________ 20__ г. по "__" _______________________ 20__ г.

Страховая премия уплачивается: единовременно
  в рассрочку 2 платежами
  в рассрочку 4 платежами

II. Сведения об опасном производственном объекте

1. Владелец: Владельцем является страхователь
  Владельцем является (являются) иное лицо (иные лица) (указать)

Владелец 1                      
  (полное наименование юридического лица или инициалы, фамилия индивидуального предпринимателя)
             
(дата рождения индивидуального предпринимателя)   (ИНН юридического лица или индивидуального предпринимателя)
           
(свидетельство о регистрации юридического лица либо документ, удостоверяющий личность индивидуального предпринимателя)   (серия)   (номер)
Адрес (место нахождения) страхователя  
                   
(индекс)   (государство, республика, край, область)   (район)
                   
(населенный пункт)   (улица)   (дом)   (корпус)   (квартира)
 
Владелец 2                      
  (полное наименование юридического лица или инициалы, фамилия индивидуального предпринимателя)
             
(дата рождения индивидуального предпринимателя)   (ИНН юридического лица или индивидуального предпринимателя)
           
(свидетельство о регистрации юридического лица либо документ, удостоверяющий личность индивидуального предпринимателя)   (серия)   (номер)
Адрес (место нахождения) страхователя  
                   
(индекс)   (государство, республика, край, область)   (район)
                   
(населенный пункт)   (улица)   (дом)   (корпус)   (квартира)
 

2. Наименование опасного производственного объекта
 
 

3. Если обязательная разработка декларации промышленной безопасности (далее - декларация) предусматривается:

3.1. укажите следующие сведения:

дата утверждения декларации:  
регистрационный номер декларации  
срок действия декларации (при его установлении)  
наименование организации, разработавшей декларацию  

3.2. отметьте знаком (V) максимально возможное количество потерпевших, жизни или здоровью которых может быть причинен вред в результате аварии на опасном производственном объекте

более 3000 человек от 151 до 300 человек иное  
            (указать)
от 1501 до 3000 человек от 76 до 150 человек      
             
от 301 до 1500 человек от 11 до 75 человек      

4. Если обязательная разработка декларации не предусматривается, то отметьте знаком (V), к какой из указанных категорий относится опасный производственный объект:

4.1. шахты угольной промышленности
4.2. опасный производственный объект химической, нефтехимической и нефтеперерабатывающей промышленности, спецхимии
4.3. сети газопотребления и газоснабжения (газораспределения), в том числе межпоселковые
4.4. иные опасные производственные объекты

5. Данные о регистрации опасного производственного объекта:

дата регистрации опасного производственного объекта  
регистрационный номер в государственном реестре опасного производственного объекта  
6. Адрес (место нахождения) опасного производственного объекта:  
                   
(индекс)   (государство, республика, край, область)   (район)
                   
(населенный пункт)   (улица)   (дом)   (корпус)   (квартира)
7. Признаки опасности опасного производственного объекта (числовые обозначения в соответствии с картой учета опасного производственного объекта в государственном реестре опасных производственных объектов (при наличии) или документом, содержащим сведения, характеризующие опасный производственный объект, подготовленным для регистрации опасных производственных объектов в государственном реестре опасных производственных объектов в соответствии с законодательством Российской Федерации о промышленной безопасности)
 
8. Класс опасности опасного производственного объекта (числовое обозначение в соответствии с картой учета опасного производственного объекта в государственном реестре опасных производственных объектов (при наличии) или документом, содержащим сведения, характеризующие опасный производственный объект, подготовленным для регистрации опасных производственных объектов в государственном реестре опасных производственных объектов в соответствии с законодательством Российской Федерации о промышленной безопасности)
 
9. Численность наибольшей работающей смены опасного производственного объекта (не заполняется для опасного производственного объекта, обладающего только одним признаком опасности - использование стационарно установленных грузоподъемных механизмов, эскалаторов в метрополитенах, канатных дорог, фуникулеров)
 

III. Статистика убытков, заявленные (предполагаемые) претензии

1. Количество аварий (инцидентов) на опасном производственном объекте за последние 5 лет

Дата аварии (инцидента) Дата страхового случая Описание Причина Сведения о документе, содержащем данные об аварии (инциденте) Размер причиненного ущерба третьим лицам, включая работников страхователя Размер страховой выплаты
           
           

2. Существуют ли претензии (иски, требования) к страхователю, находящиеся на стадии разбирательства; известны ли страхователю какие-либо обстоятельства, которые могут послужить основанием для претензии по заявленному страхованию:

да нет

При ответе "да" приведите подробности ________________________________________________________________________________________________________________

3. Предыдущий страховой полис обязательного страхования гражданской ответственности владельца опасного объекта за причинение вреда в результате аварии на опасном объекте

       
(серия)   (номер)   (наименование страховщика)

4. Дополнительные сведения _______________________________________________________________________________________________________________________________________________

Приложения к заявлению:

N наименование документа отметка о наличии (да или нет)
   
   

Страхователь подтверждает, что все сообщенные в настоящем заявлении сведения являются полными и достоверными и что все существенные факты и обстоятельства, известные страхователю, изложены в настоящем заявлении. Страхователь обязуется представить страховщику любую другую разумно затребованную последним информацию, а также сообщать страховщику обо всех изменениях обстоятельств, указанных в настоящем заявлении, в период действия договора обязательного страхования. Страхователь согласен с тем, что настоящее заявление совместно с любой другой представленной им информацией составляет неотъемлемую часть страхового полиса обязательного страхования, заключенного в отношении указанных в настоящем заявлении имущественных интересов. Указанные сведения относятся к существенным обстоятельствам, влияющим на степень риска.

Страхователь выражает согласие на обработку страховщиком персональных данных, указанных в заявлении и иных документах, используемых страховщиком для их обработки в соответствии с законодательством Российской Федерации о персональных данных и с целью исполнения страховщиком условий договора обязательного страхования и требований, установленных законодательством Российской Федерации, в том числе в целях проверки качества оказания страховых услуг и урегулирования убытков по договору страхования, осуществления страховой выплаты, администрирования договора, в статистических целях и в целях проведения анализа.

Страховщик имеет право осуществлять следующие действия (операции) с персональными данными страхователя (в том числе с данными специальной категории): сбор, систематизацию, накопление, хранение, уточнение (обновление, изменение), обезличивание, блокирование, уничтожение, а также их передачу участникам, определенным законодательством Российской Федерации об обязательном страховании гражданской ответственности владельца опасного объекта за причинение вреда в результате аварии на опасном объекте.

Страхователь   (   )
  (личная подпись)   (инициалы, фамилия)  
         
М.П. (при наличии)     "_____" ________________ 20__ г.  
      (дата заполнения заявления)  

5. Страховая премия (заполняется страховщиком)

Наименование опасного производственного объекта Код вида опасного производственного объекта Страховая сумма Базовая ставка Коэффициенты <1> страховых тарифов Страховой тариф Страховая премия
             

Выдан страховой полис обязательного страхования          
    (серия)   (номер)    
Особые отметки  
Страховщик          
  (представитель страховщика)   (личная подпись)   (инициалы, фамилия уполномоченного лица)
Адрес (место нахождения)  
БИК
ИНН
КПП
ОКПО
           
            "____" _____________ 20__ г.

<1> - коэффициент, зависящий от уровня безопасности опасного объекта, в том числе с учетом соблюдения требований технической и пожарной безопасности при эксплуатации опасного объекта, готовности к предупреждению, локализации и ликвидации чрезвычайной ситуации, возникшей в результате аварии на опасном объекте.

- коэффициент, зависящий от отсутствия или наличия страховых случаев, произошедших в период действия предшествующего договора обязательного страхования из-за нарушения страхователем норм и правил эксплуатации опасного объекта, установленных законодательством Российской Федерации.

Приложение 3
к Положению Банка России
от 28 декабря 2016 года N 574-П
"О правилах обязательного страхования
гражданской ответственности
владельца опасного объекта
за причинение вреда в результате
аварии на опасном объекте"

ЗАЯВЛЕНИЕ
ОБ ОБЯЗАТЕЛЬНОМ СТРАХОВАНИИ ГРАЖДАНСКОЙ ОТВЕТСТВЕННОСТИ ВЛАДЕЛЬЦА ОПАСНОГО ОБЪЕКТА ЗА ПРИЧИНЕНИЕ ВРЕДА В РЕЗУЛЬТАТЕ АВАРИИ НА ОПАСНОМ ОБЪЕКТЕ (ДЛЯ ГИДРОТЕХНИЧЕСКОГО СООРУЖЕНИЯ)
от "__" ___________ 20__ г.

I. Сведения о страхователе (владельце опасного производственного объекта)

1. Страхователь                      
  (полное наименование юридического лица или инициалы, фамилия индивидуального предпринимателя)
                     
(дата рождения индивидуального предпринимателя)   (ИНН юридического лица или индивидуального предпринимателя)
                     
(свидетельство о регистрации юридического лица либо документ, удостоверяющий личность индивидуального предпринимателя)   (серия)   (номер)
2. Адрес (место нахождения) страхователя  
                     
(индекс)   (государство, республика, край, область)   (район)
                     
(населенный пункт)   (улица)   (дом)   (корпус)   (квартира)
                       
3. Руководитель страхователя - юридического лица  
      (инициалы, фамилия, должность)
                       

4. Реквизиты ИНН ОКПО ОКВЭД
КПП ОГРН  
Расчетный счет Корреспондентский счет
Банк БИК
5. Контактная информация лица, ответственного за страхование Инициалы, фамилия
адрес электронной почты номер контактного телефона

Прошу заключить договор обязательного страхования в соответствии с Федеральным законом "Об обязательном страховании гражданской ответственности владельца опасного объекта за причинение вреда в результате аварии на опасном объекте" на срок с "__" ____ 20__ г. по "__" ____ 20__ г.

Страховая премия уплачивается: единовременно
  в рассрочку 2 платежами
  в рассрочку 4 платежами

II. Сведения о гидротехническом сооружении

1. Владелец: Владельцем является страхователь
  Владельцем является (являются) иное лицо (иные лица) (указать)

Владелец 1                      
  (полное наименование юридического лица или инициалы, фамилия индивидуального предпринимателя)
             
(дата рождения индивидуального предпринимателя)   (ИНН юридического лица или индивидуального предпринимателя)
           
(свидетельство о регистрации юридического лица либо документ, удостоверяющий личность индивидуального предпринимателя)   (серия)   (номер)
Адрес (место нахождения) страхователя  
                   
(индекс)   (государство, республика, край, область)   (район)
                   
(населенный пункт)   (улица)   (дом)   (корпус)   (квартира)
 
Владелец 2                      
  (полное наименование юридического лица или инициалы, фамилия индивидуального предпринимателя)
             
(дата рождения индивидуального предпринимателя)   (ИНН юридического лица или индивидуального предпринимателя)
           
(свидетельство о регистрации юридического лица либо документ, удостоверяющий личность индивидуального предпринимателя)   (серия)   (номер)
Адрес (место нахождения) страхователя  
                   
(индекс)   (государство, республика, край, область)   (район)
                   
(населенный пункт)   (улица)   (дом)   (корпус)   (квартира)
 

2. Наименование опасного производственного объекта
 

наименование гидротехнического сооружения  
назначение гидротехнического сооружения  
вид гидротехнического сооружения  
тип гидротехнического сооружения  
класс гидротехнического сооружения  
идентификационный код гидротехнического сооружения (в соответствии с выпиской из Российского регистра гидротехнических сооружений)  

Наличие декларации безопасности гидротехнического сооружения (далее - декларация):

да нет
Дата утверждения декларации  
Регистрационный номер декларации  
Срок действия декларации (при его установлении)  
Наименование организации, разработавшей декларацию  

2. отметьте знаком (V) максимально возможное количество потерпевших, жизни или здоровью которых может быть причинен вред в результате аварии на гидротехническом сооружении

более 3000 человек от 151 до 300 человек иное  
            (указать)
от 1501 до 3000 человек от 76 до 150 человек      
             
от 301 до 1500 человек от 11 до 75 человек      

3. Дата регистрации гидротехнического сооружения "__" _____________ 20__ г.

6. Адрес (место нахождения) гидротехнического сооружения  
                   
(индекс)   (государство, республика, край, область)   (район)
                   
(населенный пункт)   (улица)   (дом)   (корпус)   (квартира)

III. Статистика убытков, заявленные (предполагаемые) претензии

1. Аварии или инциденты на гидротехническом сооружении за последние 5 лет

Дата аварии (инцидента) Дата страхового случая Описание Причина Сведения о документе, содержащем данные об аварии (инциденте) Размер причиненного ущерба третьим лицам, включая работников страхователя Размер страховой выплаты
           
           

2. Существуют ли претензии (иски, требования) к страхователю, находящиеся на стадии разбирательства; известны ли страхователю какие-либо обстоятельства, которые могут послужить основанием для претензии по заявленному страхованию:

да нет

При ответе "да" приведите подробности ________________________________________________________________________________________________________________

3. Сведения о предыдущем страховом полисе обязательного страхования гражданской ответственности владельца опасного объекта за причинение вреда в результате аварии на опасном объекте

       
(серия)   (номер)   (наименование страховщика)

4. Дополнительные сведения ___________________________________________________________________________________________________________________________

Приложения к заявлению:

N наименование документа отметка о наличии (да или нет)
     
     

Страхователь подтверждает, что все сообщенные в настоящем заявлении сведения являются полными и достоверными и что все существенные факты и обстоятельства, известные страхователю, изложены в настоящем заявлении. Страхователь обязуется представить страховщику любую другую разумно затребованную последним информацию, а также сообщать страховщику обо всех изменениях обстоятельств, указанных в настоящем заявлении, в период действия договора обязательного страхования. Страхователь согласен с тем, что настоящее заявление совместно с любой другой представленной им информацией составляет неотъемлемую часть страхового полиса обязательного страхования, заключенного в отношении указанных в настоящем заявлении имущественных интересов. Указанные сведения относятся к существенным обстоятельствам, влияющим на степень риска.

Страхователь выражает согласие на обработку страховщиком персональных данных, указанных в заявлении и иных документах, используемых страховщиком для их обработки в соответствии с законодательством Российской Федерации о персональных данных и с целью исполнения страховщиком условий договора обязательного страхования и требований, установленных законодательством Российской Федерации, в том числе в целях проверки качества оказания страховых услуг и урегулирования убытков по договору страхования, осуществления страховой выплаты, администрирования договора, в статистических целях и в целях проведения анализа.

Страховщик имеет право осуществлять следующие действия (операции) с персональными данными страхователя (в том числе с данными специальной категории): сбор, систематизацию, накопление, хранение, уточнение (обновление, изменение), обезличивание, блокирование, уничтожение, а также их передачу участникам, определенным законодательством Российской Федерации об обязательном страховании гражданской ответственности владельца опасного объекта за причинение вреда в результате аварии на опасном объекте.

Страхователь   (   )
  (личная подпись)   (инициалы, фамилия)  
         
М.П. (при наличии)     "_____" ________________ 20__ г.  
      (дата заполнения заявления)  

5. Страховая премия (заполняется страховщиком)

Наименование гидротехнического сооружения Код вида гидротехнического сооружения Страховая сумма Базовая ставка Коэффициенты <1> страховых тарифов Страховой тариф Страховая премия
               

Выдан страховой полис обязательного страхования          
    (серия)   (номер)    
Особые отметки  
Страховщик          
  (представитель страховщика)   (личная подпись)   (инициалы, фамилия уполномоченного лица)
Адрес (место нахождения)  
БИК
ИНН
КПП
ОКПО
           
            "____" _____________ 20__ г.

<1> - коэффициент, зависящий от уровня безопасности опасного объекта, в том числе с учетом соблюдения требований технической и пожарной безопасности при эксплуатации опасного объекта, готовности к предупреждению, локализации и ликвидации чрезвычайной ситуации, возникшей в результате аварии на опасном объекте.

- коэффициент, зависящий от отсутствия или наличия страховых случаев, произошедших в период действия предшествующего договора обязательного страхования из-за нарушения страхователем норм и правил эксплуатации опасного объекта, установленных законодательством Российской Федерации.

Приложение 4
к Положению Банка России
от 28 декабря 2016 года N 574-П
"О правилах обязательного страхования
гражданской ответственности
владельца опасного объекта
за причинение вреда в результате
аварии на опасном объекте"

ЗАЯВЛЕНИЕ
ОБ ОБЯЗАТЕЛЬНОМ СТРАХОВАНИИ ГРАЖДАНСКОЙ ОТВЕТСТВЕННОСТИ ВЛАДЕЛЬЦА ОПАСНОГО ОБЪЕКТА ЗА ПРИЧИНЕНИЕ ВРЕДА В РЕЗУЛЬТАТЕ АВАРИИ НА ОПАСНОМ ОБЪЕКТЕ (ДЛЯ АВТОЗАПРАВОЧНОЙ СТАНЦИИ ЖИДКОГО МОТОРНОГО ТОПЛИВА ИЛИ ЛИФТА, ПОДЪЕМНОЙ ПЛАТФОРМЫ ДЛЯ ИНВАЛИДОВ, ЭСКАЛАТОРА (ЗА ИСКЛЮЧЕНИЕМ ЭСКАЛАТОРОВ В МЕТРОПОЛИТЕНАХ), ПАССАЖИРСКОГО КОНВЕЙЕРА (ДВИЖУЩЕЙСЯ ПЕШЕХОДНОЙ ДОРОЖКИ)
от "____" __________ 20__ г.

I. Сведения о страхователе (владельце автозаправочной станции жидкого моторного топлива или лифта, подъемной платформы для инвалидов, эскалатора (за исключением эскалаторов в метрополитенах), пассажирского конвейера (движущейся пешеходной дорожки).

1. Страхователь                      
  (полное наименование юридического лица или инициалы, фамилия индивидуального предпринимателя)
                     
(дата рождения индивидуального предпринимателя)   (ИНН юридического лица или индивидуального предпринимателя)
                     
(свидетельство о регистрации юридического лица либо документ, удостоверяющий личность индивидуального предпринимателя)   (серия)   (номер)
2. Адрес (место нахождения) страхователя  
                     
(индекс)   (государство, республика, край, область)   (район)
                     
(населенный пункт)   (улица)   (дом)   (корпус)   (квартира)
                       
3. Руководитель страхователя - юридического лица  
      (инициалы, фамилия, должность)
                       

4. Реквизиты ИНН ОКПО ОКВЭД
КПП ОГРН  
Расчетный счет Корреспондентский счет
Банк БИК
5. Контактная информация лица, ответственного за страхование Инициалы, фамилия
адрес электронной почты номер контактного телефона

Прошу заключить договор обязательного страхования в соответствии с Федеральным законом "Об обязательном страховании гражданской ответственности владельца опасного объекта за причинение вреда в результате аварии на опасном объекте" на срок с "__" ____ 20__ г. по "__" ____ 20__ г.

Страховая премия уплачивается: единовременно
  в рассрочку 2 платежами
  в рассрочку 4 платежами

II. Сведения об опасном объекте

1. Владелец: Владельцем является страхователь
  Владельцем является (являются) иное лицо (иные лица) (указать)
Владелец 1                      
  (полное наименование юридического лица или инициалы, фамилия индивидуального предпринимателя)
             
(дата рождения индивидуального предпринимателя)   (ИНН юридического лица или индивидуального предпринимателя)
           
(свидетельство о регистрации юридического лица либо документ, удостоверяющий личность индивидуального предпринимателя)   (серия)   (номер)
Адрес (место нахождения) страхователя  
                   
(индекс)   (государство, республика, край, область)   (район)
                   
(населенный пункт)   (улица)   (дом)   (корпус)   (квартира)
 
Владелец 2                      
  (полное наименование юридического лица или инициалы, фамилия индивидуального предпринимателя)
             
(дата рождения индивидуального предпринимателя)   (ИНН юридического лица или индивидуального предпринимателя)
           
(свидетельство о регистрации юридического лица либо документ, удостоверяющий личность индивидуального предпринимателя)   (серия)   (номер)
Адрес (место нахождения) страхователя  
                   
(индекс)   (государство, республика, край, область)   (район)
                   
(населенный пункт)   (улица)   (дом)   (корпус)   (квартира)

2. Наименование опасного производственного объекта
 
3. Адрес (место нахождения) опасного объекта  
                     
(индекс)   (государство, республика, край, область)   (район)
                     
(населенный пункт)   (улица)   (дом)   (корпус)   (квартира)

4. Численность наибольшей работающей смены опасного объекта (заполняется для автозаправочной станции жидкого моторного топлива) ___________________________________________________

III. Статистика убытков, заявленные (предполагаемые) претензии

1. Количество аварий (инцидентов) на опасном объекте за последние 5 лет

Дата аварии (инцидента) Дата страхового случая Описание Причина Сведения о документе, содержащем данные об аварии (инциденте) Размер причиненного ущерба третьим лицам, включая работников страхователя Размер страховой выплаты
           
           

2. Существуют ли претензии (иски, требования) к страхователю, находящиеся на стадии разбирательства; известны ли страхователю какие-либо обстоятельства, которые могут послужить основанием для претензии по заявленному страхованию:

да нет

При ответе "да" приведите подробности ________________________________________________________________________________________________________________

3. Сведения о предыдущем страховом полисе обязательного страхования гражданской ответственности владельца опасного объекта за причинение вреда в результате аварии на опасном объекте

       
(серия)   (номер)   (наименование страховщика)

4. Дополнительные сведения ___________________________________________________________________________________________________________________________

4.1. Перечень грузоподъемных механизмов (далее - ГПМ), в отношении которых заключается договор обязательного страхования:

N Наименование ГПМ (лифт, платформа подъемная для инвалидов, эскалатор (за исключением эскалаторов в метрополитенах), пассажирский конвейер (движущаяся пешеходная дорожка) Заводской номер ГПМ (в соответствии с данными паспорта ГПМ (или иного документа, содержащего эти сведения Учетный номер ГПМ (при наличии) Организация-изготовитель (завод-изготовитель) в соответствии с данными паспорта ГПМ (или иного документа, содержащего эти сведения) Адрес (место нахождения) ГПМ
1          
2          
3          
         

4.2. Приложения к заявлению:

N наименование документа отметка о наличии (да или нет)
   
   

Страхователь подтверждает, что все сообщенные в настоящем заявлении сведения являются полными и достоверными и что все существенные факты и обстоятельства, известные страхователю, изложены в настоящем заявлении. Страхователь обязуется представить страховщику любую другую разумно затребованную последним информацию, а также сообщать страховщику обо всех изменениях обстоятельств, указанных в настоящем заявлении, в период действия договора обязательного страхования. Страхователь согласен с тем, что настоящее заявление совместно с любой другой представленной им информацией составляет неотъемлемую часть страхового полиса обязательного страхования, заключенного в отношении указанных в настоящем заявлении имущественных интересов. Указанные сведения относятся к существенным обстоятельствам, влияющим на степень риска.

Страхователь выражает согласие на обработку страховщиком персональных данных, указанных в заявлении и иных документах, используемых страховщиком для их обработки в соответствии с законодательством Российской Федерации о персональных данных и с целью исполнения страховщиком условий договора обязательного страхования и требований, установленных законодательством Российской Федерации, в том числе в целях проверки качества оказания страховых услуг и урегулирования убытков по договору страхования, осуществления страховой выплаты, администрирования договора, в статистических целях и в целях проведения анализа.

Страховщик имеет право осуществлять следующие действия (операции) с персональными данными страхователя (в том числе с данными специальной категории): сбор, систематизацию, накопление, хранение, уточнение (обновление, изменение), обезличивание, блокирование, уничтожение, а также их передачу участникам, определенным законодательством Российской Федерации об обязательном страховании гражданской ответственности владельца опасного объекта за причинение вреда в результате аварии на опасном объекте.

Страхователь   (   )
  (личная подпись)   (инициалы, фамилия)  
         
М.П. (при наличии)     "_____" ________________ 20__ г.  
      (дата заполнения заявления)  

5. Страховая премия (заполняется страховщиком)

Наименование опасного объекта Код вида опасного объекта Страховая сумма Базовая ставка Коэффициенты <1> страховых тарифов Страховой тариф Страховая премия
             
             

Выдан страховой полис обязательного страхования          
    (серия)   (номер)    
Особые отметки  
Страховщик          
  (представитель страховщика)   (личная подпись)   (инициалы, фамилия уполномоченного лица)
Адрес (место нахождения)  
БИК
ИНН
КПП
ОКПО
           
            "____" _____________ 20__ г.

<1> - коэффициент, зависящий от уровня безопасности опасного объекта, в том числе с учетом соблюдения требований технической и пожарной безопасности при эксплуатации опасного объекта, готовности к предупреждению, локализации и ликвидации чрезвычайной ситуации, возникшей в результате аварии на опасном объекте.

- коэффициент, зависящий от отсутствия или наличия страховых случаев, произошедших в период действия предшествующего договора обязательного страхования из-за нарушения страхователем норм и правил эксплуатации опасного объекта, установленных законодательством Российской Федерации.

Приложение 5
к Положению Банка России
от 28 декабря 2016 года N 574-П
"О правилах обязательного страхования
гражданской ответственности
владельца опасного объекта
за причинение вреда в результате
аварии на опасном объекте"

СВЕДЕНИЯ
ОБ ОБЯЗАТЕЛЬНОМ СТРАХОВАНИИ, ПРЕДСТАВЛЯЕМЫЕ СТРАХОВЩИКОМ ПРИ ПРЕКРАЩЕНИИ ДОГОВОРА ОБЯЗАТЕЛЬНОГО СТРАХОВАНИЯ

1. Наименование страхователя:      
2. Количество заключенных договоров страхования и сроки их действия:    
3. Номер, дата и срок действия последнего договора страхования:    
4. Страховая сумма по действующему (последнему) договору страхования:    
5. Страховой тариф по действующему (последнему) договору страхования:    
6. Страховые случаи, наступившие в период действия последнего договора страхования (даты, характер, особенности расследования, даты обращения потерпевших к страховщику и другие сведения):
7. Требования потерпевших по наступившим ранее страховым случаям, выплаты по которым не осуществлены:  
8. Количество и размер урегулированных требований потерпевших по наступившим страховым случаям:  
9. Количество рассматриваемых и неурегулированных требований потерпевших по наступившим страховым случаям и размер требований:
       

М.П. (при наличии)   Страховщик  
           
    (личная подпись)   (инициалы, фамилия)