Приказ ФСТ РФ от 04.09.2007 N 224-Э/3

"О внесении изменений и дополнений в формулы индексации регулируемых цен (тарифов) на электрическую энергию (мощность), применяемые в договорах купли-продажи электрической энергии (мощности), порядок их применения, а также порядок установления плановых и фактических показателей, используемых в указанных формулах, утвержденные приказом ФСТ России от 5 декабря 2006 года N 348-Э/12"
Редакция от 04.09.2007 — Документ не действует

Зарегистрировано в Минюсте РФ 8 октября 2007 г. N 10287


ФЕДЕРАЛЬНАЯ СЛУЖБА ПО ТАРИФАМ

ПРИКАЗ
от 4 сентября 2007 г. N 224-э/3

О ВНЕСЕНИИ ИЗМЕНЕНИЙ И ДОПОЛНЕНИЙ В ФОРМУЛЫ ИНДЕКСАЦИИ РЕГУЛИРУЕМЫХ ЦЕН (ТАРИФОВ) НА ЭЛЕКТРИЧЕСКУЮ ЭНЕРГИЮ (МОЩНОСТЬ), ПРИМЕНЯЕМЫЕ В ДОГОВОРАХ КУПЛИ-ПРОДАЖИ ЭЛЕКТРИЧЕСКОЙ ЭНЕРГИИ (МОЩНОСТИ), ПОРЯДОК ИХ ПРИМЕНЕНИЯ, А ТАКЖЕ ПОРЯДОК УСТАНОВЛЕНИЯ ПЛАНОВЫХ И ФАКТИЧЕСКИХ ПОКАЗАТЕЛЕЙ, ИСПОЛЬЗУЕМЫХ В УКАЗАННЫХ ФОРМУЛАХ, УТВЕРЖДЕННЫЕ ПРИКАЗОМ ФСТ РОССИИ ОТ 5 ДЕКАБРЯ 2006 ГОДА N 348-Э/12

В соответствии с Постановлением Правительства Российской Федерации от 31 августа 2006 г. N 529 "О совершенствовании порядка функционирования оптового рынка электрической энергии (мощности)" (Собрание законодательства Российской Федерации, 2006, N 36, ст. 3835; 2007, N 16, ст. 1909), Правилами оптового рынка электрической энергии (мощности) переходного периода, утвержденными Постановлением Правительства Российской Федерации от 24.10.2003 N 643 (Собрание законодательства Российской Федерации, 2003, N 44, ст. 4312; 2005, N 7, ст. 560; N 8, ст. 658; N 17, ст. 1554; N 43, ст. 4401; N 46, ст. 4677; N 47, ст. 4930; 2006, N 36, ст. 3835; 2007, N 1 (часть II), ст. 282; N 16, ст. 1909), в целях реализации пункта 39 Основ ценообразования в отношении электрической и тепловой энергии в Российской Федерации, утвержденных Постановлением Правительства Российской Федерации от 26 февраля 2004 г. N 109 (Собрание законодательства Российской Федерации, 2004, N 9, ст. 791; 2005, N 1 (часть II), ст. 130; N 43, ст. 4401; N 47, ст. 4930; N 51, ст. 5526; 2006, N 23, ст. 2522; N 36, ст. 3835; N 37, ст. 3876; 2007, N 1 (часть II), ст. 282; N 14, ст. 1687; N 16, ст. 1909), а также на основании Положения о Федеральной службе по тарифам, утвержденного Постановлением Правительства Российской Федерации от 30 июня 2004 г. N 332 (Собрание законодательства Российской Федерации, 2004, N 29, ст. 3049; 2006, N 3, ст. 301; N 23, ст. 2522; N 48, ст. 5032; N 50, ст. 5354; 2007, N 16, ст. 1912; N 25, ст. 3039; N 32, ст. 4145), приказываю:

1. Внести в Формулы индексации регулируемых цен (тарифов) на электрическую энергию (мощность), применяемые в договорах купли-продажи электрической энергии (мощности), порядок их применения, а также порядок установления плановых и фактических показателей, используемых в указанных формулах, утвержденные Приказом ФСТ России от 5 декабря 2006 года N 348-э/12 (зарегистрирован Минюстом России 15.01.2007, регистрационный N 8737), изменения и дополнения согласно приложению.

2. Настоящий Приказ вступает в силу в установленном порядке.

Руководитель
Федеральной службы по тарифам
С.НОВИКОВ

Приложение
к Приказу
Федеральной службы по тарифам
от 4 сентября 2007 г. N 224-э/3

1. Пункт 5 изложить в новой редакции:

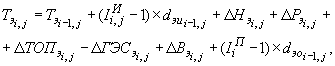
"5. Для j-го поставщика расчет индексированной цены (тарифа) на электрическую энергию (Т_эi,j), применяемой в регулируемых договорах, производится по формуле:

(1)

где:

- цена (тариф) на электрическую энергию j-го поставщика на i-1-й год (при установлении цены (тарифа) на первый год применения формулы индексации цен (тарифов), в качестве i-1-го года принимается год, предшествующий указанному периоду регулирования);

- удельные расходы, относимые на финансирование капитальных вложений за счет прибыли, не связанных с увеличением установленной мощности, а также на финансирование капитальных вложений в отношении объектов гидроэнергетики, включенных в согласованный в установленном порядке перечень важнейших объектов электроэнергетики, в цене (тарифе) на электрическую энергию j-го поставщика в i-1-м году;

- плановый расчетный индекс роста удельных расходов, относимых на финансирование капитальных вложений за счет прибыли в цене (тарифе) на электрическую энергию j-го поставщика в i-м году к i-1-му году, рассчитываемый как отношение объема финансирования капитальных вложений за счет прибыли, не связанных с увеличением установленной мощности, учтенной при установлении цен (тарифов) в году, предшествующем первому году применения формулы индексации цен (тарифов), а также в отношении объектов гидроэнергетики, включенных в согласованный в установленном порядке перечень важнейших объектов электроэнергетики, в i-м году к соответствующему объему финансирования капитальных вложений за счет прибыли в i-1-м году, определяемых на основании инвестиционных программ (проектов) j-го поставщика, с учетом источников их финансирования;

- изменение в цене (тарифе) за электрическую энергию j-го поставщика удельных расходов на оплату налога на прибыль в цене (тарифе) на электрическую энергию j-го поставщика, определяемое по формулам (2) и (2.1);

- изменение в цене (тарифе) на электрическую энергию j-го поставщика удельных расходов на осуществление платежей, вносимых поставщиками электрической энергии и мощности в соответствии с договорами, необходимыми для осуществления деятельности в сфере электроэнергетики и участия в оптовом рынке электрической энергии (мощности) в соответствии с законодательством, а также иных расходов, возникающих во исполнение нормативно-правовых актов Российской Федерации, величина которых зависит от объемов электрической энергии, определяемое по формуле (3);

- изменение в цене (тарифе) на электрическую энергию j-го поставщика удельных расходов на топливо, определяемое по формуле (4);

- изменение в цене (тарифе) на электрическую энергию j-го поставщика удельных выпадающих доходов гидроэлектростанций вследствие отклонения фактических показателей выработки электрической энергии на гидроэлектростанциях от прогнозных, учтенных при установлении тарифов на 2007 год, определяемое по формуле (5);

- изменение в цене (тарифе) на электрическую энергию j-го поставщика удельных выпадающих доходов (со знаком "плюс") или полученных избытков (со знаком "минус"), связанных с отклонениями фактических показателей от плановых показателей, определяемое по формуле (6);

- удельные расходы, относимые на финансирование остальных, не учтенных выше, расходов, в цене (тарифе) на электрическую энергию j-го поставщика в i-1-м году, определяемое по формуле (7);

- плановый индекс роста потребительских цен в i-м году.

В случае если в цене (тарифе) на электрическую энергию удельные расходы, относимые на финансирование капитальных вложений за счет прибыли в цене (тарифе) на электрическую энергию j-го поставщика в i-1-м году равнялись нулю, то соответствующие расходы i-го года рассчитываются прямым счетом и в последующие годы индексируются в соответствии с настоящим Документом.".

2. Пункт 6 изложить в новой редакции:

"6. Для j-го поставщика расчет индексированных цен (тарифов) на генерирующую мощность (Т_мi,j), применяемых в регулируемых договорах, производится по формуле:

(8)

где:

- цена (тариф) на генерирующую мощность j-го поставщика на i-1-й год (при установлении цены (тарифа) на первый год применения формулы индексации цен (тарифов), в качестве i-1-го года принимается год, предшествующий указанному периоду регулирования);

- удельные расходы, относимые на финансирование капитальных вложений за счет прибыли, не связанных с увеличением установленной мощности, а также на финансирование капитальных вложений в отношении объектов гидроэнергетики, включенных в согласованный в установленном порядке перечень важнейших объектов электроэнергетики, в цене (тарифе) на генерирующую мощность j-го поставщика в i-1-м году;

- плановый расчетный индекс роста удельных расходов, относимых на финансирование капитальных вложений за счет прибыли, не связанных с увеличением установленной мощности, учтенной при установлении тарифов в году, предшествующем первому году применения формулы индексации цен (тарифов), а также в отношении объектов гидроэнергетики, включенных в согласованный в установленном порядке перечень важнейших объектов электроэнергетики, в i-м году к i-1-му году, рассчитываемый как отношение объема финансирования капитальных вложений за счет прибыли в i-м году к объему финансирования капитальных вложений за счет прибыли в i-1-м году, определяемых на основании инвестиционных программ (проектов) j-го поставщика с учетом источников их финансирования;

- изменение в цене (тарифе) на генерирующую мощность j-го поставщика удельных расходов на оплату налога на прибыль в цене (тарифе) на генерирующую мощность j-го поставщика, определяемые по формуле (9);

- изменение в цене (тарифе) на генерирующую мощность j-го поставщика удельных расходов на осуществление платежей, вносимых поставщиками электрической энергии и мощности в соответствии с договорами, необходимыми для осуществления деятельности в сфере электроэнергетики и участия в оптовом рынке электрической энергии (мощности) в соответствии с законодательством, а также иных расходов, возникающих во исполнение нормативно-правовых актов Российской Федерации, величина которых не зависит от объемов электрической энергии, определяемое по формуле (10);

- изменение в цене (тарифе) на генерирующую мощность удельных расходов j-го поставщика на финансирование отчислений эксплуатирующими организациями средств для формирования резервов, предназначенных для обеспечения безопасности атомных станций на всех стадиях их жизненного цикла и развития, а также иных удельных расходов в соответствии с законодательством Российской Федерации, определяемое по формуле (11).

- изменение в цене (тарифе) на генерирующую мощность j-го поставщика удельных выпадающих доходов (со знаком "плюс") или полученных избытков (со знаком "минус"), связанных с отклонениями фактических показателей от плановых показателей, определяемое по формуле (12);

- удельные расходы, относимые на финансирование остальных, не учтенных выше, расходов, в цене (тарифе) на генерирующую мощность j-го поставщика в i-1-м году, определяемые по формуле (13).

В случае если в цене (тарифе) на генерирующую мощность удельные расходы, относимые на финансирование капитальных вложений за счет прибыли в цене (тарифе) на генерирующую мощность j-го поставщика в i-1-м году равнялись нулю, то соответствующие расходы i-го года рассчитываются прямым счетом и в последующие годы индексируются в соответствии с настоящим Документом.".

3. Подпункт а пункта 14.1 изложить в новой редакции:

"а) расчетный индекс роста удельных расходов, относимых на финансирование капитальных вложений за счет прибыли, не связанных с увеличением установленной мощности, учтенной при установлении тарифов в году, предшествующем первому году применения формулы индексации цен (тарифов), а также в отношении объектов гидроэнергетики, включенных в согласованный в установленном порядке перечень важнейших объектов электроэнергетики;".