Зарегистрировано в Минюсте России 13 декабря 2012 г. N 26104
ЦЕНТРАЛЬНЫЙ БАНК РОССИЙСКОЙ ФЕДЕРАЦИИ
ИНСТРУКЦИЯ
от 3 декабря 2012 г. N 139-И
ОБ ОБЯЗАТЕЛЬНЫХ НОРМАТИВАХ БАНКОВ
(в ред. Указаний ЦБ РФ от 25.10.2013 N 3097-У, от 30.05.2014 N 3268-У)
Настоящая Инструкция на основании Федерального закона от 10 июля 2002 года N 86-ФЗ "О Центральном банке Российской Федерации (Банке России)" (Собрание законодательства Российской Федерации, 2002, N 28, ст. 2790; 2003, N 2, ст. 157; N 52, ст. 5032; 2004, N 27, ст. 2711; N 31, ст. 3233; 2005, N 25, ст. 2426; N 30, ст. 3101; 2006, N 19, ст. 2061; N 25, ст. 2648; 2007, N 1, ст. 9, ст. 10; N 10, ст. 1151; N 18, ст. 2117; 2008, N 42, ст. 4696, ст. 4699; N 44, ст. 4982; N 52, ст. 6229, ст. 6231; 2009, N 1, ст. 25; N 29, ст. 3629; N 48, ст. 5731; 2010, N 45, ст. 5756; 2011, N 7, ст. 907; N 27, ст. 3873, N 43, ст. 5973, N 48, ст. 6728), Федерального закона "О банках и банковской деятельности" (в редакции Федерального закона от 3 февраля 1996 года N 17-ФЗ) (Ведомости Съезда народных депутатов РСФСР и Верховного Совета РСФСР, 1990, N 27, ст. 357; Собрание законодательства Российской Федерации, 1996, N 6, ст. 492; 1998, N 31, ст. 3829; 1999, N 28, ст. 3459, ст. 3469; 2001, N 26, ст. 2586; N 33, ст. 3424; 2002, N 12, ст. 1093; 2003, N 27, ст. 2700; N 50, ст. 4855; N 52, ст. 5033, ст. 5037; 2004, N 27, ст. 2711; N 31, ст. 3233; 2005, N 1, ст. 18, ст. 45; N 30, ст. 3117; 2006, N 6, ст. 636; N 19, ст. 2061; N 31, ст. 3439; N 52, ст. 5497; 2007, N 1, ст. 9; N 22, ст. 2563; N 31, ст. 4011; N 41, ст. 4845; N 45, ст. 5425; N 50, ст. 6238; 2008, N 10, ст. 895; N 15, ст. 1447; 2009, N 1, ст. 23; N 9, ст. 1043; N 18, ст. 2153; N 23, ст. 2776; N 30, ст. 3739; N 48, ст. 5731; N 52, ст. 6428; 2010, N 8, ст. 775; N 19, ст. 2291; N 27, ст. 3432; N 30, ст. 4012; N 31, ст. 4193; N 47, ст. 6028; 2011, N 7, ст. 905, N 27, ст. 3873, ст. 3880; N 29, ст. 4291, N 48, ст. 6730; N 49, ст. 7069; N 50, ст. 7351; 2012, N 27, ст. 3588, N 31, ст. 4333) и в соответствии с решением Совета директоров Банка России (протокол заседания Совета директоров Банка России от 30 ноября 2012 года N 23) устанавливает в целях регулирования (ограничения) принимаемых банками рисков числовые значения и методику расчета обязательных нормативов банков, а также порядок осуществления Банком России надзора за их соблюдением.
Глава 1. Общие положения
1.1. Настоящая Инструкция устанавливает числовые значения и методику расчета следующих обязательных нормативов банков (далее - обязательные нормативы):
достаточности капитала; (в ред. Указания ЦБ РФ от 25.10.2013 N 3097-У)
ликвидности;
максимального размера риска на одного заемщика или группу связанных заемщиков;
максимального размера крупных кредитных рисков;
максимального размера кредитов, банковских гарантий и поручительств, предоставленных банком своим участникам (акционерам);
совокупной величины риска по инсайдерам банка;
использования собственных средств (капитала) банков для приобретения акций (долей) других юридических лиц.
1.2. Иные обязательные нормативы, установленные Федеральным законом от 10 июля 2002 года N 86-ФЗ "О Центральном банке Российской Федерации (Банке России)", а именно: предельный размер имущественных (неденежных) вкладов в уставный капитал кредитной организации, а также перечень видов имущества в неденежной форме, которое может быть внесено в оплату уставного капитала; минимальный размер резервов, создаваемых под риски; размеры валютного и процентного рисков; обязательные нормативы для банковских групп и небанковских кредитных организаций, - устанавливаются иными нормативными актами Банка России.
1.3. Обязательные нормативы рассчитываются в соответствии с определенными в настоящей Инструкции методиками их расчета на основании принципов достоверности и объективности, осмотрительности, преобладания экономической сущности над формой и других международно признанных принципов, позволяющих качественно оценить операции и отразить их в отчетности.
При расчете обязательных нормативов должны выполняться следующие требования:
если остатки на балансовых счетах и (или) их части, не входящие в перечень балансовых счетов и (или) кодов, приведенных в настоящей Инструкции для расчета обязательного норматива, по экономическому содержанию относятся к рискам, регулируемым (ограничиваемым) обязательным нормативом, банк включает эти счета (их части) в расчет обязательного норматива;
если остатки на балансовых счетах и (или) их части, входящие в перечень балансовых счетов и (или) кодов, приведенных в настоящей Инструкции для расчета обязательного норматива и предназначенные для покрытия (уменьшения) регулируемого им риска, по экономическому содержанию не покрывают (не уменьшают) данный риск, банк не включает эти счета (их части) в расчет обязательного норматива.
Глава 2. Нормативы достаточности капитала банка: норматив достаточности базового капитала банка, норматив достаточности основного капитала банка и норматив достаточности собственных средств (капитала) банка (в ред. Указания ЦБ РФ от 25.10.2013 N 3097-У)
2.1. Нормативы достаточности капитала банка рассчитываются как отношения величины базового капитала банка, величины основного капитала банка и величины собственных средств (капитала) банка, определяемых по методике, предусмотренной Положением Банка России от 28 декабря 2012 года N 395-П "О методике определения величины собственных средств (капитала) кредитных организаций ("Базель III")", зарегистрированным Министерством юстиции Российской Федерации 22 февраля 2013 года N 27259, 29 ноября 2013 года N 30499 ("Вестник Банка России" от 27 февраля 2013 года N 11, от 30 ноября 2013 года N 69) (далее - Положение Банка России N 395-П), к сумме: (в ред. Указания ЦБ РФ от 25.10.2013 N 3097-У)
кредитного риска по активам, отраженным на балансовых счетах бухгалтерского учета (активы за вычетом сформированных резервов на возможные потери и резервов на возможные потери по ссудам, ссудной и приравненной к ней задолженности, взвешенные по уровню риска); (в ред. Указания ЦБ РФ от 25.10.2013 N 3097-У)
кредитного риска по условным обязательствам кредитного характера; (в ред. Указания ЦБ РФ от 25.10.2013 N 3097-У)
кредитного риска по производным финансовым инструментам; (в ред. Указания ЦБ РФ от 25.10.2013 N 3097-У)
величине риска изменения стоимости кредитного требования в результате ухудшения кредитного качества контрагента; (в ред. Указания ЦБ РФ от 25.10.2013 N 3097-У)
операционного риска; (в ред. Указания ЦБ РФ от 25.10.2013 N 3097-У)
рыночного риска. (в ред. Указания ЦБ РФ от 25.10.2013 N 3097-У)
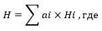
2.1.1. Нормативы достаточности капитала банка: норматив достаточности базового капитала банка (далее - норматив Н1.1), норматив достаточности основного капитала банка (далее - норматив Н1.2), норматив достаточности собственных средств (капитала) банка (далее - норматив Н1.0) рассчитываются по следующей формуле: (в ред. Указания ЦБ РФ от 25.10.2013 N 3097-У)
(в ред. Указания ЦБ РФ от 30.05.2014 N 3268-У)
где: (в ред. Указания ЦБ РФ от 25.10.2013 N 3097-У)
Н1.i - один из следующих нормативов: норматив Н1.1, норматив Н1.2, норматив Н1.0; (в ред. Указания ЦБ РФ от 25.10.2013 N 3097-У)
- одна из следующих величин: К1 - величина базового капитала банка, К2 - величина основного капитала банка, К3 - величина собственных средств (капитала) банка, определенных в соответствии с методикой, предусмотренной Положением Банка России N 395-П; (в ред. Указания ЦБ РФ от 25.10.2013 N 3097-У)
показатель рассчитывается отдельно для каждого норматива достаточности капитала банка. Определение величины активов банка I - III и V групп для целей расчета нормативов достаточности капитала банка осуществляется в соответствии с требованиями подпунктов 2.3.1 - 2.3.3 и 2.3.5 пункта 2.3 настоящей Инструкции. Расчет величины активов банка IV группы для норматива Н1.1 осуществляется в соответствии с подпунктом 2.3.4.1 пункта 2.3 настоящей Инструкции, для норматива Н1.2 - подпунктом 2.3.4.2 пункта 2.3 настоящей Инструкции и для норматива Н1.0 - подпунктом 2.3.4.3 пункта 2.3 настоящей Инструкции; (в ред. Указания ЦБ РФ от 25.10.2013 N 3097-У)
- коэффициент риска i-го актива, определяемый в соответствии с пунктом 2.3 настоящей Инструкции; (в ред. Указания ЦБ РФ от 25.10.2013 N 3097-У)
- i-й актив банка. При использовании подхода, предусмотренного пунктом 2.6 настоящей Инструкции, показатель ( ) заменяется на показатель А x i - стоимость i-го актива (кредитного требования и требований по получению начисленных (накопленных) процентов по i-му активу), уменьшенная на сумму (стоимость) предоставленного обеспечения; (в ред. Указания ЦБ РФ от 25.10.2013 N 3097-У)
- величина сформированных резервов на возможные потери или резервов на возможные потери по ссудам, по ссудной и приравненной к ней задолженности i-го актива (за исключением сформированных резервов на возможные потери, учтенных при расчете показателя А x i); (в ред. Указания ЦБ РФ от 25.10.2013 N 3097-У)
БК - показатель, предусматривающий применение повышенных требований по покрытию капиталом соответствующего уровня отдельных активов банка в соответствии с международными подходами к повышению устойчивости банковского сектора (сумма кодов 8852, 8879, 8881); (в ред. Указания ЦБ РФ от 25.10.2013 N 3097-У)
ПКр - кредитные требования и требования по получению начисленных (накопленных) процентов по кредитам, предоставленным заемщикам - физическим лицам (включая приобретенные права требования по кредитам, а также кредитные требования и требования по получению начисленных (накопленных) процентов по операциям предоставления денежных средств по кредитным картам) после 1 июля 2013 года в целях приобретения товаров (работ, услуг) для нужд, не связанных с осуществлением предпринимательской деятельности или без определения цели, если указанные кредиты не обеспечены залогом недвижимости и (или) залогом автотранспортного средства (далее - кредиты на потребительские цели), по которым полная стоимость кредита (далее - ПСК) рассчитывается в порядке, установленном Федеральным законом от 21 декабря 2013 года N 353-ФЗ "О потребительском кредите (займе)" (Собрание законодательства Российской Федерации, 2013, N 51, ст. 6673) (коды 8859, 8859.x, 8860, 8860.x, 8861, 8861.x, 8862, 8862.x, 8864, 8864.x, 8865, 8865.x). (в ред. Указаний ЦБ РФ от 25.10.2013 N 3097-У, от 30.05.2014 N 3268-У)
Кредиты на потребительские цели не включаются в I - III группу активов. (в ред. Указания ЦБ РФ от 25.10.2013 N 3097-У)
Показатель ПКр используется при расчете нормативов достаточности капитала банка; (в ред. Указания ЦБ РФ от 25.10.2013 N 3097-У)
- операции с повышенными коэффициентами риска (сумма кодов 8731, 8809.i, 8814.i, 8816, 8818.i, 8820, 8822, 8824.i, 8826.i, 8828.i, 8830, 8832, 8834.i, 8836, 8838 за вычетом кода 8856.i). Показатель
используется при расчете нормативов достаточности капитала банка. Значения показателя
рассчитываются отдельно для каждого норматива достаточности капитала банка: ПК1 - для норматива Н1.1, ПК2 - для норматива Н1.2, ПК3 - для норматива Н1.0. (в ред. Указаний ЦБ РФ от 25.10.2013 N 3097-У, от 30.05.2014 N 3268-У)
В расчет показателя не включаются: (в ред. Указания ЦБ РФ от 25.10.2013 N 3097-У)
активы, относящиеся к I - III и V группам активов в соответствии с подпунктами 2.3.1 - 2.3.3 и 2.3.5 пункта 2.3 настоящей Инструкции, а также кредитные требования и требования по получению начисленных (накопленных) процентов, указанные в кодах 8806, 8846, 8851, 8861, 8861.x, 8862, 8862.x, 8863, 8863.x, 8878.А, 8878.Н, 8880; (в ред. Указания ЦБ РФ от 25.10.2013 N 3097-У)
активы, уменьшающие IV группу активов в соответствии с подпунктом 2.3.4 пункта 2.3 настоящей Инструкции (за исключением активов, удовлетворяющих требованиям кодов, предусматривающих применение повышенных коэффициентов); (в ред. Указания ЦБ РФ от 25.10.2013 N 3097-У)
кредитные требования и требования по получению начисленных (накопленных) процентов к центральным банкам и правительствам стран - участников Содружества Независимых Государств независимо от страновой оценки; (в ред. Указания ЦБ РФ от 25.10.2013 N 3097-У)
- величина кредитного риска по условным обязательствам кредитного характера, рассчитанная в порядке, установленном приложением 2 к настоящей Инструкции. Значения показателя
рассчитываются отдельно для каждого норматива достаточности капитала банка:
- Для норматива Н1.1 (код 8810.1),
- для норматива Н1.2 (код 8810.2),
- для норматива Н1.0 (код 8810.0).; (в ред. Указаний ЦБ РФ от 25.10.2013 N 3097-У, от 30.05.2014 N 3268-У)
КРС - величина кредитного риска по производным финансовым инструментам, определенным в соответствии с Федеральным законом от 22 апреля 1996 года N 39-ФЗ "О рынке ценных бумаг" (Собрание законодательства Российской Федерации, 1996, N 17, ст. 1918; 2001, N 33, ст. 3424; 2002, N 52, ст. 5141; 2004, N 27, ст. 2711; N 31, ст. 3225; 2005, N 11, ст. 900; N 25, ст. 2426; 2006, N 1, ст. 5; N 2, ст. 172; N 17, ст. 1780; N 31, ст. 3437; N 43, ст. 4412; 2007, N 1, ст. 45; N 18, ст. 2117; N 22, ст. 2563; N 41, ст. 4845; N 50, ст. 6247, ст. 6249; 2008, N 44, ст. 4982; N 52, ст. 6221; 2009, N 1, ст. 28; N 18, ст. 2154; N 23, ст. 2770; N 29, ст. 3642; N 48, ст. 5731; N 52, ст. 6428; 2010, N 17, ст. 1988; N 31, ст. 4193; N 41, ст. 5193; 2011, N 7, ст. 905; N 23, ст. 3262; N 27, ст. 3880; N 29, ст. 4291; N 48, ст. 6728; N 49, ст. 7040; N 50, ст. 7357; 2012, N 25, ст. 3269; N 31, ст. 4334; N 53, ст. 7607; 2013, N 26, ст. 3207; N 30, ст. 4082, ст. 4084) (далее - Федеральный закон "О рынке ценных бумаг"); по договорам, которые признаются производными финансовыми инструментами в соответствии с правом иностранного государства, нормами международного договора или обычаями делового оборота, и договорам купли-продажи иностранной валюты, драгоценных металлов, ценных бумаг, не являющимся производными финансовыми инструментами, предусматривающим обязанность одной стороны передать иностранную валюту, драгоценные металлы, ценные бумаги в собственность другой стороне не ранее третьего рабочего дня после заключения договора, обязанность другой стороны принять и оплатить указанное имущество, порядок бухгалтерского учета по которым определен Положением Банка России от 4 июля 2011 года N 372-П "О порядке ведения бухгалтерского учета производных финансовых инструментов", зарегистрированным Министерством юстиции Российской Федерации 22 июля 2011 года N 21445 ("Вестник Банка России" от 4 августа 2011 года N 43), (далее для целей настоящей Инструкции - производные финансовые инструменты), рассчитанная в порядке, установленном приложением 3 к настоящей Инструкции, код 8811; (в ред. Указания ЦБ РФ от 25.10.2013 N 3097-У)
РСК - величина риска изменения стоимости кредитного требования в результате ухудшения кредитного качества контрагента, рассчитанная в порядке, установленном приложением 8 к настоящей Инструкции, код 8866; (в ред. Указания ЦБ РФ от 25.10.2013 N 3097-У)
ОР - величина операционного риска, рассчитанная в соответствии с Положением Банка России от 3 ноября 2009 года N 346-П "О порядке расчета размера операционного риска", зарегистрированным Министерством юстиции Российской Федерации 17 декабря 2009 года N 15697, 19 июля 2012 года N 24957 ("Вестник Банка России" от 28 декабря 2009 года N 77, от 1 августа 2012 года N 43) (далее - Положение Банка России N 346-П), код 8942; (в ред. Указания ЦБ РФ от 25.10.2013 N 3097-У)
- величина рыночного риска, рассчитываемая в соответствии с Положением Банка России от 28 сентября 2012 года N 387-П "О порядке расчета кредитными организациями величины рыночного риска", зарегистрированным Министерством юстиции Российской Федерации 9 ноября 2012 года N 25783, 29 ноября 2013 года N 30496 ("Вестник Банка России" от 21 ноября 2012 года N 66, от 30 ноября 2013 года N 69) (далее - Положение Банка России N 387-П). Показатель
используется при расчете нормативов достаточности капитала банка. Значения показателя РР рассчитывается отдельно для каждого норматива достаточности капитала банка: РР1 - для норматива Н1.1 (код 8812.1), РР2 - для норматива Н1.2 (код 8812.2), РР3 - для норматива Н1.0 (код 8812.0). (в ред. Указания ЦБ РФ от 25.10.2013 N 3097-У)
2.2. Минимально допустимое числовое значение норматива Н1.1 устанавливается в размере 5 процентов. (в ред. Указания ЦБ РФ от 25.10.2013 N 3097-У)
Минимально допустимое числовое значение норматива Н1.2 устанавливается в размере 5,5 процентов. С 1 января 2015 года минимально допустимое числовое значение норматива Н1.2 устанавливается в размере 6,0 процентов. (в ред. Указания ЦБ РФ от 25.10.2013 N 3097-У)
Минимально допустимое числовое значение норматива Н1.0 устанавливается в размере 10,0 процентов. (в ред. Указания ЦБ РФ от 25.10.2013 N 3097-У)
2.3. При расчете нормативов достаточности капитала банки оценивают активы на основании следующей классификации рисков: (в ред. Указания ЦБ РФ от 25.10.2013 N 3097-У)
| 2.3.1. I группа активов | Коэффициент риска (в процентах) |
| наличные денежные средства (в том числе в иностранной валюте), а также чеки (в том числе дорожные чеки), номинальная стоимость которых указана в иностранной валюте, золото в хранилищах банка и в пути, код 8962 | 0 |
| (в ред. Указания ЦБ РФ от 25.10.2013 N 3097-У) | |
| средства на счетах кредитных организаций (филиалов) по кассовому обслуживанию структурных подразделений, а также средства для кассового обслуживания кредитных организаций (филиалов), которое осуществляется не по месту открытия корреспондентских счетов (субсчетов), счета N N 30210 и 30235 | 0 |
| (в ред. Указания ЦБ РФ от 25.10.2013 N 3097-У) | |
| суммы, депонированные в учреждениях Банка России для получения следующим днем наличных денежных средств и золота, код 8969 | 0 |
| средства на корреспондентском и депозитном счетах в Банке России, в том числе на корреспондентских счетах расчетных центров организованного рынка ценных бумаг (далее - ОРЦБ) в Банке России, а также средства, депонируемые уполномоченными банками в Банке России, прочие средства, размещенные в Банке России, в том числе на клиринговых банковских счетах, требования к Банку России по получению начисленных (накопленных) процентов, коды 8912.1, 8912.2, 8912.0 | 0 |
| (в ред. Указания ЦБ РФ от 25.10.2013 N 3097-У) | |
| обязательные резервы, депонированные в Банке России, счета 30202 и 30204 | 0 |
| вложения в облигации Банка России, номинированные и фондированные в рублях, код 8900 | 0 |
| номинированные и фондированные в рублях кредитные требования (то есть требования банка к заемщику (контрагенту), которым присущ кредитный риск, включая ссуды, ссудную и приравненную к ней задолженность, определенные в соответствии с Положением Банка России от 26 марта 2004 года N 254-П "О порядке формирования кредитными организациями резервов на возможные потери по ссудам, по ссудной и приравненной к ней задолженности", зарегистрированным Министерством юстиции Российской Федерации 26 апреля 2004 года N 5774, 20 апреля 2006 года N 7728, 27 декабря 2006 года N 8676, 10 декабря 2007 года N 10660, 23 января 2008 года N 10968, 22 мая 2008 года N 11724, 22 мая 2008 года N 11730, 30 июня 2008 года N 11903, 29 января 2009 года N 13219, 20 февраля 2009 года N 13414, 21 декабря 2009 года N 15772, 24 декабря 2009 года N 15811, 17 августа 2012 года N 25204 ("Вестник Банка России" от 7 мая 2004 года N 28, от 4 мая 2006 года N 26, от 15 января 2007 года N 1, от 17 декабря 2007 года N 69, от 31 января 2008 года N 4, от 28 мая 2008 года N 25, от 4 июня 2008 года N 28, от 9 июля 2008 года N 36, от 4 февраля 2009 года N 7, от 4 марта 2009 года N 15, от 28 декабря 2009 года N 77, от 22 августа 2012 года N 50) (далее - Положение Банка России N 254-П), средства на корреспондентских счетах, включая остатки средств по незавершенным расчетам по корреспондентским счетам, драгоценные металлы, предоставленные клиентам, средства, перечисленные в соответствии с резервными требованиями уполномоченных органов иностранных государств, вложения в ценные бумаги (долговые обязательства), по которым не рассчитывается величина рыночного риска, а также требования по возврату ценных бумаг по сделкам, совершаемым на возвратной основе) и требования по получению начисленных (накопленных) процентов в части, обеспеченной гарантиями Российской Федерации, Министерства финансов Российской Федерации, банковскими гарантиями Банка России. Порядок отнесения кредитных требований (их части) и требований по получению начисленных (накопленных) процентов (их части) к категории "фондированные в рублях" установлен подпунктом 2.3.8 настоящего пункта, код 8973 | 0 |
| кредитные требования к банкам-резидентам, возникшие по сделкам, совершенным с 14 октября 2008 года по 31 декабря 2009 года включительно, в части, подлежащей компенсации Банком России на основании соглашений между Банком России и банками-резидентами, заключенных в соответствии со статьей 3 Федерального закона от 13 октября 2008 года N 173-ФЗ "О дополнительных мерах по поддержке финансовой системы Российской Федерации" (Собрание законодательства Российской Федерации, 2008, N 42, ст. 4698; 2009, N 29, ст. 3605; N 48, ст. 5729; N 52, ст. 6437; 2010, N 8, ст. 776; N 21, ст. 2539; N 31, ст. 4175), код 8805 | 0 |
| номинированные и фондированные в рублях кредитные требования и требования по получению начисленных (накопленных) процентов к Российской Федерации, федеральным органам исполнительной власти, в том числе Министерству финансов Российской Федерации, код 8902 | 0 |
| номинированные и фондированные в рублях кредитные требования и требования по получению начисленных (накопленных) процентов в части, обеспеченной залогом номинированных в рублях государственных долговых ценных бумаг Российской Федерации, долговых ценных бумаг Банка России, в размере 80 процентов текущей (справедливой) стоимости указанных ценных бумаг, коды 8974.1, 8974.2, 8974.0 | 0 |
| (в ред. Указания ЦБ РФ от 25.10.2013 N 3097-У) | |
| кредитные требования и требования по получению начисленных (накопленных) процентов к центральным банкам или правительствам стран, имеющих страновые оценки по классификации Экспортных Кредитных Агентств, участвующих в Соглашении стран - членов Организации экономического сотрудничества и развития (ОЭСР) "Об основных принципах предоставления и использования экспортных кредитов, имеющих официальную поддержку" (далее - страновые оценки), "0", "1", или стран с высоким уровнем доходов, являющихся членами ОЭСР и (или) Европейского Союза, перешедших на единую денежную единицу Европейского Союза (далее - Еврозона) (для целей настоящей Инструкции используется информация о страновых оценках и странах с высоким уровнем доходов, являющихся членами ОЭСР и (или) Еврозоны, размещенная на соответствующем сайте ОЭСР в информационно-телекоммуникационной сети "Интернет"), к организациям, которым в соответствии с законодательством соответствующих стран предоставлено право осуществлять заимствования от имени государства, код 8901 | 0 |
| (в ред. Указания ЦБ РФ от 25.10.2013 N 3097-У) | |
| кредитные требования и требования по получению начисленных (накопленных) процентов в части, обеспеченной гарантиями (поручительствами, резервными аккредитивами) правительств или центральных банков стран, имеющих страновые оценки "0", "1", или стран с высоким уровнем доходов, являющихся членами ОЭСР и (или) Еврозоны, организаций, которые в соответствии с законодательством соответствующих стран приравнены к гарантиям (поручительствам, резервным аккредитивам) правительств или центральных банков указанных стран, а также кредитные требования и требования по получению начисленных (накопленных) процентов в части, обеспеченной залогом долговых ценных бумаг центральных банков или государственных долговых ценных бумаг стран, имеющих страновые оценки "0", "1", или стран с высоким уровнем доходов, являющихся членами ОЭСР и (или) Еврозоны, в размере 80 процентов текущей (справедливой) стоимости указанных ценных бумаг, коды 8917.1, 8917.2, 8917.0 | 0 |
| (в ред. Указания ЦБ РФ от 25.10.2013 N 3097-У) | |
| кредитные требования и требования по получению начисленных (накопленных) процентов к международным финансовым организациям (Банк Международных расчетов, Международный валютный фонд, Европейский Центральный банк) и международным банкам развития (Всемирный банк (Международный банк реконструкции и развития, Международная Финансовая Корпорация, Многостороннее агентство по гарантированию инвестиций), Азиатский банк развития, Африканский банк развития, Европейский банк реконструкции и развития, Межамериканский банк развития, Европейский инвестиционный банк, Северный инвестиционный банк, Карибский банк развития, Исламский банк развития, Банк развития при Совете Европы, Европейский инвестиционный фонд); кредитные требования и требования по получению начисленных (накопленных) процентов в части, обеспеченной гарантиями (поручительствами, резервными аккредитивами) указанных международных финансовых организаций, гарантиями (банковскими гарантиями) указанных международных банков развития, а также залогом долговых ценных бумаг указанных международных финансовых организаций и банков, в размере 80 процентов текущей (справедливой) стоимости ценных бумаг, код 8976 | 0 |
| кредитные требования и требования по получению начисленных (накопленных) процентов в части, обеспеченной: | 0 |
| (в ред. Указания ЦБ РФ от 25.10.2013 N 3097-У) | |
| гарантийным депозитом (вкладом); | |
| (в ред. Указания ЦБ РФ от 25.10.2013 N 3097-У) | |
| собственными долговыми ценными бумагами банка-кредитора, находящимися у него в залоге (в виде заклада), а также указанными ценными бумагами, учтенными на счетах депо в соответствии с Порядком открытия и ведения депозитариями счетов депо и иных счетов, утвержденным приказом Федеральной службы по финансовым рынкам от 30 августа 2012 года N 12-78/пз-н "Об утверждении порядка открытия и ведения депозитариями счетов депо и иных счетов", зарегистрированным Министерством юстиции Российской Федерации 19 октября 2012 года N 25704, 30 августа 2013 года N 29799 (Бюллетень нормативных актов федеральных органов исполнительной власти, 2012, N 43; Российская газета от 19 сентября 2013 года) (далее - приказ ФСФР N 12-78/пз-н) в отношении которых зафиксировано (зарегистрировано) право залога при наличии в депозитарном договоре условия о том, что в случае прекращения залога фиксация (регистрация) факта снятия ограничения операций с ценными бумаги осуществляется на основании соответствующего поручения, подписанного залогодержателем; | |
| (в ред. Указания ЦБ РФ от 25.10.2013 N 3097-У) | |
| залогом золота в слитках в помещениях банка-кредитора или иных банков для совершения операций с ценностями, соответствующих требованиям, установленным Положением Банка России от 24 апреля 2008 года N 318-П "О порядке ведения кассовых операций и правилах хранения, перевозки и инкассации банкнот и монеты Банка России в кредитных организациях на территории Российской Федерации", зарегистрированным Министерством юстиции Российской Федерации 26 мая 2008 года N 11751, 23 марта 2010 года N 16687, 1 июня 2011 года N 20919, 22 февраля 2012 года N 23310 ("Вестник Банка России" от 6 июня 2008 года N 29 - 30, от 31 марта 2010 года N 18, от 16 июня 2011 года N 32, от 2 марта 2012 года N 12) (золото в слитках в хранилищах банков); | |
| (в ред. Указания ЦБ РФ от 25.10.2013 N 3097-У) | |
| требования по возврату ценных бумаг, переданных без прекращения признания по сделкам, совершаемым на возвратной основе, обеспеченные денежными средствами, полученными в рамках договоров, удовлетворяющих требованиям подпункта 2.6.1 пункта 2.6 настоящей Инструкции, коды 8945.1,8945.2, 8945.0 | 0. |
| (в ред. Указания ЦБ РФ от 25.10.2013 N 3097-У) | |
| Активы I группы дополнительно корректируются на активы, включенные в код 8715. | |
| (в ред. Указания ЦБ РФ от 25.10.2013 N 3097-У) | |
| 2.3.2. II группа активов | Коэффициент риска (в процентах) |
| номинированные и фондированные в рублях кредитные требования и требования по получению начисленных (накопленных) процентов к субъектам Российской Федерации, муниципальным образованиям Российской Федерации, код 8904 | 20 |
| номинированные и фондированные в рублях кредитные требования и требования по получению начисленных (накопленных) процентов в части, обеспеченной гарантиями субъектов Российской Федерации или муниципальных образований Российской Федерации, а также залогом номинированных в рублях долговых ценных бумаг субъектов Российской Федерации или муниципальных образований Российской Федерации, в размере 80 процентов текущей (справедливой) стоимости ценных бумаг, коды 8913.1, 8913.2, 8913.0 | 20 |
| (в ред. Указания ЦБ РФ от 25.10.2013 N 3097-У) | |
| номинированные и фондированные в рублях кредитные требования и требования по получению начисленных (накопленных) процентов к банкам-резидентам, к государственной корпорации "Банк развития внешнеэкономической деятельности (Внешэкономбанк)" (далее - Внешэкономбанк) сроком размещения до 90 календарных дней, коды 8964.1, 8964.2, 8964.0 | 20 |
| (в ред. Указания ЦБ РФ от 25.10.2013 N 3097-У) | |
| требования: | |
| а) участников клиринга к кредитным организациям (в части средств, перечисленных для исполнения и (или) обеспечения исполнения обязательств, допущенных к клирингу, в том числе в качестве индивидуального клирингового обеспечения, а также требования, возникшие по результатам клиринга): | |
| (в ред. Указания ЦБ РФ от 25.10.2013 N 3097-У) | |
| осуществляющим клиринговую деятельность в соответствии с Федеральным законом от 7 февраля 2011 года N 7-ФЗ "О клиринге и клиринговой деятельности" (Собрание законодательства Российской Федерации, 2011, N 7, ст. 904; N 48, ст. 6728; N 49, ст. 7040, ст. 7061) (далее - клиринговые кредитные организации) и (или) осуществляющим функции центрального контрагента в соответствии с требованиями указанного Федерального закона (далее - кредитные организации, осуществляющие функции центрального контрагента) (за исключением требований к кредитным организациям, осуществляющим функции центральных контрагентов, указанных в коде 8846); | |
| осуществляющим денежные расчеты по итогам клиринга (далее - расчетные кредитные организации); | |
| б) клиринговых кредитных организаций, кредитных организаций, осуществляющих функции центрального контрагента, к расчетным кредитным организациям, в части средств, перечисленных для исполнения и (или) обеспечения исполнения обязательств, допущенных к клирингу, в качестве индивидуального и коллективного клирингового обеспечения; | |
| (в ред. Указания ЦБ РФ от 25.10.2013 N 3097-У) | |
| в) участников расчетов к расчетным небанковским кредитным организациям, включая средства, перечисленные в фонд поддержания ликвидности, специально созданный участниками расчетов; | |
| г) банков - доверителей (комитентов) по брокерским операциям с ценными бумагами и другими активами в части, размещенной брокером (за исключением случая, когда в качестве брокера выступает кредитная организация): в клиринговых кредитных организациях, в кредитных организациях, осуществляющих функции центрального контрагента (за исключением требований к кредитным организациям, осуществляющим функции центрального контрагента, указанным в коде 8846), расчетных кредитных организациях, расчетных небанковских кредитных организациях; | |
| (в ред. Указания ЦБ РФ от 25.10.2013 N 3097-У) | |
| д) банков к валютным и фондовым биржам, коды 8941.1, 8941.2, 8941.0 | 20 |
| (в ред. Указания ЦБ РФ от 25.10.2013 N 3097-У) | |
| кредитные требования и требования по получению начисленных (накопленных) процентов к центральным банкам или правительствам стран, имеющих страновую оценку "2", к организациям, которым в соответствии с законодательством соответствующих стран предоставлено право осуществлять заимствования от имени государства, код 8903 | 20 |
| кредитные требования и требования по получению начисленных (накопленных) процентов в части, обеспеченной гарантиями (поручительствами, резервными аккредитивами) правительств или центральных банков стран, имеющих страновую оценку "2", организаций, которые в соответствии с законодательством соответствующих стран приравнены к гарантиям (поручительствам, резервным аккредитивам) правительств или центральных банков указанных стран, а также кредитные требования и требования по получению начисленных (накопленных) процентов в части, обеспеченной залогом долговых ценных бумаг центральных банков или государственных долговых ценных бумаг стран, имеющих страновую оценку "2", коды 8975.1, 8975.2, 8975.0 | 20 |
| (в ред. Указания ЦБ РФ от 25.10.2013 N 3097-У) | |
| кредитные требования и требования по получению начисленных (накопленных) процентов к кредитным организациям, имеющим рейтинги долгосрочной кредитоспособности, присвоенные рейтинговыми агентствами Standard & Poor's или Fitch Ratings либо Moody's Investors Service (далее - международные рейтинговые агентства), и являющимся резидентами стран, имеющих страновые оценки "0", "1", или стран с высоким уровнем доходов, являющихся членами ОЭСР и (или) Еврозоны, кодами 8953.1, 8953.2, 8953.0 | 20 |
| (в ред. Указания ЦБ РФ от 25.10.2013 N 3097-У) | |
| кредитные требования и требования по получению начисленных (накопленных) процентов в части, обеспеченной гарантиями (поручительствами, резервными аккредитивами), полученными (выставленными) от кредитных организаций (кредитными организациями), имеющих (имеющими) рейтинги долгосрочной кредитоспособности, присвоенные международными рейтинговыми агентствами, и являющихся (являющимися) резидентами стран, имеющих страновые оценки "0", "1", а также стран с высоким уровнем доходов, являющихся членами ОЭСР и (или) Еврозоны, коды 8959.1, 8959.2, 8959.0 | 20 |
| (в ред. Указаний ЦБ РФ от 25.10.2013 N 3097-У, от 30.05.2014 N 3268-У) | |
| кредитные требования и требования по получению начисленных (накопленных) процентов к международным банкам развития (Евразийский банк развития, Черноморский банк торговли и развития, Международный банк экономического сотрудничества, Международный инвестиционный банк); кредитные требования и требования по получению начисленных (накопленных) процентов в части, обеспеченной гарантиями (поручительствами, резервными аккредитивами) указанных международных банков развития, а также залогом долговых ценных бумаг указанных международных банков развития, в размере 80 процентов текущей (справедливой) стоимости ценных бумаг, код 8977 | 20 |
| кредитные требования и требования по получению начисленных (накопленных) процентов, номинированные и (или) фондированные в рублях, при наличии договора страхования экспортных кредитов и инвестиций, обеспеченного номинированными в рублях гарантиями Внешэкономбанка, выданными в соответствии с Постановлением Правительства Российской Федерации от 22 ноября 2011 года N 964 "О порядке осуществления деятельности по страхованию экспортных кредитов и инвестиций от предпринимательских и политических рисков" (Собрание законодательства Российской Федерации, 2011, N 48, ст. 6936) (далее - Постановление Правительства Российской Федерации N 964), исполнение обязательств по которым обеспечено государственными гарантиями, выданными в соответствии с бюджетным законодательством Российской Федерации, а также кредитные требования и требования по получению начисленных (накопленных) процентов банков-агентов к государственной корпорации "Агентство по страхованию вкладов" по возмещению денежных средств, выплаченных в соответствии с положениями Федерального закона от 23 декабря 2003 года N 177-ФЗ "О страховании вкладов физических лиц в банках Российской Федерации" (Собрание законодательства Российской Федерации, 2003, N 52, ст. 5029; 2004, N 34, ст. 3521; 2005, N 1, ст. 23; N 43, ст. 4351; 2006, N 31, ст. 3449; 2007, N 12, ст. 1350; 2008, N 42, ст. 4699; N 52, ст. 6225; 2011, N 1, ст. 49; N 27, ст. 3873; N 29, ст. 4262; N 49, ст. 7059; 2013, N 19, ст. 2308; N 27, ст. 3438; N 49, ст. 6336; N 52, ст. 6975; 2014, N 14, ст. 1533) (далее - Федеральный закон о страховании вкладов) вкладчикам банков участников системы страхования вкладов, в отношении которых наступил страховой случай, код 8871 | 20 |
| (в ред. Указания ЦБ РФ от 30.05.2014 N 3268-У) | |
| Активы II группы дополнительно: | |
| (в ред. Указания ЦБ РФ от 25.10.2013 N 3097-У) | |
| уменьшаются на активы, включенные в код (коды) 8886.К; | |
| (в ред. Указания ЦБ РФ от 25.10.2013 N 3097-У) | |
| корректируются на активы, включенные в код 8716. | |
| (в ред. Указания ЦБ РФ от 25.10.2013 N 3097-У) | |
| 2.3.3. III группа активов | Коэффициент риска (в процентах) |
| номинированные и (или) фондированные в иностранной валюте кредитные требования и требования по получению начисленных (накопленных) процентов к Российской Федерации, федеральным органам исполнительной власти, в том числе Министерству финансов Российской Федерации, субъектам Российской Федерации, муниципальным образованиям Российской Федерации, Банку России. Порядок отнесения кредитных требований (их части) и требований по получению начисленных (накопленных) процентов (их части) к категории "фондированные в иностранной валюте" установлен подпунктом 2.3.8 настоящего пункта, коды 8960.1, 8960.2, 8960.0 | 50 |
| (в ред. Указания ЦБ РФ от 25.10.2013 N 3097-У) | |
| кредитные требования и требования по получению начисленных (накопленных) процентов, номинированные и (или) фондированные в иностранной валюте, а также кредитные требования в виде предоставленных (размещенных) драгоценных металлов и требования по получению начисленных (накопленных) процентов, в части, обеспеченной гарантиями Российской Федерации, федеральных органов исполнительной власти, в том числе Министерства финансов Российской Федерации, субъектов Российской Федерации, муниципальных образований Российской Федерации, банковскими гарантиями Банка России, а также кредитные требования и требования по получению начисленных (накопленных) процентов, номинированные и (или) фондированные в иностранной валюте, при наличии договора страхования экспортных кредитов и инвестиций, обеспеченного номинированными в иностранной валюте гарантиями Внешэкономбанка, выданными в соответствии с Постановлением Правительства Российской Федерации N 964, исполнение обязательств по которым обеспечено государственными гарантиями, выданными в соответствии с бюджетным законодательством Российской Федерации, код 8966 | 50 |
| кредитные требования и требования по получению начисленных (накопленных) процентов в части, обеспеченной залогом номинированных в иностранной валюте государственных долговых ценных бумаг Российской Федерации, долговых ценных бумаг субъектов Российской Федерации, муниципальных образований Российской Федерации,коды 8923.1, 8923.2, 8923.0 | 50 |
| (в ред. Указания ЦБ РФ от 25.10.2013 N 3097-У) | |
| кредитные требования и требования по получению начисленных (накопленных) процентов к центральным банкам или правительствам стран, имеющих страновую оценку "3", к организациям, которым в соответствии с законодательством соответствующих стран предоставлено право осуществлять заимствования от имени государства, код 8932 | 50 |
| кредитные требования и требования по получению начисленных (накопленных) процентов в части, обеспеченной гарантиями (поручительствами, резервными аккредитивами) правительств или центральных банков стран, имеющих страновую оценку "3", организаций, которые в соответствии с законодательством соответствующих стран приравнены к гарантиям (поручительствам, резервным аккредитивам) правительств или центральных банков указанных стран, а также кредитные требования и требования по получению начисленных (накопленных) процентов в части, обеспеченной залогом долговых ценных бумаг центральных банков или государственных долговых ценных бумаг стран, имеющих страновую оценку "3", коды 8985.1, 8985.2, 8985.0 | 50 |
| (в ред. Указания ЦБ РФ от 25.10.2013 N 3097-У) | |
| кредитные требования и требования по получению начисленных (накопленных) процентов к кредитным организациям, не имеющим рейтингов долгосрочной кредитоспособности, присвоенных международными рейтинговыми агентствами, и являющимся резидентами стран, имеющих страновую оценку "0" и "1", или стран с высоким уровнем доходов, являющихся членами ОЭСР и (или) Еврозоны, а также к кредитным организациям - резидентам стран, имеющих страновую оценку "2", коды 8954.1, 8954.2, 8954.0 | 50 |
| (в ред. Указания ЦБ РФ от 25.10.2013 N 3097-У) | |
| кредитные требования и требования по получению начисленных (накопленных) процентов в части, обеспеченной гарантиями (поручительствами, резервными аккредитивами), полученными (выставленными) от кредитных организаций (кредитными организациями), не имеющих (не имеющими) рейтингов долгосрочной кредитоспособности, присвоенных международными рейтинговыми агентствами, и являющихся (являющимися) резидентами стран, имеющих страновую оценку "0" и "1", или стран с высоким уровнем доходов, являющихся членами ОЭСР и (или) Еврозоны, а также от кредитных организаций - резидентов (кредитными организациями - резидентами) стран, имеющих страновую оценку "2", коды 8946.1, 8946.2, 8946.0 | 50 |
| (в ред. Указания ЦБ РФ от 25.10.2013 N 3097-У) | |
| кредитные требования и требования по получению начисленных (накопленных) процентов к открытым акционерным обществам, соответствующим критериям естественных монополий, деятельность которых регулируется Федеральным законом от 17 августа 1995 года N 147-ФЗ "О естественных монополиях" (Собрание законодательства Российской Федерации, 1995, N 34, ст. 3426; 2001, N 33, ст. 3429; 2002, N 1, ст. 2; 2003, N 2, ст. 168; N 13, ст. 1181; 2004, N 27, ст. 2711; 2006, N 1, ст. 10; N 19, ст. 2063; 2007, N 1, ст. 21; N 43, ст. 5084; N 46, ст. 5557; 2008, N 52, ст. 6236; 2011, N 29, ст. 4281; N 30, ст. 4590, ст. 4596; N 50, ст. 7343; 2012, N 26, ст. 3446), при условии их включения в раздел 2 перечня стратегических предприятий и стратегических акционерных обществ, утвержденного Указом Президента Российской Федерации от 4 августа 2004 года N 1009 "Об утверждении перечня стратегических предприятий и стратегических акционерных обществ" (Собрание законодательства Российской Федерации, 2004, N 32, ст. 3313; N 48, ст. 4768; N 49, ст. 4888; N 50, ст. 5019; 2005, N 4, ст. 256; N 35, ст. 3590; N 37, ст. 3739; N 51, ст. 5515; 2006, N 6, ст. 672; N 9, ст. 986; N 11, ст. 1164; N 14, ст. 1510; N 18, ст. 1978; N 19, ст. 2071; N 24, ст. 2586; N 26, ст. 2819; N 42, ст. 4351; N 48, ст. 5013; N 49, ст. 5191; 2007, N 1, ст. 208; N 5, ст. 634; N 7, ст. 859, ст. 860, ст. 861, ст. 863; N 8, ст. 976; N 9, ст. 1062; N 13, ст. 1532, ст. 1533, ст. 1534, ст. 1535, ст. 1536, ст. 1537, ст. 1538; N 18, ст. 2185, ст. 2188, ст. 2189, ст. 2190; N 19, ст. 2341; N 23, ст. 2747; N 26, ст. 3165; N 27, ст. 3254; N 31, ст. 4018; N 32, ст. 4125; N 33, ст. 4186, ст. 4187, ст. 4188; N 34, ст. 4209; N 36, ст. 4364; N 38, ст. 4510; N 43, ст. 5173, ст. 5175; N 45, ст. 5463; N 48, ст. 5950, ст. 5953, ст. 5954, ст. 5955; N 49, ст. 6131; N 50, ст. 6254; N 52, ст. 6428; N 53, ст. 6551, ст. 6552; 2008, N 8, ст. 701; N 9, ст. 821, ст. 822, ст. 826; N 10, ст. 908; N 15, ст. 1525, ст. 1526, ст. 1528; N 16, ст. 1674; N 17, ст. 1819; N 18, ст. 2004; N 22, ст. 2540, ст. 2543; N 24, ст. 2835, ст. 2836, ст. 2837; N 28, ст. 3362; N 29, ст. 3475; N 40, ст. 4518, ст. 4521; N 51, ст. 6137; N 52, ст. 6365; 2009, N 10, ст. 1200; N 11, ст. 1276; N 12, ст. 1406, ст. 1408, ст. 1409; N 19, ст. 2299; N 24, ст. 2921; N 35, ст. 4223; N 38, ст. 4457; N 45, ст. 5321, ст. 5322; N 52, ст. 6537; 2010, N 14, ст. 1630; N 15, ст. 1776; N 17, ст. 2056, ст. 2057; N 20, ст. 2431, N 24, ст. 3018; N 25, ст. 3126; N 26, ст. 3330; N 40, ст. 5044, ст. 5045, ст. 5047; N 43, ст. 5483; N 45, ст. 5770; 2011, N 18, ст. 2598; N 21, ст. 2929; N 23, ст. 3299; N 29, ст. 4423; N 36, ст. 5126; N 37, ст. 5201; N 43, ст. 6023, ст. 6030; N 46, ст. 6476; 2012, N 1, ст. 32, ст. 33; N 8, ст. 991; N 13, ст. 1491; N 17, ст. 1916; N 21, ст. 2628, ст. 2629; N 22, ст. 2755; N 23, ст. 2993; N 24, ст. 3139; N 28, ст. 3883; N 33, ст. 4630; N 43, ст. 5812; N 45, ст. 6206; "Официальный интернет-портал правовой информации" (www.pravo.gov.ru), 22 ноября 2012 года) (далее - Перечень стратегических предприятий), а также при условии, что ценные бумаги этих обществ включены в Ломбардный список Банка России в соответствии с Указанием Банка России от 10 августа 2012 года N 2861-У "О перечне ценных бумаг, входящих в Ломбардный список Банка России", зарегистрированным Министерством юстиции Российской Федерации 26 сентября 2012 года N 25541 ("Вестник Банка России" от 4 октября 2012 года N 59) (далее - Ломбардный список Банка России), коды 8801.1, 8801.2, 8801.0 | 50 |
| (в ред. Указания ЦБ РФ от 25.10.2013 N 3097-У) | |
| Активы III группы дополнительно: | |
| (в ред. Указания ЦБ РФ от 25.10.2013 N 3097-У) | |
| корректируются на активы, включенные в код 8717; | |
| (в ред. Указания ЦБ РФ от 25.10.2013 N 3097-У) | |
| увеличиваются на активы, включенные в код (коды) 8888.Т; | |
| (в ред. Указания ЦБ РФ от 25.10.2013 N 3097-У) | |
| уменьшаются на активы, включенные в код (коды) 8887.К. | |
| (в ред. Указания ЦБ РФ от 25.10.2013 N 3097-У) | |
| 2.3.4. IV группа активов | Коэффициент риска (в процентах) |
| (в ред. Указания ЦБ РФ от 25.10.2013 N 3097-У) | |
| все прочие активы банка | 100 |
| (в ред. Указания ЦБ РФ от 25.10.2013 N 3097-У) | |
2.3.4.1. В состав IV группы активов при расчете норматива Н1.1 включаются остатки (или их части) на активных балансовых счетах, за исключением: (в ред. Указания ЦБ РФ от 25.10.2013 N 3097-У)
остатков (их частей) на балансовых счетах, которые вошли в расчет активов банка I - III и V групп (N N 30202, 30204, 30210, 30235, код 8707.1, код 8708.1, код 8709.1, код 8710.1, код 8711.1, код 8712.1, код 8713.1, код 8714.1, код 8805, код 8871, код 8900, код 8901, код 8902, код 8903, код 8904, код 8913.1, код 8917.1, код 8923.1, код 8932, код 8945.1, код 8946.1, код 8959.1, код 8962, код 8966, код 8969, код 8973, код 8974.1, код 8975.1, код 8976, код 8977, код 8985.1); (в ред. Указаний ЦБ РФ от 25.10.2013 N 3097-У, от 30.05.2014 N 3268-У)
остатков на балансовых счетах: N N 10601, 10605, 10610, 109, 30208, 30228, 30302, 30304, 30306, 40109, 40111, 50905, 52601, 60601, 60602, 60603, 60805, 61401, 61403, 706А, 707А, 70802; (в ред. Указания ЦБ РФ от 25.10.2013 N 3097-У)
суммы средств, рассчитанной по кодам: 8700.1, 8703.1, 8704.1, 8718, 8730, 8732, 8806, 8808.1, 8813.1, 8815, 8817.1, 8819, 8821, 8823.1, 8825.1, 8827.1, 8829, 8831, 8833.1, 8835, 8837, 8846, 8851, 8858, 8858.x, 8863, 8863.x, 8869, 8874, 8876, 8878.А, 8878.Н, 8880, 8893.1, 8936, 8947, 8956.1, 8981. (в ред. Указаний ЦБ РФ от 25.10.2013 N 3097-У, от 30.05.2014 N 3268-У)
В состав IV группы активов дополнительно включаются: (в ред. Указания ЦБ РФ от 25.10.2013 N 3097-У)
сумма средств, рассчитанная по коду 8870, в том случае если банком используется подход, предусмотренный пунктом 2.6 настоящей Инструкции; (в ред. Указания ЦБ РФ от 25.10.2013 N 3097-У)
корректирующие IV группу активов расчетные величины, рассчитанные по коду 8857.1; (в ред. Указания ЦБ РФ от 25.10.2013 N 3097-У)
сумма кредитных требований и требований по получению начисленных (накопленных) процентов, рассчитанная по коду (кодам) 8889.Т. (в ред. Указания ЦБ РФ от 25.10.2013 N 3097-У)
корректирующая IV группу активов расчетная величина, рассчитанная по коду 8718. (в ред. Указания ЦБ РФ от 30.05.2014 N 3268-У)
2.3.4.2. В состав IV группы активов при расчете норматива Н1.2 включаются остатки (или их части) на активных балансовых счетах, за исключением: (в ред. Указания ЦБ РФ от 25.10.2013 N 3097-У)
остатков (их частей) на балансовых счетах, которые вошли в расчет активов банка I - III и V групп (N N 30202, 30204, 30210, 30235, код 8707.2, код 8708.2, код 8709.2, код 8710.2, код 8711.2, код 8712.2, код 8713.2, код 8714.2, код 8805, код 8900, код 8901, код 8902, код 8903, код 8904, код 8913.2, код 8917.2, код 8923.2, код 8932, код 8945.2, код 8946.2, код 8959.2, код 8962, код 8966, код 8969, код 8973, код 8974.2, код 8975.2, код 8976, код 8871, код 8977, код 8985.2); (в ред. Указаний ЦБ РФ от 25.10.2013 N 3097-У, от 30.05.2014 N 3268-У)
остатков на балансовых счетах: N N 10601, 10605, 10610, 109, 30208, 30228, 30302, 30304, 30306, 40109, 40111, 50905, 52601, 60601, 60602, 60603, 60805, 61401, 61403, 706А, 707А, 70802; (в ред. Указания ЦБ РФ от 25.10.2013 N 3097-У)
суммы средств, рассчитанной по кодам: 8700.2, 8703.2, 8704.2, 8718, 8730, 8732, 8806, 8808.2, 8813.2, 8815, 8817.2, 8819, 8821, 8823.2, 8825.2, 8827.2, 8829, 8831, 8833.2, 8835, 8837, 8846, 8851, 8858, 8858.x, 8863, 8863.x, 8869, 8874, 8875, 8876, 8877, 8878.А, 8878.Н, 8880, 8893.2, 8936, 8947, 8956.2, 8981. (в ред. Указаний ЦБ РФ от 25.10.2013 N 3097-У, от 30.05.2014 N 3268-У)
В состав IV группы активов дополнительно включаются: (в ред. Указания ЦБ РФ от 25.10.2013 N 3097-У)
сумма средств, рассчитанная по коду 8870, в том случае если банком используется подход, предусмотренный пунктом 2.6 настоящей Инструкции; (в ред. Указания ЦБ РФ от 25.10.2013 N 3097-У)
корректирующие IV группу активов расчетные величины, рассчитанные по коду 8857.2; (в ред. Указания ЦБ РФ от 25.10.2013 N 3097-У)
сумма кредитных требований и требований по получению начисленных (накопленных) процентов, рассчитанная по коду (кодам) 8889.Т. (в ред. Указания ЦБ РФ от 25.10.2013 N 3097-У)
корректирующая IV группу активов расчетная величина, рассчитанная по коду 8718. (в ред. Указания ЦБ РФ от 30.05.2014 N 3268-У)
2.3.4.3. В состав IV группы активов при расчете норматива Н1.0 включаются остатки (или их части) на активных балансовых счетах, за исключением: (в ред. Указания ЦБ РФ от 25.10.2013 N 3097-У)
остатков (их частей) на балансовых счетах, которые вошли в расчет активов банка I - III и V групп (N N 30202, 30204, 30210, 30235, код 8707.0, код 8708.0, код 8709.0, код 8710.0, код 8711.0, код 8712.0, код 8713.0, код 8714.0, код 8805, код 8900, код 8901, код 8902, код 8903, код 8904, код 8913.0, код 8917.0, код 8923.0, код 8932, код 8945.0, код 8946.0, код 8959.0, код 8962, код 8966, код 8969, код 8973, код 8974.0, код 8975.0, код 8976, код 8871, код 8977, код 8985.0); (в ред. Указаний ЦБ РФ от 25.10.2013 N 3097-У, от 30.05.2014 N 3268-У)
остатков на балансовых счетах: N N 10605, 10610, 109, 30208, 30228, 30302, 30304, 30306, 40109, 40111, 50905, 52601, 60601, 60602, 60603, 60805, 61401, 61403, 706А, 707А, 70802; (в ред. Указания ЦБ РФ от 25.10.2013 N 3097-У)
суммы средств, рассчитанной по кодам: 8700.0, 8703.0, 8704.0, 8718, 8730, 8732, 8806, 8808.0, 8813.0, 8815, 8817.0, 8819, 8821, 8823.0, 8825.0, 8827.0, 8829, 8831, 8833.0, 8835, 8837, 8846, 8851, 8858, 8858.x, 8863, 8863.x, 8869, 8874, 8875, 8876, 8877, 8878.А, 8878.Н, 8880, 8882, 8883, 8884, 8934, 8936, 8947, 8948, 8948.0, 8956.0, 8970, 8970.0, 8971, 8971.0, 8981. (в ред. Указаний ЦБ РФ от 25.10.2013 N 3097-У, от 30.05.2014 N 3268-У)
В состав IV группы активов дополнительно включаются: (в ред. Указания ЦБ РФ от 25.10.2013 N 3097-У)
сумма средств, рассчитанная по коду 8870, в том случае если банком используется подход, предусмотренный пунктом 2.6 настоящей Инструкции; (в ред. Указания ЦБ РФ от 25.10.2013 N 3097-У)
корректирующие IV группу активов расчетные величины, рассчитанные по коду 8857.0; (в ред. Указания ЦБ РФ от 25.10.2013 N 3097-У)
сумма кредитных требований и требований по получению начисленных (накопленных) процентов, рассчитанная по коду (кодам) 8889.Т. (в ред. Указания ЦБ РФ от 25.10.2013 N 3097-У)
корректирующая IV группу активов расчетная величина, рассчитанная по коду 8718. (в ред. Указания ЦБ РФ от 30.05.2014 N 3268-У)
| 2.3.5. V группа активов | Коэффициент риска (в процентах) |
| кредитные требования и требования по получению начисленных (накопленных) процентов, а также просроченные требования к центральным банкам или правительствам стран, имеющих страновую оценку "7", к организациям, которым в соответствии с законодательством соответствующих стран предоставлено право осуществлять заимствования от имени государства, к кредитным организациям - резидентам указанных стран, коды 8980.1, 8980.2, 8980.0 | 150 |
| (в ред. Указания ЦБ РФ от 25.10.2013 N 3097-У) | |
| Активы V группы дополнительно: | |
| (в ред. Указания ЦБ РФ от 25.10.2013 N 3097-У) | |
| увеличиваются на активы, включенные в код 8890; | |
| (в ред. Указания ЦБ РФ от 25.10.2013 N 3097-У) | |
| корректируются на активы, включенные в код 8719. | |
| (в ред. Указания ЦБ РФ от 25.10.2013 N 3097-У) |
2.3.6. В расчет активов банка I - III групп включаются остатки (или их части) на активных балансовых счетах, уменьшенные на часть остатков, на которую наложен арест, и (или) изъятую следственными органами и (или) органами принудительного исполнения судебных актов.
В расчет активов банка I - III групп не включаются кредитные требования и требования по получению начисленных (накопленных) процентов к кредитным организациям с отозванной лицензией на осуществление банковских операций.
2.3.7. Взвешивание активов по уровню риска осуществляется путем умножения остатка (сумм остатков) на соответствующем балансовом счете (счетах) или его (их) части, уменьшенного на величину сформированных резервов на возможные потери или резервов на возможные потери по ссудам, по ссудной и приравненной к ней задолженности, на коэффициент риска (в процентах).
Расчет кодов, участвующих в расчете знаменателей нормативов достаточности капитала банка (за исключением кодов, уменьшающих IV группу активов), осуществляется с уменьшением указанных в соответствующем коде активов на величину сформированных под них резервов в соответствии с Положением Банка России N 254-П и Положением Банка России от 20 марта 2006 года N 283-П "О порядке формирования кредитными организациями резервов на возможные потери", зарегистрированным Министерством юстиции Российской Федерации 25 апреля 2006 года N 7741, 2 июля 2007 года N 9739, 6 декабря 2007 года N 10639, 10 сентября 2008 года N 12260, 5 августа 2009 года N 14477, 17 декабря 2009 года N 15670, 24 мая 2011 года N 20837, 21 декабря 2011 года N 22714 ("Вестник Банка России" от 4 мая 2006 года N 26, от 11 июля 2007 года N 39, от 17 декабря 2007 года N 69, от 17 сентября 2008 года N 49, от 12 августа 2009 года N 47, от 28 декабря 2009 года N 77, от 1 июня 2011 года N 30, от 28 декабря 2011 года N 74) (далее - Положение Банка России N 283-П). (в ред. Указания ЦБ РФ от 25.10.2013 N 3097-У)
2.3.8. В целях настоящей Инструкции отнесение кредитных требований (их части) и требований по получению начисленных (накопленных) процентов (их части) к категории "фондированные в рублях" и (или) к категории "фондированные в иностранной валюте" осуществляется в следующем порядке.
Банк рассчитывает коэффициент рублевого фондирования (Кф) как соотношение совокупной величины пассивов в рублях, определяемой как сумма не включенных в расчет размеров (лимитов) открытых валютных позиций остатков по счетам (их части) N N 102, 10601, 10602, 30109, 30111, 30122, 30123, 30220, 30222, 30223, 30227, 30230, 30231, 30232, 30411, 30412, 30414, 30415, 30601, 30603, 30604, 30606, 312...317, 32901, 40101, 40105, 40106, 40116, 402, 40301...40307, 40312, 40314, 404...408, 409П, 410...423, 425...440, 47403, 47405, 47407, 47412, 47414, 47416, 47418, 47419, 47422, 520...524, 52602, 60305, 60307, 60311, 60313, 60322, к совокупной величине активов в рублях, определяемой как сумма не включенных в расчет размеров (лимитов) открытых валютных позиций остатков по активным счетам, участвующим в расчете норматива Н1.0 (без коэффициентов взвешивания по риску), за вычетом кода 8961 и остатков по счетам N N 20319, 20320, 30416, 30417, 30418, 30419, 325А, 459А, 47427, 50121, 50221, 50621, 50721 при одновременном добавлении к указанной совокупной величине активов в рублях остатков по счетам (их части) N N 30208, 50905. (в ред. Указаний ЦБ РФ от 25.10.2013 N 3097-У, от 30.05.2014 N 3268-У)
В случае если на дату расчета нормативов достаточности капитала банка коэффициент рублевого фондирования равен либо больше 1, кредитные требования и требования по получению начисленных (накопленных) процентов относятся к фондированным в рублях (I - II группы активов). (в ред. Указания ЦБ РФ от 25.10.2013 N 3097-У)
В случае если на дату расчета нормативов достаточности капитала банка коэффициент рублевого фондирования меньше 1, кредитные требования и требования по получению начисленных (накопленных) процентов относятся к фондированным в рублях (I - II группы активов) в части, равной величине кредитного требования и требования по получению начисленных (накопленных) процентов, умноженной на коэффициент рублевого фондирования. Оставшаяся часть кредитного требования и требования по получению начисленных (накопленных) процентов относится к фондированной в иностранной валюте (III - V группы активов). (в ред. Указания ЦБ РФ от 25.10.2013 N 3097-У)
Коэффициент рублевого фондирования равен единице в случаях, если банк не располагает лицензией на осуществление банковских операций со средствами в иностранной валюте.
Вложения банков в финансовые активы за счет целевых бюджетных средств или иных целевых источников могут не включаться в состав активов, а соответствующие источники финансирования в состав пассивов при расчете коэффициента рублевого фондирования. Отнесение указанных кредитных требований и требований по получению начисленных (накопленных) процентов к категории "фондированные в рублях" и (или) к категории "фондированные в иностранной валюте" осуществляется исходя из валют номинирования требования и соответствующего ему обязательства в соответствии с подходами по отнесению к группам риска активов в рублях.
2.3.9. В целях настоящей Инструкции в отношении кредитных требований к контрагенту по возврату денежных средств по сделкам, совершаемым на возвратной основе с ценными бумагами, полученными без прекращения признания, применяются нормы настоящей Инструкции, предусмотренные в отношении кредитных требований, надлежащее исполнение обязательств по которым обеспечивается залогом соответствующих ценных бумаг, при соблюдении условий, предусмотренных в подпункте 2.3.14 настоящего пункта.
2.3.10. В целях настоящей Инструкции кредитное требование, являющееся базовым активом по срочной сделке, в результате заключения которой у контрагента по этой сделке возникает обязательство уплатить банку денежную сумму, равную или превышающую величину кредитного требования, в случае неплатежеспособности заемщика по базовому активу, взвешивается с коэффициентом риска, установленным для кредитных требований в части, обеспеченной гарантиями при соблюдении условий, предусмотренных в подпунктах 2.3.11 и 2.3.13 настоящего пункта. В данном случае в качестве гаранта рассматривается контрагент по срочной сделке.
2.3.11. Кредитные требования и требования по получению начисленных (накопленных) процентов, по которым надлежащее исполнение обязательств заемщика обеспечено залогом ценных бумаг, поручительством, гарантией (банковской гарантией), резервным аккредитивом, эмитентов, поручителей, гарантов, указанных в подпунктах 2.3.1 - 2.3.3 настоящего пункта, относятся к I - III группам активов, в случае если условия гарантии (банковской гарантии) не предусматривают возможности ее отзыва гарантом, а также условия договора о залоге, договора поручительства, соглашения о выставлении резервного аккредитива не предусматривают возможности его изменения и расторжения по требованию залогодателя (поручителя, эмитента).
В случае если договором в качестве применимого права установлено иностранное право, указанные в настоящем подпункте требования относятся к I - III группам активов при соблюдении также следующих условий:
права, возникшие в силу предоставленной гарантии (банковской гарантии), договора о залоге, договора поручительства, соглашения о выставлении резервного аккредитива, заключенного в письменной форме, подлежат судебной защите;
банк располагает заключением лица, правомочного оказывать юридические услуги, подтверждающем соблюдение установленных настоящим подпунктом условий.
2.3.12. Кредитные требования и требования по получению начисленных (накопленных) процентов, по которым надлежащее исполнение обязательств заемщика обеспечено гарантиями субъектов Российской Федерации, муниципальных образований, относятся к I - III группам активов, если соблюдены условия, указанные в подпункте 2.3.11 настоящего пункта.
2.3.13. Кредитные требования и требования по получению начисленных (накопленных) процентов, по которым надлежащее исполнение обязательств заемщика обеспечено поручительством, гарантией (банковской гарантией), резервным аккредитивом гарантов, поручителей, эмитентов, указанных в подпунктах 2.3.1 - 2.3.3 настоящего пункта, относятся к I - III группам активов при соблюдении следующих условий:
гарантия (банковская гарантия), поручительство, резервный аккредитив содержат ссылку на основное обязательство или совокупность обязательств (кредитное требование (кредитные требования) и требование (требования) по получению начисленных (накопленных) процентов), обеспечиваемое (обеспечиваемые) гарантией (банковской гарантией), поручительством, резервным аккредитивом);
срок действия гарантии (банковской гарантии), договора поручительства, соглашения о выставлении резервного аккредитива заканчивается не ранее наступления срока исполнения обязательства (обязательств), обеспечиваемого (обеспечиваемых) гарантией (банковской гарантией), поручительством, резервным аккредитивом.
2.3.14. Кредитные требования и требования по получению начисленных (накопленных) процентов, по которым надлежащее исполнение обязательств заемщика обеспечено залогом ценных бумаг эмитентов, указанных в подпунктах 2.3.1 - 2.3.3 настоящего пункта, относятся к I - III группам активов при соблюдении следующих условий:
ценные бумаги обращаются на ОРЦБ (за исключением векселей и собственных долговых ценных бумаг банка-кредитора); (в ред. Указания ЦБ РФ от 25.10.2013 N 3097-У)
срок действия договора о залоге прекращается не ранее наступления срока исполнения обязательства, обеспечиваемого залогом;
эмитент ценных бумаг и контрагент (заемщик) по кредитному требованию не входят в одну банковскую группу (холдинг);
права на ценные бумаги должны быть удостоверены депозитариями, удовлетворяющими критериям, предусмотренным пунктом 1.2 Указания Банка России от 17 ноября 2011 года N 2732-У "Об особенностях формирования кредитными организациями резерва на возможные потери по операциям с ценными бумагами, права на которые удостоверяются депозитариями", зарегистрированного Министерством юстиции Российской Федерации 12 декабря 2011 года N 22544, 1 августа 2012 года N 25070 ("Вестник Банка России" от 19 декабря 2011 года N 71, от 8 августа 2012 года N 44) (далее - Указание Банка России N 2732-У).
2.3.15. Кредитные требования и требования по получению начисленных (накопленных) процентов, надлежащее исполнение обязательств по которым обеспечено залогом, поручительством, гарантией (банковской гарантией), резервным аккредитивом, относятся к I - III группам активов в части, под которую предоставлено соответствующее обеспечение, за исключением стоимости предмета залога, на который наложен арест, и (или) изъятый следственными органами, и (или) органами принудительного исполнения судебных актов.
2.3.16. Кредитные требования и требования по получению начисленных (накопленных) процентов, надлежащее исполнение обязательств по которым обеспечено залогом золота в слитках или залогом долговых ценных бумаг эмитентов, указанных в подпунктах 2.3.1 - 2.3.3 настоящего пункта, относятся к I - III группам активов, в части, равной учетной цене, установленной Банком России на золото в слитках, или текущей (справедливой) стоимости долговых ценных бумаг, принятых в обеспечение надлежащего исполнения обязательств.
2.3.17. Кредитные требования и требования по получению начисленных (накопленных) процентов, надлежащее исполнение обязательств по которым обеспечено залогом собственных долговых ценных бумаг банка-кредитора, относятся к I группе активов в части, равной сумме подлежащих отражению на соответствующих счетах бухгалтерского учета обязательств, предусмотренных собственными долговыми ценными бумагами, находящимися в закладе в банке-кредиторе.
2.3.18. Кредитные требования и требования по получению начисленных (накопленных) процентов в части, обеспеченной гарантийным депозитом (вкладом), понятие которого применяется в настоящей Инструкции в значении, определенном в подпункте 6.2.2 пункта 6.2 Положения Банка России N 254-П, относятся к I группе активов в части, равной сумме обязательств, предусмотренных договором депозита (вклада), и подлежащих отражению на соответствующих счетах бухгалтерского учета.
Гарантийный депозит (вклад) не может учитываться в качестве обеспечения для целей настоящей Инструкции, если соответствует одному или нескольким условиям, содержащимся в пункте 6.5 Положения Банка России N 254-П. (в ред. Указания ЦБ РФ от 25.10.2013 N 3097-У)
2.3.19. В случае если коэффициент риска по кредитному требованию и требованию по получению начисленных (накопленных) процентов в части, обеспеченной залогом, гарантией (банковской гарантией), резервным аккредитивом, поручительством выше, чем по кредитному требованию и требованию по получению начисленных (накопленных) процентов без учета обеспечения, для целей настоящей Инструкции применяется коэффициент риска, соответствующий кредитному требованию и требованию по получению начисленных (накопленных) процентов без учета обеспечения.
2.3.20. В расчет активов, взвешенных по уровню риска, не включаются кредитные требования и вложения в акции, которые уменьшают величину собственных средств (капитала) в соответствии с подпунктом 2.4 пункта 2 и подпунктом 4.2 пункта 4 приложения к Положению Банка России N 395-П, а также уменьшающих сумму источников базового капитала, добавочного капитала, дополнительного капитала и сумму основного и дополнительного капитала, определенных в соответствии с требованиями подпунктов 2.2 и 2.4 пункта 2, подпункта 3.2 пункта 3 и пункта 4 Положения Банка России N 395-П. (в ред. Указания ЦБ РФ от 25.10.2013 N 3097-У)
2.3.21. В расчет активов, взвешенных по уровню риска, в части вложений в акции и долговые обязательства включаются только те вложения в акции и долговые обязательства (за исключением вложений, указанных в подпункте 2.3.20 настоящего пункта), по которым не рассчитывается рыночный риск. Вложения в акции и долговые обязательства, оцениваемые как активы I - V групп, по которым рассчитывается рыночный риск (за исключением акций и долговых обязательств, переданных без прекращения признания по сделкам, совершаемым на возвратной основе), исключаются из расчета активов, взвешенных по уровню риска, кодами 8700.1, 8700.2, 8700.0 при расчете IV группы активов в соответствии с подпунктами 2.3.4.1, 2.3.4.2 и 2.3.4.3 настоящего пункта, соответственно. (в ред. Указаний ЦБ РФ от 25.10.2013 N 3097-У, от 30.05.2014 N 3268-У)
В расчет активов, взвешенных по уровню риска, включаются кредитные требования в виде вложений в указанные выше ценные бумаги, оцениваемые по текущей (справедливой) стоимости через прибыль или убыток, а также имеющиеся в наличии для продажи, по которым может быть определена текущая (справедливая) стоимость или формируются резервы на возможные потери в соответствии с Положением Банка России N 283-П, подлежащие учету на балансовых счетах N N 501, 502, 506, 507 в соответствии с пунктами 2.2 и 2.5 приложения 10 к Положению Банка России от 16 июля 2012 года N 385-П "О правилах ведения бухгалтерского учета в кредитных организациях, расположенных на территории Российской Федерации", зарегистрированному Министерством юстиции Российской Федерации 3 сентября 2012 года N 25350, 15 октября 2012 года N 25670 ("Вестник Банка России" от 25 сентября 2012 года N 56 - 57, от 24 октября 2012 года N 62) (далее - Положение Банка России N 385-П).
2.3.22. Определение уровня риска по синдицированным кредитам осуществляется в соответствии с приложением 4 к настоящей Инструкции. (в ред. Указания ЦБ РФ от 25.10.2013 N 3097-У)
2.3.23. Кредитные требования и требования по получению начисленных (накопленных) процентов по ипотечным кредитам (займам), предоставленным участникам накопительно-ипотечной системы жилищного обеспечения военнослужащих в период прохождения ими военной службы по контракту, а также в случаях, указанных в статье 10 Федерального закона от 20 августа 2004 года N 117-ФЗ "О накопительно-ипотечной системе жилищного обеспечения военнослужащих" (Собрание законодательства Российской Федерации, 2004, N 34, ст. 3532; 2006, N 6, ст. 636; 2007, N 50, ст. 6237; 2008, N 30, ст. 3616; 2009, N 48, ст. 5731; 2011, N 27, ст. 3879; N 48, ст. 6728; 2012, N 26, ст. 3443), включаются в расчет кода 8973.
В целях настоящей Инструкции под требованием по ипотечному кредиту (займу), ипотечной ссуде понимается требование по кредитному договору (договору займа), обеспеченному ипотекой в соответствии с нормами Федерального закона от 16 июля 1998 года N 102-ФЗ "Об ипотеке (залоге недвижимости)" (Собрание законодательства Российской Федерации, 1998, N 29, ст. 3400; 2001, N 46, ст. 4308; 2002, N 7, ст. 629; N 52, ст. 5135; 2004, N 6, ст. 406; N 27, ст. 2711; N 45, ст. 4377; 2005, N 1, ст. 40, ст. 42; 2006, N 50, ст. 5279; N 52, ст. 5498; 2007, N 27, ст. 3213; N 50, ст. 6237; 2008, N 20, ст. 2251; N 52, ст. 6219; 2009, N 1, ст. 14; N 29, ст. 3603; 2010, N 25, ст. 3070; 2011, N 27, ст. 3879, ст. 3880; N 50, ст. 7347) (далее - Федеральный закон об ипотеке), а также требование по кредитному договору (договору займа), обеспеченное залогом недвижимости, по которому осуществляется государственная регистрация договора об ипотеке, если с даты предоставления ссуды по такому договору прошло не более двух месяцев.
2.3.24. В расчет активов, взвешенных по уровню риска, остатки по балансовому счету N 47408 "Расчеты по конверсионным операциям, производным финансовым инструментам и прочим договорам (сделкам), по которым расчеты и поставка осуществляются не ранее следующего дня, после дня заключения договора (сделки)" и балансовым счетам по учету прочих размещенных средств, возникающие в связи с началом расчетов до наступления срока сделки с производным финансовым инструментом, а также связанные с операциями с участием кредитных организаций, осуществляющих функции центрального контрагента, в части их требований к участникам клиринга по уплате возвратных первоначального и (или) периодического платежей, в соответствии с настоящим пунктом включаются в сумме превышения требований над величиной обязательств, соответственно, по каждой сделке с производным финансовым инструментом или в сумме превышения требований по уплате возвратных первоначального и (или) периодического платежей над величиной полученного обеспечения (за исключением коллективного клирингового обеспечения). (в ред. Указания ЦБ РФ от 25.10.2013 N 3097-У)
2.3.25. Кредитные требования и требования по получению начисленных (накопленных) процентов, а также просроченные требования к центральным банкам или правительствам стран - участников Содружества Независимых Государств, имеющих страновую оценку "7", к резидентам указанных стран не включаются в расчет активов банка V группы, а относятся к IV группе активов для целей настоящей Инструкции.
2.3.26. Включаемые в расчет показателя ПК активы уменьшаются на величину сформированных на возможные потери по ним резервов в соответствии с Положением Банка России N 254-П и Положением Банка России N 283-П. К полученным после уменьшения на величину сформированных резервов активам, относящимся к IV группе активов, применяется повышенный коэффициент риска, указанный в соответствующем коде, включенном в расчет показателя ПК.
Активы, включаемые в расчет показателя ПК и код 8957, подпадающие под действие двух и более разных повышенных коэффициентов риска, первоначально включаются в каждый из кодов, требованиям которого соответствующий актив удовлетворяет. В последующем расчеты нормативов достаточности капитала банка, показателя ПК и IV группы активов корректируются кодами 8855.1, 8855.2, 8855.0, 8856.1, 8856.2, 8856.0, 8857.1, 8857.2, 8857.0, соответственно, в целях достижения однократного применения к каждому конкретному активу повышенного коэффициента, наибольшего из возможных. (в ред. Указания ЦБ РФ от 25.10.2013 N 3097-У)
К части активов, номинированных в рублях, удовлетворяющих требованиям кодов, входящих в показатель ПК, которые отнесены к IV группе активов из-за их фондированности валютой (коэффициент рублевого фондирования составляет менее 1), повышенные коэффициенты риска не применяются.
К части активов, удовлетворяющих требованиям кодов, входящих в показатель ПК, которые отнесены к IV группе активов из-за недостаточности обеспечения, позволяющего отнести актив к I - III группам активов в полном объеме, повышенные коэффициенты риска применяются в порядке, предусмотренном настоящей Инструкцией.
2.3.27. При расчете показателя ПК, а также в случаях, предусмотренных пунктом 9 приложения 3 к настоящей Инструкции, используются рейтинги кредитоспособности, присвоенные международными рейтинговыми агентствами, а также иными рейтинговыми агентствами, определенными решениями Совета директоров Банка России (далее - национальные рейтинговые агентства). Информация о национальных рейтинговых агентствах, а также информация об установленных Банком России минимальных уровнях рейтингов кредитоспособности, присвоенных национальными рейтинговыми агентствами, размещается на официальном сайте Банка России в информационно-телекоммуникационной сети "Интернет" (далее - официальный сайт Банка России) и публикуется в "Вестнике Банка России". (в ред. Указания ЦБ РФ от 25.10.2013 N 3097-У)
Если заемщик банка (эмитент ценных бумаг, выпуск ценных бумаг) имеет международный рейтинг долгосрочной кредитоспособности, присвоенный международным рейтинговым агентством, и рейтинг кредитоспособности, присвоенный национальным рейтинговым агентством, то в качестве рейтинга принимается наивысший, из присвоенных международным или национальным рейтинговым агентством.
При этом если заемщик банка (эмитент ценных бумаг, выпуск ценных бумаг) имеет международные рейтинги долгосрочной кредитоспособности разных уровней, присвоенные разными международными рейтинговыми агентствами, то в качестве рейтинга принимается наивысший из присвоенных международными рейтинговыми агентствами.
Если заемщик банка (эмитент ценных бумаг, выпуск ценных бумаг) имеет рейтинги кредитоспособности разных уровней, присвоенные разными национальными рейтинговыми агентствами, то в качестве рейтинга принимается наивысший из присвоенных национальными рейтинговыми агентствами.
2.3.28. В целях настоящей Инструкции по сделкам, совершаемым на возвратной основе с ценными бумагами, переданными без прекращения признания (включая операции с ценными бумагами, ранее полученными на возвратной основе без первоначального признания), в расчете активов, взвешенных по уровню риска, учитывается: (в ред. Указания ЦБ РФ от 25.10.2013 N 3097-У)
банком-заемщиком величина кредитного риска на контрагента по возврату ценных бумаг, переданных без прекращения признания;
банком-кредитором величина кредитного риска на контрагента по возврату денежных средств.
Величина требования по возврату ценных бумаг, взвешенного по уровню риска, определяется банком-заемщиком как сумма обеспеченной части требования по возврату ценных бумаг, взвешенная на коэффициент риска по соответствующему обеспечению, и необеспеченной части требования по возврату ценных бумаг, взвешенная на максимальный коэффициент риска, из установленных пунктом 2.3 настоящей Инструкции в отношении контрагента или эмитента ценной бумаги. При этом при расчете величины активов, взвешенных по уровню риска, в расчет не включаются вложения в акции и долговые ценные бумаги, переданные без прекращения признания (включая операции с ценными бумагами, ранее полученными на возвратной основе без первоначального признания) по сделкам, совершаемым на возвратной основе. (в ред. Указания ЦБ РФ от 25.10.2013 N 3097-У)
По сделкам, совершаемым на возвратной основе с ценными бумагами, переданными без прекращения признания, по которым рассчитывается рыночный риск в соответствии с Положением Банка России N 313-П (с 1 февраля 2013 года в соответствии с Положением Банка России N 387-П), а также по операциям с ценными бумагами, ранее полученными на возвратной основе без первоначального признания, необеспеченная часть требования по возврату ценных бумаг банком-заемщиком взвешивается на коэффициент риска, установленный пунктом 2.3 настоящей Инструкции в отношении контрагента. (в ред. Указания ЦБ РФ от 25.10.2013 N 3097-У)
Величина актива, взвешенного по уровню риска, банком-кредитором определяется как сумма необеспеченной части требования, взвешенная на коэффициент риска на контрагента, и обеспеченной части требования, взвешенной на коэффициент риска, применяемый для взвешивания балансового актива, исполнение обязательств по которому обеспечено залогом ценных бумаг соответствующего эмитента. (в ред. Указания ЦБ РФ от 25.10.2013 N 3097-У)
Под обеспечением по сделкам, совершаемым на возвратной основе с ценными бумагами, переданными без прекращения признания, для банка-заемщика признаются денежные средства, полученные в рамках договоров, удовлетворяющих требованиям подпункта 2.6.1 пункта 2.6 настоящей Инструкции, для банка-кредитора - ценные бумаги, полученные без первоначального признания. (в ред. Указания ЦБ РФ от 25.10.2013 N 3097-У)
В расчет активов, взвешенных по уровню риска, требования принимаются за минусом сформированных резервов в соответствии с Положением Банка России N 254-П и Положением Банка России N 283-П.
Величина риска по требованиям к контрагенту по сделкам, совершаемым на возвратной основе с ценными бумагами, переданными без прекращения признания, определяется на основании остатков по счетам учета ценных бумаг, переданных без прекращения признания, а также остатков по счетам учета прочих размещенных средств в части требований по возврату ценных бумаг, переданных без прекращения признания, с учетом переоценки указанных требований.
2.3.29. В целях настоящей Инструкции кредитные требования и требования по получению начисленных (накопленных) процентов к контрагенту по сделке, по которой исполнение обязательств перед банком по данной сделке (за исключением требований по синдицированным кредитам, аккредитивам, ипотечным ценным бумагам) зависит от исполнения обязательств третьим лицом (третьими лицами) - конечным получателем (конечными получателями) денежных средств (актива) (далее - третье лицо (третьи лица), взвешиваются на максимальный коэффициент риска из установленных пунктом 2.3 настоящей Инструкции в отношении контрагента или третьего лица (третьих лиц). Требования настоящего пункта реализуются с использованием кодов 8886.К, 8887.К, 8888.Т, 8889.Т, 8890. (в ред. Указания ЦБ РФ от 25.10.2013 N 3097-У)
2.3.30. Существенные вложения банка в обыкновенные акции (доли) отдельного юридического лица, не являющегося финансовой организацией (за исключением вложений со сроком нахождения на балансе до 5 рабочих дней), в части, превышающей 15 процентов от величины собственных средств (капитала) банка (лимит индивидуальных вложений), а также существенные совокупные вложения банка в обыкновенные акции (доли) юридических лиц, не являющихся финансовыми организациями (за исключением вложений со сроком нахождения на балансе до 5 рабочих дней), в части, превышающей 60 процентов от величины собственных средств (капитала) банка (лимит совокупных вложений), включаются в расчет активов, взвешенных по уровню риска, в соответствии с порядком, предусмотренным кодами 8880 и 8881. (в ред. Указания ЦБ РФ от 25.10.2013 N 3097-У)
В целях определения критерия существенности в расчет величины вложений банка в обыкновенные акции (доли) юридического лица (юридических лиц), не являющегося финансовой организацией (не являющихся финансовыми организациями), включаются в том числе вложения в обыкновенные акции, по которым рассчитывается рыночный риск. (в ред. Указания ЦБ РФ от 25.10.2013 N 3097-У)
В расчет величины вложений банка в обыкновенные акции юридического лица (юридических лиц), не являющегося финансовой организацией (не являющихся финансовыми организациями), не включаются вложения в акции, ранее полученные на возвратной основе без первоначального признания. (в ред. Указания ЦБ РФ от 25.10.2013 N 3097-У)
Понятие вложений в обыкновенные акции (доли) юридического лица (юридических лиц), не являющегося финансовой организацией (не являющихся финансовыми организациями), применяется в значении понятия вложений в акции финансовых организаций, предусмотренного подпунктом 2.2.9 пункта 2 Положения Банка России N 395-П. (в ред. Указания ЦБ РФ от 25.10.2013 N 3097-У)
В случае если сумма, рассчитанная по коду 8880, превышает величину вложений в акции (доли), по которым не рассчитывается рыночный риск, величина превышения относится в уменьшение вложений в акции, по которым рассчитывается рыночный риск. (в ред. Указания ЦБ РФ от 30.05.2014 N 3268-У)
2.3.31. Существенные вложения банка в обыкновенные акции (доли) финансовой организации в значении, определенном подпунктом 2.2.9.2 пункта 2 Положения Банка России N 395-П (за исключением вложений со сроком нахождения на балансе до 5 рабочих дней, а также вложений, являющихся частью мероприятий, проводимых в рамках реализации согласованного Банком России плана мер по финансовому оздоровлению кредитной организации в соответствии с Федеральным законом от 25 февраля 1999 года N 40-ФЗ "О несостоятельности (банкротстве) кредитных организаций" (Собрание законодательства Российской Федерации, 1999, N 9, ст. 1097; 2001, N 26, ст. 2590; 2002, N 12, ст. 1093; 2004, N 31, ст. 3220; N 34, ст. 3536; 2006, N 52, ст. 5497; 2007, N 1, ст. 10; N 49, ст. 6064; 2008, N 30, ст. 3616; N 52, ст. 6225; 2009, N 18, ст. 2153; N 29, ст. 3632; 2011, N 7, ст. 905; N 27, ст. 3873; N 48, ст. 6728; N 50, ст. 7351; 2012, N 31, ст. 4333; 2013, N 27, ст. 3438; 2014, N 19, ст. 2317) (далее - Федеральный закон "О несостоятельности (банкротстве) кредитных организаций") и (или) реализации согласованного Банком России плана мер по предупреждению банкротства банков, являющихся участниками системы обязательного страхования вкладов физических лиц в банках Российской Федерации, проводимых государственной корпорацией "Агентство по страхованию вкладов" в соответствии с Федеральным законом от 27 октября 2008 года N 175-ФЗ "О дополнительных мерах для укрепления стабильности банковской системы в период до 31 декабря 2014 года" (Собрание законодательства Российской Федерации, 2008, N 44, ст. 4981; 2009, N 29, ст. 3630; 2011, N 49, ст. 7059; 2013, N 19, ст. 2308) (далее - Федеральный закон "О дополнительных мерах для укрепления стабильности банковской системы в период до 31 декабря 2014 года") и (или) отложенные налоговые активы, не зависящие от прибыли кредитной организации, включаются в расчет кодов 8878.А и 8878.Н в следующем порядке. (в ред. Указания ЦБ РФ от 30.05.2014 N 3268-У)
Существенные вложения в обыкновенные акции (доли) финансовой организации включаются в расчет кода 8878.А в сумме существенных вложений в обыкновенные акции (доли) финансовой организации, по которым не рассчитывается рыночный риск, уменьшенной на сумму двух величин, рассчитанных (без учета требований подпункта 8.1 пункта 8 Положения Банка России N 395-П) в соответствии с: (в ред. Указаний ЦБ РФ от 25.10.2013 N 3097-У, от 30.05.2014 N 3268-У)
подпунктом 2.2.9.2 пункта 2 Положения Банка России N 395-П в части пропорциональной удельному весу вложений в акции (доли), по которым не рассчитывается величина рыночного риска, в общем объеме вложений в акции (доли) финансовой организации; (в ред. Указания ЦБ РФ от 25.10.2013 N 3097-У)
подпунктом 2.2.9.3 пункта 2 Положения Банка России N 395-П в части показателя, уменьшающего базовый капитал банка, относящейся к существенным вложениям в обыкновенные акции (доли) и пропорциональной удельному весу вложений в акции (доли), по которым не рассчитывается величина рыночного риска, в общей сумме вложений в акции (доли) финансовой организации и отложенных налоговых активов. (в ред. Указания ЦБ РФ от 25.10.2013 N 3097-У)
В расчет кода 8878.Н отложенные налоговые активы включаются за минусом суммы двух величин, рассчитанных (без учета требований подпункта 8.1 пункта 8 Положения Банка России N 395-П) в соответствии с: (в ред. Указания ЦБ РФ от 25.10.2013 N 3097-У)
подпунктом 2.2.3 пункта 2 Положения Банка России N 395-П в части показателя, уменьшающего базовый капитал банка; (в ред. Указания ЦБ РФ от 25.10.2013 N 3097-У)
подпунктом 2.2.9.3 пункта 2 Положения Банка России N 395-П в части показателя, уменьшающего базовый капитал банка, пропорциональной удельному весу отложенных налоговых активов в общей сумме вложений в акции (доли) финансовой организации и отложенных налоговых активов. (в ред. Указания ЦБ РФ от 25.10.2013 N 3097-У)
2.3.32. Вложения в акции (доли), по которым не рассчитывается величина рыночного риска, включаются в расчет кодов 8825.1, 8825.2 и 8825.0 в сумме, уменьшенной: (в ред. Указания ЦБ РФ от 25.10.2013 N 3097-У)
на величину вложений, рассчитанных по кодам 8878.А и 8880; (в ред. Указания ЦБ РФ от 25.10.2013 N 3097-У)
на величину вложений в акции (доли) финансовой организации, уменьшающих источники базового капитала, добавочного капитала и дополнительного капитала в соответствии с подпунктами 2.2.9 и 2.4.3 пункта 2, подпунктом 3.2.3 пункта 3 Положения Банка России N 395-П и пропорциональных удельному весу вложений в акции (доли), по которым не рассчитывается величина рыночного риска, в общем объеме вложений в акции (доли) финансовой организации и (или) в общем объеме вложений в акции (доли) финансовой организации и отложенных налоговых активов; (в ред. Указания ЦБ РФ от 25.10.2013 N 3097-У)
на величину вложений в акции (доли), уменьшающих источники основного капитала в соответствии с подпунктом 2.4 пункта 2 приложения к Положению Банка России N 395-П (с учетом требований подпункта 8.1.1 пункта 8 Положения Банка России N 395-П) и пропорциональных удельному весу вложений в акции (доли), по которым не рассчитывается величина рыночного риска, в общем объеме вложений в акции (доли). (в ред. Указания ЦБ РФ от 25.10.2013 N 3097-У)
2.3.33. В расчет активов, взвешенных по уровню риска, остатки по балансовым счетам N 47410 "Требования по аккредитивам с нерезидентами" и N 47431 "Требования по аккредитивам" включаются в части сумм требований к плательщикам (гарантам) по исполненным аккредитивам. (в ред. Указания ЦБ РФ от 30.05.2014 N 3268-У)
2.4. При определении в целях расчета нормативов достаточности капитала банка величины кредитного риска по кредитным требованиям и требованиям по получению начисленных (накопленных) процентов и производным финансовым инструментам, которые обеспечены соответствующими способами исполнения обязательств заемщика (контрагента), банк вправе принять решение (пересмотреть) (не чаще чем один раз в год) о применении одного из подходов, предусмотренных в пунктах 2.3 и 2.6 настоящей Инструкции в отношении активов и производных финансовых инструментов, указанных в пункте 2.6 настоящей Инструкции. (в ред. Указания ЦБ РФ от 25.10.2013 N 3097-У)
Банки могут применять один из возможных подходов к снижению кредитного риска по обеспеченным кредитным требованиям и требованиям по получению начисленных (накопленных) процентов и производным финансовым инструментам.
2.5. Информация о принятии (пересмотре) уполномоченным органом банка решения о применении одного из подходов к снижению кредитного риска по обеспеченным кредитным требованиям и требованиям по получению начисленных (накопленных) процентов, а также производным финансовым инструментам, предусмотренных в пунктах 2.3 и 2.6 настоящей Инструкции, доводится банком до территориального учреждения Банка России, осуществляющего надзор за его деятельностью в письменном виде в течение семи рабочих дней с даты принятия решения. Информация об используемом при расчете нормативов достаточности капитала банка подходе должна содержаться в примечаниях к публикуемой форме отчетности 0409813 "Сведения об обязательных нормативах (публикуемая форма)" и форме отчетности 0409135 "Информация об обязательных нормативах и о других показателях деятельности кредитной организации", установленных Указанием Банка России от 12 ноября 2009 года N 2332-У "О перечне, формах и порядке составления и представления форм отчетности кредитных организаций в Центральный банк Российской Федерации", зарегистрированным Министерством юстиции Российской Федерации 16 декабря 2009 года N 15615, 18 июня 2010 года N 17590, 22 декабря 2010 года N 19313, 20 июня 2011 года N 21060, 16 декабря 2011 года N 22650, 10 июля 2012 года N 24863, 20 сентября 2012 года N 25499 ("Вестник Банка России" от 25 декабря 2009 года N 75 - 76, от 25 июня 2010 года N 35, от 28 декабря 2010 года N 72, от 28 июня 2011 года N 34, от 23 декабря 2011 года N 73, от 19 июля 2012 года N 41, от 26 сентября 2012 года N 58) (далее - Указание Банка России N 2332-У). (в ред. Указания ЦБ РФ от 25.10.2013 N 3097-У)
Банк вправе до 1 января 2014 года не оценивать кредитные требования и требования по получению начисленных (накопленных) процентов, а также риски по производным финансовым инструментам в соответствии с порядком, изложенным в пункте 2.6 настоящей Инструкции, в отношении активов и производных финансовых инструментов, отраженных на его балансе до даты принятия уполномоченным органом банка решения об использовании данного подхода.
2.6. Кредитные требования и требования по получению начисленных (накопленных) процентов, указанные в подпункте 2.6.1 настоящего пункта и приложении 3 к настоящей Инструкции, по которым предоставлено обеспечение из числа указанных в подпункте 2.6.2 настоящего пункта, включаются в расчет нормативов достаточности капитала банка за вычетом сформированных резервов на возможные потери или резервов на возможные потери по ссудам, по ссудной и приравненной к ней задолженности. Банки вправе в соответствии с порядком, определенным пунктом 2.5 настоящей Инструкции, оценивать кредитные требования и требования по получению начисленных (накопленных) процентов, указанные в подпункте 2.6.1 настоящего пункта и приложении 3 к настоящей Инструкции. (в ред. Указания ЦБ РФ от 25.10.2013 N 3097-У)
2.6.1. Расчет стоимости активов (кредитных требований и требований по получению начисленных (накопленных) процентов), возникших из договоров репо, определенных статьей 51.3 Федерального закона "О рынке ценных бумаг", заключенных в том числе на условиях генерального соглашения (единого договора) и удовлетворяющих правилам пункта 1 статьи 4.1 Федерального закона от 26 октября 2002 года N 127-ФЗ "О несостоятельности (банкротстве)" (Собрание законодательства Российской Федерации, 2002, N 43, ст. 4190; 2004, N 35, ст. 3607; 2005, N 1, ст. 18, ст. 46; 44, ст. 4471; 2006, N 30, ст. 3292; N 52, ст. 5497; 2007, N 7, ст. 834; N 18, ст. 2117; N 30, ст. 3754; N 41, ст. 4845; N 49, ст. 6079; 2008, N 30, ст. 3616; N 49, ст. 5748; 2009, N 1, ст. 4, ст. 14; N 18, ст. 2153; N 29, ст. 3632; N 51, ст. 6160; N 52, ст. 6450; 2010, N 17, ст. 1988; N 31, ст. 4188, ст. 4196; 2011, N 1, ст. 41; N 7, ст. 905; N 19, ст. 2708; N 27, ст. 3880; N 29, ст. 4301; N 30, ст. 4576; N 48, ст. 6728; N 49, ст. 7015, ст. 7024, ст. 7040, ст. 7061, ст. 7068; N 50, ст. 7351, ст. 7357; 2012, N 31, ст. 4333; N 53, ст. 7607; 2013, N 26, ст. 3207; N 27, ст. 3477, ст. 3481; N 30, ст. 4084) (далее - Федеральный закон "О несостоятельности (банкротстве)"), а также требованиям пунктов 3 и (или) 4 статьи 4.1 Федерального закона "О несостоятельности (банкротстве)" (далее - финансовые договоры, включенные в соглашение о неттинге), с учетом обеспечения, указанного в подпункте 2.6.2 настоящего пункта, осуществляется по следующей формуле: (в ред. Указания ЦБ РФ от 25.10.2013 N 3097-У)
- расчетная стоимость кредитного требования и требований по получению начисленных (накопленных) процентов, включаемая в расчет нормативов достаточности капитала банка с коэффициентом риска в зависимости от заемщика (контрагента) в соответствии с подпунктами 2.3.1 - 2.3.5 пункта 2.3 настоящей Инструкции; (в ред. Указания ЦБ РФ от 25.10.2013 N 3097-У)
A - балансовая стоимость кредитного требования и требований по получению начисленных (накопленных) процентов за вычетом резервов на возможные потери или резервов на возможные потери по ссудам, по ссудной и приравненной к ней задолженности - для банка-кредитора; балансовая/текущая (справедливая) стоимость предоставленного обеспечения исполнения обязательств за минусом резервов на возможные потери, сформированные в отношении контрагента по сделке (банка-кредитора либо третьего лица, у которого хранится (находится на счетах) обеспечение в связи с риском невозврата указанного обеспечения) - для банка-заемщика;
C - балансовая/текущая (справедливая) стоимость полученного обеспечения (за исключением коллективного клирингового обеспечения) - для банка-кредитора; сумма обязательств перед банком-кредитором по полученным денежным средствам - для банка-заемщика; (в ред. Указания ЦБ РФ от 25.10.2013 N 3097-У)
- абсолютное значение чистой позиции по ценной бумаге по финансовым договорам с контрагентом, включенным в соглашение о неттинге. Под чистой позицией понимается разница между суммой всех длинных позиций и суммой всех коротких позиций по ценным бумагам по финансовым договорам с контрагентом, включенным в соглашение о неттинге;
- дисконт, применяемый к абсолютной чистой позиции по ценной бумаге;
- абсолютное значение чистой позиции по валюте, отличной от расчетной;
- минимальный дисконт в размере 8 процентов, применяемый при несовпадении валюты расчетов и чистой позиции по валюте. (в ред. Указания ЦБ РФ от 30.05.2014 N 3268-У)
В таблице приведены минимальные значения дисконтов (в процентах) при условии проведения ежедневного перечисления маржи и (или) переоценки кредитного требования и обеспечения (далее - переоценка) и срока реализации залога в десять рабочих дней ().
| Рейтинг долгосрочной кредитоспособности по эмитентам долговых ценных бумаг, присвоенный рейтинговыми агентствами Standard & Poor's или Fitch Ratings/Moody's Investors Service | Срок, оставшийся до погашения (досрочного погашения) | Эмитенты - государства, национальные центральные банки и организации, которым в соответствии с законодательством соответствующих стран предоставлено право осуществлять заимствования от имени государства; международные финансовые организации и международные банки развития, указанные в подпункте 2.3.1 пункта 2.3 настоящей Инструкции | Прочие эмитенты |
| Величина дисконтов | |||
| AAA - AA - / Aaa - Aa3 | не более 1 года | 0,5 | 1,0 |
| от 1 года и до 5 лет | 2,0 | 4,0 | |
| свыше 5 лет | 4,0 | 8,0 | |
| A + - BBB - / A1 - Baa3 | не более 1 года | 1,0 | 2,0 |
| от 1 года и до 5 лет | 3,0 | 6,0 | |
| свыше 5 лет | 6,0 | 12,0 | |
| BB + - BB-/Ba1 - Ba3 | любой | 15,0 | обеспечение не учитывается |
| Золото в слитках в хранилищах банков (абзац третий подпункта 2.6.2 настоящего пункта). | 15,0 | ||
| Долевые ценные бумаги эмитентов, включенные в списки для расчета Индекса ММВБ 50 и (или) Индекса РТС 50 (включая конвертируемые облигации), а также индексов акций, указанных в приложении 7 к настоящей Инструкции. | 50,0 | ||
| (в ред. Указания ЦБ РФ от 25.10.2013 N 3097-У) | |||
| Гарантийный депозит (вклад), первоначальный платеж, прочие периодические платежи и (или) встречные требования, возникшие из договора об обмене депозитами, денежные средства, полученные в рамках договоров репо, удовлетворяющих требованиям настоящего пункта. | 0 | ||
| (в ред. Указания ЦБ РФ от 25.10.2013 N 3097-У) | |||
По активам (обеспечению), не поименованным в таблице, применяется дисконт в размере 100 процентов.
В случае если предоставленное обеспечение включает несколько различных активов, величина дисконта определяется по следующей формуле:
ai - доля актива в общей стоимости обеспечения,
Hi - дисконт, применяемый к данному активу.
2.6.1.1. В случае если срок реализации залога составляет количество рабочих дней (), отличное от десяти, и перечисление маржи и (или) переоценка осуществляются не ежедневно, минимальные значения дисконтов (
) корректируются в зависимости от реальных минимальных сроков реализации залога и периодичности перечисления маржи и (или) переоценки с использованием следующей формулы:
(в ред. Указания ЦБ РФ от 30.05.2014 N 3268-У)
Hi(Hfx) - скорректированные значения дисконтов; (в ред. Указания ЦБ РФ от 30.05.2014 N 3268-У)
- фактическое количество рабочих дней между перечислением маржи и (или) переоценкой. В случае, если перечисление маржи не предполагается в течение срока операции, то в качестве значения
принимается срок от отчетной даты до окончания операции; если предполагается ежедневное перечисление маржи и переоценка, то значение
равно единице;
- минимальный срок реализации залога в зависимости от типа операции;
- минимальное значение дисконта для срока реализации в десять рабочих дней.
Минимальные сроки реализации залога для различных типов операций приведены в таблице:
| Тип операции | Минимальный срок реализации залога ( | Условия |
| Договоры репо | пять рабочих дней | ежедневное перечисление маржи и (или) ежедневная переоценка |
| (в ред. Указания ЦБ РФ от 25.10.2013 N 3097-У) | ||
| Сделки с производными финансовыми инструментами | десять рабочих дней | ежедневное перечисление маржи и (или) ежедневная переоценка |
2.6.1.2. Значение дисконта (Hi) равно нулю по договорам репо с Банком России, субъектами Российской Федерации или муниципальными образованиями Российской Федерации, международными финансовыми организациями, международными банками развития, клиринговыми организациями - резидентами, кредитными организациями, осуществляющими функции центрального контрагента, кредитными организациями - резидентами стран, имеющих страновые оценки "0", "1", или стран с высоким уровнем доходов, являющихся членами ОЭСР и (или) Еврозоны, а также кредитными организациями - резидентами (включая Внешэкономбанк) сроком размещения до 90 календарных дней и при одновременном выполнении следующих условий: (в ред. Указания ЦБ РФ от 25.10.2013 N 3097-У)
обеспечение предоставлено в виде гарантийного депозита (вклада), денежных средств, полученных в рамках договоров репо, уплаченного первоначального платежа, прочими совершенными периодическими платежами, и (или) встречным требованием, возникшим из договора об обмене депозитами, долговыми ценными бумагами Российской Федерации, Банка России, государств или центральных банков стран, имеющих страновые оценки "0", "1", или стран с высоким уровнем доходов, являющихся членами ОЭСР и (или) Еврозоны, и международных финансовых организаций; (в ред. Указания ЦБ РФ от 25.10.2013 N 3097-У)
кредитное требование и обеспечение номинированы в одной и той же валюте;
сделка заключена на срок "овернайт" или договор о ее заключении предусматривает ежедневное перечисление маржи и ежедневную переоценку;
Абзац 5 - Утратил силу. (в ред. Указания ЦБ РФ от 25.10.2013 N 3097-У)
расчеты по сделкам осуществляются в соответствии с обычаями делового оборота;
при наступлении неплатежеспособности или банкротства контрагента (заемщика) у банка существует юридическая возможность для реализации прав, вытекающих из наличия обеспечения по операции, но не более четырех рабочих дней.
2.6.2. Обеспечением по требованиям, указанным в настоящем пункте и приложении 3 к настоящей Инструкции, являются:
долговые ценные бумаги, выпущенные банком-кредитором и находящиеся у последнего в закладе;
золото в слитках в хранилищах банков (в ред. Указания ЦБ РФ от 25.10.2013 N 3097-У)
залог долговых ценных бумаг (в том числе полученных по договорам репо) Российской Федерации, субъектов Российской Федерации или муниципальных образований Российской Федерации, Банка России, правительств или центральных банков стран, имеющих рейтинг долгосрочной кредитоспособности, присвоенный как минимум одним из рейтинговых агентств на уровне не ниже уровня "BB-" по классификации рейтинговых агентств Standard & Poor's или Fitch Ratings, либо "Ba3" по классификации рейтингового агентства Moody's Investors Service, а также организаций, которым в соответствии с законодательством указанных стран предоставлено право осуществлять заимствования от имени государства; международных финансовых организаций и международных банков развития, указанных в подпункте 2.3.1 пункта 2.3 настоящей Инструкции; организаций (резидентов и нерезидентов), имеющих рейтинг долгосрочной кредитоспособности, присвоенный как минимум одним из рейтинговых агентств на уровне не ниже уровня "BBB-" по классификации рейтинговых агентств Standard & Poor's или Fitch Ratings, либо "Baa3" по классификации рейтингового агентства Moody's Investors Service; долевых ценных бумаг организаций-эмитентов, включенных в списки для расчета Индекса ММВБ 50 и (или) Индекса РТС 50 (включая конвертируемые облигации), а также индексов акций, указанных в приложении 7 к настоящей Инструкции; (в ред. Указания ЦБ РФ от 25.10.2013 N 3097-У)
уплаченный первоначальный платеж, прочие совершенные периодические платежи;
встречные требования, возникшие из договора об обмене депозитами, номинированными в одной или разных валютах (золоте, отдельных драгоценных металлах, по которым рассчитывается открытая валютная позиция согласно Инструкции Банка России от 15 июля 2005 года N 124-И "Об установлении размеров (лимитов) открытых валютных позиций, методике их расчета и особенностях осуществления надзора за их соблюдением кредитными организациями", зарегистрированной Министерством юстиции Российской Федерации 5 августа 2005 года N 6889, 26 июня 2007 года N 9703, 6 декабря 2007 года N 10636, 18 мая 2012 года N 24222 ("Вестник Банка России" от 19 августа 2005 года N 44, от 4 июля 2007 года N 38, от 17 декабря 2007 года N 69, от 25 мая 2012 года N 27);
гарантийный депозит (вклад), удовлетворяющий требованиям подпункта 6.2.2 пункта 6.2 Положения Банка России N 254-П, денежные средства, полученные в рамках договоров прямого репо, удовлетворяющих требованиям подпункта 2.6.1 настоящего пункта. (в ред. Указания ЦБ РФ от 25.10.2013 N 3097-У)
Не могут в качестве обеспечения по кредитному требованию и требованию по получению начисленных (накопленных) процентов рассматриваться ценные бумаги, выпущенные контрагентом (заемщиком), а также лицами, аффилированными с контрагентом (заемщиком), а также ценные бумаги, права на которые удостоверены депозитариями, не удовлетворяющими критериям, предусмотренным пунктом 1.2 Указания Банка России N 2732-У.
2.6.3. Для случаев, когда актив (кредитное требование и требование по получению начисленных (накопленных) процентов) обеспечен более чем одним видом обеспечения, расчет стоимости актива (кредитного требования и требования по получению начисленных (накопленных) процентов) с учетом предоставленного обеспечения осуществляется в зависимости от установленной договором о предоставлении обеспечения последовательности его использования для исполнения обязательств.
2.6.4. Сумма (стоимость) предоставленного обеспечения будет приниматься в уменьшение кредитного требования и требования по получению начисленных (накопленных) процентов, в случае если срок действия гарантийного депозита (вклада) и (или) залога, и (или) финансового договора, включенного в соглашение о неттинге, заканчивается не ранее наступления срока исполнения контрагентом (заемщиком) обязательства (обязательств), обеспечиваемого (обеспечиваемых) залогом и (или) гарантийным депозитом (вкладом), и(или) финансовым договором, включенным в соглашение о неттинге.
2.6.5. Итоговое значение стоимости активов (кредитных требований и требований по получению начисленных (накопленных) процентов) после уменьшения на величину суммы (стоимости) предоставленного обеспечения не может превышать соответствующую стоимость активов (кредитных требований и требований по получению начисленных (накопленных) процентов) без учета обеспечения.
2.6.6. Уменьшенная на величину суммы (стоимости) предоставленного обеспечения стоимость активов (кредитных требований и требований по получению начисленных (накопленных) процентов) включается в расчет нормативов достаточности капитала банка с коэффициентом риска в зависимости от заемщика (контрагента) в соответствии с подпунктами 2.3.1 - 2.3.5 пункта 2.3 настоящей Инструкции. (в ред. Указания ЦБ РФ от 25.10.2013 N 3097-У)
При этом сумма требований участников клиринга к расчетным кредитным организациям в части индивидуального клирингового обеспечения, перечисленного для исполнения и (или) обеспечения исполнения обязательств, допущенных к клирингу, и кредитных требований, возникших по результатам клиринга, включается в расчет нормативов достаточности капитала банка с коэффициентом риска в отношении такой кредитной организации в соответствии с пунктом 2.3 настоящей Инструкции. (в ред. Указания ЦБ РФ от 25.10.2013 N 3097-У)
Полученная величина кредитного риска, включаемая в расчет нормативов достаточности капитала банка с коэффициентами риска в зависимости от заемщика (контрагента) в соответствии с подпунктами 2.3.1 - 2.3.3, 2.3.5 пункта 2.3 настоящей Инструкции, не умножается на повышенный коэффициент 1,5. (в ред. Указания ЦБ РФ от 25.10.2013 N 3097-У)
При этом полученная величина кредитного риска в отношении связанных с банком лиц (за исключением кредитных организаций (резидентов и нерезидентов) - участников банковской группы, в состав которой входит банк - кредитор, составляющей консолидированную отчетность для определения рисков, принимаемых на консолидированной основе, которая представляется головной кредитной организацией банковской группы в орган банковского надзора страны пребывания головной кредитной организации (далее - кредитные организации, участники банковской группы, в состав которой входит банк - кредитор)), рассчитанная в соответствии с настоящим пунктом, умножается на коэффициент 1,3 для целей расчета нормативов достаточности капитала банка. (в ред. Указания ЦБ РФ от 25.10.2013 N 3097-У)
Глава 3. Нормативы ликвидности банка
3.1. В целях контроля за состоянием ликвидности банка, то есть его способности обеспечить своевременное и полное выполнение своих денежных и иных обязательств, вытекающих из сделок с использованием финансовых инструментов, устанавливаются нормативы мгновенной, текущей, долгосрочной ликвидности, которые регулируют (ограничивают) риски потери банком ликвидности и определяются как отношение между активами и пассивами с учетом сроков, сумм и типов активов и пассивов, других факторов.
3.2. Норматив мгновенной ликвидности банка (Н2) регулирует (ограничивает) риск потери банком ликвидности в течение одного операционного дня и определяет минимальное отношение суммы высоколиквидных активов банка к сумме обязательств (пассивов) банка по счетам до востребования, скорректированных на величину минимального совокупного остатка средств по счетам физических и юридических лиц (кроме кредитных организаций) до востребования, определяемую в порядке, установленном пунктом 3.6 настоящей Инструкции. Норматив мгновенной ликвидности банка (Н2) рассчитывается по следующей формуле:
Лам - высоколиквидные активы, то есть финансовые активы, которые должны быть получены в течение ближайшего календарного дня и (или) могут быть незамедлительно востребованы банком и (или) в случае необходимости могут быть реализованы банком в целях незамедлительного получения денежных средств, в том числе средства на корреспондентских счетах банка в Банке России, в банках-резидентах, во Внешэкономбанке, в банках стран, имеющих страновые оценки "0", "1", или стран с высоким уровнем доходов, являющихся членами ОЭСР и (или) Еврозоны, в Международном банке реконструкции и развития, Международной финансовой корпорации и Европейском банке реконструкции и развития, средства в кассе банка. Показатель Лам рассчитывается как сумма остатков на счетах N N 30210, 30235, 30413, 30416, 30417 и кодов 8720, 8910, 8921, 8962, 8967, 8969, 8972, уменьшенная на значение кода 8701; (в ред. Указания ЦБ РФ от 25.10.2013 N 3097-У)
Овм - обязательства (пассивы) по счетам до востребования, по которым вкладчиком и (или) кредитором может быть предъявлено требование об их незамедлительном погашении. Показатель Овм рассчитывается как сумма остатков на счетах: N N 301П - 30126, 30220, 30222, 30223, (30227 - 30228), 30230, 30231, 30232, 30236, 30411, 30412, 30414, 30420, 30421, 30601, 30604, 30606, 31201, 31210, 31213, 31214, 31301, 31302, 31310, 31401, 31402, 31410, 31501, 31502, 31601, 31602, 317, 318, 32901, 40101, 40105, 40106, (40108 - 40109), (40110 - 40111), 40116, 402, 40301, 40302, 40312, 404, 405, 406, 407, 408, 40903, 40905, (40907 - 40908), 40909, 40910, 40912, 40913, 41001, 41101, 41201, 41301, 41401, 41501, 41601, 41701, 41801, 41901, 42001, 42101, 42201, 42301, 42309, 42501, 42601, 42609, 42701, 42801, 42901, 43001, 43101, 43201, 43301, 43401, 43501, 43601, 43701, 43801, 43901, 44001, 47403, 47405, 47407, 47416, 47418, 47422, 476, 52301, 52401, 52402, 52403, 52404, 52405, 52406, 60301, 60305, 60307, 60309, 60311, 60313, 60322, код 8721, код 8872, код 8905, код 8916, код 8927, код 8933, код 8937, код 8940, код 8990, - код 8853, - код 8906, - код 8911, - код 8914, - код 8955, - код 8994. Показатель Овм увеличивается на значение кода 8872, код 8885 на следующий рабочий день после возникновения у банка обязанности немедленного досрочного исполнения обязательств по привлеченным средствам или выпущенным ценным бумагам; (в ред. Указания ЦБ РФ от 25.10.2013 N 3097-У)
- величина минимального совокупного остатка средств по счетам физических и юридических лиц (кроме кредитных организаций) до востребования, определенная в порядке, установленном пунктом 3.6 настоящей Инструкции (код 8922).
Минимально допустимое числовое значение норматива Н2 устанавливается в размере 15 процентов.
3.3. Норматив текущей ликвидности банка (Н3) регулирует (ограничивает) риск потери банком ликвидности в течение ближайших к дате расчета норматива 30 календарных дней и определяет минимальное отношение суммы ликвидных активов банка к сумме обязательств (пассивов) банка по счетам до востребования и со сроком исполнения обязательств в ближайшие 30 календарных дней, скорректированных на величину минимального совокупного остатка средств по счетам физических и юридических лиц (кроме кредитных организаций) до востребования и со сроком исполнения обязательств в ближайшие 30 календарных дней, определяемую в порядке, установленном пунктом 3.6 настоящей Инструкции. Норматив текущей ликвидности банка (Н3) рассчитывается по следующей формуле:
Лат - ликвидные активы, то есть финансовые активы, которые должны быть получены банком и (или) могут быть востребованы в течение ближайших 30 календарных дней и (или) в случае необходимости реализованы банком в течение ближайших 30 календарных дней в целях получения денежных средств в указанные сроки. Показатель Лат рассчитывается как сумма высоколиквидных активов (показатель Лам) и остатков на счетах (частей остатков на счетах): N N 30233, 31903, 31904, 32003 (в части, не вошедшей в расчет кода 8910), 32004, 32103, 32104, 32203, 32204, 32303, 32304, 44101, 44102, 44103, 44202, 44203, 44204, 44302, 44303, 44304, 44402, 44403, 44404, 44503, 44603, 44703, 44803, 44903, 45003, 45103, 45203, 45303, 45403, 45502, 45601, 45701, 46002, 46102, 46202, 46302, 46402, 46502, 46602, 46702, 46802, 46902, 47002, 47102, 47202, 47302, 51201, 51202, 51301, 51302, код 8722, код 8848, код 8849, код 8908, код 8950, код 8984, код 8989, код 8995, - код 8702, - код 8706, - код 8938, - код 8987; (в ред. Указания ЦБ РФ от 25.10.2013 N 3097-У)
Овт - обязательства (пассивы) по счетам до востребования, по которым вкладчиком и (или) кредитором может быть предъявлено требование об их незамедлительном погашении, и обязательства банка перед кредиторами (вкладчиками) сроком исполнения обязательств в ближайшие 30 календарных дней. Показатель Овт рассчитывается как сумма остатков на счетах (частей остатков на счетах): N N 30109, 30111, 30116, 30117, 30122, 30123, 30220, 30222, 30223, (30227 - 30228), 30230, 30231, 30232, 30236, 30411, 30412, 30414, 30420, 30421, 30601, 30604, 30606, 31201, 31202, 31203, 31210, 31213, 31214, 31215, 31216, 31301, 31302, 31303, 31304, 31310, 31401, 31402, 31403, 31404, 31410, 31501, 31502, 31503, 31504, 31601, 31602, 31603, 31604, 317, 318, 32901, 40101, 40105, 40106, (40108 - 40109), (40110 - 40111), 40116, 402, 40301, 40302, 40312, 404, 405, 406, 407, 408, 40903, 40905, (40907 - 40908), 40909, 40910, 40911 (за исключением лицевых счетов "Средства, предназначенные для зачисления на счета типа "C"), 40912, 40913, 41001, 41002, 41101, 41102, 41201, 41202, 41301, 41302, 41401, 41402, 41501, 41502, 41601, 41602, 41701, 41702, 41801, 41802, 41901, 41902, 42001, 42002, 42101, 42102, 42201, 42202, 42301, 42302, 42309, 42310, 42501, 42502, 42601, 42602, 42609, 42610, 42701, 42702, 42801, 42802, 42901, 42902, 43001, 43002, 43101, 43102, 43201, 43202, 43301, 43302, 43401, 43402, 43501, 43502, 43601, 43602, 43701, 43702, 43801, 43802, 43901, 43902, 44001, 44002, 47403, 47405, 47407, 47416, 47418, 47422, 476, 52001, 52101, 52201, 52301, 52302, 52401, 52402, 52403, 52404, 52405, 52406, 60301, 60305, 60307, 60309, 60311, 60313, 60322 , 61701, код 8723, код 8872, код 8905, код 8907, код 8916, код 8927, код 8928, код 8933, код 8939, код 8940, код 8990, код 8991, код 8993, - код 8854, - код 8868, - код 8906, - код 8911, - код 8938, - код 8965, - код 8994, - код 8999. (в ред. Указания ЦБ РФ от 25.10.2013 N 3097-У)
- величина минимального совокупного остатка средств по счетам физических и юридических лиц (кроме кредитных организаций) до востребования и со сроком исполнения обязательств в ближайшие 30 календарных дней, определяемая в порядке, установленном пунктом 3.6 настоящей Инструкции (код 8930).
Минимально допустимое числовое значение норматива Н3 устанавливается в размере 50 процентов.
3.4. К высоколиквидным (Лам) и ликвидным (Лат) активам относятся только те финансовые активы банка из числа перечисленных в пунктах 3.2 и 3.3 настоящей Инструкции, в том числе вошедшие в портфели однородных ссуд и однородных требований, которые в соответствии с Положением Банка России N 254-П и Положением Банка России N 283-П относятся к I и II категориям качества. Высоколиквидные и ликвидные активы включаются в расчет нормативов Н2 и Н3 за вычетом расчетного резерва на возможные потери по указанным активам в соответствии с Положением Банка России N 254-П и Положением Банка России N 283-П. Финансовые активы банка, сгруппированные в портфели однородных ссуд и однородных требований, включаются в расчет за вычетом сформированного резерва на возможные потери по данным портфелям в соответствии с Положением Банка России N 254-П и Положением Банка России N 283-П соответственно пропорционально объему активов, входящих в портфели однородных ссуд и однородных требований и включенных в расчет показателей Лам и Лат.
Кроме активов I и II категорий качества в расчет показателей Лам и Лат включаются остатки на балансовых счетах, по которым в связи с отсутствием по ним кредитного риска не предъявляются требования по определению расчетных резервов и формированию резервов на возможные потери в соответствии с Положением Банка России N 254-П и Положением Банка России N 283-П. В расчет показателей Лам и Лат включаются активы, числящиеся на соответствующих балансовых счетах, если они планируются банком к получению в форме, позволяющей отнести их к высоколиквидным и ликвидным активам.
Активы, по которым осуществляется переоценка в порядке, предусмотренном Положением Банка России N 385-П, включаются в расчет показателей Лам и Лат с учетом суммы отрицательной и положительной разниц по переоценке.
3.5. Норматив долгосрочной ликвидности банка (Н4) регулирует (ограничивает) риск потери банком ликвидности в результате размещения средств в долгосрочные активы и определяет максимально допустимое отношение кредитных требований банка с оставшимся сроком до даты погашения свыше 365 или 366 календарных дней, к собственным средствам (капиталу) банка и обязательствам (пассивам) с оставшимся сроком до даты погашения свыше 365 или 366 календарных дней, скорректированным на величину минимального совокупного остатка средств по счетам со сроком исполнения обязательств до 365 календарных дней и счетам до востребования физических и юридических лиц (кроме кредитных организаций), определяемую в порядке, установленном пунктом 3.6 настоящей Инструкции. Норматив долгосрочной ликвидности банка (Н4) рассчитывается по следующей формуле:
(в ред. Указания ЦБ РФ от 25.10.2013 N 3097-У)
Крд - кредитные требования с оставшимся сроком до даты погашения свыше 365 или 366 календарных дней, а также пролонгированные, если с учетом вновь установленных сроков погашения кредитных требований сроки, оставшиеся до их погашения, превышают 365 или 366 календарных дней, за вычетом сформированного резерва на возможные потери по указанным кредитным требованиям в соответствии с Положением Банка России N 254-П и Положением Банка России N 283-П (сумма кодов 8996 и 8724 за минусом кода 8850); (в ред. Указания ЦБ РФ от 25.10.2013 N 3097-У)
ОД - обязательства (пассивы) банка по кредитам и депозитам, полученным банком, за исключением суммы полученного банком субординированного кредита (займа, депозита) в части остаточной стоимости, включенной в расчет собственных средств (капитала) банка, а также по обращающимся на рынке долговым обязательствам банка с оставшимся сроком погашения свыше 365 или 366 календарных дней (сумма кодов 8918, 8949, 8997 и 8725 за минусом кода 8873). Обязательства, отраженные по коду 8873, принимаются в уменьшение показателя ОД на следующий рабочий день после возникновения у банка обязанности досрочного исполнения обязательств по привлеченным средствам или выпущенным ценным бумагам, в части средств, отраженных по коду 8872; (в ред. Указаний ЦБ РФ от 25.10.2013 N 3097-У, от 30.05.2014 N 3268-У)
- величина минимального совокупного остатка средств по счетам со сроком исполнения обязательств до 365 календарных дней и счетам до востребования физических и юридических лиц (кроме кредитных организаций), не вошедшим в расчет показателя ОД, определяемая в порядке, установленном пунктом 3.6 настоящей Инструкции (код 8978).
Максимально допустимое числовое значение норматива Н4 устанавливается в размере 120 процентов.
3.6. Показатели ,
,
определяются как минимальный совокупный остаток средств по счетам юридических (кроме кредитных организаций) и физических лиц, участвующих в расчете кодов 8922, 8930, 8978, предусмотренных приложением 1 к настоящей Инструкции, сложившийся за расчетный период по результатам суммирования остатков по состоянию на первое число каждого месяца расчетного периода в пределах 0,1% средней величины совокупных остатков средств по соответствующим счетам юридических и физических лиц за расчетный период.
Для целей определения показателей ,
,
расчетный период равен 18 месяцам, предшествующим дате расчета.
Показатель определяется как минимальный из
,
,
, где
n - число счетов юридических и физических лиц, участвующих в расчете за расчетный период;
- сумма остатков средств на счетах юридических и физических лиц, принимаемых в расчет по состоянию на первое число i-го месяца расчетного периода,
- j-ый остаток по счету юридического или физического лица из
, где j = 1,2... n.
Расчет показателей ,
осуществляется в порядке, установленном настоящим пунктом для показателя
по остаткам средств на счетах соответствующей срочности.
Банк вправе самостоятельно принять решение (пересмотреть - не чаще чем один раз в год) о включении в расчет нормативов Н2, Н3 и Н4 показателей ,
,
Информация о принятии такого решения уполномоченным органом банка доводится банком до территориального учреждения Банка России, осуществляющего надзор за его деятельностью, в письменном виде в течение семи рабочих дней с даты принятия решения. В случае принятия банком решения не включать в расчет нормативов Н2, Н3 и Н4 показатели
,
,
указанные показатели принимаются в расчет с нулевым значением. Информация об используемом при расчете нормативов Н2, Н3 и Н4 подходе должна содержаться в примечаниях к публикуемой форме отчетности 0409813 "Сведения об обязательных нормативах (публикуемая форма)" и форме отчетности 0409135 "Информация об обязательных нормативах и о других показателях деятельности кредитной организации", установленных Указанием Банка России N 2332-У.
Определение значений остатков средств на соответствующих счетах на каждую отчетную дату расчетного периода осуществляется на основе фактических отраженных в документах бухгалтерского учета данных о величине остатков средств на отдельных лицевых счетах, включаемых в расчет показателей ,
,
В качестве источников данных используется форма отчетности 0409101 "Оборотная ведомость по счетам бухгалтерского учета кредитной организации", установленная Указанием Банка России N 2332-У.
Глава 4. Максимальный размер риска на одного заемщика или группу связанных заемщиков (Н6)
4.1. Норматив максимального размера риска на одного заемщика или группу связанных заемщиков (Н6) регулирует (ограничивает) кредитный риск банка в отношении одного заемщика или группы связанных заемщиков и определяет максимальное отношение совокупной суммы кредитных требований банка к заемщику или группе связанных заемщиков к собственным средствам (капиталу) банка. Норматив максимального размера риска на одного заемщика или группу связанных заемщиков (Н6) рассчитывается по следующей формуле:
(в ред. Указания ЦБ РФ от 25.10.2013 N 3097-У)
Крз - совокупная сумма кредитных требований банка к заемщику, имеющему перед банком обязательства по кредитным требованиям, или группе связанных заемщиков, за вычетом сформированного резерва на возможные потери по указанным кредитным требованиям в соответствии с Положением Банка России N 254-П и Положением Банка России N 283-П.
4.2. В величину Крз в целях расчета норматива Н6 также включаются:
вложения банка в акции (доли), включая те, по которым рассчитывается рыночный риск, и за исключением тех, которые получены по сделкам, совершаемым на возвратной основе, без первоначального признания, а также за исключением тех, которые уменьшают величину собственных средств (капитала) кредитной организации в соответствии с требованиями подпункта 2.4 пункта 2 приложения к Положению Банка России N 395-П, а также уменьшающих сумму источников базового капитала, добавочного капитала и дополнительного капитала, определенных в соответствии с требованиями подпунктов 2.2.9 и 2.4.3 пункта 2, подпункта 3.2.3 пункта 3 Положения Банка России N 395-П; (в ред. Указания ЦБ РФ от 25.10.2013 N 3097-У)
величина кредитного риска по условным обязательствам кредитного характера, рассчитанная в соответствии с приложением 2 к настоящей Инструкции;
величина кредитного риска по производным финансовым инструментам, рассчитанная в соответствии с приложением 3 к настоящей Инструкции; (в ред. Указания ЦБ РФ от 25.10.2013 N 3097-У)
принятые в обеспечение кредитных требований и условных обязательств кредитного характера ценные бумаги, эмитированные (выпущенные) одним или связанными юридическими лицами стран, имеющих страновую оценку "2" и выше; (в ред. Указания ЦБ РФ от 30.05.2014 N 3268-У)
балансовая стоимость финансовых активов, отчужденных банком с одновременным предоставлением приобретателю (контрагенту) права отсрочки платежа, а также требования в отношении продавца (контрагента) по поставке финансовых активов с одновременным предоставлением ему права отсрочки поставки финансовых активов;
требования к контрагенту по возврату денежных средств по сделкам, совершаемым на возвратной основе с ценными бумагами, полученными без первоначального признания; (в ред. Указания ЦБ РФ от 25.10.2013 N 3097-У)
требования к контрагенту по возврату ценных бумаг по сделкам, совершаемым на возвратной основе с ценными бумагами, переданными без прекращения признания, рассчитанные в соответствии с порядком, предусмотренном пунктом 4.4 и приложением 6 к настоящей Инструкции;
стоимость ценных бумаг, переданных без прекращения признания по сделкам, совершаемым на возвратной основе, в соответствии порядком, предусмотренном приложением 6 к настоящей Инструкции;
ценные бумаги, полученные без первоначального признания по сделкам, совершаемым на возвратной основе, в том числе проданные и приобретенные до наступления даты расчетов по обратной части операций, совершаемых на возвратной основе. Указанные ценные бумаги включаются в расчет показателя Крз в порядке, предусмотренном пунктом 4.4 настоящей Инструкции; (в ред. Указания ЦБ РФ от 25.10.2013 N 3097-У)
остатки денежных средств на корреспондентских счетах в кредитных организациях-корреспондентах в части определенных договорами минимальных размеров денежных средств, требуемых к обязательному поддержанию (хранению) на указанных корреспондентских счетах. Указанные остатки также включаются в величину Крз, если при отсутствии в договоре между кредитными организациями условия о минимальном размере денежных средств, требуемых к обязательному поддержанию (хранению) на корреспондентском счете, у банка и (или) Банка России (его территориального учреждения) в соответствии с пунктами 1.3 и (или) 10.3 настоящей Инструкции имеются основания полагать, что подобные обязательства по корреспондентскому счету "НОСТРО" существуют;
остатки денежных средств на клиринговых банковских счетах, открытых клиринговым кредитным организациям и (или) кредитным организациям, осуществляющим функции центрального контрагента, в расчетных кредитных организациях в части средств, перечисленных для обеспечения исполнения обязательств, допущенных к клирингу в качестве коллективного клирингового обеспечения;
остатки денежных средств на счетах участников расчетов в клиринговых организациях и (или) кредитных организациях, осуществляющих функции центрального контрагента, перечисленные для исполнения и (или) обеспечения исполнения обязательств, допущенных к клирингу, а также требования, возникшие по результатам клиринга. (в ред. Указания ЦБ РФ от 25.10.2013 N 3097-У)
4.3. Норматив Н6 рассчитывается по каждому эмитенту, в ценные бумаги которого банком произведены вложения, включая те ценные бумаги, по которым рассчитывается рыночный риск, а также ценные бумаги, переданные в доверительное управление. При этом норматив Н6 рассчитывается отдельно в отношении органов власти каждого из субъектов Российской Федерации и каждого из органов местного самоуправления.
4.4. Норматив Н6 рассчитывается по каждому эмитенту, ценные бумаги которого предоставлены в качестве обеспечения по кредитному требованию и условным обязательствам кредитного характера. Указанное обеспечение принимается в расчет пропорционально величине риска невозврата по кредитному требованию в пределах основного долга (величине риска по условному обязательству), то есть с учетом величины расчетного резерва на возможные потери по данному кредитному требованию (условному обязательству). При этом по обеспечению по кредитному требованию (условному обязательству), отнесенному к I категории качества в соответствии с Положением Банка России N 254-П и (или) Положением Банка России N 283-П, норматив Н6 не рассчитывается.
Независимо от применяемого в целях расчета нормативов достаточности капитала банка подхода, предусмотренного пунктом 2.3 либо пунктом 2.6 настоящей Инструкции, норматив Н6 рассчитывается также по каждому контрагенту по сделкам продажи ценных бумаг, совершаемым на возвратной основе, без прекращения признания. (в ред. Указания ЦБ РФ от 25.10.2013 N 3097-У)
Порядок расчета норматива Н6 банком-кредитором и банком-заемщиком по сделкам купли-продажи ценных бумаг без прекращения признания с обязательством обратной продажи (покупки) ценных бумаг изложен в приложении 6 к настоящей Инструкции.
4.5. Норматив Н6 не рассчитывается:
по эмитенту, ценные бумаги которого приняты в качестве обеспечения по кредитному требованию, если сделка заключена с центральным контрагентом, указанным в коде обозначения 8846 настоящей Инструкции;
по остаткам денежных средств на клиринговых банковских счетах, открытых клиринговым кредитным организациям и (или) кредитным организациям, осуществляющим функции центрального контрагента, в расчетных кредитных организациях, в части средств, перечисленных для исполнения и (или) обеспечения исполнения обязательств, допущенных к клирингу, в качестве индивидуального клирингового обеспечения, а также требования, возникшие по результатам клиринга. (в ред. Указания ЦБ РФ от 25.10.2013 N 3097-У)
4.6. Норматив Н6 рассчитывается по группе связанных заемщиков, являющихся в соответствии со статьей 64 Федерального закона "О Центральном банке Российской Федерации (Банке России)" по отношению друг к другу зависимыми или основными и дочерними.
В целях отнесения хозяйственных обществ к группе связанных заемщиков применяются правила статей 105 и 106 Гражданского кодекса Российской Федерации (Собрание законодательства Российской Федерации, 1994, N 32, ст. 3301).
В иных случаях заемщики - юридические лица включаются в группу связанных заемщиков, если один из заемщиков может оказывать прямо или косвенно (через третьих лиц) существенное влияние на решения, принимаемые органами управления другого заемщика (других заемщиков), или третье лицо, которое может также являться самостоятельным заемщиком, оказывает существенное прямое или косвенное влияние на решения, принимаемые органами управления другого заемщика (других заемщиков). Понятие "существенное влияние" применяется в настоящей Инструкции в значении, определенном в статье 4 Федерального закона "О банках и банковской деятельности".
Норматив Н6 рассчитывается также по группе связанных заемщиков, если заемщики:
входят в состав банковского холдинга, определяемого в соответствии со статьей 4 Федерального закона "О банках и банковской деятельности"; (в ред. Указания ЦБ РФ от 25.10.2013 N 3097-У)
являются близкими родственниками по отношению друг к другу, определенными в качестве таковых Уголовно-процессуальным кодексом Российской Федерации (Собрание законодательства Российской Федерации, 2001, N 52, ст. 4921) (далее - близкие родственники); (в ред. Указания ЦБ РФ от 25.10.2013 N 3097-У)
являются лицами, способными оказывать прямое или косвенное (через третьих лиц) существенное влияние на решения, принимаемые органами управления юридических лиц - заемщиков.
В целях расчета норматива Н6 участие органов государственной власти и органов местного самоуправления в уставном капитале юридических лиц и (или) создание ими юридических лиц на праве хозяйственного ведения (оперативного управления) или ином тождественном правовом режиме, а также участие государственных корпораций, созданных на основании федеральных законов, в уставных капиталах юридических лиц не рассматривается в качестве основания для отнесения к группе связанных заемщиков.
4.7. Все кредитные требования банка к заемщику или группе связанных заемщиков, условные обязательства кредитного характера, производные финансовые инструменты включаются в расчет норматива Н6 с коэффициентом риска в зависимости от заемщика (контрагента) в соответствии с подпунктами 2.3.1 - 2.3.4 пункта 2.3 настоящей Инструкции и кодами 8807, 8847. При этом применяется коэффициент риска, установленный в отношении балансовых активов, размещенных у соответствующего заемщика (контрагента). (в ред. Указания ЦБ РФ от 25.10.2013 N 3097-У)
Кредитные требования банка к заемщику или группе связанных заемщиков, условные обязательства кредитного характера, производные финансовые инструменты, относимые к V группе риска в соответствии с подпунктом 2.3.5 пункта 2.3, пунктом 9 приложения 2 и пунктом 7 приложения 3 к настоящей Инструкции, включаются в расчет норматива Н6 с коэффициентом риска 100 процентов. (в ред. Указания ЦБ РФ от 25.10.2013 N 3097-У)
Кредитные требования участников клиринга к кредитным организациям, осуществляющим функции центрального контрагента, в части коллективного клирингового обеспечения включаются в расчет норматива Н6 с коэффициентом риска 100 процентов. (в ред. Указания ЦБ РФ от 25.10.2013 N 3097-У)
Для целей расчета норматива Н6 банк имеет право в отношении кредитных требований к заемщику или группе связанных заемщиков, исполнение обязательств по которым обеспечено залогом долговых и долевых ценных бумаг (в том числе полученных по сделкам, совершаемым на возвратной основе, без первоначального признания), и (или) гарантийным депозитом (вкладом), и (или) залогом золота в слитках и (или) первоначальным платежом, прочими периодическими платежами, и (или) встречным требованием, возникшим из договора об обмене депозитами, номинированными в одной или разных валютах применять подход, предусмотренный пунктом 2.6 настоящей Инструкции. (в ред. Указания ЦБ РФ от 25.10.2013 N 3097-У)
Для расчета норматива Н6 кредитные требования к контрагенту по сделке, по которой исполнение обязательств перед банком по данной сделке (за исключением требований по синдицированным кредитам, аккредитивам, ипотечным ценным бумагам) зависит от исполнения обязательств третьим лицом (третьими лицами), взвешиваются на максимальный коэффициент риска из установленных пунктом 2.3 настоящей Инструкции в отношении контрагента или третьего лица (третьих лиц). (в ред. Указания ЦБ РФ от 25.10.2013 N 3097-У)
4.8. В величину Крз в целях расчета норматива Н6 не включаются предоставленные кредитным организациям - резидентам субординированные кредиты в части, уменьшающей сумму основного капитала и дополнительного капитала в соответствии с подпунктом 2.4.4 пункта 2, подпунктом 3.2.4 пункта 3 Положения Банка России N 395-П и подпунктом 4.2 пункта 4 приложения к Положению Банка России N 395-П. (в ред. Указания ЦБ РФ от 25.10.2013 N 3097-У)
4.9. Норматив Н6 не рассчитывается в отношении кредитных организаций - участников банковской группы, в состав которой входит банк-кредитор.
4.10. При расчете норматива Н6 остатки по балансовому счету N 47408 "Расчеты по конверсионным операциям, производным финансовым инструментам и прочим договорам (сделкам), по которым расчеты и поставка осуществляются не ранее следующего дня после дня заключения договора (сделки)" и балансовым счетам по учету прочих размещенных средств, возникающие в связи с началом расчетов до наступления срока исполнения производного финансового инструмента, а также связанные с операциями с участием кредитных организаций, осуществляющих функции центрального контрагента, в части их требований к участникам клиринга по уплате возвратных первоначального и (или) периодического платежей, в соответствии с настоящим пунктом включаются в величину Крз в сумме превышения требований над величиной обязательств, соответственно, по каждому производному финансовому инструменту или в сумме превышения требований по уплате возвратных первоначального и (или) периодического платежей над величиной полученного обеспечения (за исключением коллективного клирингового обеспечения). (в ред. Указания ЦБ РФ от 25.10.2013 N 3097-У)
4.11. Норматив Н6 не рассчитывается в отношении требований к Российской Федерации, федеральным органам исполнительной власти и к Банку России.
4.12. Максимально допустимое числовое значение норматива Н6 устанавливается в размере 25 процентов.
Глава 5. Максимальный размер крупных кредитных рисков (Н7)
5.1. Норматив максимального размера крупных кредитных рисков (Н7) регулирует (ограничивает) совокупную величину крупных кредитных рисков банка и определяет максимальное отношение совокупной величины крупных кредитных рисков и размера собственных средств (капитала) банка. Норматив максимального размера крупных кредитных рисков (Н7) рассчитывается по следующей формуле:
(в ред. Указания ЦБ РФ от 25.10.2013 N 3097-У)
- i-тый крупный кредитный риск, за вычетом сформированного резерва на возможные потери по соответствующим кредитным требованиям (условным обязательствам кредитного характера) в соответствии с Положением Банка России N 254-П и Положением Банка России N 283-П, определенный с учетом взвешивания на коэффициент риска, установленный в отношении соответствующих активов в соответствии с пунктом 2.3 настоящей Инструкции (сумма кодов 8998 и 8726 за вычетом кодов 8909 и 8924). Показатель
рассчитывается на основании методики, установленной для расчета показателя Крз главой 4 настоящей Инструкции. В расчет показателя кредитный риск по сделке продажи ценных бумаг, совершаемой на возвратной основе, без прекращения признания, включается в сумме наибольшей из двух величин - кредитного риска по контрагенту по сделке и кредитного риска по эмитенту передаваемых по сделке ценных бумаг, рассчитанных в соответствии с приложением 6 к настоящей Инструкции. (в ред. Указаний ЦБ РФ от 25.10.2013 N 3097-У, от 30.05.2014 N 3268-У)
5.1.1. В целях расчета норматива Н7 требования банка к заемщику, входящему более чем в одну группу связанных заемщиков, подлежат включению в каждую из групп, в которую входит заемщик, для определения, является ли риск банка по группе крупным кредитным риском, и расчета показателя (код 8998). В последующем сумма значения показателя
корректируется кодом 8909 в целях достижения однократного включения в расчет требований банка к заемщику, входящему более чем в одну группу связанных заемщиков. (в ред. Указания ЦБ РФ от 30.05.2014 N 3268-У)
5.1.2. В целях расчета норматива Н7 требования банка по сделкам продажи ценных бумаг, совершаемым на возвратной основе, без прекращения признания (требования к контрагенту по возврату ценных бумаг и требования к эмитенту ценных бумаг, переданных по сделке) подлежат включению, соответственно, в совокупную сумму требований банка к контрагенту и эмитенту для определения, является ли риск банка по контрагенту и эмитенту крупным кредитным риском, и расчета показателя (код 8998). В последующем значение показателя совокупной величины крупных кредитных рисков корректируется кодом 8924 в целях достижения однократного включения в расчет требований банка по сделке в сумме наибольшей из двух величин - кредитного риска по контрагенту по сделке и кредитного риска по эмитенту передаваемых по сделке ценных бумаг, рассчитанных в соответствии с приложением 6 к настоящей Инструкции. (в ред. Указания ЦБ РФ от 30.05.2014 N 3268-У)
5.2. В соответствии со статьей 65 Федерального закона "О Центральном банке Российской Федерации (Банке России)" крупным кредитным риском является сумма кредитов, гарантий и поручительств в пользу одного клиента, превышающая пять процентов собственных средств (капитала) банка.
5.3. Максимально допустимое числовое значение норматива Н7 устанавливается в размере 800 процентов.
Глава 6. Максимальный размер кредитов, банковских гарантий и поручительств, предоставленных банком своим участникам (акционерам) (Н9.1)
6.1. Норматив максимального размера кредитов, банковских гарантий и поручительств, предоставленных банком своим участникам (акционерам) (Н9.1), регулирует (ограничивает) кредитный риск банка в отношении участников (акционеров) банка и определяет максимальное отношение размера кредитов, банковских гарантий и поручительств, предоставленных банком своим участникам (акционерам) к собственным средствам (капиталу) банка. Норматив максимального размера кредитов, банковских гарантий и поручительств, предоставленных банком своим участникам (акционерам) (Н9.1), рассчитывается по следующей формуле:
(в ред. Указания ЦБ РФ от 25.10.2013 N 3097-У)
- величина i-того кредитного требования банка, а также кредитного риска по условным обязательствам кредитного характера, производным финансовым инструментам в отношении участников (акционеров), которые имеют право распоряжаться 5 и более процентами долей (голосующих акций) банка, за вычетом сформированного резерва на возможные потери по указанным кредитным требованиям в соответствии с Положением Банка России N 254-П и Положением Банка России N 283-П, определенная с учетом взвешивания на коэффициенты риска, установленные в отношении соответствующих активов в соответствии с пунктом 2.3 настоящей Инструкции (сумма кодов 8926 и 8727). Показатель
рассчитывается в отношении участников (акционеров) в порядке, установленном главой 4 настоящей Инструкции для показателя Крз. Требования банка к участникам группы связанных заемщиков, не являющимся участниками (акционерами) банка, при расчете Н9.1 не учитываются. (в ред. Указания ЦБ РФ от 25.10.2013 N 3097-У)
6.2. Максимально допустимое числовое значение норматива Н9.1 устанавливается в размере 50 процентов.
Глава 7. Совокупная величина риска по инсайдерам банка (Н10.1)
7.1. Норматив совокупной величины риска по инсайдерам банка (Н10.1) регулирует (ограничивает) совокупный кредитный риск банка в отношении всех физических лиц, способных воздействовать на принятие решения о выдаче кредита банком. (в ред. Указания ЦБ РФ от 25.10.2013 N 3097-У)
Для целей настоящей Инструкции к числу физических лиц, способных воздействовать на принятие решения о выдаче кредита банком, относятся физические лица: (в ред. Указания ЦБ РФ от 25.10.2013 N 3097-У)
являющиеся аффилированными лицами юридического лица в соответствии со статьей 4 Закона РСФСР от 22 марта 1991 года N 948-1 "О конкуренции и ограничении монополистической деятельности на товарных рынках" (Ведомости Съезда народных депутатов РСФСР и Верховного Совета РСФСР, 1991, N 16, ст. 499; Собрание законодательства Российской Федерации, 1995, N 22, ст. 1977; 1998, N 19, ст. 2066; 2002, N 1, ст. 2, N 41, ст. 3969; 2006, N 31, ст. 3434); (в ред. Указания ЦБ РФ от 25.10.2013 N 3097-У)
члены кредитного совета (комитета) банка; (в ред. Указания ЦБ РФ от 25.10.2013 N 3097-У)
главный бухгалтер банка (филиала) (лицо, его замещающее); (в ред. Указания ЦБ РФ от 25.10.2013 N 3097-У)
руководитель филиала банка (лицо, его замещающее); (в ред. Указания ЦБ РФ от 25.10.2013 N 3097-У)
иные сотрудники кредитной организации, способные в силу своего служебного положения воздействовать на принятие решения о выдаче кредита банком. Критерии отнесения сотрудников кредитной организации к лицам, способным воздействовать на принятие решения о выдаче кредита банком, должны быть определены во внутренних документах кредитной организации; (в ред. Указания ЦБ РФ от 25.10.2013 N 3097-У)
близкие родственники лиц, перечисленных в абзацах третьем - седьмом настоящего пункта. (в ред. Указания ЦБ РФ от 25.10.2013 N 3097-У)
7.2. Норматив Н10.1 определяет максимальное отношение совокупной суммы кредитных требований к инсайдерам к собственным средствам (капиталу) банка. Норматив совокупной величины риска по инсайдерам банка (Н10.1) рассчитывается по следующей формуле:
(в ред. Указания ЦБ РФ от 25.10.2013 N 3097-У)
- величина i-того кредитного требования к инсайдеру банка, кредитного риска по условным обязательствам кредитного характера, производным финансовым инструментам, заключенным с инсайдером за вычетом сформированного резерва на возможные потери по указанным кредитным требованиям в соответствии с Положением Банка России N 254-П и Положением Банка России N 283-П, определенная с учетом взвешивания на коэффициенты риска, установленные в отношении соответствующих активов в соответствии с пунктом 2.3 настоящей Инструкции. Показатель
рассчитывается в отношении инсайдеров банка в порядке, установленном главой 4 настоящей Инструкции для показателя Крз, (сумма кодов 8925 и 8728). Требования банка к участникам группы связанных заемщиков, не являющимся инсайдерами банка, при расчете Н10.1 не учитываются. Требования банка к лицам, которые на момент возникновения обязательств перед банком относились к лицам, способным воздействовать на принятие решения о выдаче кредита банком, и не исполнившие обязательства на день, когда они перестали к ним относиться, включаются в расчет норматива Н10.1 до момента исполнения обязательств перед банком. (в ред. Указания ЦБ РФ от 25.10.2013 N 3097-У)
7.3. Максимально допустимое числовое значение норматива Н10.1 устанавливается в размере 3 процентов.
Глава 8. Норматив использования собственных средств (капитала) банка для приобретения акций (долей) других юридических лиц (Н12)
8.1. Норматив использования собственных средств (капитала) банка для приобретения акций (долей) других юридических лиц (Н12) регулирует (ограничивает) совокупный риск вложений банка в акции (доли) других юридических лиц и определяет максимальное отношение сумм, инвестируемых банком на приобретение акций (долей) других юридических лиц, к собственным средствам (капиталу) банка. Норматив использования собственных средств (капитала) банка для приобретения акций (долей) других юридических лиц (Н12) рассчитывается по следующей формуле:
(в ред. Указания ЦБ РФ от 25.10.2013 N 3097-У)
- величина i-той инвестиции банка в акции (доли) других юридических лиц за вычетом сформированного резерва на возможные потери по указанным инвестициям. Показатель
рассчитывается как сумма остатков по кодам 8729, 8919, 8963, - 8920, - 8982. (в ред. Указания ЦБ РФ от 25.10.2013 N 3097-У)
8.2. В расчет норматива Н12 включаются вложения банка в акции (доли) юридических лиц, приобретаемых с целью получения инвестиционного дохода или с иными целями, за исключением получения прибыли от реализации в краткосрочной перспективе, в том числе переданных в доверительное управление, за исключением вложений: (в ред. Указания ЦБ РФ от 25.10.2013 N 3097-У)
по которым рассчитывается рыночный риск; (в ред. Указания ЦБ РФ от 25.10.2013 N 3097-У)
уменьшающих показатели достаточности капитала банка в соответствии с подпунктом 2.4 пункта 2 приложения к Положению Банка России N 395-П, а также уменьшающих сумму источников базового капитала, добавочного капитала и дополнительного капитала, определенных в соответствии с требованиями подпунктов 2.2.9 и 2.4.3 пункта 2, подпункта 3.2.3 пункта 3 Положения Банка России N 395-П; (в ред. Указания ЦБ РФ от 25.10.2013 N 3097-У)
составляющих менее 5 процентов уставного капитала организации (участником (акционером) которой является банк), зарегистрированного в установленном порядке на дату расчета собственных средств (капитала) банка; (в ред. Указания ЦБ РФ от 25.10.2013 N 3097-У)
в ценные бумаги, полученные по сделкам без первоначального признания. (в ред. Указания ЦБ РФ от 25.10.2013 N 3097-У)
8.3. Максимально допустимое числовое значение норматива Н12 устанавливается в размере 25 процентов.
Глава 9. Порядок применения банками настоящей Инструкции
9.1. Банки обязаны соблюдать установленные настоящей Инструкцией обязательные нормативы ежедневно.
Нарушение банком числового значения обязательного норматива по состоянию на любой операционный день является несоблюдением обязательного норматива.
9.2. Банки ежемесячно по состоянию на первое число каждого месяца представляют в территориальные учреждения Банка России, осуществляющие надзор за их деятельностью, сведения о расчете обязательных нормативов и их значениях по форме отчетности 0409135 "Информация об обязательных нормативах и о других показателях деятельности кредитной организации" и по форме отчетности 0409118 "Данные о концентрации кредитного риска", установленным Указанием Банка России N 2332-У.
В случае если на основании пункта 1.3 настоящей Инструкции в расчет обязательного норматива (нормативов), определенный настоящей Инструкцией, банком вносятся изменения, одновременно с формами отчетности 0409135 и 0409118 банк представляет пояснительную записку с изложением примененного расчета норматива.
9.3. Банк обязан по требованию Банка России и (или) территориального учреждения Банка России, осуществляющего надзор за его деятельностью, представлять сведения о расчете обязательных нормативов и их значениях на внутримесячную дату (даты) по формам отчетности 0409135 "Информация об обязательных нормативах и о других показателях деятельности кредитной организации" и 0409118 "Данные о концентрации кредитного риска", а также форму отчетности 0409101 "Оборотная ведомость по счетам бухгалтерского учета кредитной организации" и форму отчетности 0409123 "Расчет собственных средств (капитала) ("Базель III")". (в ред. Указания ЦБ РФ от 25.10.2013 N 3097-У)
Способ контроля за ежедневным соблюдением обязательных нормативов определяется банком самостоятельно с учетом требований Положения Банка России от 16 декабря 2003 года N 242-П "Об организации внутреннего контроля в кредитных организациях и банковских группах", зарегистрированного Министерством юстиции Российской Федерации 27 января 2004 года N 5489, 22 декабря 2004 года N 6222, 20 марта 2009 года N 13547 ("Вестник Банка России" от 4 февраля 2004 года N 7, от 31 декабря 2004 года N 74, от 1 апреля 2009 года N 21).
Расчет обязательных нормативов осуществляется в обязательном порядке в случаях, когда территориальное учреждение Банка России требует представления расчета нормативов на внутримесячную дату (даты).
В случае предъявления Банком России и (или) территориальным учреждением Банка России требования о представлении расчета обязательных нормативов на внутримесячную дату (даты) все показатели, участвующие в расчете обязательных нормативов, в том числе показатель собственных средств (капитала) и величина резервов, рассчитываются на дату расчета обязательных нормативов.
Если на внутримесячную дату (даты) банком нарушен обязательный норматив и (или) банком, субординированные инструменты которого содержат условия о прекращении обязательств или конвертации в обыкновенные акции (доли) в результате снижения норматива базового капитала ниже уровня, установленного подпунктом 2.3.4 пункта 2 Положения Банка России N 395-П, допускается данное снижение, информация об этом с указанием норматива, по которому допущено нарушение установленного настоящей Инструкцией числового значения и (или) снижение ниже уровня, установленного Положением Банка России N 395-П, и даты (дат), за которую (которые) он был нарушен (снижен), представляется банком в составе формы отчетности 0409135 "Информация об обязательных нормативах и о других показателях деятельности кредитной организации", и формы отчетности 0409118 "Данные о концентрации кредитного риска", представляемых по состоянию на первое число месяца, следующего за отчетным. (в ред. Указания ЦБ РФ от 25.10.2013 N 3097-У)
9.5. Банки осуществляют расчет обязательных нормативов, установленных настоящей Инструкцией, в процентах с одним знаком после запятой (округление до одного десятичного знака после запятой осуществляется по математическим правилам).
Глава 10. Особенности осуществления надзора Банком России за соблюдением банками обязательных нормативов, установленных настоящей Инструкцией
10.1. Территориальные учреждения Банка России осуществляют надзор за соблюдением банками обязательных нормативов на основании:
данных, полученных в составе форм отчетности 0409101 "Оборотная ведомость по счетам бухгалтерского учета кредитной организации", 0409123 "Расчет собственных средств (капитала) ("Базель III")", 0409135 "Информация об обязательных нормативах и о других показателях деятельности кредитной организации" и 0409118 "Данные о концентрации кредитного риска", установленных Указанием Банка России N 2332-У; (в ред. Указания ЦБ РФ от 25.10.2013 N 3097-У)
данных проверок, осуществляемых Банком России (его уполномоченными представителями) в соответствии со статьей 73 Федерального закона от 10 июля 2002 года N 86-ФЗ "О Центральном банке Российской Федерации (Банке России)";
данных отчетности, представленной банком по требованию Банка России и (или) территориального учреждения Банка России, осуществляющего надзор за деятельностью банка, на внутримесячную (внутримесячные) дату (даты) по формам отчетности 0409101 "Оборотная ведомость по счетам бухгалтерского учета кредитной организации", 0409123 "Расчет собственных средств (капитала) ("Базель III")", 0409135 "Информация об обязательных нормативах и о других показателях деятельности кредитной организации" и 0409118 "Данные о концентрации кредитного риска"; (в ред. Указания ЦБ РФ от 25.10.2013 N 3097-У)
информации о величине кредитного риска по условным обязательствам кредитного характера по форме, приведенной в пункте 12 приложения 2 к настоящей Инструкции, представляемой банком по запросу территориального учреждения Банка России;
информации о величине кредитного риска по производным финансовым инструментам по форме, приведенной в пункте 10 приложения 3 к настоящей Инструкции, представляемой банком по запросу территориального учреждения Банка России; (в ред. Указания ЦБ РФ от 25.10.2013 N 3097-У)
информации о величине риска изменения стоимости кредитного требования в результате ухудшения кредитного качества контрагента по форме, приведенной в пункте 8 приложения 8 к настоящей Инструкции, представляемой банком по запросу территориального учреждения Банка России. (в ред. Указания ЦБ РФ от 25.10.2013 N 3097-У)
10.2. Отчетность на внутримесячную дату (даты) представляется в следующие сроки:
банками, не имеющими филиалов, - не позднее чем через три рабочих дня после предъявления требования о представлении отчетности Банком России,
банками, имеющими филиалы (за исключением многофилиальных банков), - не позднее чем через четыре рабочих дня после предъявления требования о представлении отчетности Банком России;
многофилиальными банками - не позднее чем через 10 рабочих дней после предъявления требования о представлении отчетности Банком России.
10.3. В целях контроля за рисками, принимаемыми банками, территориальные учреждения Банка России в соответствии с пунктом 1.3 настоящей Инструкции на основании профессионального суждения, формируемого в ходе осуществления надзора (документарного анализа и (или) проверок), и по результатам предварительных консультаций с Банком России предъявляют банку требование о включении в расчет (исключении из расчета) обязательных нормативов активов и (или) обязательств в соответствии с пунктом 1.3 настоящей Инструкции, включая требование об уточнении состава кодов (расшифровок), приведенных в приложении 1 к настоящей Инструкции. Территориальное учреждение Банка России направляет в Банк России информацию о предъявлении требования в составе формы отчетности 0409637 "Информация о примененных мерах воздействия, предъявленных требованиях, поступивших от уполномоченных лиц заявлениях об отзыве у кредитной организации лицензии на осуществление банковских операций, а также осуществлении кредитной организацией по ее инициативе мер по предупреждению банкротства", установленной нормативным актом Банка России о перечне, формах, правилах и порядке составления и представления отчетности структурными подразделениями Банка России в Центральный банк Российской Федерации.
10.4. Банк России может применять к банкам принудительные меры воздействия в случае несоблюдения обязательного норматива в совокупности за шесть и более операционных дней в течение любых 30 последовательных операционных дней.
Глава 11. Об основаниях и порядке установления контрольных значений обязательных нормативов
11.1. Территориальные учреждения Банка России могут устанавливать банкам по их ходатайствам контрольные значения обязательных нормативов в случае их нарушения (в том числе прогнозируемого) по основаниям, перечисленным в пункте 11.2 настоящей Инструкции, при условии, что имеется прямая причинно-следственная связь между возникновением основания и невыполнением банком соответствующего норматива. Под установлением контрольных значений обязательных нормативов понимается установление значений обязательных нормативов на квартальные даты, которое позволяет обеспечить равномерное приведение значений нарушенных обязательных нормативов к требуемому (нормативному) значению. При нарушении контрольных значений обязательных нормативов принудительные меры воздействия применяются к банкам в соответствии с пунктом 10.4 настоящей Инструкции.
11.2. Основанием для установления банкам, не выполнившим обязательные нормативы, установленные настоящей Инструкцией, контрольных значений обязательных нормативов могут являться:
изменение Банком России методики расчета обязательных нормативов;
изменение Банком России методики расчета собственных средств (капитала);
изменение Банком России методики формирования резервов на возможные потери и резерва на возможные потери по ссудам, по ссудной и приравненной к ней задолженности;
уточнения (расширения) в законодательстве Российской Федерации или в нормативных актах Банка России состава групп связанных заемщиков и (или) заемщиков, связанных с банком;
изменения состава акционеров и инсайдеров;
возникновение отсутствовавших на момент заключения договоров с заемщиками оснований для отнесения заемщиков к группе связанных заемщиков и (или) для отнесения заемщиков к связанным с банком лицам.
11.3. Установление контрольных значений обязательных нормативов осуществляется в следующем порядке.
В случае нарушения (в том числе прогнозируемого) обязательных нормативов по основаниям, перечисленным в пункте 11.2 настоящей Инструкции, банк может направить в территориальное учреждение Банка России, осуществляющее надзор за его деятельностью, ходатайство, составленное в произвольной форме и подписанное единоличным исполнительным органом банка либо его заместителем, уполномоченными подписывать отчетность, главным бухгалтером либо другим лицом, его замещающим.
Территориальное учреждение Банка России рассматривает ходатайство банка и в течение десяти рабочих дней направляет банку информацию о принятом решении. В случае, если это решение является положительным, территориальное учреждение Банка России направляет банку также информацию о контрольных значениях обязательных нормативов и сроке, на который они устанавливаются.
Срок, на который территориальным учреждением Банка России устанавливаются банку контрольные значения обязательных нормативов, не может превышать одного календарного года.
Глава 12. Заключительные положения
12.1. Настоящая Инструкция подлежит опубликованию в "Вестнике Банка России" и вступает в силу с 1 января 2013 года.
12.2. Со дня вступления в силу настоящей Инструкции признать утратившими силу:
Инструкцию Банка России от 16 января 2004 года N 110-И "Об обязательных нормативах банков", зарегистрированную Министерством юстиции Российской Федерации 6 февраля 2004 года N 5529 ("Вестник Банка России" от 11 февраля 2004 года N 11);
Указание Банка России от 13 августа 2004 года N 1489-У "О внесении изменений в Инструкцию Банка России от 16 января 2004 года N 110-И "Об обязательных нормативах банков", зарегистрированное Министерством юстиции Российской Федерации 27 августа 2004 года N 5997 ("Вестник Банка России" от 8 сентября 2004 года N 53);
Указание Банка России от 18 февраля 2005 года N 1549-У "О внесении изменений в Инструкцию Банка России от 16 января 2004 года N 110-И "Об обязательных нормативах банков", зарегистрированное Министерством юстиции Российской Федерации 14 марта 2005 года N 6391 ("Вестник Банка России" от 13 апреля 2005 года N 19);
Указание Банка России от 6 июля 2005 года N 1592-У "О внесении изменений в Инструкцию Банка России от 16 января 2004 года N 110-И "Об обязательных нормативах банков", зарегистрированное Министерством юстиции Российской Федерации 28 июля 2005 года N 6833 ("Вестник Банка России" от 10 августа 2005 года N 40);
Указание Банка России от 29 июля 2005 года N 1599-У "О внесении изменений в Инструкцию Банка России от 16 января 2004 года N 110-И "Об обязательных нормативах банков", зарегистрированное Министерством юстиции Российской Федерации 19 августа 2005 года N 6926 ("Вестник Банка России" от 31 августа 2005 года N 46);
Указание Банка России от 20 марта 2006 года N 1672-У "О внесении изменений в Инструкцию Банка России от 16 января 2004 года N 110-И "Об обязательных нормативах банков", зарегистрированное Министерством юстиции Российской Федерации 25 апреля 2006 года N 7740 ("Вестник Банка России" от 4 мая 2006 года N 26);
Указание Банка России от 14 июня 2007 года N 1838-У "О внесении изменений в Инструкцию Банка России от 16 января 2004 года N 110-И "Об обязательных нормативах банков", зарегистрированное Министерством юстиции Российской Федерации 5 июля 2007 года N 9755 ("Вестник Банка России" от 11 июля 2007 года N 39);
Указание Банка России от 13 ноября 2007 года N 1905-У "О внесении изменений в Инструкцию Банка России от 16 января 2004 года N 110-И "Об обязательных нормативах банков", зарегистрированное Министерством юстиции Российской Федерации 10 декабря 2007 года N 10659 ("Вестник Банка России" от 17 декабря 2007 года N 69);
Указание Банка России от 31 марта 2008 года N 1991-У "О внесении изменений в Инструкцию Банка России от 16 января 2004 года N 110-И "Об обязательных нормативах банков", зарегистрированное Министерством юстиции Российской Федерации 14 апреля 2008 года N 11535 ("Вестник Банка России" от 30 апреля 2008 года N 19);
Указание Банка России от 18 июня 2008 года N 2030-У "О внесении изменений в приложение 1 к Инструкции Банка России от 16 января 2004 года N 110-И "Об обязательных нормативах банков", зарегистрированное Министерством юстиции Российской Федерации 30 июня 2008 года N 11907 ("Вестник Банка России" от 9 июля 2008 года N 36);
Указание Банка России от 12 февраля 2009 года N 2185-У "О внесении изменений в Инструкцию Банка России от 16 января 2004 года N 110-И "Об обязательных нормативах банков", зарегистрированное Министерством юстиции Российской Федерации 17 марта 2009 года N 13522 ("Вестник Банка России" от 25 марта 2009 года N 20);
Указание Банка России от 6 марта 2009 года N 2195-У "О внесении изменений в Инструкцию Банка России от 16 января 2004 года N 110-И "Об обязательных нормативах банков", зарегистрированное Министерством юстиции Российской Федерации 23 марта 2009 года N 13572 ("Вестник Банка России" от 1 апреля 2009 года N 21);
Указание Банка России от 27 марта 2009 года N 2205-У "О внесении изменений в Инструкцию Банка России от 16 января 2004 года N 110-И "Об обязательных нормативах банков", зарегистрированное Министерством юстиции Российской Федерации 22 апреля 2009 года N 13807 ("Вестник Банка России" от 29 апреля 2009 года N 25);
Указание Банка России от 26 июня 2009 года N 2254-У "О внесении изменений в Инструкцию Банка России от 16 января 2004 года N 110-И "Об обязательных нормативах банков", зарегистрированное Министерством юстиции Российской Федерации 5 августа 2009 года N 14464 ("Вестник Банка России" от 12 августа 2009 года N 47);
Указание Банка России от 3 ноября 2009 года N 2324-У "О внесении изменений в Инструкцию Банка России от 16 января 2004 года N 110-И "Об обязательных нормативах банков", зарегистрированное Министерством юстиции Российской Федерации 16 декабря 2009 года N 15612 ("Вестник Банка России" от 28 декабря 2009 года N 77);
Указание Банка России от 8 ноября 2010 года N 2513-У "О внесении изменений в Инструкцию Банка России от 16 января 2004 года N 110-И "Об обязательных нормативах банков", зарегистрированное Министерством юстиции Российской Федерации 30 ноября 2010 года N 19076 ("Вестник Банка России" от 8 декабря 2010 года N 66);
Указание Банка России от 20 апреля 2011 года N 2613-У "О внесении изменений в Инструкцию Банка России от 16 января 2004 года N 110-И "Об обязательных нормативах банков", зарегистрированное Министерством юстиции Российской Федерации 24 мая 2011 года N 20852 ("Вестник Банка России" от 1 июня 2011 года N 30);
Указание Банка России от 28 апреля 2012 года N 2808-У "О внесении изменений в Инструкцию Банка России от 16 января 2004 года N 110-И "Об обязательных нормативах банков", зарегистрированное Министерством юстиции Российской Федерации 18 мая 2012 года N 24225 ("Вестник Банка России" от 25 мая 2012 года N 27).
Председатель Центрального банка
Российской Федерации
С.М.ИГНАТЬЕВ
Приложение 1
к Инструкции Банка России
от 3 декабря 2012 года N 139-И
"Об обязательных нормативах банков"
ПЕРЕЧЕНЬ
РАСШИФРОВОК КОДОВ, ИСПОЛЬЗУЕМЫХ ПРИ РАСЧЕТЕ ОБЯЗАТЕЛЬНЫХ НОРМАТИВОВ
(в ред. Указаний ЦБ РФ от 25.10.2013 N 3097-У, от 30.05.2014 N 3268-У)
| Наименование | Код обозначения | Данные используются при расчете нормативов |
| 1 | 2 | 3 |
| Сумма вложений банка в акции и долговые обязательства, оцениваемые как активы I - V групп, по которым рассчитывается рыночный риск (за исключением акций и долговых обязательств, переданных без прекращения признания по сделкам, совершаемым на возвратной основе) и которые исключаются из IV группы активов в соответствии с требованиями подпункта 2.3.21 пункта 2.3 настоящей Инструкции. Данный код рассчитывается отдельно для каждого из нормативов достаточности капитала банка. При расчете данного кода в уменьшение суммы вложений в акции, по которым рассчитывается рыночный риск, принимается сумма превышения значения кода 8880 над суммой вложений в акции (доли), по которым рыночный риск не рассчитывается. | 8700.1 8700.2 8700.0 | Н1.1(А) Н1.2(А) Н1.0(А) |
| (в ред. Указаний ЦБ РФ от 25.10.2013 N 3097-У, от 30.05.2014 N 3268-У) | ||
| Вычитаемые из показателя Лам: остатки по счетам (их части), приведенным в формуле расчета Лам, не удовлетворяющие требованиям пункта 3.4 настоящей Инструкции; расчетные резервы на возможные потери по участвующим в расчете активам, оцениваемым на индивидуальной основе, в соответствии с Положением Банка России N 254-П и Положением Банка России N 283-П, и сформированные резервы на возможные потери по однородным требованиям, сгруппированным в портфель, в соответствии с Положением Банка России N 254-П и Положением Банка России N 283-П. | 8701 | Н2(Лам) |
| (в ред. Указаний ЦБ РФ от 25.10.2013 N 3097-У, от 30.05.2014 N 3268-У) | ||
| Вычитаемые из показателя Лат: остатки по счетам (их части), приведенным в формуле расчета Лат, не удовлетворяющие требованиям пункта 3.4 настоящей Инструкции; расчетные резервы на возможные потери по участвующим в расчете активам, оцениваемым на индивидуальной основе, в соответствии с Положением Банка России N 254-П и Положением Банка России N 283-П, и сформированные резервы на возможные потери по однородным требованиям, сгруппированным в портфель, в соответствии с Положением Банка России N 254-П. | 8702 | Н3(Лат) |
| (в ред. Указания ЦБ РФ от 25.10.2013 N 3097-У) | ||
| Сформированные в соответствии с Положением Банка России N 254-П и Положением Банка России N 283-П резервы на возможные потери по активам, относящимся к IV группе, за исключением сформированных резервов на возможные потери, учтенных при расчете кода 8870. Данный код рассчитывается отдельно для каждого из нормативов достаточности капитала банка. | 8703.1 8703.2 8703.0 | Н1.1(А) Н1.2(А) Н1.0(А) |
| (в ред. Указания ЦБ РФ от 25.10.2013 N 3097-У) | ||
| В состав настоящего кода включаются: 1) сумма сформированных в соответствии с Положением Банка России N 254-П и Положением Банка России N 283-П резервов на возможные потери, на которые уменьшены активы, участвующие в расчете кодов I - III и V групп активов; 2) величина отрицательной переоценки ценных бумаг, участвующих в расчете кодов I - V групп активов; 3) сумма остатков по счету N 47407, на которую уменьшаются остатки по счету N 47408 при расчете кодов I - V групп активов. Данный код рассчитывается отдельно для каждого из нормативов достаточности капитала банка. | 8704.1 8704.2 8704.0 | Н1.1(А) Н1.2(А) Н1.0(А) |
| (в ред. Указания ЦБ РФ от 25.10.2013 N 3097-У) | ||
| Коэффициент рублевого фондирования, рассчитанный в соответствии с подпунктом 2.3.8 пункта 2.3 настоящей Инструкции. | 8705 | Н1.1(Кф) Н1.2(Кф) Н1.0(Кф) |
| (в ред. Указания ЦБ РФ от 25.10.2013 N 3097-У) | ||
| Сумма остатков по счетам (в части счетов): N N 32003 и 32103 в части, вошедшей в расчет кода 8910; N N 32203 и 32303 в части, вошедшей в расчет кода 8910 и пункта "ж" кода 8989; N 31903 в части, вошедшей в расчет кода 8921. | 8706 | Н3(Лат) |
| (в ред. Указания ЦБ РФ от 25.10.2013 N 3097-У) | ||
| Данный код рассчитывается отдельно для каждого из нормативов достаточности капитала банка и используется для целей расчета совокупной суммы активов IV группы. Независимо от применяемого в целях расчета норматива Н1 подхода, предусмотренного пунктом 2.3 либо пунктом 2.6 настоящей Инструкции, данные коды равны, соответственно, сумме требований, рассчитанных по кодам 8801.1, 8801.2 и 8801.0 в соответствии с пунктом 2.3 настоящей Инструкции. | 8707.1 8707.2 8707.0 | Н1.1(А) Н1.2(А) Н1.0(А) |
| (в ред. Указания ЦБ РФ от 25.10.2013 N 3097-У) | ||
| Данный код рассчитывается отдельно для каждого из нормативов достаточности капитала банка и используется для целей расчета совокупной суммы активов IV группы. Независимо от применяемого в целях расчета норматива Н1 подхода, предусмотренного пунктом 2.3 либо пунктом 2.6 настоящей Инструкции, данные коды равны, соответственно, сумме требований, рассчитанных по кодам 8912.1, 8912.2 и 8912.0 в соответствии с пунктом 2.3 настоящей Инструкции. | 8708.1 8708.2 8708.0 | Н1.1(А) Н1.2(А) Н1.0(А) |
| (в ред. Указания ЦБ РФ от 25.10.2013 N 3097-У) | ||
| Данный код рассчитывается отдельно для каждого из нормативов достаточности капитала банка и используется для целей расчета совокупной суммы активов IV группы. Независимо от применяемого в целях расчета норматива Н1 подхода, предусмотренного пунктом 2.3 либо пунктом 2.6 настоящей Инструкции, данные коды равны, соответственно, сумме требований, рассчитанных по кодам 8941.1, 8941.2 и 8941.0 в соответствии с пунктом 2.3 настоящей Инструкции. | 8709.1 8709.2 8709.0 | Н1.1(А) Н1.2(А) Н1.0(А) |
| (в ред. Указания ЦБ РФ от 25.10.2013 N 3097-У) | ||
| Данный код рассчитывается отдельно для каждого из нормативов достаточности капитала банка и используется для целей расчета совокупной суммы активов IV группы. Независимо от применяемого в целях расчета норматива Н1 подхода, предусмотренного пунктом 2.3 либо пунктом 2.6 настоящей Инструкции, данные коды равны, соответственно, сумме требований, рассчитанных по кодам 8953.1, 8953.2 и 8953.0 в соответствии с пунктом 2.3 настоящей Инструкции. | 8710.1 8710.2 8710.0 | Н1.1(А) Н1.2(А) Н1.0(А) |
| (в ред. Указания ЦБ РФ от 25.10.2013 N 3097-У) | ||
| Данный код рассчитывается отдельно для каждого из нормативов достаточности капитала банка и используется для целей расчета совокупной суммы активов IV группы. Независимо от применяемого в целях расчета норматива Н1 подхода, предусмотренного пунктом 2.3 либо пунктом 2.6 настоящей Инструкции, данные коды равны, соответственно, сумме требований, рассчитанных по кодам 8954.1, 8954.2 и 8954.0 в соответствии с пунктом 2.3 настоящей Инструкции. | 8711.1 8711.2 8711.0 | Н1.1(А) Н1.2(А) Н1.0(А) |
| (в ред. Указания ЦБ РФ от 25.10.2013 N 3097-У) | ||
| Данный код рассчитывается отдельно для каждого из нормативов достаточности капитала банка и используется для целей расчета совокупной суммы активов IV группы. Независимо от применяемого в целях расчета норматива Н1 подхода, предусмотренного пунктом 2.3 либо пунктом 2.6 настоящей Инструкции, данные коды равны, соответственно, сумме требований, рассчитанных по кодам 8960.1, 8960.2 и 8960.0 в соответствии с пунктом 2.3 настоящей Инструкции. | 8712.1 8712.2 8712.0 | Н1.1(А) Н1.2(А) Н1.0(А) |
| (в ред. Указания ЦБ РФ от 25.10.2013 N 3097-У) | ||
| Данный код рассчитывается отдельно для каждого из нормативов достаточности капитала банка и используется для целей расчета совокупной суммы активов IV группы. Независимо от применяемого в целях расчета норматива Н1 подхода, предусмотренного пунктом 2.3 либо пунктом 2.6 настоящей Инструкции, данные коды равны, соответственно, сумме требований, рассчитанных по кодам 8964.1, 8964.2 и 8964.0 в соответствии с пунктом 2.3 настоящей Инструкции. | 8713.1 8713.2 8713.0 | Н1.1(А) Н1.2(А) Н1.0(А) |
| (в ред. Указания ЦБ РФ от 25.10.2013 N 3097-У) | ||
| Данный код рассчитывается отдельно для каждого из нормативов достаточности капитала банка и используется для целей расчета совокупной суммы активов IV группы. Независимо от применяемого в целях расчета норматива Н1 подхода, предусмотренного пунктом 2.3 либо пунктом 2.6 настоящей Инструкции, данные коды равны, соответственно, сумме требований, рассчитанных по кодам 8980.1, 8980.2 и 8980.0 в соответствии с пунктом 2.3. настоящей Инструкции. | 8714.1 8714.2 8714.0 | Н1.1(А) Н1.2(А) Н1.0(А) |
| (в ред. Указания ЦБ РФ от 25.10.2013 N 3097-У) | ||
| Коды, рассчитываемые банками в соответствии с требованиями пункта 1.3 настоящей Инструкции и принимающие переменное значение (положительное или отрицательное): если банк включает в расчет обязательного норматива остатки на балансовых счетах и (или) их части, не входящие в перечень балансовых счетов и (или) кодов расшифровок, приведенных в настоящей Инструкции для расчета обязательного норматива, то эти остатки включаются в переменную со знаком "+"; если банк исключает из расчета обязательного норматива остатки на балансовых счетах и (или) их части, входящие в перечень балансовых счетов и (или) кодов расшифровок, приведенных в настоящей Инструкции для расчета обязательного норматива, то эти остатки включаются в переменную со знаком "-". | 8715 | Н1.1, Н1.2, Н1.0 (I группа) |
| 8716 | Н1.1, Н1.2, Н1.0 (II группа) | |
| 8717 | Н1.1, Н1.2, Н1.0 (III группа) | |
| 8718 | Н1.1, Н1.2, Н1.0 (IV группа) | |
| 8719 | Н1.1, Н1.2, Н1.0 (V группа) | |
| 8720 | Н2(ЛАм) | |
| 8721 | Н2(ОВм) | |
| 8722 | Н3(ЛАт) | |
| 8723 | Н3(Овт) | |
| 8724 | Н4(Крд) | |
| 8725 | Н4(ОД) | |
| 8726 | Н7 | |
| 8727 | Н9.1 | |
| 8728 | Н10.1 | |
| 8729 | Н12 | |
| (в ред. Указания ЦБ РФ от 25.10.2013 N 3097-У) | ||
| Корректирующая IV группу активов расчетная величина требований, позволяющая исключить из IV группы активов требования, не вошедшие в расчет кодов показателя ПК, но подпадающие под действие повышенных коэффициентов исходя из преобладания экономического содержания над формой и включаемые банком в расчет показателя ПК, в соответствии пунктом 1.3 настоящей Инструкции, с повышенным коэффициентом 1,5 с использованием кода 8731. | 8730 | Н1.1(А) Н1.2(А) Н1.0(А) |
| (в ред. Указания ЦБ РФ от 25.10.2013 N 3097-У) | ||
| Корректирующая расчет показателя ПК расчетная величина активов, позволяющая включить в соответствии пунктом 1.3 настоящей Инструкции активы IV группы, подпадающие под действие повышенных коэффициентов исходя из преобладания экономического содержания над формой, но не вошедшие в расчет кодов показателя ПК. | 8731 | Н1.1(ПК) Н1.2(ПК) Н1.0(ПК) |
| (в ред. Указания ЦБ РФ от 25.10.2013 N 3097-У) | ||
| Корректирующая IV группу активов расчетная величина требований, позволяющая исключить из IV группы активов остатки по балансовым счетам N 47410 "Требования по аккредитивам с нерезидентами" и N 47431 "Требования по аккредитивам" в части сумм, не относящихся к требованиям к плательщикам (гарантам) по исполненным аккредитивам. | 8732 | Н1.1 (А), Н1.2 (А), |
| (в ред. Указания ЦБ РФ от 30.05.2014 N 3268-У) | ||
| Кредитные требования и требования по получению начисленных (накопленных) процентов к открытым акционерным обществам, соответствующим критериям естественных монополий, деятельность которых регулируется Федеральным законом от 17 августа 1995 года N 147-ФЗ "О естественных монополиях", при условии их включения в раздел 2 Перечня стратегических предприятий, а также при условии, что ценные бумаги этих обществ включены в Ломбардный список Банка России (счета (их части): N N 445А ... 450А, 452А, 47427, 464А ... 469А, 471А, 47408, 47423, 47431, 478А, 47901, 50107, 50118, (50121 - 50120), 50208, 50218, (50221 - 50220), 50308, 50318, 50618, (50621 - 50620), 50718, (50721 - 50720), 515А). | 8801.1, 8801.2, 8801.0 | Н1.1(А), Н1.2(А), Н1.0(А) |
| (в ред. Указания ЦБ РФ от 25.10.2013 N 3097-У) | ||
| Кредитные требования к банкам-резидентам, возникшие по сделкам, совершенным с 14 октября 2008 года по 31 декабря 2009 года включительно, в части, подлежащей компенсации Банком России на основании соглашений между Банком России и банками-резидентами, заключенных в соответствии со статьей 3 Федерального закона от 13 октября 2008 года N 173-ФЗ "О дополнительных мерах по поддержке финансовой системы Российской Федерации" (счета (их части): N N 320А, 322А, 32401). | 8805 | Н1.1(А), Н1.2(А), Н1.0(А) |
| (в ред. Указания ЦБ РФ от 25.10.2013 N 3097-У) | ||
| Кредитные требования и требования по получению начисленных (накопленных) процентов по ипотечным ссудам, величина основного долга по которым не превышает 50 млн. рублей, предоставленным физическим лицам на приобретение жилого помещения, по которым исполнение обязательств заемщика обеспечено залогом жилого помещения (счета (их части): N N 455, 457, 458, 47427, 47801), включаются в расчет настоящего кода при соблюдении одновременно следующих условий: государственной регистрации договора ипотеки жилого помещения в Едином государственном реестре прав на недвижимое имущество и сделок с ним; соотношение величины основного долга по ссуде к текущей (справедливой) стоимости предмета залога на дату выдачи ссуды составляет не более 70 процентов; соотношение совокупного годового дохода заемщика (других членов его семьи) к совокупной годовой сумме платежей (основной долг и проценты) составляет на дату выдачи ссуды не менее 2,0; заложенное имущество застраховано на величину не ниже суммы обеспеченного ипотекой обязательства в соответствии со статьей 31 Федерального закона об ипотеке. | 8806 | Н1.1(А), Н1.2(А), Н1.0(А) |
| (в ред. Указания ЦБ РФ от 25.10.2013 N 3097-У, от 30.05.2014 N 3268-У) | ||
| Сумма кредитных требований и требований по получению начисленных (накопленных) процентов по ссудам, предоставленным физическим лицам на приобретение жилого помещения, по которым исполнение обязательств заемщика обеспечено залогом жилого помещения, при соблюдении условий, указанных в строке кода обозначения 8806, умноженная на коэффициент 0,7. | 8807 | Н1.1(А), Н1.2(А), Н1.0(А) |
| (в ред. Указания ЦБ РФ от 25.10.2013 N 3097-У) | ||
| Кредитные требования и требования по получению начисленных (накопленных) процентов по ссудам, предоставленным заемщикам по договорам займа (кредита) после 31 декабря 2011 года (за исключением имевших на момент заключения договора займа (кредита) (его пролонгации) и (или) имеющих на момент расчета норматива Н1 рейтинг долгосрочной кредитоспособности по обязательствам в иностранной валюте или рублях, присвоенный как минимум одним из рейтинговых агентств на уровне не ниже "B" по классификации рейтинговых агентств Standard & Poor's или Fitch Rating's либо "B2" по классификации рейтингового агентства Moody's Investors Service, а также национальными рейтинговыми агентствами), не давшим одновременно согласия на представление информации в бюро кредитных историй, определенной статьей 4 Федерального закона от 30 декабря 2004 года N 218-ФЗ "О кредитных историях" (Собрание законодательства Российской Федерации, 2005, N 1, ст. 44; N 30, ст. 3121; 2007, N 31, ст. 4011; 2011, N 15, ст. 2038; N 27, ст. 3880; N 29, ст. 4291; N 49, ст. 7067), и на раскрытие кредитной организации - кредитору основной части его кредитной истории (счета (их части): N N 443А, 444А, 445А, 446А, 447А, 448А, 449А, 450А, 451А, 452А, 453А, 454А, 455А, 456А, 457А, 458А (кроме счетов N N 45801 и 45802), 459А (кроме счетов N N 45901 и 45902), 462А, 463А, 464А, 465А, 466А, 467А, 468А, 469А, 470А, 471А, 472А, 473А, 47427, 478А (кроме счета N 47803). | 8808.1, 8808.2, 8808.0 | Н1.1(А), Н1.2(А), Н1.0(А) |
| Требования кода не распространяются: | ||
| на ссуды, предоставленные юридическому лицу, входящему в Перечень стратегических предприятий; | ||
| на ссуды, предоставленные юридическому лицу, входящему в Перечень стратегических организаций, а также федеральных органов исполнительной власти, обеспечивающих реализацию единой государственной политики в отраслях экономики, в которых осуществляют деятельность эти организации, утвержденный распоряжением Правительства Российской Федерации от 20 августа 2009 года N 1226-р (Собрание законодательства Российской Федерации, 2009, N 35, ст. 4288; N 45, ст. 5392; N 47, ст. 5682; N 52, ст. 6632; 2010, N 4, ст. 431; N 11, ст. 1232; N 12, ст. 1396; N 17, ст. 2128; N 18, ст. 2271; N 25, ст. 3201, ст. 3202, ст. 3203; N 30, ст. 4126; N 37, ст. 4675; N 42, ст. 5440, ст. 5441; N 49, ст. 6549; N 50, ст. 6765; 2011, N 14, ст. 1975, ст. 1976, ст. 1977; N 15, ст. 2167; N 28, ст. 4242; N 40, ст. 5580; N 41, ст. 5782; N 50, ст. 7414; 2012, N 1, ст. 225; N 4, ст. 509; N 6, ст. 754, ст. 776; N 11, ст. 1339; N 17, ст. 2107; N 19, ст. 2490; N 25, ст. 3426; N 30, ст. 4295; N 31, ст. 4410; N 38, ст. 5198; N 44, ст. 6069) (далее - Перечень стратегических организаций); | ||
| на ссуды, предоставленные организации оборонно-промышленного комплекса для целей выполнения (реализации) государственного оборонного заказа в соответствии с нормативными правовыми актами Правительства Российской Федерации; | ||
| на кредитные требования и требования по получению начисленных (накопленных) процентов, включенные в код 8860. | ||
| (в ред. Указания ЦБ РФ от 25.10.2013 N 3097-У) | ||
| Сумма кредитных требований и требований по получению начисленных (накопленных) процентов ссудам, предоставленным заемщикам, указанным в строках кодов обозначения 8808.1, 8808.2, 8808.0, умноженная на коэффициент 1,1. | 8809.1, 8809.2, 8809.0 | Н1.1(ПК1), Н1.2(ПК2), Н1.0(ПК0) |
| (в ред. Указания ЦБ РФ от 25.10.2013 N 3097-У) | ||
| Величина кредитного риска по условным обязательствам кредитного характера, рассчитанная в порядке, установленном приложением 2 к настоящей Инструкции | 8810.1, 8810.2, 8810.0 | |
| (в ред. Указаний ЦБ РФ от 25.10.2013 N 3097-У, от 30.05.2014 N 3268-У) | ||
| Величина кредитного риска по производным финансовым инструментам, рассчитанная в порядке, установленном приложением 3 к настоящей Инструкции | 8811 | Н1.1(КРС), Н1.2(КРС), Н1.0(КРС) |
| (в ред. Указания ЦБ РФ от 25.10.2013 N 3097-У) | ||
| Величина рыночного риска, рассчитанная в соответствии с Положением Банка России N 313-П (с 1 февраля 2013 года в соответствии с Положением Банка России N 387-П). | 8812.1, 8812.2, 8812.0 | Н1.1(РР1), Н1.2(РР2), Н1.0(РР0) |
| (в ред. Указания ЦБ РФ от 25.10.2013 N 3097-У) | ||
| Кредитные требования и требования по получению начисленных (накопленных) процентов по ссудам, предоставленным заемщикам (за исключением тех, которые имели на момент выдачи (пролонгации) кредита и (или) имеют на момент расчета нормативов достаточности капитала рейтинг долгосрочной кредитоспособности по обязательствам в иностранной валюте или рублях, присвоенный как минимум одним из рейтинговых агентств на уровне не ниже "B" по классификации рейтинговых агентств Standard & Poor's или Fitch Rating's либо "B2" по классификации рейтингового агентства Moody's Investors Service, а также национальных рейтинговых агентств) и направленным указанными заемщиками: | 8813.1, 8813.2, 8813.0 | Н1.1(А), Н1.2(А), Н1.0(А) |
| (в ред. Указаний ЦБ РФ от 25.10.2013 N 3097-У, от 30.05.2014 N 3268-У) | ||
| на предоставление займов третьим лицам (за исключением случаев, когда в качестве заемщиков по первоначальным договорам выступают кредитные организации, а также микрофинансовые организации, потребительские кооперативы, фонды поддержки малого и среднего предпринимательства, признаваемые таковыми в соответствии с законодательством Российской Федерации); | ||
| на погашение обязательств по возврату денежных средств, привлеченных заемщиками от третьих лиц (за исключением случаев, когда по данным ссудам уполномоченным органом управления банка принято решение о классификации категории качества ссуды в соответствии с подпунктом 3.14.3 пункта 3.14 Положения Банка России N 254-П); | ||
| (в ред. Указания ЦБ РФ от 30.05.2014 N 3268-У) | ||
| на приобретение ценных бумаг, в том числе векселей и паев паевых инвестиционных фондов; на осуществление вложений в уставные капиталы других юридических лиц; | ||
| на расчетные (текущие) счета указанных заемщиков в других кредитных организациях (за исключением случаев, когда перечисленная на расчетный (текущий) счет в другой кредитной организации сумма, полученная по кредитному договору заемщиком - физическим лицом, не превышает 50 млн. рублей, а также если ссуда перечислена заемщиком на свой расчетный (текущий) счет в другой кредитной организации в связи с исполнением обязательств по возврату заемщиком денежных средств по ранее полученной от данной кредитной организации ссуде); | ||
| на финансирование юридического лица по договору долевого участия в строительстве, по предварительному договору купли-продажи недвижимого имущества, включая земельные участки, по договору паенакопления, а также на приобретение недвижимого имущества, включая земельные участки (за исключением случаев, когда кредит предоставляется: | ||
| в связи с осуществлением инвестиционной деятельности, осуществляемой в форме капитальных вложений в соответствии с Федеральным законом от 25 февраля 1999 года N 39-ФЗ "Об инвестиционной деятельности в Российской Федерации, осуществляемой в форме капитальных вложений" (Собрание законодательства Российской Федерации, 1999, N 9, ст. 1096; 2000, N 2, ст. 143; 2004, N 35, ст. 3607; 2006, N 6, ст. 636; N 52, ст. 5498; 2007, N 31, ст. 4012; 2010, N 25, ст. 3070; N 30, ст. 4015; 2011, N 30, ст. 4563, ст. 4596; N 50, ст. 7351; N 51, ст. 7448) (далее - Федеральный закон об инвестиционной деятельности), и если данная цель кредита предусмотрена кредитным договором или на приобретение подлежащих государственной регистрации воздушных и морских судов, судов внутреннего плавания, космических объектов, | ||
| либо концессионеру на финансирование деятельности в рамках концессионного соглашения, заключаемого в соответствии с Федеральным законом от 21 июля 2005 года N 115-ФЗ "О концессионных соглашениях" (Собрание законодательства Российской Федерации, 2005, N 30, ст. 3126; 2007, N 46, ст. 5557; N 50, ст. 6245; 2008, N 27, ст. 3126; 2009, N 29, ст. 3582, ст. 3601; 2010, N 27, ст. 3436; 2011, N 30, ст. 4594; N 49, ст. 7015; N 50, ст. 7359; 2012, N 18, ст. 2130), | ||
| либо на покупку недвижимого имущества (включая земельные участки) в сумме, в совокупности не превышающей 100 млн. рублей) (счета (их части): N N 443А, 444А, 445А, 446А, 447А, 448А, 449А, 450А, 451А, 452А, 453А, 454А, 455А, 456А, 457А, 458А (кроме счетов N N 45801 и 45802), 459А (кроме счетов N N 45901 и 45902), 462А, 463А, 464А, 465А, 466А, 467А, 468А, 469А, 470А, 471А, 472А, 473А, 47427, 478А). | ||
| (в ред. Указания ЦБ РФ от 25.10.2013 N 3097-У) | ||
| Требования кода не применяются в отношении кредитных требований и требований по получению начисленных (накопленных) процентов: | ||
| по ссудам, предоставленным юридическому лицу, входящему в Перечень стратегических предприятий; | ||
| по ссудам, предоставленным юридическому лицу, входящему в Перечень стратегических организаций; | ||
| по ссудам, предоставленным организации оборонно-промышленного комплекса для целей выполнения (реализации) государственного оборонного заказа в соответствии с нормативными правовыми актами Правительства Российской Федерации; | ||
| по ссудам, предоставленным юридическому лицу, в случаях, когда сумма уплаченных им налогов, сборов и иных обязательных платежей, установленных законодательством Российской Федерации, за последние 12 календарных месяцев до даты предоставления кредита или до даты оценки кредитного риска по ссуде составляет не менее 10 процентов суммы совокупной ссудной задолженности заемщика перед банком, включая предоставляемую банком ссуду, или не менее 100 млн. рублей, а также при условии подтверждения их уплаты копиями платежных поручений о перечислении с отметкой об исполнении и (или) предоставленными заемщиком налоговыми декларациями (бухгалтерской отчетностью), содержащими отметку налогового органа об их принятии (в том числе полученными в электронном виде). Налоговая декларация (бухгалтерская отчетность) может быть представлена без отметки налогового органа о ее принятии в случае представления в кредитную организацию: при направлении налоговой декларации (бухгалтерской отчетности) по почте - копии квитанции об отправке заказного письма с описью вложения; при передаче в электронном виде по телекоммуникационным каналам связи - копии квитанции о приеме налоговой декларации (бухгалтерской отчетности), копии протокола входного контроля налоговой декларации (бухгалтерской отчетности) и копии подтверждения отправки (подтверждение специализированного оператора связи) на бумажных носителях; | ||
| (в ред. Указания ЦБ РФ от 25.10.2013 N 3097-У) | ||
| по ссудам, предоставленным заемщику (группе связанных заемщиков), в случаях, когда величина ссуды (совокупная величина ссуд) не превышает 0,1 процента величины собственных средств (капитала) банка, но не более 5 млн. рублей; | ||
| по ссудам, обеспеченным поручительством (гарантией) юридических лиц, оформленным в том числе посредством аваля (вексельного поручительства), входящих в Перечень стратегических предприятий и (или) в Перечень стратегических организаций, организаций оборонно-промышленного комплекса для целей выполнения (реализации) государственного оборонного заказа в соответствии с нормативными правовыми актами Правительства Российской Федерации, а также организаций, имеющих рейтинг долгосрочной кредитоспособности, присвоенный как минимум одним из рейтинговых агентств на уровне не ниже уровня "B" по классификации рейтинговых агентств Standard & Poor's или Fitch Ratings, либо "B2" по классификации рейтингового агентства Moody's Investors Service, а также национальных рейтинговых агентств; | ||
| (в ред. Указания ЦБ РФ от 25.10.2013 N 3097-У) | ||
| по ссудам, предоставленным заемщикам на финансирование по договору долевого участия в строительстве, заключенному в соответствии с Федеральным законом от 30 декабря 2004 года N 214-ФЗ "Об участии в долевом строительстве многоквартирных домов и иных объектов недвижимости и о внесении изменений в некоторые законодательные акты Российской Федерации" (Собрание законодательства Российской Федерации, 2005, N 1, ст. 40; 2006, N 30, ст. 3287; N 43, ст. 4412; 2008, N 30, ст. 3616; 2009, N 29, ст. 3584; 2010, N 25, ст. 3070; 2011, N 49, ст. 7015, ст. 7040; 2012, N 29, ст. 3998) (далее - Федеральный закон об участии в долевом строительстве), за исключением предоставленных физическим лицам ссуд величиной более 50 млн. рублей, удовлетворяющих условиям кода 8833. | ||
| Сумма кредитных требований и требований по получению начисленных (накопленных) процентов по ссудам, предоставленным заемщикам и использованным указанными заемщиками на цели, перечисленные в строках кодов обозначения 8813.1, 8813.2, 8813.0, умноженная на коэффициент 1,5. | 8814.1, 8814.2, 8814.0 | Н1.1(ПК1), Н1.2(ПК2), Н1.0(ПК0) |
| (в ред. Указания ЦБ РФ от 25.10.2013 N 3097-У) | ||
| Вложения в долговые ценные бумаги: | 8815 | Н1.1(А), Н1.2(А), Н1.0(А) |
| учтенные векселя (за исключением векселей, приобретенных непосредственно у векселедателя, имевшего на момент приобретения векселей и (или) имеющего на дату расчета нормативов достаточности капитала банка рейтинг долгосрочной кредитоспособности по обязательствам в иностранной валюте или рублях, присвоенный как минимум одним из рейтинговых агентств на уровне не ниже уровня "B" по классификации рейтинговых агентств Standard & Poor's или Fitch Rating's либо "B2" по классификации рейтингового агентства Moody's Investors Service, а также национальных рейтинговых агентств (счета (их части): N N 514А, 515А, 516А, 517А, 518А, 519А; | ||
| (в ред. Указания ЦБ РФ от 25.10.2013 N 3097-У) | ||
| облигации (за исключением облигаций с ипотечным покрытием, облигаций иностранных государств, имеющих страновую оценку "4", юридических лиц - эмитентов (выпусков облигаций), имевших на момент приобретения облигаций и (или) имеющим на дату расчета нормативов достаточности капитала банка рейтинг долгосрочной кредитоспособности по обязательствам в иностранной валюте или рублях, присвоенный как минимум одним из рейтинговых агентств на уровне не ниже "B" по классификации рейтинговых агентств Standard & Poor's или Fitch Rating's либо "B2" по классификации рейтингового агентства Moody's Investors Service, а также национальных рейтинговых агентств) (счета (их части): N N 50106, 50107, 50108, 50109, 50110, 50118, (50121 - 50120), 50207, 50208, 50209, 50210, 50211, 50218, (50221 - 50220), 50307, 50308, 50309, 50310, 50311, 50318); | ||
| (в ред. Указания ЦБ РФ от 25.10.2013 N 3097-У) | ||
| иные долговые ценные бумаги, признаваемые таковыми по иностранному законодательству (за исключением долговых ценных бумаг с ипотечным покрытием, долговых ценных бумаг иностранных государств, имеющих страновую оценку "4", юридических лиц - нерезидентов - эмитентов (выпусков долговых ценных бумаг), имевших на момент приобретения ценных бумаг и (или) имеющим на дату расчета нормативов достаточности капитала банка рейтинг долгосрочной кредитоспособности по обязательствам в иностранной валюте, присвоенный как минимум одним из рейтинговых агентств на уровне не ниже "B" по классификации рейтинговых агентств Standard & Poor's или Fitch Rating's либо "B2" по классификации рейтингового агентства Moody's Investors Service), (счета (их части): N N 50108, 50109, 50110, 50118, (50121 - 50120), 50209, 50210, 50211, 50218, (50221 - 50220), 50309, 50310, 50311, 50318); | ||
| (в ред. Указания ЦБ РФ от 25.10.2013 N 3097-У) | ||
| сделки по покупке (продаже) указанных долговых ценных бумаг с одновременным предоставлением контрагенту права отсрочки платежа (поставки ценных бумаг) с учетом особенностей расчета, установленных подпунктом 2.3.24 пункта 2.3 настоящей Инструкции в отношении сделок с облигациями, в части операций с участием кредитных организаций, осуществляющих функции центрального контрагента (счет (часть счета) N 47408). | ||
| (в ред. Указания ЦБ РФ от 30.05.2014 N 3268-У) | ||
| Требования по возврату долговых ценных бумаг, удовлетворяющих требованиям настоящего кода и переданных в рамках договоров займа и сделок, совершаемых на возвратной основе с ценными бумагами, переданными без прекращения признания (счета (часть счетов) N N 322А...325А, 458А...473А, 47427, 50118, (50121 - 50120), 50218, (50221 - 50220), 50318). | ||
| (в ред. Указаний ЦБ РФ от 25.10.2013 N 3097-У, от 30.05.2014 N 3268-У) | ||
| Сумма вложений в долговые ценные бумаги, а также требования по договорам займа ценных бумаг и по сделкам по покупке (продаже) данных ценных бумаг, указанные в строке кода обозначения 8815, умноженная на коэффициент 1,5. | 8816 | Н1.1(ПК1), Н1.2(ПК2), Н1.0(ПК0) |
| (в ред. Указания ЦБ РФ от 25.10.2013 N 3097-У) | ||
| Кредитные требования и требования по получению начисленных (накопленных) процентов по ссудам, предоставленным юридическим лицам - резидентам офшорных зон, перечень которых утвержден Приказом Министерства финансов Российской Федерации от 13 ноября 2007 года N 108н "Об утверждении Перечня государств и территорий, предоставляющих льготный налоговый режим налогообложения и (или) не предусматривающих раскрытия и предоставления информации при проведении финансовых операций (офшорные зоны)", зарегистрированным Министерством юстиции Российской Федерации 3 декабря 2007 года N 10598, 25 февраля 2009 года N 13432, 25 октября 2012 года N 25728 (Бюллетень нормативных актов федеральных органов исполнительной власти, 2007, N 50; 2009, N 11; "Российская газета" от 31 октября 2012 года), (счета (их части): N N 456А, 45816, 45916, 473А, 47408, 47427, 478А, 50118, (50121 - 50120), 50218, (50221 - 50220), 50318, 50618, (50621 - 50620), 50718, (50721 - 50720)). | 8817.1, 8817.2, 8817.0 | Н1.1(А), Н1.2(А), Н1.0(А) |
| (в ред. Указания ЦБ РФ от 25.10.2013 N 3097-У) | ||
| Требования кода не применяются в отношении кредитных требований и требований по получению начисленных (накопленных) процентов по ссудам, выданным или обеспеченным поручительством (гарантией) организации, имеющей рейтинг долгосрочной кредитоспособности, присвоенный как минимум одним из рейтинговых агентств на уровне не ниже уровня "B" по классификации рейтинговых агентств Standard & Poor's или Fitch Ratings либо "B2" по классификации рейтингового агентства Moody's Investors Service, а также национальных рейтинговых агентств, в случае, если банк имеет документарно подтвержденную информацию о конечном (конечных) выгодоприобретателе (выгодоприобретателях) юридического лица резидента офшорной зоны. | ||
| Сумма требований по кредитам и требований по получению начисленных (накопленных) процентов, указанных в строках кодов обозначения 8817.1, 8817.2, 8817.0, умноженная на коэффициент 1,5. | 8818.1, 8818.2, 8818.0 | Н1.1(ПК1), Н1.2(ПК2), Н1.0(ПК0) |
| (в ред. Указания ЦБ РФ от 25.10.2013 N 3097-У) | ||
| Кредитные требования и требования по получению начисленных (накопленных) процентов по ссудам, предоставленным юридическим лицам, созданным в соответствии с законодательством Российской Федерации или законодательством других стран для осуществления страхования, перестрахования, взаимного страхования и получившим лицензии в порядке, установленном законодательством Российской Федерации или законодательством соответствующей страны (далее - страховщики), (счета (их части): N N 451А, 456А, 45811, 45816, 45911, 45916, 470А, 473А, 47427, 478А, 50118, (50121 - 50120), 50218, (50221 - 50220), 50318, 50618, (50621 - 50620), 50718, (50721 - 50720). | 8819 | Н1.1(А), Н1.2(А), Н1.0(А) |
| (в ред. Указания ЦБ РФ от 25.10.2013 N 3097-У) | ||
| Сумма кредитных требований и требований по получению начисленных (накопленных) процентов по ссудам, предоставленным страховщикам, указанных в строке кода 8819, умноженная на коэффициент 1,5. | 8820 | Н1.1(ПК1), Н1.2(ПК2), Н1.0(ПК0) |
| (в ред. Указания ЦБ РФ от 25.10.2013 N 3097-У) | ||
| Кредитные требования и требования по получению начисленных (накопленных) процентов по ссудам, предоставленным заемщикам - физическим лицам в рублях, величиной на дату выдачи и (или) дату расчета нормативов не более 50 млн. рублей, если совокупная задолженность заемщика и (или) группы связанных заемщиков в рублях перед банком превышает 5 млн. рублей, за исключением обеспеченных ссуд при наличии обеспечения, указанного в пунктах 6.2 и 6.3 Положения Банка России N 254-П, а также ссуд, предоставленных заемщикам на финансирование по договору долевого участия в строительстве, заключенному в соответствии с Федеральным законом об участии в долевом строительстве (счета (их части): N N 455А, 457А, 45815, 45817, 45915, 45917, 47427, 478А). | 8821 | Н1.1(А), Н1.2(А), Н1.0(А) |
| (в ред. Указаний ЦБ РФ от 25.10.2013 N 3097-У, от 30.05.2014 N 3268-У) | ||
| Сумма требований к заемщикам - физическим лицам, указанных в строке кода 8821, умноженная на коэффициент 1,5. | 8822 | Н1.1(ПК1), Н1.2(ПК2), Н1.0(ПК3) |
| (в ред. Указания ЦБ РФ от 25.10.2013 N 3097-У) | ||
| Вложения в паи паевых инвестиционных фондов, а также активы, переданные в доверительное управление (за исключением учтенных по кодам 8878.А, 8880, уменьшающих величину собственных средств (капитала) в соответствии с приложением к Положению Банка России N 395-П и уменьшающих сумму источников базового капитала, добавочного капитала, дополнительного капитала и сумму основного и дополнительного капитала в соответствии с Положением Банка России N 395-П) (счета (их части): N N 47901, 50606, 50607, 50608, 50618, (50621 - 50620), 50706, 50707, 50708, 50709, 50718, (50721 - 50720), 60106). При расчете норматива Н1.0 в расчет данного кода не включаются вложения в паи паевых инвестиционных фондов недвижимости и активы, переданные в доверительное управление (доверительному управляющему), в случае если имущество фондов и указанные активы являются зданиями, сооружениями, объектами незавершенного строительства, земельными участками (правами аренды указанных объектов), в части, учтенной по кодам 8971 и 8971.0, и уменьшающие основной и дополнительный капитал в соответствии с подпунктом 4.2.2 пункта 4 Положения Банка России N 395-П и подпунктом 5.2 пункта 5 приложения к Положению Банка России N 395-П. | 8823.1, 8823.2, 8823.0 | Н1.1(А), Н1.2(А), Н1.0(А) |
| (в ред. Указаний ЦБ РФ от 25.10.2013 N 3097-У, от 30.05.2014 N 3268-У) | ||
| Сумма вложений в паи паевых инвестиционных фондов, а также активы, переданные в доверительное управление, указанные в строках кодов обозначения 8823.1, 8823.2, 8823.0, умноженная на коэффициент 1,5. | 8824.1, 8824.2, 8824.0 | Н1.1(ПК1), Н1.2(ПК2), Н1.0(ПК0) |
| (в ред. Указания ЦБ РФ от 25.10.2013 N 3097-У) | ||
| Вложения в акции (доли) юридических лиц (за исключением вложений в акции, которые уменьшают величину собственных средств (капитала) в соответствии с приложением к Положению N 395-П, а также уменьшают сумму источников базового капитала, добавочного капитала, дополнительного капитала и сумму основного и дополнительного капитала, определенных в соответствии с Положением Банка России N 395-П; бирж, организаций, определяющих правила платежных систем; учтенные по кодам 8823.i, 8880, 8878.А; вложений в акции (доли) финансовых организаций, являющихся частью мероприятий, проводимых в рамках реализации согласованного Банком России плана мер по финансовому оздоровлению кредитной организации в соответствии с Федеральным законом "О несостоятельности (банкротстве) кредитных организаций" и (или) реализации согласованного Банком России плана мер по предупреждению банкротства банков, являющихся участниками системы обязательного страхования вкладов физических лиц в банках Российской Федерации, проводимых государственной корпорацией "Агентство по страхованию вкладов" в соответствии с Федеральным законом "О дополнительных мерах для укрепления стабильности банковской системы в период до 31 декабря 2014 года"). Требования по сделкам по покупке (продаже) указанных акций (долей) с одновременным предоставлением контрагенту права отсрочки платежа (поставки акций (долей)). Требования по возврату долевых ценных бумаг, удовлетворяющих требованиям настоящего кода и переданных в рамках договоров займа и сделок, совершаемых на возвратной основе с ценными бумагами, переданными без прекращения признания. В расчет настоящего кода включаются указанные вложения и требования в суммах, отраженных на счетах (их части) N N 47408, 322А...325А, 458А...473А, 47427, 50605, 50606, 50607, 50608, 50618, (50621 - 50620), 50705, 50706, 50707, 50708, 50709, 50718, (50721 - 50720), 601А, 60201, 60202, 60203, 60204). | 8825.1, 8825.2, 8825.0 | Н1.1(А), Н1.2(А), Н1.0(А) |
| (в ред. Указаний ЦБ РФ от 25.10.2013 N 3097-У, от 30.05.2014 N 3268-У) | ||
| Сумма вложений в акции (доли) юридических лиц и требований, указанных в строках кодов обозначения 8825.1, 8825.2, 8825.0, умноженная на коэффициент 1,5. | 8826.1, 8826.2, 8826.0 | Н1.1(ПК1), Н1.2(ПК2), Н1.0(ПК0) |
| (в ред. Указания ЦБ РФ от 25.10.2013 N 3097-У) | ||
| Недвижимое имущество по остаточной стоимости (балансовая стоимость за вычетом амортизации) и (или) по текущей (справедливой) стоимости (включая земельные участки), временно неиспользуемое в основной деятельности (счета (их части): N N [60406 ... 60409] - [60602, 60603], 60410 ... 60413, 60705). При расчете норматива Н1.0 в расчет данного кода не включаются вложения банка в недвижимое имущество (включая земельные участки), временно неиспользуемое в основной деятельности, в части, учтенной по кодам 8971 и 8971.0, и уменьшающие основной и дополнительный капитал в соответствии с подпунктом 4.2.2 пункта 4 Положения Банка России N 395-П и подпунктом 5.2 пункта 5 приложения к Положению Банка России N 395-П. | 8827.1, 8827.2, 8827.0 | Н1.1(А), Н1.2(А), Н1.0(А) |
| (в ред. Указаний ЦБ РФ от 25.10.2013 N 3097-У, от 30.05.2014 N 3268-У) | ||
| Стоимость недвижимого имущества (включая земельные участки), указанного в строке кодов обозначений 8827.1, 8827.2, 8827.0, умноженная на коэффициент 1,5. | 8828.1, 8828.2, 8828.0 | Н1.1(ПК1), Н1.2(ПК2), Н1.0(ПК0) |
| (в ред. Указаний ЦБ РФ от 25.10.2013 N 3097-У, от 30.05.2014 N 3268-У) | ||
| Активы, полученные банком по договорам об отступном или по договорам о залоге в результате реализации прав на обеспечение по предоставленным кредитной организацией ссудам, ссудной и приравненной к ней задолженности, определенной в соответствии с требованиями Положения Банка России N 254-П, а также в результате реструктуризации дебиторской задолженности (счет (часть счета) N 61011). При расчете норматива Н1.0 в расчет данного кода не включаются активы, полученные банком по договорам об отступном или по договорам о залоге, в части, учтенной по кодам 8971 и 8971.0, и уменьшающие основной и дополнительный капитал в соответствии с подпунктом 4.2.2 пункта 4 Положения Банка России N 395-П и подпунктом 5.2 пункта 5 приложения к Положению Банка России N 395-П. | 8829.1, 8829.2, 8829.0 | Н1.1(А), Н1.2(А), Н1.0(А) |
| (в ред. Указаний ЦБ РФ от 25.10.2013 N 3097-У, от 30.05.2014 N 3268-У) | ||
| Балансовая стоимость активов, указанных в строке кодов 8829.1, 8829.2, 8829.0, умноженная на коэффициент 1,5. | 8830.1, 8830.2, 8830.0 | Н1.1(ПК1), Н1.2(ПК2), Н1.0(ПК0) |
| (в ред. Указаний ЦБ РФ от 25.10.2013 N 3097-У, от 30.05.2014 N 3268-У) | ||
| Кредитные требования и требования по получению начисленных (накопленных) процентов по ссудам, номинированным в иностранной валюте и предоставленным заемщикам - физическим лицам, за исключением ссуд, указанных в коде 8863 (счета (их части): N N 455А, 457А, 45815, 45817, 45915, 45917, 47427, 478А). | 8831 | Н1.1(А), Н1.2(А), Н1.0(А) |
| (в ред. Указания ЦБ РФ от 25.10.2013 N 3097-У) | ||
| Сумма требований к заемщикам - физическим лицам, указанных в строке кода 8831, умноженная на коэффициент 1,5. | 8832 | Н1.1(ПК1), Н1.2(ПК2), Н1.0(ПК0) |
| (в ред. Указания ЦБ РФ от 25.10.2013 N 3097-У) | ||
| Кредитные требования и требования по получению начисленных (накопленных) процентов по ссудам, предоставленным физическим лицам в рублях, величиной на дату выдачи и (или) дату расчета нормативов 50 млн. рублей и более без обеспечения, указанного пунктом 6.2 Положения Банка России N 254-П, а также по ипотечным ссудам, предоставленным физическим лицам в рублях, величиной на дату выдачи и (или) дату расчета нормативов более 50 млн. рублей (счета (их части): N N 455А, 457А, 45815, 45817, 45915, 45917, 47427, 478А) при одновременном соблюдении следующих условий: | 8833.1, 8833.2, 8833.0 | Н1.1(А), Н1.2(А), Н1.0(А) |
| (в ред. Указаний ЦБ РФ от 25.10.2013 N 3097-У, от 30.05.2014 N 3268-У) | ||
| первоначальный взнос заемщика за приобретаемое недвижимое имущество, выступающее в качестве залога по ссуде, осуществляется заемщиком за счет собственных средств и составляет менее 20 процентов от текущей (справедливой) стоимости предмета залога; | ||
| соотношение величины основного долга по ссуде к текущей (справедливой) стоимости предмета залога составляет на дату расчета нормативов более 80 процентов. | ||
| В расчет кода не включаются требования в отношении ипотечных ссуд с соотношением величины основного долга к стоимости залога от 80 процентов до 90 процентов при наличии договора страхования ответственности заемщика, являющегося залогодателем по договору об ипотеке, перед банком за неисполнение или ненадлежащее исполнение обязательств по возврату ссуды или страхование финансовых рисков банка по обязательству, обеспеченному ипотекой со страховой суммой не менее 10 процентов от первоначальной стоимости предмета залога, и при наличии у страховой компании рейтинга не ниже "BB" по классификации рейтингового агентства Standard & Poor's или рейтинга не ниже аналогичного по классификациям Fitch Rating's, Moody's Investors Service, а также национальных рейтинговых агентств или при передаче в перестрахование не менее 50 процентов риска выплаты страхового возмещения перестраховочной организации, не менее 50 процентов плюс одна акция которой принадлежит государству или хозяйственному обществу, не менее 50 процентов плюс одна акция которого принадлежит государству, или имеющей инвестиционный рейтинг не ниже "BBB-" по классификации рейтингового агентства Standard & Poor's или рейтинг не ниже аналогичного по классификациям Fitch Rating's, Moody's Investors Service, а также национальных рейтинговых агентств. Исключение не распространяется на ссуды с первоначальным взносом заемщика менее 10 процентов и соотношением величины основного долга по ссуде к стоимости предмета залога свыше 90 процентов независимо от наличия по ним договора страхования. | ||
| Сумма требований к заемщикам по ссудам, указанных в строках кодов обозначения 8833.1, 8833.2, 8833.0, умноженная на коэффициент 1,5. | 8834.1, 8834.2, 8834.0 | Н1.1(ПК1), Н1.2(ПК2), Н1.0(ПК0) |
| (в ред. Указания ЦБ РФ от 25.10.2013 N 3097-У) | ||
| Требования (дебиторская задолженность), возникшие в связи с инвестиционной деятельностью самого банка, осуществляемой в форме капитальных вложений в соответствии с Федеральным законом об инвестиционной деятельности и Федеральным законом об участии в долевом строительстве, и связанной с приобретением банком недвижимого имущества, включая земельные участки, а также авансовые платежи (дебиторская задолженность) по сделкам приобретения недвижимого имущества, включая земельные участки с отсрочкой поставки (счета (их части): N N 60312, 60701). При расчете норматива Н1.0 в расчет данного кода не включаются требования (дебиторская задолженность), возникшие в связи с инвестиционной деятельностью самого банка в части, учтенной по кодам 8971 и 8971.0, и уменьшающие основной и дополнительный капитал в соответствии с подпунктом 4.2.2 пункта 4 Положения Банка России N 395-П и подпунктом 5.2 пункта 5 приложения к Положению Банка России N 395-П. | 8835.1, 8835.2, 8835.0 | Н1.1(А), Н1.2(А), Н1.0(А) |
| (в ред. Указаний ЦБ РФ от 25.10.2013 N 3097-У, от 30.05.2014 N 3268-У) | ||
| Сумма требований, указанных в строке кодов 8835.1, 8835.2, 8835.0, умноженная на коэффициент 1,5. | 8836.1, 8836.2, 8836.0 | Н1.1(ПК1), Н1.2(ПК2), Н1.0(ПК0) |
| (в ред. Указаний ЦБ РФ от 25.10.2013 N 3097-У, от 30.05.2014 N 3268-У) | ||
| Вложения банков в доли в складочном капитале хозяйственных товариществ и вклады в простые товарищества (счета (их части): N N 471А, 60202, 60204). | 8837 | Н1.1(А), Н1.2(А), Н1.0(А) |
| (в ред. Указания ЦБ РФ от 25.10.2013 N 3097-У) | ||
| Сумма требований, указанных в строке кода 8837, умноженная на коэффициент 1,5. | 8838 | Н1.1(ПК1), Н1.2(ПК2), Н1.0(ПК0) |
| (в ред. Указания ЦБ РФ от 25.10.2013 N 3097-У) | ||
| Кредитные требования участников клиринга: | 8846 | Н1.1(А), Н1.2(А), Н1.0(А) |
| к кредитным организациям, осуществляющим функции центрального контрагента, качество управления которых оценено Банком России как удовлетворительное в порядке, установленном нормативным актом об оценке качества управления кредитных организаций, осуществляющих функции центрального контрагента, уставом которого деятельность кредитной организации ограничивается осуществлением функций центрального контрагента и клиринговой деятельностью, информация о которых размещается на официальном сайте Банка России и опубликовывается в "Вестнике Банка России"; | ||
| а также требования кредитных организаций - доверителей (комитентов) по брокерским операциям с ценными бумагами и другими активами в части, размещенной брокером у данных центральных контрагентов. | ||
| (в ред. Указания ЦБ РФ от 25.10.2013 N 3097-У) | ||
| В расчет настоящего кода включаются указанные кредитные требования, отраженные на балансовых счетах (их части): N N 30424, 30425, 30602, 322А, 47404, 47408, 47427, 50118 (50121 - 50120), 50218 (50221 - 50220), 50318, 50618, (50621 - 50620), 50718, (50721 - 50720). | ||
| (в ред. Указания ЦБ РФ от 25.10.2013 N 3097-У) | ||
| Сумма кредитных требований, перечисленных в строке кода обозначения 8846, включается в расчет в размере наименьшей из величин: | 8847 | Н1.1(А), Н1.2(А), Н1.0(А) |
| (в ред. Указания ЦБ РФ от 25.10.2013 N 3097-У) | ||
| - 20 процентов от суммы средств, перечисленных для исполнения и (или) обеспечения исполнения обязательств, допущенных к клирингу, в том числе в качестве индивидуального клирингового обеспечения, а также кредитных требований, возникших по результатам клиринга, либо | ||
| (в ред. Указания ЦБ РФ от 25.10.2013 N 3097-У) | ||
| - совокупности двух величин: | ||
| 5 процентов от суммы средств, перечисленных для исполнения и (или) обеспечения исполнения обязательств, допущенных к клирингу, в том числе в качестве индивидуального клирингового обеспечения, а также кредитных требований, возникших по результатам клиринга, и | ||
| (в ред. Указания ЦБ РФ от 25.10.2013 N 3097-У) | ||
| 1000 процентов от суммы коллективного клирингового обеспечения. | ||
| Требования участников клиринга (в части средств, перечисленных для исполнения и (или) обеспечения исполнения обязательств, допущенных к клирингу, в том числе в качестве индивидуального клирингового обеспечения) к клиринговым кредитным организациям, кредитным организациям, осуществляющим функции центрального контрагента, и расчетным кредитным организациям; к валютным и фондовым биржам (за исключением учтенных в уменьшение обязательств банка в рамках кода 8911) (счета (часть счетов): N N 30424, 47404. В расчет кода включаются остатки по вышеперечисленным счетам с учетом пункта 3.4. настоящей Инструкции. | 8848 | Н3(Лат) |
| (в ред. Указания ЦБ РФ от 25.10.2013 N 3097-У) | ||
| Требования по аккредитивам со сроком исполнения в течение ближайших 30 календарных дней: | 8849 | Н3(Лат) |
| банка - эмитента к плательщику по исполненным гарантированным аккредитивам; | ||
| (в ред. Указания ЦБ РФ от 25.10.2013 N 3097-У) | ||
| исполняющего и (или) подтверждающего банка к банку - эмитенту (гаранту) по исполненным аккредитивам (счета (их части): N N 47410, 47431). | ||
| (в ред. Указания ЦБ РФ от 25.10.2013 N 3097-У) | ||
| Ипотечные ссуды (закладные) с оставшимся сроком погашения свыше 365 или 366 календарных дней, права требования по которым переуступаются специально созданным для этой цели организациям - операторам вторичного рынка ипотечных кредитов (агентствам по ипотечному жилищному кредитованию) (далее - Агентство). В расчет данного кода включаются ипотечные кредиты с учетом пункта 3.4 настоящей Инструкции, удовлетворяющие одновременно следующим условиям: | 8850 | Н4(Крд) |
| а) соответствуют стандартам по рефинансированию и сопровождению ипотечных кредитов (займов) Агентства, действующим на момент заключения договора купли-продажи закладных (с отсрочкой поставки); | ||
| б) неотъемлемой частью договора купли-продажи закладных (с отсрочкой поставки) является график сделок, устанавливающий сроки и согласованные объемы поставки закладных; | ||
| в) договор купли-продажи закладных (с отсрочкой поставки) заключен с Агентством, удовлетворяющим в совокупности следующим условиям: | ||
| - наличие рейтинга долгосрочной кредитоспособности по обязательствам в иностранной валюте или рублях, присвоенный как минимум одним из рейтинговых агентств на уровне не ниже "B" по классификации рейтинговых агентств Standard & Poor's или Fitch Ratings либо "B2" по классификации рейтингового агентства Moody's Investors Service, а также национальных рейтинговых агентств; | ||
| - ценные бумаги, эмитированные Агентством, включены в Ломбардный список Банка России и (или) гарантированы Российской Федерацией. | ||
| В расчет кода указанные активы включаются за вычетом сформированного резерва на возможные потери в соответствии с Положением Банка России N 254-П и Положением Банка России N 283-П. | ||
| (в ред. Указания ЦБ РФ от 25.10.2013 N 3097-У) | ||
| Требования участников клиринга (в части средств коллективного клирингового обеспечения) к клиринговым организациям, к кредитным организациям, осуществляющим функции центрального контрагента, не поименованным в коде 8846) (счет (его часть): N N 30425). | 8851 | Н1.1(А), Н1.2(А), Н1.0(А) |
| (в ред. Указания ЦБ РФ от 25.10.2013 N 3097-У) | ||
| Сумма кредитных требований, перечисленных в строке кода обозначения 8851, умноженная на 1000 процентов. | 8852 | Н1.1(А), Н1.2(А), Н1.0(А) |
| (в ред. Указания ЦБ РФ от 25.10.2013 N 3097-У) | ||
| Прочие привлеченные средства в части обязательств банка перед контрагентом по сделкам со сроком исполнения "до востребования" и на следующий день, совершаемым на возвратной основе с высоколиквидными ценными бумагами, переданными без прекращения признания, по возврату по второй части сделки денежных средств, учтенных прямым счетом в формуле расчета показателя Овм (счета (их части): N N 31501, 31502, 31601, 31602, 31702, 31703, 31704, 31802, 31803, 31804, 32901, 42309, 42609, 42701, 42801, 42901, 43001, 43101, 43201, 43301, 43401, 43501, 43601, 43701, 43801, 43901, 44001, 476П) и (или) (счета (их части): N N 31503, 31603, 42310, 42610, 42702, 42802, 42902, 43002, 43102, 43202, 43302, 43402, 43502, 43602, 43702, 43802, 43902, 44002), если день совершения указанных операций предшествует выходным и праздничным дням. | 8853 | Н2(Овм) |
| Настоящий код используется для устранения двойного учета обязательств банка по сделкам со сроком исполнения "до востребования" и на следующий день, совершаемым на возвратной основе с высоколиквидными ценными бумагами, переданными без прекращения признания. | ||
| (в ред. Указаний ЦБ РФ от 25.10.2013 N 3097-У, от 30.05.2014 N 3268-У) | ||
| Прочие привлеченные средства в части обязательств банка перед контрагентом по сделкам со сроком исполнения в течение ближайших 30 календарных дней, совершаемым на возвратной основе с высоколиквидными и ликвидными ценными бумагами, переданными без прекращения признания, по возврату по второй части сделки денежных средств, учтенных прямым счетом в формуле расчета показателя Овт (счета (их части): N N 31501, 31502, 31503, 31504, 31601, 31602, 31603, 31604, 31702, 31703, 31704, 31802, 31803, 31804, 32901, 42309, 42310, 42609, 42610, 42701, 42702, 42801, 42802, 42901, 42902, 43001, 43002, 43101, 43102, 43201, 43202, 43301, 43302, 43401, 43402, 43501, 43502, 43601, 43602, 43701, 43702, 43801, 43802, 43901, 43902, 44001, 44002, 476П). | 8854 | Н3(Овт) |
| Настоящий код используется для устранения двойного учета обязательств банка по сделкам со сроком исполнения в течение ближайших 30 календарных дней, совершаемым на возвратной основе с высоколиквидными и ликвидными ценными бумагами, переданными без прекращения признания. | ||
| (в ред. Указания ЦБ РФ от 25.10.2013 N 3097-У) | ||
| Корректирующая знаменатели нормативов достаточности капитала банка расчетная величина кредитных требований, включенных в IV группу риска, к связанным с банком лицам, которые могут быть включены в два и более кодов с разным значением повышенных коэффициентов (для следующих вариантов совпадений требований по применению повышенных коэффициентов: 1,3 и 1,5 (в том числе многократно); 1,1, 1,3 и 1,5 (в том числе многократно), определяемая по следующей формуле: | 8855.1, 8855.2, 8855.0 | Н1.1(А), Н1.2(А), Н1.0(А) |
| (в ред. Указания ЦБ РФ от 25.10.2013 N 3097-У) | ||
| Здесь и далее в кодах 8856 и 8857 используются следующие условные обозначения: | ||
| n - количество активов, подпадающего под действие двух и более повышенных коэффициентов; | ||
| В случае если к требованию к связанному с банком лицу одновременно применяется только коэффициент 1,1, то данный код не рассчитывается. | ||
| Корректирующая расчет показателя ПК расчетная величина активов, которые могут быть включены в два и более кодов, определяемая по следующим формулам, для следующих вариантов совпадений требований по применению повышенных коэффициентов: | 8856.1, 8856.2, 8856.0 | Н1.1(ПК1), Н1.2(ПК2), Н1.0(ПК0) |
| - 1,5 (многократно) | ||
| (в ред. Указания ЦБ РФ от 25.10.2013 N 3097-У) | ||
| Корректирующая IV группу активов расчетная величина активов, которые могут быть включены в два и более кодов, определяемая по следующим формулам, для следующих вариантов совпадений требований по применению повышенных коэффициентов: | 8857.1, 8857.2, 8857.0 | Н1.1(А), Н1.2(А), Н1.0(А) |
| - 1,5 (многократно); 1,1 и 1,5 | ||
| (в ред. Указания ЦБ РФ от 25.10.2013 N 3097-У) | ||
| Кредитные требования и требования по получению начисленных (накопленных) процентов по кредитам на потребительские цели в рублях, предоставленным после 1 июля 2013 года заемщикам - физическим лицам, по которым ПСК на момент выдачи кредита составляет более 25 процентов годовых (счета (их части): N N 455А, 457А, 45815, 45817, 45915, 45917, 47427, 478А). | 8858 | Н1.1(А), Н1.2(А), Н1.0(А) |
| (в ред. Указания ЦБ РФ от 25.10.2013 N 3097-У) | ||
| В расчет настоящего кода не включаются кредитные требования и требования по получению начисленных (накопленных) процентов по кредитам на потребительские цели в рублях, которые удовлетворяют требованиям: | ||
| кода 8808 и по которым ПСК не превышает 35 процентов годовых; | ||
| кода 8956 и по которым ПСК не превышает 35 процентов годовых; | ||
| кодов 8813, 8821, 8833 и по которым ПСК не превышает 45 процентов годовых. | ||
| кодов 8879, 8881. | ||
| (в ред. Указания ЦБ РФ от 25.10.2013 N 3097-У) | ||
| Кредитные требования и требования по получению начисленных (накопленных) процентов по кредитам на потребительские цели в рублях, предоставленным после 1 января 2014 года заемщикам - физическим лицам, по которым ПСК на момент выдачи кредита составляет более 25 процентов годовых (счета (их части): N N 455А, 457А, 45815, 45817, 45915, 45917, 47427, 478А). В расчет настоящего кода не включаются кредитные требования и требования по получению начисленных (накопленных) процентов по кредитам на потребительские цели в рублях, которые удовлетворяют требованиям: кода 8808 и по которым ПСК не превышает 35 процентов годовых; кода 8956 и по которым ПСК не превышает 35 процентов годовых; кодов 8813, 8821, 8833 и по которым ПСК не превышает 45 процентов годовых; кодов 8879, 8881. | 8858.x | Н1.1(А) Н1.2(А) Н1.0(А) |
| (в ред. Указания ЦБ РФ от 25.10.2013 N 3097-У) | ||
| Часть суммы требований к заемщикам - физическим лицам, указанной в строке кода 8858, умноженная на 1,1 в части кредитов, по которым ПСК на момент выдачи кредита составляет более 25 процентов годовых и не превышает 35 процентов годовых. | 8859 | Н1.1(ПКр), Н1.2(ПКр), Н1.0(ПКр) |
| (в ред. Указания ЦБ РФ от 25.10.2013 N 3097-У) | ||
| Часть суммы требований к заемщикам - физическим лицам, указанной в строке кода 8858.x, умноженная на 1,1 в части кредитов, по которым ПСК на момент выдачи кредита составляет более 25 процентов годовых и не превышает 35 процентов годовых. | 8859.x | Н1.1(ПКр) Н1.2(ПКр) Н1.0(ПКр) |
| (в ред. Указания ЦБ РФ от 25.10.2013 N 3097-У) | ||
| Часть суммы требований к заемщикам - физическим лицам, указанной в строке кода 8858, умноженная на 1,4 в части кредитов, по которым ПСК на момент выдачи кредита составляет более 35 процентов годовых и не превышает 45 процентов годовых. | 8860 | Н1.1(ПКр), Н1.2(ПКр), Н1.0(ПКр) |
| (в ред. Указания ЦБ РФ от 25.10.2013 N 3097-У) | ||
| Часть суммы требований к заемщикам - физическим лицам, указанной в строке кода 8858.x, умноженная на 1,4 в части кредитов, по которым ПСК на момент выдачи кредита составляет более 35 процентов годовых и не превышает 45 процентов годовых. | 8860.х | Н1.1(ПКр) Н1.2(ПКр) Н1.0(ПКр) |
| (в ред. Указания ЦБ РФ от 25.10.2013 N 3097-У) | ||
| Часть суммы требований к заемщикам - физическим лицам, указанной в строке кода 8858, умноженная на 1,7 в части кредитов, по которым ПСК на момент выдачи кредита составляет более 45 процентов годовых и не превышает 60 процентов годовых. | 8861 | Н1.1(ПКр), Н1.2(ПКр), Н1.0(ПКр) |
| (в ред. Указания ЦБ РФ от 25.10.2013 N 3097-У) | ||
| Часть суммы требований к заемщикам - физическим лицам, указанной в строке кода 8858.x, умноженная на 3,0 в части кредитов, по которым ПСК на момент выдачи кредита составляет более 45 процентов годовых и не превышает 60 процентов годовых. | 8861.x | Н1.1(ПКр) Н1.2(ПКр) Н1.0(ПКр) |
| (в ред. Указания ЦБ РФ от 25.10.2013 N 3097-У) | ||
| Часть суммы требований к заемщикам - физическим лицам, указанной в строке кода 8858, умноженная на 2,0 в части кредитов, по которым ПСК на момент выдачи кредита составляет более 60 процентов годовых. | 8862 | Н1.1(ПКр), Н1.2(ПКр), Н1.0(ПКр) |
| (в ред. Указания ЦБ РФ от 25.10.2013 N 3097-У) | ||
| Часть суммы требований к заемщикам - физическим лицам, указанной в строке кода 8858.x, умноженная на 6,0 в части кредитов, по которым ПСК на момент выдачи кредита составляет более 60 процентов годовых. | 8862.x | Н1.1(ПКр) Н1.2(ПКр) Н1.0(ПКр) |
| (в ред. Указания ЦБ РФ от 25.10.2013 N 3097-У) | ||
| В расчет настоящего кода не включаются кредитные требования и требования по получению начисленных (накопленных) процентов по кредитам на потребительские цели в иностранной валюте, которые удовлетворяют требованиям кодов 8879, 8881. | 8863 | Н1.1(ПКр), Н1.2(ПКр), Н1.0(ПКр) |
| (в ред. Указания ЦБ РФ от 25.10.2013 N 3097-У) | ||
| Кредитные требования и требования по получению начисленных (накопленных) процентов по кредитам на потребительские цели в иностранной валюте, предоставленным после 1 января 2014 года заемщикам - физическим лицам, по которым ПСК на момент выдачи кредита составляет более 20 процентов годовых (счета (их части): N N 455А, 457А, 45815, 45817, 45915, 45917, 47427, 478А). В расчет настоящего кода не включаются кредитные требования и требования по получению начисленных (накопленных) процентов по кредитам на потребительские цели в иностранной валюте, которые удовлетворяют требованиям кодов 8879, 8881. | 8863.x | Н1.1(ПКр) Н1.2(ПКр) Н1.0(ПКр) |
| (в ред. Указания ЦБ РФ от 25.10.2013 N 3097-У) | ||
| Часть суммы требований к заемщикам - физическим лицам, указанной в строке кода 8863, умноженная на 1,7 в части кредитов, по которым ПСК на момент выдачи кредита составляет более 20 процентов годовых и не превышает 25 процентов годовых. | 8864 | Н1.1(ПКр), Н1.2(ПКр), Н1.0(ПКр) |
| в ред. Указания ЦБ РФ от 25.10.2013 N 3097-У) | ||
| Часть суммы требований к заемщикам - физическим лицам, указанной в строке кода 8863.x, умноженная на 3,0 в части кредитов, по которым ПСК на момент выдачи кредита составляет более 20 процентов годовых и не превышает 25 процентов годовых. | 8864.x | Н1.1(ПКр) Н1.2(ПКр) Н1.0(ПКр) |
| (в ред. Указания ЦБ РФ от 25.10.2013 N 3097-У) | ||
| Часть суммы требований к заемщикам - физическим лицам, указанной в строке кода 8863, умноженная на 2,0 в части кредитов, по которым ПСК на момент выдачи кредита составляет более 25 процентов годовых. | 8865 | Н1.1(ПКр), Н1.2(ПКр), Н1.0(ПКр) |
| (в ред. Указания ЦБ РФ от 25.10.2013 N 3097-У) | ||
| Часть суммы требований к заемщикам - физическим лицам, указанной в строке кода 8863.x, умноженная на 6,0 в части кредитов, по которым ПСК на момент выдачи кредита составляет более 25 процентов годовых. | 8865.x | Н1.1(ПКр) Н1.2(ПКр) Н1.0(ПКр) |
| (в ред. Указания ЦБ РФ от 25.10.2013 N 3097-У) | ||
| Величина риска изменения стоимости кредитного требования в результате ухудшения кредитного качества контрагента, рассчитанная в порядке, установленном приложением 8 к настоящей Инструкции. | 8866 | Н1.1(РСК) Н1.2(РСК) Н1.0(РСК) |
| (в ред. Указания ЦБ РФ от 25.10.2013 N 3097-У) | ||
| Положения строки кода обозначения 8866 применяются с 01.10.2014 (пункт 2 Указания ЦБ РФ от 25.10.2013 N 3097-У ) | ||
| Учтенные в расчете показателя Овт депозиты, вклады и прочие привлеченные средства, определенные банком как срочные, в части, учтенной по коду 8933 (части счетов: N N 41002, 41102, 41202, 41302, 41402, 41502, 41602, 41702, 41802, 41902, 42002, 42102, 42202, 42302, 42310, 42502, 42602, 42610, 42702, 42802, 42902, 43002, 43102, 43202, 43302, 43402, 43502, 43602, 43702, 43802, 43902, 44002). | 8868 | Н3(Овт) |
| (в ред. Указания ЦБ РФ от 25.10.2013 N 3097-У) | ||
| Кредитные требования и требования по получению начисленных (накопленных) процентов, в отношении которых величина кредитного риска определена в соответствии с пунктом 2.6 настоящей Инструкции и которые в зависимости от заемщика (контрагента) относятся к активам IV группы риска. | 8869 | Н1.1(А), Н1.2(А), Н1.0(А) |
| (в ред. Указания ЦБ РФ от 25.10.2013 N 3097-У) | ||
| Величина кредитного риска по кредитным требованиям и требованиям по получению начисленных (накопленных) процентов, указанным в коде 8869, рассчитанная в соответствии с пунктом 2.6 настоящей Инструкции. | 8870 | Н1.1(А), Н1.2(А), Н1.0(А) |
| (в ред. Указания ЦБ РФ от 25.10.2013 N 3097-У) | ||
| Кредитные требования и требования по получению начисленных (накопленных) процентов, номинированные и (или) фондированные в рублях, при наличии договора страхования экспортных кредитов и инвестиций, обеспеченного номинированными в рублях гарантиями Внешэкономбанка, выданными в соответствии с Постановлением Правительства Российской Федерации N 964, исполнение обязательств по которым обеспеченно государственными гарантиями, выданными в соответствии с бюджетным законодательством Российской Федерации, а также кредитные требования и требования по получению начисленных (накопленных) процентов банков-агентов к государственной корпорации "Агентство по страхованию вкладов" по возмещению денежных средств, выплаченных в соответствии с положениями Федерального закона о страховании вкладов вкладчикам банков участников системы страхования вкладов, в отношении которых наступил страховой случай (счета (их части): N N 20311, 20312, 20315, 20316, 320А, 321А, 322А, 323А, 443А, 444А, 445А, 446А, 447А, 448А, 449А, 450А, 451А, 452А, 453А, 454А, 456А, 462А, 463А, 464А, 465А, 466А, 467А, 468А, 469А, 470А, 471А, 472А, 473А, 47427, 478А, 47901, 50106, 50107, 50118, (50121 - 50120), 50207, 50208, 50218, (50221 - 50220), 50307, 50308, 50318, 51401 ... 51407, 51501 ... 51507, 51601 ... 51607, 51701 ... 51707, 51801 ... 51807, 51901 ... 51907). | 8871 | Н1.1(А), Н1.2(А), Н1.0(А) |
| (в ред. Указаний ЦБ РФ от 25.10.2013 N 3097-У, от 30.05.2014 N 3268-У) | ||
| Обязательства банка со сроком исполнения свыше 30 календарных дней по привлеченным денежным средствам, а также по размещенным собственным долговым ценным бумагам, если договором (условиями выпуска ценных бумаг) предусмотрено досрочное исполнение банком обязательств по возврату денежных средств (выкупу ценных бумаг) по обращению кредитора (инвестора) при наступлении условий, определенных в договоре (условиями выпуска ценных бумаг), следствием которых является признание заемщика или эмитента не соответствующим определенным ограничениям в области финансовых показателей (далее - отлагательные условия) (счета (их части) N N 20309, 20310, 20313, 20314, 31204...31207, 31217...31221, 31305...31309, 31405...31409, 31505...31509, 31605...31609, 41003 ... 41007, 41103 ... 41107, 41203 ... 41207, 41303 ... 41307, 41403 ... 41407, 41503 ... 41507, 41603 ... 41607, 41703 ... 41707, 41803 ... 41807, 41903 ... 41907, 42003 ... 42007, 42103 ... 42107, 42203 ... 42207, 42703 ... 42707, 42803 ... 42807, 42903 ... 42907, 43003 ... 43007, 43103 ... 43107, 43203 ... 43207, 43303 ... 43307, 43403 ... 43407, 43503 ... 43507, 43603 ... 43607, 43703 ... 43707, 43803 ... 43807, 43903 ... 43907, 44003 ... 44007, 52002 ... 52006, 52102 ... 52106, 52202 ... 52206, 52303 ... 52307). | 8872 | Н2(Овм) Н3(Овт) |
| (в ред. Указания ЦБ РФ от 25.10.2013 N 3097-У) | ||
| Обязательства банка с оставшимся сроком исполнения свыше 365 или 366 календарных дней по привлеченным денежным средствам, а также по размещенным собственным долговым ценным бумагам, если договором (условиями выпуска ценных бумаг) предусмотрено досрочное исполнение банком обязательств по возврату денежных средств (выкупу ценных бумаг) при наступлении отлагательных условий (счета (их части): N N 20309, 20310, 20313, 20314, 30219, 31207, 31220, 31221, 31222, 31308, 31309, 31408, 31409, 31508, 31509, 31608, 31609, 41006, 41007, 41106, 41107, 41206, 41207, 41306, 41307, 41406, 41407, 41506, 41507, 41606, 41607, 41706, 41707, 41806, 41807, 41906, 41907, 42006, 42007, 42106, 42107, 42206, 42207, 42506, 42507, 42706, 42707, 42806, 42807, 42906, 42907, 43006, 43007, 43106, 43107, 43206, 43207, 43306, 43307, 43406, 43407, 43506, 43507, 43606, 43607, 43706, 43707, 43806, 43807, 43906, 43907, 44006, 44007, 52005, 52006, 52105, 52106, 52205, 52206, 52306, 52307). | 8873 | Н4(ОД) |
| (в ред. Указания ЦБ РФ от 25.10.2013 N 3097-У) | ||
| Показатели, уменьшающие сумму источников базового капитала в соответствии с подпунктами 2.2.1 - 2.2.6, 2.2.9 и 2.2.10 пункта 2 Положения Банка России N 395-П и принимаемые в расчет в соответствии с порядком, предусмотренным подпунктом 8.1 пункта 8 Положения Банка России N 395-П. Показатели, уменьшающие сумму источников базового капитала, не включаются в расчет I - III и V групп активов. | 8874 | Н1.1(А) Н1.2(А) Н1.0(А) |
| (в ред. Указаний ЦБ РФ от 25.10.2013 N 3097-У, от 30.05.2014 N 3268-У) | ||
| Показатели, уменьшающие сумму источников добавочного капитала в соответствии с подпунктами 2.4.1 - 2.4.5 пункта 2 Положения Банка России N 395-П (за исключением сумм, рассчитанных в соответствии с подпунктом 2.5 пункта 2 Положения Банка России N 395-П и учтенных по коду 8874 в уменьшение суммы источников базового капитала в соответствии с подпунктом 2.2.10 пункта 2 Положения Банка России N 395-П) и принимаемые в расчет в соответствии с порядком, предусмотренным подпунктом 8.1 пункта 8 Положения Банка России N 395-П.Показатели, уменьшающие сумму источников добавочного капитала, не включаются в расчет I - III и V групп активов. | 8875 | Н1.2(А) Н1.0(А) |
| (в ред. Указаний ЦБ РФ от 25.10.2013 N 3097-У, от 30.05.2014 N 3268-У) | ||
| Величина остатков (части остатков), числящихся на балансовом счете N 52503 (начисленный дисконт, подлежащий списанию на расходы банка в отчетном периоде (месяце), при расчете на внутримесячные даты), а также сумма резерва (резервов), фактически недосозданного (недосозданных) кредитной организацией по сравнению с величиной, требуемой в соответствии с Положением Банка России N 254-П и Положением Банка России N 283-П, в части, учитываемой в соответствии с подпунктами 2.1.7, 2.1.8, 2.2.7 и 2.2.8 пункта 2 Положения Банка России N 395-П. | 8876 | Н1.1(А) Н1.2(А) Н1.0(А) |
| (в ред. Указаний ЦБ РФ от 25.10.2013 N 3097-У, от 30.05.2014 N 3268-У) | ||
| Показатели, уменьшающие сумму источников основного капитала в соответствии с подпунктами 2.1 - 2.4 пункта 2 приложения к Положению N 395-П (за исключением сумм, рассчитанных в соответствии с подпунктом 2.5 пункта 2 Положения Банка России N 395-П и учтенных по коду 8874 в уменьшение суммы источников базового капитала в соответствии с подпунктом 2.2.10 пункта 2 Положения Банка России N 395-П) и принимаемые в расчет в соответствии с подпунктом 8.1.1 пункта 8 Положения Банка России N 395-П.Показатели, уменьшающие сумму источников основного капитала, не включаются в расчет I - III и V групп активов. | 8877 | Н1.2(А) Н1.0(А) |
| (в ред. Указаний ЦБ РФ от 25.10.2013 N 3097-У, от 30.05.2014 N 3268-У) | ||
| Суммы существенных вложений в обыкновенные акции (доли) финансовой организации, не учтенные в уменьшение базового капитала в соответствии с подпунктами 2.2.9.2 и 2.2.9.3 пункта 2 Положения Банка России N 395-П. Вложения, участвующие в расчете настоящего кода, не включаются в расчет I - III и V групп активов. | 8878.А | Н1.1(А) Н1.2(А) Н1.0(А) |
| (в ред. Указания ЦБ РФ от 25.10.2013 N 3097-У) | ||
| Совокупная сумма отложенных налоговых активов, не зависящих от будущей прибыли кредитной организации, не учтенная в уменьшение базового капитала в соответствии с подпунктами 2.2.3 и 2.2.9.3 пункта 2 Положения Банка России N 395-П. Активы, участвующие в расчете настоящего кода, не включаются в расчет I - III и V групп активов. | 8878.Н | Н1.1(А) Н1.2(А) Н1.0(А) |
| (в ред. Указания ЦБ РФ от 25.10.2013 N 3097-У) | ||
| Сумма вложений банка, указанных в строках кодов обозначения 8878.А и 8878.Н, умноженная на 250 процентов, для целей расчета нормативов достаточности капитала банков. | 8879 | Н1.1(БК) Н1.2(БК) Н1.0(БК) |
| (в ред. Указания ЦБ РФ от 25.10.2013 N 3097-У) | ||
| Сумма существенных вложений банка в обыкновенные акции (доли) юридических лиц, не являющихся финансовыми организациями: в части отдельных вложений банка, превышающих лимит индивидуальных вложений без превышения лимита совокупных вложений, или в части совокупных вложений банка, превышающих лимит совокупных вложений без превышения лимита индивидуальных вложений, или в размере наибольшей из двух величин: величины превышения лимита индивидуальных вложений и величины превышения лимита совокупных вложений (в случае одновременного превышения обоих лимитов). | 8880 | Н1.1(А) Н1.2(А) Н1.0(А) |
| (в ред. Указания ЦБ РФ от 25.10.2013 N 3097-У) | ||
| Сумма существенных вложений банка, указанных в строке кода обозначения 8880, умноженная на 1000 процентов, для целей расчета нормативов достаточности капитала банков. | 8881 | Н1.1(БК) Н1.2(БК) Н1.0(БК) |
| (в ред. Указания ЦБ РФ от 25.10.2013 N 3097-У) | ||
| Показатели, уменьшающие сумму источников дополнительного капитала в соответствии с подпунктами 3.2.1 - 3.2.4 пункта 3 Положения Банка России N 395-П (за исключением сумм, рассчитанных в соответствии с подпунктом 3.3 пункта 3 Положения Банка России N 395-П и учтенных по коду 8875 в уменьшение суммы источников добавочного капитала в соответствии с подпунктом 2.4.5 пункта 2 Положения Банка России N 395-П) и принимаемые в расчет в соответствии с подпунктом 8.1 пункта 8 Положения Банка России N 395-П.Показатели, уменьшающие сумму источников дополнительного капитала, не включаются в расчет I - III и V групп активов. | 8882 | Н1.0(А) |
| (в ред. Указаний ЦБ РФ от 25.10.2013 N 3097-У, от 30.05.2014 N 3268-У) | ||
| Величина остатков (части остатков), числящихся на балансовом счете N 52503 (начисленный дисконт, подлежащий списанию на расходы банка в отчетном периоде (месяце), при расчете на внутримесячные даты), а также сумма резерва (резервов), фактически недосозданного (недосозданных) кредитной организацией по сравнению с величиной, требуемой в соответствии с Положением Банка России N 254-П и Положением Банка России N 283-П, в части, учитываемой при определении прибыли текущего года и предшествующих лет, не подтвержденной аудиторской организацией (индивидуальным аудитором) в соответствии с подпунктами 3.1.6 и 3.1.7 пункта 3 Положения Банка России N 395-П. | 8883 | Н1.0(А) |
| (в ред. Указаний ЦБ РФ от 25.10.2013 N 3097-У, от 30.05.2014 N 3268-У) | ||
| Прирост стоимости имущества кредитной организации за счет переоценки в части, не вошедшей в состав источников собственных средств, принимаемых в расчет дополнительного капитала банка в соответствии с подпунктом 3.1.9 пункта 3 Положения Банка России N 395-П (счет (часть счета): N 10601. | 8884 | Н1.0(А) |
| (в ред. Указания ЦБ РФ от 25.10.2013 N 3097-У) | ||
| Обязательства банка по кредитам, депозитам, вкладам и прочим привлеченным средствам со сроком исполнения в течение одного операционного дня (счета (их части): N N 41002, 41102, 41202, 41302, 41402, 41502, 41602, 41702, 41802, 41902, 42002, 42102, 42202, 42302, 42310, 42502, 42602, 42610, 42702, 42802, 42902, 43002, 43102, 43202, 43302, 43402, 43502, 43602, 43702, 43802, 43902, 44002) и (или) (счета (их части): N N 31202, 31215, 31303, 31403, 31503, 31603, если день совершения указанных операций предшествует выходным и праздничным дням). | 8885 | Н2(Овм) |
| (в ред. Указаний ЦБ РФ от 25.10.2013 N 3097-У, от 30.05.2014 N 3268-У) | ||
| Сумма кредитных требований и требований по получению начисленных (накопленных) процентов (за минусом сформированных резервов на возможные потери или резервов на возможные потери по ссудам, по ссудной и приравненной к ней задолженности) к контрагенту по сделке (за исключением требований по синдицированным кредитам, аккредитивам, ипотечным ценным бумагам), по которой исполнение обязательств контрагента: банка - резидента Российской Федерации (К = 1), кредитной организации, имеющей рейтинги долгосрочной кредитоспособности, присвоенные международными рейтинговыми агентствами, и являющейся резидентом страны, имеющей страновые оценки "0", "1", или страны с высоким уровнем доходов, являющихся членами ОЭСР и (или) Еврозоны (К = 2), перед банком по данной сделке зависит от исполнения обязательств третьим лицом (третьими лицами). Данный код используется для исключения указанных сделок из II группы активов. | 8886.К где К - код контрагента | Н1.1(А) Н1.2(А) Н1.0(А) |
| (в ред. Указания ЦБ РФ от 25.10.2013 N 3097-У) | ||
| Сумма кредитных требований и требований по получению начисленных (накопленных) процентов (за минусом сформированных резервов на возможные потери или резервов на возможные потери по ссудам, по ссудной и приравненной к ней задолженности) к контрагенту по сделке (за исключением требований по синдицированным кредитам, аккредитивам, ипотечным ценным бумагам), по которой исполнение обязательств контрагента: кредитной организации - резидента страны, имеющей страновую оценку "2" (К = 1), кредитной организации, не имеющей рейтинги долгосрочной кредитоспособности, присвоенные международными рейтинговыми агентствами, и являющейся резидентом страны, имеющей страновые оценки "0", "1", или страны с высоким уровнем доходов, являющихся членами ОЭСР и (или) Еврозоны (К = 2), перед банком по данной сделке зависит от исполнения обязательств третьим лицом (третьими лицами). Данный код используется для исключения указанных сделок из III группы активов. | 8887.К где К - код контрагента | Н1.1(А) Н1.2(А) Н1.0(А) |
| (в ред. Указания ЦБ РФ от 25.10.2013 N 3097-У) | ||
| Сумма кредитных требований и требований по получению начисленных (накопленных) процентов (за минусом сформированных резервов на возможные потери или резервов на возможные потери по ссудам, по ссудной и приравненной к ней задолженности) к контрагенту по сделке (за исключением требований по синдицированным кредитам, аккредитивам, ипотечным ценным бумагам), по которой исполнение обязательств перед банком по данной сделке зависит от исполнения обязательств третьим лицом (третьими лицами): кредитной организацией - резидентом страны, имеющей страновую оценку "2" (Т = 1); кредитной организацией, не имеющей рейтинги долгосрочной кредитоспособности, присвоенные международными рейтинговыми агентствами, и являющейся резидентом страны, имеющей страновые оценки "0", "1", или страны с высоким уровнем доходов, являющихся членами ОЭСР и (или) Еврозоны (Т = 2). В данный код включаются активы, исключенные из II группы активов кодом (кодами) 8886.К (за исключением кредитных требований к третьим лицам, связанным с банком). Данный код используется для включения указанных сделок в III группу активов с коэффициентом 50%. | 8888.Т где Т - код третьего лица | Н1.1(А) Н1.2(А) Н1.0(А) |
| (в ред. Указания ЦБ РФ от 25.10.2013 N 3097-У) | ||
| Балансовая сумма кредитных требований и требований по получению начисленных (накопленных) процентов банка к контрагенту по сделке (за исключением требований по синдицированным кредитам, аккредитивам, ипотечным ценным бумагам), по которой исполнение обязательств перед банком по данной сделке зависит от исполнения обязательств третьим лицом (третьими лицами) (включая связанных с банком лиц): банком-резидентом Российской Федерации (Т = 1); кредитной организацией - резидентом страны, имеющей страновую оценку "3", "4", "5" и "6" (Т = 2); юридическим лицом (Т = 3); физическим лицом (Т = 4). В данный код включаются активы, исключенные из II и III групп активов кодами 8886.К и 8887.К. Данный код используется для включения указанных сделок в IV группу активов (за исключением активов, удовлетворяющих требованиям кодов 8890 и 8888.Т). | 8889.Т где Т - код третьего лица | Н1.1(А) Н1.2(А) Н1.0(А) |
| (в ред. Указания ЦБ РФ от 25.10.2013 N 3097-У) | ||
| Сумма кредитных требований и требований по получению начисленных (накопленных) процентов (за минусом сформированных резервов на возможные потери или резервов на возможные потери по ссудам, по ссудной и приравненной к ней задолженности) к контрагенту по сделке (за исключением требований по синдицированным кредитам, аккредитивам, ипотечным ценным бумагам), по которой исполнение обязательств перед банком по данной сделке зависит от исполнения обязательств третьим лицом (третьими лицами) (включая связанных с банком лиц) - кредитной организацией (кредитными организациями), являющимся (являющимися) резидентом (резидентами) страны, имеющей страновую оценку "7". В данный код включаются активы, исключенные из II и III групп активов кодами 8886.К и 8887.К (за исключением учтенных по коду (кодам) 8888.Т). Данный код используется для включения указанных сделок в V группу активов с коэффициентом 150%. | 8890 | Н1.1(А), Н1.2(А), Н1.0(А) |
| (в ред. Указания ЦБ РФ от 25.10.2013 N 3097-У) | ||
| Часть уставного капитала банка, сформированного за счет капитализации прироста стоимости имущества при переоценке до выбытия имущества, не вошедшая в состав источников базового капитала и (или) добавочного капитала в соответствии с подпунктами 2.1.1, и (или) 2.1.2, и (или) 2.3.1 пункта 2 Положения Банка России N 395-П (счет (часть счета) N 102). | 8893.1, 8893.2 | Н1.1 (А), Н1.2 (А) |
| (в ред. Указания ЦБ РФ от 30.05.2014 N 3268-У) | ||
| Вложения в облигации Банка России, номинированные и фондированные в рублях (счета (их части): N N 47901, 50116, 50118, (50121 - 50120), 50214, 50218, (50221 - 50220), 50313, 50318). | 8900 | Н1.1(А), Н1.2(А), Н1.0(А) |
| (в ред. Указания ЦБ РФ от 25.10.2013 N 3097-У) | ||
| Кредитные требования и требования по получению начисленных (накопленных) процентов к центральным банкам или правительствам стран, имеющих страновые оценки "0", "1", или стран с высоким уровнем доходов, являющихся членами ОЭСР и (или) Еврозоны, к организациям, которым в соответствии с законодательством соответствующих стран предоставлено право осуществлять заимствования от имени государства (счета (их части): N N 30211, 40308, 47427, 47901, 50108, 50109, 50110, 50118, (50121 - 50120), 50209, 50210, 50211, 50218, (50221 - 50220), 50309, 50310, 50311, 50318, 51601 ... 51607, 51801 ... 51807, 51901 ... 51907). | 8901 | Н1.1(А), Н1.2(А), Н1.0(А) |
| (в ред. Указания ЦБ РФ от 25.10.2013 N 3097-У) | ||
| Номинированные и фондированные в рублях кредитные требования и требования по получению начисленных (накопленных) процентов к Российской Федерации, федеральным органам исполнительной власти, в том числе Министерству финансов Российской Федерации (счета (их части): N N 441А, 460А, 47427, 47431, 47802, 47803, 47901, 50104, 50118, (50121 - 50120), 50205, 50218, (50221 - 50220), 50305, 50318, 51201 ... 51207). | 8902 | Н1.1(А), Н1.2(А), Н1.0(А) |
| (в ред. Указания ЦБ РФ от 25.10.2013 N 3097-У) | ||
| Кредитные требования и требования по получению начисленных (накопленных) процентов к центральным банкам или правительствам стран, имеющих страновую оценку "2", к организациям, которым в соответствии с законодательством соответствующих стран предоставлено право осуществлять заимствования от имени государства (счета (их части): N N 30211, 40308, 47427, 47901, 50108, 50109, 50110, 50118, (50121 - 50120), 50209, 50210, 50211, 50218, (50221 - 50220), 50309, 50310, 50311, 50318, 51601 ... 51607, 51801 ... 51807, 51901 ... 51907). | 8903 | Н1.1(А), Н1.2(А), Н1.0(А) |
| (в ред. Указания ЦБ РФ от 25.10.2013 N 3097-У) | ||
| Номинированные и фондированные в рублях кредитные требования и требования по получению начисленных (накопленных) процентов к субъектам Российской Федерации, муниципальным образованиям Российской Федерации (счета (их части): N N 442А, 461А, 47427, 47431, 47802, 47803, 47901, 50105, 50118, (50121 - 50120), 50206, 50218, (50221 - 50220), 50306, 50318, 51301 ... 51307). | 8904 | Н1.1(А), Н1.2(А), Н1.0(А) |
| (в ред. Указания ЦБ РФ от 25.10.2013 N 3097-У) | ||
| 5 процентов кредитов, депозитов и иных привлеченных средств сроком погашения в течение ближайших 30 календарных дней, привлеченных банком и обеспеченных предоставленным им залогом в виде ценных бумаг (за исключением ценных бумаг, эмитированных правительствами и резидентами стран, имеющих страновые оценки "0", "1", или стран с высоким уровнем доходов, являющихся членами ОЭСР и (или) Еврозоны), при условии, что договоры по данным кредитам, депозитам и иным привлеченным средствам предполагают довнесение банком кредитору обеспечения в размере снижения текущей (справедливой) стоимости залога (счета (их части): N N 312, 313, 314, 31503 ... 31509, 31603 ... 31609, 32901, 41002 ... 41007, 41102 ... 41107, 41202 ... 41207, 41302 ... 41307, 41402 ... 41407, 41502 ... 41507, 41602 ... 41607, 41702 ... 41707, 41802 ... 41807, 41902 ... 41907, 42002 ... 42007, 42102 ... 42107, 42202 ... 42207, 42502 ... 42507, 42702 ... 42707, 42802 ... 42807, 42902 ... 42907, 43002 ... 43007, 43102 ... 43107, 43202 ... 43207, 43302 ... 43307, 43402 ... 43407, 43502 ... 43507, 43602 ... 43607, 43702 ... 43707, 43802 ... 43807, 43902 ... 43907, 44002 ... 44007). | 8905 | Н2(Овм) Н3(Овт) |
| (в ред. Указаний ЦБ РФ от 25.10.2013 N 3097-У, от 30.05.2014 N 3268-У) | ||
| Обязательства банка по кредитам до востребования и на 1 день, привлеченным от Банка России и (или) банков-контрагентов и обеспеченным предоставленным банком залогом в виде высоколиквидных ценных бумаг (счета (их части): N N 31201, 31210, 31213, 31214, 31301, 31302, 31310, 31401, 31402, 31410) и (или) счета (их части): N N 31202, 31215, 31303, 31403), если день совершения указанных операций предшествует выходным и праздничным дням. | 8906 | Н2(Овм), Н3(Овт) |
| (в ред. Указания ЦБ РФ от 30.05.2014 N 3268-У) | ||
| 5 процентов кредитов, депозитов и иных привлеченных средств сроком погашения свыше 30 календарных дней, привлеченных банком и обеспеченных предоставленным им залогом в виде ценных бумаг (за исключением ценных бумаг, эмитированных правительствами и резидентами стран, имеющих страновые оценки "0", "1", или стран с высоким уровнем доходов, являющихся членами ОЭСР и (или) Еврозоны), при условии, что договоры по данным кредитам, депозитам и иным привлеченным средствам предполагают довнесение банком кредитору обеспечения в размере снижения текущей (справедливой) стоимости залога (счета (их части): N N 31204 ... 31207, 31212, 31217 ... 31221, 31305 ... 31309, 31405 ... 31409, 31505 ... 31509, 31605 ... 31609, 32901, 41003 ... 41007, 41103 ... 41107, 41203 ... 41207, 41303 ... 41307, 41403 ... 41407, 41503 ... 41507, 41603 ... 41607, 41703 ... 41707, 41803 ... 41807, 41903 ... 41907, 42003 ... 42007, 42103 ... 42107, 42203 ... 42207, 42503 ... 42507, 42703 ... 42707, 42803 ... 42807, 42903 ... 42907, 43003 ... 43007, 43103 ... 43107, 43203 ... 43207, 43303 ... 43307, 43403 ... 43407, 43503 ... 43507, 43603 ... 43607, 43703 ... 43707, 43803 ... 43807, 43903 ... 43907, 44003 ... 44007). | 8907 | Н3(Овт) |
| (в ред. Указаний ЦБ РФ от 25.10.2013 N 3097-У, от 30.05.2014 N 3268-У) | ||
| Кредиты "овердрафт", депозиты и прочие размещенные средства в кредитных организациях стран, имеющих страновую оценку "2" и выше, в том числе в кредитных организациях - резидентах, на срок "до востребования" со сроком нахождения на балансе до 10 календарных дней, в случае если исполнение обязательств по ним в соответствии с договором предусмотрено не позднее дня, следующего за днем востребования (за исключением включенных в расчет кода 8910) (счета (их части): N N 30427, 32001, 32010, 32101, 32110, 32201, 32301). | 8908 | Н3(Лат) |
| Кредиты, предоставленные кредитным организациям стран, имеющих страновую оценку "2" и выше, депозиты и прочие размещенные средства в указанных кредитных организациях на один день и "овернайт" (за исключением включенных в расчет кода 8910) (счета (их части): N N 30427, 32002, 32102, 32202, 32302). | ||
| В расчет кода включаются остатки по вышеперечисленным счетам с учетом пункта 3.4 настоящей Инструкции. | ||
| (в ред. Указания ЦБ РФ от 25.10.2013 N 3097-У) | ||
| Расчетная величина требований банка к заемщику, входящему более чем в одну группу связанных заемщиков, корректирующая совокупную величину крупных кредитных рисков и определяемая по следующей формуле: | 8909 | Н7 |
| где: | ||
| (в ред. Указаний ЦБ РФ от 25.10.2013 N 3097-У, от 30.05.2014 N 3268-У) | ||
| Строка 8909 - Исключена. | ||
| (в ред. Указания ЦБ РФ от 25.10.2013 N 3097-У) | ||
| Требования к кредитным организациям, являющимся резидентами стран, имеющих страновые оценки "0", "1", или стран с высоким уровнем доходов, являющихся членами ОЭСР и (или) Еврозоны, к Международному банку реконструкции и развития, Международной финансовой корпорации и Европейскому банку реконструкции и развития, а также к банкам-резидентам, Внешэкономбанку и в части, указанной в пункте "в" настоящей графы, к небанковским кредитным организациям - резидентам, которые в соответствии с Положением Банка России N 283-П, Положением Банка России N 254-П относятся к I категории качества: | 8910 | Н2(Лам) Н3(Лат) |
| (в ред. Указаний ЦБ РФ от 25.10.2013 N 3097-У, от 30.05.2014 N 3268-У) | ||
| а) средства, размещенные в однодневные кредиты, депозиты и прочие размещенные средства, кредиты и депозиты "овернайт", кредиты "овердрафт" до востребования, депозиты и прочие размещенные средства до востребования (за исключением требований банка к контрагенту по возврату ценных бумаг, полученных без первоначального признания и переданных по сделкам, совершаемым на возвратной основе) со сроком нахождения на балансе до 10 календарных дней, исполнение обязательств по которым в соответствии с договором предусмотрено не позднее чем на следующий день после дня востребования (счета (их части): N N 30427, 32001, 32002, 32010, 32101, 32102, 32110, 32201, 32202, 32301, 32302, 45601, 45607, 45608 и (или) счета (их части): N N 32003, 32103, 32203, 32303, если день размещения кредита, депозита или прочих средств предшествует выходным и праздничным дням); | ||
| (в ред. Указания ЦБ РФ от 30.05.2014 N 3268-У) | ||
| б) требования до востребования (со сроком нахождения на балансе до 10 календарных дней), исполнение обязательств по которым в соответствии с договором предусмотрено не позднее чем на следующий день после дня востребования и на 1 день по возврату денежных средств по сделкам, совершаемым на возвратной основе с ценными бумагами, полученными без первоначального признания, за исключением требований, возникших в результате сделки по приобретению высоколиквидных финансовых активов, включаемых в состав показателя Лам счета (их части): N N 32201, 32202, 32301, 32302, 47301, 47302 и (или) счета (их части): N N 32203, 32303, если день совершения указанных операций предшествует выходным и праздничным дням); | ||
| (в ред. Указания ЦБ РФ от 30.05.2014 N 3268-У) | ||
| в) средства на корреспондентских счетах, стоимость драгоценных металлов, учет которых ведется на металлических счетах, а также незавершенные расчеты по корреспондентским счетам, открытым в указанных кредитных организациях и международных организациях (счета (их части): N N 30110, 30114, 30119, 30221). | ||
| (в ред. Указания ЦБ РФ от 30.05.2014 N 3268-У) | ||
| В расчет кода включаются остатки по вышеперечисленным счетам с учетом пункта 3.4 настоящей Инструкции. | ||
| Обязательства банка перед клиентами в пределах средств, перечисленных на биржу для покупки (продажи) по поручению клиентов: иностранной валюты и отражаемых на счетах N N 47404 и 30424 (счет (часть счета) N 47405); ценных бумаг и иных финансовых активов и отражаемых на счетах N N 30413, 30424 (счета (часть счетов) N N 30601 и 30606). | 8911 | Н2(Овм) Н3(Овт) |
| (в ред. Указания ЦБ РФ от 25.10.2013 N 3097-У) | ||
| Средства на корреспондентском и депозитном счетах в Банке России, в том числе на корреспондентских счетах расчетных центров ОРЦБ в Банке России, а также средства, депонируемые уполномоченными банками в Банке России, прочие средства, размещенные в Банке России, в том числе на клиринговых банковских счетах, требования к Банку России по получению начисленных (накопленных) процентов (счета (их части): N N 30102, 30221, 30224, 319; 30104, 30106, 30125 (при расчете показателей небанковскими кредитными организациями, осуществляющими депозитные и кредитные операции), 30417, 30419, 32902, 47408, 47427, 50118, (50121 - 50120), 50218, (50221 - 50220), 50318, 50618, (50621 - 50620), 50718, (50721 - 50720)). | 8912.1, 8912.2, 8912.0 | Н1.1(А), Н1.2(А), Н1.0(А) |
| (в ред. Указания ЦБ РФ от 25.10.2013 N 3097-У) | ||
| Номинированные и фондированные в рублях кредитные требования и требования по получению начисленных (накопленных) процентов в части, обеспеченной гарантиями субъектов Российской Федерации или муниципальных образований Российской Федерации, а также залогом номинированных в рублях долговых ценных бумаг субъектов Российской Федерации или муниципальных образований Российской Федерации в размере 80 процентов текущей (справедливой) стоимости ценных бумаг (счета (их части): N N 320А, 321А, 322А, 323А, 443А, 444А, 445А, 446А, 447А, 448А, 449А, 450А, 451А, 452А, 453А, 454А, 456А, 462А, 463А, 464А, 465А, 466А, 467А, 468А, 469А, 470А, 471А, 472А, 473А, 47410, 47431, 47427, 478А, 47901, 50106, 50107, 50118, (50121 - 50120), 50207, 50208, 50218, (50221 - 50220), 50307, 50308, 50318, 51401 ... 51407, 51501 ... 51507, 51601 ... 51607, 51701 ... 51707, 51801 ... 51807, 51901 ... 51907). | 8913.1, 8913.2, 8913.0 | Н1.1(А), Н1.2(А), Н1.0(А) |
| (в ред. Указания ЦБ РФ от 25.10.2013 N 3097-У) | ||
| Обязательства банка, не удовлетворяющие критериям "до востребования и на 1 день" (за исключением отраженных по коду 8994) (счета (часть счетов): N N 30232, 30411, 30412, 30414, 30420, 30421, 32901, 47403, 47405, 47407, 47422, 60301, 60305, 60307, 60309, 60311, 60313, 60322). | 8914 | Н2(Овм) |
| (в ред. Указания ЦБ РФ от 30.05.2014 N 3268-У) | ||
| Дивиденды, подлежащие выплате акционерам (участникам), если решение о выплате дивидендов утверждено собранием акционеров (участников) или органом управления банка, уполномоченным учредительными документами банка (счет (часть счета) N 60320). | 8916 | Н2(Овм), Н3(Овт) |
| Кредитные требования и требования по получению начисленных (накопленных) процентов в части, обеспеченной гарантиями (поручительствами, резервными аккредитивами) правительств или центральных банков стран, имеющих страновые оценки "0", "1", или стран с высоким уровнем доходов, являющихся членами ОЭСР и (или) Еврозоны, организаций, которые в соответствии с законодательством соответствующих стран приравнены к гарантиям (поручительствам, резервным аккредитивам) правительств или центральных банков указанных стран, а также кредитные требования и требования по получению начисленных (накопленных) процентов в части, обеспеченной залогом долговых ценных бумаг центральных банков или государственных долговых ценных бумаг стран, имеющих страновые оценки "0", "1", в размере 80 процентов текущей (справедливой) стоимости указанных ценных бумаг (счета (их части): N N 20311, 20312, 20315, 20316, 320А, 321А, 322А, 323А, 442А, 443А, 444А, 445А, 446А, 447А, 448А, 449А, 450А, 451А, 452А, 453А, 454А, 456А, 462А, 463А, 464А, 465А, 466А, 467А, 468А, 469А, 470А, 471А, 472А, 473А, 47410, 47431, 47427, 478А, 47901, 50106, 50107, 50109, 50110, 50118, (50121 - 50120), 50207, 50208, 50210, 50211, 50218, (50221 - 50220), 50307, 50308, 50310, 50311, 50318, 51401 ... 51407, 51501 ... 51507, 51701 ... 51707, 51801 ... 51807, 51901 ... 51907). | 8917.1, 8917.2, 8917.0 | Н1.1(А), Н1.2(А), Н1.0(А) |
| (в ред. Указания ЦБ РФ от 25.10.2013 N 3097-У) | ||
| Обязательства банка (за исключением включенных в расчет кода 8933) по кредитам, депозитам и прочим привлеченным средствам, за исключением суммы полученного банком субординированного кредита (займа, депозита) в части остаточной стоимости, включенной в расчет собственных средств (капитала) банка, а также по долговым обязательствам банка с оставшимся сроком до даты погашения свыше года (счета (их части): N N 30219, 30415, 30422, 30423, 31207, 31220, 31221, 31222, 31308, 31309, 31408, 31409, 31508, 31509, 31608, 31609, 41006, 41007, 41106, 41107, 41206, 41207, 41306, 41307, 41406, 41407, 41506, 41507, 41606, 41607, 41706, 41707, 41806, 41807, 41906, 41907, 42006, 42007, 42106, 42107, 42206, 42207, 42306, 42307, 42314, 42315, 42506, 42507, 42606, 42607, 42614, 42615, 42706, 42707, 42806, 42807, 42906, 42907, 43006, 43007, 43106, 43107, 43206, 43207, 43306, 43307, 43406, 43407, 43506, 43507, 43606, 43607, 43706, 43707, 43806, 43807, 43906, 43907, 44006, 44007, 52005, 52006, 52105, 52106, 52205, 52206, 52306, 52307). | 8918 | Н4(ОД) |
| Вложения, удовлетворяющие требованиям, установленным в пункте 8.2 настоящей Инструкции. Вложения в акции (доли) включаются в расчет данного кода с учетом суммы отрицательной и положительной разниц по переоценке указанных акций (долей) (счета (их части): N N 50605, 50607, 50608, 50618, (50621 - 50620), 50705, 50706, 50707, 50708, 50709, 50718, (50721 - 50720), 601А, 60201, 60202, 60203, 60204). | 8919 | Н12 |
| (в ред. Указаний ЦБ РФ от 25.10.2013 N 3097-У, от 30.05.2014 N 3268-У) | ||
| Текущая (справедливая) стоимость акций, полученных от эмитента в связи с увеличением им уставного капитала, в случае если указанное увеличение производилось эмитентом за счет капитализации источников собственных средств в порядке, установленном законодательством Российской Федерации, при условии, что получение данных акций не сопровождалось дополнительными вложениями денежных средств либо иного имущества банка в акции (части счетов, которые входят в расчет норматива Н12). | 8920 | Н12 |
| Средства на корреспондентском счете в Банке России, депозиты и прочие размещенные средства в Банке России до востребования и на один день, средства на корреспондентских счетах расчетных центров ОРЦБ в Банке России, а также средства, депонируемые уполномоченными банками в Банке России (счета (их части): N N 30102, 30221, 31901, 31902, 31903, 32902 (если день размещения депозита и прочих средств предшествует выходным и праздничным дням), 30104, 30106, 30125 (при расчете показателей небанковскими кредитными организациями, осуществляющими депозитные и кредитные операции), 30224). | 8921 | Н2(Лам) Н3(Лат) |
| (в ред. Указания ЦБ РФ от 25.10.2013 N 3097-У) | ||
| В расчет кода включаются остатки по вышеперечисленным счетам с учетом пункта 3.4 настоящей Инструкции. | ||
| Минимальный совокупный остаток средств по счетам физических и юридических лиц (кроме кредитных организаций) до востребования, определенный в порядке, установленном пунктом 3.6 настоящей Инструкции (счета (их части): N N 40101, 40105, 40106, 40116, 402, 40301, 40302, 404, 405, 406, 407, 408, 41001, 41101, 41201, 41301, 41401, 41501, 41601, 41701, 41801, 41901, 42001, 42101, 42201, 42301, 42309, 42501, 42601, 42609, 42701, 42801, 42901, 43001, 43101, 43201, 43301, 43401, 43501, 43601, 43701, 43801, 43901, 44001). | 8922 | Н2(Овм <*>) |
| Кредитные требования и требования по получению начисленных (накопленных) процентов в части, обеспеченной залогом номинированных в иностранной валюте государственных долговых ценных бумаг Российской Федерации, субъектов Российской Федерации, муниципальных образований Российской Федерации (счета (их части): N N 20311, 20312, 20315, 20316, 320А, 321А, 322А, 323А, 443А, 444А, 445А, 446А, 447А, 448А, 449А, 450А, 451А, 452А, 453А, 454А, 456А, 462А, 463А, 464А, 465А, 466А, 467А, 468А, 469А, 470А, 471А, 472А, 473А, 47410, 47431, 47427, 478А, 47901, 51401 ... 51407, 51501 ... 51507, 51601 ... 51607, 51701 ... 51707, 51801 ... 51807, 51901 ... 51907). | 8923.1, 8923.2, 8923.0 | Н1.1(А), Н1.2(А), Н1.0(А) |
| (в ред. Указания ЦБ РФ от 25.10.2013 N 3097-У) | ||
| Корректирующая совокупную величину крупных кредитных рисков расчетная величина требований банка к заемщику, возникающих в рамках сделок продажи ценных бумаг, совершаемых на возвратной основе, без прекращения признания (требования к контрагенту по возврату ценных бумаг и требования к эмитенту ценных бумаг, переданных по сделке), определяемая как сумма наименьших из двух величин по каждой сделке - кредитного риска по контрагенту по сделке и кредитного риска по эмитенту передаваемых по сделке ценных бумаг, рассчитанных в соответствии с приложением 6 к настоящей Инструкции. | 8924 | Н7 |
| (в ред. Указания ЦБ РФ от 30.05.2014 N 3268-У) | ||
| Строка 8924 - Исключена. | ||
| (в ред. Указания ЦБ РФ от 25.10.2013 N 3097-У) | ||
| Совокупная сумма кредитных требований ко всем инсайдерам банка, кредитного риска по условным обязательствам кредитного характера, производным финансовым инструментам, заключенным с инсайдерами, за вычетом сформированного резерва на возможные потери по указанным кредитным требованиям в соответствии с Положением Банка России N 254-П и Положением Банка России N 283-П, рассчитанная в порядке, аналогичном установленному главой 4 настоящей Инструкции для показателя Крз. | 8925 | Н10.1 |
| (в ред. Указания ЦБ РФ от 25.10.2013 N 3097-У) | ||
| Совокупная сумма кредитных требований банка, а также кредитного риска по условным обязательствам кредитного характера, производным финансовым инструментам, в отношении участников (акционеров), которые имеют право распоряжаться 5 и более процентами голосующих акций (долей) банка, за вычетом сформированного резерва на возможные потери по указанным кредитным требованиям в соответствии с Положением Банка России N 283-П и Положением Банка России N 254-П, взвешенных с учетом коэффициентов риска, установленных в отношении соответствующих активов в пункте 2.3 настоящей Инструкции. | 8926 | Н9.1 |
| (в ред. Указания ЦБ РФ от 25.10.2013 N 3097-У) | ||
| Суммы покрытых отзывных аккредитивов, а также обязательства банка - эмитента по гарантированному аккредитиву перед исполняющим и (или) подтверждающим банком в сумме осуществленных им расчетов (счета (их части): N N 40901, 40902). | 8927 | Н2(Овм) Н3(Овт) |
| (в ред. Указания ЦБ РФ от 25.10.2013 N 3097-У) | ||
| Обязательства исполняющего банка по покрытым безотзывным аккредитивам со сроком закрытия в течение ближайших 30 календарных дней (счета (их части): N N 40901, 40902); | 8928 | Н3(Овт) |
| (в ред. Указания ЦБ РФ от 25.10.2013 N 3097-У) | ||
| Обязательства банка-эмитента по покрытым безотзывным аккредитивам сроком закрытия в течение ближайших 30 календарных дней в части, превышающей сумму покрытия, перечисленного исполняющему банку и отраженного по счетам N N 47410, 47431 (счета (их части): N N 40901, 40902). | ||
| (в ред. Указания ЦБ РФ от 25.10.2013 N 3097-У) | ||
| Минимальный совокупный остаток средств по счетам физических и юридических лиц (кроме кредитных организаций) до востребования и сроком исполнения обязательств в ближайшие 30 календарных дней, определенный в порядке, установленном пунктом 3.6 настоящей Инструкции (счета (их части): N N 40101, 40105, 40106, 40116, 402, 40301, 40302, 404, 405, 406, 407, 408, 410, 411, 412, 413, 414, 415, 416, 417, 418, 419, 420, 421, 422, 423, 425, 426, 427, 428, 429, 430, 431, 432, 433, 434, 435, 436, 437, 438, 439, 440). | 8930 | Н3(Овт <*>) |
| Кредитные требования и требования по получению начисленных (накопленных) процентов к центральным банкам или правительствам стран, имеющих страновую оценку "3", к организациям, которым в соответствии с законодательством соответствующих стран предоставлено право осуществлять заимствования от имени государства (счета (их части): N N 30211, 40308, 47427, 47901, 50108, 50109, 50110, 50118, (50121 - 50120), 50209, 50210, 50211, 50218, (50221 - 50220), 50309, 50310, 50311, 50318, 51601 ... 51607, 51801 ... 51807, 51901 ... 51907). | 8932 | Н1.1(А), Н1.2(А), Н1.0(А) |
| (в ред. Указания ЦБ РФ от 25.10.2013 N 3097-У) | ||
| 20 процентов от суммы депозитов, вкладов и прочих привлеченных средств, определенные банком как срочные, в части, превышающей неснижаемый остаток, установленный в соответствующем договоре, заключенном между банком и клиентом (части счетов: N N 41002 ... 41007, 41102 ... 41107, 41202 ... 41207, 41302 ... 41307, 41402 ... 41407, 41502 ... 41507, 41602 ... 41607, 41702 ... 41707, 41802 ... 41807, 41902 ... 41907, 42002 ... 42007, 42102 ... 42107, 42202 ... 42207, 42302 ... 42307, 42310 ... 42315, 42502 ... 42507, 42602 ... 42607, 42610 ... 42615, 42702 ... 42707, 42802 ... 42807, 42902 ... 42907, 43002 ... 43007, 43102 ... 43107, 43202 ... 43207, 43302 ... 43307, 43402 ... 43407, 43502 ... 43507, 43602 ... 43607, 43702 ... 43707, 43802 ... 43807, 43902 ... 43907, 44002 ... 44007). | 8933 | Н2(Овм) Н3(Овт) |
| Вложения кредитной организации в субординированные кредиты, предоставленные кредитным организациям - резидентам, в части, уменьшающей сумму источников основного и дополнительного капитала на основании подпункта 4.2 пункта 4 приложения к Положению Банка России N 395-П и принимаемые в расчет в соответствии с порядком, предусмотренным подпунктом 8.1.1 пункта 8 Положения Банка России N 395-П. | 8934 | Н1.0(А) |
| (в ред. Указания ЦБ РФ от 25.10.2013 N 3097-У) | ||
| Неденежные активы (до регистрации отчета об итогах выпуска акций), внесенные в оплату эмитируемых акций (счет (часть счета) N 604А). | 8936 | Н1.1(А), Н1.2(А), Н1.0(А) |
| (в ред. Указания ЦБ РФ от 25.10.2013 N 3097-У) | ||
| Обязательства со сроком исполнения "до востребования" и на следующий день по возврату денежных средств по сделкам, совершаемым на возвратной основе с высоколиквидными ценными бумагами, переданными без прекращения признания, превышающие текущую (справедливую) стоимость указанных активов (счета (их части): N N 31501, 31502, 31601, 31602, 317, 318, 32901, 42309, 42609, 42701, 42801, 42901, 43001, 43101, 43201, 43301, 43401, 43501, 43601, 43701, 43801, 43901, 44001 и (или) счета (их части): N N 31503, 31603, 42702, 42802, 42902, 43002, 43102, 43202, 43302, 43402, 43502, 43602, 43702, 43802, 43902, 44002, если день привлечения указанных средств предшествует выходным и праздничным дням). | 8937 | Н2(Овм) |
| Одинаковые (сопоставимые) по размеру встречные требования банка к кредитным организациям-корреспондентам и кредитных организаций-корреспондентов к банку сроком исполнения в течение ближайших 30 дней, по счетам НОСТРО и ЛОРО (в части, вошедшей в расчет кодов 8910 и 8950), межбанковским кредитам, депозитам, прочим привлеченным (размещенным) средствам (в части требований, одинаковых (сопоставимых) по размеру и сроку, оставшемуся до даты исполнения (счета (их части): N N 30110, 30114, 30118, 30119, 32001 ... 32009, 32010, 32101 ... 32109, 32110, 32201 ... 32209, 32301 ... 32309, в части, соответствующей остаткам на счетах (их части): N N 30109, 30111, 30116, 30117, 31301 ... 31310, 31401 ... 31410, 31501 ... 31509, 31601 ... 31609). | 8938 | Н3(Лат, Овт) |
| Код рассчитывается в отношении всех сопоставимых по размеру и срокам встречных требований банка к банку-контрагенту, срок исполнения которых наступает в течение ближайших 30 календарных дней. Если суммы встречных сопоставимых по размеру требований разные, корректировка осуществляется на сумму минимального из сопоставимых требований вне зависимости от вида валюты в рублевом эквиваленте. В расчет принимается общая сумма требований (средства на корреспондентском счете НОСТРО, размещенные межбанковские кредиты и депозиты) и общая сумма обязательств (средства на корреспондентском счете ЛОРО, привлеченные межбанковские кредиты и депозиты) в отношении одного и того же банка-корреспондента. | ||
| Сопоставимость сумм и сроков встречных требований определяется на основании профессионального суждения. | ||
| В состав кода не включаются встречные требования по сопоставимым суммам и срокам, хеджирующие принимаемые кредитной организацией риски (в том числе процентные и валютные). Под сделками, хеджирующими принимаемые кредитной организацией риски, в целях настоящей Инструкции понимаются сделки валютного и процентного свопа, оформленные согласно внутренним документам кредитной организации как хеджирующие. | ||
| Обязательства со сроком исполнения в течение ближайших 30 календарных дней по возврату денежных средств по сделкам, совершаемым на возвратной основе с высоколиквидными и ликвидными ценными бумагами, переданными без прекращения признания, превышающие текущую (справедливую) стоимость указанных активов (счета (их части): N N 315, 316, 317, 318, 32901, 42309 ... 42315, 42609 ... 42615, 427, 428, 429, 430, 431, 432, 433, 434, 435, 436, 437, 438, 439, 440). | 8939 | Н3(Овт) |
| Обязательства банка по уплате процентов со сроком исполнения до востребования (счета (их части): N N 47411 и 47426), по процентам и купонам по выпущенным ценным бумагам (счет (часть счета) N 52501), а также проценты, начисленные в порядке, определенном пунктом 3.6 Положения Банка России от 26 июня 1998 года N 39-П "О порядке начисления процентов по сделкам, связанным с привлечением и размещением денежных средств банками", зарегистрированного Министерством юстиции Российской Федерации 23 июля 1998 года N 1565, 26 января 1999 года N 1688, 11 декабря 2007 года N 10675 ("Вестник Банка России" от 6 августа 1998 года N 53-54, от 4 февраля 1999 года N 7, от 17 декабря 2007 года N 69) (далее - Положение Банка России N 39-П). | 8940 | Н2(Овм) Н3(Овт) |
| Требования: | 8941.1, 8941.2, 8941.0 | Н1.1(А), Н1.2(А), Н1.0(А) |
| а) участников клиринга: (в части средств, перечисленных для исполнения и (или) обеспечения исполнения обязательств, допущенных к клирингу, в том числе в качестве индивидуального клирингового обеспечения, а также кредитные требования, возникшие по результатам клиринга) к клиринговым кредитным организациям, к кредитным организациям, осуществляющим функции центрального контрагента (за исключением требований к кредитным организациям, осуществляющим функции центрального контрагента указанных по коду 8846), и к расчетным кредитным организациям; | ||
| (в ред. Указания ЦБ РФ от 25.10.2013 N 3097-У) | ||
| б) клиринговых кредитных организаций, кредитных организаций, осуществляющих функции центрального контрагента, к расчетным кредитным организациям, в части средств, перечисленных для исполнения и (или) обеспечения исполнения обязательств, допущенных к клирингу, в качестве индивидуального и коллективного клирингового обеспечения; | ||
| (в ред. Указания ЦБ РФ от 25.10.2013 N 3097-У) | ||
| в) участников расчетов к расчетным небанковским кредитным организациям, включая средства, перечисленные в фонд поддержания ликвидности, специально созданный участниками расчетов; | ||
| г) банков - доверителей (комитентов) по брокерским операциям с ценными бумагами и другими активами в части, размещенной брокером (за исключением случая, когда в качестве брокера выступает кредитная организация): в клиринговых кредитных организациях, в кредитных организациях, осуществляющих функции центрального контрагента (за исключением требований к кредитным организациям, осуществляющим функции центрального контрагента, указанным в коде 8846); расчетных кредитных организациях; расчетных небанковских кредитных организациях; | ||
| (в ред. Указания ЦБ РФ от 25.10.2013 N 3097-У) | ||
| д) банков к валютным и фондовым биржам (счета (их части): N N 30110, 30215, 30233, 30413, 30416, 30418, 30424, 30602, 322А, 47404, 47408, 47427, 50118, (50121 - 50120), 50218, (50221 - 50220), 50318, 50618, (50621 - 50620), 50718, (50721 - 50720)). | ||
| (в ред. Указания ЦБ РФ от 25.10.2013 N 3097-У) | ||
| Величина операционного риска, рассчитанная в соответствии с требованиями Положения Банка России N 346-П. | 8942 | Н1.1(ОР), Н1.2(ОР), Н1.0(ОР) |
| (в ред. Указания ЦБ РФ от 25.10.2013 N 3097-У) | ||
| Строка 8943 - Исключена. | ||
| (в ред. Указания ЦБ РФ от 25.10.2013 N 3097-У) | ||
| Банковские гарантии и поручительства, выданные банком в пользу дочерней организации - эмитента еврооблигаций (счет (часть счета) N 91315), в размере, не превышающем совокупный объем привлеченных в результате эмиссии еврооблигаций от юридических лиц-нерезидентов средств, учитываемых на депозитных счетах компании-эмитента в банке-гаранте (счета (их части): N N 42502 ... 42507). | 8944 | КРВ |
| Кредитные требования и требования по получению начисленных (накопленных) процентов в части, обеспеченной: гарантийным депозитом (вкладом); собственными долговыми ценными бумагами банка-кредитора, находящимися в залоге (в виде заклада), а также указанными ценными бумагами, учтенными на счетах депо в соответствии с приказом ФСФР N 12-78/пз-н, в отношении которых зафиксировано (зарегистрировано) право залога при наличии в депозитарном договоре условия о том, что в случае прекращения залога фиксация (регистрация) факта снятия ограничения операций с ценными бумаги осуществляется на основании соответствующего поручения, подписанного залогодержателем; залогом золота в слитках в хранилищах банка; а также требования по возврату ценных бумаг, переданных без прекращения признания по сделкам, совершаемым на возвратной основе, обеспеченные денежными средствами, полученными в рамках договоров, удовлетворяющих требованиям подпункта 2.6.1 пункта 2.6 настоящей Инструкции (счета (их части): N N 20311, 20312, 20315, 20316, 320А, 321А, 322А, 323А, 32902, 442А, 443А, 444А, 445А, 446А, 447А, 448А, 449А, 450А, 451А, 452А, 453А, 454А, 455А, 456А, 457А, 461А, 462А, 463А, 464А, 465А, 466А, 467А, 468А, 469А, 470А, 471А, 472А, 473А, 47408, 47410, 47431, 47427, 478А, 47901, 50118, (50121 - 50120), 50218, (50221 - 50220), 50318, 50618, (50621 - 50620), 50718, (50721 - 50720), 51201...51207, 51301...51307, 51401...51407, 51501...51507, 51601...51607, 51701...51707, 51801...51807, 51901...51907). | 8945.1, 8945.2, 8945.0 | Н1.1(А), Н1.2(А), Н1.0(А) |
| (в ред. Указания ЦБ РФ от 25.10.2013 N 3097-У) | ||
| Кредитные требования и требования по получению начисленных (накопленных) процентов в части, обеспеченной гарантиями (поручительствами, резервными аккредитивами), полученными (выставленными) от кредитных организаций (кредитными организациями), не имеющих (не имеющими) рейтингов долгосрочной кредитоспособности, присвоенных международными рейтинговыми агентствами, и являющихся (являющимися) резидентами стран, имеющих страновую оценку "0" и "1", или стран с высоким уровнем доходов, являющихся членами ОЭСР и (или) Еврозоны, а также от кредитных организаций - резидентов (кредитными организациями - резидентами) стран, имеющих страновую оценку "2" (счета (их части): N N 20311, 20312, 20315, 20316, 320А, 321А, 322А, 323А, 442А, 443А, 444А, 445А, 446А, 447А, 448А, 449А, 450А, 451А, 452А, 453А, 454А, 455А, 456А, 457А, 461А, 462А, 463А, 464А, 465А, 466А, 467А, 468А, 469А, 470А, 471А, 472А, 473А, 47410, 47431, 47427, 478А, 47901, 50106, 50107, 50109, 50110, 50118, (50121 - 50120), 50207, 50208, 50210, 50211, 50218, (50221 - 50220), 50307, 50308, 50310, 50311, 50318, 51401 ... 51407, 51501 ... 51507, 51701 ... 51707, 51801 ... 51807, 51901 ... 51907). | 8946.1, 8946.2, 8946.0 | Н1.1(А), Н1.2(А), Н1.0(А) |
| (в ред. Указания ЦБ РФ от 25.10.2013 N 3097-У) | ||
| Остатки на отдельных лицевых счетах (счетов) N N 30110 и 30114, открытых для целей оплаты акций банка в иностранной валюте при увеличении уставного капитала и действующих в режиме накопительных счетов кредитных организаций со специальным режимом при выпуске акций. | 8947 | Н1.1(А), Н1.2(А), Н1.0(А) |
| (в ред. Указания ЦБ РФ от 25.10.2013 N 3097-У) | ||
| Совокупная сумма требований банка к своим акционерам (участникам) и инсайдерам, превышающая ограничения, установленные нормативами Н6, Н9.1 и Н10.1 за вычетом резерва, сформированного в соответствии с Положением Банка России N 254-П, Положением Банка России N 283-П, уменьшающая сумму основного и дополнительного капитала в соответствии с подпунктом 5.1 пункта 5 приложения к Положению Банка России N 395-П и принимаемая в расчет в соответствии с порядком, предусмотренным подпунктом 8.1.1 пункта 8 Положения Банка России N 395-П. | 8948 | Н1.0(А) |
| (в ред. Указания ЦБ РФ от 25.10.2013 N 3097-У) | ||
| Совокупная сумма требований банка к своим акционерам (участникам) и инсайдерам, превышающая ограничения, установленные нормативами Н6, Н9.1 и Н10.1 за вычетом резерва, сформированного в соответствии с Положением Банка России N 254-П, Положением Банка России N 283-П, уменьшающая сумму основного и дополнительного капитала в соответствии с подпунктом 4.2.1 пункта 4 Положения Банка России N 395-П и принимаемая в расчет в соответствии с порядком, предусмотренным подпунктом 8.1 пункта 8 Положения Банка России N 395-П | 8948.0 | Н1.0(А) |
| (в ред. Указания ЦБ РФ от 25.10.2013 N 3097-У) | ||
| Суммы займов, полученных в качестве промежуточного финансирования в целях рефинансирования портфелей ипотечных кредитов, от Агентства, удовлетворяющего пункту "в" кода 8850, включаются в расчет настоящего кода независимо от срока их погашения при одновременном выполнении условий: договор займа заключен с условием использования заемщиком полученных средств на определенные цели (для выдачи и (или) приобретения ипотечных кредитов, подлежащих рефинансированию) и предусмотрено ежемесячное подтверждение заемщиком Агентству целевого использования займа; суммы займов не превышают определенный в договоре об организации выпуска объем обязательств Агентства по выкупу первого по очередности погашения выпуска облигаций с ипотечным покрытием; Агентство ежеквартально в письменной форме подтверждает банку, получающему промежуточное финансирование в целях рефинансирования портфеля ипотечных кредитов, которые подлежат включению в состав ипотечного покрытия облигаций (далее - банк-оригинатор), отсутствие у Агентства оснований для одностороннего отказа от исполнения обязательства по выкупу первого по очередности погашения выпуска облигаций с ипотечным покрытием; у банка-оригинатора отсутствуют обязательства, возникающие из любых сделок, по обратному выкупу у Агентства первого по очередности погашения выпуска облигаций с ипотечным покрытием; срок обращения планируемых к выпуску облигаций с ипотечным покрытием превышает 1 год; депозитарий, осуществляющий учет прав на имущество, которое будет составлять ипотечное покрытие, и (или) хранение документов, которыми подтверждены обеспеченные ипотекой требования и права на иное имущество банка-оригинатора, до их включения в ипотечное покрытие по облигациям, удовлетворяет одному из критериев, перечисленных в пункте 1.2 Указания Банка России N 2732-У. В случае погашения займа, полученного от Агентства в рамках договора о предоставлении промежуточного финансирования, сумма займа включается банком-оригинатором в расчет данного кода до 30 календарных дней после погашения займа, но не позднее даты выпуска облигаций с ипотечным покрытием, при условии, что погашение займа осуществлено в срок, указанный первоначально в договоре о предоставлении промежуточного финансирования либо более поздний. | 8949 | Н4 (ОД) |
| (в ред. Указания ЦБ РФ от 30.05.2014 N 3268-У) | ||
| Строка 8949 - Исключена. | ||
| (в ред. Указания ЦБ РФ от 25.10.2013 N 3097-У) | ||
| Средства на корреспондентских счетах в кредитных организациях - резидентах, Внешэкономбанке и в банках-резидентах стран, имеющих страновую оценку "2" и выше, а также стоимость драгоценных металлов, учет которых ведется на металлических счетах в указанных банках, за исключением остатков на отдельных лицевых счетах, действующих в режиме накопительных, в соответствии с нормативным актом Банка России о порядке оплаты уставных капиталов кредитных организаций иностранной валютой и отражении соответствующих операций по счетам бухгалтерского учета, а также незавершенные расчеты по корреспондентским счетам, открытым в указанных банках (за исключением включенных в расчет кода 8910), (счета (их части): N N 30110, 30114, 30118, 30119, 30221). | 8950 | Н3(Лат) |
| В расчет кода включаются остатки по вышеперечисленным счетам с учетом пункта 3.4 настоящей Инструкции. | ||
| Кредитные требования и требования по получению начисленных (накопленных) процентов к кредитным организациям, имеющим рейтинги долгосрочной кредитоспособности, присвоенные международными рейтинговыми агентствами, и являющимся резидентами стран, имеющих страновые оценки "0", "1", или стран с высоким уровнем доходов, являющихся членами ОЭСР и (или) Еврозоны, (счета (их части): N N 20316, 30114, 30119, 30221, 30233, 30427, 30602, 321А, 323А, 456А, 473А, 47408, 47410, 47423, 47427, 478А, 47901, 50109, 50118, (50121 - 50120), 50210, 50218, (50221 - 50220), 50310, 50318, 50618, (50621 - 50620), 50718, (50721 - 50720), 51801 ... 51807). | 8953.1, 8953.2, 8953.0 | Н1.1(А), Н1.2(А), Н1.0(А) |
| (в ред. Указаний ЦБ РФ от 25.10.2013 N 3097-У, от 30.05.2014 N 3268-У) | ||
| Кредитные требования и требования по получению начисленных (накопленных) процентов к кредитным организациям, не имеющим рейтингов долгосрочной кредитоспособности, присвоенных международными рейтинговыми агентствами, и являющимся резидентами стран, имеющих страновую оценку "0" и "1", или стран с высоким уровнем доходов, являющихся членами ОЭСР и (или) Еврозоны, а также к кредитным организациям - резидентам стран, имеющих страновую оценку "2" (счета (их части): N N 20316, 30114, 30119, 30221, 30233, 30427, 30602, 321А, 323А, 456А, 473А, 47408, 47410, 47423, 47427, 478А, 47901, 50109, 50118, (50121 - 50120), 50210, 50218, (50221 - 50220), 50310, 50318, 50618, (50621 - 50620), 50718, (50721 - 50720), 51801 ... 51807). | 8954.1, 8954.2, 8954.0 | Н1.1(А), Н1.2(А), Н1.0(А) |
| (в ред. Указаний ЦБ РФ от 25.10.2013 N 3097-У, от 30.05.2014 N 3268-У) | ||
| Собственные векселя банка-кредитора по предъявлении и к исполнению, находящиеся во владении залогодержателя - банка-кредитора (заклад) по кредиту (гарантии, поручительству), в обеспечение обязательств по которому приняты указанные векселя, в период с момента заклада указанных векселей по договору залога (после передачи предмета залога по акту приема-передачи) до момента обратной их передачи в связи с окончанием договора залога (счета (их части): N N 52301, 52406, 52501). | 8955 | Н2(Овм) |
| (в ред. Указания ЦБ РФ от 30.05.2014 N 3268-У) | ||
| Кредитные требования к связанным с банком лицам, за исключением требований к кредитным организациям - участникам банковской группы, в состав которой входит банк-кредитор. | 8956.1, 8956.2, 8956.0 | Н1.1(А), Н1.2(А), Н1.0(А) |
| К связанным с банком лицам относятся физические и юридические лица, которые могут воздействовать на принимаемые банком решения об осуществлении сделок, несущих кредитный риск (о выдаче кредитов, гарантий и т.д.), включая существенные условия сделок, а также лица, на принятие решения которыми может оказывать влияние банк. К связанным с банком лицам могут в том числе относиться: | ||
| аффилированные лица банка; | ||
| не относящиеся к аффилированным лицам банка акционеры (участники) банка, которые имеют право распоряжаться 5 и более процентами голосующих акций (долей участия) банка, и их аффилированные лица; | ||
| не относящиеся к аффилированным лицам банка инсайдеры. | ||
| Кредитные требования к связанным с банком лицам не включаются в расчет I - III групп активов. | ||
| Кредитные требования к связанным с банком лицам, включенные в V группу активов и коды 8860, 8860.x, 8861, 8861.x, 8862, 8862.x, 8864, 8864.x, 8865, 8865.x не включаются в расчет настоящего кода. | ||
| (в ред. Указания ЦБ РФ от 25.10.2013 N 3097-У) | ||
| В расчет данного кода не включаются требования по получению начисленных (накопленных) процентов по кредитным требованиям к связанным с банком лицам. | ||
| Сумма кредитных требований к связанным с банком лицам, указанным в строке кода обозначения 8956, взвешенных по уровню риска, умноженная на коэффициент 1,3. | 8957.1, 8957.2, 8957.0 | Н1.1(А), Н1.2(А), Н1.0(А) |
| (в ред. Указания ЦБ РФ от 25.10.2013 N 3097-У) | ||
| В отношении требований к связанным с банком лицам, относящимся к IV группе активов в соответствии с подпунктом 2.3.4 пункта 2.3 настоящей Инструкции и подпадающим под действие повышенного коэффициента 1,5 коэффициент 1,3 требованиям не применяется. | ||
| Кредитные требования и требования по получению начисленных (накопленных) процентов в части, обеспеченной гарантиями (поручительствами, резервными аккредитивами), полученными (выставленными) от кредитных организаций (кредитными организациями), имеющих (имеющими) рейтинги долгосрочной кредитоспособности, присвоенные международными рейтинговыми агентствами, и являющихся (являющимися) резидентами стран, имеющих страновые оценки "0", "1", или стран с высоким уровнем доходов, являющихся членами ОЭСР и (или) Еврозоны, (счета (их части): N N 20311, 20312, 20315, 20316, 320А, 321А, 322А, 323А, 442А, 443А, 444А, 445А, 446А, 447А, 448А, 449А, 450А, 451А, 452А, 453А, 454А, 455А, 456А, 457А, 461А, 462А, 463А, 464А, 465А, 466А, 467А, 468А, 469А, 470А, 471А, 472А, 473А, 47410, 47431, 47427, 478А, 47901, 50106, 50107, 50109, 50110, 50118, (50121 - 50120), 50207, 50208, 50210, 50211, 50218, (50221 - 50220), 50307, 50308, 50310, 50311, 50318, 51401 ... 51407, 51501 ... 51507, 51701 ... 51707, 51801 ... 51807, 51901 ... 51907). | 8959.1, 8959.2, 8959.0 | Н1.1(А), Н1.2(А), Н1.0(А) |
| (в ред. Указания ЦБ РФ от 25.10.2013 N 3097-У) | ||
| Номинированные и (или) фондированные в иностранной валюте кредитные требования и требования по получению начисленных (накопленных) процентов к Российской Федерации, федеральным органам исполнительной власти, в том числе Министерству финансов Российской Федерации, субъектам Российской Федерации, муниципальным образованиям Российской Федерации, Банку России (счета (их части): N N 32902 (в части требований по возврату ценных бумаг, номинированных в иностранной валюте, переданных по сделкам на возвратной основе), 441А, 442А, 460А, 461А, 47431, 47427, 47802, 47803, 47901, 50104, 50105, 50116, 50118, (50121 - 50120), 50205, 50206, 50214, 50218, (50221 - 50220), 50305, 50306, 50313, 50318, 50618, (50621 - 50620), 50718, (50721 - 50720), 51201 ... 51207, 51301 ... 51307). | 8960.1, 8960.2, 8960.0 | Н1.1(А), Н1.2(А), Н1.0(А) |
| (в ред. Указания ЦБ РФ от 25.10.2013 N 3097-У) | ||
| Процентные доходы (включая просроченные) по ценным бумагам (в том числе векселям) (счета (их части): N N 50104...50118, 50205...50218, 50305 ...50318, 50505, 512А, 513А, 514А, 515А, 516А, 517А, 518А, 519А, 52503). | 8961 | Н1.1(Кф) Н1.2(Кф) Н1.0(Кф) |
| (в ред. Указания ЦБ РФ от 25.10.2013 N 3097-У) | ||
| Наличные денежные средства (в том числе в иностранной валюте), а также чеки (в том числе дорожные чеки), номинальная стоимость которых указана в иностранной валюте, золото в хранилищах банка и в пути (счета (их части): N N 202, 20302, 20305). | 8962 | Н1.1(А), Н1.2(А), Н1.0(А) Н2(Лам) Н3(Лат) |
| (в ред. Указания ЦБ РФ от 25.10.2013 N 3097-У) | ||
| Текущая (справедливая) стоимость акций (долей) юридических лиц, по которым рассчитывается норматив Н12, переданных в доверительное управление, а также размещенных банком с предоставлением контрагенту права отсрочки платежа по стоимости на дату размещения за вычетом поступивших на дату расчета от контрагента денежных средств и резерва на возможные потери, сформированного в соответствии с требованиями Положения Банка России N 254-П (счета (их части): N N 47408, 47901). | 8963 | Н12 |
| Номинированные и фондированные в рублях кредитные требования и требования по получению начисленных (накопленных) процентов к банкам - резидентам, к Внешэкономбанку сроком размещения до 90 календарных дней (счета (их части): N N 30110 (за исключением средств, отраженных по коду 8947), 30221, 30233, 30427, 30602, 32001 ... 32005, 32010, 32201 ... 32205, 47408, 47423, 47427, 47431, 478А, 47901, 50106, 50118, (50121 - 50120), 50207, 50218, (50221 - 50220), 50307, 50318, 50618, (50621 - 50620), 50718, (50721 - 50720), 51401 ... 51403). | 8964.1, 8964.2, 8964.0 | Н1.1(А), Н1.2(А), Н1.0(А) |
| (в ред. Указания ЦБ РФ от 25.10.2013 N 3097-У) | ||
| Собственные векселя банка-кредитора по предъявлении и к исполнению находящиеся во владении залогодержателя - банка-кредитора (заклад), при условии, что срок исполнения обязательств по кредиту (гарантии, поручительству), в обеспечение обязательств по которому приняты указанные векселя, превышает 30 календарных дней, в период с момента заклада указанных векселей по договору залога (после передачи предмета залога по акту приема - передачи) до даты, наступающей за 30 календарных дней до срока окончания договора залога (счет (часть счета): N N 52301, 52406, 52501). | 8965 | Н3(Овт) |
| (в ред. Указания ЦБ РФ от 30.05.2014 N 3268-У) | ||
| Кредитные требования и требования по получению начисленных (накопленных) процентов, номинированные и (или) фондированные в иностранной валюте, а также кредитные требования в виде предоставленных (размещенных) драгоценных металлов и требования по получению начисленных (накопленных) процентов, в части, обеспеченной гарантиями Российской Федерации, федеральных органов исполнительной власти, в том числе Министерства финансов Российской Федерации, субъектов Российской Федерации, муниципальных образований Российской Федерации, банковскими гарантиями Банка России, а также кредитные требования и требования по получению начисленных (накопленных) процентов номинированные и (или) фондированные в иностранной валюте при наличии договора страхования экспортных кредитов и инвестиций, обеспеченного номинированными в иностранной валюте гарантиями Внешэкономбанка, выданными в соответствии с Постановлением Правительства Российской Федерации N 964, исполнение обязательств по которым обеспечено государственными гарантиями, выданными в соответствии с бюджетным законодательством Российской Федерации (счета (их части): N N 20311, 20312, 20315, 20316, 320А, 321А, 322А, 323А, 443А, 444А, 445А, 446А, 447А, 448А, 449А, 450А, 451А, 452А, 453А, 454А, 456А, 462А, 463А, 464А, 465А, 466А, 467А, 468А, 469А, 470А, 471А, 472А, 473А, 47410, 47431, 47427, 478А, 47901, 50106, 50107, 50118, (50121 - 50120), 50207, 50208, 50218, (50221 - 50220), 50307, 50308, 50318, 51401 ... 51407, 51501 ... 51507, 51601 ... 51607, 51701 ... 51707, 51801 ... 51807, 51901 ... 51907). | 8966 | Н1.1(А), Н1.2(А), Н1.0(А) |
| (в ред. Указания ЦБ РФ от 25.10.2013 N 3097-У) | ||
| Требования банка со сроком исполнения не позднее чем на следующий операционный день по получению начисленных (накопленных) процентов по активам, в отношении которых не предъявляются требования по определению расчетных резервов и формированию резервов на возможные потери в соответствии с Положением Банка России N 254-П и Положением Банка России N 283-П, по активам I и II категории качества в соответствии с Положением Банка России N 254-П и Положением Банка России N 283-П, участвующим в расчете высоколиквидных активов (счет N 47427), а также проценты, начисленные (накопленные) по указанным активам в соответствии с пунктом 3.5 Положения Банка России N 39-П и не отраженные на балансе (при расчете на внутримесячные даты). | 8967 | Н2(Лам) Н3(Лат) |
| Суммы, депонированные в учреждениях Банка России для получения следующим днем наличных денежных средств и золота (счет (часть счета) N 47423). | 8969 | Н1.1(А), Н1.2(А), Н1.0(А) Н2(Лам) Н3(Лат) |
| (в ред. Указания ЦБ РФ от 25.10.2013 N 3097-У) | ||
| Просроченная свыше 30 календарных дней дебиторская задолженность, учитываемая на счетах N N 474А (кроме счетов N N 47402, 47408, 47423, 47427), 603А (кроме счетов N N 60312, 60314, 60315, 60323, 60337, 60339, 60341, 60343, 60347), за вычетом созданного в соответствии с внутренними документами банка резерва на возможные потери в части, уменьшающей сумму источников основного и дополнительного капитала на основании подпункта 4.1 пункта 4 приложения к Положению Банка России N 395-П и принимаемой в расчет в соответствии с порядком, предусмотренным подпунктом 8.1.1 пункта 8 Положения Банка России N 395-П. | 8970 | Н1.0(А) |
| (в ред. Указаний ЦБ РФ от 25.10.2013 N 3097-У, от 30.05.2014 N 3268-У) | ||
| Просроченная свыше 30 календарных дней дебиторская задолженность, учитываемая на счетах N N 474А (кроме счетов N N 47402, 47408, 47423, 47427), 603А (кроме счетов N N 60312, 60314, 60315, 60323, 60337, 60339, 60341, 60343, 60347) за минусом резерва на возможные потери, сформированного в соответствии с требованиями Положения Банка России N 283-П в части, уменьшающей сумму источников основного и дополнительного капитала на основании подпункта 4.1 пункта 4 Положения Банка России N 395-П и принимаемая в расчет в соответствии с порядком, предусмотренным подпунктом 8.1 пункта 8 Положения Банка России N 395-П. | 8970.0 | Н1.0(А) |
| (в ред. Указаний ЦБ РФ от 25.10.2013 N 3097-У, от 30.05.2014 N 3268-У) | ||
| Превышающая сумму источников основного и дополнительного капитала, рассчитанную в соответствии с приложением к Положению Банка России N 395-П, сумма дебетовых остатков на счетах: N N 604А (кроме счетов N N 60409, 60411, а также остатков по счетам, учтенным по коду 8936), 607А (за исключением вложений в нематериальные активы счет N 60701, учтенных по коду 8877), 61002, 61008, 61009, 61011, за вычетом остатков на счетах N N 60601, 60602, а также фактически израсходованных на строительство банком-застройщиком средств, поступивших от участников долевого строительства, учитываемых на счетах N N 60311, 60313 по отдельным лицевым счетам дольщиков. | 8971 | Н1.0(А) |
| (в ред. Указаний ЦБ РФ от 25.10.2013 N 3097-У, от 30.05.2014 N 3268-У) | ||
| В случае получения при расчете кода 8971 отрицательного значения суммы источников основного и дополнительного капитала в код 8971 проставляется сумма дебетовых остатков на счетах N N 604А (исключая код 8936), 607А (за исключением вложений в нематериальные активы счет N 60701, учтенных по коду 8877), 61002, 61008, 61009, 61011, за вычетом остатков на счете 606П, а также фактически израсходованных на строительство банком-застройщиком средств, поступивших от участников долевого строительства, учитываемых на счетах N N 60311, 60313 по отдельным лицевым счетам дольщиков. | ||
| (в ред. Указания ЦБ РФ от 25.10.2013 N 3097-У) | ||
| Код 8971 заполняется с учетом порядка, предусмотренного подпунктом 8.1.1 пункта 8 Положения Банка России N 395-П. | ||
| (в ред. Указания ЦБ РФ от 25.10.2013 N 3097-У) | ||
| Превышающая сумму источников основного и дополнительного капитала, рассчитанную в соответствии с Положением Банка России N 395-П, сумма дебетовых остатков на счетах: N N 47901, 506, 507, 604А (исключая код 8936), 607А (за исключением вложений в нематериальные активы счет N 60701, учтенных по коду 8874), 60804, 61002, 61008, 61009, 61011, за вычетом остатков на счетах N N 606П, 60805, а также фактически израсходованных на строительство банком-застройщиком средств, поступивших от участников долевого строительства, учитываемых на счетах N N 60311, 60313 по отдельным лицевым счетам дольщиков. В случае получения при расчете кода 8971.0 отрицательного значения суммы источников основного и дополнительного капитала в код 8971.1 проставляется сумма дебетовых остатков на счетах N N 47901, 506, 507, 604А (исключая код 8936), 607А (за исключением вложений в нематериальные активы счет N 60701, учтенных по коду 8874), 60804, 61002, 61008, 61009, 61011, за вычетом остатков на счетах N N 606П, 60805, а также фактически израсходованных на строительство банком-застройщиком средств, поступивших от участников долевого строительства, учитываемых на счетах N N 60311, 60313 по отдельным лицевым счетам дольщиков. Код 8971.0 заполняется с учетом порядка, предусмотренного подпунктом 8.1 пункта 8 Положения Банка России N 395-П. | 8971.0 | Н1.0(А) |
| (в ред. Указаний ЦБ РФ от 25.10.2013 N 3097-У, от 30.05.2014 N 3268-У) | ||
| Вложения в не обремененные обязательствами долговые обязательства Российской Федерации, Европейского банка реконструкции и развития и иностранных государств, имеющих страновые оценки "0", "1", или стран с высоким уровнем доходов, являющихся членами ОЭСР и (или) Еврозоны, и облигации Банка России (включая находящиеся в разделе "Блокировано Банком России"), долговые обязательства Международного банка реконструкции и развития, Международной финансовой корпорации, оцениваемые по текущей (справедливой) стоимости через прибыль или убыток и (или) имеющиеся в наличии для продажи, по которым может быть определена текущая (справедливая) стоимость или формируются резервы на возможные потери в соответствии с Положением Банка России N 283-П, (счета (их части): N N 50104, 50108, 50109, 50116, (50121 - 50120), 50205, 50209, 50210, 50214, (50221 - 50220). | 8972 | Н2(Лам) Н3(Лат) |
| (в ред. Указания ЦБ РФ от 25.10.2013 N 3097-У) | ||
| В расчет кода включаются остатки по вышеперечисленным счетам с учетом пункта 3.4 настоящей Инструкции. | ||
| Стоимость указанных в настоящем коде ценных бумаг, предоставленных банком в залог по кредитам до востребования и на 1 день, привлеченным от Банка России и (или) банков-контрагентов, превышающая сумму обязательств банка по указанным кредитам. | ||
| Ценные бумаги, полученные по сделкам, совершаемым на возвратной основе, без первоначального признания, включаются в расчет данного кода при наличии в условиях указанных договоров возможности их реализации до наступления срока исполнения обязательств по их обратной продаже (счет (часть счета) N 91314). | ||
| Стоимость указанных в настоящем коде ценных бумаг, переданных без прекращения признания, по сделкам, совершаемым на возвратной основе, превышающая сумму обязательств по возврату денежных средств по указанным операциям со сроком исполнения "до востребования" и (или) на следующий день (счета (их части): N N 50118, (50121 - 50120), 50218, (50221 - 50220). | ||
| Требования банка к контрагенту по возврату указанных в настоящем коде ценных бумаг, полученных без первоначального признания и переданных по сделкам, совершаемым на возвратной основе, превышающие сумму обязательств по возврату денежных средств по указанным операциям со сроком исполнения "до востребования" и (или) на следующий день (счета (их части): N N 32201, 32202, 32301, 32302, 32902, 46001 ... 47301 и (или) счета (их части): N N 32203, 32303, 46002 ... 47302, если день совершения указанных операций предшествует выходным и праздничным дням). | ||
| Номинированные и фондированные в рублях кредитные требования и требования по получению начисленных (накопленных) процентов в части, обеспеченной гарантиями Российской Федерации, Министерства финансов Российской Федерации, банковскими гарантиями Банка России (счета (их части): N N 320А, 321А, 322А, 323А, 442А, 443А, 444А, 445А, 446А, 447А, 448А, 449А, 450А, 451А, 452А, 453А, 454А, 455А, 456А, 462А, 463А, 464А, 465А, 466А, 467А, 468А, 469А, 470А, 471А, 472А, 473А, 47410, 47431, 47427, 478А, 47901, 50105, 50106, 50107, 50118, (50121 - 50120), 50206, 50207, 50208, 50218, (50221 - 50220), 50306, 50307, 50308, 50318, 51201 ... 51207, 51301 ... 51307, 51401 ... 51407, 51501 ... 51507, 51601 ... 51607, 51701 ... 51707, 51801 ... 51807, 51901 ... 51907). | 8973 | Н1.1(А), Н1.2(А), Н1.0(А) |
| (в ред. Указания ЦБ РФ от 25.10.2013 N 3097-У) | ||
| Номинированные и фондированные в рублях кредитные требования и требования по получению начисленных (накопленных) процентов в части, обеспеченной залогом номинированных в рублях государственных долговых ценных бумаг Российской Федерации, долговых ценных бумаг Министерства финансов Российской Федерации, Банка России, в размере 80 процентов текущей (справедливой) стоимости указанных ценных бумаг (счета (их части): N N 320А, 321А, 322А, 323А, 442А, 443А, 444А, 445А, 446А, 447А, 448А, 449А, 450А, 451А, 452А, 453А, 454А, 455А, 456А, 457А, 461А, 462А, 463А, 464А, 465А, 466А, 467А, 468А, 469А, 470А, 471А, 472А, 473А, 47410, 47431, 47427, 478А, 47901, 51201 ... 51207, 51301 ... 51307, 51401 ... 51407, 51501 ... 51507, 51601 ... 51607, 51701 ... 51707, 51801 ... 51807, 51901 ... 51907). | 8974.1, 8974.2, 8974.0 | Н1.1(А), Н1.2(А), Н1.0(А) |
| (в ред. Указания ЦБ РФ от 25.10.2013 N 3097-У) | ||
| Кредитные требования и требования по получению начисленных (накопленных) процентов в части, обеспеченной гарантиями (поручительствами, резервными аккредитивами) правительств или центральных банков стран, имеющих страновую оценку "2", организаций, которые в соответствии с законодательством соответствующих стран приравнены к гарантиям (поручительствам, резервным аккредитивам) правительств или центральных банков указанных стран, а также кредитные требования и требования по получению начисленных (накопленных) процентов в части, обеспеченной залогом долговых ценных бумаг центральных банков или государственных долговых ценных бумаг стран, имеющих страновую оценку "2" (счета (их части): N N 20311, 20312, 20315, 20316, 320А, 321А, 322А, 323А, 442А, 443А, 444А, 445А, 446А, 447А, 448А, 449А, 450А, 451А, 452А, 453А, 454А, 462А, 463А, 464А, 465А, 466А, 467А, 468А, 469А, 470А, 471А, 472А, 473А, 47410, 47431, 47427, 478А, 47901, 50106, 50107, 50109, 50110, 50118, (50121 - 50120), 50207, 50208, 50210, 50211, 50218, (50221 - 50220), 50307, 50308, 50310, 50311, 50318, 51401 ... 51407, 51501 ... 51507, 51701 ... 51707, 51801 ... 51807, 51901 ... 51907). | 8975.1, 8975.2, 8975.0 | Н1.1(А), Н1.2(А), Н1.0(А) |
| (в ред. Указания ЦБ РФ от 25.10.2013 N 3097-У) | ||
| Кредитные требования и требования по получению начисленных (накопленных) процентов к международным финансовым организациям (Банк Международных расчетов, Международный валютный фонд, Европейский Центральный банк) и международным банкам развития (Всемирный банк (Международный банк реконструкции и развития, Международная Финансовая Корпорация, Многостороннее агентство по гарантированию инвестиций), Азиатский банк развития, Африканский банк развития, Европейский банк реконструкции и развития, Межамериканский банк развития, Европейский инвестиционный банк, Северный инвестиционный банк, Карибский банк развития, Исламский банк развития, Банк развития при Совете Европы, Европейский инвестиционный фонд); кредитные требования и требования по получению начисленных (накопленных) процентов в части, обеспеченной гарантиями (поручительствами, резервными аккредитивами) указанных международных финансовых организаций, гарантиями (банковскими гарантиями) указанных международных банков развития, а также залогом долговых ценных бумаг указанных международных финансовых организаций и банков, в размере 80 процентов текущей (справедливой) стоимости ценных бумаг (счета (их части): N N 20311, 20312, 20315, 20316, 30114, 30119, 30427, 320А, 321А, 322А, 323А, 441А, 442А, 443А, 444А, 445А, 446А, 447А, 448А, 449А, 450А, 451А, 452А, 453А, 454А, 456А, 462А, 463А, 464А, 465А, 466А, 467А, 468А, 469А, 470А, 471А, 472А, 473А, 47410, 47431, 47427, 478А, 47901, 50106, 50107, 50109, 50110, 50118, (50121 - 50120), 50207, 50208, 50210, 50211, 50218, (50221 - 50220), 50307, 50308, 50310, 50311, 50318, 51401 ... 51407, 51501 ... 51507, 51701 ... 51707, 51801 ... 51807, 51901 ... 51907). | 8976 | Н1.1(А), Н1.2(А), Н1.0(А) |
| (в ред. Указания ЦБ РФ от 25.10.2013 N 3097-У) | ||
| Кредитные требования и требования по получению начисленных (накопленных) процентов к международным банкам развития (Евразийский банк развития, Черноморский банк торговли и развития, Международный банк экономического сотрудничества, Международный инвестиционный банк); кредитные требования и требования по получению начисленных (накопленных) процентов в части, обеспеченной гарантиями (поручительствами) указанных международных банков развития, а также залогом долговых ценных бумаг указанных международных банков развития, в размере 80 процентов текущей (справедливой) стоимости ценных бумаг (счета (их части): N N 20315, 20316, 30114, 30119, 30427, 320А, 321А, 322А, 323А, 441А, 442А, 443А, 444А, 445А, 446А, 447А, 448А, 449А, 450А, 451А, 452А, 453А, 454А, 456А, 462А, 463А, 464А, 465А, 466А, 467А, 468А, 469А, 470А, 471А, 472А, 473А, 47410, 47431, 47427, 478А, 47901, 50106, 50107, 50109, 50110, 50118, (50121 - 50120), 50207, 50208, 50210, 50211, 50218, (50221 - 50220), 50307, 50308, 50310, 50311, 50318, 51401 ... 51407, 51501 ... 51507, 51701 ... 51707, 51801 ... 51807, 51901 ... 51907). | 8977 | Н1.1(А), Н1.2(А), Н1.0(А) |
| (в ред. Указания ЦБ РФ от 25.10.2013 N 3097-У) | ||
| Минимальный совокупный остаток средств по счетам со сроком исполнения обязательств до 365 календарных дней и счетам до востребования физических и юридических лиц (кроме кредитных организаций), определенный в порядке, установленном пунктом 3.7 настоящей Инструкции (счета (их части): N N 40101, 40105, 40106, 40116, 402, 40301, 40302, 404, 405, 406, 407, 408, 410, 411, 412, 413, 414, 415, 416, 417, 418, 419, 420, 421, 422, 423, 425, 426, 427, 428, 429, 430, 431, 432, 433, 434, 435, 436, 437, 438, 439, 440 в части счетов (их части), не вошедших в расчет показателя ОД). | 8978 | Н4(О <*>) |
| Кредитные требования и требования по получению начисленных (накопленных) процентов, а также просроченные, к центральным банкам или правительствам стран, имеющих страновую оценку "7", к организациям, которым в соответствии с законодательством соответствующих стран предоставлено право осуществлять заимствования от имени государства, к кредитным организациям-резидентам указанных стран (счета (их части): N N 20316, 20318, 20320, 30114, 30119, 30211, 30221, 30233, 30602, 321А, 323А, 32402, 32502, 40308, 456А, 45816, 45916, 473А, 47408, 47410, 47423, 47427, 478А, 47901, 50108, 50109, 50110, 50118, (50121 - 50120), 50209, 50210, 50211, 50218, (50221 - 50220), 50309, 50310, 50311, 50318, 50607, 50618, (50621 - 50620), 50707, 50709, 50718, (50721 - 50720), 51601 ... 51609, 51701 ... 51709, 51801 ... 51809, 51901 ... 51909). | 8980.1, 8980.2, 8980.0 | Н1.1(А), Н1.2(А), Н1.0(А) |
| (в ред. Указаний ЦБ РФ от 25.10.2013 N 3097-У, от 30.05.2014 N 3268-У) | ||
| Вычитаемые из IV группы активов ценные бумаги по сделкам, совершаемым на возвратной основе, проданные и приобретенные до наступления даты расчетов по обратной части операции (счета (их части): N N 50104...50116, (50121 - 50120), 50205...50214, (50221 - 50220), 50305...50313, 50605...50608, (50621 - 50620), 50705...50709, (50721 - 50720). | 8981 | Н1.1(А), Н1.2(А), Н1.0(А) |
| Требования, указанные в настоящем коде, не включаются в расчет I - III и V групп активов. | ||
| (в ред. Указаний ЦБ РФ от 25.10.2013 N 3097-У, от 30.05.2014 N 3268-У) | ||
| Сформированный резерв по инвестициям, удовлетворяющим требованиям, установленным в пункте 8.2 настоящей Инструкции, в том числе счета (их части): N N 50719, 50719, 60206. | 8982 | Н12 ( |
| (в ред. Указания ЦБ РФ от 30.05.2014 N 3268-У) | ||
| Требования банка сроком исполнения в течение ближайших 30 календарных дней по вложениям в не обремененные обязательствами ценные бумаги эмитентов, указанных в пункте "е" кода 8989 и в коде 8995, находящиеся в залоге у банка-кредитора или у Банка России в период отсутствия у банка-заемщика задолженности по предоставленному кредиту и при наличии в договоре залога условия, предусматривающего возможность возврата банком-кредитором или Банком России ценных бумаг в течение двух операционных дней с момента их востребования (при условии, что финансовое положение банка-кредитора, которому указанные ценные бумаги предоставлены в залог, оценивается как хорошее в соответствии с Положением Банка России N 254-П) (счета (их части): N N 50104 ... 50110, 50116, (50121 - 50120), 50205 ... 50211, 50214, (50221 - 50220), 50605, 50606, (50621 - 50620), 50705, 50706, 50709, (50721 - 50720). | 8984 | Н3(Лат) |
| (в ред. Указаний ЦБ РФ от 25.10.2013 N 3097-У, от 30.05.2014 N 3268-У) | ||
| Долговые обязательства, входящие в Ломбардный список Банка России, иностранных государств, имеющих страновые оценки "0", "1", или стран с высоким уровнем доходов, являющихся членами ОЭСР и (или) Еврозоны, Международного банка реконструкции и развития, Международной финансовой корпорации и Европейского банка реконструкции и развития включаются в расчет данного кода независимо от срока, оставшегося до их погашения. | ||
| (в ред. Указания ЦБ РФ от 25.10.2013 N 3097-У) | ||
| Ценные бумаги, полученные по сделкам, совершаемым на возвратной основе, без первоначального признания, включаются в расчет данного кода при наличии в договоре условия о возможности их реализации до наступления срока исполнения обязательств по их обратной продаже (счет (часть счета) N 91314). | ||
| Кредитные требования и требования по получению начисленных (накопленных) процентов в части, обеспеченной гарантиями (поручительствами, резервными аккредитивами) правительств или центральных банков стран, имеющих страновую оценку "3", организаций, которые в соответствии с законодательством соответствующих стран приравнены к гарантиям (поручительствам, резервным аккредитивам) правительств или центральных банков указанных стран, а также кредитные требования и требования по получению начисленных (накопленных) процентов в части, обеспеченной залогом долговых ценных бумаг центральных банков или государственных долговых ценных бумаг стран, имеющих страновую оценку "3" (счета (их части): N N 20311, 20312, 20315, 20316, 320А, 321А, 322А, 323А, 442А, 443А, 444А, 445А, 446А, 447А, 448А, 449А, 450А, 451А, 452А, 453А, 454А, 456А, 462А, 463А, 464А, 465А, 466А, 467А, 468А, 469А, 470А, 471А, 472А, 473А, 47410, 47431, 47427, 478А, 47901, 50106, 50107, 50109, 50110, 50118, (50121 - 50120), 50207, 50208, 50210, 50211, 50218, (50221 - 50220), 50307, 50308, 50310, 50311, 50318, 51401 ... 51407, 51501 ... 51507, 51701 ... 51707, 51801 ... 51807, 51901 ... 51907). | 8985.1, 8985.2, 8985.0 | Н1.1(А), Н1.2(А), Н1.0(А) |
| (в ред. Указания ЦБ РФ от 25.10.2013 N 3097-У) | ||
| Прочие размещенные средства в части требований банка к контрагенту по сделкам, совершаемым на возвратной основе с ценными бумагами, полученными без прекращения признания, по возврату денежных средств по второй части сделки, а также ценных бумаг, переданных по сделкам, совершаемым на возвратной основе (счета (их части): N N 322А, 323А, 32902, 460А ... 473А). | 8987 | Н3(Лат) |
| Настоящий код используется для устранения двойного учета операций, совершаемых на возвратной основе с ценными бумагами, полученными без прекращения признания. | ||
| Требования банка сроком исполнения в течение ближайших 30 календарных дней. | 8989 | Н3(ЛАт) |
| В расчет кода включаются остатки по нижеперечисленным счетам с учетом пункта 3.4 настоящей Инструкции в части, в которой они планируются банком к получению в соответствии с договором в форме, позволяющей отнести их к ликвидным активам: | ||
| а) кредиты, депозиты и депозитные счета в драгоценных металлах (счета (их части): N N 20311, 20312, 20315, 20316); | ||
| б) требования к Банку России, а также к банкам (счета (их части): N N 31905 ... 31909, 32005 ... 32009, 32105 ... 32109, 32205 ... 32209, 32305 ... 32309, 32902) (за исключением включенных в расчет кода 8921); | ||
| в) суммы переплаты, подлежащие возврату банку на данную отчетную дату из фонда обязательных резервов (счета (их части): N N 30202, 30204, 30211); | ||
| г) кредиты, депозиты и прочие размещенные средства (счета (их части): N N 30427, 40308, 44104 ... 44108, 44205 ... 44209, 44305 ... 44309, 44405 ... 44409, 44504 ... 44508, 44604 ... 44608, 44704 ... 44708, 44804 ... 44808, 44904 ... 44908, 45004 ... 45008, 45104 ... 45108, 45204 ... 45208, 45304 ... 45308, 45404 ... 45408, 45410, 45503 ... 45507, 45510, 45602 ... 45606, 45702 ... 45706, 45709, 46003 ... 46007, 46103 ... 46107, 46203 ... 46207, 46303 ... 46307, 46403 ... 46407, 46503 ... 46507, 46603 ... 46607, 46703 ... 46707, 46803 ... 46807, 46903 ... 46907, 47003 ... 47007, 47103 ... 47107, 47203 ... 47207, 47303 ... 47307, 47701, 47801, 47802, 47803, включая ипотечные ссуды, поименованные в коде 8850). Пролонгированные кредиты и депозиты, заключенные на срок до 30 календарных дней, условия договора о которых предусматривают возможность автоматической пролонгации кредита (депозита), в случае если он не востребован банком-кредитором, не включаются в расчет кода 8989; | ||
| д) срочная дебиторская задолженность (счета (их части): N N 30602, 474А (кроме счета 47404 (в части, включенной в расчет кода 8848, 8911), 47423 (в части, включенной в расчет кода 8969), 47427), 603А (кроме счета 60315); | ||
| (в ред. Указания ЦБ РФ от 25.10.2013 N 3097-У) | ||
| е) Вложения в не обремененные обязательствами: | ||
| долговые обязательства, входящие в Ломбардный список Банка России (включая находящиеся в разделе "Блокировано Банком России") (за исключением включенных в расчет кода 8972) (счета (их части): N N 50105 ... 50110, 50206 ... 50211, 50305 ... 50313. Ценные бумаги, оцениваемые по текущей (справедливой) стоимости через прибыль или убыток, а также имеющиеся в наличии для продажи, по которым может быть определена текущая (справедливая) стоимость или формируются резервы на возможные потери в соответствии с Положением Банка России N 283-П, включаются в расчет данного кода независимо от срока, оставшегося до их погашения; | ||
| (в ред. Указания ЦБ РФ от 25.10.2013 N 3097-У) | ||
| долговые обязательства иностранных государств, имеющих страновые оценки "0", "1", или стран с высоким уровнем доходов, являющихся членами ОЭСР и (или) Еврозоны (счет (часть счета) N 50309); | ||
| (в ред. Указания ЦБ РФ от 25.10.2013 N 3097-У) | ||
| долговые обязательства банков - резидентов стран, имеющих страновые оценки "0", "1", или стран с высоким уровнем доходов, являющихся членами ОЭСР и (или) Еврозоны, международных банков развития, указанных в кодах 8976 и 8977 (счет (часть счета) N 50310); | ||
| (в ред. Указания ЦБ РФ от 25.10.2013 N 3097-У) | ||
| долговые обязательства юридических лиц - резидентов стран, имеющих страновые оценки "0", "1", или стран с высоким уровнем доходов, являющихся членами ОЭСР и (или) Еврозоны (счет (часть счета) N 50311); | ||
| (в ред. Указания ЦБ РФ от 25.10.2013 N 3097-У) | ||
| долговые обязательства субъектов Российской Федерации и органов местного самоуправления (счета (их части): N N 50105, 50206, 50306); | ||
| суммы отрицательной и положительной разниц по переоценке указанных ценных бумаг (счета (их части): N N (50121 - 50120), (50221 - 50220)); | ||
| учтенные векселя, выданные и (или) акцептованные, и (или) авалированные: | ||
| органами государственной власти и органами местного самоуправления Российской Федерации; | ||
| органами государственной власти и органами местного самоуправления иностранных государств, имеющих страновые оценки "0", "1", или стран с высоким уровнем доходов, являющихся членами ОЭСР и (или) Еврозоны; | ||
| (в ред. Указания ЦБ РФ от 25.10.2013 N 3097-У) | ||
| банками-резидентами стран, имеющих страновые оценки "0", "1", или стран с высоким уровнем доходов, являющихся членами ОЭСР и (или) Еврозоны; | ||
| (в ред. Указания ЦБ РФ от 25.10.2013 N 3097-У) | ||
| эмитентами ценных бумаг, входящих в Ломбардный список Банка России, а также эмитентами долевых ценных бумаг резидентов, удовлетворяющих требованиям настоящего кода (счета (их части): N N 51203 ... 51207, 51303 ... 51307, 51401 ... 51407, 51501 ... 51507, 51603 ... 51607, 51703 ... 51707, 51803 ... 51807, 51901 ... 51907); | ||
| долевые ценные бумаги резидентов (счета (их части): N N 50605, 50606, (50621 - 50620), 50705, 50706, 50709, (50721 - 50720) (за исключением голосующих акций, вложения в которые на дату расчета норматива текущей ликвидности банка превышают пять процентов уставного капитала, определенного зарегистрированным в установленном порядке уставом акционерного общества, акционером которого является банк), удовлетворяющие следующему требованию: | ||
| (в ред. Указания ЦБ РФ от 30.05.2014 N 3268-У) | ||
| ценные бумаги эмитента, допущенные Закрытым акционерным обществом "Фондовая биржа ММВБ" и (или) Открытым акционерным обществом "Московская Биржа ММВБ-РТС" к торгам, включены в список для расчета Индекса ММВБ и (или) Индекса РТС и величина (вес) влияния указанных ценных бумаг на данные индексы, составляет один процент и более; | ||
| (в ред. Указания ЦБ РФ от 25.10.2013 N 3097-У) | ||
| ж) требования банка к контрагенту по возврату денежных средств по сделкам, совершаемым на возвратной основе с ценными бумагами, полученными без первоначального признания, за исключением требований, возникших в результате сделки по приобретению высоколиквидных и ликвидных финансовых активов (включаемых в состав показателя Лат через код 8972 и в соответствии с пунктом "к" настоящей графы) (счета (их части): N N 322А, 323А (за исключением включенных в расчет кода 8910), 45410, 45510, 45709, 460А ... 473А); | ||
| (в ред. Указания ЦБ РФ от 25.10.2013 N 3097-У) | ||
| з) предоставленные кредиты "овердрафт" при отсутствии в договоре указания на конкретный срок возврата со сроком нахождения на балансе до 10 календарных дней, а также срочные кредиты "овердрафт" сроком погашения в ближайшие 30 календарных дней (счета (их части): N N 32001 (за исключением включенных в расчет кодов 8908 и 8910), 32101 (за исключением включенных в расчет кодов 8908 и 8910), 44201, 44301, 44401, 44501, 44601, 44701, 44801, 44901, 45001, 45101, 45201, 45301, 45401, 45509, 45608, 45708, 47001, 47101, 47201, 47301); | ||
| и) прочие размещенные средства до востребования (со сроком нахождения на балансе до календарных 10 дней), исполнение обязательств по которым в соответствии с договором предусмотрено не позднее чем на следующий день после дня востребования (счета (их части): N N 46001, 46101, 46201, 46301, 46401, 46501, 46601, 46701, 46801, 46901). | ||
| к) ценные бумаги, входящие в Ломбардный список Банка России, полученные по сделкам, совершаемым на возвратной основе, без первоначального признания, независимо от срока исполнения обязательств банка по указанным операциям (за исключением включенных в код 8972), а также ценные бумаги прочих эмитентов, перечисленных в пункте "е" настоящей графы и в коде 8995, полученные по сделкам, совершаемым на возвратной основе, без первоначального признания (за исключением требований, возникших в результате сделки по приобретению ликвидных финансовых активов, включаемых в состав показателя Лат через пункт "б" кода 8910), при наличии у банка намерения их продать в течение ближайших 30 календарных дней и права в соответствии с условиями указанных договоров их реализации до наступления срока исполнения обязательств по их обратной продаже (счет (часть счета) N 91314); | ||
| (в ред. Указания ЦБ РФ от 25.10.2013 N 3097-У) | ||
| л) требования банка по получению начисленных (накопленных) процентов по активам, в отношении которых не предъявляются требования по определению расчетных резервов и формированию резервов на возможные потери в соответствии с Положением Банка России N 254-П и Положением Банка России N 283-П, по активам I и II категории качества в соответствии с Положением Банка России N 254-П и Положением Банка России N 283-П, участвующим в расчете высоколиквидных и ликвидных активов (счет N 47427), а также проценты, начисленные (накопленные) по указанным активам в соответствии с пунктом 3.5 Положения Банка России N 39-П и не отраженные на балансе (при расчете на внутримесячные даты) (за исключением включенных в код 8967); | ||
| м) активы, перечисленные в настоящем коде и находящиеся в доверительном управлении, включаются в состав ликвидных активов либо за 30 календарных дней до прекращения договора (если срок уведомления превышает 30 дней), либо с момента направления уведомления (если срок уведомления меньше или равен 30 календарным дням), либо за 30 календарных дней до окончания срока договора (при отсутствии уведомления), в случае если к моменту окончания договора доверительного управления вышеуказанные активы ожидаются к получению в форме, позволяющей отнести их к высоколиквидным и (или) ликвидным активам (счет (его часть) N 47901); | ||
| н) стоимость ценных бумаг эмитентов, указанных в пункте "е" настоящей графы и в коде 8995, переданных без прекращения признания, по сделкам, совершаемым на возвратной основе, превышающая сумму обязательств по возврату денежных средств по указанным операциям (за исключением включенных в расчет кода 8972) (счета (их части): N N 50118, (50121 - 50120), 50218, (50221 - 50220), 50318, 50618, 50718, (50621 - 50620), (50721 - 50720)); | ||
| (в ред. Указания ЦБ РФ от 25.10.2013 N 3097-У) | ||
| требования банка к контрагенту по возврату указанных в пункте "е" настоящей графы ценных бумаг, полученных без первоначального признания и переданных по сделкам, совершаемым на возвратной основе, превышающие сумму обязательств по возврату денежных средств по указанным операциям (за исключением включенных в расчет кода 8972) (счета (их части): N N 322А, 323А, 32902, 460А - 473А); | ||
| о) стоимость ценных бумаг эмитентов, указанных в пункте "е" настоящей графы и в коде 8995, предоставленных банком в залог по кредитам сроком исполнения в течение ближайших 30 календарных дней, привлеченным от Банка России и (или) банков-контрагентов, превышающая сумму обязательств банка по указанным кредитам (за исключением включенных в расчет кода 8972). | ||
| (в ред. Указания ЦБ РФ от 25.10.2013 N 3097-У) | ||
| Обязательства банка до востребования, учитываемые на депозитных счетах и счетах клиентов в драгоценных металлах (счета (их части): N N 20309, 20310, 20313, 20314). | 8990 | Н2(Овм) Н3(Овт) |
| Обязательства банка со сроком исполнения в течение ближайших 30 календарных дней: | 8991 | Н3(Овт) |
| а) депозиты и счета клиентов в драгоценных металлах (счета (их части): N N 20309, 20310, 20313, 20314); | ||
| б) кредиты, депозиты и прочие привлеченные средства банков сроком погашения в течение ближайших 30 календарных дней (счета (их части): N N 31204 ... 31207, 31217 ... 31222, 31301, 31305 ... 31309, 31401, 31405 ... 31409, 31505 ... 31509, 31605 ... 31609); | ||
| в) выпущенные банками собственные векселя, облигации, депозитные и сберегательные сертификаты (счета (их части): N N 52002 ... 52006, 52102 ... 52106, 52202 ... 52206, 52303 ... 52307), а также обязательства банка по процентам и купонам по выпущенным ценным бумагам (счет (часть счета) N 52501 (за исключением остатков, вошедших в расчет кода 8940); | ||
| г) обязательства банка по уплате процентов (за исключением остатков, вошедших в расчет кода 8940), остатков (счета (их части) N N 47411, 47426), а также проценты, начисленные в соответствии с пунктом 3.6 Положения Банка России N 39-П; | ||
| д) арендные обязательства (счет (часть счета) N 60806); | ||
| е) депозиты, вклады и прочие привлеченные средства (счета (их части): N N 41003 ... 41007, 41103 ... 41107, 41203 ... 41207, 41303 ... 41307, 41403 ... 41407, 41503 ... 41507, 41603 ... 41607, 41703 ... 41707, 41803 ... 41807, 41903 ... 41907, 42003 ... 42007, 42103 ... 42107, 42203 ... 42207, 42303 ... 42307, 42311 ... 42315, 42503 ... 42507, 42603 ... 42607, 42611 ... 42615, 42703 ... 42707, 42803 ... 42807, 42903 ... 42907, 43003 ... 43007, 43103 ... 43107, 43203 ... 43207, 43303 ... 43307, 43403 ... 43407, 43503 ... 43507, 43603 ... 43607, 43703 ... 43707, 43803 ... 43807, 43903 ... 43907, 44003 ... 44007) (в части, не вошедшей в расчет кода 8933). | ||
| Строка 8992 - Исключена. | ||
| (в ред. Указания ЦБ РФ от 25.10.2013 N 3097-У) | ||
| Гарантии и (или) поручительства, выданные банком (счет (часть счета) 91315). | 8993 | Н3(ОВт) |
| В расчет показателя "Овт" выданные банком гарантии и (или) поручительства включаются за 30 календарных дней до наступления срока платежа по гарантии и (или) поручительству (срока исполнения обязательств по гарантируемой сделке) в сумме, предусмотренной договором банковской гарантии и (или) поручительства, прямо пропорционально величине кредитного риска по банковской гарантии и (или) поручительству (удельному весу резерва на возможные потери в сумме банковской гарантии и (или) поручительства). | ||
| Суммы, подлежащие оплате более чем через 30 календарных дней (счета (их части): N N 30411, 30412, 30414, 30420, 30421, 32901, 47403, 47405, 47407, 47422, 60301, 60305, 60307, 60309, 60311, 60313, 60322 (в том числе средства, перечисленные в оплату уставного капитала независимо от срока нахождения на счете N 60322). | 8994 | Н2(ОВм) Н3(ОВт) |
| Долговые обязательства международных банков развития, указанных в кодах 8976 и 8977, банков-резидентов стран, имеющих страновые оценки "0", "1", оцениваемые по текущей (справедливой) стоимости через прибыль или убыток, а также имеющиеся в наличии для продажи, по которым может быть определена текущая (справедливая) стоимость или формируются резервы на возможные потери в соответствии с Положением Банка России N 283-П, (включая выданные и (или) авалированные ими векселя), долговые обязательства юридических лиц - резидентов стран, имеющих страновые оценки "0", "1", а также векселя, выданные и (или) авалированные и (или) акцептованные органами государственной власти и местного самоуправления иностранных государств, имеющих страновые оценки "0", "1", за исключением включенных в расчет кодов 8972 и 8989 (счета (их части): N N 50109, 50110, (50121 - 50120), 50210, 50211, (50221 - 50220), 51601, 51602, 51701, 51702, 51801, 51802). | 8995 | Н3(ЛАт) |
| Кредиты, депозиты и прочие размещенные средства с оставшимся сроком до даты погашения свыше 365 или 366 календарных дней, включая просроченные, а также пролонгированные, если с учетом вновь установленных сроков возврата размещенных средств сроки, оставшиеся до их погашения, превышают 365 или 366 календарных дней (счета (их части): N N 30427, 31908, 31909, 32008, 32009, 32108, 32109, 32208, 32209, 32308, 32309, 32401, 32402, 44107, 44108, 44208, 44209, 44308, 44309, 44408, 44409, 44507, 44508, 44607, 44608, 44707, 44708, 44807, 44808, 44907, 44908, 45007, 45008, 45107, 45108, 45207, 45208, 45307, 45308, 45407, 45408, 45410, 45506, 45507, 45510, 45605, 45606, 45705, 45706, 45709, 458А (в части просроченных кредитных требований, предоставленных на срок свыше 365 или 366 календарных дней), 46006, 46007, 46106, 46107, 46206, 46207, 46306, 46307, 46406, 46407, 46506, 46507, 46606, 46607, 46706, 46707, 46806, 46807, 46906, 46907, 47006, 47007, 47106, 47107, 47206, 47207, 47306, 47307, 47402, 47701, 47801, 47802, 47803) (за исключением долгосрочных кредитов, обеспеченных гарантиями и (или) ценными бумагами Российской Федерации или Министерства финансов Российской Федерации, а также залогом золота в слитках в хранилищах банка), а также взносы в гарантийный фонд платежной системы (счет (часть счета) N 30215), средства для коллективного клирингового обеспечения (гарантийный фонд) (счета (их части): N N 30418, 30419, 30425). | 8996 | Н4(Крд) |
| (в ред. Указаний ЦБ РФ от 25.10.2013 N 3097-У, от 30.05.2014 N 3268-У) | ||
| В расчет кода включаются также: | ||
| учтенные векселя (счета (их части): N N 51206 ... 51209, 51306 ... 51309, 51406 ... 51409, 51506 ... 51509, 51606 ... 51609, 51706 ... 51709, 51806 ... 51809, 51906 ... 51909); | ||
| требования к контрагенту, возникшие в результате привлечения (размещения) финансовых активов с одновременным предоставлением контрагенту права отсрочки платежа (поставки финансовых активов), сроком погашения свыше 365 или 366 календарных дней (счета (их части): N N 47408, 47423); | ||
| требования к контрагенту по возврату денежных средств по сделкам, совершаемым на возвратной основе с ценными бумагами, переданными без прекращения признания, сроком исполнения свыше 365 или 366 календарных дней (счета (их части): N N 32208, 32209, 32308, 32309, 46006, 46007, 46106, 46107, 46206, 46207, 46306, 46307, 46406, 46407, 46506, 46507, 46606, 46607, 46706, 46707, 46806, 46807, 46906, 46907, 47006, 47007, 47106, 47107, 47206, 47207, 47306, 47307); | ||
| кредитные требования в драгоценных металлах сроком погашения свыше 365 или 366 календарных дней (счета (их части): N N 20311, 20312, 20315, 20316, 20317, 20318); | ||
| перечисленные в данном коде активы, находящиеся в доверительном управлении (счет (часть счета) N 47901). | ||
| В расчет кода указанные активы включаются за вычетом сформированного резерва на возможные потери в соответствии с Положением Банка России N 254-П и Положением Банка России N 283-П. | ||
| Обязательства банка с оставшимся сроком до даты погашения свыше 365 или 366 календарных дней: | 8997 | Н4(ОД) |
| а) обязательства банка в драгоценных металлах (счета (их части): N N 20309, 20310, 20313, 20314); | ||
| б) обязательства по возврату денежных средств по сделкам, совершаемым на возвратной основе с ценными бумагами, переданными без прекращения признания; | ||
| в) обязательства по средствам, выделенным в соответствии с решением Правительства Российской Федерации на инвестиционные нужды. | ||
| Совокупная величина крупных кредитных рисков, за вычетом сформированного резерва, взвешенных с учетом коэффициентов риска, установленных в отношении соответствующих активов пунктом 2.3 настоящей Инструкции. | 8998 | Н7(Кскр) |
| Обязательства банка по кредитам сроком исполнения в течение ближайших 30 календарных дней, привлеченным от Банка России и (или) банков-контрагентов и обеспеченным предоставленным банком залогом в виде высоколиквидных и ликвидных ценных бумаг (за исключением отраженных по коду 8906) (счета (их части): N N 312, 313, 314). | 8999 | Н3(Овт) |
Пример расчета совокупной суммы требований банка к своим акционерам (участникам) и инсайдерам, превышающей ограничения, установленные нормативами Н6, Н9.1 и Н10.1
Допустим, банк имеет требования к трем своим акционерам (участникам) и четырем инсайдерам.
a1, a2, a3 - совокупная сумма требований банка (включая показатели КРВ и КРС) в рублях и в иностранной валюте в отношении соответственно первого, второго и третьего акционеров (участников);
в1, в2, в3, в4 - совокупная сумма требований банка (включая показатели КРВ и КРС) в рублях и в иностранной валюте в отношении соответственно первого, второго, третьего и четвертого инсайдеров.
1. Определение совокупной суммы требований банка к своим акционерам (участникам), превышающей ограничения, установленные нормативом Н6.
1.1. Определение совокупной суммы требований банка, превышающей ограничения, установленные нормативом Н6, по первому акционеру (участнику):
,
при условии что . В случае если
, А1 принимается равным нулю,
где 0,25 - установленное значение норматива Н6 - 25% собственных средств (капитала) банка,
- собственные средства (капитал) банка на отчетную дату, величина которых рассчитывается в соответствии с Положением Банка России N 395-П без уменьшения на величину превышения совокупной суммы кредитов, банковских гарантий и поручительств, предоставленных банком своим участникам (акционерам) и инсайдерам, над ее максимальным размером, предусмотренным законодательством Российской Федерации и настоящей Инструкцией, за вычетом сформированного резерва под соответствующую часть ссуд, а также сформированного резерва под соответствующую часть внебалансовых обязательств, определяемых в соответствии с Положением Банка России N 254-П и Положением Банка России N 283-П. (в ред. Указания ЦБ РФ от 25.10.2013 N 3097-У)
Аналогично определяется совокупная сумма требований банка, превышающая ограничения, установленные нормативом Н6, по второму и третьему акционерам (участникам) (величины А2 и А3).
1.2. Определение суммарной величины совокупных сумм требований банка к своим акционерам (участникам), превышающей ограничения, установленные нормативом Н6, по всем акционерам (участникам):
2. Определение совокупной суммы требований банка ко всем акционерам (участникам), превышающей ограничения, установленные нормативом Н9.1.
где 0,5 - установленное значение норматива Н9.1 - 50% собственных средств (капитала) банка.
В случае если , значение Б принимается равным нулю.
3. Определение совокупной суммы требований банка к своим акционерам (участникам), превышающей ограничения, установленные нормативами Н6 и Н9.1.
4. Определение совокупной суммы требований банка к своим инсайдерам, превышающей ограничения, установленные нормативом Н6.
4.1. Определение совокупной суммы требований банка к каждому инсайдеру, превышающей ограничения, установленные нормативом Н6 (величины В1, В2, В3, В4), осуществляется в порядке, аналогичном приведенному в пункте 1.1 настоящего примера для каждого акционера (участника).
4.2. Определение суммарной величины совокупных сумм требований банка к своим инсайдерам, превышающих ограничения, установленные нормативом Н6, по всем инсайдерам:
5. Определение совокупной суммы требований банка ко всем инсайдерам, превышающей ограничения, установленные нормативом Н10.1.
,
где 0,03 - установленное значение норматива Н10.1 - 3% собственных средств (капитала) банка.
В случае если , значение Г принимается равным нулю.
6. Определение совокупной суммы требований банка к своим инсайдерам, превышающей ограничения, установленные нормативами Н6 и Н10.1.
7. Определение совокупной суммы требований банка к своим акционерам (участникам) и инсайдерам, превышающей ограничения, установленные нормативами Н6, Н9.1 и Н10.1.
Код 8948 (Д) определяется следующим образом:
Приложение 2
к Инструкции Банка России
от 3 декабря 2012 года N 139-И
"Об обязательных нормативах банков"
МЕТОДИКА РАСЧЕТА КРЕДИТНОГО РИСКА ПО УСЛОВНЫМ ОБЯЗАТЕЛЬСТВАМ КРЕДИТНОГО ХАРАКТЕРА
(в ред. Указаний ЦБ РФ от 25.10.2013 N 3097-У, от 30.05.2014 N 3268-У)
1. В целях расчета кредитного риска по условным обязательствам кредитного характера в условные обязательства кредитного характера включаются обязательства (за исключением обязательств, принимаемых в уменьшение источников базового, добавочного и дополнительного капитала банка в соответствии с подпунктами 2.2.11, 2.4.6 пункта 2 и подпункта 3.2.6 пункта 3 Положения Банка России N 395-П), в состав которых входят: (в ред. Указания ЦБ РФ от 30.05.2014 N 3268-У)
обязательства произвести выплаты в случае невыполнения контрагентами своих обязательств перед другими кредиторами;
обязательства банка предоставить средства на возвратной основе.
В соответствии с настоящей методикой производится расчет величины принятого на себя банком кредитного риска в отношении условных обязательств кредитного характера.
При этом указанный расчет осуществляется путем определения в соответствии с пунктом 2 настоящего приложения кредитного эквивалента (далее - величина кредитного риска) по разнице между суммой условного обязательства кредитного характера и величиной резерва на возможные потери, создаваемого в соответствии с главой 3 Положения Банка России N 283-П, в зависимости от вероятности исполнения банком этого обязательства, и взвешивания в соответствии с пунктом 9 настоящего приложения полученной величины кредитного риска на коэффициент риска, установленный в отношении соответствующего контрагента.
2. В целях настоящей методики для определения величины кредитного риска номинальная величина обязательств по каждому условному обязательству кредитного характера приводится к кредитному эквиваленту путем умножения на следующие коэффициенты:
по условным обязательствам кредитного характера с высоким риском - 1,0;
по условным обязательствам кредитного характера со средним риском - 0,5;
по условным обязательствам кредитного характера с низким риском - 0,2;
по условным обязательствам кредитного характера без риска - 0.
3. Условные обязательства кредитного характера, имеющие договорные условия, отличные от перечисленных в пунктах 4 - 7, а также не упомянутые в пунктах 4 - 7 настоящего приложения, самостоятельно включаются банками в группу условных обязательств кредитного характера с соответствующим уровнем риска (абзац девятый пункта 4, абзац восьмой пункта 5, абзац седьмой пункта 6, абзац четвертый пункта 7 настоящего приложения) в зависимости от вероятности исполнения обязательств по ним и срока действия.
4. Условные обязательства кредитного характера с высоким риском:
банковские гарантии и поручительства, выданные (предоставленные) банком в обеспечение исполнения принципалом обязательства перед бенефициаром, с момента выдачи (предоставления) банковской гарантии (поручительства) в случае, когда обязательство принципала перед бенефициаром существует на момент выдачи (предоставления) банковской гарантии (поручительства) или с момента возникновения обязательства принципала перед бенефициаром, в случае, когда обязательство принципала перед бенефициаром возникнет в будущем после выдачи (предоставления) банковской гарантии (поручительства) или сделка между принципалом и бенефициаром совершена с отлагательным условием;
гарантии платежа по чекам (аваль) в случае отсутствия депонированных средств на счете чекодателя;
вексельные поручительства (аваль). В расчет принимается вексельная сумма (часть вексельной суммы), авалированная банком;
выставленные или подтвержденные банком непокрытые и покрытые за счет выданной в пользу клиента кредитной линии безотзывные аккредитивы;
индоссамент векселей;
акцепты расчетных документов клиента, если договор между плательщиком и обслуживающим его банком предусматривает возможность овердрафта по счету плательщика;
обязательства банка в случае неисполнения (ненадлежащего исполнения) должником требования, ранее уступленного банком финансовому агенту (новому кредитору);
другие условные обязательства кредитного характера с высоким риском.
5. Условные обязательства кредитного характера со средним риском:
выставленные или подтвержденные банком отзывные непокрытые аккредитивы;
выставленные банком отзывные и безотзывные покрытые за счет средств клиента аккредитивы в случае, если сумма средств плательщика, депонированная на отдельном счете, меньше суммы аккредитива;
выставленные банком отзывные и безотзывные покрытые за счет средств клиента аккредитивы в части суммы аккредитива, не покрытой клиентом или банком-эмитентом;
обязательство осуществить иные, не подлежащие отмене операции, которые ведут к возникновению кредитного риска, со сроком действия более 365 или 366 календарных дней;
обязательства выкупить ценные бумаги эмитента, вытекающие из выполнения банком функции андеррайтера в отношении корпоративных ценных бумаг. В расчет величины кредитного риска включается общая стоимость неразмещенных ценных бумаг, определенная как произведение количества неразмещенных ценных бумаг на цену выкупа, установленную в договоре;
неиспользованные кредитные линии по предоставлению кредитов, а также неиспользованные лимиты по предоставлению средств в виде "овердрафт" и "под лимит задолженности", договор об открытии (предоставлении) которых не предусматривает право банка-кредитора на их закрытие при наличии обстоятельств, очевидно свидетельствующих о том, что предоставленная заемщику сумма не будет возвращена в срок со сроком действия более 365 или 366 календарных дней;
другие условные обязательства кредитного характера со средним риском.
6. Условные обязательства кредитного характера с низким риском:
выставленные или подтвержденные документарные (товарные) аккредитивы с передачей на каждой стадии платежной операции товарных документов, служащих залогом;
выставленные банком отзывные покрытые за счет средств клиента аккредитивы в случае, если сумма средств плательщика, депонированная на отдельном счете, равна сумме аккредитива;
выставленные банком безотзывные покрытые в полной сумме за счет средств клиента и не перечисленные в исполняющий банк аккредитивы (в том числе в случае совмещения функций банка-эмитента с функциями исполняющего банка);
выставленные банком отзывные и безотзывные покрытые в полной сумме за счет средств клиента и перечисленные в исполняющий банк аккредитивы;
неиспользованные кредитные линии по предоставлению кредитов, а также неиспользованные лимиты по предоставлению средств в виде "овердрафт" и "под лимит задолженности", договор об открытии (предоставлении) которых не предусматривает право банка-кредитора на их закрытие при наличии обстоятельств, очевидно свидетельствующих о том, что предоставленная заемщику сумма не будет возвращена в срок со сроком действия менее 365 или 366 календарных дней;
обязательство осуществить иные, не подлежащие отмене операции, которые ведут к возникновению кредитного риска, со сроком действия менее 365 или 366 календарных дней, а также другие условные обязательства кредитного характера с низким риском.
7. Условные обязательства кредитного характера без риска:
обязательства осуществить намеченные подтвержденные операции (сделки), которые могут быть безусловно аннулированы в любой момент времени без предварительного уведомления;
безоборотные и препоручительные индоссаменты векселей;
неиспользованные кредитные линии по предоставлению кредитов, а также неиспользованные лимиты по предоставлению средств в виде "овердрафт" и "под лимит задолженности", договор об открытии (предоставлении) которых предусматривает право банка-кредитора на их закрытие при наличии обстоятельств, очевидно свидетельствующих о том, что предоставленная заемщику сумма не будет возвращена в срок, а также другие условные обязательства кредитного характера без риска.
8. При наличии у банка двух связанных между собой внебалансовых обязательств (исполнение одного обусловлено исполнением другого) величина кредитного риска рассчитывается только в отношении основного обязательства, исполнение которого влечет за собой возникновение другого обязательства. Связанное с основным обязательство включается в состав условных обязательств кредитного характера без риска.
9. Полученная по каждому условному обязательств кредитного характера величина кредитного риска взвешивается в зависимости от контрагента в соответствии с пунктом 2.3 настоящей Инструкции. При этом применяются коэффициенты взвешивания, установленные в отношении балансовых активов, размещенных у соответствующего контрагента.
При наличии обеспечения (из числа перечисленного в пункте 2.3 настоящей Инструкции) по условному обязательству кредитного характера величина кредитного риска взвешивается на коэффициент, применяемый для взвешивания балансового актива, в том числе исполнение обязательств по которому обеспечено соответствующим залогом, банковской гарантией (гарантией), резервным аккредитивом соответствующего гаранта (поручителя), эмитента.
В случае если по условному обязательству кредитного характера предусмотрена солидарная обязанность, применяется наименьший из предусмотренных к применению в соответствии с пунктом 2.3 настоящей Инструкции коэффициент взвешивания балансовых активов солидарно обязанных лиц.
В целях расчета норматива Н1 величина кредитного риска по условным обязательствам кредитного характера в отношении связанных с банком лиц (за исключением кредитных организаций - участников банковской группы, в состав которой входит банк-кредитор), взвешенная в соответствии с подпунктами 2.3.1 - 2.3.4 пункта 2.3 настоящей Инструкции, умножается на коэффициент 1,3.
10. Суммарная величина риска по всем условным обязательствам кредитного характера (КРВi) включается в знаменатели формул расчета нормативов достаточности капитала банка (пункт 2.1 настоящей Инструкции). (в ред. Указаний ЦБ РФ от 25.10.2013 N 3097-У, от 30.05.2014 N 3268-У)
11. Банковские гарантии и поручительства, выданные в пользу дочерней организации - эмитента еврооблигаций (код 8944), банки вправе не включать в расчет КРВi при обязательном соблюдении следующих требований: (в ред. Указания ЦБ РФ от 30.05.2014 N 3268-У)
а) дочерняя организация - эмитент не ведет иной хозяйственной деятельности (помимо эмиссионной), кроме размещения еврооблигаций;
б) средства, привлеченные в результате деятельности дочерней организации - эмитента, отражаются на депозитных счетах банка-гаранта на сроки, в суммах и на условиях, которые соответствуют срокам, суммам и условиям погашения еврооблигаций.
В случае, если банк намерен не включать в расчет КРВi банковские гарантии и поручительства, выданные в пользу дочерней организации - эмитента еврооблигаций, то в подтверждение этого банк представляет (в сроки, установленные для представления формы отчетности 0409135 "Информация об обязательных нормативах и о других показателях деятельности кредитной организации") в территориальное учреждение Банка России по месту нахождения головного офиса банка следующую информацию: (в ред. Указания ЦБ РФ от 30.05.2014 N 3268-У)
заверенную банком копию устава дочерней организации-эмитента, осуществляющей по поручению банка эмиссию ценных бумаг (с заверенным банком переводом на русский язык);
полное название и адрес надзорного органа, осуществляющего контроль за деятельностью дочерней организации-эмитента по месту ее регистрации;
заверенную банком копию договора о выданной банком банковской гарантии или поручительства;
заверенную банком копию депозитного или иного аналогичного договора банка с дочерней организацией-эмитентом о перечислении средств от реализации еврооблигаций (с заверенным банком переводом на русский язык);
данные об обращающихся еврооблигациях (с указанием сроков, сумм и дат погашения) и расшифровку балансового счета (счетов), на котором (которых) учитываются привлеченные средства с указанием сроков и сумм одновременно с формой отчетности 0409135 "Информация об обязательных нормативах и о других показателях деятельности кредитной организации".
12. Величина кредитного риска по условным обязательствам кредитного характера отражается банками в таблице, составляемой по следующей форме:
Величина кредитного риска по условным обязательствам кредитного характера по состоянию на ____________ г.
| Характер риска | Вид условного обязательства кредитного характера | Контрактная стоимость обязательства | Резерв на возможные потери | Взвешенный кредитный эквивалент | Величина кредитного риска, взвешенная с учетом коэффициентов, установленных в пункте 2.3 настоящей Инструкции |
| 1 | 2 | 3 | 4 | 5 | 6 |
| Высокий риск | 1. Банковские гарантии и поручительства | ||||
| 2. Гарантии платежа по чекам (аваль) в случае отсутствия депонированных средств на счете чекодателя | |||||
| 3. Вексельные поручительства (аваль) | |||||
| 4. Аккредитивы | |||||
| 5. Индоссаменты | |||||
| 6. Акцепты | |||||
| 7. Уступка прав требования | |||||
| 8. Другие | |||||
| Средний риск | 1. Аккредитивы | ||||
| 2. Долгосрочные обязательства по осуществлению операций | |||||
| 3. Андеррайтинговые обязательства | |||||
| 4. Неиспользованные кредитные линии, неиспользованные лимиты по предоставлению средств в виде "овердрафт" и "под лимит задолженности" (долгосрочные) | |||||
| 5. Другие | |||||
| Низкий риск | 1. Аккредитивы | ||||
| 2. Неиспользованные кредитные линии, неиспользованные лимиты по предоставлению средств в виде "овердрафт" и "под лимит задолженности" (краткосрочные) | |||||
| 3. Краткосрочные обязательства по осуществлению операций | |||||
| 4. Другие | |||||
| Риск отсутствует | 1. Обязательства по намеченным операциям | ||||
| 2. Индоссаменты | |||||
| 3. Неиспользованные кредитные линии, неиспользованные лимиты по предоставлению средств в виде "овердрафт" и "под лимит задолженности" (с правом досрочного закрытия) | |||||
| 4. Другие | |||||
| Итого величина кредитного риска (КРВi): | X | X | X | ||
| (в ред. Указания ЦБ РФ от 30.05.2014 N 3268-У) | |||||
Приложение 3
к Инструкции Банка России
от 3 декабря 2012 года N 139-И
"Об обязательных нормативах банков"
МЕТОДИКА
РАСЧЕТА КРЕДИТНОГО РИСКА ПО ПРОИЗВОДНЫМ ФИНАНСОВЫМ ИНСТРУМЕНТАМ
(в ред. Указания ЦБ РФ от 25.10.2013 N 3097-У)
1. В соответствии с настоящим приложением оценка кредитного риска осуществляется в отношении заключенных на внебиржевом рынке договоров, являющихся производными финансовыми инструментами.
2. Для расчета кредитного риска по производным финансовым инструментам определяются следующие составляющие:
текущий кредитный риск (стоимость замещения финансового инструмента), отражающий на отчетную дату величину потерь в случае неисполнения контрагентом своих обязательств;
потенциальный кредитный риск (риск неисполнения контрагентом своих обязательств в течение срока от отчетной даты до даты валютирования в связи с неблагоприятным изменением стоимости базисного (базового) актива).
3. Текущий кредитный риск по производным финансовым инструментам, которые удовлетворяют требованиям пунктов 1 и 3 статьи 4.1 Федерального закона "О несостоятельности (банкротстве)" (далее - соглашение о неттинге по производным финансовым инструментам), равен превышению суммы справедливых стоимостей всех производных финансовых инструментов, представляющих собой актив, над суммой справедливых стоимостей всех производных финансовых инструментов, представляющих собой обязательство, с учетом перечисленных возвратных первоначальных и (или) периодических платежей (разница между остатками на балансовых счетах N N 52601 и 52602).
Текущий кредитный риск по производным финансовым инструментам, не включенным в соглашение о неттинге по производным финансовым инструментам, равен величине справедливой стоимости производного финансового инструмента, представляющего собой актив (балансовый счет N 52601). По проданным опционам, не включенным в соглашение о неттинге, текущий кредитный риск (стоимость замещения) не рассчитывается.
4. Для целей настоящей методики под номинальной контрактной стоимостью понимается стоимость производного финансового инструмента, по которой он отражен на дату заключения договора, являющегося производным финансовым инструментом, на соответствующих внебалансовых счетах. При этом за номинальную контрактную стоимость бивалютных сделок принимается та валюта, по которой у банка формируются требования.
Номинальная контрактная стоимость производного финансового инструмента по договору, не предусматривающему поставку базисного (базового) актива, определяется по аналогии с договором (сделкой), предусматривающим поставку базисного (базового) актива.
5. Потенциальный риск по производным финансовым инструментам, не включенным в соглашение о неттинге по производным финансовым инструментам, рассчитывается путем умножения номинальной контрактной стоимости на коэффициенты в зависимости от срока, оставшегося от отчетной даты до даты валютирования:
Для сделок с несколькими обменами базисными (базовыми) активами объем потенциальных потерь увеличивается кратно количеству предусмотренных обменов базисными (базовыми) активами.
Величина потенциального риска не рассчитывается для проданных опционов.
По сделкам, условия которых пересматриваются на заранее определенные даты, за срок до даты валютирования принимается период, оставшийся до следующей даты пересмотра.
5.1. Величина потенциального риска по производным финансовым инструментам, включенным в соглашение о неттинге по производным финансовым инструментам, рассчитывается по формуле:
ВПРк - величина потенциального риска по производным финансовым инструментам, включенным в соглашение о неттинге по производным финансовым инструментам;
ВПРв - величина потенциального риска по тем же самым инструментам, рассчитанная без учета соглашения о неттинге по производным финансовым инструментам (в соответствии с требованиями настоящего пункта);
к - коэффициент, определяемый как отношение стоимости замещения по производным финансовым инструментам, включенным в соглашение о неттинге по производным финансовым инструментам (ЦЗв), и стоимости замещения по производным финансовым инструментам, включенным в соглашение о неттинге по производным финансовым инструментам, рассчитанной без учета этого соглашения (ЦЗ):
В случае если величина ЦЗв меньше нуля, то коэффициент "к" признается равным нулю.
6. Величина, подверженная риску, определяется как сумма величины текущего и потенциального рисков (пункты 3 и 5 настоящего приложения).
6.1. Величина, подверженная риску по производным финансовым инструментам, включенным в соглашение о неттинге по производным финансовым инструментам, определяется по следующей формуле:
С - текущая (справедливая) стоимость полученного обеспечения, из числа указанного в подпункте 2.6.2 пункта 2.6 настоящей Инструкции и удовлетворяющего требованиям подпункта 2.6.5 пункта 2.6 настоящей Инструкции;
Hc - дисконт, применяемый к обеспечению и определяемый в соответствии с порядком, предусмотренным подпунктом 2.6.1 пункта 2.6 настоящей Инструкции;
Hfx - дисконт в размере 8 процентов, применяемый при несовпадении валюты расчетов и валюты обеспечения.
7. Полученная величина, подверженная риску, взвешивается на коэффициент риска в зависимости от контрагента в соответствии с пунктом 2.3 настоящей Инструкции. При этом применяются коэффициенты взвешивания, установленные в отношении балансовых активов, размещенных у соответствующего контрагента.
При наличии обеспечения (из числа перечисленного в пункте 2.3 настоящей Инструкции) по производным финансовым инструментам, не включенным в соглашение о неттинге по производным финансовым инструментам, полученная величина, подверженная риску, взвешивается на коэффициент, применяемый для взвешивания балансового актива, исполнение обязательств по которому обеспечено соответствующим залогом, банковской гарантией (гарантией), резервным аккредитивом соответствующего гаранта (поручителя), эмитента.
В целях расчета нормативов достаточности капитала банка полученная величина кредитного риска в отношении связанных с банком лиц (за исключением кредитных организаций - участников банковской группы, в состав которой входит банк-кредитор), взвешенная в соответствии с подпунктами 2.3.1 - 2.3.4 пункта 2.3 настоящей Инструкции, умножается на коэффициент 1,3. При этом в отношении требований к связанным с банком лицам, относящимся к IV группе активов в соответствии с подпунктом 2.3.4 пункта 2.3 настоящей Инструкции и подпадающим под действие повышенного коэффициента 1,5, коэффициент 1,3 не применяется.
Полученная величина кредитного риска по договорам, являющимся производными финансовыми инструментами, заключенными с контрагентами, не поименованными в подпунктах 2.3.1 - 2.3.3 пункта 2.3 настоящей Инструкции и имевшими на момент заключения договора и (или) имеющими на момент расчета нормативов достаточности капитала банка рейтинг долгосрочной кредитоспособности по обязательствам в иностранной валюте или рублях, присвоенный как минимум одним из рейтинговых агентств на уровне ниже "В" по классификации рейтинговых агентств Standard & Poor's или Fitch Rating's либо "В2" по классификации рейтингового агентства Moody's Investors Service, а также национальных рейтинговых агентств, умножается на коэффициент 1,5.
Полученная величина, подверженная риску, по договорам, являющимся производными финансовыми инструментами, стороной по которым является кредитная организация, осуществляющая функции центрального контрагента и соответствующая условиям кода 8846, взвешивается на коэффициент 0,05.
8. В случае применения подхода, предусмотренного подпунктом 6.1 пункта 6 настоящего приложения, по производным финансовым инструментам, включенным в соглашение о неттинге по производным финансовым инструментам, по которым предоставлено обеспечение, из числа указанного в подпункте 2.6.2 пункта 2.6 настоящей Инструкции, повышенный коэффициент 1,5 не применяется.
При этом полученная величина, подверженная риску, по договорам, являющимся производными финансовыми инструментами, стороной по которым является связанное с банком лицо (за исключением кредитных организаций - участников банковской группы, в состав которой входит банк-кредитор), умножается на коэффициент 1,3 для целей расчета нормативов достаточности капитала банка.
9. Итоговая величина кредитного риска по производным финансовым инструментам (КРС) включается в знаменатель нормативов достаточности капитала банка (пункт 2.1 настоящей Инструкции).
10. Величина кредитного риска по производным финансовым инструментам отражается банками в таблице, составляемой по следующей форме:
Величина кредитного риска по производным финансовым инструментам по состоянию на ____ г.
Приложение 4
к Инструкции Банка России
от 3 декабря 2012 года N 139-И
"Об обязательных нормативах банков"
МЕТОДИКА
ОПРЕДЕЛЕНИЯ УРОВНЯ РИСКА ПО СИНДИЦИРОВАННЫМ ССУДАМ
(в ред. Указания ЦБ РФ от 25.10.2013 N 3097-У)
1. В целях настоящей методики под синдицированной ссудой понимается соглашение (договор) о предоставлении ссуды заемщику одним или несколькими лицами (участниками синдиката), в связи с предоставлением которой риск неисполнения либо ненадлежащего исполнения заемщиком обязательств по ссуде в предусмотренный соглашением (договором) срок (далее - кредитный риск) принят одновременно двумя и более участниками соглашения (договора).
2. Участниками синдиката являются:
первоначальный кредитор (кредиторы) по соглашению (договору) о предоставлении синдицированной ссуды, а также новые кредиторы;
третье лицо, несущее кредитный риск на основании юридически обязывающего соглашения (договора) с первоначальным или новым кредитором (кредиторами).
Банк считается участником синдиката с момента принятия кредитного риска по синдицированной ссуде на основании юридически обязывающего соглашения (договора) и до момента прекращения кредитного риска банка по такой ссуде в результате наступления одного из следующих событий:
исполнения обязательств заемщика;
уступки (передачи) соответствующих требований по ссуде банком иному лицу;
поступления денежных средств от третьего лица - участника синдиката в целях покрытия кредитного риска банка.
3. Передача риска неисполнения либо ненадлежащего исполнения заемщиком обязательств по синдицированной ссуде (кредитного риска) может осуществляться:
путем заключения соглашения, согласно которому новый кредитор (кредиторы) приобретает (приобретают) права требования по синдицированной ссуде (части ссуды), а также начисленным, но не выплаченным заемщиком процентам, неустойкам и иным платежам, и (или) обязанности по предоставлению заемщику кредита;
путем заключения соглашения (договора кредита, займа, депозита или иного юридически обязывающего соглашения) между кредитором (первоначальным кредитором, новым кредитором) заемщика по соответствующему соглашению (договору) о предоставлении ссуды и третьим лицом (третьими лицами), в котором определено, что указанное третье лицо (указанные третьи лица) обязуется (обязуются) предоставить кредитору денежные средства в сумме, равной или меньшей суммы, подлежащей предоставлению или предоставленной кредитором заемщику в соответствии с условиями соответствующего соглашения (договора) о предоставлении ссуды, и вправе требовать платежи по основному долгу, процентам, неустойкам и иным платежам в размере, в котором заемщик исполняет обязательства перед кредитором по погашению основного долга, процентов и иных платежей в соответствии с соглашением (договором) о предоставлении ссуды, не ранее момента фактического осуществления соответствующих платежей заемщиком.
4. Кредитный (платежный) агент - лицо, которое на основании заключенного соглашения (договора) осуществляет платежи по синдицированной ссуде между заемщиком и участниками синдиката. Функции кредитного (платежного) агента может исполнять в том числе любой из участников синдиката.
5. Каждый из участников синдиката несет кредитный риск по синдицированной ссуде в части своей совокупной доли участия в синдицированной ссуде.
Совокупная доля участия в синдицированной ссуде рассчитывается каждым банком, являющимся участником синдиката, следующим образом:
для банка, являющегося первоначальным кредитором заемщика, - в размере требований банка к заемщику, уменьшенных на основании юридически обязывающего соглашения (договора) на сумму денежных средств, полученную от третьего лица (третьих лиц) для покрытия кредитного риска банка по синдицированной ссуде, и (или) на сумму уступленных новым кредиторам требований по уплате основного долга и начисленных, но невыплаченных процентов и иных платежей по синдицированной ссуде;
для банка, являющегося новым кредитором, - в размере требований к заемщику по уплате основного долга и начисленных, но невыплаченных процентов и иных платежей по синдицированной ссуде, приобретенных банком на основании юридически обязывающего соглашения (договора) с первоначальным кредитором;
для банка, предоставившего на основании юридически обязывающего соглашения (договора) первоначальному кредитору или новому кредитору денежные средства для покрытия кредитного риска банка по синдицированной ссуде, - в сумме предоставленных денежных средств.
6. При определении уровня кредитного риска по синдицированной ссуде участниками синдиката применяются следующие коэффициенты риска:
участником синдиката, являющимся кредитором (первоначальным кредитором, новым кредитором) заемщика и выполняющим функции кредитного (платежного) агента по синдицированной ссуде, - коэффициент риска в отношении заемщика, предусмотренный настоящей Инструкцией;
участником синдиката, являющимся кредитором (первоначальным кредитором, новым кредитором) заемщика и не выполняющим функции кредитного (платежного) агента по синдицированной ссуде, - больший из коэффициентов риска, предусмотренных настоящей Инструкцией, в отношении заемщика и кредитного (платежного) агента;
участником синдиката, предоставившим кредитору (первоначальному кредитору, новому кредитору) денежные средства для покрытия его кредитного риска по синдицированной ссуде и выполняющим функции кредитного (платежного) агента по синдицированной ссуде, - больший из коэффициентов риска, предусмотренных настоящей Инструкцией в отношении заемщика и кредитора;
участником синдиката, предоставившим кредитору (первоначальному кредитору, новому кредитору) денежные средства для покрытия его кредитного риска по синдицированной ссуде и не выполняющим функции кредитного (платежного) агента по синдицированной ссуде, - больший из коэффициентов риска, предусмотренных настоящей Инструкцией в отношении заемщика, кредитора и кредитного (платежного) агента.
Если по синдицированной ссуде на основании юридически обязывающего договора (договоров) предусмотрено обеспечение по обязательству (обязательствам) заемщика (должника), принимаемое одним из кредиторов или уполномоченным третьим лицом в интересах всех участников синдиката (далее - обеспечение), то каждый из участников синдиката, чьи права в случае неисполнения или ненадлежащего исполнения заемщиком (должником) по обеспеченному (обеспеченным) обязательству (обязательствам) должны быть удовлетворены из стоимости обеспечения, учитывает данное обеспечение в целях расчета обязательных нормативов при оценке риска в отношении заемщика (должника) в части, указанной в договоре (договорах).
ПРИЛОЖЕНИЕ 5. - Утратило силу. (в ред. Указания ЦБ РФ от 25.10.2013 N 3097-У)
Приложение 6
к Инструкции Банка России
от 3 декабря 2012 года N 139-И
"Об обязательных нормативах банков"
ПОРЯДОК РАСЧЕТА НОРМАТИВА МАКСИМАЛЬНОГО РАЗМЕРА РИСКА НА ОДНОГО ЗАЕМЩИКА ИЛИ ГРУППУ СВЯЗАННЫХ ЗАЕМЩИКОВ (Н6) ПО СДЕЛКАМ, СОВЕРШАЕМЫМ НА ВОЗВРАТНОЙ ОСНОВЕ
(в ред. Указания ЦБ РФ от 25.10.2013 N 3097-У)
Независимо от применяемого в целях расчета нормативов достаточности капитала банка подхода, предусмотренного пунктом 2.3 либо пунктом 2.6 настоящей Инструкции, норматив Н6 рассчитывается банком-заемщиком и банком-кредитором как по контрагенту по сделкам, совершаемым на возвратной основе с ценными бумагами, переданными без прекращения признания, так и по эмитенту, ценные бумаги которого переданы в качестве обеспечения по указанной сделке, с учетом следующего. (в ред. Указания ЦБ РФ от 25.10.2013 N 3097-У)
1. Банк-заемщик по сделке с ценными бумагами, совершаемой на возвратной основе, расчет норматива Н6 осуществляет:
- в случае расчета нормативов достаточности капитала банка с учетом пункта 2.3 настоящей Инструкции: (в ред. Указания ЦБ РФ от 25.10.2013 N 3097-У)
в отношении контрагента по сделке, совершаемой на возвратной основе, с ценными бумагами, переданными без прекращения признания, с включением в расчет норматива Н6 требования по возврату ценных бумаг, стоимость которых отражается в учете в соответствии с Положением Банка России N 385-П, с учетом порядка, предусмотренного пунктом 4.4 настоящей Инструкции;
в отношении эмитента, ценные бумаги которого переданы в обеспечение по сделке, совершаемой на возвратной основе (за исключением ценных бумаг, ранее полученных без первоначального признания по сделкам, совершаемым на возвратной основе), с включением в расчет норматива Н6 стоимости указанных ценных бумаг, отражаемых в учете в соответствии с Положением Банка России N 385-П. При этом в отношении эмитента, ценные бумаги которого были получены без первоначального признания и в последующем переданы в обеспечение по сделке, совершаемой на возвратной основе, расчет норматива Н6 осуществляется в соответствии с порядком, предусмотренным пунктом 4.4 настоящей Инструкции для ценных бумаг, предоставленных в качестве обеспечения по первоначальной сделке;
- в случае расчета нормативов достаточности капитала банка с учетом пункта 2.6 настоящей Инструкции: (в ред. Указания ЦБ РФ от 25.10.2013 N 3097-У)
в отношении контрагента по сделке, совершаемой на возвратной основе, с ценными бумагами, переданными без прекращения признания, с включением в расчет норматива Н6 результата расчета стоимости актива, определяемой в соответствии с подпунктом 2.6.1 пункта 2.6 настоящей Инструкции и порядком, предусмотренным пунктом 4.4 настоящей Инструкции;
в отношении эмитента, ценные бумаги которого переданы в обеспечение по сделке, совершаемой на возвратной основе (за исключением ценных бумаг, ранее полученных без первоначального признания по сделкам, совершаемым на возвратной основе) с включением в расчет норматива Н6 стоимости указанных ценных бумаг, отражаемых в учете в соответствии с Положением Банка России N 385-П. При этом в отношении эмитента, ценные бумаги которого были получены без первоначального признания и в последующем переданы в обеспечение по сделке, совершаемой на возвратной основе, расчет норматива Н6 осуществляется в соответствии с порядком, предусмотренным пунктом 4.4 настоящей Инструкции для ценных бумаг, предоставленных в качестве обеспечения по первоначальной сделке.
2. Банк-кредитор по сделке с ценными бумагами, совершаемой на возвратной основе, расчет норматива Н6 осуществляет:
- в случае расчета нормативов достаточности капитала банка с учетом пункта 2.3 настоящей Инструкции: (в ред. Указания ЦБ РФ от 25.10.2013 N 3097-У)
в отношении контрагента по сделке, совершаемой на возвратной основе, с ценными бумагами, полученными без первоначального признания, с включением в расчет норматива Н6 требования по возврату денежных средств по указанной операции; (в ред. Указания ЦБ РФ от 25.10.2013 N 3097-У)
в отношении эмитента, ценные бумаги которого получены в обеспечение, с включением в расчет норматива Н6 стоимости указанных бумаг, в пределах суммы требования по возврату денежных средств и пропорционально величине риска невозврата денежных средств контрагентом, то есть с учетом величины расчетного резерва на возможные потери по требованию по возврату денежных средств контрагентом, определяемой в соответствии с Положением Банка России N 254-П;
- в случае расчета нормативов достаточности капитала банка1 с учетом пункта 2.6 настоящей Инструкции: (в ред. Указания ЦБ РФ от 25.10.2013 N 3097-У)
в отношении контрагента по сделке, совершаемой на возвратной основе, с ценными бумагами, полученными без первоначального признания, с включением в расчет норматива Н6 результата расчета стоимости актива, определяемой в соответствии с подпунктом 2.6.1 пункта 2.6 настоящей Инструкции; (в ред. Указания ЦБ РФ от 25.10.2013 N 3097-У)
в отношении эмитента, ценные бумаги которого получены в обеспечение, с включением в расчет норматива Н6 стоимости указанных бумаг в пределах суммы требования по возврату денежных средств и пропорционально величине риска невозврата денежных средств контрагентом, то есть с учетом величины расчетного резерва на возможные потери по требованию по возврату денежных средств контрагентом, определяемой в соответствии с Положением Банка России N 254-П.
Приложение 7
к Инструкции Банка России
от 3 декабря 2012 года N 139-И
"Об обязательных нормативах банков"
ПЕРЕЧЕНЬ ФОНДОВЫХ ИНДЕКСОВ АКЦИЙ
1. ASX 100 (Австралия)
2. S&P/Toronto Stock Exchange 60 Index (Канада)
3. Shenzhen Stock Exchange Component Stock Index (Китай)
4. CAC 40 (Франция)
5. DAX 30 (Германия)
6. NIKKEI 225 (Япония)
7. KOSPI 100 (Южная Корея)
8. FTSE 100 (Великобритания)
9. Dow Jones Industrial Average (США)