Приказ ФСТ РФ от 25.10.2007 N 308-Э/26

"О внесении изменений и дополнений в формулы индексации регулируемых цен (тарифов) на электрическую энергию (мощность), применяемые в договорах купли-продажи электрической энергии (мощности), порядок их применения, а также порядок установления плановых и фактических показателей, используемых в указанных формулах, утвержденные приказом ФСТ России от 5 декабря 2006 года N 348-Э/12"
Редакция от 25.10.2007 — Документ не действует

Зарегистрировано в Минюсте РФ 13 ноября 2007 г. N 10472


ФЕДЕРАЛЬНАЯ СЛУЖБА ПО ТАРИФАМ

ПРИКАЗ
от 25 октября 2007 г. N 308-э/26

О ВНЕСЕНИИ ИЗМЕНЕНИЙ И ДОПОЛНЕНИЙ В ФОРМУЛЫ ИНДЕКСАЦИИ РЕГУЛИРУЕМЫХ ЦЕН (ТАРИФОВ) НА ЭЛЕКТРИЧЕСКУЮ ЭНЕРГИЮ (МОЩНОСТЬ), ПРИМЕНЯЕМЫЕ В ДОГОВОРАХ КУПЛИ-ПРОДАЖИ ЭЛЕКТРИЧЕСКОЙ ЭНЕРГИИ (МОЩНОСТИ), ПОРЯДОК ИХ ПРИМЕНЕНИЯ, А ТАКЖЕ ПОРЯДОК УСТАНОВЛЕНИЯ ПЛАНОВЫХ И ФАКТИЧЕСКИХ ПОКАЗАТЕЛЕЙ, ИСПОЛЬЗУЕМЫХ В УКАЗАННЫХ ФОРМУЛАХ, УТВЕРЖДЕННЫЕ ПРИКАЗОМ ФСТ РОССИИ ОТ 5 ДЕКАБРЯ 2006 ГОДА N 348-Э/12

В соответствии с Постановлением Правительства Российской Федерации от 31 августа 2006 г. N 529 "О совершенствовании порядка функционирования оптового рынка электрической энергии (мощности)" (Собрание законодательства Российской Федерации, 2006, N 36, ст. 3835; 2007, N 16, ст. 1909), Правилами оптового рынка электрической энергии (мощности) переходного периода, утвержденными Постановлением Правительства Российской Федерации от 24.10.2003 N 643 (Собрание законодательства Российской Федерации, 2003, N 44, ст. 4312; 2005, N 7, ст. 560; N 8, ст. 658; N 17, ст. 1554; N 43, ст. 4401; N 46, ст. 4677; N 47, ст. 4930; 2006, N 36, ст. 3835; 2007, N 1 (часть II), ст. 282; N 16, ст. 1909), в целях реализации пункта 39 Основ ценообразования в отношении электрической и тепловой энергии в Российской Федерации, утвержденных Постановлением Правительства Российской Федерации от 26 февраля 2004 г. N 109 (Собрание законодательства Российской Федерации, 2004, N 9, ст. 791; 2005, N 1 (часть II), ст. 130; N 43, ст. 4401; N 47, ст. 4930; N 51, ст. 5526; 2006, N 23, ст. 2522; N 36, ст. 3835; N 37, ст. 3876; 2007, N 1 (часть II), ст. 282; N 14, ст. 1687; N 16, ст. 1909), на основании Положения о Федеральной службе по тарифам, утвержденного Постановлением Правительства Российской Федерации от 30 июня 2004 г. N 332 (Собрание законодательства Российской Федерации, 2004, N 29, ст. 3049; 2006, N 3, ст. 301; N 23, ст. 2522; N 48, ст. 5032; N 50, ст. 5354; 2007, N 16, ст. 1912; N 25, ст. 3039; N 32, ст. 4145), а также учитывая итоги рассмотрения данного вопроса на Правлении Федеральной службы по тарифам (протокол от 25 октября 2007 года N 40-э), приказываю:

1. Внести в Формулы индексации регулируемых цен (тарифов) на электрическую энергию (мощность), применяемые в договорах купли-продажи электрической энергии (мощности), порядок их применения, а также порядок установления плановых и фактических показателей, используемых в указанных формулах, утвержденные Приказом ФСТ России от 5 декабря 2006 года N 348-э/12 (зарегистрирован Минюстом России 15.01.2007, регистрационный N 8737), с изменениями и дополнениями, внесенными Приказом ФСТ России от 4 сентября 2007 года N 224-э/3 (зарегистрирован Минюстом России 08.10.2007, регистрационный N 10287), изменения и дополнения согласно приложению.

2. Настоящий Приказ вступает в силу в установленном порядке.

Руководитель
Федеральной службы по тарифам
С.НОВИКОВ

Приложение
к Приказу Федеральной
службы по тарифам
от 25 октября 2007 г. N 308-э/26

1. Абзац 5 пункта 5 дополнить текстом следующего содержания:

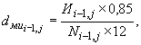
"Для i=2008 для гидроэлектростанций определяется по следующей формуле:

(1.1)

где:

И_i-1,j - расходы, относимые на финансирование капитальных вложений за счет прибыли, учтенные в утвержденных тарифах для j-го поставщика в i-1-му году.".

2. Абзац 5 пункта 6 дополнить текстом следующего содержания:

"Для i=2008 для гидроэлектростанций определяется по следующей формуле:

(8.1)

где:

И_i-1,j - расходы, относимые на финансирование капитальных вложений за счет прибыли, учтенные в утвержденных тарифах для j-го поставщика в i-1-му году;

N_i-1,j - величина установленной мощности j-го поставщика, учтенная в сводном балансе в i-1-м году.".