Зарегистрировано в Минюсте России 10 августа 2017 г. N 47734
МИНИСТЕРСТВО ПРИРОДНЫХ РЕСУРСОВ И ЭКОЛОГИИ РОССИЙСКОЙ ФЕДЕРАЦИИ
ПРИКАЗ
от 6 июня 2017 г. N 273
ОБ УТВЕРЖДЕНИИ МЕТОДОВ РАСЧЕТОВ РАССЕИВАНИЯ ВЫБРОСОВ ВРЕДНЫХ (ЗАГРЯЗНЯЮЩИХ) ВЕЩЕСТВ В АТМОСФЕРНОМ ВОЗДУХЕ
В соответствии с пунктом 5 Положения о нормативах выбросов вредных (загрязняющих) веществ в атмосферный воздух и вредных физических воздействий на него, утвержденного постановлением Правительства Российской Федерации от 2 марта 2000 г. N 183 (Собрание законодательства Российской Федерации, 2000, N 11, ст. 1180; 2007, N 17, ст. 2045; 2009, N 18, ст. 2248; 2011, N 9, ст. 1246; 2012, N 37, ст. 5002, 2013, N 24, ст. 2999), приказываю:
1. Утвердить прилагаемые методы расчетов рассеивания выбросов вредных (загрязняющих) веществ в атмосферном воздухе.
2. Установить, что методы расчетов рассеивания выбросов вредных (загрязняющих) веществ в атмосферном воздухе, утвержденные настоящим приказом, подлежат применению с 1 января 2018 года.
3. Признать не подлежащей применению на территории Российской Федерации Методику расчета концентраций в атмосферном воздухе вредных веществ, содержащихся в выбросах предприятий (ОНД-86), утвержденную Госкомгидрометом СССР 4 августа 1986 г. N 192, с 1 января 2018 г.
4. Установить, что документация, разработанная и утвержденная до 1 января 2018 г. на основании расчетов, произведенных в соответствии с Методикой расчета концентраций в атмосферном воздухе вредных веществ, содержащихся в выбросах предприятий (ОНД-86), утвержденной Госкомгидрометом СССР 4 августа 1986 г. N 192, действует на территории Российской Федерации в течение установленного для нее срока.
Министр
С.Е. ДОНСКОЙ
УТВЕРЖДЕНЫ
приказом Минприроды России
от 06.06.2017 N 273
МЕТОДЫ РАСЧЕТОВ РАССЕИВАНИЯ ВЫБРОСОВ ВРЕДНЫХ (ЗАГРЯЗНЯЮЩИХ) ВЕЩЕСТВ В АТМОСФЕРНОМ ВОЗДУХЕ
I. Область применения
1.1. Настоящие Методы расчетов рассеивания выбросов вредных (загрязняющих) веществ в атмосферном воздухе (далее - Методы) предназначены для расчета концентраций в атмосферном воздухе вредных (загрязняющих) веществ (далее - ЗВ) (за исключением радиоактивных веществ), в том числе, включенных в Перечень ЗВ, в отношении которых применяются меры государственного регулирования в области охраны окружающей среды, утвержденный распоряжением Правительства Российской Федерации от 08.07.2015 N 1316-р (Собрание законодательства Российской Федерации, 2015, N 29, ст. 4524).
1.2. Настоящие Методы применяются юридическими лицами и индивидуальными предпринимателями для выполнения расчетов рассеивания выбросов ЗВ в атмосферном воздухе в двухметровом слое над поверхностью Земли на расстоянии не более 100 км от источника выброса, а также вертикального распределения концентраций ЗВ при:
- определении нормативов выбросов вредных (загрязняющих) веществ в атмосферный воздух;
- разработке перечня мероприятий по охране окружающей среды в составе разделов проектной документации;
- обосновании ориентировочных размеров санитарно-защитных зон;
- разработке и обосновании организационно-технических мероприятий, оказывающих влияние на уровень загрязнения атмосферного воздуха, при оценке их результатов;
- оценке воздействия намечаемой хозяйственной или иной деятельности на качество атмосферного воздуха;
- оценке краткосрочных и долгосрочных уровней загрязнения атмосферного воздуха и соответствующих концентраций загрязняющих атмосферу веществ, создаваемых всеми источниками выброса, исключая рассматриваемые (непосредственно учитываемые в расчете рассеивания выбросов) (далее - фоновые концентрации ЗВ).
II. Обозначения
2.1. Обозначения, применяемые в настоящих Методах, приведены в Приложении N 1 к Методам.
III. Сокращения
3.1. В настоящих Методах применены следующие сокращения:
- ГВС - газовоздушная (пылегазовоздушная) смесь;
- ЗВ - загрязняющее вещество;
- ПДВ - предельно допустимый выброс;
- ПДК - предельно допустимая концентрация;
- - ПДК для максимальной из разовых концентраций ЗВ в атмосферном воздухе;
- - ПДК для среднесуточной концентрации ЗВ в атмосферном воздухе;
- - ПДК для среднегодовой концентрации ЗВ в атмосферном воздухе;
- СЗЗ - санитарно-защитная зона.
IV. Общие положения
4.1. Настоящие Методы позволяют рассчитать поля:
- максимальных разовых концентраций , соответствующих сочетанию неблагоприятных метеорологических условий, в том числе, опасной скорости ветра, и неблагоприятных условий выброса ЗВ в атмосферный воздух, то есть такого сочетания мощностей и других параметров выброса ЗВ в атмосферный воздух (высота, диаметр устья, расход ГВС, температура ГВС, скорость выхода ГВС из устья, мощность выброса), при котором в условиях соблюдения промышленным предприятием установленного режима работы достигаются максимальные значения максимальных приземных концентраций (далее - неблагоприятные условия выброса ЗВ в атмосферный воздух);
- безразмерных концентраций ЗВ в атмосферном воздухе групп веществ комбинированного вредного действия (полной суммации, неполной суммации, потенцирования);
- средних концентраций ЗВ в атмосферном воздухе, соответствующих длительному (сезон, год) времени осреднения, в частности, среднегодовых, концентраций C ЗВ в атмосферном воздухе (далее - долгопериодные средние концентрации ЗВ в атмосферном воздухе).
4.2. При совместном присутствии в атмосферном воздухе нескольких веществ, обладающих суммацией действия <1>, для всех расчетных точек на местности по формуле (1) определяется безразмерная концентрация ЗВ в атмосферном воздухе рассматриваемого ЗВ:
<1> Гигиенические нормативы ГН 2.1.6.1338-03 "Предельно допустимые концентрации (ПДК) загрязняющих веществ в атмосферном воздухе населенных мест", введенные в действие постановлением Главного государственного санитарного врача Российской Федерации от 30.05.2003 N 114 (зарегистрировано Минюстом России 11.06.2003, регистрационный N 4679) с изменениями, внесенными постановлением Главного государственного санитарного врача Российской Федерации от 17.10.2003 N 150 "О введении в действие ГН 2.1.6.1765-03" (зарегистрировано в Минюсте России 21.10.2003, регистрационный N 5187), постановлением Главного государственного санитарного врача Российской Федерации от 03.11.2005 N 26 "Об отмене ряда гигиенических нормативов в ГН 2.1.6.1338-03 и ГН 2.1.6.1339-03" (зарегистрировано в Минюсте России 02.12.2005 регистрационный N 7224), постановлением Главного государственного санитарного врача Российской Федерации от 03.11.2005 N 24 "О введении в действие гигиенических нормативов ГН 2.1.6.1983-05 и ГН 2.1.6.1984-05" (зарегистрировано в Минюсте России 02.12.2005, регистрационный N 7225), постановлением Главного государственного санитарного врача Российской Федерации от 19.07.2006 N 15 "О введении в действие гигиенических нормативов ГН 2.1.6.1985-06" (зарегистрировано в Минюсте России 27.07.2006, регистрационный N 8117), постановлением Главного государственного санитарного врача Российской Федерации от 04.02.2008 N 6 "Об утверждении гигиенических нормативов ГН 2.1.6.2326-08" (зарегистрировано в Минюсте России 29.02.2008, регистрационный N 11260), постановлением Главного государственного санитарного врача Российской Федерации от 18.08.2008 N 49 "Об утверждении гигиенических нормативов ГН 2.1.6.2416-08" (зарегистрировано в Минюсте России 04.09.2008, регистрационный N 12223), постановлением Главного государственного санитарного врача Российской Федерации от 27.01.2009 N 6 "Об утверждении гигиенических нормативов ГН 2.1.6.2450-09" (зарегистрировано в Минюсте России 16.02.2009 N 13357), постановлением Главного государственного санитарного врача Российской Федерации от 09.04.2009 N 22 "Об утверждении гигиенических нормативов ГН 2.1.6.2498-09" (зарегистрировано в Минюсте России 18.05.2009, регистрационный N 13934), постановлением Главного государственного санитарного врача Российской Федерации от 19.04.2010 N 26 "Об утверждении гигиенических нормативов ГН 2.1.6.2604-10" (зарегистрировано в Минюсте России 19.05.2010, регистрационный N 17280), постановлением Главного государственного санитарного врача Российской Федерации от 12.07.2011 N 98 "Об утверждении гигиенических нормативов ГН 2.1.6.2897-11 "Дополнение N 9 к ГН 2.1.6.1338-03 "Предельно допустимые концентрации (ПДК) загрязняющих веществ в атмосферном воздухе населенных мест" (зарегистрировано в Минюсте России 30.08.2011, регистрационный N 21709), постановлением Главного государственного санитарного врача Российской Федерации от 07.04.2014 N 27 "О внесении изменения N 10 в ГН 2.1.6.1338-03 "Предельно допустимые концентрации (ПДК) загрязняющих веществ в атмосферном воздухе населенных мест" (зарегистрировано в Минюсте России 11.04.2014, регистрационный N 31909), постановлением Главного государственного санитарного врача Российской Федерации от 17.06.2014 N 37 "О внесении изменения N 11 в ГН 2.1.6.1338-03 "Предельно допустимые концентрации (ПДК) загрязняющих веществ в атмосферном воздухе населенных мест" (зарегистрировано в Минюсте России 04.07.2014, регистрационный N 32967), постановлением Главного государственного санитарного врача Российской Федерации от 27.11.2014 N 76 "О внесении изменений в ГН 2.1.6.1338-03 "Предельно допустимые концентрации (ПДК) загрязняющих веществ в атмосферном воздухе населенных мест" (зарегистрировано в Минюсте России 26.12.2014, регистрационный N 35425), постановлением Главного государственного санитарного врача Российской Федерации от 12.01.2015 N 3 "О внесении изменения в ГН 2.1.6.1338-03 "Предельно допустимые концентрации (ПДК) загрязняющих веществ в атмосферном воздухе населенных мест" (зарегистрировано в Минюсте России 09.02.2015, регистрационный N 35937), постановлением Главного государственного санитарного врача Российской Федерации от 30.08.2016 N 146 "О внесении изменений в ГН 2.1.6.1338-03 "Предельно допустимые концентрации (ПДК) загрязняющих веществ в атмосферном воздухе населенных мест" (зарегистрировано в Минюсте России 13.09.2016, регистрационный N 43648) (далее - ГН 2.1.6.1338-03 "Предельно допустимые концентрации (ПДК) загрязняющих веществ в атмосферном воздухе населенных мест").
где - число ЗВ, входящих в группу комбинированного вредного действия;
- рассчитанная в соответствии с требованиями настоящих Методов (относящаяся ко времени осреднения 20 - 30 мин) концентрация i-того ЗВ, входящего в рассматриваемую группу ЗВ комбинированного вредного действия, мг/м3.
4.3. Расчет максимальных разовых и среднегодовых концентраций ЗВ, претерпевающих в атмосферном воздухе химические превращения (трансформацию) в более вредные ЗВ, должен проводиться по каждому исходному и образующемуся веществу отдельно. При этом коэффициенты трансформации, используемые при расчете максимальных разовых и среднегодовых концентраций ЗВ, могут различаться. При расчетах максимальных разовых концентраций коэффициент трансформации для каждого вещества устанавливается с учетом максимально возможной трансформации исходных веществ в более токсичные.
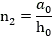
4.4. В зависимости от высоты H установленного отверстия, через которое содержащая ЗВ пылегазовоздушная смесь поступает в атмосферный воздух (далее - устье источника выброса), источники выбросов относятся к наземным (при H до 2 м включительно), низким (от 2 до 10 м включительно), средней высоты (от 10 до 50 м включительно), высоким (свыше 50 м).
Для наземных источников выбросов высота H при расчетах по формулам, приведенным в настоящих Методах, принимается равной 2 м.
4.5. В формулах, приведенных в настоящих Методах, используются следующие единицы величин: единицы длины - в метрах (м), время - в секундах (с), мощность выброса ЗВ - в граммах в секунду (г/с), его концентрация в атмосферном воздухе - в миллиграммах на кубический метр (мг/м3).
4.6. Климатические параметры, необходимые для реализации расчетов по данным Методам, устанавливаются по климатическим данным, опубликованным для всеобщего доступа (в том числе - климатическим справочникам) или предоставленным по заказу организациями, выполняющими работы по определению климатологических характеристик окружающей среды на основании лицензии на осуществление деятельности в области гидрометеорологии и в смежных с ней областях (за исключением указанной деятельности, осуществляемой в ходе инженерных изысканий, выполняемых для подготовки проектной документации, строительства, реконструкции объектов капитального строительства). Качество, объем и способы обработки используемых при этом данных метеорологических наблюдений должны соответствовать обязательным метрологическим требованиям к измерениям <2>.
<2> Приказ Минприроды России от 19.10.2015 N 436 "Об утверждении перечня измерений, относящихся к сфере государственного регулирования обеспечения единства измерений и выполняемых при осуществлении деятельности в области гидрометеорологии и смежных с ней областях, и обязательных метрологических требований к ним, в том числе показателей точности измерений" (зарегистрирован в Минюсте России 03.11.2015 регистрационный N 39593).
Для предприятий, работающих по сезонному графику (пункт 5.5 настоящих Методов) допускается замена используемых в расчетах значений максимальной расчетной скорости ветра , значение которой в данной местности в среднем многолетнем режиме превышается в 5% случаев (пункты 5.11 и 8.1 настоящих Методов), на значения
, определенные отдельно для холодного (
) или теплого (
) сезонов года (допускается также использование единого за год значения
). В тех случаях, когда отсутствует информация для рассматриваемой территории о значении максимальной расчетной скорости ветра uм.р, допускается ее определение по формулам (2а) - (2б):
, (2а)
. (2б)
где (м/с) - средняя многолетняя скорость ветра для этой территории. Формулы (2а), (2б) могут также применяться для определения значений uм.р, отдельно для холодного (
) и теплого (
) сезонов года с использованием вместо uг значений средних многолетних скоростей ветра для холодного (
) и теплого (
) сезонов, соответственно. Если определенные по данным метеонаблюдений или по формулам (2а), (2б) величины
,
или
принимают значения менее 6 м/с, то в расчетах по формулам, приведенным в главах V - IX настоящих Методов, вместо них следует использовать значение 6 м/с. Величины, определенные по формулам (2а), (2б), не могут использоваться для корректировки соответствующих значений, определенных по данным измерений.
V. Метод расчета максимальных разовых концентраций от выбросов одиночного точечного источника
5.1. Положения данной главы используются при расчетах рассеивания выбросов от дымовых труб, вентиляционных шахт, а также от источников организованного выброса загрязняющих атмосферный воздух веществ из установленных отверстий (далее - от точечных источников выброса) при условии, что скорость выхода газовоздушной смеси (далее - ГВС) из устья источника выброса не превосходит скорости звука в атмосферном воздухе (в целях данных Методов принимается равной 330 м/с), а температура
ГВС не превышает 3000 °C. В случаях несоблюдения этих условий расчет производится на основе главы XII настоящих Методов.
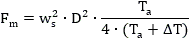
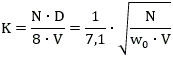
5.2. Максимальная приземная разовая концентрация , мг/м3, при выбросе ГВС из одиночного точечного источника с круглым устьем достигается при опасной скорости ветра
на расстоянии
от источника выброса и определяется по формуле (3):
, (3)
где A - коэффициент, зависящий от температурной стратификации атмосферы, определяющий условия горизонтального и вертикального рассеивания ЗВ в атмосферном воздухе;
M - масса ЗВ, выбрасываемого в атмосферный воздух в единицу времени (мощность выброса), г/с;
F - безразмерный коэффициент, учитывающий скорость оседания ЗВ (газообразных и аэрозолей, включая твердые частицы) в атмосферном воздухе;
m и n - безразмерные коэффициенты, учитывающие условия выброса из устья источника выброса;
- безразмерный коэффициент, учитывающий влияние рельефа местности (определяемый в соответствии с главой VII настоящих Методов);
H - высота источника выброса, м;
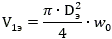
- расход ГВС, определяемый по формуле (4), м3/с;
- разность между температурой выбрасываемой ГВС
и температурой атмосферного воздуха
, °C.
, (4)
где D - диаметр устья источника выброса, м;
- средняя скорость выхода ГВС из устья источника выброса, м/с.
5.3. Значения коэффициента A, соответствующего неблагоприятным метеорологическим условиям, при которых разовые концентрации ЗВ в атмосферном воздухе достигают максимальных значений, даны в Приложении N 2 к настоящим Методам.
5.4. Мощности M выброса, высоты источников H, диаметры устьев D, температуры и расходы
ГВС при проектировании предприятий должны определяться расчетом в технологической части проекта (для проектируемых, вводимых в эксплуатацию построенных и реконструированных объектов), а для действующих производств должны определяться по результатам инвентаризации стационарных источников выбросов вредных (загрязняющих) веществ в атмосферный воздух.
При расчете максимальных разовых концентраций принимаются сочетания при времени осреднения 20 - 30 мин значений M и , реально возможные в течение года при безаварийных условиях эксплуатации предприятия, при которых достигается максимальная концентрация
ЗВ.
Способ определения зависимости мощности выброса M от скорости ветра определяется методикой расчета выбросов вредных (загрязняющих) веществ в атмосферный воздух стационарными источниками выброса <3>. При этом учет зависимости мощности выброса M от скорости ветра осуществляется с помощью соответствующего множителя, который включается в формулу (20), а максимальная приземная концентрация ЗВ и опасная скорость ветра определяются прямым перебором скоростей. При расчете среднегодовых концентраций аналогичный множитель включается в формулу (117).
<3> Правила разработки и утверждения методик расчета выбросов вредных (загрязняющих) веществ в атмосферный воздух стационарными источниками, утвержденные постановлением Правительства Российской Федерации от 16.05.2016 N 422 (Собрание законодательства Российской Федерации, 2016, N 21, ст. 3018).
В случае, если в методике расчета выбросов вредных (загрязняющих) веществ отсутствует способ определения зависимости мощности выброса M от скорости ветра, мощность выброса задается постоянным значением, которое при расчете максимальных концентраций принимается согласно требованиям данного пункта, а при расчете среднегодовых концентраций - согласно требованиям пункта 10.1.4.2 настоящих Методов.
5.5. При определении величины для предприятий, работающих по сезонному графику, допускается принимать значения расчетной температуры окружающего атмосферного воздуха
равными средним месячным температурам воздуха за самый холодный месяц по СП 131.13330.2012 Свод правил. "Актуализированная редакция СНиП 23-01-99 Строительная климатология" <4>.
<4> Перечень национальных стандартов и сводов правил (частей таких стандартов и сводов правил), в результате применения которых на обязательной основе обеспечивается соблюдение требований Федерального закона "Технический регламент о безопасности зданий и сооружений", утвержденный постановлением Правительства Российской Федерации от 26.12.2014 N 1521 (Собрание законодательства Российской Федерации, 2015, N 2, ст. 465, N 40, ст. 5568,2016, N 50, ст. 7122).
Для остальных источников выбросов расчетная температура принимается равной средней максимальной температуре воздуха наиболее теплого месяца года по СП 131.13330.2012 Свод правил. "Актуализированная редакция СНиП 23-01-99 Строительная климатология".
5.6. Значение безразмерного коэффициента F приведено в Приложении N 2 к настоящим Методам.
5.7. Коэффициенты m и n определяются в зависимости от характеризующих свойства источника выброса параметров ,
, f и
:
, (5)
, (6)
, (7)
. (8)
Коэффициент m определяется по формулам (9а) - (9б):
, (9а)
. (9б)
Для fе < f < 100 коэффициент m вычисляется при f = fе.
Коэффициент n при f < 100 определяется по формулам (10а) - (10в):
, (10б)
. (10в)
При f 100 или
коэффициент n вычисляется согласно пункту 5.8 настоящих Методов.
5.8. Для f 100 (или
) и
(холодные выбросы) при расчете см вместо формулы (3) используется формула (11):
, (11)
где
, (12)
причем n определяется по формулам (10а - 10в) при .
Аналогично при f < 100 и < 0,5 или f
100 и
< 0,5 (случаи предельно малых опасных скоростей ветра) расчет см производится по формуле (13):
, (13)
где
, (14а)
. (14б)
Формула (13) при m' = 0,9 применяется также при расчете концентраций ЗВ для источников выбросов, у которых вертикальная составляющая скорости поступающей в атмосферу газовоздушной смеси не превышает 0,01 м/с, а давление в ней, ее плотность и температура отличаются от соответствующих характеристик атмосферного воздуха не более, чем на 0,01% (далее - источник выбросов фиксированной высоты) H при 0
< 0,5 и -0,5
0 <5>.
<5> Формулы (11) и (13) являются предельными случаями общей формулы (3).
5.9. Расстояние хм от источника выброса, на котором приземная концентрация c ЗВ при неблагоприятных метеорологических условиях достигает максимального значения см, определяется по формуле (15):
, (15)
Безразмерный коэффициент d при f < 100 находится по формулам (16а) - (16в)
, (16а)
, (16б)
. (16в)
При f 100 или
коэффициент d находится по формулам (17а) - (17в):
, (17а)
, (17б)
. (17в)
Для источника выброса фиксированной высоты H при 0
< 0,5 и -0,5
0 значение
принимается равным 5,7
H.
5.10. Опасная скорость ветра на стандартном уровне флюгера (10 м от уровня земли), при которой достигается наибольшая приземная концентрация ЗВ
, в случае f < 100 определяется по формулам (18а - 18в):
, (18б)
. (18в)
При f 100 или 0
< 0,5 значение uм вычисляется по формулам (19а - 19в):
, (19а)
, (19б)
. (19в)
Для источника выброса фиксированной высоты H при 0
< 0,5 и -0,5
0 принимается
= 0,5 м/с.
5.11. Максимальная приземная концентрация ЗВ при неблагоприятных метеорологических условиях и скорости ветра u, отличающейся от опасной скорости ветра
, определяется по формуле (20):
, (20)
где r - безразмерная величина, определяемая по формулам (21а - 21б):
, (21а)
. (21б)
При проведении расчетов следует использовать значения скорости ветра u в диапазоне от 0,5 м/с до , где
- максимальная расчетная скорость ветра, значение которой в данной местности в среднем многолетнем режиме превышается в 5% случаев (пункт 4.6 настоящих Методов).
5.12. Расстояние от источника выброса ., на котором при скорости ветра и и неблагоприятных метеорологических условиях достигается максимальная приземная концентрация
ЗВ, определяется по формуле (22):
, (22)
где p - безразмерный коэффициент, определяемый по формулам (23а - 23в):
, (23а)
, (23б)
. (23в)
5.13. При опасной скорости ветра приземная концентрация ЗВ c в атмосферном воздухе на оси факела от точечного источника, определяемой как геометрическое место точек в пространстве, которые на каждом заданном расстоянии от источника соответствуют максимальному значению концентрации ЗВ, а также как их проекция на подстилающую поверхность (то есть на взаимодействующую с атмосферой поверхности земли, в том числе, почву, поверхностные воды, снежный и растительный покров), на различных расстояниях x от источника выброса вычисляется по формуле (24):
, (24)
где - безразмерный коэффициент, определяемый в зависимости от отношения
и коэффициента F по формулам (25а - 25е):
, (25б)
, (25в)
, (25г)
, (25д)
. (25е)
Для наземных и низких источников выброса (высотой H не более 10 м) при < 1 величина
в формуле (24) заменяется на величину
, определяемую по формуле (26):
(26)
Аналогично определяется концентрация ЗВ на различных расстояниях по оси факела при неблагоприятных метеорологических условиях и других скоростях ветра . Сначала по формулам (20) и (22) определяются величины
и
, соответственно. Затем в зависимости от отношения
. определяется значение
по формулам (25а) - (25е) и (26). Искомая концентрация c ЗВ определяется путем умножения
на
.
5.14. Приземная концентрация ЗВ в атмосферном воздухе cy на расстоянии y по нормали к оси факела выброса определяется по формуле (27):
, (27)
где - безразмерный коэффициент, определяемый по формуле (28):
, (28)
где
, (29а)
. (29б)
5.15. Расчеты распределения максимальных разовых концентраций ЗВ на разных высотах z > 2 м над подстилающей поверхностью (пункт 5.13 настоящих Методов) по формулам, приведенным в данном пункте, проводятся для таких расчетных точек, на которых на значения концентрации не влияют ветровые тени близлежащих зданий и сооружений (глава IX настоящих Методов). В частности, такие расчеты производятся при выборе положения устьев воздухозаборных труб и шахт и других объектов, расположенных на открытых участках местности или на участках, где максимальная высота зданий (сооружений) не менее чем в 2,5 раза ниже высоты воздухозабора при условии, что источники выбросов не располагаются в зоне затишья и/или нарушенного ветрового потока, образующейся на подветренной стороне здания (сооружения) (зона подветренной тени), с наветренной стороны (зона наветренной тени или зона подпора), на крыше (зона крышной тени) или между зданиями (зона межкорпусной тени) (далее - ветровая тень зданий и сооружений). В остальных случаях расчет проводится в соответствии с положениями главы IX настоящих Методов.
Для одиночного источника выброса высотой H концентрации ЗВ рассчитываются по формуле (30):
, (30)
где ,
- вычисляемые по формулам, приведенным в данной главе, при x > 0 приземные концентрации ЗВ от точечных источников выбросов, высоты которых равны
, соответственно. Остальные параметры выброса рассматриваемого источника выброса (M, D,
,
) сохраняются неизменными.
При H < 2 или при < 2 в (30), соответственно, принимается H = 2 или
= 2 (пункт 4.4 настоящих Методов); аналогично, при z < 2 принимается z = 2. При этом расчет концентраций в нижнем двухметровом слое проводится по формулам, приведенным в пунктах 5.1 - 5.14 настоящих Методов.
Расчеты по формуле (30) проводятся на расстояниях x от точечного источника выброса, удовлетворяющих условию x > 10D, где D - диаметр устья источника выброса (пункт 5.2 настоящих Методов); при проведении расчетов используются значения скорости ветра u в диапазоне от 0,5 м/с до , где
- максимальная расчетная скорость ветра (пункт 5.11 настоящих Методов).
5.16. Расчеты рассеивания выбросов для источников выбросов с прямоугольными устьями (шахт) производятся по формулам, приведенным в данной главе, при значениях и принятии
как средней скорости выхода ГВС в атмосферный воздух.
Средняя скорость выхода ГВС в атмосферный воздух определяется по формуле (31):
, (31)
b - ширина устья, м.
Эффективный диаметр устья , м, определяется по формуле (32):
. (32)
Для источника выброса с квадратным устьем ( = b) эффективный диаметр
равняется длине стороны квадрата.
Эффективный расход выходящей в атмосферный воздух в единицу времени ГВС , м3/с определяется по формуле (33):
. (33)
В остальном расчет рассеивания выбросов производится так же, как для выбросов из источника выброса с круглым устьем.
5.17. Для каждого источника выброса радиус зоны влияния рассчитывается как наибольшее из двух расстояний от источника выброса и
, где
= 10
, а величина
определяется как расстояние от источника выброса, начиная с которого c
0,05
.
VI. Метод расчета рассеивания выбросов ЗВ из аэрационного фонаря в атмосферном воздухе
6.1. Расчет рассеивания выбросов от аэрационного фонаря длиной (рисунок 6.1 (Приложение N 7 к настоящим Методам) производственного корпуса производится в соответствии с пунктом 8.5 настоящих Методов.
Для аэрационного фонаря, как и для источника, выбрасывающего загрязняющие атмосферу вещества по установленной линии (далее - линейный источник выброса), наибольшая концентрация ЗВ см достигается при ветре вдоль источника выброса на расстоянии от проекции его центра на земную поверхность. При указанном направлении ветра значения
и
определяются по формулам (34), (35), (36):
, (34)
. (35)
(36)
Значения ,
и соответствующая
опасная скорость ветра
рассчитываются также, как
,
и
для одиночного источника выброса с круглым устьем при значениях D =
,
=
и мощности M, равной полной мощности выброса ЗВ из аэрационного фонаря. Эффективный диаметр
, рассчитывается по формуле (37):
, (37)
где - расход выбрасываемой из аэрационного фонаря в единицу времени ГВС, м3/с;
- средняя скорость выхода ГВС из аэрационного фонаря, м/с.
Значения и
, а также температуры
ГВС определяются экспериментальным путем или по расчету аэрации.
Величина определяется по формуле (33) с использованием рассчитанного по формуле (37) значения
.
Безразмерные коэффициенты и
в формулах (34), (35) определяются в зависимости от отношения
по формулам (38), (39):
, (38)
. (39)
За высоту источника выброса H принимается высота над уровнем земли верхней кромки ветроотбойных щитов аэрационного фонаря или его верхней кромки при отсутствии ветроотбойных щитов.
6.2. В случае, когда производственные процессы в оборудованных аэрационными фонарями корпусах связаны с электролизом, плавкой и термическим переделом металлов, то при расчетах рассеивания выбросов ЗВ из аэрационных фонарей в атмосферном воздухе допускается принимать .
Значение определяется на основе расчета теплового баланса корпуса с учетом аэрации.
При этом в исходных данных для расчетов рассеивания выбросов следует использовать температуру ГВС на выходе из аэрационного фонаря, определенную по формуле (40):
, (40)
где определяется обычным образом в соответствии с пунктом 5.5 настоящих Методов.
6.3. Расчеты рассеивания выбросов ЗВ из аэрационных фонарей в атмосферном воздухе по формулам, приведенным в настоящей главе, производятся для расстояний от производственного корпуса, больших . Для расстояний, меньших
, необходимо учитывать влияние зданий, оборудованных аэрационными фонарями, в соответствии с формулами, приведенными в главе IX настоящих Методов.
6.4. Расчет рассеивания выбросов ЗВ из аэрационного фонаря в атмосферном воздухе с перебором различных сочетаний скорости и направления ветра проводится в соответствии с формулами, приведенными в главе V настоящих Методов. При этих расчетах используются значения параметров выброса M, H, D = и
=
, рассчитанные в соответствии с пунктом 6.1 настоящих Методов.
VII. Учет влияния рельефа местности при расчете рассеивания выбросов ЗВ в атмосферном воздухе
7.1. Влияние рельефа местности на максимальную приземную концентрацию см ЗВ от одиночного точечного источника выброса учитывается безразмерным коэффициентом в формулах (3), (11), (13). В случае ровной или слабопересеченной местности с перепадом высот, не превышающим 50 м на 1 км,
= 1.
7.2. Если перепад высот превышает 50 м на 1 км, то коэффициент устанавливается на основе анализа картографического материала, характеризующего рельеф местности в окрестности радиусом R = 50
, где
- высота наиболее высокого из источников выбросов, расположенных на одном или нескольких земельных участках, в пределах которых расположен конкретный объект, оказывающий негативное воздействие на окружающую среду (далее - промплощадка). При этом R не должно быть менее 2 км.
Картографический материал должен представлять собой топографические карты масштабом 1:25 000 или 1:10 000 с линиями равных высот местности (изогипсами) и отметками высот, а также с указанием расположения промплощадки предприятия и источников выбросов. При этом используются топографические карты как на бумажных, так и на электронных носителях, в том числе, полученные из открытых источников в информационно-телекоммуникационной сети "Интернет".
7.3. Если в окрестности расположения рассматриваемого источника выброса можно выделить отдельные формы рельефа (гряду, гребень, ложбину, уступ), то поправочный коэффициент на рельеф определяется по формуле (41):
, (41)
где - функция, определяемая по таблице 1 (Приложение N 3 к настоящим Методам), в зависимости от отношения
для форм рельефа, сечения которых представлены на рисунке 2 (Приложение N 7 к настоящим Методам).
Если источник выброса расположен на верхнем плато уступа, то функция определяется в зависимости от отношения "минус
";
- расстояние от середины рассматриваемой формы рельефа в случае гряды или ложбины и от верхней кромки склона в случае уступа до источника выброса, как указано на рисунке 2 (Приложение N 7 к настоящим Методам);
- полуширина гряды, холма, ложбины или протяженность бокового склона уступа, м;
- функция, определяемая по таблице 2 (Приложение N 3 к настоящим Методам) в зависимости от различных форм рельефа и безразмерных величин
и
.
Безразмерная величина определяется с точностью до десятых по формуле (42):
, (42)
где H - высота источника выброса, м;
- высота (глубина) формы рельефа, м (рисунок 2 (Приложение N 7 к настоящим Методам).
Безразмерная величина определяется с точностью до целых по формуле (43):
. (43)
При < 1,03 в расчетах принимается значение
, равное единице.
Если рассматриваемые формы рельефа представляют собой гряды (ложбины), вытянутые в одном направлении, значения и
определяются для поперечного сечения, перпендикулярного данному направлению. Если рассматриваемая форма рельефа представляет собой отдельный холм (впадину), то
выбирается соответствующим разнице между максимальной (минимальной) отметкой этого холма (впадины) и отметкой местности, соответствующей началу склона, а
- максимальной крутизне склона, обращенного к источнику выброса.
Для источников выбросов, расположенных в зоне влияния нескольких отдельных форм рельефа, значения определяются для каждой формы рельефа, и используется максимальное из них.
7.4. Расчет распределения приземных концентраций ЗВ на оси факела на различных расстояниях от источника выброса по формуле (24) для расстояний x от источника выброса, удовлетворяющих неравенству (44):
где - коэффициент, определяемый в зависимости от
по формулам (45а), (45б);
- расстояние
для рассматриваемого источника выброса, в условиях ровной или слабопересеченной местности, то есть при
= 1.
, (45а)
. (45б)
При этом в формулах (25) и (26) определяется по формуле (46):
, (46)
где коэффициент определяется в зависимости от
и F по формулам (47а) - (47в):
, (47а)
, (47б)
. (47в)
Коэффициент в формуле (47б) имеет вид:
(47г)
Если условие формулы (44) не выполняется, то расчет распределения приземных концентраций по оси факела на различных расстояниях от источника выброса проводится по формулам, приведенным в главе V настоящих Методов, при значении = 1.
7.5. Если источник выброса располагается в долине шириной и его высота H меньше 2/3 глубины долины, то расчеты по формуле (24) для направления ветра вдоль долины производятся до расстояний x, удовлетворяющих условию (48)
. (48)
При других значениях скоростей ветра расчет проводится аналогичным образом, причем вместо
в формулах (44) и (46) используется значение
величины
, определенной в соответствии с пунктом 5.12 настоящих Методов для условий ровной или слабопересеченной местности.
7.6. Расчет рассеивания выбросов на промплощадке с учетом влияния рельефа местности проводится в соответствии с положениями главы IX настоящих Методов. При этом значения и
определяются в соответствии с пунктами 7.2 - 7.5 настоящих Методов, а безразмерный коэффициент
- с учетом указаний, изложенных в пунктах 7.4 - 7.5 настоящих Методов.
VIII. Метод расчета максимальных разовых концентраций ЗВ в атмосферном воздухе выбросами групп точечных, линейных и площадных источников выбросов
8.1. Приземная концентрация ЗВ c в фиксированной точке местности при наличии группы источников выбросов определяется как сумма концентраций данного вещества от отдельных источников выброса при заданных направлении и скорости ветра:
, (49)
где ,
, ...,
- концентрации ЗВ соответственно от первого, второго, ..., N-го источников выбросов, расположенных с наветренной стороны при рассматриваемом направлении ветра.
Максимальная разовая концентрация ЗВ см в фиксированной точке местности при наличии группы источников выбросов определяется как максимальное значение концентраций ЗВ, рассчитанных в этой точке при различных сочетаниях скоростей и направлений ветра. При этом скорости ветра варьируются в диапазоне от 0,5 м/с до своего максимального расчетного значения (определяется согласно пункту 5.11 настоящих Методов).
Учет влияния рельефа местности и совокупности зданий, строений и сооружений на рассматриваемой территории (далее - застройка) при необходимости осуществляется в соответствии с главами VII и IX настоящих Методов.
В случаях, когда известно, что имеются неучтенные источники выброса того же вещества, в правой части формулы (49) добавляется слагаемое , характеризующее фоновое загрязнение атмосферного воздуха от неучтенных источников выброса. Расчет
проводится в соответствии с главой IX настоящих Методов.
При установлении неблагоприятных условий выброса ЗВ в атмосферный воздух и подготовке исходных данных для расчета концентраций ЗВ должна учитываться нестационарность мощностей и других параметров выброса источников выбросов и их совокупностей (в течение суток, года, технологических циклов). Как и для одиночного источника выброса, при расчетах приземных концентраций ЗВ выбросами группы источников принимается наиболее неблагоприятное сочетание значений и
, реально осуществляющееся для всех рассматриваемых источников выброса одновременно.
Допускается в целях ускорения и упрощения расчетов сократить количество рассматриваемых источников выброса путем их объединения (особенно мелких источников) в отдельные виртуальные источники выбросов, то есть во вспомогательные источники выброса или совокупность вспомогательных источников выбросов, которые вводятся для расчета характеристик распространения ЗВ от рассматриваемого источника выброса (как указано в пункте 8.8 настоящих Методов).
8.2. Максимальная суммарная концентрация ЗВ от N расположенных близко одиночных точечных источников выбросов, имеющих одинаковые значения высоты, диаметра устья, скорости выхода в атмосферный воздух и температуры ГВС, определяется по формуле (50):
, (50)
где M - суммарная мощность выброса ЗВ из N рассматриваемых источников выброса, г/с;
V - определяемый по формуле (51) суммарный расход выбрасываемой всеми источниками ГВС, м3/с.
. (51)
Формула (5) преобразуется к виду (52):
. (52)
В остальном схема расчета концентраций ЗВ, обусловленных выбросами от группы близко расположенных одинаковых точечных источников выброса, не отличается от приведенной в главе V настоящих Методов схемы расчета для одиночного источника выброса.
При расчетах концентраций ЗВ на промплощадке и за ее пределами источники выброса могут рассматриваться, как близко расположенные, если максимальное расстояние между ними не превосходит, соответственно, или 0,25
, где
определено в пункте 9.1.5 настоящих Методов, а
- минимальное расстояние от центра тяжести точек размещения источников выброса до расчетных точек за пределами промплощадки.
8.3. Для расчета концентраций ЗВ, обусловленных выбросами из близко расположенных одинаковых точечных источников выбросов, когда 0
< 0,5 или параметр f
100, мощность M принимается равной суммарной мощности выброса из всех источников, значение
определяется по формуле (53а):
, (53а)
а формула (12) преобразуется к виду (53б):
. (53б)
Далее расчет производится с использованием формул, приведенных в главе V настоящих Методов, для одиночного источника выброса.
8.4. Максимальная приземная концентрация ЗВ при выбросах через многоствольную трубу (N стволов) рассчитывается по формулам (54а) - (54б):
, (54а)
, (54б)
где l - среднее расстояние между центрами устьев стволов, определяемое как среднее арифметическое из всех расстояний между парами различных устьев, м;
- безразмерный коэффициент, определяемый по формулам (108а), (108б);
- максимальная приземная концентрация ЗВ, определяемая по формуле (3) при параметрах выброса для одного ствола и при мощности выброса M, равной суммарной мощности выброса из всех стволов;
- максимальная приземная концентрация ЗВ, рассчитываемая по формуле (3) при следующих условиях:
- мощность M равна суммарной мощности выброса из всех стволов,
- диаметр D равен эффективному диаметру , источника выброса, который определяется по формуле (55):
, (55)
- расход выходящей ГВС равен эффективному расходу
, вычисленному по формуле (33);
- безразмерный коэффициент, определяемый по формуле (56):
. (56)
В формуле (56) D - диаметр устья одного ствола.
Расстояние , на котором достигается максимальная концентрация ЗВ
, определяется по формулам (57а) - (57б):
, (57а)
, (57б)
где - расстояние, соответствующее максимальной концентрации ЗВ
, определяемое по формуле (15) при параметрах выброса для одного ствола;
- расстояние, соответствующее максимальной концентрации ЗВ
, определяемое по формуле (15) с учетом D =
, V =
.
Опасная скорость ветра вычисляется по формулам (58а) - (58б):
, (58а)
, (58б)
где - опасная скорость ветра, соответствующая максимальной концентрации ЗВ
и определяемая по формулам (18) и (19) при параметрах выброса для одного ствола;
- опасная скорость ветра, соответствующая максимальной концентрации ЗВ
и определяемая по формулам (18) и (19) с учетом D =
, V =
.
В остальном расчет производится, как для одиночного источника выброса.
Если многоствольная труба представляет собой трубу, разделенную на секторы, то есть состоит из стволов секторной формы, то расчеты выполняются так же, как для одноствольной трубы при V = (формула (33) и D =
:
, (59)
где - суммарная площадь устьев всех действующих стволов.
В случае, когда температура и скорость выхода
ГВС для отдельных стволов различаются между собой, для расчетов принимаются их средневзвешенные значения, причем веса принимаются равными расходам ГВС для отдельных стволов.
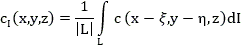
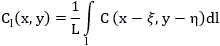
8.5. Концентрация ЗВ от линейного источника выброса, расположенного вдоль отрезка L трехмерной кривой, рассчитывается по формуле (60):
, (60)
где |L| - длина указанного отрезка, и интеграл вычисляется вдоль этого отрезка;
- концентрация ЗВ, создаваемая в расчетной точке (x, y, z) точечным источником выброса, находящимся в точке
отрезка L. При этом в расчетных точках, находящихся с наветренной стороны от источника выброса, значение подынтегральной функции в формуле (60) принимается равным нулю.
В частном случае линейного источника выброса, расположенного на подстилающей поверхности, рассчитывается по формуле (61):
. (61)
Подынтегральные функции в формулах (60) и (61) вычисляются по формулам, приведенным в главах V - VII настоящих Методов, с использованием суммарного выброса от всего рассматриваемого источника выброса.
В случае выбросов от аэрационного фонаря подынтегральная функция в формулах (60) и (61) рассчитывается с использованием суммарной мощности выброса и эффективного диаметра, определяемого по формуле (37).
Если линейным источником выброса аппроксимируются выбросы от точечного источника мощности M(t), который за время осреднения перемещается с положительной скоростью v(t), м/с, вдоль отрезка L, то концентрация ЗВ вычисляется по формуле (62):
, (62)
где M(l) и v(l) - значения M(t) и v(t), соответствующие тому моменту времени t, когда перемещающийся источник выброса находится в точке <6>, а
- вычисленная по формулам, приведенным в настоящих Методах, концентрация в точке (x, y, z) от одиночного источника выброса ЗВ единичной мощности, располагающегося в точке
.
<6> Подынтегральная функция в формулах (60) - (62) отлична от нуля в точках отрезка L, координаты которых по оси x отрицательны в декартовой системе координат с началом в расчетной точке и осью x, направленной по направлению ветра.
Участки отрезка L, на которых скорость v(l) < 0,01 м/с, исключаются из области интегрирования в формуле (62) и каждый из них заменяется на точечный источник, мощность выброса которого равна мощности выброса от соответствующего участка.
Для тех участков отрезка L, на которых скорость v(l) < 0, направление интегрирования в формуле (62) изменяется на противоположное с одновременным изменением знака скорости.
Погрешность численного интегрирования при расчете концентраций ЗВ от линейного источника выброса по формулам (60) - (62) не должна превышать 3% во всех расчетных точках.
Для линейного источника, мощность выброса которого изменяется от точки к точке, подынтегральная функция в формулах (60) - (62) умножается на функцию , описывающую изменчивость мощности выброса вдоль рассматриваемого источника по отношению к ее характерному значению, применяемому при расчете концентрации c ЗВ.
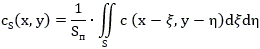
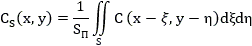
8.6. Концентрация ЗВ от источника, выбрасывающего ЗВ в атмосферный воздух с установленной ограниченной поверхности (далее - площадной источник выброса), занимающего область S площадью
, рассчитывается по формуле (63):
, (63)
где - концентрация ЗВ, создаваемая в расчетной точке (x, y) точечным источником выброса, находящимся в точке
области S, и интеграл в формуле (63) вычисляется по этой области.
Подынтегральная функция в формуле (63) вычисляется по формулам, приведенным в главах V - VII настоящих Методов, с использованием суммарного выброса от всего площадного источника выброса. При этом в расчетных точках, находящихся с наветренной стороны от источника, ее значение принимается равным нулю.
Для площадного источника, мощность выброса которого изменяется от точки к точке, подынтегральную функцию в формуле (63) следует умножить на функцию , характеризующую изменение удельной мощности выброса в точках рассматриваемого источника по отношению к характерному значению этой удельной мощности, применяемому при расчете концентрации c ЗВ в отсутствии учета функции
.
Алгоритмы интегрирования должны обеспечивать вычисление концентраций ЗВ во всех расчетных точках по формуле (63) с погрешностью не более 3% <7>.
<7> Допускается вычисление интеграла в формуле (63) настоящих Методов путем представления площадного источника в виде совокупности одинаковых точечных источников, если при этом погрешность вычисления интеграла не превышает 3%.
8.7. Концентрация ЗВ от расположенного вблизи подстилающей поверхности источника, выбрасывающего ЗВ в установленном ограниченном объеме (далее - объемный источник выброса), занимающего область V объемом |V|, рассчитывается по формуле (64):
, (64)
где подынтегральная функция вычисляется по формулам, приведенным в главах V - VIII настоящих Методов.
Алгоритмы интегрирования должны обеспечивать вычисление концентраций ЗВ во всех расчетных точках по формуле (64) с погрешностью не более 3%.
Для объемного источника, мощность выброса которого изменяется от точки к точке, подынтегральная функция в формуле (64) умножается на функцию , описывающую изменение удельной мощности выброса в точках рассматриваемого источника выброса по отношению к ее характерному значению, применяемому при расчете концентрации c ЗВ.
8.8. С целью сокращения объема вычислений и облегчения анализа их результатов допускается представление совокупности большого числа однотипных источников выбросов, а также рассредоточенных по территории источников неорганизованного выброса, как площадных источников выбросов. Площадными источниками выброса могут аппроксимироваться такие источники, как резервуарные парки предприятий, совокупности мелких бытовых котельных и труб печного отопления в городах, а также группы низких вентиляционных источников выбросов предприятия (при расчетах рассеивания выбросов от указанных источников для участков, расположенных за пределами санитарно-защитной зоны предприятия). Кроме того, площадными источниками могут аппроксимироваться выбросы от автостоянок, мест открытого складирования пылящих материалов или отходов, водоемов, с поверхности которых испаряются вредные вещества, выбросы от автомагистралей.
Группа распределенных по площади точечных источников выброса может быть объединена в площадной источник, если их не менее 20, и расстояние от каждого источника до ближайшего соседнего источника отличается не более чем на 10% от среднего по всем объединяемым источникам расстояния от каждого из них до четырех ближайших соседних источников. Кроме того, для каждого из объединяемых источников такие параметры выброса, как высота (H) и диаметр устья (D), температура () и скорость выхода (
) газовоздушной смеси из устьев источников выброса, отличаются от их средних значений по объединяемой группе не более, чем на 10%. При выполнении этих условий расчет загрязнения атмосферного воздуха должен производиться с использованием средних по объединяемой группе значений параметров выброса. При большем разбросе указанных параметров группа источников выброса представляется несколькими площадными источниками выброса с более близкими значениями этих параметров.
Группа точечных источников выбросов может также объединяться в виртуальный точечный источник с мощностью выброса, равной суммарной мощности этих источников, если такие их параметры выброса, как высота H и диаметр D устья, температура и скорость выхода
ГВС из устьев источников, удовлетворяют приведенному в данном пункте критерию близости, а максимальное расстояние между любыми парами объединяемых источников выброса, по крайней мере, в 10 раз меньше, чем расстояние от центра масс объединяемых источников до ближайшей к нему расчетной точки, в которой вычисляется концентрация от указанного виртуального источника. При большем разбросе указанных параметров выброса группа источников выбросов может при необходимости представляться в виде совокупности нескольких виртуальных источников с использованием этого же критерия для каждого виртуального источника.
По примесям, которым соответствует значение безразмерного коэффициента F = 1, допускается также объединение произвольных точечных источников выброса в единый виртуальный источник, при условии, что максимальное расстояние между любыми парами объединяемых источников, по крайней мере, в 10 раз меньше, чем расстояние от центра масс объединяемых источников выброса до ближайшей к нему расчетной точки. Мощность выброса объединенного источника равна суммарной мощности этих источников, а параметры выброса объединенного источника, такие, как высота H и диаметр D устья, температура и скорость выхода
ГВС из устьев источника, приняты их минимальными значениями для источников объединяемой группы.
8.9. Для совокупности источников выбросов отдельных предприятий рассчитываются зоны влияния, включающие в себя круги радиусом x1, равным 10
, проведенные вокруг каждого из основных источников выброса (труб или других источников) предприятия, и участки местности, где рассчитанная по формуле (49) суммарная концентрация ЗВ от всей совокупности источников данного предприятия, включая источники низких и неорганизованных выбросов, превышает 0,05
.
Зоны влияния должны рассчитываться по каждому ЗВ (группе ЗВ комбинированного вредного действия) отдельно.
8.10. Размеры расчетной области, общее количество узлов и шаги расчетной сетки должны соответствовать размерам зоны влияния рассматриваемой совокупности источников выбросов. Погрешность вычисленных суммарных концентраций ЗВ в узлах задаваемой регулярной сетки точек, а также в дополнительно заданных промежуточных точках не должна превышать 3%. При известном точном решении погрешность вычисления суммарных концентраций определяется путем сопоставления результатов вычислений с указанным точным решением. Если точное решение неизвестно, то погрешность определяется путем сопоставления результатов вычисления суммарных концентраций с уточненными результатами вычислений. Уточненные результаты вычислений определяются путем проведения последовательных расчетов этих суммарных концентраций с измельчением на каждом шагу в два раза параметров, определяющих погрешность вычислений (шагов интегрирования, используемых при вычислении интегралов, шагов перебора аргументов, по которым ищется экстремум в выражении для суммарных концентраций). Такое измельчение продолжается до тех пор, пока различие в последовательных значениях суммарных концентраций не станет меньше 0.3% при значениях суммарной концентрации, соответственно, более 0.05 ПДКмр или 0.05 ПДКсс. Для расчетных точек, в которых указанные условия не выполняются, уточненное решение определяется из требования, чтобы различие в последовательных значениях суммарных концентраций было, соответственно, меньше 0.00015 ПДКмр или 0.00015 ПДКсс.
IX. Метод расчета рассеивания выбросов ЗВ в атмосферном воздухе с учетом влияния застройки
9.1. Основные расчетные характеристики.
9.1.1. Формулы, приведенные в данной главе, предназначены для проведения расчетов приземных концентраций ЗВ в слое от 0 до 2 м включительно и вертикального распределения концентраций ЗВ (включая расчет концентраций ЗВ у стен и крыш зданий) с учетом влияния застройки.
9.1.2. Для каждого из рассматриваемых источников выбросов перед выполнением расчетов с учетом застройки по формулам, приведенным в главе V настоящих Методов, определяются максимальная концентрация ЗВ , а также расстояние хм и опасная скорость
, при которых достигается концентрация ЗВ
при отсутствии застройки.
9.1.3. Расчет рассеивания выбросов с учетом влияния застройки производится в случаях, когда здание удалено от источника выброса на расстояние менее , или когда источник расположен на здании или в зонах возможного образования ветровых теней, как указано в подпункте 9.1.5 настоящих Методов. При этом высота здания
должна быть не менее 0,4 высоты источника выброса (
0,4
H). Если здание удалено от источника на расстояние большее, чем 0,5
, и основание источника не размещается в зоне возможного образования ветровой тени, то учет влияния застройки производится в случаях, когда высота здания превышает 0,7 высоты источника выброса (
> 0,7
H).
Не подлежат учету здания и сооружения высотой менее 5 м, а также здания и сооружения, максимальный линейный размер которых по горизонтали не превышает 10 м.
Учет сооружения производится в случае, если коэффициент проницаемости, определяемый согласно своду правил СП 20.13330.2011 "СНиП 2.01.07-85 "Нагрузки и воздействия" <8> и равный отношению суммарной площади имеющихся в нем проемов к полной площади сооружения, ниже 0,5.
<8> Перечень национальных стандартов и сводов правил (частей таких стандартов и сводов правил), в результате применения которых на обязательной основе обеспечивается соблюдение требований Федерального закона "Технический регламент о безопасности зданий и сооружений", утвержденный постановлением Правительства Российской Федерации от 26.12.2014 N 1521 (Собрание законодательства Российской Федерации, 2015, N 2, ст. 465, 2015, N 40, ст. 5568, N 50, ст. 7122).
9.1.4. Рассматриваемое здание аппроксимируется в виде параллелепипеда (рисунок 3 (Приложение N 7 к настоящим Методам) высотой , длиной
(размер наибольшей стороны основания) и шириной
.
Высота определяется по формуле (65):
, (65)
где - фактический объем здания, м3;
- фактическая площадь основания здания, м.
Значения и
удовлетворяют условию
, а положение боковых сторон аппроксимирующего параллелепипеда выбирается так, чтобы они совпадали или были близки к стенам зданий.
Если здания имеют сложную конфигурацию (рисунок 4 (Приложение N 7 к настоящим Методам), они аппроксимируются несколькими параллелепипедами. Расчет приземных концентраций ЗВ производится согласно пункту 9.5 настоящих Методов как для совокупности зданий.
Для зданий, имеющих в плане форму, близкую к правильному многоугольнику или кругу, в качестве основания аппроксимирующего параллелепипеда берется квадрат с площадью, равной площади исходного здания.
9.1.5. Для каждого здания при заданном направлении ветра различаются три зоны ветровых теней высотой над уровнем земли (рисунок 5а (Приложение N 7 к настоящим Методам):
- зона подветренной тени (зона I);
- зона крышной тени (зона II);
- зона наветренной тени или зона подпора (зона III).
На рисунке 5а (Приложение N 7 к настоящим Методам) штриховкой обозначено сечение здания, проведенное вдоль направления ветра, сплошными линиями обозначены границы зон ветровых теней I, II и III.
Максимальные значения ,
,
высот ветровых теней указанных типов и их протяженности
,
,
определяются формулами (66а) - (66г):
, (66а)
, (66б)
, (66в)
где - высота здания;
- длина здания, устанавливаемая в зависимости от направления ветра;
- масштаб длины, характеризующий размеры ветровых теней, который вычисляется по формулам (67а) - (67б)
, (67а)
. (67б)
Если высота ветровых теней (в зонах I, II, III) окажется менее 1 м, то принимается
= 1 м.
Ширина здания и длина здания
устанавливаются в зависимости от направления ветра. В случаях, когда ветер направлен по нормали к стене здания, длина этой стены принимается за
, а длина смежной стены - за
(рисунок 5б (Приложение N 7 к настоящим Методам). В остальных случаях
и
устанавливаются в соответствии с подпунктом 9.2.3 настоящих Методов.
Границы ветровых теней по высоте устанавливаются по формулам (68а) - (68в):
, (68а)
, (68б)
, (68в)
где - расстояние вдоль направления ветра от точки, в которой вычисляется высота ветровой тени, до стены здания.
Если ветровые тени зданий, которые необходимо учесть в расчетах, пересекаются, то образуется объединенная тень, граница которой определяется согласно подпункту 9.5.1 настоящих Методов <9>.
<9> Случаи, в которых необходим более детальный учет наложения ветровых теней, рассмотрены в пункте 9.5. настоящих Методов.
9.1.6. При наличии застройки максимальная приземная концентрация ЗВ определяется по формуле (69):
, (69)
где - максимальная концентрация ЗВ, полученная без учета влияния застройки (согласно подпункту 9.1.2 настоящих Методов);
- поправка, учитывающая влияние застройки, определяемая по формулам, приведенным в пунктах 9.2 и 9.3 настоящих Методов.
Концентрация ЗВ достигается на расстоянии
от источника выброса при опасной скорости ветра
.
9.2. Оценка максимальных концентраций ЗВ от одиночного точечного источника выброса при наличии одного здания.
9.2.1. Формулы настоящего пункта предназначены для приближенной оценки величины при опасных скоростях ветра. В общем случае величины
,
и
определяются по формулам, приведенным в пункте 9.3 настоящих Методов, после проведения расчетов на рассматриваемой площадке с перебором скоростей и направлений ветра.
Расчет проводится в зависимости от расположения основания источника выброса (точка 0 на рисунках 6 (Приложение N 7 к настоящим Методам) относительно здания следующим образом:
а) при расположении основания источника выброса в зонах возможного образования подветренной тени, обозначенных пунктирными линиями, при ветре, направленном по нормали к стене здания (рисунок 6а (Приложение N 7 к настоящим Методам), определяется в соответствии с подпунктом 9.2.2 настоящих Методов.
б) при расположении основания источника выброса в зонах, где ветровые тени образуются только при направлении ветра, отличном от направления нормалей к стенам здания (рисунок 6б (Приложение N 7 к настоящим Методам), определяется согласно подпункту 9.2.3 настоящих Методов.
в) если основание источника выброса располагается вне зон возможного образования ветровой тени на удалении до 1,5
от их границы
(рисунки 6в, 6г (Приложение N 7 к настоящим Методам), то расчет
производится согласно подпункту 9.2.4 настоящих Методов.
г) при расположении основания источника выброса на крыше здания расчет производится согласно подпункту 9.2.5 настоящих Методов.
д) в остальных случаях расчет максимальных концентраций ЗВ производится без учета влияния зданий, то есть =
.
9.2.2. При расположении основания источника выброса в зонах возможного образования ветровых теней при ветре, направленном по нормали к стене здания (рисунок 6а (Приложение N 7 к настоящим Методам), максимальная приземная концентрация ЗВ достигается при направлении ветра, соответствующем переносу атмосферного воздуха по нормали от здания к источнику выброса. В этом случае
, (70)
где - безразмерный коэффициент, определяемый по формулам, приведенным в главе V настоящих Методов;
- безразмерный коэффициент, описывающий влияние колебаний направления ветра. Значение
определяется по формуле (80);
- безразмерный расчетный коэффициент, который определяется по формулам (71а) - (71б):
, (71а)
Расчетные коэффициенты ,
и s в формуле (71а) являются безразмерными. Коэффициент
описывает влияние различия в опасной скорости ветра
при наличии здания и опасной скорости ветра
при отсутствии здания. Коэффициент
характеризует изменение структуры воздушного потока при наличии застройки. Коэффициент s характеризует влияние турбулентной диффузии внутри ветровой тени.
Для определения коэффициента предварительно вычисляется опасная скорость ветра
по формулам (18а) - (18в). При этом, если высота источника выброса H меньше высоты зоны ветровой тени
в точке расположения источника выброса, то есть H <
(рисунок 7а (Приложение N 7 к настоящим Методам), то расчет входящих в указанные формулы значений
и f производится при замене высоты источника выброса H на высоту зоны ветровой тени
.
Далее определяется в зависимости от соотношения
/
по формулам (72а) - (72б):
(72а)
(72б)
Если H > (рисунок 7б (Приложение N 7 к настоящим Методам), то
=
и
= 1.
Коэффициент определяется по формулам (73а) - (73б):
(73а)
(73б)
Коэффициент s в формуле (71а) определяется по формулам (74а) - (74г):
, (74а)
, (74б)
, (74в)
, (74г)
в зависимости от аргумента
(75)
при замене на
, где
- расстояние от источника выброса до подветренной границы подветренной тени (рисунок 7б (Приложение N 7 к настоящим Методам).
При H
коэффициент
устанавливается в зависимости от отношения
/
по формулам (76а) - (76в):
; (76а)
, (76б)
, (76в)
При H > принимается
= 1.
Для низких источников выбросов (H < 10 м) коэффициент s в формуле (71а) заменяется на , где
определяется по формулам (77а) - (77г):
, (77а)
, (77в)
. (77г)
Для определения находится вспомогательный угол
(в градусах) в зависимости от отношения
по формулам (78а) - (78б):
, (78а)
, (78б)
. (79)
Безразмерный коэффициент определяется по формуле (80):
(80)
в зависимости от аргумента :
, (81а)
. (81б)
Если рассчитанное значение удовлетворяет условию
, (82)
то принимаются соотношения
, (83а)
, (83б)
, (83в)
. (83г)
9.2.3. В тех случаях, когда основание источника выброса находится в зонах, где образование подветренной тени возможно только при направлении ветра, отличном от направления нормалей к стенам здания (рисунок 6б (Приложение N 7 к настоящим Методам), максимальная приземная концентрация ЗВ достигается при направлении ветра, соответствующем переносу атмосферного воздуха к источнику выброса (точка 0 на рисунке 6б (Приложение N 7 к настоящим Методам) от ближайшего к нему угла здания. Расчет
производится при этом по формулам, приведенным в пункте 9.2.2 настоящих Методов со следующими изменениями:
- для определения того, какая из сторон здания при указанном направлении ветра является подветренной, через центр здания (рисунок 8 (Приложение N 7 к настоящим Методам) проводится прямая Q по направлению ветра. Если эта прямая находится внутри или на границах угла, который образован диагоналями, примыкающими к более длинной стороне здания (например, к стороне CD на рисунке 8 (Приложение N 7 к настоящим Методам), то данная сторона рассматривается как подветренная, и ее длина обозначается а длина смежной стороны -
. В противном случае подветренной является более короткая сторона здания;
- определяется по формуле (67) с использованием полученного значения
;
- величина вычисляется по формулам (84а) - (84б):
(84а)
(84б)
где - положительный острый угол (в градусах) между направлением ветра и нормалью подветренной стены здания (рисунок 8 (Приложение N 7 к настоящим Методам);
- коэффициент, рассчитываемый по формуле (80) как значение
, вычисленное по аргументу
(формула (81) при замене
на (
+
);
- коэффициент, вычисляемый аналогично
, но при замене
на |
-
|.
9.2.4. Для источников выброса, основание которых расположено вне зоны возможного образования подветренной тени (рисунки 6в, 6г (Приложение N 7 к настоящим Методам), максимальная концентрация ЗВ достигается при переносе атмосферного воздуха от здания к источнику выброса по нормали (рисунок 6в (Приложение N 7 к настоящим Методам) или по направлению от ближайшего угла здания (рисунок 6г (Приложение N 7 к настоящим Методам). Если при этом расстояние от источника выброса до границы ветровой тени хв (рисунки 6в, 6г (Приложение N 7 к настоящим Методам) удовлетворяет условию
1,5
(где
определяется в соответствии с пунктом 9.2.3 настоящих Методов), то
, (85)
где определяется в соответствии с подпунктами 9.2.2, 9.2.3 настоящих Методов как значение
для источника выброса, расположенного на границе зоны подветренной тени.
При > 1,5
принимается
= 1.
9.2.5. При расположении основания источника выброса на крыше здания различают два случая: короткое здание < 2
и длинное здание
2
.
При наличии короткого здания образуется объединенная крышно-подветренная тень и величина s в формуле (71а) определяется по аргументу , вычисленному по формуле (75) при замене
на
, где
- расстояние от источника выброса до подветренной границы подветренной тени (рисунок 9а (Приложение N 7 к настоящим Методам).
, (86а)
При наличии длинного здания расчет концентрации ЗВ в подветренной тени осуществляется с заменой s в формуле (71а) на коэффициент , определяемый по формуле (86б);
, (86б)
где и
- расстояния от источника выброса до наветренной и подветренной границ подветренной тени (рисунок 9б (Приложение N 7 к настоящим Методам), соответственно;
и
- коэффициенты, вычисляемые по формулам (74а) - (74г) как значения s при аргументе
, рассчитанном по формуле (75) при замене
на
и
, соответственно.
Формулы (86а) и (86б) используются также для низких источников выбросов для определения коэффициента , который подставляется в формулу (71а) вместо
, вычисленного по формулам (74а) - (74г). При этом в правой части формул (86а) - (86б) коэффициенты s,
и
заменяются на соответствующие значения
.
Если источник выброса расположен на крыше длинного здания вне зоны крышной тени, то:
. (87)
9.3. Расчет распределения концентрации ЗВ от одиночного точечного источника выброса при произвольно заданных направлениях и скоростях ветра.
9.3.1. До проведения расчетов распределения концентрации ЗВ от точечного источника выброса с учетом влияния застройки при произвольно заданных скорости и направлении ветра на плане местности через источник выброса проводится прямая линия, ориентированная вдоль ветра (рисунок 8 (Приложение N 7 к настоящим Методам). Если эта линия не пересекает основание здания, то расчет распределения приземных концентраций ЗВ производится по формулам, приведенным в главе V настоящих Методов, без учета влияния здания. В случае пересечения здания линией на плане (рисунок 8 (Приложение N 7 к настоящим Методам) учитывается влияние застройки. При этом длина подветренной стороны здания определяется в соответствии с подпунктом 9.2.3 настоящих Методов.
Приземная концентрация ЗВ при произвольных значениях направления и скорости ветра рассчитывается по формуле (88):
, (88)
где - концентрация ЗВ, определяемая в соответствии с пунктом 9.1.2 настоящих Методов;
r - коэффициент, определяемый в зависимости от отношения u / по формулам (72а) - (72б);
- опасная скорость ветра с учетом влияния застройки, определяемая в соответствии с подпунктами 9.2.2 - 9.2.5 настоящих Методов.
Последовательность расчета коэффициента рассмотрена в подпунктах 9.3.2 - 9.3.6 настоящих Методов и выбирается в зависимости от того, находится ли основание источника выброса в зоне подветренной или зоне наветренной тени, расположен ли источник выброса на крыше здания, над зонами ветровой тени, с наветренной или подветренной стороны от указанных зон.
Построение границ зон ветровой тени осуществляется согласно подпункту 9.1.5 настоящих Методов. При этом строится сечение здания вертикальной плоскостью, проходящей через источник выброса и ориентированной вдоль направления ветра (рисунок 8 (Приложение N 7 к настоящим Методам), и по формулам, приведенным в подпункте 9.1.5 настоящих Методов, определяются границы наветренной и подветренной зон ветровой тени.
9.3.2. При расположении основания источника выброса в зоне подветренной тени (рисунок 10а (Приложение N 7 к настоящим Методам) значение в точке, расположенной на расстоянии x от источника выброса вдоль оси факела и на удалении y от этой оси (рисунок 8 (Приложение N 7 к настоящим Методам), определяется по формуле (89):
. (89)
Коэффициент , зависящий от скорости ветра u и положительного острого угла
между направлением ветра и нормалью подветренной стены здания (рисунок 8 (Приложение N 7 к настоящим Методам), определяется по формуле (84) для
, причем аргумент
вычисляется по формуле (81) с заменой
на u. При этом
определяется по формулам (78а) - (78б).
Коэффициент находится по формулам (25а) - (25е) в зависимости от отношения x / (p
). Безразмерный коэффициент p определяется в зависимости от отношения
/
по формулам (23а) - (23в).
Коэффициент находится по формуле (28) в зависимости от скорости ветра u и аргумента
(формула (29).
Коэффициент s' находится по формулам (90а) - (90в):
, (90а)
, (90б)
, (90в)
, (91а)
, (91б)
, (92а)
. (92б)
Коэффициент вычисляется по формулам (71а) - (71б), причем величины
,
и s определяются согласно пункту 9.2.2 настоящих Методов. При этом значение s соответствует аргументу
, определенному по формуле (75) при замене
на
.
Коэффициент в формуле (90б) вычисляется при x = L'.
Коэффициент при x
(то есть внутри зоны подветренной тени) вычисляется по формулам (93а) - (93б):
, (93а)
. (93б)
При x > коэффициент
находится по формуле (28), как значение
, соответствующее аргументу:
, (94а)
. (94б)
9.3.3. При расположении основания источника выброса в зоне подпора (зоне наветренной тени) (рисунок 10б (Приложение N 7 к настоящим Методам) коэффициент рассчитывается по формуле (89). При этом величины
,
и
определяются согласно подпункту 9.3.2 настоящих Методов, а коэффициент s' находится по формулам (95а) - (95г):
, (95а)
, (95б)
, (95в)
. (95г)
В этом случае величина L' вычисляется по формулам (91а) - (91б), коэффициенты s'' и - по формулам (92а) - (92б), (93а) - (93б) соответственно.
Коэффициент вычисляется по формуле (71а) с использованием коэффициента s, определяемого по формулам (74а) - (74г) в зависимости от коэффициента
, вычисленного по формуле (75) с заменой
на
, где
- расстояние от источника выброса до здания (рисунок 10б (Приложение N 7 к настоящим Методам).
Для низких источников выброса вместо s используется коэффициент , определяемый по формулам (77а) - (77г) в зависимости от коэффициента
, с учетом замены в формуле (75)
на
.
Коэффициент в формуле (95в) вычисляется при x = L'.
Коэффициент вычисляется по формулам (96а) - (96б):
, (96а)
, (96б)
где и
определяются по пункту 9.2.2 настоящих Методов, а величина
определяется по формуле (97):
. (97)
Здесь и
- расстояния от источника выброса до начала и до конца здания, соответственно, а
- расстояние от подветренной границы подветренной тени до источника выброса (рисунок 10б (Приложение N 7 к настоящим Методам).
В случае < 2
, при расчетах в области
< x
L' в формуле (97) вместо
следует использовать величину
.
Коэффициенты sв и sк вычисляются по формулам (74а) - (74г), как значения s, соответствующие аргументу , определенному по формуле (75) при замене
на
и
соответственно.
Для низких источников выбросов вместо используется коэффициент
, вычисляемый согласно подпункту 9.2.5 настоящих Методов при использовании формул (77а) - (77г).
9.3.4. При расположении источника выброса на крыше здания (рисунок 9 (Приложение N 7 к настоящим Методам) величина рассчитывается по формуле (89). При этом величины
,
и
определяются согласно подпункту 9.3.2 настоящих Методов. Коэффициент s' находится по формулам (98а) - (98в):
, (98а)
, (98б)
, (98в)
где вычисляется по формулам (96а) - (96б). При этом коэффициенты
,
и
определяются с учетом положений подпунктов 9.2.2 и 9.2.5 настоящих Методов, а
, s" и L' - согласно подпункту 9.3.2 настоящих Методов. Коэффициент
в формуле (98б) вычисляется при x = L'.
9.3.5. Если основание источника выброса размещается с подветренной стороны от ветровой тени, причем
1,5
(рисунок 10в (Приложение N 7 к настоящим Методам), то величина
рассчитывается по формуле (99):
, (99)
где определяется в соответствии с подпунктом 9.2.4 настоящих Методов с заменой
на коэффициент
, вычисленный согласно подпункту 9.3.2 настоящих Методов. При
> 1,5
величина
определяется по формуле (100):
. (100)
9.3.6. При расположении источника выброса с наветренной стороны от ветровой тени на расстоянии
1,5
(рисунок 10г (Приложение N 7 к настоящим Методам) расчет
производится по формуле (99). При этом в зоне наветренной тени коэффициент
заменяется на
, а для подветренной зоны коэффициент
заменяется на
, где:
- величина вычисляется по формуле (97) с использованием в качестве
и
расстояний от источника выброса до начала
и конца
наветренной тени (рисунок 10г (Приложение N 7 к настоящим Методам);
- величина вычисляется по формуле (97) с использованием в качестве
и
расстояний от источника выброса до начала (
) и конца зоны подветренной тени (
), соответственно (рисунок 10д (Приложение N 7 к настоящим Методам).
При > 1,5
расчет
выполняется по формуле (100), причем в наветренной и подветренной зоне тени также производится замена коэффициента
на выражение
и
, соответственно.
9.4. Расчет концентрации ЗВ от одиночного точечного источника выброса при наличии двух зданий.
9.4.1. Расчет распределения концентрации ЗВ в атмосферном воздухе от точечного источника выброса при заданных направлении и скорости ветра при наличии двух зданий выполняется по аналогии с пунктом 9.3 настоящих Методов.
До проведения расчетов на плане местности через точку, соответствующую расположению центра источника выброса, проводится прямая линия, ориентированная вдоль ветра. Если эта линия не пересекает основание зданий, то расчет распределения приземных концентраций ЗВ производится по формулам, приведенным в главе V настоящих Методов, без учета влияния застройки. При пересечении линией одного из зданий (рисунок 8 (Приложение N 7 к настоящим Методам) учитывается влияние застройки в соответствии с пунктом 9.3 настоящих Методов. При пересечении линией на плане двух зданий определяется наличие объединенной ветровой зоны между зданиями. Если зоны подветренной тени от первого и наветренной тени от второго здания не перекрываются, и, соответственно, не образуется объединенной ветровой тени между зданиями, расчет распределения концентрации ЗВ проводится по формулам, приведенным в пункте 9.3 настоящих Методов.
Если источник выброса не расположен между зданиями (например, в точке на рисунке 11 (Приложение N 7 к настоящим Методам), то максимальные приземные концентрации ЗВ достигаются при переносе атмосферного воздуха от зданий к источнику выброса (рисунки 6в, 6г (Приложение N 7 к настоящим Методам), а расчет осуществляется в соответствии с подпунктом 9.2.2 настоящих Методов.
В случае образования объединенной ветровой тени (рисунок 11 (Приложение N 7 к настоящим Методам) между зданиями при расчетах распределения концентрации ЗВ в межкорпусном дворе вспомогательный угол определяется по формуле (101):
, (101)
где величина определяется для первого по направлению ветра зданию, а
- для второго по формулам (78а) - (78б). При этом угол
, указанный в подпункте 9.2.3 настоящих Методов вычисляется по первому по направлению ветра зданию. При различии величин
и
зданий двора в качестве
для расчетов по формуле (93) берут максимальную из них.
Если источник выброса расположен между зданиями (например, в точке на рисунке 11 (Приложение N 7 к настоящим Методам), то расчет
осуществляется согласно подпункту 9.2.2 настоящих Методов. При этом в случае образования объединенной зоны ветровой тени (пункт 9.5 настоящих Методов) в формуле (75) вместо
используется величина хв, определяемая как расстояние от источника выброса до второго здания - конца объединенной ветровой тени.
Коэффициент для источника выброса, расположенного в межкорпусном дворе, определяется так же, как и для источника выброса, расположенного в подветренной тени согласно подпункту 9.3.2 настоящих Методов.
Далее рассчитывается коэффициент по формулам (71а) - (71б). При
>
и H <
полученное значение
умножается на отношение (102):
, (102)
где - протяженность объединенной зоны между зданиями, м;
- определенная согласно подпункту 9.1.5 настоящих Методов протяженность той зоны ветровой тени, высота которой использована при определении
, то есть подветренной от первого здания или наветренной от второго здания, м.
В остальных случаях расчет производится в соответствии с пунктом 9.3 настоящих Методов. При этом, если источник выброса расположен с наветренной стороны здания на расстоянии более 1,5
, то для участков факела примеси, приходящихся на зоны ветровой тени (включая межкорпусную), расчет производится в соответствии с подпунктом 9.3.6 настоящих Методов.
При равенстве высот ветровых теней отдельных зданий в точке расположения источника выброса в качестве выбирается наибольшая из протяженностей ветровых теней этих зданий.
9.5. Расчет концентраций ЗВ от одиночного точечного источника выброса при наличии группы зданий
9.5.1. При расчетах распределения концентраций ЗВ учитываются только здания, удовлетворяющие требованию пункта 9.1.3 настоящих Методов.
9.5.2. Для расчета распределения концентраций ЗВ при заданных направлении и скорости ветра в общем случае строится сечение застройки вертикальной плоскостью, проходящей через источник выброса в направлении ветра (рисунок 12 (Приложение N 7 к настоящим Методам). При этом учитываются только те здания, для которых нормаль к подветренной стене (подпункт 9.2.3 настоящих Методов) составляет с направлением ветра угол менее 2
, где
соответствует данному зданию.
При обтекании воздушным потоком нескольких зданий могут образовываться зоны наложения ветровой тени, полученные в результате объединения ветровых теней отдельных зданий. Для их построения на сечении застройки относительно каждого здания наносятся зоны ветровых теней согласно подпункту 9.1.5 настоящих Методов, после чего определяются зоны наложения ветровых теней отдельных зданий, которые могут быть следующих типов (рисунок 12 (Приложение N 7 к настоящим Методам):
а) содержащая источник загрязнения атмосферного воздуха (1);
б) ближайшая с подветренной стороны (2);
в) последующие с подветренной стороны (3);
г) ближайшая с наветренной стороны (4).
Высота зоны наложения в различных точках полагается равной максимальной из высот ветровых теней, участвующих в образовании зоны наложения теней.
Зона наложения ветровых теней типа 4 используется для расчетов распределения концентраций ЗВ только в случае отсутствия ветровой тени типа 1.
С подветренной стороны от источника выброса в расчетах распределения концентраций ЗВ учитываются только две следующие зоны наложения (зона 2 и зона 3 на рисунке 12 (Приложение N 7 к настоящим Методам).
9.5.3. Дальнейший расчет распределения концентраций ЗВ производится по пункту 9.4 настоящих Методов. При этом каждая зона наложения теней характеризуется вспомогательным углом , равным среднему из значении
для зданий, ветровые тени которых учитываются при построении данной объединенной зоны.
При определении не учитываются здания, находящиеся внутри объединенной ветровой тени (рисунок 12 (Приложение N 7 к настоящим Методам), здание в зоне 1), стороны, которых не касаются и не пересекают границы объединенной тени.
9.5.4. Здание сложной формы может быть представлено в виде нескольких параллелепипедов с нижним основанием на уровне земли. Конфигурация и размеры ветровой тени, возникающей при обтекании воздушным потоком такого здания, определяются путем наложения зон для отдельных зданий и нахождения огибающей их границы.
9.6. Расчет концентраций ЗВ в случае выбросов из линейного источника выброса.
9.6.1. Если ветер направлен вдоль линейного источника выброса, расчет осуществляется в соответствии с пунктом 9.2 настоящих Методов, причем величины ,
и
, характеризующие приземные концентрации ЗВ при отсутствии застройки, определяются в соответствии с главами V, VI и пунктом 9.4 настоящих Методов.
Если ветер направлен поперек линейного источника выброса, этот линейный источник длиной L разбивается на совокупность точечных источников, каждый из которых соответствует участку линейного источника выброса длиной и находится в середине этого участка. Если длина линейного источника L не кратна
, то остаток от деления L на
разбивается пополам и участки полученной длины относятся к краям линейного источника.
Параметры ,
и
для указанных точечных источников выброса определяются согласно пункту 6.1 настоящих Методов с использованием единых значений эффективных диаметра и объема. Расчет максимальных концентраций ЗВ осуществляется далее по подпункту 9.2.5 настоящих Методов для одного из точечных источников выброса. Максимальное из значений
, соответствующих ветру вдоль и поперек линейного источника выброса, является максимальной приземной концентрацией ЗВ от линейного источника.
9.6.2. Линейный источник выброса разбивают на точечные источники также и при расчетах в случаях заданных направления и скорости ветра, расчетной точки и т.п. в соответствии с пунктом 9.3 настоящих Методов. При этом линейный источник длиной L разбивается на участки длиной .
9.6.3. При < 2
два проема линейного источника выброса заменяются на условный линейный источник, расположенный посередине между проемами. При этом мощность выброса M для условного источника полагается равной суммарной мощности выброса из обоих проемов, а объем ГВС
- половине общего объема ГВС, выбрасываемой из линейного источника.
9.7. Расчет распределения концентраций ЗВ в атмосферном воздухе по вертикали, на крыше и стенах здания
9.7.1. Если основание источника выброса находится в зоне ветровой тени на крыше, то расчет концентрации ЗВ на крыше здания проводится по формулам (88) - (94) аналогично случаю расположения источника в зоне подветренной тени. При этом в качестве высоты источника выброса и высоты ветровой тени используются расстояния по нормали соответственно от устья источника и границы ветровой тени до крыши (если указанные расстояния меньше 2 м, то в расчетах используются значения расстояний, равные 2 м). Если основание источника выброса расположено вне зоны ветровой тени, то расчет концентрации ЗВ на крыше проводится по формулам, приведенным в главе V настоящих Методов, с использованием в качестве высоты источника выброса расстояния по нормали от его устья до крыши здания.
На подветренной стене здания концентрация ЗВ меняется линейно от полученного указанным способом значения на уровне крыши до вычисленного согласно подпункту 9.2.5 настоящих Методов значения приземной концентрации ЗВ. На наветренной стене здания концентрация ЗВ принимается равной нулю.
9.7.2. При расположении основания источника выброса в наветренной зоне (зоне подпора) на расстоянии от здания (
<
) расчет концентрации
ЗВ, достигающейся в точке наветренной стены на высоте z над поверхностью земли при скорости ветра u, производится по формулам (103а) - (103б):
, (103а)
. (103б)
В данном случае коэффициенты ,
,
и
находятся по подпункту 9.3.3 настоящих Методов при скорости ветра u, а коэффициент r определяется по формулам (21а) и (21б) в зависимости от отношения u /
.
Коэффициент в зависимости от отношений z / [H
(1 + 5
)] и x / (p
) определяется согласно пункту 9.8 настоящих Методов, а безразмерный коэффициент
определяется в зависимости от отношения vм/u и параметра f по формулам (108а), (108б), причем
и f вычисляются по параметрам выброса источника согласно формулам, приведенным в главе V настоящих Методов.
После подстановки =
формулы (103а) используется также для расчета концентрации ЗВ на наветренной стене здания при
>
.
При = 0 формулы (103а) может быть использована также для расчета концентрации ЗВ в заданной точке над поверхностью земли (при отсутствии застройки).
Концентрация ЗВ на крыше здания скр в точке с координатами (x, y) относительно источника выброса находится по формуле (104):
, (104)
где - координата подветренной стены здания относительно источника выброса, а величины
и
определяются по подпункту 9.3.3 настоящих Методов. При этом
и
рассчитываются по подпункту 9.3.2 настоящих Методов для рассматриваемой точки крыши, а
находится в зависимости от отношений
/ [H
(1 + 5
)] и x / (p
) по пункту 9.8 настоящих Методов.
На подветренной стене здания концентрация ЗВ меняется линейно от значения, вычисленного по формуле (104) при x = для уровня крыши, до значения
приземной концентрации ЗВ.
9.7.3. При расположении источника выброса в зоне подветренной тени концентрация ЗВ на подветренной стене здания принимается равной приземной концентрации
ЗВ у подветренной стены (при том же значении y), определяемой по подпункту 9.3.1 настоящих Методов. На наветренной стене здания концентрация ЗВ принимается равной нулю. В случае
< 2
концентрация ЗВ на крыше здания
принимается равной
(1 -
/ 2
). При
> 2
принимается
= 0.
При расположении устья источника выброса за подветренной зоной по направлению ветра (рисунок 10в (Приложение N 7 к настоящим Методам) за пределами ветровой тени концентрация ЗВ на крыше и стенах здания принимается равной нулю.
9.7.4. При расположении источника выброса с наветренной стороны от ветровых теней здания расчет концентрации ЗВ на крыше и стенах здания производится в соответствии с подпунктом 9.3.6 настоящих Методов. При этом вместо коэффициента , как и в формулах (103а), (103б), (104), используется коэффициент
, который вычисляется в соответствии с пунктом 9.8 настоящих Методов.
9.8. Безразмерный коэффициент определяется в зависимости от параметров
и
по формулам (105а) - (105б):
; (105а)
. (105б)
При этом коэффициенты и
и вычисляются в зависимости от высоты H и параметров выброса (M, D,
,
) рассматриваемого источника, а также от координат x и z расчетной точки, по формулам (106), (107), (108а) и (108б), в которых обозначения переменных соответствуют обозначениям, приведенным в главе V настоящих Методов:
, (106)
, (107)
где
, (108а)
При
< 100 коэффициент
вычисляется по формуле (108а) при f =
; при
< 0,5 в формуле (108а) принимается
= 0,5; при
< 0,5 в формуле (108б) принимается
= 0,5.
X. Метод расчета долгопериодных средних концентраций ЗВ в атмосферном воздухе
10.1. Расчет поля долгопериодных средних концентраций ЗВ от одиночного точечного источника выброса.
10.1.1. Для расчета поля долгопериодных средних концентраций от одиночного точечного источника выброса значения осредненной мощности M выброса ЗВ, осредненной скорости выхода ГВС из устья источника и ее вертикальной составляющей
, объемного расхода
ГВС и осредненного перегрева ГВС относительно окружающего атмосферного воздуха
определяются в соответствии с методиками расчета выбросов вредных (загрязняющих) веществ в атмосферный воздух стационарными источниками <10>. В случае отсутствия в указанных методиках необходимых сведений, практические расчеты по формулам, приведенным в главе X настоящих Методов, в соответствующих отраслях не производятся.
<10> Правила разработки и утверждения методик расчета выбросов вредных (загрязняющих) веществ в атмосферный воздух стационарными источниками, утвержденные постановлением Правительства Российской Федерации от 16.05.2016 N 422 (Собрание законодательства Российской Федерации, 2016, N 21, ст. 3018).
Другие параметры выброса определяются так же, как при расчете максимальных разовых концентраций ЗВ (пункт 5.2 настоящих Методов).
10.1.2. Для источников выбросов с постоянными в течение рассматриваемого периода времени параметрами выброса долгопериодные средние приземные концентрации C ЗВ определяются по формуле (109):
(109)
где и
- полярные координаты расчетной точки относительно источника выброса;
- функция, характеризующая угловое распределение концентрации ЗВ, которая выражается через розу ветров для рассматриваемого периода времени (подпункт 10.2.2 настоящих Методов).
Функция вычисляется по формуле (110):
, (110)
где u - скорость ветра на уровне флюгера ( = 10 м), м/с;
- безразмерный параметр, характеризующий условия турбулентного перемешивания, рассчитываемый по формуле (111);
и
- соответствующие рассматриваемому периоду времени плотности вероятностей параметров u и
(пункт 10.2 настоящих Методов);
- подынтегральная функция, формулы для определения которой с учетом влияния рельефа местности и застройки приведены в пункте 10.5 настоящих Методов.
- эффективная высота источника выброса, определяемая согласно пункту 10.1.3 настоящих Методов, м.
, (111)
где - коэффициент вертикального турбулентного обмена на уровне
= 1 м, м2/с;
- скорость ветра на уровне
= 1 м, м/с.
Упрощенный метод расчета среднегодовых концентраций, не связанный с использованием указанных плотностей вероятностей, приведен в пункте 10.6 настоящих Методов.
10.1.3. Эффективная высота источника выброса определяется по формуле (112):
, (112)
где - начальный подъем факела, то есть эффективное изменение высоты источника выброса под влиянием начальной скорости и/или перегрева выбрасываемой из источника газовоздушной (пылегазовоздушной) смеси за счет скоростного напора и/или сил плавучести;
Для источника выброса с круглым устьем значение устанавливается в зависимости от u,
и параметров выброса, по которым рассчитываются вспомогательные величины
, м4/с2, и
, м4/с3:
, (113а)
, (113б)
где - средняя абсолютная температура атмосферного воздуха в Кельвинах за рассматриваемый период времени;
g = 9,81 м/с2.
Температура определяется по формуле
= 273 +
, где
, °C - средняя температура атмосферного воздуха за период времени, использованный при определении функций
,
и
(подпункт 10.2.1 настоящих Методов). При расчетах допускается использовать постоянное значение
, равное 283 K.
При выполнении неравенства 0 >
-5 °C расчет
производится для
= 0.
При
0,02 начальный подъем факела определяется по формуле (114а):
, (114а)
где
. (114б)
При
0,02 значение
вычисляется как минимальное из значений
и
. При этом
определяется на основе следующего алгоритма:
а) Величина S' принимается равной 6,7
при 0,01
< 0,02 и 1,17
при
< 0,01;
б) Для источников выбросов высотой H > 10 м определяется скорость ветра :
при H < 10 м полагается = u;
в) Вычисляется значение по формуле (116а):
; (116а)
г) При >
значение
определяется по формуле (116б):
; (116б)
д) При
значение
находится по формуле (116в):
. (116в)
Если источник выброса оборудован специальным укрытием или выброс из источника осуществляется в горизонтальном направлении, то в формулах (114б) и (116в) = 0.
Для источников выбросов с прямоугольным устьем расчет проводится по приведенным выше формулам с использованием эффективного диаметра устья источника
, м, и соответствующего эффективного объемного расхода ГВС
, м3/с, которые определяются по формулам (31) - (33).
10.1.4. Для источников выбросов, параметры выброса которых изменяются в течение рассматриваемого периода времени более, чем на 10%, расчет долгопериодных средних концентраций ЗВ производится по одному из алгоритмов, приведенных в подпунктах 10.1.4.1 - 10.1.4.3 настоящих Методов.
10.1.4.1. Для источника выброса, мощность выброса которого определяется метеорологическими параметрами u и (например, для пылящей поверхности),
вычисляется по формуле (117):
(117)
где - функция, характеризующая изменчивость мощности выбросов в зависимости от метеорологических параметров u и
по отношению к ее характерному (например, среднему) значению М.
10.1.4.2. Для источников, параметры выброса которых не зависят от метеорологических параметров u и , расчет проводится по формулам (109) - (116в). При этом М,
,
и
задаются средними за рассматриваемый период времени значениями в соответствии с пунктом 10.1 настоящих Методов.
10.1.4.3. В общем случае для источника с переменными параметрами выброса рассматриваемый период времени разбивается на непересекающиеся интервалы, каждый из которых соответствует изменяющимся в пределах ± 10% значениям этих параметров. Для каждого из указанных интервалов продолжительностью с использованием соответствующих этому интервалу функций
,
и
(пункт 10.2 настоящих Методов) по формулам (109) - (117) определяется средняя концентрация
ЗВ, а затем находится средняя за рассматриваемый период времени концентрация ЗВ по формуле (118):
, (118)
где - общая продолжительность рассматриваемого периода времени.
10.1.5. Вычисление интегралов в формулах (110) и (117) проводится по области изменения u и в данной местности за рассматриваемый период времени. При этом допускается использование квадратурных формул, обеспечивающих во всех узлах расчетной сетки относительную погрешность не более 3%.
10.1.6. Расчет долгопериодных средних концентраций ЗВ при наличии данных о коэффициентах трансформации проводится с учетом их частичной трансформации в соответствии с пунктом 4.3 настоящих Методов. Пример расчета долгопериодных средних концентраций для окислов азота приведен в Приложении N 5 к настоящим Методам.
10.2. Учет распределения метеорологических параметров при расчете долгопериодных средних концентраций ЗВ в атмосферном воздухе.
10.2.1. При расчете долгопериодных средних концентраций ЗВ изменчивость во времени метеорологических параметров характеризуется функциями ,
и
.
При вычислении средних концентраций ЗВ для конкретного интервала времени используются выборочные оценки указанных функций по данным измерений в течение этого интервала времени.
При вычислении математического ожидания и максимальных значений (по пункту 10.4 настоящих Методов) долгопериодных средних концентраций ЗВ используются климатические данные, указанные в пункте 4.6 настоящих Методов (в случае их наличия), или выборочные оценки указанных функций, полученные для рассматриваемого периода времени по ряду наблюдений продолжительностью не менее пяти лет.
Для приближенных оценок функций ,
и
допускается использование данных наблюдений продолжительностью не менее трех лет.
Требования к расчету максимальных значений долгопериодных средних концентраций ЗВ в атмосферном воздухе, в том числе по учету межгодовой изменчивости, изложены в пункте 10.4 настоящих Методов.
10.2.2. Функция определяется по розе ветров
, соответствующей рассматриваемому интервалу времени. При этом повторяемость штилей
исключается из рассмотрения, а повторяемости румбов
(j = 1, 2, 3..) нормируются по формуле (119):
. (119)
Значения определяются таким образом, чтобы выполнялись условия:
, (120)
где - полуширина румба.
Середине румба j соответствует отличающееся от направления ветра на 180° направление факела . Внутри каждого румба функция
аппроксимируется полиномом второго порядка, коэффициенты которого находятся из формулы (120) и условий непрерывности
при переходе через границы румбов.
При аппроксимации функции должно быть выполнено условие
> 0.
10.2.3. Выборочная оценка плотностей вероятности и
проводится по данным регулярных наблюдений за направлением и скоростью ветра на уровне флюгера (около 10 м над подстилающей поверхностью), выполненных на репрезентативной для рассматриваемой местности метеостанции.
При расчетах долгопериодных средних концентраций ЗВ на территории города должны использоваться данные наблюдений на загородных метеостанциях или на таких городских метеостанциях, ветровой режим которых не подвержен влиянию застройки.
10.2.4. Для выборочной оценки плотности вероятностей используются данные регулярных срочных наблюдений за основными метеорологическими элементами (температурой и влажностью атмосферного воздуха, скоростью ветра), производимых одновременно на нескольких высотах в приземном слое атмосферного воздуха (далее - градиентные наблюдения) на теплобалансовых станциях. При этом значения
, используемые при оценке
, определяются по формуле (121):
, (121)
где - значение коэффициента вертикального турбулентного обмена за указанные сроки наблюдений на уровне
= 1 м, м2/с;
- измеренная в рассматриваемый срок наблюдения скорость ветра на уровне z = 2 м, м/с.
При отсутствии данных градиентных наблюдений значения функции могут быть получены по запросу в территориальных органах Росгидромета, либо в организациях, имеющих лицензию на осуществление деятельности в области гидрометеорологии и в смежных с ней областях (за исключением указанной деятельности, осуществляемой в ходе инженерных изысканий, выполняемых для подготовки проектной документации, строительства, реконструкции объектов капитального строительства).
10.3. Расчет долгопериодных средних концентраций ЗВ от группы точечных, линейных и площадных источников загрязнения атмосферного воздуха
10.3.1. Долгопериодная средняя концентрация ЗВ C при наличии N источников выбросов определяется как сумма долгопериодных средних концентраций ЗВ от отдельных источников:
, (122)
где ,
,...,
- концентрации ЗВ соответственно от первого, второго, N-го источника в рассматриваемой расчетной точке.
Концентрации ,
,...,
ЗВ могут соответствовать точечным, линейным и площадным источникам выбросов.
В случае, когда имеются неучтенные источники выброса того же ЗВ (глава XI настоящих Методов), в правую часть формулы (122) добавляется слагаемое , характеризующее фоновое загрязнение атмосферного воздуха от неучтенных источников выброса.
10.3.2. Долгопериодная средняя концентрация ЗВ от линейного источника выброса, расположенного вдоль отрезка l длиной L, рассчитывается по формуле (123):
, (123)
где - концентрация ЗВ, создаваемая в расчетной точке (x, y) точечным источником выброса, находящимся в точке
отрезка l, интеграл в формуле (123) вычисляется вдоль этого отрезка. Подынтегральная функция в формуле (123) вычисляется по формулам, приведенным в пункте 10.1 настоящих Методов.
При расчетах для аэрационного фонаря подынтегральная функция в формуле (123) рассчитывается с использованием суммарного выброса из фонаря и эффективного диаметра, определяемого по формуле (37).
Погрешность численного интегрирования при расчете концентраций ЗВ от линейных источников выброса во всех расчетных точках по формуле (123) не должна превышать 3%.
Точки линейного источника выброса, принадлежащие отрезку l, определяются из условия, что в декартовой системе координат с началом в расчетной точке и осью x, ориентированной по направлению ветра, их абсциссы отрицательны.
Для линейного источника, мощность выброса от которого изменяется вдоль отрезка l, подынтегральная функция в формуле (123) умножается на функцию , характеризующую изменение мощности выброса вдоль рассматриваемого источника по отношению к ее характерному значению, применяемому при расчете C. Учет изменения мощности выброса осуществляется и конкретный вид функции
задается при наличии утвержденной в порядке, установленном законодательством Российской Федерации, методики расчета выбросов ЗВ в атмосферный воздух стационарными источниками для рассматриваемого производства <11>. В случае отсутствия соответствующей методики, учет изменения мощности выброса не осуществляется.
<11> Правила разработки и утверждения методик расчета выбросов вредных (загрязняющих) веществ в атмосферный воздух стационарными источниками, утвержденные постановлением Правительства Российской Федерации от 16.05.2016 N 422 (Собрание законодательства Российской Федерации, 2016, N 21, ст. 3018).
10.3.3. Долгопериодная средняя концентрация ЗВ от площадного источника выброса, занимающего область S площадью
, рассчитывается по формуле (124):
, (124)
где - осредненная за этот период времени концентрация ЗВ, создаваемая в расчетной точке (x, y) точечным источником выброса, находящимся в точке
области
, по которой вычисляется интеграл.
Типы источников выбросов, которые могут аппроксимироваться площадными источниками, перечислены в пункте 8.8 настоящих Методов.
Подынтегральная функция в формуле (124) вычисляется по формулам, приведенным в пункте 10.1 настоящих Методов, с использованием суммарного выброса от всего площадного источника.
Для площадного источника, мощность выброса которого изменяется от точки к точке, подынтегральную функцию в формуле (124) следует умножить на функцию , характеризующую изменение удельной мощности выброса в точках рассматриваемого источника по отношению к ее характерному значению, применяемому при расчете C. Учет изменения мощности выброса осуществляется и конкретный вид функции
задается при наличии утвержденной в порядке, установленном законодательством Российской Федерации, методики расчета выбросов ЗВ в атмосферный воздух стационарными источниками для рассматриваемого производства <12>. В случае отсутствия соответствующей методики, учет изменения мощности выброса не осуществляется.
<12> Правила разработки и утверждения методик расчета выбросов вредных (загрязняющих) веществ в атмосферный воздух стационарными источниками, утвержденные постановлением Правительства Российской Федерации от 16.05.2016 N 422 (Собрание законодательства Российской Федерации, 2016, N 21, ст. 3018).
Таким же образом с заменой в формуле (124) двойного интеграла на тройной (аналогично формуле (64) проводится расчет среднегодовых концентраций от объемного источника выброса.
Применяемые алгоритмы интегрирования должны обеспечивать вычисление концентраций ЗВ во всех расчетных точках с погрешностью не более 3%.
10.3.4. Требования к шагам расчетной сетки и общему количеству ее узлов принимаются в соответствии с пунктом 8.10 настоящих Методов.
10.4. Расчет максимальных значений долгопериодных средних концентраций ЗВ в атмосферном воздухе.
10.4.1. Максимальные значения долгопериодных средних концентраций ЗВ вычисляются по формуле (125):
, (125)
где C - осредненные концентрации ЗВ, относящиеся к средним за рассматриваемый период времени метеорологическим условиям согласно пункту 10.2 настоящих Методов;
- соответствующий коэффициент вариации.
10.4.2 Значение определяется по формуле (126):
, (126)
где - стандартное отклонение долгопериодных средних концентраций ЗВ.
Значения должны определяться в каждом узле сетки по значениям долгопериодной средней концентрации ЗВ, рассчитанным для не менее, чем пяти последовательных лет.
При наличии данных систематического мониторинга загрязнения атмосферного воздуха допускается определение по экспериментальным данным на основе не менее, чем пятилетнего ряда наблюдений за рассматриваемым ЗВ. При этом коэффициенты вариации должны рассчитываться для каждого поста наблюдений в отдельности. В качестве
должно приниматься максимальное из рассчитанных значений.
При расчете среднегодовых концентраций ЗВ в случае отсутствия необходимой исходной информации для расчета стандартного отклонения в формуле (126) и данных мониторинга загрязнения атмосферного воздуха допускается определять по формуле (125) при
= 0,5.
10.5. Расчетные формулы для определения подынтегральных функций
10.5.1. Подынтегральные функции в формулах (110) и (117) вычисляются с использованием вспомогательной функции G:
, (127)
где =
;
- определяемый по формуле (41) безразмерный коэффициент, учитывающий влияние рельефа местности;
- определяется согласно подпункту 10.1.3 настоящих Методов;
, (128а)
, (128б)
, (129)
(130)
, (131)
, (132а)
. (132б)
Значение h в формуле (129) находится из соотношения:
м/с, (133а)
м/с, (133б)
где = 530 с.
10.5.2. Долгопериодная средняя концентрация нерастворимых ЗВ или концентрация растворимых ЗВ, осредненная за период времени, в который отсутствовали осадки, согласно подпункту 10.5.3 настоящих Методов, определяется с использованием подынтегральной функции (то есть
при i = 0):
, (134а)
, (134б)
где вспомогательная функция G определена по формуле (127), а параметры -
вычисляются по формуле (127) при замене
на 20
h -
, 20
h +
, 40
h -
и 40
h +
, соответственно.
10.5.3. Для периодов времени с осадками подынтегральная функция (то есть
при i = 1) вычисляется по формуле (135):
. (135)
Значение вычисляется по формуле (136):
, (136)
где I - средняя интенсивность осадков за рассматриваемый период времени, мм/ч;
,
- коэффициент вымывания рассматриваемого ЗВ твердыми либо жидкими осадками интенсивностью
= 1 мм/ч.
Коэффициент вымывания зависит от физико-химических свойств и дисперсного состава вымываемого ЗВ. Для мелкодисперсного аэрозоля диаметром не более 10 мкм и для диоксида серы в расчетах коэффициент вымывания следует принимать равным 1,3
. По остальным ЗВ
устанавливаются с использованием данных натурных и лабораторных экспериментов по определению характеристик вымывания этих ЗВ в атмосфере.
В случае, когда значения не установлены, для растворимых ЗВ допускается вычисление
по формулам (137а) - (137б):
, (137а)
, (137б)
где = 0,17 мм/ч.
При этом для растворимых ЗВ функции распределения ,
и
оцениваются для части интервала времени, соответствующей отсутствию осадков, а долгопериодные средние концентрации ЗВ вычисляются по формуле (118), в которой при наличии осадков принимается
= 0.
10.5.4. Влияние рельефа местности на поле долгопериодных средних концентраций ЗВ учитывается с помощью безразмерного коэффициента влияния рельефа . Этот коэффициент определяется согласно главе VII настоящих Методов для сечений рельефа местности, соответствующих 8 направлениям оси факела вдоль середины румбов, которые использованы при определении функции
по формулам, приведенным в пункте 10.2 настоящих Методов. Для промежуточных направлений значение
устанавливается с помощью линейной интерполяции.
При наличии в окрестности источника выброса выраженной формы рельефа, указанной в пункте 7.3 настоящих Методов, оказывающей наибольшее влияние на распределение концентраций ЗВ, рекомендуется отсчет направлений оси факела производить таким образом, чтобы одно из них совпало с направлением от источника на соответствующую форму рельефа.
При расчете максимальных значений долгопериодных средних концентраций ЗВ допускается задавать единое значение поправки на рельеф , соответствующее наибольшему
, причем максимум определяется по всем возможным сечениям рельефа местности осью факела рассматриваемого источника выброса.
10.5.5. Влияние застройки учитывается в соответствии с главой IX настоящих Методов. При этом в качестве масштаба длины хм используется коэффициент , вычисленный по формуле (131), а построение объединенных ветровых теней для группы зданий проводится с учетом не более одного определяющего здания с наветренной и подветренной стороны.
10.5.6. При необходимости проведения расчета распространения ЗВ от автомагистрали вспомогательную функцию G в формулах (127), (134а) следует умножить на коэффициент :
, (138а)
, (138б)
где
. (139)
Использование формул (138а), (138б) и (139) соответствует аппроксимации автомагистрали в виде объемного источника выброса высотой 2 м.
10.5.7. Расчет по формулам (127) - (132б) при > 1 проводится для расстояний
, удовлетворяющих условию (140а - 140б):
, (140а)
где
. (140б)
Для расстояний, не удовлетворяющих этому условию, в формулах (127) и (10.24а), (10.24б) принимается = 1.
10.5.8. При расчете долгопериодных средних концентраций мелкодисперсных аэрозолей, для которых в соответствии с пунктом 5.6 настоящих Методов принято F > 1, правую часть формулы (127) следует умножить на безразмерный коэффициент , который вычисляется по формуле (141):
, (141)
где (с/м) - вспомогательный параметр, определяемый по таблице 1 в зависимости от параметра F, установленного согласно пункту 5.6 настоящих Методов;
Таблица 1
- безразмерный аргумент, вычисляемый по формуле (142):
, (142)
причем находится по формуле (131);
- зависящий от
безразмерный коэффициент (рисунок 13 (Приложение N 7 к настоящим Методам), который при
15 определяется по таблице 1 Приложения N 6 к настоящим Методам, а при
> 15 рассчитывается по следующей формуле (143):
, (143)
Если экспонента в формуле (10.33) превышает , то она заменяется на
.
10.6. Если недоступны необходимые для расчета долгопериодных средних концентраций функции распределения метеорологических параметров ,
и
, а также информация о прочих характеристиках режима определяющих среднегодовые концентрации метеопараметров, то допускается проводить упрощенный расчет среднегодовых концентраций ЗВ от одиночного точечного источника выброса по формуле (144):
, (144)
где C и c - соответственно, среднегодовая и максимальная разовая (вычисленная с учетом фона) концентрация от одиночного точечного источника выброса в рассматриваемой расчетной точке, P (%) - среднегодовая повторяемость ветров румба, соответствующего переносу ЗВ от источника выброса в расчетную точку, (%) - повторяемость направлений ветров одного румба при круговой розе ветров (для восьмирумбовой розы ветров
= 12,5%). При выполнении условия P <
в формуле (144) для соответствующего румба принимается P =
.
С использованием формулы (144) может проводиться упрощенный расчет среднегодовых концентраций от совокупности точечных источников выброса, а также, с учетом соотношений (122), (123) и (124), от линейного и площадного источников выброса. Упрощенный расчет не допускается при вычислении фоновых концентраций по формулам, приведенным в Приложении N 4 к настоящим Методам, а также стандартных отклонений и коэффициентов вариации долгопериодных средних концентраций. Результаты упрощенного расчета среднегодовых концентраций дают их оценку сверху и, соответственно, не могут использоваться для корректировки расчетов долгопериодных средних концентраций, выполненных по формулам, приведенным в пунктах 10.1 - 10.5 настоящих Методов.
XI. Метод учета фоновых концентраций загрязняющих веществ при расчетах загрязнения атмосферного воздуха и определение фона расчетным путем
11.1. Если при расчетах загрязнения атмосферного воздуха учтены (то есть заданы своими высотами, значениями мощности выброса и другими характеристиками) не все источники выброса ЗВ, то результаты расчета должны быть откорректированы, чтобы обеспечить учет вклада в суммарную концентрацию фоновых, то есть неучтенных, источников. При наличии требуемых данных обо всех источниках выброса, количественный вклад не включенной непосредственно в расчеты части источников выбросов может быть учтен путем проведения сводного расчета загрязнения атмосферного воздуха с совместным использованием информации как о рассматриваемых (уже учитываемых в расчете), так и о фоновых источниках выброса (то есть всех, кроме рассматриваемых, источниках выброса, создающих загрязнение атмосферного воздуха в промышленном районе, городе или другом населенном пункте). Учет вклада фоновых источников выброса может быть также обеспечен путем добавления значений фоновой концентрации к результатам расчета загрязнения атмосферного воздуха выбросами от учтенных источников. При этом фоновые концентрации должны относиться к тому времени осреднения, которому соответствуют результаты расчета, и могут быть как установлены по данным инструментальных измерений (наблюдений), так и определены расчетным путем с использованием формул, приведенных в настоящих Методах. В частности, при расчетах разовых и среднегодовых концентраций ЗВ соответственно используются фоновые концентрации разовые и среднегодовые
рассматриваемых ЗВ, которые соответствуют времени осреднения 20 мин и 1 год. В случаях, предусмотренных пунктом 4.2 настоящих Методов, допускается использование фоновой концентрации, вычисленной не по отдельным ЗВ, а совместно по группе ЗВ комбинированного вредного действия.
11.2. Если фоновые концентрации устанавливаются по данным наблюдений для вновь строящихся источника или группы источников выброса (предприятия, объекта группы объектов), то мг/м3, определяется как уровень концентраций, превышаемый в 5% регулярных наблюдений за разовыми концентрациями ЗВ, а
, мг/м3, определяется, как среднегодовая концентрация ЗВ, создаваемая всеми источниками выбросов. Фоновые концентрации ЗВ устанавливаются единым значением по городу, или, в случае выявления их существенной изменчивости по территории города, дифференцированно по постам. Фоновые концентрации сфр ЗВ, относящиеся ко времени осреднения 20 мин, устанавливаются дифференцировано по градациям скорости и направления ветра в случаях выявления их существенной изменчивости в зависимости от этих параметров.
При расчетах для действующих и реконструируемых источников выброса используются фоновые концентрации ЗВ и
, представляющие из себя фоновые концентрации
, из которых исключен вклад рассматриваемых действующих и реконструируемых источника или группы источников. Исключение вклада производится по формулам (145) - (148):
, (145)
. (146)
, (147)
, (148)
где c - максимальная разовая, а среднегодовая расчетная концентрация ЗВ от рассматриваемых источников выброса, определенная по формулам, приведенным в главе X настоящих Методах, при параметрах выброса, относящихся к периоду времени, по данным наблюдений за который определялась фоновая концентрация ЗВ
. Концентрация ЗВ c определяется в точке размещения поста, для которого устанавливалась
.
11.3. Для ЗВ, по которым данные регулярных наблюдений за состоянием и загрязнением атмосферного воздуха отсутствуют, либо по объему и/или качеству не удовлетворяют установленным требованиям, предъявляемым к наблюдениям за фоновым загрязнением атмосферы, и при наличии данных инвентаризации выбросов, фоновые концентрации ЗВ и
должны определяться на основе сводного расчета загрязнения атмосферного воздуха с использованием формул, приведенных в Приложении N 4 к настоящим Методам, при условии, что в расчете учитывается не менее 95% суммарных выбросов от источников, которые расположены на рассматриваемой территории, или зона влияния которых пересекается с рассматриваемой территорией. Соблюдение этого условия проверяется по данным государственного учета объектов, оказывающих негативное воздействие на окружающую среду, осуществляемого в соответствии со статьей 69 Федерального закона от 10.01.2002 N 7-ФЗ "Об охране окружающей среды" (Собрание законодательства Российской Федерации, 2002, N 2, ст. 133, 2004, N 35, ст. 3607, 2005, N 1, ст. 25, N 19, ст. 1752, 2006, N 1, ст. 10, N 52, ст. 5498, 2007, N 7, ст. 834, 2008, N 30, ст. 3616, 2009, N 1, ст. 17, N 11, ст. 1261, N 52, ст. 6450, 2011, N 1, ст. 54, N 29, ст. 4281, N 30, ст. 4590, N 30, ст. 4591, N 30, ст. 4596, N 48, ст. 6732, N 50, ст. 7359, 2012, N 26, ст. 3446, 2013, N 11, ст. 1164, 2013, N 11, ст. 1164, N 27, ст. 3477, N 30, ст. 4059, 2014, N 11, ст. 1092, 2014, N 30, ст. 4220, N 48, ст. 6642, 2015, N 1, ст. 11, N 27, ст. 3994, N 29, ст. 4359, N 48, ст. 6723, 2016, N 1, ст. 24, N 15, ст. 2066, N 27, ст. 4187, N 27, ст. 4291).
Значения максимальной разовой фоновой концентрации ЗВ для рассматриваемой территории должны определяться по формуле (149):
, (149)
где c - максимальная расчетная концентрация ЗВ от всей совокупности включенных в расчет источников выброса.
При наличии детальной информации о режимах изменения во времени выбросов и других параметров рассматриваемых источников, в том числе, об их суточной, недельной и годовой изменчивости, допускается проводить расчет максимальных разовых фоновых концентраций ЗВ с использованием формул, приведенных в Приложении N 4 к настоящим Методам.
Значения среднегодовой фоновой концентрации ЗВ для рассматриваемой территории определяются по формуле (150):
, (150)
где - среднегодовая концентрация ЗВ, рассчитанная по формулам, приведенным в главе X настоящих Методов, с применением в расчетах данных, удовлетворяющих требованиям положений пункта 10.2.1 настоящих Методов о требованиях к используемым климатическим данным при вычислении долгопериодных средних концентраций.
Исключение вклада рассматриваемых источников выброса при расчетах загрязнения атмосферы (то есть определение по рассчитанным
) осуществляется по формулам (145) - (148). Не допускается использование фоновых концентраций, рассчитанных на основе положений данного пункта, для корректировки значений фона, определенных по данным наблюдений, а также для корректировки результатов сводных расчетов (пункт 11.1 настоящих Методов).
11.4. Для предприятий могут быть рассчитаны также значения максимальных разовых фоновых концентраций - на момент достижения ПДВ (на перспективу) по формулам (151) - (152):
, (151)
, (152)
где - максимальная концентрация веществ от совокупности источников выброса рассматриваемого предприятия, вычисляемая в соответствии с положениями глав V - VIII настоящих Методов при значениях параметров выброса, относящихся к периоду времени, за который определялась фоновая концентрация
.
При отсутствии данных наблюдений концентрацию для i-того предприятия (i = 1, 2,...,
) допускается рассчитывать по формуле (153):
, (153)
где - число предприятий в городе;
(г/с) - полная мощность выброса источников на i-том предприятии;
(м) - средневзвешенная высота источников выброса на i-м предприятии;
; (154)
; (155)
,
,
и так далее - суммарные выбросы j-того предприятия в интервалах высот источников выброса до 10 м включительно, свыше 10 до 20 м включительно, свыше 20 до 30 м включительно и так далее. Если все источники на i-том предприятии являются наземными или низкими, то есть высота выброса не превышает 10 м (выбросы могут быть как организованными, так и неорганизованными), то
= 5 м.
При использовании значений максимальных выбросов в качестве и
в качестве ПДК по формуле (153) вычисляются на момент достижения ПДВ значения максимальной разовой фоновой концентрации, а при использовании среднегодовых выбросов и
(или
, если
не установлены) по формуле (153) вычисляются на момент достижения ПДВ значения среднегодовой фоновой концентрации.
Корректность разработанных с использованием нормативов ПДВ проверяется расчетом концентрации по формулам, приведенным в главах V - VIII настоящих Методов.
XII. Методы расчетов рассеивания выбросов ЗВ в атмосферном воздухе от источников выбросов различного типа
12.1. Для расчетов рассеивания выбросов при условии, что температура ГВС превышает 3000 °C, производится замена рассматриваемого источника на виртуальный с учетом положений, изложенных в пункте 12.2 настоящих Методов.
Если скорость выхода струи ГВС из устья источника выброса превосходит скорость звука в атмосферном воздухе
, то расчет рассеивания выбросов также проводится на основе положений, изложенных в пункте 12.2 настоящих Методов.
Высота устья виртуального источника выброса определяется соотношением (156):
, (156)
где - протяженность динамического участка струи.
Значения определяются по формулам (157а) - (157б):
, (157а)
, (157б)
где Ма - число Маха, определяемое как отношение к скорости звука в атмосферном воздухе
;
D - диаметр устья источника выброса, м.
12.2. Если выполняются условия, изложенные в пункте 12.1 настоящих Методов, или ограничения на форматы исходных данных не позволяют задать параметры выброса для рассматриваемого источника, то производится замена этого источника выброса на виртуальный таким образом, чтобы для этих источников сохранялись неизменными две следующие характеристики выброса (158) - (159):
, (158)
. (159)
12.3. При выбросе ГВС, плотность которой меньше плотности атмосферного воздуха
на 10% и более, значение
определяется по формуле (160):
. (160)
12.4. В случае факельного горения параметры выброса виртуального источника задаются таким образом, чтобы значение в формуле (159) удовлетворяло соотношению (161):
где Q - тепловая мощность источника выброса, вычисленная с учетом неполноты сгорания топлива;
- часть тепловой мощности источника выброса, затрачиваемая на излучение;
- плотность атмосферного воздуха при давлении 1013 гПа и температуре 0 °C, равная 1,29 кг/м3;
- удельная теплоемкость атмосферного воздуха при постоянном давлении.
Тепловая мощность источника выброса вычисляется с использованием данных о теплотворной способности, объемном расходе и полноте сгорания сжигаемых в факеле горючих газов и смесей.
Система единиц, используемая при задании , должна соответствовать системе единиц, в которой задается Q. В частности, для атмосферного воздуха может быть использовано значение
, равное 1,005 кДж/(кг
К).
12.5. Для точечного источника выброса, оборудованного зонтом или крышкой, параметры выброса виртуального источника задаются таким образом, чтобы обеспечить равенство значению, рассчитанному по формуле (161), и чтобы при этом для
соблюдалось условие (162):
. (162)
Если плотность выбрасываемой ГВС равна плотности атмосферного воздуха, формула (162) выполняется при D = 0,1 м и = 0,1 м/с.
12.6. Для точечного источника выброса, ось устья которого отклоняется от вертикали на угол , удовлетворяющий условию 0
90°, параметр
для виртуального источника рассчитывается по формуле (158), в которой вместо
используется значение
, а параметр
рассчитывается по формуле (159). Высота виртуального источника определяется через вертикальную проекцию устья источника выброса. Если горизонтальная проекция скорости выбросов
превышает 5 м/с, то положение виртуального источника смещается в направлении отклонения оси устья на расстояние
, определяемое по формуле (163) с учетом расчетной скорости ветра:
, (163)
где коэффициент вычисляется по формулам (108а) - (108б), при расчете по которым вместо
используется
и принимается
0.
12.7. Для точечного источника выброса, который характеризуется опасной скоростью ветра , превышающей максимальное расчетное значение, указанное в пункте 5.11 настоящих Методов, для расчета коэффициентов r и p вместо формул (21а), (21б) и (23а) - (23в) используются следующие формулы (164а) - (165г):
, (164а)
, (164б)
, (164в)
, (164г)
, (165а)
, (165в)
. (165г)
Значения , превышающие значения максимальной расчетной скорости ветра, характерны, например, для выбросов в атмосферный воздух ЗВ от газоперекачивающих агрегатов компрессорных станций магистральных газопроводов. Положения данного пункта не распространяются непосредственно на сверхзвуковые выбросы ЗВ, которые в процессе адиабатического расширения в атмосфере приобретают отрицательную плавучесть.
12.8. При необходимости произвести расчет рассеивания выбросов ЗВ от воздушных судов, движущихся вдоль траектории L со скоростью v, расчет рассеивания выбросов производится по формуле (62). Если при этом известна тепловая мощность источника выброса Q, то для учета термического подъема ЗВ используются значения эффективного диаметра и эффективного перегрева
, которые определяются по формулам (166) - (167):
, (166)
, (167)
где - поперечный размер теплового источника выброса (например, расстояние между крайними двигателями в случае воздушного судна);
L - длина пробега воздушного судна;
= 0.1 м/с.
Формулы (166) - (167) при соответствующей корректировке обозначений также применимы при расчетах загрязнения атмосферного воздуха для других случаев движущихся источников выброса, например, водного транспорта.
Если горизонтальная составляющая скорости выброса ГВС превышает 10 м/с, то координаты виртуальных источников смещаются в направлении, противоположном направлению движения самолета, на отрезок длиной
, которая определяется по формуле (168):
, (168)
где - диаметр сопла двигателя.
Для двигателей, скорость выброса ГВС из которых соответствует числу Маха Ма > 1 (где число Маха определяется как отношение скорости выброса ГВС из сопла к ), координаты виртуальных источников дополнительно смещаются в направлении, противоположном направлению движения воздушного судна на отрезок длиной
, определяемой по формулам (169а) - (169б):
, (169а)
. (169б)
12.9. При расчете рассеивания выбросов ЗВ в атмосферном воздухе, образующихся при проведении взрывных работ в карьерах, испытательных взрывов, эти выбросы относятся к совокупности виртуальных источников выбросов. При этом та часть возникающего при взрыве пылегазового облака, которая поднимается над бортами карьера более чем на 5 м, представляется в виде расположенного вертикально линейного источника (согласно пункту 8.5 настоящих Методов), находящегося над тем участком карьера, на котором осуществляется или предусматривается проведение взрывных работ. Выбросы от остальной части пылегазового облака, а также от взорванной горной породы и от остальных источников выброса, расположенных внутри карьера, относятся к площадному источнику, располагающемуся на уровне прилегающей к карьеру местности. Площадь S, м2, указанного площадного источника выброса соответствует площади поверхности карьера на указанном уровне. В случае высотных взрывов выбросы представляются в виде объемного источника (согласно пункту 8.8 настоящих Методов) или, если расстояние до ближайшей к источнику расчетной точки превышает горизонтальный размер объемного источника в 10 раз и более, в виде точечного источника.
12.10. Если при расчете рассеивания выбросов не предусматривается автоматическое вычисление интегралов, которые фигурируют в формулах для концентрации ЗВ от (криво) линейных, площадных и объемных источников, то допускается представление этих источников в задании на расчет в виде совокупности точечных источников выбросов при условии соблюдения требований к точности вычислений, указанных в настоящих Методах.
12.11. Если параметры выброса источника не удовлетворяют условиям применимости хотя бы одного из методов расчета концентраций, приведенных в главах V, VI, VIII - X и в пунктах 12.1 - 12.10 настоящих Методов, то при расчетах производится его замена на виртуальный точечный или площадной источник, у которого мощность выброса сохраняется неизменной, высота H принимается равной 2 м, температура ГВС задается равной принятой в расчете температуре атмосферного воздуха ТВ, а средняя скорость выхода ГВС из устья источника выброса
принимается равной нулю (пункт 5.8 настоящих Методов). Положения данного пункта не применяются к источникам, для которых разработаны и утверждены в порядке, установленном законодательством Российской Федерации, отраслевые (корпоративные) инструкции по подготовке исходных данных для расчетов рассеивания в атмосфере выбросов ЗВ по формулам, приведенным в главах V, VI, VIII - X и пунктах 12.1 - 12.10 настоящих Методов.
12.12. Для ЗВ, по которым установлены максимальные разовые, среднесуточные и среднегодовые ПДК <13>, среднесуточные концентрации Ссс ЗВ определяются по формуле (170):
<13> ГН 2.1.6.1338-03 "Предельно допустимые концентрации (ПДК) загрязняющих веществ в атмосферном воздухе населенных мест".
, (170)
где и
- максимальная разовая и среднегодовая концентрации ЗВ, рассчитанные по формулам, приведенным в настоящих Методах.
12.13. Расчетное обоснование размеров санитарно-защитной зоны
Требования к размеру санитарно-защитных зон (СЗЗ) и основания для пересмотра этих размеров регламентируются СанПиН 2.2.1/2.1.1.1200 "Санитарно-защитные зоны и санитарная классификация предприятий, сооружений и иных объектов", утвержденными постановлением Главного государственного санитарного врача Российской Федерации от 25.09.2007 N 74 (зарегистрировано в Минюсте России 25.01.2008, регистрационный N 10995) с изменениями, внесенными постановлениями Главного государственного санитарного врача Российской Федерации от 10.04.2008 N 25 (зарегистрировано в Минюсте России 07.05.2008, регистрационный N 11637), от 06.10.2009 N 61 (зарегистрировано в Минюсте России 27.10.2009, регистрационный N 15115), от 09.09.2010 N 122 (зарегистрировано в Минюсте России 12.10.2010, регистрационный N 18699), от 25.04.2014 N 31 (зарегистрировано в Минюсте России 20.05.2014, регистрационный N 32330).
Необходимость обоснования ориентировочного размера СЗЗ расчетами ожидаемого загрязнения атмосферного воздуха с учетом фона регламентирована требованиями санитарных правил. Расчеты ожидаемого загрязнения атмосферного воздуха по формулам, приведенным в настоящих Методах, необходимо проводить для ЗВ и групп веществ комбинированного вредного действия, по которым объект является источником воздействия на среду обитания и здоровье человека.
По ЗВ, для которых установлены значения максимальных разовых, среднесуточных и среднегодовых ПДК, расчетные концентрации сопоставляются с ПДК, относящимися к тому же времени осреднения.
Для ЗВ, по которым среднегодовые ПДК не установлены, расчетные максимальные разовые концентрации сопоставляются с максимальными разовыми ПДК, а расчетные среднегодовые концентрации сопоставляются со среднесуточными ПДК.
Для ЗВ, по которым установлены только среднесуточные ПДК, проводится только расчет среднегодовых концентраций, которые сопоставляются со среднесуточными ПДК.
Для каждого ЗВ и группы веществ комбинированного вредного действия по результатам расчетов, проведенных при соответствующих временах осреднения определяется предварительное положение границы СЗЗ, на которой должны соблюдаться установленные гигиенические нормативы. Окончательная расчетная граница СЗЗ определяется, как огибающая всех предварительных границ.
Для предприятий I и II класса опасности положение этой границы корректируется в соответствии с законодательством Российской Федерации в области санитарно-эпидемиологического благополучия населения с тем, чтобы обеспечить на границе СЗЗ величины приемлемого риска для здоровья населения.
Приложение N 1
к Методам расчетов рассеивания
выбросов вредных (загрязняющих)
веществ в атмосферном воздухе,
утвержденным приказом
Минприроды России
от 06.06.2017 N 273
ОБОЗНАЧЕНИЯ, ПРИМЕНЯЕМЫЕ В НАСТОЯЩИХ МЕТОДАХ
В настоящих Методах применены следующие обозначения:
- - безразмерный коэффициент трансформации;
- - полуширина гряды, холма, ложбины или протяженность бокового склона уступа, м;
- A - коэффициент, зависящий от температурной стратификации атмосферы;
- b - ширина устья прямоугольного источника выброса, м;
- - поперечный размер теплового источника выброса (например, расстояние между крайними двигателями в случае воздушного судна), м;
- ,
и
- вспомогательные коэффициенты для расчета безразмерного коэффициента
;
- c - приземная разовая концентрация ЗВ, мг/м3;
- C - приземная концентрация ЗВ, осредненная за длительный период (долгопериодная средняя концентрация), мг/м3;
- c(x, y, z), C(x, y, z) - концентрация ЗВ, создаваемая в расчетной точке (x, y, z) точечным источником выброса, находящимся в точке отрезка L, мг/м3;
- c(x, y), C(x, y) - концентрация ЗВ, создаваемая в расчетной точке (x, y) точечным источником выброса, находящимся в точке области S, мг/м3;
- - приземная концентрация ЗВ, рассчитанная с учетом влияния застройки, мг/м3;
- - концентрация ЗВ на крыше здания в точке с координатами (x, y) относительно источника выброса, мг/м3;
- - максимальная приземная разовая концентрация ЗВ при учете влияния застройки, мг/м3;
- - максимальная приземная концентрация ЗВ, определяемая для многоствольной трубы при параметрах выброса для одного ствола и при мощности выброса, равной суммарной мощности выброса из всех стволов, мг/м3;
- - максимальная приземная концентрация ЗВ, рассчитываемая для многоствольной трубы при суммарной мощности выброса из всех стволов и эффективном диаметре
, мг/м3;
- - максимальная приземная концентрация ЗВ при неблагоприятных метеорологических условиях и скорости ветра u, отличающейся от опасной скорости ветра
, мг/м3;
- - удельная теплоемкость атмосферного воздуха при постоянном давлении, кДж/(кг
К), кал/(г
°C);
- - концентрация ЗВ, достигающаяся в точке наветренной стены на высоте z над подстилающей поверхностью при скорости ветра u, мг/м3;
- ,
- разовая и осредненная за длительный период концентрации ЗВ, характеризующая фоновое загрязнение атмосферного воздуха от неучтенных источников выбросов, мг/м3;
- и
- фоновые концентрации ЗВ, соответствующие времени осреднения от 20 до 30 минут и 1 год, мг/м3;
- ,
- фоновые концентрации ЗВ
, из которых исключен вклад рассматриваемого источника, мг/м3;
- - рассчитанная в соответствии с требованиями настоящих Методов концентрация i-того ЗВ, входящего в рассматриваемую группу ЗВ комбинированного вредного действия, мг/м3;
- C - приземная концентрация ЗВ, осредненная за длительный период (год, сезон), мг/м3;
- - приземная среднегодовая концентрация ЗВ (концентрация, осредненная за 1 год), мг/м3;
- - средняя концентрация ЗВ для каждого из интервалов продолжительностью
, мг/м3;
- ,
- разовая и осредненная за длительный период концентрации ЗВ от линейного источника выброса, расположенного вдоль отрезка L трехмерной кривой, мг/м3;
- - максимальная концентрация ЗВ, осредненная за длительный период, мг/м3;
- ,
- разовая и осредненная за длительный период концентрации ЗВ от площадного источника выброса, занимающего область S площадью
, мг/м3;
- - концентрация ЗВ от расположенного вблизи подстилающей поверхности объемного источника выброса, занимающего область V объемом
, мг/м3;
- - приземная концентрация ЗВ в атмосферном воздухе на расстоянии y по нормали к оси факела выброса, мг/м3;
- - концентрация ЗВ на разных высотах z над подстилающей поверхностью, мг/м3;
- ,
,...,
,(
,
,...,
) - разовая и осредненная за длительный период концентрации ЗВ соответственно от первого, второго,..., N-го источника выбросов, расположенных с наветренной стороны при рассматриваемом направлении ветра, мг/м3;
- ,
- приземные концентрации ЗВ от источников выброса, высоты которых, соответственно, равны
и
, мг/м3;
- - среднегодовой квадрат концентрации ЗВ;
- - функция для вычисления осредненных приземных концентраций ЗВ;
- d - безразмерный коэффициент, используемый при расчете ;
- - безразмерный коэффициент, используемый при расчете концентрации ЗВ от многоствольной трубы;
- - безразмерный коэффициент, рассчитываемый в зависимости от отношения
/u и параметра f по формулам (108а - 108б),
- - диаметр частиц аэрозолей определяемый так, что масса всех частиц диаметром больше
составляет 5% общей массы частиц, м;
- D - диаметр устья источника выброса, м;
- - эффективный диаметр устья источника выброса, м;
- f, ,
и
- комплексные параметры, входящие в расчетные формулы;
- F - безразмерный коэффициент, учитывающий скорость оседания ЗВ (аэрозолей, пыли) в атмосферном воздухе;
- - функция, характеризующая изменчивость мощности M выбросов в зависимости от метеопараметров по отношению к ее характерной (например, средней) мощности;
- ,
- комплексные характеристики выброса;
- g = 9,81 м/с2 - ускорение свободного падения;
- - функция, описывающая изменчивость мощности выброса вдоль линейного источника или в точках площадного/объемного источника по отношению к ее характерной мощности, применяемой при расчете концентрации с ЗВ;
- G - вспомогательная функция;
- -
- расчетные параметры для определения подынтегральных функций при расчете долгопериодных средних концентраций;
- - высота (глубина) рассматриваемой формы рельефа, м;
- H - высота устья источника выброса, м;
- - высота ветровой тени над уровнем земли, м;
- ,
,
- максимальные высоты
для теней I-го, II-го и III-то типа, соответственно, м;
- - эффективная высота источника выброса, м;
- - высота здания, м;
- - средняя по предприятию высота источников выбросов, м;
- - высота устья виртуального источника выброса, м;
- - протяженность динамического участка струи, м;
-
- .
- I - средняя интенсивность осадков за рассматриваемый период, мм/ч;
- = 1 мм/ч;
- = 0,17 мм/ч;
- - безразмерный коэффициент комбинированного вредного действия, установленный в соответствии с законодательством в области санитарно-эпидемиологического благополучия населения;
- - безразмерный коэффициент, определяемый в зависимости от
и F;
- K - вспомогательная величина для расчета см при холодных выбросах;
- - число постов мониторинга;
- - коэффициент вертикального турбулентного обмена на уровне z1 = 1 м, м2/с;
- l - среднее расстояние между центрами устьев стволов, определяемое как среднее арифметическое из всех расстояний между парами различных устьев, м;
- - безразмерный коэффициент, определяемый в зависимости от коэффициента
;
- - длина аэрационного фонаря производственного корпуса, м;
- - длина здания, устанавливаемая в зависимости от направления ветра, м;
- - размер наибольшей стороны основания параллелепипеда, аппроксимирующего здание, м;
- - ширина долины, м;
- - масштаб длины, характеризующий размеры ветровых теней, м;
- - длина устья прямоугольного источника выброса, м;
- - ширина здания, устанавливаемая в зависимости от направления ветра, м;
- - размер наименьшей стороны основания параллелепипеда, аппроксимирующего здание, м;
- ,
,
- протяженности ветровых теней I-го, II-го и III-го типа, соответственно, м;
- - длина отрезка трехмерной кривой, вдоль которого вычисляется интеграл, м;
- M - масса ЗВ, выбрасываемого в атмосферный воздух в единицу времени (мощность выброса), г/с;
- Ма - число Маха, определяемое как отношение к скорости звука в атмосферном воздухе
;
- m, n - безразмерные коэффициенты, учитывающие условия выброса из устья источника;
- M(t) - мощность точечного источника выброса, который за время осреднения перемещается с положительной скоростью v(t), м/с, вдоль отрезка L;
- M(l), v(l) - величины M(t) и v(t), соответствующие тому моменту времени t, когда перемещающийся источник выброса находится в точке l = ;
- - мощность выброса i-го источника, г/с;
- ,
- мощности выбросов диоксида и оксида азота, осредненные за рассматриваемый период времени, г/с;
- ,
и так далее - суммарные выбросы рассматриваемого предприятия в интервалах высот источников до 10 м включительно, от 11 до 20 м включительно и так далее, г/с;
- - число ЗВ, входящих в группу комбинированного вредного действия;
- N - число источников выбросов (или стволов при выбросе через многоствольную трубу);
- p - безразмерный коэффициент, определяемый в зависимости от отношения u/ для расчета
;
- - повторяемости румбов розы ветров, соответствующей рассматриваемому интервалу времени (
- повторяемость штилей);
- - функция, характеризующая угловое распределение концентрации ЗВ, которая выражается через розу ветров для рассматриваемого периода осреднения;
- - плотность вероятностей u, соответствующая периоду осреднения концентраций ЗВ;
- - плотность вероятностей
, соответствующая периоду осреднения концентраций ЗВ;
- - безразмерная концентрация группы веществ, обладающих комбинированным вредным действием;
- - подынтегральная функция, используемая для вычисления осредненных приземных концентраций ЗВ;
- Q - тепловая мощность источника выброса, вычисленная с учетом неполноты сгорания топлива;
- r - безразмерная величина, определяемая в зависимости от отношения u/ для расчета
;
- - безразмерный коэффициент, описывающий влияние различия в опасных скоростях ветра при наличии здания,
и при его отсутствии,
;
- - коэффициент (масштаб длины), используемый при вычислении осредненных за длительный период концентраций ЗВ;
- ,
- полярные координаты расчетной точки относительно источника выброса;
- s - безразмерный коэффициент, описывающий влияние турбулентной диффузии внутри ветровой тени (при H < 10 м коэффициент s заменяется на );
- ,
- величины, равные s при аргументе
, вычисленном при замене
на
и
соответственно;
- - безразмерный коэффициент, определяемый в зависимости от коэффициентов
,
и
для расчета распределения максимальных разовых концентраций
ЗВ на разных высотах;
- - безразмерный коэффициент, определяемый в зависимости от отношения x/
и коэффициента F;
- - безразмерный коэффициент, определяемый в зависимости от x/
и H для низких и наземных источников выбросов;
- - безразмерный коэффициент, определяемый в зависимости от скорости ветра u и отношения y/x по аргументу
;
- ,
- безразмерные коэффициенты, определяемые в зависимости от отношения ;
- Sс - суммарная площадь устьев всех действующих стволов, м2;
- - фактическая площадь основания здания, м2;
- Sк - площади поверхность карьера на указанном уровне, м2;
- - средняя абсолютная температура атмосферного воздуха в Кельвинах за рассматриваемый период;
- - средняя температура атмосферного воздуха за период времени, использованный при определении функций
,
и
, °C;
- - температура выбрасываемой ГВС, °C;
- - температура атмосферного воздуха, °C;
- u - скорость ветра на стандартном уровне флюгера (10 м от уровня земли), м/с;
- - скорость звука в атмосферном воздухе, м/с;
- - опасная скорость ветра на стандартном уровне флюгера, при которой достигается наибольшая приземная концентрация ЗВсм, м/с;
- - максимальная расчетная скорость ветра, превышаемая в рассматриваемой местности в среднем многолетнем режиме в 5% случаев, м/с;
- - опасная скорость ветра при учете влияния застройки, м/с;
- - опасная скорость ветра, соответствующая максимальной концентрации
ЗВ и определяемая при параметрах выброса для одного ствола, м/с;
- - опасная скорость ветра, соответствующая максимальной концентрации
ЗВ и определяемая с учетом D =
, V =
, м/с;
- u2 - измеренная в рассматриваемый срок скорость ветра на уровне 2 м, м/с;
- v - скорость кораблей и воздушных судов, движущихся вдоль траектории L, м/с;
- vg - скорость гравитационного оседания частиц в атмосферного воздухе, соответствующая , м/с;
- V - суммарный расход выбрасываемой всеми источниками ГВС, м3/с;
- - коэффициент вариации;
- V - коэффициент вариации концентраций ЗВ в рассматриваемой точке;
- - фактический объем здания, м3;
- - расход ГВС, м3/с;
- - эффективный расход выходящей в атмосферный воздух в единицу времени ГВС, м3/с;
- - средняя скорость выхода ГВС из устья источника выброса, м/с;
- - вертикальная составляющая осредненной скорости выхода ГВС из устья источника выброса, м/с;
- x - расстояние от источника выброса до расчетной точки по оси факела, м;
- - расстояние вдоль направления ветра от расчетной точки до стены здания, м;
- - граница ветровой тени, м;
- - расстояние от источника выброса до точки, где достигается максимальная приземная концентрация ЗВ
, м;
- - расстояние, равное хм для рассматриваемого источника выброса в условиях ровной или слабопересеченной местности, то есть при
= 1, м;
- - расстояние от источника выброса до точки, где при скорости ветра u и неблагоприятных метеорологических условиях достигается максимальная приземная концентрация ЗВ
, м;
- - расстояние от источника выброса, на котором достигается концентрация
ЗВ при опасной скорости ветра и опасном направлении ветра, м;
- - расстояние, соответствующее максимальной концентрации
ЗВ, определяемое при параметрах выброса для одного ствола, м;
- - расстояние, соответствующее максимальной концентрации
ЗВ, определяемое с учетом D =
, V =
, м;
- - расстояние от середины рассматриваемой формы рельефа в при наличии гряды или ложбины и от верхней кромки склона при наличии уступа до источника выброса, м;
- - расстояние от подветренной стены здания до источника выброса, м;
- ,
- расстояния от источника выброса до наветренной и подветренной границ подветренной тени, м;
- - расстояние от источника выброса, равное 10
, м;
- - расстояние от источника выброса, начиная с которого c
0.05
, м;
- y - расстояние по нормали к оси факела выброса, м;
- z - высота расчетной точки над подстилающей поверхностью, м;
- - коэффициент вымывания рассматриваемого ЗВ твердыми либо жидкими осадками,
;
- - положительный острый угол (в градусах) между опасным направлением ветра и нормалью к подветренной стене здания;
- - полуширина румба;
- - средняя по городу разность между
и
;
- - начальный подъем факела;
- - разность между
и
, определяемая для каждого из постов;
- - разность между температурой выбрасываемой ГВС
и температурой атмосферного воздуха
, °C;
- - часть тепловой мощности источника выброса, затрачиваемая на излучение;
- - безразмерный коэффициент, учитывающий влияние рельефа местности;
- - функция, определяемая в зависимости от различных форм рельефа и безразмерных величин
и
;
- - безразмерный коэффициент, описывающий изменение структуры воздушного потока при наличии застройки,
- - поправка, учитывающая влияние застройки, на величину максимальной концентрации
ЗВ;
- - величина, равная для источника выброса, расположенного на границе зоны ветровой тени (то есть в точке с координатой
);
- - вспомогательный угол, определяемый в зависимости от отношения
, градусы;
- - функция, определяемая для различных форм рельефа, в зависимости от отношения
/
;
- - азимут направления оси факела, соответствующего переносу рассматриваемого ЗВ от источника выброса на расчетную точку, рад;
- - безразмерный параметр, характеризующий условия турбулентного перемешивания;
- - плотность атмосферного воздуха, кг/м3;
- - стандартное отклонение долгопериодных средних концентраций ЗВ;
- - дисперсия концентраций ЗВ, вычисляемая по формуле (4.3);
- - дисперсия измеренных концентраций ЗВ;
- - расчетная дисперсия;
- = 1 с;
- - продолжительность непересекающиеся интервалов, на которые разбивается период осреднения, каждый из которых соответствует изменяющимся в пределах ± 10% параметрам выброса;
- - общая продолжительность периода осреднения;
- - расчетный коэффициент;
- - безразмерный коэффициент, описывающий влияние колебаний направления ветра.
Приложение N 2
к Методам расчетов рассеивания
выбросов вредных (загрязняющих)
веществ в атмосферном воздухе,
утвержденным приказом
Минприроды России
от 06.06.2017 N 273
Таблица 1
Для источников выбросов, расположенных на расстоянии менее 3 км от административных границ, разделяющих территории с различными значениями коэффициента A, в расчетах принимается A, равное половине суммы указанных значений <1>.
<1> При проведении расчетов для российских территорий, расположенных на расстоянии не более 10 км от границы зон с различными коэффициентами A, значения коэффициента A могут быть уточнены с учетом климатических и физико-географических условий рассматриваемой местности.
Значение безразмерного коэффициента F.
Значение безразмерного коэффициента F при отсутствии данных о распределении на выбросе частиц аэрозолей по размерам определяется следующим образом:
для газообразных ЗВ и мелкодисперсных аэрозолей диаметром не более 10 мкм F = 1;
для аэрозолей (за исключением мелкодисперсных аэрозолей диаметром не более 10 мкм) при наличии систем очистки выбросов значение безразмерного коэффициента F приведено в Таблице 2 настоящего Приложения.
Таблица 2
Вне зависимости от эффективности очистки значение коэффициента F принимается равным 3 при расчетах концентрации пыли в атмосферном воздухе для производств, в выбросах которых содержание водяного пара соответствует температуре точки росы, которая выше используемой в расчетах температуры атмосферного воздуха на 5 °C и более.
При наличии данных инструментальных измерений распределения в выбросе аэрозолей по размерам определяются следующие показатели:
- диаметр частиц, такой, что масса всех частиц диаметром больше
составляет 5% общей массы аэрозолей;
- соответствующая
скорость гравитационного оседания частиц в атмосферном воздухе, м/с.
Значение коэффициента F устанавливается в зависимости от безразмерного отношения vg/uм, где uм- опасная скорость ветра (определяется согласно пункту 5.10 настоящих Методов).
При /
0,015 значение F = 1, при 0,015 <
/
0,030 значение F = 1,5.
Для остальных значений /
коэффициент F устанавливается согласно Таблице 2 настоящего Приложения.
Приложение N 3
к Методам расчетов рассеивания
выбросов вредных (загрязняющих)
веществ в атмосферном воздухе,
утвержденным приказом
Минприроды России
от 06.06.2017 N 273
ЗНАЧЕНИЯ ВСПОМОГАТЕЛЬНЫХ ФУНКЦИЙ, ИСПОЛЬЗУЕМЫХ ДЛЯ РАСЧЕТА КОЭФФИЦИЕНТА РЕЛЬЕФА
Таблица 1
Приложение N 4
к Методам расчетов рассеивания
выбросов вредных (загрязняющих)
веществ в атмосферном воздухе,
утвержденным приказом
Минприроды России
от 06.06.2017 N 273
РАСЧЕТНОЕ ОПРЕДЕЛЕНИЕ ФОНОВЫХ КОНЦЕНТРАЦИЙ ЗВ, ПРЕДНАЗНАЧЕННЫХ ДЛЯ ИСПОЛЬЗОВАНИЯ ПРИ РАСЧЕТЕ ЗАГРЯЗНЕНИЯ АТМОСФЕРНОГО ВОЗДУХА
1. Фоновые концентрации ЗВ, предназначенные для использования при расчете загрязнения атмосферного воздуха, определяются расчетным путем с использованием данных о выбросах для тех ЗВ, по которым в расчетах учитывается не менее 95% суммарного выброса рассматриваемого ЗВ от всех источников города.
2. Фоновая концентрация в расчетной точке определяется по формулам (1) - (2):
, (1)
, (2)
где - среднегодовая концентрация ЗВ в рассматриваемой точке;
- дисперсия концентраций, вычисляемая по формуле (3):
. (3)
Величины C1 и V являются среднегодовым квадратом концентрации и коэффициента вариации концентраций в рассматриваемой точке. Формулы для расчета C1 приведены в пунктах 3 и 4 настоящего Приложения.
Среднегодовая концентрация ЗВ в формулах (1) - (3) настоящего Приложения вычисляется на основе формул и положений, приведенных в настоящих Методах, как долгопериодное среднее, соответствующее времени осреднения 1 год и средним климатическим условиям.
Учет фоновых концентраций ЗВ при расчете среднегодовой концентрации C ЗВ осуществляется в соответствии с положениями главы XI настоящих Методов.
3. В случае выброса ЗВ от единственного одиночного точечного источника с постоянными в течение периода осреднения параметрами выброса значение C1 определяется по формуле (4):
, (4)
где:
. (5)
Функция вычисляется по формулам, приведенным в пункте 10.5 настоящих Методов.
В случае выброса ЗВ от единственного одиночного источника с переменными параметрами выброса формула для расчета С1 имеет вид (6):
, (6)
где используются обозначения, приведенные в подпункте 10.1.4.3 настоящих Методов. Значение , относящееся к j-тому интервалу постоянства параметров выброса, вычисляется по формулам (4) - (5), приведенным в настоящем Приложении, с использованием функций
,
,
, соответствующих этому интервалу.
Для источников, выбросы которых определяются метеорологическими параметрами u и (например, для пылящих поверхностей), под интегралом в формуле (5), приведенной в настоящем Приложении, добавляется множитель
, где
- функция, определенная в подпункте 10.1.4.1 настоящих Методов.
4. В случае N точечных источников выброса значение C1 в рассматриваемой расчетной точке вычисляется по формуле (7):
, (7)
где - мощность выброса i-го источника;
- азимут направления оси факела, соответствующего переносу рассматриваемого ЗВ от источника выброса на расчетную точку, рад;
- расстояние от расчетной точки до этого источника выброса;
вычисляется по формуле (5), приведенной в настоящем Приложении, для i-того источника выброса при
=
и
=
;
определяется соотношением (8):
. (8)
При вычислении второй суммы в правой части формулы (7), приведенной в настоящем Приложении, те слагаемые, для которых , не учитываются.
5. При наличии данных инструментальных наблюдений за загрязнением воздуха они учитываются следующим образом при расчете :
- для каждого из постов мониторинга по данным измерений за год рассчитывается дисперсия измеренных концентраций
(k = 1, 2,...
) и, по формуле (3), приведенной в настоящем Приложении, расчетная дисперсия
;
- для каждого из постов определяется разность между и
по формулам (9а) - (9б):
, (9а)
, (9б)
- вычисляется средняя по городу разность по формуле (9в):
(9в)
- полученная постоянная разность добавляется к значениям
, вычисленным по формуле (3) данного Приложения для всех расчетных точек.
6. Если вычисленная в расчетной точке фоновая концентрация оказалась меньше удвоенной среднегодовой концентрации
, то фоновая концентрация в этой точке принимается равной 2
.
Приложение N 5
к Методам расчетов рассеивания
выбросов вредных (загрязняющих)
веществ в атмосферном воздухе,
утвержденным приказом
Минприроды России
от 06.06.2017 N 273
ПРИМЕР РАСЧЕТА ДОЛГОПЕРИОДНЫХ СРЕДНИХ КОНЦЕНТРАЦИЙ ДЛЯ ОКИСЛОВ АЗОТА С УЧЕТОМ КОЭФФИЦИЕНТА ТРАНСФОРМАЦИИ
Расчет долгопериодныхсредних концентраций диоксида азота () и оксида азота (NO) проводится с учетом частичной трансформации NO в более токсичный
при среднем за рассматриваемый период времени безразмерном коэффициенте трансформации
. При этом для каждого из включенных в расчет источников на основе исходных данных о выбросах
и NO по формуле (1), приведенной в настоящем Приложении, определяется мощность суммарного выброса
оксидов азота, пересчитанные к выбросам
:
(1)
Далее по формулам (2а, 2б), приведенным в настоящем Приложении, для каждого из этих источников определяются пересчитанные значения мощностей выброса и NO, которые используются в дальнейших расчетах вместо исходных выбросов
, (2а)
. (2б)
Коэффициент зависит от местных особенностей режима интенсивности коротковолновой, в том числе ультрафиолетовой радиации, фонового содержания в атмосферном воздухе озона (
), оксидов азота, различных фракций углеводородов. Значения
для рассматриваемой территории определяются как по расчетным, так и по экспериментальным данным.
Для оксидов азота допускается устанавливать в расчетах значение коэффициента частичной трансформации NO в для максимальных разовых концентраций равным 0,8, а для среднегодовых концентраций равным 0,6.
Приложение N 6
к Методам расчетов рассеивания
выбросов вредных (загрязняющих)
веществ в атмосферном воздухе,
утвержденным приказом
Минприроды России
от 06.06.2017 N 273
ЗНАЧЕНИЯ БЕЗРАЗМЕРНОГО КОЭФФИЦИЕНТА 
Таблица 1
Приложение N 7
к Методам расчетов рассеивания
выбросов вредных (загрязняющих)
веществ в атмосферном воздухе,
утвержденным приказом
Минприроды России
от 06.06.2017 N 273
Рисунок 2
Рисунок 3
Рисунок 4
Рисунок 5
Рисунок 6
Рисунок 7
Рисунок 8
Рисунок 9
Рисунок 10
Рисунок 11
Рисунок 12
Рисунок 13